Постановление Правительства РФ от 30.12.2014 N 1605

"О предоставлении и распределении субсидий из федерального бюджета бюджетам субъектов Российской Федерации на государственную поддержку малого и среднего предпринимательства, включая крестьянские (фермерские) хозяйства в 2015 году"
Редакция от 25.05.2016 — Документ утратил силу, см. «Постановление Правительства РФ от 11.02.2019 N 110»
Показать изменения

ПРАВИТЕЛЬСТВО РОССИЙСКОЙ ФЕДЕРАЦИИ

ПОСТАНОВЛЕНИЕ
от 30 декабря 2014 г. N 1605

О ПРЕДОСТАВЛЕНИИ И РАСПРЕДЕЛЕНИИ СУБСИДИЙ ИЗ ФЕДЕРАЛЬНОГО БЮДЖЕТА БЮДЖЕТАМ СУБЪЕКТОВ РОССИЙСКОЙ ФЕДЕРАЦИИ НА ГОСУДАРСТВЕННУЮ ПОДДЕРЖКУ МАЛОГО И СРЕДНЕГО ПРЕДПРИНИМАТЕЛЬСТВА, ВКЛЮЧАЯ КРЕСТЬЯНСКИЕ (ФЕРМЕРСКИЕ) ХОЗЯЙСТВА В 2015 ГОДУ

(в ред. Постановлений Правительства РФ от 26.12.2015 N 1452, от 25.05.2016 N 464)

В соответствии со статьей 17 Федерального закона "О развитии малого и среднего предпринимательства в Российской Федерации" Правительство Российской Федерации постановляет:

1. Утвердить прилагаемые Правила предоставления и распределения субсидий из федерального бюджета бюджетам субъектов Российской Федерации на государственную поддержку малого и среднего предпринимательства, включая крестьянские (фермерские) хозяйства, в рамках подпрограммы "Развитие малого и среднего предпринимательства" государственной программы Российской Федерации "Экономическое развитие и инновационная экономика" в 2015 году. (в ред. Постановления Правительства РФ от 26.12.2015 N 1452)

2. Установить, что при наличии потребности в неиспользованных субсидиях, предоставленных бюджетам субъектов Российской Федерации за счет средств федерального бюджета в соответствии с соглашениями между Министерством экономического развития Российской Федерации и высшими исполнительными органами государственной власти субъектов Российской Федерации о предоставлении субсидии из федерального бюджета бюджету субъекта Российской Федерации на государственную поддержку малого и среднего предпринимательства, включая крестьянские (фермерские) хозяйства (далее соответственно - субсидии, соглашения), заключенными ранее 1 января 2015 г., субсидии могут быть использованы в очередном финансовом году на те же цели в порядке, установленном бюджетным законодательством Российской Федерации, в соответствии с решением Министерства экономического развития Российской Федерации.

3. Установить, что обязанности сторон, предусмотренные соглашениями, заключенными ранее 1 января 2015 г., подлежат исполнению в полном объеме.

4. Установить, что в 2015 году для Республики Крым и г. Севастополя:

а) применяются Правила, утвержденные настоящим постановлением, за исключением пунктов 15 и 17 - 19, подпункта "з" пункта 28 Правил, утвержденных настоящим постановлением;

б) уровни софинансирования расходных обязательств за счет субсидий составляют 95 процентов;

в) значение коэффициента, характеризующего степень развития сектора малого и среднего предпринимательства, устанавливается равным 1.10;

г) значение коэффициента эффективности, характеризующего общую эффективность реализации субъектами Российской Федерации за счет субсидии мероприятий государственной поддержки малого и среднего предпринимательства, в соответствии с пунктом 17 Правил, утвержденных настоящим постановлением, устанавливается равным 1.

5. Министерству экономического развития Российской Федерации утвердить в 3-месячный срок со дня вступления в силу настоящего постановления формы мониторинга реализации мероприятий государственной поддержки малого и среднего предпринимательства и ежегодно, до 1 июля, представлять в Правительство Российской Федерации доклад об использовании средств федерального бюджета на государственную поддержку субъектов малого и среднего предпринимательства и оценке эффективности реализации мероприятий государственной поддержки малого и среднего предпринимательства в Российской Федерации.

6. Признать утратившими силу:

постановление Правительства Российской Федерации от 31 декабря 2008 г. N 1102 "О реализации дополнительных мер по государственной поддержке субъектов малого предпринимательства" (Собрание законодательства Российской Федерации, 2009, N 3, ст. 401);

постановление Правительства Российской Федерации от 27 февраля 2009 г. N 178 "О распределении и предоставлении субсидий из федерального бюджета бюджетам субъектов Российской Федерации на государственную поддержку малого и среднего предпринимательства, включая крестьянские (фермерские) хозяйства" (Собрание законодательства Российской Федерации, 2009, N 10, ст. 1226);

пункт 55 изменений, которые вносятся в акты Правительства Российской Федерации по вопросам, связанным с предоставлением из федерального бюджета бюджетам субъектов Российской Федерации субсидий, субвенций и иных межбюджетных трансфертов, имеющих целевое назначение, утвержденных постановлением Правительства Российской Федерации от 3 октября 2009 г. N 798 "О внесении изменений в некоторые акты Правительства Российской Федерации по вопросам, связанным с предоставлением из федерального бюджета бюджетам субъектов Российской Федерации субсидий, субвенций и иных межбюджетных трансфертов, имеющих целевое назначение" (Собрание законодательства Российской Федерации, 2009, N 41, ст. 4784);

пункт 8 изменений, которые вносятся в акты Правительства Российской Федерации в связи с принятием Федерального закона "О федеральном бюджете на 2010 год и на плановый период 2011 и 2012 годов", утвержденных постановлением Правительства Российской Федерации от 31 декабря 2009 г. N 1181 "О мерах по реализации Федерального закона "О федеральном бюджете на 2010 год и на плановый период 2011 и 2012 годов" (Собрание законодательства Российской Федерации, 2010, N 2, ст. 228);

пункт 21 изменений, которые вносятся в акты Правительства Российской Федерации в связи с принятием Федерального закона "О федеральном бюджете на 2011 год и на плановый период 2012 и 2013 годов", утвержденных постановлением Правительства Российской Федерации от 28 декабря 2010 г. N 1171 "О мерах по реализации Федерального закона "О федеральном бюджете на 2011 год и на плановый период 2012 и 2013 годов" (Собрание законодательства Российской Федерации, 2011, N 3, ст. 545);

постановление Правительства Российской Федерации от 26 января 2012 г. N 20 "О внесении изменений в Правила распределения и предоставления субсидий из федерального бюджета бюджетам субъектов Российской Федерации на государственную поддержку малого и среднего предпринимательства, включая крестьянские (фермерские) хозяйства" (Собрание законодательства Российской Федерации, 2012, N 6, ст. 666);

постановление Правительства Российской Федерации от 28 июня 2012 г. N 654 "О внесении изменений в акты Правительства Российской Федерации по вопросам распределения и предоставления субсидий из федерального бюджета бюджетам субъектов Российской Федерации на государственную поддержку малого и среднего предпринимательства, включая крестьянские (фермерские) хозяйства" (Собрание законодательства Российской Федерации, 2012, N 27, ст. 3763);

постановление Правительства Российской Федерации от 26 мая 2014 г. N 482 "О государственной поддержке в 2014 году развития малого и среднего предпринимательства в Республике Крым и г. Севастополе и внесении изменений в акты Правительства Российской Федерации по вопросам распределения и предоставления субсидий из федерального бюджета бюджетам субъектов Российской Федерации на государственную поддержку малого и среднего предпринимательства, включая крестьянские (фермерские) хозяйства" (Собрание законодательства Российской Федерации, 2014, N 22, ст. 2888).

7. Установить, что действия пунктов 32 и 33 Правил, утвержденных настоящим постановлением, распространяются на соглашения, заключенные после 1 января 2015 г.

Председатель Правительства
Российской Федерации
Д. МЕДВЕДЕВ

УТВЕРЖДЕНЫ
постановлением Правительства
Российской Федерации
от 30 декабря 2014 г. N 1605

ПРАВИЛА
ПРЕДОСТАВЛЕНИЯ И РАСПРЕДЕЛЕНИЯ СУБСИДИЙ ИЗ ФЕДЕРАЛЬНОГО БЮДЖЕТА БЮДЖЕТАМ СУБЪЕКТОВ РОССИЙСКОЙ ФЕДЕРАЦИИ НА ГОСУДАРСТВЕННУЮ ПОДДЕРЖКУ МАЛОГО И СРЕДНЕГО ПРЕДПРИНИМАТЕЛЬСТВА, ВКЛЮЧАЯ КРЕСТЬЯНСКИЕ (ФЕРМЕРСКИЕ) ХОЗЯЙСТВА, В РАМКАХ ПОДПРОГРАММЫ "РАЗВИТИЕ МАЛОГО И СРЕДНЕГО ПРЕДПРИНИМАТЕЛЬСТВА" ГОСУДАРСТВЕННОЙ ПРОГРАММЫ РОССИЙСКОЙ ФЕДЕРАЦИИ "ЭКОНОМИЧЕСКОЕ РАЗВИТИЕ И ИННОВАЦИОННАЯ ЭКОНОМИКА" В 2015 ГОДУ

(в ред. Постановлений Правительства РФ от 26.12.2015 N 1452, от 25.05.2016 N 464)

I. Общие положения

1. Настоящие Правила устанавливают порядок и условия предоставления и распределения субсидий из федерального бюджета бюджетам субъектов Российской Федерации на государственную поддержку малого и среднего предпринимательства, включая крестьянские (фермерские) хозяйства, в рамках подпрограммы "Развитие малого и среднего предпринимательства" государственной программы Российской Федерации "Экономическое развитие и инновационная экономика" (далее соответственно - государственная поддержка малого и среднего предпринимательства, субсидии) в 2015 году. (в ред. Постановления Правительства РФ от 26.12.2015 N 1452)

2. Субсидии предоставляются в целях оказания финансовой поддержки на исполнение расходных обязательств, возникающих при выполнении органами государственной власти субъектов Российской Федерации полномочий по государственной поддержке малого и среднего предпринимательства, направленных на обеспечение благоприятных условий для развития субъектов малого и среднего предпринимательства, повышение конкурентоспособности субъектов малого и среднего предпринимательства, увеличение количества субъектов малого и среднего предпринимательства, обеспечение занятости населения и увеличение производимых субъектами малого и среднего предпринимательства товаров (работ, услуг), и предусматривающих:

а) создание и (или) развитие инфраструктуры поддержки субъектов малого и среднего предпринимательства, направленной на содействие развитию системы кредитования;

б) создание и (или) развитие инфраструктуры поддержки субъектов малого и среднего предпринимательства, деятельность которой направлена на оказание консультационной поддержки;

в) создание и (или) развитие инфраструктуры поддержки субъектов малого и среднего предпринимательства, осуществляющих деятельность в области промышленного и сельскохозяйственного производства, а также разработку и внедрение инновационной продукции, в том числе создание и (или) развитие инжиниринговых центров;

г) поддержку субъектов малого и среднего предпринимательства, осуществляющих деятельность в сфере производства товаров (работ, услуг);

д) поддержку начинающих субъектов малого предпринимательства;

е) поддержку и развитие субъектов малого и среднего предпринимательства, занимающихся социально значимыми видами деятельности;

ж) поддержку субъектов малого и среднего предпринимательства, осуществляющих деятельность в области народно-художественных промыслов, ремесленной деятельности, сельского и экологического туризма, в том числе создание и (или) развитие инфраструктуры поддержки субъектов малого и среднего предпринимательства в указанных областях;

з) поддержку субъектов малого и среднего предпринимательства в рамках реализации муниципальных программ (подпрограмм) развития малого и среднего предпринимательства, в том числе монопрофильных муниципальных образований;

и) поддержку субъектов малого и среднего предпринимательства, пострадавших в результате чрезвычайной ситуации;

к) обеспечение деятельности многофункциональных центров предоставления государственных и муниципальных услуг (далее - многофункциональные центры), связанной с организацией предоставления услуг акционерного общества "Федеральная корпорация по развитию малого и среднего предпринимательства" (далее - корпорация развития малого и среднего предпринимательства) в целях оказания поддержки субъектам малого и среднего предпринимательства; (в ред. Постановления Правительства РФ от 26.12.2015 N 1452)

л) создание и (или) развитие инфраструктуры поддержки субъектов малого и среднего предпринимательства - частных промышленных парков;

м) поддержку программ обеспечения деятельности (развития) бизнес-инкубаторов;

н) создание и (или) развитие инфраструктуры поддержки субъектов малого предпринимательства, оказывающей имущественную поддержку, - бизнес-инкубаторов;

о) создание и (или) развитие инфраструктуры поддержки субъектов малого и среднего предпринимательства, оказывающей имущественную поддержку, - промышленных парков, индустриальных парков, агропромышленных парков и технопарков.

3. Реализация мероприятий, предусмотренных пунктом 2 настоящих Правил, осуществляется в соответствии с положениями раздела II настоящих Правил.

4. Понятия, используемые в настоящих Правилах, означают следующее:

"бизнес-инкубатор" - организация, созданная для поддержки предпринимателей на ранней стадии их деятельности, осуществляющая такую поддержку путем предоставления в аренду помещений и оказания услуг, необходимых для ведения предпринимательской деятельности, в том числе консультационных, бухгалтерских и юридических услуг, а также проведения образовательных тренингов и семинаров;

"молодежное предпринимательство" - осуществление предпринимательской деятельности молодыми предпринимателями - физическими лицами в возрасте до 30 лет (включительно), юридическими лицами, в уставном (складочном) капитале которых доля, принадлежащая лицам в возрасте до 30 лет (включительно), составляет не менее 50 процентов;

"промышленный парк", "индустриальный парк", "агропромышленный парк" - совокупность объектов недвижимости и инфраструктуры, земельных участков, административных, производственных, складских и иных помещений, обеспечивающих деятельность парка, предназначенная для осуществления производства субъектами малого и среднего предпринимательства и предоставления условий для их эффективной работы, управляемая единым оператором (управляющей компанией);

"технопарк" - совокупность объектов недвижимости, созданных для осуществления деятельности субъектов малого и среднего предпринимательства в сфере высоких технологий, состоящих из земельных участков, офисных зданий, лабораторных и производственных помещений, объектов инженерной, транспортной, жилой и социальной инфраструктуры;

"частный промышленный парк" - совокупность объектов недвижимости и инфраструктуры, земельных участков, административных, производственных, складских и иных помещений, обеспечивающих деятельность промышленного парка, предназначенных для осуществления производства субъектами малого и среднего предпринимательства и предоставления условий для их эффективной работы, управляемая единым оператором (управляющей компанией) - юридическим лицом, в уставном капитале которого не участвуют Российская Федерация, субъект Российской Федерации и (или) муниципальное образование.

5. Государственная поддержка малого и среднего предпринимательства оказывается субъектам малого и среднего предпринимательства, которые соответствуют критериям, установленным Федеральным законом "О развитии малого и среднего предпринимательства в Российской Федерации" (за исключением субъектов малого и среднего предпринимательства, указанных в частях 3 и 4 статьи 14 Федерального закона "О развитии малого и среднего предпринимательства в Российской Федерации") и Федеральным законом "О крестьянском (фермерском) хозяйстве".

6. Предоставление субсидий осуществляется в пределах бюджетных ассигнований, предусмотренных в федеральном законе о федеральном бюджете на соответствующий финансовый год и плановый период, и лимитов бюджетных обязательств, утвержденных в установленном порядке Министерству экономического развития Российской Федерации на цели, указанные в пункте 2 настоящих Правил.

7. Субсидии предоставляются бюджетам субъектов Российской Федерации, прошедших конкурсный отбор в порядке и на условиях, которые установлены Министерством экономического развития Российской Федерации.

8. Министерство экономического развития Российской Федерации:

а) определяет порядок и условия конкурсного отбора субъектов Российской Федерации, бюджетам которых предоставляются субсидии (далее - конкурсный отбор);

б) определяет перечень, формы и сроки представления документов, необходимых для получения субсидий;

в) определяет порядок, перечень, формы и сроки представления отчета об исполнении обязательств субъектов Российской Федерации, указанных в подпунктах "г", "е" и "ж" пункта 28 настоящих Правил;

г) определяет перечень и формы:

документов, подтверждающих осуществление расходов бюджета субъекта Российской Федерации, источником финансового обеспечения которых являются субсидии;

отчета о достижении значений показателей результативности использования субсидии;

отчета об исполнении графика выполнения мероприятий по проектированию и (или) строительству (реконструкции, в том числе с элементами реставрации, техническому перевооружению) объектов капитального строительства и (или) приобретению объектов недвижимого имущества;

Абзац 5. - Утратил силу. (в ред. Постановления Правительства РФ от 26.12.2015 N 1452)

отчета об исполнении графика по приобретению, установке и вводу в эксплуатацию оборудования и (или) программного обеспечения; (в ред. Постановления Правительства РФ от 26.12.2015 N 1452)

д) утверждает форму соглашения между Министерством экономического развития Российской Федерации и высшим исполнительным органом государственной власти субъекта Российской Федерации о предоставлении субсидии (далее - соглашение), заключаемого сроком на 1 год;

е) утверждает форму соглашения, заключаемого на 3 года, по согласованию с Министерством финансов Российской Федерации;

ж) ежегодно утверждает значения уровней софинансирования расходных обязательств субъектов Российской Федерации за счет субсидии на реализацию мероприятий государственной поддержки малого и среднего предпринимательства в соответствии с пунктом 29 настоящих Правил;

з) утверждает форму и срок представления в Министерство экономического развития Российской Федерации заявки на перечисление субсидии (аванса);

и) утверждает положение о конкурсной комиссии по отбору субъектов Российской Федерации, бюджетам которых предоставляются субсидии (далее - конкурсная комиссия);

к) определяет распределение субъектов Российской Федерации по категориям и группам в зависимости от значения коэффициента, характеризующего степень развития сектора малого и среднего предпринимательства в каждом субъекте Российской Федерации;

л) утверждает форму графика по приобретению, установке и вводу в эксплуатацию оборудования и (или) программного обеспечения. (в ред. Постановления Правительства РФ от 26.12.2015 N 1452)

9. Документы, указанные в подпунктах "б" - "е", "з" и "л" пункта 8 настоящих Правил, заполняются органом исполнительной власти субъекта Российской Федерации, уполномоченным высшим исполнительным органом государственной власти субъекта Российской Федерации на взаимодействие с Министерством экономического развития Российской Федерации по реализации мероприятий государственной поддержки малого и среднего предпринимательства (далее - уполномоченный орган), посредством распределенной автоматизированной информационной системы государственной поддержки малого и среднего предпринимательства (http://ais.economy.gov.ru).

10. Распределение (перераспределение) субсидий между субъектами Российской Федерации утверждается Правительством Российской Федерации в пределах объемов бюджетных ассигнований, предусмотренных в федеральном законе о федеральном бюджете на текущий финансовый год и плановый период.

Распределение субсидий между субъектами Российской Федерации на софинансирование мероприятий, указанных в пункте 2 настоящих Правил, может осуществляться сроком на 3 года.

Распределение субсидий между субъектами Российской Федерации на очередной финансовый год, первый и второй годы планового периода осуществляется на основании значений показателей и данных, используемых при расчете субсидии на очередной финансовый год.

Распределение субсидий между субъектами Российской Федерации ежегодно уточняется по каждому субъекту Российской Федерации в соответствии с настоящими Правилами.

Распределение субсидий между бюджетами субъектов Российской Федерации утверждается Правительством Российской Федерации в пределах объемов бюджетных ассигнований, предусмотренных в федеральном законе о федеральном бюджете на текущий финансовый год и плановый период, в срок до 1 апреля текущего финансового года. (в ред. Постановления Правительства РФ от 26.12.2015 N 1452)

11. Субсидии предоставляются на софинансирование мероприятий, указанных в пункте 2 настоящих Правил, при соблюдении субъектами Российской Федерации следующих условий:

а) наличие утвержденных государственной программы (подпрограммы) субъекта Российской Федерации и (или) муниципальной программы (подпрограммы), содержащих мероприятия, направленные на развитие малого и среднего предпринимательства;

б) наличие в бюджете субъекта Российской Федерации и (или) муниципальном бюджете на текущий финансовый год и плановый период бюджетных ассигнований на исполнение расходного обязательства субъекта Российской Федерации и (или) муниципального образования на исполнение государственной программы (подпрограммы) субъекта Российской Федерации и (или) муниципальной программы (подпрограммы), содержащих мероприятия, направленные на развитие малого и среднего предпринимательства; (в ред. Постановления Правительства РФ от 26.12.2015 N 1452)

в) использование типовой проектной документации, которая разработана для аналогичного объекта капитального строительства и информация о которой внесена в реестр типовой проектной документации (при наличии такой документации), - в отношении субсидий, за счет которых осуществляется софинансирование строительства объектов капитального строительства. (в ред. Постановления Правительства РФ от 26.12.2015 N 1452)

12. Общий объем субсидий субъектам Российской Федерации (С) определяется по формуле:

где:

- объем субсидий, распределяемых между бюджетами субъектов Российской Федерации в очередном финансовом году на софинансирование мероприятий, указанных в подпунктах "а" - "м" пункта 2 настоящих Правил;

- объем субсидий, распределяемых между бюджетами субъектов Российской Федерации в очередном финансовом году на софинансирование мероприятий, указанных в подпунктах "н" и "о" пункта 2 настоящих Правил.

13. Объем субсидии бюджету i-го субъекта Российской Федерации в очередном финансовом году на софинансирование мероприятий, указанных в подпунктах "а" - "м" пункта 2 настоящих Правил (С1i), определяется по формуле: (в ред. Постановления Правительства РФ от 26.12.2015 N 1452)

где:

- расчетный лимит i-го субъекта Российской Федерации в очередном финансовом году на софинансирование мероприятий, указанных в подпунктах "а" - "м" пункта 2 настоящих Правил;

- коэффициент корректировки размера субсидии, предоставляемой бюджету i-го субъекта Российской Федерации, применяемый к общему объему средств федерального бюджета, предусмотренному в федеральном законе о федеральном бюджете на соответствующий финансовый год и плановый период и лимитами бюджетных обязательств, утвержденными в установленном порядке Министерству экономического развития Российской Федерации.

14. Расчетный лимит i-го субъекта Российской Федерации в очередном финансовом году на софинансирование мероприятий, указанных в подпунктах "а" - "м" пункта 2 настоящих Правил (), определяется по формуле:

где:

- численность постоянного населения в i-м субъекте Российской Федерации на 1 января отчетного года;

Н - численность постоянного населения в Российской Федерации по состоянию на 1 января отчетного года;

- коэффициент, характеризующий уровень бюджетной обеспеченности i-го субъекта Российской Федерации на очередной финансовый год;

- коэффициент, характеризующий степень развития сектора малого и среднего предпринимательства в i-м субъекте Российской Федерации на 1 января отчетного года;

- коэффициент эффективности, характеризующий общую эффективность реализации за счет субсидии i-м субъектом Российской Федерации мероприятий, указанных в подпунктах "а" - "м" пункта 2 настоящих Правил, по состоянию на отчетную дату.

15. Коэффициент, характеризующий степень развития сектора малого и среднего предпринимательства в i-м субъекте Российской Федерации на 1 января отчетного года (), определяется следующим образом:

а) в целях расчета указанного коэффициента субъекты Российской Федерации распределяются по 4 категориям в зависимости от значения доли оборота субъектов малого и среднего предпринимательства, зарегистрированных на территории субъекта Российской Федерации, в общем объеме оборота организаций, зарегистрированных на территории субъекта Российской Федерации, и доли городского населения, зарегистрированного на территории субъекта Российской Федерации, в общей численности постоянного населения субъекта Российской Федерации по состоянию на 1 января отчетного года относительно медианного значения указанных показателей в соответствии с Правилами определения коэффициента, характеризующего степень развития сектора малого и среднего предпринимательства в субъекте Российской Федерации, согласно приложению. При расчете оборота субъектов малого и среднего предпринимательства учитывается оборот средних организаций (без налога на добавленную стоимость, акцизов и иных обязательных платежей), оборот малых предприятий (без налога на добавленную стоимость, акцизов и иных обязательных платежей), оборот микропредприятий (без налога на добавленную стоимость, акцизов и иных обязательных платежей), а также объем выручки индивидуальных предпринимателей от продажи товаров, продукции, работ и услуг (без налога на добавленную стоимость, акцизов и иных обязательных платежей). При расчете общего объема оборота организаций учитывается оборот организаций (без налога на добавленную стоимость, акцизов и иных обязательных платежей) и объем выручки индивидуальных предпринимателей от продажи товаров, продукции, работ и услуг (без налога на добавленную стоимость, акцизов и иных обязательных платежей);

б) в рамках каждой категории субъекты Российской Федерации делятся на 4 группы в зависимости от количества субъектов малого и среднего предпринимательства, зарегистрированных на территории субъекта Российской Федерации, на 1 тыс. человек городского населения, зарегистрированного на территории субъекта Российской Федерации, и среднего оборота субъектов малого и среднего предпринимательства, зарегистрированных на территории субъекта Российской Федерации по состоянию на 1 января отчетного года, в соответствии с Правилами определения коэффициента, характеризующего степень развития сектора малого и среднего предпринимательства в субъектах Российской Федерации, предусмотренными приложением к настоящим Правилам.

в) для субъектов Российской Федерации, входящих в состав Дальневосточного федерального округа, коэффициент, характеризующий степень развития сектора малого и среднего предпринимательства в субъектах Российской Федерации, на 1 января отчетного года (Кмспi) устанавливается равным 1,3 независимо от их принадлежности к группе. (в ред. Постановления Правительства РФ от 26.12.2015 N 1452)

16. Коэффициент, характеризующий уровень бюджетной обеспеченности i-го субъекта Российской Федерации на очередной финансовый год (), определяется по формуле:

при этом если , то

где:

- уровень расчетной бюджетной обеспеченности i-го субъекта Российской Федерации на очередной финансовый год, рассчитанный в соответствии с методикой распределения дотаций на выравнивание бюджетной обеспеченности субъектов Российской Федерации, утвержденной постановлением Правительства Российской Федерации от 22 ноября 2004 г. N 670 "О распределении дотаций на выравнивание бюджетной обеспеченности субъектов Российской Федерации";

- минимальное значение уровня расчетной бюджетной обеспеченности i-го субъекта Российской Федерации на очередной финансовый год, рассчитанного в соответствии с методикой распределения дотаций на выравнивание бюджетной обеспеченности субъектов Российской Федерации, утвержденной постановлением Правительства Российской Федерации от 22 ноября 2004 г. N 670 "О распределении дотаций на выравнивание бюджетной обеспеченности субъектов Российской Федерации", среди всех субъектов Российской Федерации на очередной финансовый год;

- максимальное значение уровня расчетной бюджетной обеспеченности i-го субъекта Российской Федерации на очередной финансовый год, рассчитанного в соответствии с методикой распределения дотаций на выравнивание бюджетной обеспеченности субъектов Российской Федерации, утвержденной постановлением Правительства Российской Федерации от 22 ноября 2004 г. N 670 "О распределении дотаций на выравнивание бюджетной обеспеченности субъектов Российской Федерации", среди всех субъектов Российской Федерации на очередной финансовый год.

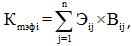
17. Коэффициент эффективности, характеризующий общую эффективность реализации i-м субъектом Российской Федерации за счет субсидии мероприятий, указанных в пункте 2 настоящих Правил, по состоянию на отчетную дату (), определяется по формуле:

где:

m - значение:

равное 1, - для субсидий, распределяемых между бюджетами субъектов Российской Федерации в очередном финансовом году на софинансирование мероприятий, указанных в подпунктах "а" - "м" пункта 2 настоящих Правил;

равное 2, - для субсидий, распределяемых между бюджетами субъектов Российской Федерации в очередном финансовом году на софинансирование мероприятий, указанных в подпунктах "н" и "о" пункта 2 настоящих Правил;

n - количество мероприятий государственной поддержки малого и среднего предпринимательства, реализованных за счет субсидии в i-м субъекте Российской Федерации по состоянию на отчетную дату;

- показатель, характеризующий общую эффективность реализации за счет субсидии j-го мероприятия государственной поддержки малого и среднего предпринимательства i-м субъектом Российской Федерации по состоянию на отчетную дату;

- доля субсидии из федерального бюджета бюджету i-го субъекта Российской Федерации на реализацию j-го мероприятия государственной поддержки малого и среднего предпринимательства в общей сумме субсидий на реализацию мероприятий государственной поддержки малого и среднего предпринимательства в i-м субъекте Российской Федерации по состоянию на отчетную дату.

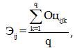
18. Показатель, характеризующий общую эффективность реализации за счет субсидии j-го мероприятия государственной поддержки малого и среднего предпринимательства i-м субъектом Российской Федерации по состоянию на отчетную дату (), определяется по формуле:

где:

q - количество показателей, используемых при оценке эффективности реализации субъектом Российской Федерации j-го мероприятия государственной поддержки малого и среднего предпринимательства за счет субсидии;

- показатель, определяющий оценку эффективности реализации j-го мероприятия государственной поддержки малого и среднего предпринимательства, реализованного за счет субсидии i-м субъектом Российской Федерации по состоянию на отчетную дату.

19. Оценка эффективности реализации j-го мероприятия государственной поддержки малого и среднего предпринимательства, реализованного за счет субсидии i-м субъектом Российской Федерации по состоянию на отчетную дату (), определяется по формуле:

где:

- фактическое значение k-го показателя результативности реализации j-го мероприятия государственной поддержки малого и среднего предпринимательства, реализованного за счет субсидии i-м субъектом Российской Федерации по состоянию на отчетную дату;

- планируемое значение k-го показателя результативности j-го мероприятия государственной поддержки малого и среднего предпринимательства за счет субсидии, установленное соглашением.

20. В целях распределения субсидии на 2015 год оценка эффективности реализации субъектом Российской Федерации мероприятий государственной поддержки малого и среднего предпринимательства за счет субсидии проводится по состоянию на 1 октября 2014 г. на основании фактического достижения значений следующих показателей результативности предоставления субсидии, установленных соглашениями, заключенными в 2013 году:

а) доля среднесписочной численности работников (без внешних совместителей) субъектов малого и среднего предпринимательства в среднесписочной численности работников (без внешних совместителей) всех предприятий и организаций;

б) доля продукции, произведенной субъектами малого и среднего предпринимательства, в общем объеме валового регионального продукта;

в) количество вновь зарегистрированных субъектов малого и среднего предпринимательства в субъекте Российской Федерации;

г) количество субъектов малого и среднего предпринимательства, которым оказана поддержка;

д) количество вновь зарегистрированных субъектов малого и среднего предпринимательства на 1 тыс. существующих субъектов малого и среднего предпринимательства.

21. В целях распределения субсидий на 2016 год оценка эффективности реализации субъектом Российской Федерации мероприятий государственной поддержки малого и среднего предпринимательства за счет субсидии проводится по состоянию на 1 октября 2015 г. на основании фактического достижения значений следующих показателей результативности предоставления субсидии, установленных соглашениями, заключенными в 2014 году:

а) доля среднесписочной численности работников (без внешних совместителей), занятых на микропредприятиях, малых и средних предприятиях и у индивидуальных предпринимателей, в общей численности занятого населения;

б) количество субъектов малого и среднего предпринимательства, получивших государственную поддержку;

в) количество субъектов малого и среднего предпринимательства (включая индивидуальных предпринимателей) в расчете на 1 тыс. человек населения субъекта Российской Федерации;

г) количество вновь созданных рабочих мест (включая вновь зарегистрированных индивидуальных предпринимателей).

22. В целях распределения субсидий на 2017 год и последующие годы оценка эффективности реализации субъектом Российской Федерации мероприятий государственной поддержки малого и среднего предпринимательства за счет субсидии проводится на основании фактического достижения значений показателей результативности использования субсидии, установленных соглашениями, заключенными в году, предшествующем предыдущему году распределения субсидии, в соответствии с отчетами, представленными в срок до 10 апреля текущего года уполномоченными органами, по состоянию на 1 апреля текущего года. (в ред. Постановления Правительства РФ от 26.12.2015 N 1452)

23. Коэффициент корректировки размера субсидии, предоставляемой бюджету i-го субъекта Российской Федерации, применяемый к общему объему средств федерального бюджета, предусмотренному федеральным законом о федеральном бюджете на соответствующий финансовый год и плановый период и лимитами бюджетных обязательств, утвержденными в установленном порядке Министерству экономического развития Российской Федерации (), определяется по формуле: (в ред. Постановления Правительства РФ от 26.12.2015 N 1452)

, (в ред. Постановления Правительства РФ от 26.12.2015 N 1452)

где:

- объем субсидий, распределяемых между бюджетами субъектов Российской Федерации в очередном финансовом году на софинансирование мероприятий, предусмотренных пунктом 2 настоящих Правил; (в ред. Постановления Правительства РФ от 26.12.2015 N 1452)

- расчетный лимит i-го субъекта Российской Федерации в очередном финансовом году. (в ред. Постановления Правительства РФ от 26.12.2015 N 1452)

24. Объем субсидии бюджету i-го субъекта Российской Федерации в очередном финансовом году на софинансирование мероприятий, указанных в подпунктах "н" и "о" пункта 2 настоящих Правил (), определяется по формуле:

где - расчетный лимит i-го субъекта Российской Федерации в очередном финансовом году на софинансирование мероприятий, указанных в подпунктах "н" и "о" пункта 2 настоящих Правил.

25. Расчетный лимит i-го субъекта Российской Федерации в очередном финансовом году на софинансирование мероприятий, указанных в подпунктах "н" и "о" пункта 2 настоящих Правил (), определяется по формуле: (в ред. Постановления Правительства РФ от 26.12.2015 N 1452)

, (в ред. Постановления Правительства РФ от 26.12.2015 N 1452)

где - повышающий коэффициент: (в ред. Постановления Правительства РФ от 26.12.2015 N 1452)

равный 1,3, - для субъектов Российской Федерации, входящих в состав Дальневосточного федерального округа; (в ред. Постановления Правительства РФ от 26.12.2015 N 1452)

равный 1, - для субъектов Российской Федерации, не входящих в состав Дальневосточного федерального округа. (в ред. Постановления Правительства РФ от 26.12.2015 N 1452)

26. Конкурсная комиссия до заключения соглашения принимает решение о сокращении размера субсидии в текущем или очередном финансовом году или об аннулировании ранее принятых решений о признании конкурсных заявок победителями конкурсного отбора в случае нарушения субъектом Российской Федерации условий соглашений, заключенных в течение 2 лет, предшествующих текущему финансовому году, в части расходования предоставленных субсидий либо в случае выявления в порядке, определенном законодательством Российской Федерации, федеральным органом исполнительной власти, осуществляющим функции по контролю и надзору в финансово-бюджетной сфере, и (или) Счетной палатой Российской Федерации факта бюджетного нарушения со стороны субъекта Российской Федерации, за совершение которого Бюджетным кодексом Российской Федерации предусмотрено применение бюджетных мер принуждения, по соглашениям, заключенным в течение 2 предшествующих лет. (в ред. Постановлений Правительства РФ от 26.12.2015 N 1452, от 25.05.2016 N 464)

Конкурсная комиссия принимает решение о перераспределении годовых объемов субсидий (далее - невостребованные субсидии) в следующем случае: (в ред. Постановления Правительства РФ от 26.12.2015 N 1452)

некоторые субъекты Российской Федерации не представили конкурсные заявки на конкурсный отбор; (в ред. Постановления Правительства РФ от 26.12.2015 N 1452)

конкурсные заявки некоторых субъектов Российской Федерации были отклонены как не соответствующие требованиям и условиям предоставления субсидии, требованиям, условиям и критериям конкурсного отбора; (в ред. Постановления Правительства РФ от 26.12.2015 N 1452)

некоторые субъекты Российской Федерации не представили или предоставили не в полном объеме в Министерство экономического развития Российской Федерации документы, необходимые для получения субсидии; (в ред. Постановления Правительства РФ от 26.12.2015 N 1452)

документы, представленные для получения субсидии, содержат недостоверные сведения; (в ред. Постановления Правительства РФ от 26.12.2015 N 1452)

имеются нарушения, предусмотренные абзацем первым настоящего пункта. (в ред. Постановления Правительства РФ от 26.12.2015 N 1452)

Объем невостребованных субсидий в текущем финансовом году увеличивается по решению конкурсной комиссии в случаях, предусмотренных абзацами третьим - седьмым настоящего пункта. (в ред. Постановления Правительства РФ от 26.12.2015 N 1452)

Объем невостребованных субсидий по решению конкурсной комиссии распределяется между бюджетами субъектов Российской Федерации, представивших на конкурсный отбор конкурсные заявки, соответствующие требованиям и условиям предоставления субсидии, требованиям, условиям и критериям конкурсного отбора. (в ред. Постановления Правительства РФ от 26.12.2015 N 1452)

27. Распределение невостребованных субсидий осуществляется в следующем порядке:

а) невостребованные субсидии по мероприятиям, указанным в подпунктах "а" - "м" пункта 2 настоящих Правил (), распределяются между бюджетами субъектов Российской Федерации, имеющих право на получение субсидии в соответствии с настоящими Правилами, с учетом значения коэффициента эффективности, характеризующего общую эффективность реализации за счет субсидии i-м субъектом Российской Федерации мероприятий, указанных в подпунктах "а" - "м" пункта 2 настоящих Правил. Распределение таких невостребованных субсидий осуществляется в порядке убывания значения коэффициента эффективности, характеризующего общую эффективность реализации за счет субсидии i-м субъектом Российской Федерации указанных мероприятий путем последовательного исключения заявок субъектов Российской Федерации с наибольшими значениями коэффициента эффективности, характеризующего общую эффективность реализации за счет субсидии i-м субъектом Российской Федерации таких мероприятий, и до полного распределения объема невостребованных субсидий. В случае равенства значений коэффициента эффективности двух и более субъектов Российской Федерации объем невостребованных субсидий делится между указанными субъектами Российской Федерации пропорционально объему заявок. В приоритетном порядке удовлетворяются заявки субъектов Российской Федерации на софинансирование мероприятий поддержки субъектов малого и среднего предпринимательства в рамках реализации муниципальных программ (подпрограмм) развития малого и среднего предпринимательства в монопрофильных муниципальных образованиях;

б) невостребованные субсидии по мероприятиям, указанным в подпунктах "н" и "о" пункта 2 настоящих Правил (), распределяются между бюджетами субъектов Российской Федерации, имеющих право на получение субсидии в соответствии с настоящими Правилами, с учетом значения коэффициента эффективности, характеризующего общую эффективность реализации за счет субсидии i-м субъектом Российской Федерации мероприятий, указанных в подпунктах "н" и "о" пункта 2 настоящих Правил. Распределение таких невостребованных субсидий осуществляется в порядке убывания значения коэффициента эффективности, характеризующего общую эффективность реализации за счет субсидии i-м субъектом Российской Федерации, путем последовательного исключения заявок субъектов Российской Федерации с наибольшими значениями коэффициента эффективности, характеризующего общую эффективность реализации за счет субсидии i-м субъектом Российской Федерации таких мероприятий. В случае равенства значений коэффициента эффективности двух и более субъектов Российской Федерации объем невостребованных субсидий делится между указанными субъектами Российской Федерации пропорционально объему заявок. В приоритетном порядке удовлетворяются заявки субъектов Российской Федерации на софинансирование мероприятий по созданию и (или) развитию инфраструктуры поддержки субъектов малого предпринимательства, оказывающей имущественную поддержку, - бизнес-инкубаторов, и инфраструктуры поддержки субъектов малого и среднего предпринимательства, оказывающей имущественную поддержку, - промышленных парков, индустриальных парков, агропромышленных парков, технопарков, указанных в подпунктах "н" и "о" пункта 2 настоящих Правил, завершение создания которых необходимо в рамках ранее заключенных соглашений.

28. Критериями конкурсного отбора субъектов Российской Федерации, бюджетам которых предоставляются субсидии, являются:

а) соответствие мероприятий, предусмотренных государственными программами (подпрограммами) субъектов Российской Федерации и (или) муниципальными программами (подпрограммами), на которые предоставляются субсидии, целям, указанным в пункте 2 настоящих Правил;

б) соблюдение условий предоставления субсидий, указанных в пункте 11 настоящих Правил;

в) наличие согласия субъекта Российской Федерации с условиями конкурсного отбора;

г) наличие обязательства субъекта Российской Федерации по обеспечению соответствия значений показателей, устанавливаемых государственными программами (подпрограммами) субъекта Российской Федерации и (или) муниципальными программами (подпрограммами), содержащими мероприятия, направленные на развитие малого и среднего предпринимательства, значениям показателей результативности использования субсидий, установленных соглашениями;

д) определение органа исполнительной власти субъекта Российской Федерации, уполномоченного высшим исполнительным органом государственной власти субъекта Российской Федерации на взаимодействие с Министерством экономического развития Российской Федерации по реализации мероприятий государственной поддержки малого и среднего предпринимательства (далее - уполномоченный орган);

е) наличие обязательства субъекта Российской Федерации по обеспечению размещения в региональных и муниципальных информационных системах, на официальных сайтах информационной поддержки субъектов малого и среднего предпринимательства в информационно-телекоммуникационной сети "Интернет" и в иных информационно-телекоммуникационных сетях на постоянной основе следующей информации:

об условиях и порядке предоставления и распределения субсидий;

об объемах средств федерального бюджета, бюджета субъекта Российской Федерации, местных бюджетов, предусмотренных на государственную поддержку малого и среднего предпринимательства, по каждым виду и форме такой поддержки с указанием нераспределенного объема средств;

о рассмотрении обращений субъектов малого и среднего предпринимательства за оказанием государственной поддержки малого и среднего предпринимательства с указанием вида, формы поддержки, сроков и хода рассмотрения обращений, а также решений, принятых по указанным обращениям;

ж) наличие обязательства субъекта Российской Федерации по исполнению законодательства Российской Федерации о контрактной системе в сфере закупок товаров, работ, услуг для обеспечения государственных и муниципальных нужд, в случае если такие закупки предусмотрены при использовании субсидии;

з) соблюдение в отношении субсидий, распределяемых между бюджетами субъектов Российской Федерации в очередном финансовом году на софинансирование мероприятий, указанных в подпунктах "а" - "м" пункта 2 настоящих Правил, следующих условий:

субъектами Российской Федерации, относящимися к первой группе, не менее 50 процентов заявок, представленных на конкурсный отбор, направляется на реализацию одного или нескольких мероприятий в соответствии с подпунктами "а", "в", "г", "з", "л" пункта 2 настоящих Правил;

субъектами Российской Федерации, относящимися ко второй группе, не менее 50 процентов заявок, представленных на конкурсный отбор, направляется на реализацию одного или нескольких мероприятий в соответствии с подпунктами "а", "в", "г", "з", "л" пункта 2 настоящих Правил;

субъектами Российской Федерации, относящимися к третьей группе, не менее 20 процентов заявок, представленных на конкурсный отбор, направляется на реализацию одного или нескольких мероприятий в соответствии с подпунктам "а", "б", "д", "е", "з", "л" пункта 2 настоящих Правил;

субъектами Российской Федерации, относящимися к четвертой группе, не менее 50 процентов заявок, представленных на конкурсный отбор, направляется на реализацию одного или нескольких мероприятий в соответствии с подпунктами "а", "б", "в", "г", "д", "е", "з", "л" пункта 2 настоящих Правил.

29. Уровень софинансирования расходных обязательств субъекта Российской Федерации за счет субсидий () определяется по формуле:

Уровень софинансирования расходных обязательств субъектов Российской Федерации за счет субсидии не может быть менее 80 процентов и более 95 процентов расходного обязательства субъекта Российской Федерации.

Уровень софинансирования расходных обязательств субъектов Российской Федерации за счет невостребованных субсидий устанавливается в размере 95 процентов расходного обязательства субъекта Российской Федерации.

30. В случае если размер бюджетных ассигнований, предусмотренных в бюджете субъекта Российской Федерации на реализацию мероприятий, указанных в пункте 2 настоящих Правил, не позволяет обеспечить установленный для субъекта Российской Федерации уровень софинансирования, размер субсидии, предоставляемой бюджету субъекта Российской Федерации, подлежит сокращению с целью обеспечения соответствующего уровня софинансирования, а высвобождающиеся средства перераспределяются между бюджетами других субъектов Российской Федерации, имеющих право на получение невостребованных субсидий в порядке, установленном пунктом 27 настоящих Правил.

31. В случае несоблюдения субъектом Российской Федерации требований и условий предоставления субсидии, а также критериев конкурсного отбора перечисление субсидии приостанавливается в соответствии с порядком, установленным Министерством финансов Российской Федерации.

В случае неустранения субъектом Российской Федерации допущенных нарушений требований и условий предоставления субсидий, а также критериев конкурсного отбора неиспользованный объем субсидии перераспределяется между бюджетами других субъектов Российской Федерации, имеющих право на получение невостребованных субсидий в порядке, установленном пунктом 27 настоящих Правил.

32. В случае если субъектом Российской Федерации по состоянию на 31 декабря года предоставления субсидии допущены нарушения обязательств по выполнению показателей результативности использования субсидии и в срок до 1 апреля года, следующего за годом предоставления субсидии, указанные нарушения не устранены, субъект Российской Федерации обеспечивает возврат в доход федерального бюджета в срок до 1 июня текущего финансового года размера средств (), рассчитанного по формуле:

где:

- размер субсидии, предоставленной бюджету субъекта Российской Федерации;

k - коэффициент возврата субсидии;

p - количество показателей результативности использования субсидии, по которым индекс, отражающий уровень недостижения i-го показателя результативности использования субсидии, имеет положительное значение;

n - общее количество показателей результативности использования субсидии.

Коэффициент возврата субсидии (k) рассчитывается по формуле:

где - индекс, отражающий уровень недостижения i-го показателя результативности использования субсидии.

При расчете коэффициента возврата субсидии используются только положительные значения индекса, отражающего уровень недостижения i-го показателя результативности использования субсидии.

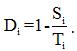
Индекс, отражающий уровень недостижения i-го показателя результативности использования субсидии (), определяется:

для показателей результативности использования субсидий, по которым большее значение фактически достигнутого значения отражает большую эффективность использования субсидии, - по формуле:

где:

- фактически достигнутое значение i-го показателя результативности использования субсидии на отчетную дату;

- плановое значение i-го показателя результативности использования субсидии, установленное соглашением;

для показателей результативности использования субсидий, по которым большее значение фактически достигнутого значения отражает меньшую эффективность использования субсидии, - по формуле:

Основанием для освобождения субъектов Российской Федерации от применения мер ответственности, предусмотренных настоящим пунктом, является документальное подтверждение наступления обстоятельств непреодолимой силы, препятствующих исполнению соответствующих обязательств. (в ред. Постановления Правительства РФ от 26.12.2015 N 1452)

33. В случае если субъектом Российской Федерации по состоянию на 31 декабря года предоставления субсидии допущены нарушения обязательств по соблюдению графика выполнения мероприятий по проектированию и (или) строительству (реконструкции, в том числе с элементами реставрации, техническому перевооружению) и (или) приобретению объектов недвижимого имущества, предусмотренных соглашением на реализацию мероприятий, указанных в подпунктах "н" и "о" пункта 2 настоящих Правил, и в срок до 1 апреля года, следующего за годом предоставления субсидии, указанные нарушения не устранены, размер субсидии, предоставленной субъекту Российской Федерации из федерального бюджета на софинансирование капитальных вложений в объекты государственной собственности субъектов Российской Федерации (муниципальной собственности), по которым допущено нарушение графика, подлежит возврату из бюджета субъекта Российской Федерации в федеральный бюджет в срок до 1 мая текущего финансового года. (в ред. Постановления Правительства РФ от 26.12.2015 N 1452)

В случае неперечисления соответствующего размера субсидии, подлежащего возврату в федеральный бюджет, средства взыскиваются в федеральный бюджет в порядке, установленном Министерством финансов Российской Федерации.

Основаниями для освобождения субъектов Российской Федерации от применения мер ответственности, предусмотренных настоящим пунктом, является исключительно документальное подтверждение наступления обстоятельств непреодолимой силы, препятствующих исполнению соответствующих обязательств.

Действие пунктов 32 - 33 распространяется на соглашения, заключенные после 01.01.2015 (пункт 7)

34. Возврат и последующее использование средств, перечисленных из бюджетов субъектов Российской Федерации в федеральный бюджет, осуществляется по предложению Министерства экономического развития Российской Федерации в порядке, установленном бюджетным законодательством Российской Федерации.

35. Предоставление субсидии бюджету субъекта Российской Федерации осуществляется на основании соглашения, предусматривающего:

а) реквизиты правового акта субъекта Российской Федерации, устанавливающего расходное обязательство субъекта Российской Федерации, в целях софинансирования которого предоставляется субсидия;

б) размер предоставляемой субсидии, условия предоставления и расходования субсидии, порядок, условия и сроки ее перечисления в бюджет субъекта Российской Федерации;

в) целевое назначение субсидии;

г) определение уполномоченного органа;

д) объем бюджетных ассигнований бюджета субъекта Российской Федерации и (или) муниципальных бюджетов на реализацию соответствующих расходных обязательств. Объем бюджетных ассигнований бюджета субъекта Российской Федерации на финансирование расходного обязательства субъекта Российской Федерации, софинансируемого за счет субсидии, утверждается законом субъекта Российской Федерации о бюджете субъекта Российской Федерации исходя из значения уровня софинансирования расходного обязательства и необходимости достижения органами государственной власти субъекта Российской Федерации установленных соглашением значений показателей результативности использования субсидии;

е) сроки и порядок представления отчетности об осуществлении расходов бюджета субъекта Российской Федерации, источником финансового обеспечения которых является субсидия, об использовании субсидии, а также о достижении показателей результативности использования субсидии;

ж) значения показателей результативности использования субсидии, указанных в пунктах 43, 50 - 62 настоящих Правил, и обязательство субъекта Российской Федерации по обеспечению их достижения;

з) порядок осуществления контроля за выполнением субъектом Российской Федерации обязательств, предусмотренных соглашением, а также основания и порядок приостановления и прекращения предоставления субсидии;

и) ответственность сторон за нарушение условий соглашения;

к) последствия неисполнения субъектами Российской Федерации условий соглашения, а также недостижения значений показателей результативности использования субсидии, установленных соглашением;

л) обязательство субъекта Российской Федерации по обеспечению соответствия значений показателей, устанавливаемых государственными программами (подпрограммами) субъекта Российской Федерации и (или) муниципальными программами (подпрограммами), значениям показателей результативности использования субсидии, установленным соглашением;

м) обязательство субъекта Российской Федерации об исполнении законодательства Российской Федерации о контрактной системе в сфере закупок товаров, работ, услуг для обеспечения государственных и муниципальных нужд, в случае если такие закупки предусмотрены при использовании субсидии;

н) обязательство субъекта Российской Федерации по предоставлению отчетности на основании отдельного запроса Министерства экономического развития Российской Федерации в период действия соглашения;

о) обязательство о представлении уполномоченным органом выписки из закона субъекта Российской Федерации, подтверждающей включение в бюджет субъекта Российской Федерации (местный бюджет) средств из федерального бюджета на финансирование мероприятий, предусмотренных соглашением, в срок не более 3 месяцев со дня заключения соглашения;

п) обязательство субъекта Российской Федерации по согласованию с Министерством экономического развития Российской Федерации в случаях, предусмотренных федеральными законами, внесения изменений в мероприятия государственной программы (подпрограммы) и (или) муниципальной программы (подпрограммы), софинансируемые за счет субсидии, которые влекут изменение объемов финансирования и (или) показателей результативности и (либо) изменение состава мероприятий указанных программ, на которые предоставляются субсидии; (в ред. Постановления Правительства РФ от 26.12.2015 N 1452)

р) при предоставлении субсидии на реализацию мероприятий, указанных в подпунктах "в" и "ж" пункта 2 настоящих Правил, и при использовании средств в рамках субсидии на приобретение оборудования и (или) программного обеспечения:

график выполнения мероприятий по приобретению, установке и вводу в эксплуатацию оборудования и (или) программного обеспечения;

сроки и порядок представления уполномоченным органом отчетности Министерству экономического развития Российской Федерации об исполнении графика выполнения мероприятий по приобретению, установке и вводу в эксплуатацию оборудования и (или) программного обеспечения;

последствия несоблюдения субъектом Российской Федерации графика выполнения мероприятий по приобретению, установке и вводу в эксплуатацию оборудования и (или) программного обеспечения;

обязательство субъекта Российской Федерации о целевом использовании приобретаемого оборудования и (или) программного обеспечения;

с) при предоставлении субсидии на реализацию мероприятий, указанных в подпунктах "н" и "о" пункта 2 настоящих Правил:

перечень объектов капитального строительства с указанием сведений об объектах капитального строительства - наименования, адреса (при наличии), сведений о мощности, стоимости (предельной стоимости), сроков строительства (реконструкции, в том числе с элементами реставрации, технического перевооружения), капитального ремонта объектов капитального строительства и ввода объекта в эксплуатацию;

обязательство субъекта Российской Федерации по соблюдению графика выполнения мероприятий по проектированию и (или) строительству (реконструкции, в том числе с элементами реставрации, техническому перевооружению) и (или) приобретению объектов недвижимого имущества и (либо) графика выполнения мероприятий по капитальному ремонту, вводу в эксплуатацию объектов капитального строительства, приобретению, установке и вводу в эксплуатацию оборудования и (или) программного обеспечения, размещению резидентов в пределах установленной стоимости строительства (реконструкции, в том числе с элементами реставрации, техническому перевооружению);

сроки и порядок представления уполномоченным органом отчетности Министерству экономического развития Российской Федерации об исполнении графика выполнения мероприятий по проектированию и (или) строительству (реконструкции, в том числе с элементами реставрации, техническому перевооружению) и (или) приобретению объектов недвижимого имущества и (или) графика по приобретению, установке и вводу в эксплуатацию оборудования и (или) программного обеспечения; (в ред. Постановления Правительства РФ от 26.12.2015 N 1452)

последствия несоблюдения субъектом Российской Федерации графика выполнения мероприятий по проектированию и (или) строительству (реконструкции, в том числе с элементами реставрации, техническому перевооружению) и (или) приобретению объектов недвижимого имущества и (или) графика по приобретению, установке и вводу в эксплуатацию оборудования и (или) программного обеспечения; (в ред. Постановления Правительства РФ от 26.12.2015 N 1452)

обязательство субъекта Российской Федерации о целевом использовании объектов капитального строительства и невозможности изменения целевого использования, отчуждения (возможности отчуждения), обременения (возможности обременения) объектов капитального строительства;

график выполнения мероприятий по проектированию и (или) строительству (реконструкции, в том числе с элементами реставрации, техническому перевооружению) и (или) приобретению объектов недвижимого имущества и (или) графика по приобретению, установке и вводу в эксплуатацию оборудования и (или) программного обеспечения; (в ред. Постановления Правительства РФ от 26.12.2015 N 1452)

обязательство субъекта Российской Федерации по использованию типовой проектной документации, которая разработана для аналогичного объекта капитального строительства и информация о которой внесена в реестр типовой проектной документации (при наличии такой документации), - в отношении субсидии, за счет которой осуществляется софинансирование строительства объектов капитального строительства; (в ред. Постановления Правительства РФ от 26.12.2015 N 1452)

т) обязательство субъекта Российской Федерации по формированию и ведению реестра получателей;

у) иные условия, относящиеся к предмету соглашения.

36. Заключение соглашений осуществляется не позднее 15 августа текущего финансового года. (в ред. Постановления Правительства РФ от 26.12.2015 N 1452)

Министерство экономического развития Российской Федерации вправе заключать соглашения с субъектами Российской Федерации по мероприятиям, указанным в подпунктах "в", "н" и "о" пункта 2 настоящих Правил, на срок реализации мероприятия, но не более чем на 3 года, в соответствии с формой соглашения, согласованной с Министерством финансов Российской Федерации, и включать в соглашение иные условия, которые определяют порядок предоставления субсидии.

При этом перечисление субсидий бюджетам субъектов Российской Федерации осуществляется ежегодно в соответствии с федеральным законом о федеральном бюджете на соответствующий финансовый год и плановый период.

Внесение в соглашение изменений, предусматривающих ухудшение значений показателей результативности использования субсидии, а также увеличение сроков реализации предусмотренных соглашением мероприятий не допускается в течение всего периода действия соглашения, за исключением случаев, когда выполнение условий предоставления субсидии оказалось невозможным вследствие обстоятельств непреодолимой силы, а также в случае существенного (более чем на 20 процентов) сокращения размера субсидии.

37. Основаниями для отказа в заключении соглашения являются:

а) непредставление или представление в неполном объеме документов, необходимых для получения субсидии; (в ред. Постановления Правительства РФ от 26.12.2015 N 1452)

б) недостоверность сведений, указанных в представленных документах.

в) выявление федеральным органом исполнительной власти, осуществляющим функции по контролю и надзору в финансово-бюджетной сфере, и (или) Счетной палатой Российской Федерации в порядке, определенном законодательством Российской Федерации, факта бюджетного нарушения, за совершение которого Бюджетным кодексом Российской Федерации предусмотрено применение бюджетных мер принуждения, и предоставление указанными органами финансового контроля в Министерство экономического развития Российской Федерации соответствующего заключения, а также выявление факта нарушения субъектом Российской Федерации условий соглашений, заключенных в течение 2 лет, предшествующих текущему финансовому году, в части расходования предоставленных субсидий. (в ред. Постановлений Правительства РФ от 26.12.2015 N 1452, от 25.05.2016 N 464)

38. Перечисление субсидий бюджетам субъектов Российской Федерации осуществляется в установленном порядке на счета территориальных органов Федерального казначейства, открытые для учета поступлений и их распределения между бюджетами бюджетной системы Российской Федерации, для последующего перечисления в установленном порядке в бюджеты субъектов Российской Федерации.

Высший исполнительный орган государственной власти субъекта Российской Федерации несет ответственность за своевременность и полноту финансового обеспечения расходов, подлежащих осуществлению за счет средств бюджетов субъектов Российской Федерации и местных бюджетов, предоставляемых на государственную поддержку малого и среднего предпринимательства, и субсидии.

В случае принятия Министерством экономического развития Российской Федерации решения о передаче полномочий получателя средств федерального бюджета по перечислению субсидий территориальному органу Федерального казначейства перечисление субсидий осуществляется на счета территориальных органов Федерального казначейства, открытые для учета операций со средствами, поступающими в бюджеты субъектов Российской Федерации, в порядке, установленном Федеральным казначейством. (в ред. Постановления Правительства РФ от 26.12.2015 N 1452)

39. Для получения субсидии уполномоченный орган субъекта Российской Федерации представляет в Министерство экономического развития Российской Федерации заявку на перечисление субсидии (аванса) в бюджет субъекта Российской Федерации.

Операции по кассовым расходам бюджетов субъектов Российской Федерации, источником финансового обеспечения которых являются субсидии, в том числе их остатки, не использованные на начало текущего финансового года, учитываются в соответствии с требованиями, установленными бюджетным законодательством Российской Федерации и федеральным законом о федеральном бюджете на текущий финансовый год и плановый период.

40. Уполномоченный орган представляет в Министерство экономического развития Российской Федерации в электронном и бумажном виде отчеты, указанные в пункте 8 настоящих Правил (далее - отчеты). (в ред. Постановления Правительства РФ от 26.12.2015 N 1452)

Отчеты заполняются уполномоченными органами в электронном виде в распределенной автоматизированной информационной системе поддержки малого и среднего предпринимательства (http://ais.economy.gov.ru), в бумажном виде подписываются руководителем уполномоченного органа. (в ред. Постановления Правительства РФ от 26.12.2015 N 1452)

Отчеты, указанные в абзацах втором и третьем подпункта "г" пункта 8 настоящих Правил, составляются нарастающим итогом по состоянию на 1-е число месяца, следующего за отчетным кварталом, и представляются в срок до 10-го числа месяца, следующего за отчетным кварталом, в случае наличия факта осуществления кассового расхода за счет средств субъекта Российской Федерации и за счет средств субсидии, при этом отчеты за 4 квартал представляются в срок до 20 января года, следующего за годом предоставления субсидии, независимо от наличия факта осуществления кассового расхода за счет средств субъекта Российской Федерации и за счет средств субсидии. (в ред. Постановления Правительства РФ от 26.12.2015 N 1452)

Отчеты, указанные в подпункте "в" и абзацах четвертом и шестом подпункта "г" пункта 8 настоящих Правил, представляются уполномоченным органом в срок до 20 января года, следующего за годом предоставления субсидии. (в ред. Постановления Правительства РФ от 26.12.2015 N 1452)

41. Министерство экономического развития Российской Федерации вправе перечислить в бюджеты субъектов Российской Федерации субсидии на мероприятия, указанные в пункте 2 настоящих Правил, в размере до 60 процентов объема бюджетных ассигнований, предусмотренных Министерству экономического развития Российской Федерации в федеральном законе о федеральном бюджете на текущий финансовый год, в соответствии с соглашениями и на основании заявок субъектов Российской Федерации на перечисление субсидии (аванса).

42. Министерство экономического развития Российской Федерации осуществляет контроль за выполнением обязательств субъектами Российской Федерации по достижению значений показателей результативности использования субсидии в отчетном году в соответствии с отчетами о достижении значений показателей результативности использования субсидий, представленными субъектами Российской Федерации.

43. Эффективность использования субсидии субъектами Российской Федерации оценивается Министерством экономического развития Российской Федерации на основании фактического достижения:

а) следующих показателей результативности использования субсидии, которые являются обязательными для выполнения в рамках реализации мероприятий, указанных в разделе II настоящих Правил:

количество вновь созданных рабочих мест (включая вновь зарегистрированных индивидуальных предпринимателей) субъектами малого и среднего предпринимательства, получившими государственную поддержку;

исполнение расходных обязательств за счет субсидии, предоставленной в текущем финансовом году из федерального бюджета на реализацию мероприятия;

б) индивидуальных показателей результативности использования субсидии в соответствии с разделом II настоящих Правил.

44. Министерство экономического развития Российской Федерации принимает решение о подтверждении потребности в неиспользованной субсидии в соответствии с бюджетным законодательством Российской Федерации.

45. Не использованные по состоянию на 1 января текущего финансового года остатки субсидии, предоставленные из федерального бюджета бюджетам субъектов Российской Федерации, при отсутствии решения Министерства экономического развития Российской Федерации, принятого в соответствии с пунктом 44 настоящих Правил, подлежат возврату в федеральный бюджет с учетом общих требований, установленных Министерством финансов Российской Федерации.

46. В случае если неиспользованный остаток субсидий не перечислен в доход федерального бюджета, указанные средства подлежат взысканию в доход федерального бюджета в порядке, установленном Министерством финансов Российской Федерации.

Основаниями для освобождения субъектов Российской Федерации от применения мер принуждения, предусмотренных настоящим пунктом, является исключительно документальное подтверждение наступления обстоятельств непреодолимой силы, препятствующих исполнению соответствующих обязательств.

47. Контроль за соблюдением субъектами Российской Федерации условий предоставления субсидий осуществляется Министерством экономического развития Российской Федерации и федеральным органом исполнительной власти, осуществляющим функции по контролю и надзору в финансово-бюджетной сфере. (в ред. Постановления Правительства РФ от 25.05.2016 N 464)

48. Ответственность за соблюдение настоящих Правил, осуществление расходов бюджетов субъектов Российской Федерации, источником финансового обеспечения которых являются субсидии, в том числе за их целевое использование, а также за достоверность представляемых сведений несут субъекты Российской Федерации.

49. В случае нецелевого использования субсидии и (или) нарушения субъектом Российской Федерации условий предоставления субсидии, и (или) условий и требований настоящих Правил, и (или) условий соглашения Министерство экономического развития Российской Федерации в срок до 30 дней со дня выявления одного или нескольких из таких фактов направляет соответствующую информацию в федеральный орган исполнительной власти, осуществляющий функции по контролю и надзору в финансово-бюджетной сфере, Счетную палату Российской Федерации и Министерство финансов Российской Федерации для принятия соответствующего решения в установленном порядке. (в ред. Постановлений Правительства РФ от 26.12.2015 N 1452, от 25.05.2016 N 464)

Решение о приостановлении предоставления субсидии бюджету субъекта Российской Федерации и (или) применении бюджетных мер принуждения, в том числе в виде бесспорного взыскания предоставленной субсидии, не принимается в случае, если условия предоставления субсидии были не выполнены в силу обстоятельств непреодолимой силы.

II. Мероприятия, осуществляемые в рамках государственной поддержки малого и среднего предпринимательства в субъектах Российской Федерации

50. Создание и (или) развитие инфраструктуры поддержки субъектов малого и среднего предпринимательства, направленной на содействие развития системы кредитования, включают в себя:

а) предоставление субсидии субъекту Российской Федерации на реализацию мероприятия по созданию и (или) развитию гарантийных фондов, фондов поручительств как юридических лиц, одним из учредителей (участников) или акционеров которых является субъект Российской Федерации, созданных для обеспечения доступа субъектов малого и среднего предпринимательства и организаций инфраструктуры поддержки субъектов малого и среднего предпринимательства к кредитным и иным финансовым ресурсам, развитию системы гарантий и поручительств по обязательствам субъектов малого и среднего предпринимательства и инфраструктуры поддержки малого и среднего предпринимательства, основанным на кредитных договорах, договорах займа, финансовой аренды (лизинга), договорах о предоставлении банковской гарантии и иных договорах.

Индивидуальными показателями результативности использования субсидии в рамках реализации этого мероприятия являются:

количество субъектов малого и среднего предпринимательства, получивших государственную поддержку;

объем выданных гарантий и (или) поручительств субъектам малого и среднего предпринимательства;

отношение объема выданных кредитов субъектам малого и среднего предпринимательства под гарантии (поручительства) гарантийной организации к совокупному размеру средств гарантийного фонда, сформированному за счет субсидий, предоставленных из бюджетов всех уровней, а также доходов от операционной и финансовой деятельности.

Министерство экономического развития Российской Федерации устанавливает требования к гарантийным фондам и фондам поручительств;

б) предоставление субсидии субъекту Российской Федерации на реализацию мероприятия по созданию и (или) развитию микрофинансовых организаций как юридических лиц, одним из учредителей (участников) или акционеров которых является субъект Российской Федерации, созданных для обеспечения доступа субъектов малого и среднего предпринимательства и организаций инфраструктуры поддержки малого и среднего предпринимательства к финансовым ресурсам посредством предоставления микрозаймов субъектам малого и среднего предпринимательства и организациям инфраструктуры поддержки малого и среднего предпринимательства.

Индивидуальными показателями результативности использования субсидии в рамках реализации этого мероприятия являются:

количество субъектов малого и среднего предпринимательства, получивших государственную поддержку;

объем выданных микрозаймов субъектам малого и среднего предпринимательства;

отношение объема выданных микрозаймов субъектам малого и среднего предпринимательства к совокупному размеру средств микрофинансовой организации, сформированному за счет субсидий, предоставленных из бюджетов всех уровней, а также доходов от операционной и финансовой деятельности.

Министерство экономического развития Российской Федерации устанавливает требования к микрофинансовым организациям;

в) предоставление субсидии субъекту Российской Федерации на реализацию мероприятия по созданию и (или) развитию микрофинансовых организаций второго уровня как юридических лиц, одним из учредителей (участников) или акционеров которых является субъект Российской Федерации, созданных для обеспечения доступа субъектов малого и среднего предпринимательства и организаций инфраструктуры поддержки малого и среднего предпринимательства к финансовым ресурсам посредством формирования (пополнения) фондов микрофинансовых организаций и кредитных потребительских кооперативов для выдачи в дальнейшем микрозаймов субъектам малого и среднего предпринимательства и организациям инфраструктуры поддержки малого и среднего предпринимательства.

Индивидуальными показателями результативности использования субсидии в рамках этого мероприятия являются:

количество субъектов малого и среднего предпринимательства, получивших государственную поддержку;

объем выданных микрозаймов субъектам малого и среднего предпринимательства;

отношение объема выданных микрозаймов субъектам малого и среднего предпринимательства к совокупному объему средств микрофинансовой организации, сформированному за счет субсидий, предоставленных из бюджетов всех уровней, а также доходов от операционной и финансовой деятельности.

Министерство экономического развития Российской Федерации устанавливает требования к микрофинансовым организациям второго уровня.

51. Создание и (или) развитие инфраструктуры поддержки субъектов малого и среднего предпринимательства, деятельность которой направлена на оказание консультационной поддержки, включают в себя: (в ред. Постановления Правительства РФ от 26.12.2015 N 1452)

а) предоставление субсидии субъекту Российской Федерации на реализацию мероприятия по созданию и (или) развитию центров поддержки предпринимательства как юридических лиц или структурных подразделений юридических лиц, которые относятся к инфраструктуре поддержки малого и среднего предпринимательства и одним из учредителей которых является субъект Российской Федерации, для оказания комплекса информационно-консультационных услуг, направленных на содействие развитию субъектов малого и среднего предпринимательства.

Индивидуальными показателями результативности использования субсидии в рамках реализации этого мероприятия являются:

количество субъектов малого и среднего предпринимательства, получивших государственную поддержку;

количество проведенных консультаций и мероприятий для субъектов малого и среднего предпринимательства.

Министерство экономического развития Российской Федерации устанавливает требования к центрам поддержки предпринимательства;

б) предоставление субсидии субъекту Российской Федерации на реализацию мероприятия по созданию и (или) развитию центров (агентств) координации поддержки экспортно ориентированных субъектов малого и среднего предпринимательства как юридических лиц или структурных подразделений юридических лиц, которые относятся к инфраструктуре поддержки малого и среднего предпринимательства или инфраструктуре поддержки внешнеэкономической деятельности и одним из учредителей которых является субъект Российской Федерации, для оказания информационно-аналитической, консультационной и организационной поддержки внешнеэкономической деятельности субъектов малого и среднего предпринимательства, содействия привлечению инвестиций и выходу экспортно ориентированных субъектов малого и среднего предпринимательства на международные рынки.

Индивидуальными показателями результативности использования субсидии в рамках реализации этого мероприятия являются:

количество субъектов малого и среднего предпринимательства, получивших государственную поддержку;

количество проведенных консультаций и мероприятий для субъектов малого и среднего предпринимательства;

количество заключенных субъектами малого и среднего предпринимательства договоров на поставку товаров, работ, услуг за пределы территории Российской Федерации при содействии центра (агентства) координации поддержки экспортно ориентированных субъектов малого и среднего предпринимательства. (в ред. Постановления Правительства РФ от 26.12.2015 N 1452)

Министерство экономического развития Российской Федерации устанавливает требования к центрам координации поддержки экспортно ориентированных субъектов малого и среднего предпринимательства;

в) предоставление субсидии субъекту Российской Федерации на реализацию мероприятия по созданию и (или) развитию региональных интегрированных центров, осуществляющих деятельность на базе инфраструктуры поддержки субъектов малого и среднего предпринимательства, которая направлена на содействие субъектам малого и среднего предпринимательства Российской Федерации и европейских стран в установлении и развитии взаимовыгодного делового, технологического и научного сотрудничества и оказание информационно-консультационной поддержки.

Индивидуальными показателями результативности использования субсидии в рамках реализации этого мероприятия являются:

количество субъектов малого и среднего предпринимательства, получивших государственную поддержку;

количество проведенных консультаций и мероприятий для субъектов малого и среднего предпринимательства;

количество заключенных субъектами малого и среднего предпринимательства при содействии регионального интегрированного центра договоров на поставку товаров, работ, услуг за пределы территории Российской Федерации; (в ред. Постановления Правительства РФ от 26.12.2015 N 1452)

количество заключенных субъектами малого и среднего предпринимательства при содействии регионального интегрированного центра договоров о передаче иностранными хозяйствующими субъектами исключительных прав на результаты интеллектуальной деятельности российским субъектам малого и среднего предпринимательства, а также о международном научном сотрудничестве. (в ред. Постановления Правительства РФ от 26.12.2015 N 1452)

Министерство экономического развития Российской Федерации устанавливает требования к региональным интегрированным центрам;

г) предоставление субсидии субъекту Российской Федерации на реализацию мероприятия по созданию и (или) развитию центров инноваций социальной сферы как юридических лиц или структурных подразделений юридических лиц, которые относятся к инфраструктуре поддержки малого и среднего предпринимательства и одним из учредителей которых является субъект Российской Федерации или муниципальное образование, для оказания информационно-аналитической, консультационной и организационной поддержки субъектам социального предпринимательства, определенным в соответствии с подпунктом "г" пункта 55 настоящих Правил.

Индивидуальными показателями результативности использования субсидии в рамках реализации этого мероприятия являются:

количество субъектов социального предпринимательства, получивших государственную поддержку;

количество проведенных консультаций и мероприятий для субъектов социального предпринимательства;

размер внебюджетных средств, привлеченных центром инноваций социальной сферы в целях реализации проектов субъектами социального предпринимательства.

Министерство экономического развития Российской Федерации устанавливает требования к центрам инноваций социальной сферы.

52. Создание и (или) развитие инфраструктуры поддержки субъектов малого и среднего предпринимательства, осуществляющих деятельность в области промышленного и сельскохозяйственного производства, разработки и внедрения инновационной продукции, в том числе создание и (или) развитие инжиниринговых центров, включают в себя:

а) предоставление субсидии субъекту Российской Федерации на реализацию мероприятия по созданию и (или) развитию инжиниринговых центров как юридических лиц или структурных подразделений юридических лиц, которые относятся к инфраструктуре поддержки малого и среднего предпринимательства и одним из учредителей которых является субъект Российской Федерации, для повышения технологической готовности субъектов малого и среднего предпринимательства за счет разработки (проектирования) технологических и технических процессов и обеспечения решения проектных, инженерных, технологических и организационно-внедренческих задач, возникающих у субъектов малого и среднего предпринимательства.

При этом субсидия не может быть предоставлена субъекту Российской Федерации, если к финансированию представлены расходы, совпадающие по форме, срокам и виду с расходами, осуществленными субъектом Российской Федерации в соответствии с постановлением Правительства Российской Федерации от 22 февраля 2014 г. N 134 "Об утверждении Правил предоставления субсидий из федерального бюджета российским организациям на компенсацию части затрат на реализацию пилотных проектов в области инжиниринга и промышленного дизайна в рамках подпрограммы "Развитие инжиниринговой деятельности и промышленного дизайна" государственной программы Российской Федерации "Развитие промышленности и повышение ее конкурентоспособности".

Индивидуальными показателями результативности использования субсидии в рамках реализации этого мероприятия являются:

обеспечение соблюдения установленного соглашением графика выполнения мероприятий по приобретению, установке и вводу в эксплуатацию оборудования и (или) программного обеспечения (в случае если в рамках использования субсидии предусмотрена закупка оборудования и (или) программного обеспечения);

коэффициент загрузки оборудования и (или) программного обеспечения инжинирингового центра (со второго года работы инжинирингового центра и в случае если в рамках использования субсидии предусмотрена закупка оборудования и (или) программного обеспечения);

количество субъектов малого и среднего предпринимательства, получивших государственную поддержку;

количество услуг, предоставленных субъектам малого и среднего предпринимательства инжиниринговым центром.

Министерство экономического развития Российской Федерации устанавливает требования к инжиниринговым центрам;

б) предоставление субсидии субъекту Российской Федерации на реализацию мероприятия по созданию и (или) развитию центров прототипирования как юридических лиц или структурных подразделений юридических лиц, которые относятся к инфраструктуре поддержки малого и среднего предпринимательства и одним из учредителей которых является субъект Российской Федерации, для оказания субъектам малого и среднего предпринимательства услуг по созданию макетов, прототипов, опытных образцов и иной мелкосерийной продукции на этапах от компьютерного проектирования до изготовления продукции.

Индивидуальными показателями результативности использования субсидии в рамках реализации этого мероприятия являются:

обеспечение соблюдения установленного соглашением графика выполнения мероприятий по приобретению, установке и вводу в эксплуатацию оборудования и (или) программного обеспечения (в случае если в рамках использования субсидии предусмотрена закупка оборудования и (или) программного обеспечения);

коэффициент загрузки оборудования и (или) программного обеспечения центра прототипирования (со второго года работы центра прототипирования и в случае если в рамках использования субсидии предусмотрена закупка оборудования и (или) программного обеспечения);

количество субъектов малого и среднего предпринимательства, получивших государственную поддержку;

количество услуг, предоставленных субъектам малого и среднего предпринимательства центром прототипирования.

Министерство экономического развития Российской Федерации устанавливает требования к центрам прототипирования;

в) предоставление субсидии субъекту Российской Федерации на реализацию мероприятия по созданию и (или) развитию центров сертификации, стандартизации и испытаний (коллективного пользования) как юридических лиц или структурных подразделений юридических лиц, которые относятся к инфраструктуре поддержки малого и среднего предпринимательства и одним из учредителей которых является субъект Российской Федерации, для проведения испытаний оборудования, технологических процессов, образцов выпускаемых товаров посредством создания материально-технической, экономической и научной базы в интересах субъектов малого и среднего предпринимательства в сфере промышленного и сельскохозяйственного производства.

Индивидуальными показателями результативности использования субсидии в рамках реализации этого мероприятия являются:

обеспечение соблюдения установленного соглашением графика выполнения мероприятий по приобретению, установке и вводу в эксплуатацию оборудования и (или) программного обеспечения (в случае если в рамках использования субсидии предусмотрена закупка оборудования и (или) программного обеспечения);

коэффициент загрузки оборудования и (или) программного обеспечения центра сертификации, стандартизации и испытаний (коллективного пользования) (со второго года работы центра сертификации, стандартизации и испытаний (коллективного пользования) и в случае если в рамках использования субсидии предусмотрена закупка оборудования и (или) программного обеспечения);

количество субъектов малого и среднего предпринимательства, получивших государственную поддержку;

количество услуг, предоставленных субъектам малого и среднего предпринимательства центром сертификации, стандартизации и испытаний (коллективного пользования).

Министерство экономического развития Российской Федерации устанавливает требования к центрам сертификации, стандартизации и испытаний (коллективного пользования);

г) предоставление субсидии субъекту Российской Федерации на реализацию мероприятия по созданию и (или) развитию центров кластерного развития как юридических лиц или структурных подразделений юридических лиц, которые относятся к инфраструктуре поддержки малого и среднего предпринимательства и одним из учредителей которых является субъект Российской Федерации, для выявления кластерных инициатив, содействия координации проектов субъектов малого и среднего предпринимательства, обеспечивающих развитие территориальных кластеров, в том числе инновационных территориальных кластеров, и обеспечения кооперации участников территориальных кластеров между собой.

При этом субсидия не может быть предоставлена субъекту Российской Федерации, если к финансированию в рамках реализации указанного мероприятия представлены расходы, совпадающие по форме, срокам и виду с расходами, осуществленными субъектом Российской Федерации в соответствии с приложением N 6 к государственной программе Российской Федерации "Экономическое развитие и инновационная экономика", утвержденной постановлением Правительства Российской Федерации от 15 апреля 2014 г. N 316 "Об утверждении государственной программы Российской Федерации "Экономическое развитие и инновационная экономика"; (в ред. Постановления Правительства РФ от 26.12.2015 N 1452)

Индивидуальными показателями результативности использования субсидии в рамках реализации этого мероприятия являются:

количество субъектов малого и среднего предпринимательства, получивших государственную поддержку;

количество субъектов малого и среднего предпринимательства - участников территориальных кластеров;

количество субъектов малого и среднего предпринимательства - новых участников территориальных кластеров;

количество проведенных мероприятий для субъектов малого и среднего предпринимательства, в том числе круглых столов, семинаров и тренингов.

Министерство экономического развития Российской Федерации устанавливает требования к центрам кластерного развития.

53. Поддержка субъектов малого и среднего предпринимательства, осуществляющих деятельность в сфере производства товаров (работ, услуг), за исключением основных видов деятельности, включенных в разделы G (за исключением кода 45), K, L, M (за исключением кодов 71 и 75), N, O, S (за исключением кодов 95 и 96), T, U Общероссийского классификатора видов экономической деятельности (ОК 029-2014 (КДЕС Ред. 2) (при этом поддержка не может оказываться субъектам малого и среднего предпринимательства, осуществляющим производство и (или) реализацию подакцизных товаров, а также добычу и (или) реализацию полезных ископаемых, за исключением общераспространенных полезных ископаемых), включает в себя: (в ред. Постановления Правительства РФ от 26.12.2015 N 1452)

а) предоставление субсидии субъекту Российской Федерации для субсидирования части затрат субъектов малого и среднего предпринимательства, связанных с уплатой процентов по кредитам, привлеченным в российских кредитных организациях на строительство (реконструкцию) для собственных нужд производственных зданий, строений и сооружений либо приобретение оборудования в целях создания и (или) развития либо модернизации производства товаров (работ, услуг).

Индивидуальными показателями результативности использования субсидии в рамках реализации этого мероприятия являются:

количество субъектов малого и среднего предпринимательства, получивших государственную поддержку;

размер собственных средств субъектов малого и среднего предпринимательства, получивших государственную поддержку, направленный на строительство (реконструкцию) для собственных нужд производственных зданий, строений и сооружений и (или) приобретение оборудования;

б) предоставление субсидии субъекту Российской Федерации для субсидирования части затрат субъектов малого и среднего предпринимательства, связанных с приобретением оборудования в целях создания и (или) развития либо модернизации производства товаров (работ, услуг).

Индивидуальными показателями результативности использования субсидии в рамках реализации этого мероприятия являются:

количество субъектов малого и среднего предпринимательства, получивших государственную поддержку;

размер собственных средств субъектов малого и среднего предпринимательства, получивших государственную поддержку, направленный на приобретение оборудования;

в) предоставление субсидии субъекту Российской Федерации для субсидирования части затрат субъектов малого и среднего предпринимательства, связанных с уплатой лизинговых платежей по договору (договорам) лизинга, заключенному с российскими лизинговыми организациями в целях создания и (или) развития либо модернизации производства товаров (работ, услуг).

Индивидуальными показателями результативности использования субсидии в рамках реализации этого мероприятия являются:

количество субъектов малого и среднего предпринимательства, получивших государственную поддержку;

размер собственных средств субъектов малого и среднего предпринимательства, получивших государственную поддержку, на приобретение оборудования;

г) предоставление субсидии субъекту Российской Федерации для субсидирования части затрат субъектов малого и среднего предпринимательства, связанных с уплатой первого взноса (аванса) при заключении договора (договоров) лизинга оборудования с российскими лизинговыми организациями в целях создания и (или) развития либо модернизации производства товаров (работ, услуг).

Индивидуальными показателями результативности использования субсидии в рамках реализации этого мероприятия являются:

количество субъектов малого и среднего предпринимательства, получивших государственную поддержку;

размер собственных средств субъектов малого и среднего предпринимательства, получивших государственную поддержку, направленный на приобретение оборудования;

д) предоставление целевых грантов начинающим субъектам малого предпринимательства на создание собственного дела - субсидии вновь зарегистрированным и действующим на момент принятия решения о предоставлении субсидии менее 1 года индивидуальным предпринимателям и юридическим лицам на условиях долевого финансирования целевых расходов на уплату первого взноса при заключении договора лизинга оборудования, включая затраты на монтаж оборудования.

Индивидуальными показателями результативности использования субсидии в рамках реализации этого мероприятия являются:

количество субъектов малого и среднего предпринимательства, получивших государственную поддержку;

размер собственных средств субъектов малого и среднего предпринимательства, получивших государственную поддержку, направленный на приобретение оборудования.

54. Поддержка начинающих субъектов малого предпринимательства включает в себя предоставление субсидии субъекту Российской Федерации для субсидирования части затрат субъектам малого предпринимательства (гранты) - субсидии индивидуальным предпринимателям и юридическим лицам - производителям товаров, работ, услуг, предоставляемые на условиях долевого финансирования целевых расходов по государственной регистрации юридического лица или индивидуального предпринимателя, расходов, связанных с началом предпринимательской деятельности, выплат по передаче прав на франшизу (паушальный взнос) и приобретение основных средств, в том числе при заключении договора коммерческой концессии.

Индивидуальным показателем результативности использования субсидии в рамках реализации этого мероприятия является количество субъектов малого предпринимательства, получивших государственную поддержку.

55. Поддержка и развитие субъектов малого и среднего предпринимательства, занимающихся социально значимыми видами деятельности, включают в себя:

а) предоставление субсидии субъекту Российской Федерации для субсидирования части затрат субъектов малого и среднего предпринимательства, связанных с созданием и (или) обеспечением деятельности центров молодежного инновационного творчества, ориентированных на создание благоприятных условий для детей, молодежи и субъектов малого и среднего предпринимательства в целях их развития в научно-технической, инновационной и производственной сферах, путем создания материально-технической, экономической, информационной базы.

Индивидуальными показателями результативности использования субсидии в рамках реализации этого мероприятия являются:

количество центров молодежного инновационного творчества, получивших государственную поддержку;

количество человек, воспользовавшихся услугами центра молодежного инновационного творчества;

коэффициент загрузки оборудования центра молодежного инновационного творчества;

количество проведенных мероприятий, направленных на развитие детского и молодежного научно-технического творчества, в том числе конкурсы, выставки, семинары, тренинги и круглые столы.

Министерство экономического развития Российской Федерации устанавливает требования к центрам молодежного инновационного творчества;

б) предоставление субсидии субъекту Российской Федерации для субсидирования части затрат субъектов малого и среднего предпринимательства, связанных с созданием и (или) развитием центров времяпрепровождения детей - групп дневного времяпрепровождения детей дошкольного возраста и иных подобных им видов деятельности по уходу и присмотру за детьми.

Индивидуальными показателями результативности использования субсидии в рамках реализации этого мероприятия являются:

количество получивших государственную поддержку центров времяпрепровождения детей;

количество детей, воспользовавшихся услугами центров времяпрепровождения детей;

в) предоставление субсидии субъекту Российской Федерации для субсидирования части затрат субъектов малого и среднего предпринимательства, связанных с созданием и (или) развитием дошкольных образовательных центров, осуществляющих образовательную деятельность по программам дошкольного образования, а также присмотру и уходу за детьми в соответствии с законодательством Российской Федерации.

Индивидуальными показателями результативности использования субсидии в рамках реализации этого мероприятия являются:

количество дошкольных образовательных центров, получивших государственную поддержку;

количество детей, воспользовавшихся услугами дошкольных образовательных центров;

г) предоставление субсидии субъекту Российской Федерации для субсидирования части затрат субъектов социального предпринимательства - субъектов малого и среднего предпринимательства, осуществляющих социально ориентированную деятельность, направленную на достижение общественно полезных целей, улучшение условий жизнедеятельности гражданина и (или) расширение его возможностей самостоятельно обеспечивать свои основные жизненные потребности, а также на обеспечение занятости, оказание поддержки инвалидам, гражданам пожилого возраста и лицам, находящимся в трудной жизненной ситуации.

Индивидуальным показателем результативности использования субсидии в рамках реализации этого мероприятия является количество субъектов социального предпринимательства, получивших государственную поддержку.

56. Поддержка субъектов малого и среднего предпринимательства, осуществляющих деятельность в области народно-художественных промыслов, ремесленной деятельности, сельского и экологического туризма, в том числе создание и (или) развитие инфраструктуры поддержки субъектов малого и среднего предпринимательства в указанных областях, включает в себя:

а) предоставление субсидии субъекту Российской Федерации для субсидирования части затрат субъектов малого и среднего предпринимательства, осуществляющих деятельность в области ремесел, народных художественных промыслов, сельского и экологического туризма по следующим направлениям:

реализация мероприятий по поддержке субъектов малого и среднего предпринимательства, осуществляющих деятельность в области ремесел, народных художественных промыслов, сельского и экологического туризма, указанных в пунктах 53 и 54 настоящих Правил;

развитие товаропроводящей сети по реализации ремесленных товаров (фирменных магазинов ремесленной продукции, магазинов-мастерских по производству и сбыту продукции и изделий народных художественных промыслов и ремесел, торговых объектов, реализующих продукцию ремесленников, расположенных в туристических зонах и на туристических маршрутах);

приобретение сырья, расходных материалов и инструментов, необходимых для производства продукции и изделий народных художественных промыслов и ремесел.

Индивидуальными показателями результативности использования субсидии в рамках реализации этого мероприятия являются:

количество субъектов малого и среднего предпринимательства, получивших государственную поддержку;

количество проведенных мероприятий для субъектов малого и среднего предпринимательства в области ремесел, народных художественных промыслов, сельского экологического туризма, в том числе круглых столов, семинаров и тренингов;

б) предоставление субсидии субъекту Российской Федерации на реализацию мероприятия по созданию и (или) развитию деятельности организаций, образующих инфраструктуру поддержки субъектов малого и среднего предпринимательства в области ремесел, народных художественных промыслов, сельского и экологического туризма, в том числе палат ремесел, центров ремесел, центров поддержки народных художественных промыслов, центров развития сельского и экологического туризма, как юридических лиц или структурных подразделений юридических лиц, которые относятся к инфраструктуре поддержки малого и среднего предпринимательства и одним из учредителей которых является субъект Российской Федерации.

Индивидуальными показателями результативности использования субсидии в рамках реализации этого мероприятия являются:

соответствие установленному соглашением графику выполнения мероприятий по приобретению, установке и вводу в эксплуатацию оборудования и (или) программного обеспечения (если в рамках использования субсидии предусмотрена закупка оборудования и (или) программного обеспечения);

количество субъектов малого и среднего предпринимательства, получивших государственную поддержку;

количество проведенных мероприятий для субъектов малого и среднего предпринимательства в области ремесел, народных художественных промыслов, сельского и экологического туризма, в том числе круглых столов, семинаров и тренингов.

Министерство экономического развития Российской Федерации устанавливает требования к указанным центрам народно-художественных промыслов.

57. Поддержка субъектов малого и среднего предпринимательства в рамках реализации муниципальных программ (подпрограмм) развития малого и среднего предпринимательства, в том числе монопрофильных муниципальных образований, предусматривает индивидуальные показатели результативности использования субсидии в рамках реализации этого мероприятия, которыми являются:

количество субъектов малого и среднего предпринимательства, получивших государственную поддержку;

доля муниципальных образований и (или) монопрофильных муниципальных образований, получивших государственную поддержку, в общем количестве муниципальных образований и (или) монопрофильных муниципальных образований на территории субъекта Российской Федерации.

58. Поддержка субъектов малого и среднего предпринимательства, пострадавших в результате чрезвычайной ситуации, на возобновление предпринимательской деятельности - предоставление субсидии субъекту Российской Федерации для субсидирования части затрат субъектов малого и среднего предпринимательства, пострадавших в результате чрезвычайной ситуации, на возобновление предпринимательской деятельности, предусматривает индивидуальный показатель результативности использования субсидии в рамках реализации этого мероприятия, которым является количество субъектов малого и среднего предпринимательства, получивших государственную поддержку.

59. Предоставление субсидии субъекту Российской Федерации на реализацию мероприятия по обеспечению деятельности многофункциональных центров, связанной с организацией предоставления услуг корпорации развития малого и среднего предпринимательства в целях оказания поддержки субъектам малого и среднего предпринимательства. (в ред. Постановления Правительства РФ от 26.12.2015 N 1452)

Индивидуальными показателями результативности использования субсидии в рамках реализации этого мероприятия являются: (в ред. Постановления Правительства РФ от 26.12.2015 N 1452)

доля многофункциональных центров, через которые организовано предоставление услуг корпорации развития малого и среднего предпринимательства в целях поддержки субъектов малого и среднего предпринимательства, в общем числе многофункциональных центров, находящихся на территории субъекта Российской Федерации; (в ред. Постановления Правительства РФ от 26.12.2015 N 1452)

количество субъектов малого и среднего предпринимательства, получивших услуги корпорации развития малого и среднего предпринимательства через многофункциональные центры. (в ред. Постановления Правительства РФ от 26.12.2015 N 1452)

60. Создание и (или) развитие инфраструктуры поддержки субъектов малого и среднего предпринимательства, оказывающей имущественную поддержку, - частных промышленных парков включают в себя предоставление субсидии субъекту Российской Федерации на реализацию мероприятия по созданию и (или) развитию частного промышленного парка.

При этом субсидия не может быть предоставлена субъекту Российской Федерации, если к финансированию в рамках реализации указанного мероприятия представлены расходы, совпадающие по форме, срокам и виду с расходами, осуществленными субъектом Российской Федерации в соответствии с постановлением Правительства Российской Федерации от 30 октября 2014 г. N 1119 "Об отборе субъектов Российской Федерации, имеющих право на получение государственной поддержки в форме субсидий на возмещение затрат на создание инфраструктуры индустриальных парков и технопарков" и (или) постановлением Правительства Российской Федерации от 11 августа 2015 г. N 831 "Об утверждении Правил предоставления субсидий из федерального бюджета российским организациям - управляющим компаниям индустриальных (промышленных) парков и (или) технопарков на возмещение части затрат на уплату процентов по кредитам, полученным в российских кредитных организациях и государственной корпорации "Банк развития и внешнеэкономической деятельности (Внешэкономбанк)" в 2013 - 2016 годах на реализацию инвестиционных проектов создания объектов индустриальных (промышленных) парков и (или) технопарков, в рамках подпрограммы "Индустриальные парки" государственной программы Российской Федерации "Развитие .промышленности и повышение ее конкурентоспособности". (в ред. Постановления Правительства РФ от 26.12.2015 N 1452)

Индивидуальными показателями результативности использования субсидии в рамках реализации этого мероприятия являются:

Абзац 4. - Утратил силу. (в ред. Постановления Правительства РФ от 26.12.2015 N 1452)

количество субъектов малого и среднего предпринимательства, размещенных на территории частного промышленного парка;

совокупная выручка субъектов малого и среднего предпринимательства - резидентов частного промышленного парка.

Министерство экономического развития Российской Федерации устанавливает требования к частным промышленным паркам.

61. Создание и (или) развитие инфраструктуры поддержки субъектов малого предпринимательства, оказывающей имущественную поддержку, - бизнес-инкубаторов включают в себя:

а) поддержку программ обеспечения деятельности и (или) развития бизнес-инкубаторов, предусматривающую предоставление субсидии субъекту Российской Федерации на реализацию мероприятий, связанных с поддержкой программы обеспечения деятельности бизнес-инкубаторов, в том числе обеспечение бизнес-инкубатором предоставления субъектам малого предпринимательства образовательных услуг, услуг по трансферту и коммерциализации технологий и подготовке менеджеров для бизнес-инкубатора.

Индивидуальными показателями результативности использования субсидии в рамках реализации этого мероприятия являются:

количество субъектов малого предпринимательства, размещенных в бизнес-инкубаторе;

количество субъектов малого предпринимательства, воспользовавшихся услугами бизнес-инкубатора;

количество проведенных мероприятий для субъектов малого предпринимательства, в том числе круглых столов, семинаров и тренингов;

совокупная выручка субъектов малого и среднего предпринимательства - резидентов бизнес-инкубатора;

б) предоставление субсидии субъекту Российской Федерации на реализацию мероприятия по созданию и (или) развитию бизнес-инкубатора (за исключением капитального ремонта). (в ред. Постановления Правительства РФ от 26.12.2015 N 1452)

Индивидуальными показателями результативности использования субсидии в рамках реализации этого мероприятия являются:

обеспечение соблюдения установленного соглашением графика выполнения мероприятий по проектированию и (или) строительству (реконструкции, в том числе с элементами реставрации, техническому перевооружению) объектов капитального строительства и (или) приобретению объектов недвижимого имущества и (или) графика по приобретению, установке и вводу в эксплуатацию оборудования и (или) программного обеспечения; (в ред. Постановления Правительства РФ от 26.12.2015 N 1452)

количество субъектов малого предпринимательства, размещенных в бизнес-инкубаторе.

Министерство экономического развития Российской Федерации устанавливает требования к бизнес-инкубаторам.

62. Создание и (или) развитие инфраструктуры поддержки субъектов малого и среднего предпринимательства, оказывающей имущественную поддержку, - промышленных парков, индустриальных парков, агропромышленных парков и технопарков включают в себя:

а) предоставление субсидии субъекту Российской Федерации на реализацию мероприятий по созданию и развитию промышленного парка, индустриального парка и агропромышленного парка (за исключением капитального ремонта). (в ред. Постановления Правительства РФ от 26.12.2015 N 1452)

При этом субсидия не может быть предоставлена субъекту Российской Федерации, если к финансированию представлены расходы, совпадающие по форме, срокам и виду с расходами, осуществленными субъектом Российской Федерации в соответствии с постановлением Правительства Российской Федерации от 30 октября 2014 г. N 1119 "Об отборе субъектов Российской Федерации, имеющих право на получение государственной поддержки в форме субсидий на возмещение затрат на создание инфраструктуры индустриальных парков и технопарков".

Индивидуальными показателями результативности использования субсидии в рамках реализации этого мероприятия являются:

обеспечение соблюдения установленного соглашением графика выполнения мероприятий по проектированию и (или) строительству (реконструкции, в том числе с элементами реставрации, техническому перевооружению) объектов капитального строительства и (или) приобретению объектов недвижимого имущества и (или) графика по приобретению, установке и вводу в эксплуатацию оборудования и (или) программного обеспечения; (в ред. Постановления Правительства РФ от 26.12.2015 N 1452)

количество субъектов малого и среднего предпринимательства, размещенных на территории промышленного парка, индустриального парка и агропромышленного парка.

Министерство экономического развития Российской Федерации устанавливает требования к промышленным паркам, индустриальным паркам и агропромышленным паркам;

б) предоставление субсидии субъекту Российской Федерации на реализацию мероприятий по созданию и развитию технопарка (за исключением капитального ремонта). (в ред. Постановления Правительства РФ от 26.12.2015 N 1452)

При этом субсидия не может быть предоставлена субъекту Российской Федерации, если к финансированию представлены расходы, совпадающие по форме, срокам и виду с расходами, осуществленными субъектом Российской Федерации в соответствии с постановлением Правительства Российской Федерации от 30 октября 2014 г. N 1119 "Об отборе субъектов Российской Федерации, имеющих право на получение государственной поддержки в форме субсидий на возмещение затрат на создание инфраструктуры индустриальных парков и технопарков".

Индивидуальными показателями результативности использования субсидии в рамках реализации этого мероприятия являются:

обеспечение соблюдения установленного соглашением графика выполнения мероприятий по проектированию и (или) строительству (реконструкции, в том числе с элементами реставрации, техническому перевооружению) объектов капитального строительства и (или) приобретению объектов недвижимого имущества и (или) графика по приобретению, установке и вводу в эксплуатацию оборудования и (или) программного обеспечения; (в ред. Постановления Правительства РФ от 26.12.2015 N 1452)

количество субъектов малого и среднего предпринимательства, размещенных на территории технопарка.

Министерство экономического развития Российской Федерации устанавливает требования к технопаркам.

Приложение
к Правилам предоставления и распределения
субсидий из федерального бюджета бюджетам
субъектов Российской Федерации
на государственную поддержку малого
и среднего предпринимательства,
включая крестьянские (фермерские)
хозяйства, в рамках подпрограммы
"Развитие малого и среднего
предпринимательства" государственной
программы Российской Федерации
"Экономическое развитие
и инновационная экономика"

ПРАВИЛА
ОПРЕДЕЛЕНИЯ КОЭФФИЦИЕНТА, ХАРАКТЕРИЗУЮЩЕГО СТЕПЕНЬ РАЗВИТИЯ СЕКТОРА МАЛОГО И СРЕДНЕГО ПРЕДПРИНИМАТЕЛЬСТВА В СУБЪЕКТЕ РОССИЙСКОЙ ФЕДЕРАЦИИ

(в ред. Постановления Правительства РФ от 26.12.2015 N 1452)

1. Настоящие Правила устанавливают порядок определения коэффициента, характеризующего степень развития сектора малого и среднего предпринимательства в субъекте Российской Федерации.

2. В целях применения настоящих Правил под медианным значением понимается значение показателя, которое делит совокупность субъектов Российской Федерации пополам.

Таким образом, половина субъектов Российской Федерации имеет значение показателя ниже медианы, другая половина - выше медианы.

3. Медианное значение (Ме) определяется по формуле:

где:

- нижняя граница медианного интервала (первого интервала, накопленная частота которого больше или равна половине суммы всех частот);

- величина медианного интервала (первого интервала, накопленная частота которого больше или равна половине суммы всех частот);

k - общее количество интервалов вариационного ряда;

- частота i-го интервала;

- сумма накопленных частот в интервале, предшествующем медианному интервалу;

- частота медианного интервала.

4. Распределение субъектов Российской Федерации по следующим категориям осуществляется следующим образом:

а) к первой категории относятся субъекты Российской Федерации со следующими значениями показателей:

доля оборота субъектов малого и среднего предпринимательства, зарегистрированных на территории субъекта Российской Федерации, в общем объеме оборота организаций, зарегистрированных на территории субъекта Российской Федерации, больше или равна медианному значению доли оборота субъектов малого и среднего предпринимательства, зарегистрированных на территории Российской Федерации, в общем объеме оборота организаций, зарегистрированных на территории Российской Федерации;

доля городского населения, зарегистрированного на территории субъекта Российской Федерации, в общей численности постоянного населения субъекта Российской Федерации больше или равна медианному значению доли городского населения в общей численности постоянного населения Российской Федерации по состоянию на 1 января отчетного финансового года;

б) ко второй категории относятся субъекты Российской Федерации со следующими значениями показателей:

доля оборота субъектов малого и среднего предпринимательства, зарегистрированных на территории субъекта Российской Федерации, в общем объеме оборота организаций, зарегистрированных на территории субъекта Российской Федерации, больше или равна медианному значению доли оборота субъектов малого и среднего предпринимательства, зарегистрированных на территории Российской Федерации, в общем объеме оборота организаций, зарегистрированных на территории Российской Федерации;

доля городского населения, зарегистрированного на территории субъекта Российской Федерации, в общей численности постоянного населения субъекта Российской Федерации меньше медианного значения доли городского населения в общей численности постоянного населения Российской Федерации по состоянию на 1 января отчетного финансового года;

в) к третьей категории относятся субъекты Российской Федерации со следующими значениями показателей:

доля оборота субъектов малого и среднего предпринимательства, зарегистрированных на территории субъекта Российской Федерации, в общем объеме оборота организаций, зарегистрированных на территории субъекта Российской Федерации, меньше медианного значения доли оборота субъектов малого и среднего предпринимательства, зарегистрированных на территории Российской Федерации, в общем объеме оборота организаций, зарегистрированных на территории Российской Федерации;

доля городского населения, зарегистрированного на территории субъекта Российской Федерации, в общей численности постоянного населения субъекта Российской Федерации больше или равна медианному значению доли городского населения в общей численности постоянного населения Российской Федерации по состоянию на 1 января отчетного финансового года;

г) к четвертой категории относятся субъекты Российской Федерации со следующими значениями показателей:

доля оборота субъектов малого и среднего предпринимательства, зарегистрированных на территории субъекта Российской Федерации, в общем объеме оборота организаций, зарегистрированных на территории субъекта Российской Федерации, меньше медианного значения доли оборота субъектов малого и среднего предпринимательства, зарегистрированных на территории Российской Федерации, в общем объеме оборота организаций, зарегистрированных на территории Российской Федерации;

доля городского населения, зарегистрированного на территории субъекта Российской Федерации, в общей численности постоянного населения субъекта Российской Федерации меньше медианного значения доли городского населения в общей численности постоянного населения Российской Федерации по состоянию на 1 января отчетного года.

5. Распределение субъектов Российской Федерации осуществляется по следующим группам:

а) к первой группе со значением коэффициента 1 относятся субъекты Российской Федерации, в которых количество субъектов малого и среднего предпринимательства, зарегистрированных на территории субъекта Российской Федерации, на 1 тыс. человек городского населения, зарегистрированного на территории субъекта Российской Федерации, больше или равно среднему значению показателя в соответствующей категории и средний оборот субъектов малого и среднего предпринимательства, зарегистрированных на территории субъекта Российской Федерации, больше или равен среднему значению показателя в соответствующей категории;

б) ко второй группе со значением коэффициента 1.08 относятся субъекты Российской Федерации, в которых количество субъектов малого и среднего предпринимательства, зарегистрированных на территории субъекта Российской Федерации, на 1 тыс. человек городского населения, зарегистрированного на территории субъекта Российской Федерации, больше или равно среднему значению показателя в соответствующей категории и средний оборот субъектов малого и среднего предпринимательства, зарегистрированных на территории субъекта Российской Федерации, меньше среднего значения показателя в соответствующей категории;

в) к третьей группе со значением коэффициента 1.02 относятся субъекты Российской Федерации, в которых количество субъектов малого и среднего предпринимательства, зарегистрированных на территории субъекта Российской Федерации, на 1 тыс. человек городского населения, зарегистрированного на территории субъекта Российской Федерации, меньше среднего значения показателя в соответствующей категории и средний оборот субъектов малого и среднего предпринимательства, зарегистрированных на территории субъекта Российской Федерации, больше или равен среднему значению показателя в соответствующей категории;

г) к четвертой группе со значением коэффициента 1.10 относятся субъекты Российской Федерации, в которых количество субъектов малого и среднего предпринимательства, зарегистрированных на территории субъекта Российской Федерации, на 1 тыс. человек городского населения, зарегистрированного на территории субъекта Российской Федерации, меньше среднего значения показателя в соответствующей категории и средний оборот субъектов малого и среднего предпринимательства, зарегистрированных на территории субъекта Российской Федерации, больше или равен среднему значению показателя в соответствующей категории.

д) субъекты Российской Федерации, входящие в состав Дальневосточного федерального округа, распределяются по группам в соответствии с подпунктами "а" - "г" настоящего пункта, при этом значение коэффициента для них устанавливается равным 1,3. (в ред. Постановления Правительства РФ от 26.12.2015 N 1452)