Постановление Правительства РФ от 25.08.2017 N 997

"О реализации мер финансовой поддержки за счет средств государственной корпорации - Фонда содействия реформированию жилищно-коммунального хозяйства и внесении изменений в некоторые акты Правительства Российской Федерации"
Редакция от 11.02.2019 — Действует с 20.02.2019
Показать изменения

ПРАВИТЕЛЬСТВО РОССИЙСКОЙ ФЕДЕРАЦИИ

ПОСТАНОВЛЕНИЕ
от 25 августа 2017 г. N 997

О РЕАЛИЗАЦИИ МЕР ФИНАНСОВОЙ ПОДДЕРЖКИ ЗА СЧЕТ СРЕДСТВ ГОСУДАРСТВЕННОЙ КОРПОРАЦИИ - ФОНДА СОДЕЙСТВИЯ РЕФОРМИРОВАНИЮ ЖИЛИЩНО-КОММУНАЛЬНОГО ХОЗЯЙСТВА И ВНЕСЕНИИ ИЗМЕНЕНИЙ В НЕКОТОРЫЕ АКТЫ ПРАВИТЕЛЬСТВА РОССИЙСКОЙ ФЕДЕРАЦИИ

(в ред. Постановления Правительства РФ от 11.02.2019 N 108)

Правительство Российской Федерации постановляет:

1. Утвердить прилагаемые:

Правила предоставления финансовой поддержки субъектам Российской Федерации за счет средств государственной корпорации - Фонда содействия реформированию жилищно-коммунального хозяйства на модернизацию систем коммунальной инфраструктуры путем предоставления финансовых средств на подготовку проектов модернизации и софинансирование процентной ставки;

изменения, которые вносятся в акты Правительства Российской Федерации.

2. Пункт утратил силу. (в ред. Постановления Правительства РФ от 11.02.2019 N 108)

Председатель Правительства
Российской Федерации
Д. МЕДВЕДЕВ

УТВЕРЖДЕНЫ
постановлением Правительства
Российской Федерации
от 25 августа 2017 г. N 997

ПРАВИЛА ПРЕДОСТАВЛЕНИЯ ФИНАНСОВОЙ ПОДДЕРЖКИ СУБЪЕКТАМ РОССИЙСКОЙ ФЕДЕРАЦИИ ЗА СЧЕТ СРЕДСТВ ГОСУДАРСТВЕННОЙ КОРПОРАЦИИ - ФОНДА СОДЕЙСТВИЯ РЕФОРМИРОВАНИЮ ЖИЛИЩНО-КОММУНАЛЬНОГО ХОЗЯЙСТВА НА МОДЕРНИЗАЦИЮ СИСТЕМ КОММУНАЛЬНОЙ ИНФРАСТРУКТУРЫ ПУТЕМ ПРЕДОСТАВЛЕНИЯ ФИНАНСОВЫХ СРЕДСТВ НА ПОДГОТОВКУ ПРОЕКТОВ МОДЕРНИЗАЦИИ И СОФИНАНСИРОВАНИЕ ПРОЦЕНТНОЙ СТАВКИ

1. Настоящие Правила устанавливают порядок предоставления государственной корпорацией - Фондом содействия реформированию жилищно-коммунального хозяйства (далее - Фонд) финансовой поддержки бюджетам субъектов Российской Федерации на модернизацию систем коммунальной инфраструктуры, которые находятся или будут находиться в государственной или муниципальной собственности, путем предоставления финансовых средств на подготовку проектов модернизации и софинансирование процентной ставки по кредитам и (или) облигационным займам, привлеченным ресурсоснабжающими организациями в валюте Российской Федерации на реализацию таких проектов (далее соответственно - финансовая поддержка, процентная ставка).

2. Используемые в настоящих Правилах понятия означают следующее:

"концессионный проект" - проект модернизации, реализуемый в рамках концессионного соглашения;

"модернизация систем коммунальной инфраструктуры" - реализация мероприятий по улучшению характеристик и эксплуатационных свойств объекта коммунальной инфраструктуры, в том числе путем замены морально устаревшего и физически изношенного оборудования, входящего в состав объекта коммунальной инфраструктуры, современным, более производительным оборудованием. Модернизация объекта коммунальной инфраструктуры может осуществляться в ходе его реконструкции;

"проект модернизации" - совокупность мероприятий по модернизации систем коммунальной инфраструктуры, в том числе по созданию, реконструкции одного или нескольких объектов системы коммунальной инфраструктуры;

"льготный кредит" - целевые денежные средства в российских рублях, предоставляемые российской кредитной организацией по процентной ставке в размере, не превышающем 5 процентов годовых (далее - льготная ставка), на реализацию проекта модернизации.

3. Финансовая поддержка предоставляется бюджетам субъектов Российской Федерации на цели подготовки проектов модернизации в сфере тепло-, водоснабжения, водоотведения, очистки сточных вод и обращения с твердыми коммунальными отходами, а также на софинансирование процентной ставки на реализацию таких проектов.

4. Финансовая поддержка предоставляется в пределах лимитов предоставления финансовой поддержки на модернизацию систем коммунальной инфраструктуры в соответствии с настоящими Правилами, установленных для субъектов Российской Федерации (далее - лимиты).

Лимиты субъектам Российской Федерации на срок до 31 декабря 2018 г. определяются решением Председателя Правительства Российской Федерации, принимаемым на основании предложений Министерства строительства и жилищно-коммунального хозяйства Российской Федерации, согласованных с Министерством экономического развития Российской Федерации.

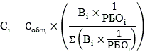
5. Предельный лимит для i-ro субъекта Российской Федерации () рассчитывается по формуле:

,

где:

- нераспределенный остаток средств общего лимита средств на модернизацию;

- численность населения, проживающего на территории i-ro субъекта Российской Федерации, за исключением гг. Москвы и Санкт- Петербурга;

- уровень расчетной бюджетной обеспеченности i-ro субъекта Российской Федерации на текущий год, рассчитанный в соответствии с методикой распределения дотаций на выравнивание бюджетной обеспеченности субъектов Российской Федерации, утвержденной постановлением Правительства Российской Федерации от 22 ноября 2004 г. N 670 "О распределении дотаций на выравнивание бюджетной обеспеченности субъектов Российской Федерации".

Финансовая поддержка гг. Москве и Санкт-Петербургу не предоставляется.

6. Предоставление финансовой поддержки осуществляется на основании соглашения о предоставлении финансовой поддержки, заключенного между субъектом Российской Федерации, Министерством строительства и жилищно-коммунального хозяйства Российской Федерации и Фондом (далее - соглашение).

7. Типовые условия соглашения утверждаются Фондом по согласованию с Министерством строительства и жилищно-коммунального хозяйства Российской Федерации.

8. Соглашение должно содержать следующие обязательные условия:

а) обязательство Фонда предоставить субъекту Российской Федерации финансовую поддержку, сумма финансовой поддержки, цели, условия и порядок ее предоставления (перечисления);

б) значение показателя эффективности использования финансовой поддержки, определяемого как соотношение объема привлеченных субъектом Российской Федерации за период предоставления финансовой поддержки в 2017 - 2018 годах денежных средств на реализацию указанных в пункте 3 настоящих Правил проектов модернизации по заключенным в течение этого периода концессионным соглашениям, за исключением средств предоставленной субъекту Российской Федерации финансовой поддержки, к объему средств финансовой поддержки, при этом указанное соотношение должно быть более 10 к 1;

в) обязательство субъекта Российской Федерации по предоставлению отчетности о достижении показателя эффективности использования финансовой поддержки и количестве заключенных на территории субъекта Российской Федерации концессионных соглашений, а также ответственность субъекта Российской Федерации за непредставление такой отчетности.

9. Предоставление финансовой поддержки осуществляется в соответствии с заявками, направляемыми субъектами Российской Федерации в Фонд, по форме, утвержденной Фондом по согласованию с Министерством строительства и жилищно-коммунального хозяйства Российской Федерации.

Фонд рассматривает заявку субъекта Российской Федерации в течение 30 дней и принимает решение о предоставлении субъекту Российской Федерации финансовой поддержки либо отказе в предоставлении.

10. В случае принятия решения о предоставлении субъекту Российской Федерации финансовой поддержки перечисление средств Фонда осуществляется в течение 10 дней после подписания соглашения на счета территориальных органов Федерального казначейства, открытые для учета поступлений и их распределения между бюджетами бюджетной системы Российской Федерации, для последующего перечисления в установленном порядке в бюджеты субъектов Российской Федерации.

11. Финансовая поддержка предоставляется субъекту Российской Федерации в случае, если уполномоченным органом исполнительной власти субъекта Российской Федерации:

а) утверждена "дорожная карта" развития жилищно-коммунального хозяйства на территории субъекта Российской Федерации;

б) утвержден порядок отбора потенциальных проектов модернизации для их подготовки с целью использования субъектом Российской Федерации средств финансовой поддержки на подготовку проектов модернизации;

в) с целью использования субъектом Российской Федерации средств финансовой поддержки на софинансирование процентной ставки утвержден порядок софинансирования процентной ставки, включающий в том числе обязательство субъекта Российской Федерации заключить с ресурсоснабжающей организацией или кредитной организацией договор (соглашение) о софинансировании процентной ставки, который должен содержать условие обеспечения софинансирования субъектом Российской Федерации процентной ставки на протяжении всего периода реализации соответствующих проектов за счет средств бюджета субъекта Российской Федерации вне зависимости от объема средств предоставленной Фондом финансовой поддержки, либо условие о включении в тариф затрат ресурсоснабжающей организации на обслуживание заемных средств в соответствии с законодательством Российской Федерации в области государственного регулирования тарифов в отношении организаций, оказывающих услуги в сфере тепло-, водоснабжения, водоотведения и обращения с твердыми коммунальными отходами. Софинансирование процентной ставки может быть также осуществлено за счет средств бюджета муниципального образования субъекта Российской Федерации, при этом соответствующий орган местного самоуправления должен быть участником договора (соглашения) о софинансировании процентной ставки.

12. Утверждаемый уполномоченным органом исполнительной власти субъекта Российской Федерации порядок софинансирования процентной ставки и иные разработанные в рамках реализации настоящих Правил нормативные правовые акты субъекта Российской Федерации не должны содержать требований к кредитным организациям, а также иных положений, ограничивающих возможность свободного выбора ресурсоснабжающими организациями российских кредитных организаций для получения кредита на реализацию проектов модернизации.

13. Уполномоченный орган исполнительной власти субъекта Российской Федерации по результатам отбора проектов модернизации в соответствии с порядком отбора потенциальных проектов модернизации, а также в соответствии с порядком софинансирования процентной ставки вправе использовать средства финансовой поддержки:

а) на оплату части расходов, связанных со следующими мероприятиями по подготовке проекта модернизации:

проведение технического обследования объектов коммунальной инфраструктуры;

разработка и внесение изменений в схемы теплоснабжения, схемы водоснабжения и схемы водоотведения муниципальных образований, а также программы комплексного развития систем коммунальной инфраструктуры муниципальных образований;

работы, услуги, осуществляемые с целью подготовки документов, необходимых для государственной регистрации прав на объекты коммунальной инфраструктуры, создание, реконструкция и (или) модернизация которых предусмотрены проектом модернизации, которые находятся в государственной собственности субъектов Российской Федерации или в муниципальной собственности, являются недвижимым имуществом и используются для оказания потребителям услуг по тепло-, водоснабжению, водоотведению, очистке сточных вод и обращению с твердыми коммунальными отходами;

работы, услуги, осуществляемые с целью проведения кадастрового учета земельных участков, на которых расположены или будут расположены объекты коммунальной инфраструктуры;

разработка бизнес-плана проекта модернизации;

подготовка конкурсной документации для проведения конкурса на право заключения концессионного соглашения;

б) на возмещение ресурсоснабжающим организациям части затрат, понесенных в связи с уплатой процентов (купонного дохода) (за исключением неустойки (штрафа, пеней) за нарушение условий договора), включая такие затраты, понесенные в связи с обеспечением выплаты специализированным финансовым обществом процентов (купонного дохода) по облигационному займу, средства от размещения которого являлись источником финансирования концессионного проекта, по кредитам (облигационным займам) (за исключением льготных кредитов), привлеченным ресурсоснабжающими организациями в целях реализации проектов модернизации по концессионным соглашениям, заключенным в период предоставления финансовой поддержки в 2017 - 2018 годах;

в) на возмещение российским кредитным организациям части недополученных доходов от процентов (за исключением неустойки (штрафа, пеней) за нарушение условий договора) по льготным кредитам, привлеченным ресурсоснабжающими организациями в целях реализации проектов модернизации по концессионным соглашениям, заключенным в период предоставления финансовой поддержки в 2017 - 2018 годах.

14. Софинансирование субъектом Российской Федерации процентной ставки ресурсоснабжающим организациям в соответствии с подпунктом "б" пункта 13 настоящих Правил осуществляется в размере 100 процентов ключевой ставки Центрального банка Российской Федерации, действующей на дату заключения кредитного договора и (или) выпуска облигаций.

Софинансирование субъектом Российской Федерации процентной ставки российским кредитным организациям в соответствии с подпунктом "в" пункта 13 настоящих Правил осуществляется в размере 100 процентов ключевой ставки Центрального банка Российской Федерации, действующей на дату заключения кредитного договора.

15. Оценка эффективности использования финансовой поддержки осуществляется Министерством строительства и жилищно-коммунального хозяйства Российской Федерации путем сравнения установленных соглашением значений показателей эффективности использования финансовой поддержки и значений показателей эффективности использования финансовой поддержки, фактически достигнутых субъектом Российской Федерации по итогам планового года.

16. Уполномоченный орган государственной власти субъекта Российской Федерации представляет в Фонд и Министерство строительства и жилищно-коммунального хозяйства Российской Федерации ежеквартально, не позднее 15-го числа месяца, следующего за отчетным кварталом, отчет о достижении показателя эффективности использования финансовой поддержки, предусмотренного соглашением, а также отчет о количестве заключенных на территории субъекта Российской Федерации за отчетный период концессионных соглашений по формам, утвержденным Фондом по согласованию с Министерством строительства и жилищно-коммунального хозяйства Российской Федерации.

17. В случае если субъектом Российской Федерации по состоянию на 31 декабря 2018 г. не достигнуты показатели, утвержденные соглашением, размер средств, подлежащий возврату из бюджета субъекта Российской Федерации в сроки и порядке, утвержденные Правительством Российской Федерации (), рассчитывается по формуле:

,

где:

- размер денежных средств предоставленной бюджету субъекта Российской Федерации финансовой поддержки;

м - размер привлеченных субъектом Российской Федерации денежных средств на реализацию проектов модернизации за период предоставления финансовой поддержки по заключенным концессионным соглашениям, за исключением средств предоставленной бюджету субъекта Российской Федерации финансовой поддержки.

18. Контроль за реализацией Фондом, субъектами Российской Федерации настоящих Правил осуществляет Министерство строительства и жилищно-коммунального хозяйства Российской Федерации в установленном им порядке.

УТВЕРЖДЕНЫ
постановлением Правительства
Российской Федерации
от 25 августа 2017 г. N 997

ИЗМЕНЕНИЯ, КОТОРЫЕ ВНОСЯТСЯ В АКТЫ ПРАВИТЕЛЬСТВА РОССИЙСКОЙ ФЕДЕРАЦИИ

1. В Основах ценообразования в сфере теплоснабжения, утвержденных постановлением Правительства Российской Федерации от 22 октября 2012 г. N 1075 "О ценообразовании в сфере теплоснабжения" (Собрание законодательства Российской Федерации, 2012, N 44, ст. 6022; 2013, N 33, ст. 4389; 2014, N 14, ст. 1627; N 23, ст. 2996; N 28, ст. 4050; N 48, ст. 6865; N 50, ст. 7094; 2015, N 8, ст. 1167; N 17, ст. 2572; N 41, ст. 5664; 2016, N 2, ст. 403; N 27, ст. 4501; N 45, ст. 6263; 2017, N 6, ст. 925; N 17, ст. 2571; N 18, ст. 2780; N 20, ст. 2921):

а) предложение третье абзаца первого пункта 13 после слов "обслуживанием заемных средств," дополнить словами "за исключением случаев обслуживания заемных средств по процентной ставке в размере, не превышающем 5 процентов годовых (далее - льготная ставка), или софинансирования субъектом Российской Федерации части расходов по процентной ставке, отличающейся от льготной ставки, в соответствии с Правилами предоставления финансовой поддержки субъектам Российской Федерации за счет средств государственной корпорации - Фонда содействия реформированию жилищно-коммунального хозяйства на модернизацию систем коммунальной инфраструктуры путем предоставления финансовых средств на подготовку проектов модернизации и софинансирование процентной ставки, утвержденными постановлением Правительства Российской Федерации от 25 августа 2017 г. N 997 "О реализации мер финансовой поддержки за счет средств государственной корпорации - Фонда содействия реформированию жилищно-коммунального хозяйства и внесении изменений в некоторые акты Правительства Российской Федерации,";

б) дополнить пунктом 13.1 следующего содержания:

"13.1 Указанные в пункте 13 настоящего документа расходы, связанные с обслуживанием заемных средств, учитываются:

а) в случае обслуживания заемных средств по льготной ставке - в размере фактически понесенных расходов, не превышающих величину, рассчитанную исходя из льготной ставки. В случае прекращения обслуживания заемных средств по льготной ставке расходы, связанные с обслуживанием таких заемных средств, учитываются в порядке, предусмотренном пунктом 13 настоящего документа;

б) в случае софинансирования субъектом Российской Федерации части расходов, связанных с обслуживанием заемных средств по процентной ставке, отличающейся от льготной ставки, - в размере разницы между фактически понесенными расходами и суммой, возмещенной в рамках софинансирования субъектом Российской Федерации части расходов, связанных с обслуживанием заемных средств. В случае прекращения софинансирования субъектом Российской Федерации части расходов по ставке, отличающейся от льготной ставки, расходы, связанные с обслуживанием таких заемных средств, учитываются в порядке, предусмотренном пунктом 13 настоящего документа.".

2. В Основах ценообразования в сфере водоснабжения и водоотведения, утвержденных постановлением Правительства Российской Федерации от 13 мая 2013 г. N 406 "О государственном регулировании тарифов в сфере водоснабжения и водоотведения" (Собрание законодательства Российской Федерации, 2013, N 20, ст. 2500; N 32, ст. 4306; 2014, N 2, ст. 82; N 23, ст. 2996; N 27, ст. 3770; N 28, ст. 4050; N50, ст. 7080, 7094; 2015, N 8, ст. 1167; N 37, ст. 5153; 2016, N 45, ст. 6263; 2017, N 2, ст. 335; N 6, ст. 925; N 17, ст. 2571; N 20, ст. 2921):

а) предложение первое абзаца третьего пункта 15 после слов "обслуживанием заемных средств," дополнить словами "за исключением случаев обслуживания заемных средств по процентной ставке в размере, не превышающем 5 процентов годовых (далее - льготная ставка), или софинансирования субъектом Российской Федерации части расходов, связанных с обслуживанием заемных средств по процентной ставке, отличающейся от льготной ставки, в соответствии с Правилами предоставления финансовой поддержки субъектам Российской Федерации за счет средств государственной корпорации - Фонда содействия реформированию жилищно-коммунального хозяйства на модернизацию систем коммунальной инфраструктуры путем предоставления финансовых средств на подготовку проектов модернизации и софинансирование процентной ставки, утвержденными постановлением Правительства Российской Федерации от 25 августа 2017 г. N 997 "О реализации мер финансовой поддержки за счет средств государственной корпорации - Фонда содействия реформированию жилищно-коммунального хозяйства и внесении изменений в некоторые акты Правительства Российской Федерации",";

б) дополнить пунктом 15(1) следующего содержания:

"15(1). Расходы, связанные с обслуживанием заемных средств, в случае обслуживания заемных средств по льготной ставке учитываются в размере фактически понесенных расходов по льготному кредиту, рассчитанных исходя из льготной ставки. В случае прекращения обслуживания заемных средств по льготной ставке расходы, связанные с обслуживанием таких заемных средств, учитываются в порядке, предусмотренном абзацем третьим пункта 15 настоящего документа.

Расходы, связанные с обслуживанием заемных средств, в случае софинансирования субъектом Российской Федерации части расходов, связанных с обслуживанием заемных средств по процентной ставке, отличающейся от льготной ставки, учитываются в размере разницы между фактически понесенными расходами и суммой, возмещенной в рамках софинансирования субъектом Российской Федерации части расходов, связанных с обслуживанием заемных средств. В случае прекращения софинансирования субъектом Российской Федерации части расходов по ставке, отличающейся от льготной ставки, расходы, связанные с обслуживанием таких заемных средств, учитываются в порядке, предусмотренном абзацем третьим пункта 15 настоящего документа.".