Методика измерений массовой концентрации пыли гравиметрическим методом для целей специальной оценки условий труда. МИ АПФД-18.01.2018

(утв. Клинским институтом охраны и условий труда 06.12.2018)
Редакция от 06.12.2018 — Действует с 06.12.2018

УТВЕРЖДАЮ
Генеральный директор
АО "Клинский институт охраны и условий труда"
А.В. МОСКВИЧЕВ
"06" декабря 2018 г.

МЕТОДИКА ИЗМЕРЕНИЙ МАССОВОЙ КОНЦЕНТРАЦИИ ПЫЛИ ГРАВИМЕТРИЧЕСКИМ МЕТОДОМ ДЛЯ ЦЕЛЕЙ СПЕЦИАЛЬНОЙ ОЦЕНКИ УСЛОВИЙ ТРУДА

МИ АПФД-18.01.2018

ПРЕДИСЛОВИЕ

1 РАЗРАБОТАНА Акционерным обществом "Клинский институт охраны и условий труда" (АО "КИОУТ") "06" ноября 2018 г.

2 АТТЕСТОВАНА ФГУП "ВНИИМС"

3 УТВЕРЖДЕНА "06" декабря 2018 г. приказом Генерального директора АО "КИОУТ" N ОЮ-ОД

СВИДЕТЕЛЬСТВО ОБ АТТЕСТАЦИИ от "24" декабря 2018 г. N 205-265/RU.311787-2016/2018 выдано ФГУП "ВНИИМС"

СВЕДЕНИЯ О РЕГИСТРАЦИИ В ФЕДЕРАЛЬНОМ ИНФОРМАЦИОННОМ ФОНДЕ ФРЛ.31.2019.32604

СВЕДЕНИЯ ОБ АУТЕНТИЧНОСТИ ЭКЗЕМПЛЯРА

ЭКЗЕМПЛЯР АУТЕНТИЧЕН (заверяется печатью организации-разработчика)

Экземпляр принадлежит организации                
                 
                 
                 
                   
М.П.             ИНН    

1 Вводная часть

Массовую концентрацию пыли в воздухе рабочей зоны (аэрозолей преимущественно фиброгенного действия, далее - АПФД) определяют гравиметрическим методом.

Данный метод применяют для отбора проб в непосредственной близости от человека, в зоне дыхания, а также при отборе проб в рабочей зоне.

1.1 Назначение и область применения

1.1.1 Настоящие методические указания устанавливают порядок применения гравиметрического метода для определения массовой концентрации пыли (дисперсной фазы аэрозолей) в воздухе рабочей зоны в диапазонах массовых концентраций от 1 до 250 мг/м3 (в зависимости от отобранного объема воздуха).

1.1.2 Указанная методика может применяться при проведении специальной оценки условий в целях отнесения условий труда к классу (подклассу) по показателю массовой концентрации пыли (АПФД), воздействующей на работника на его рабочем месте в течение нормативной продолжительности <1>.

<1> - нормативная продолжительность рабочей смены или рабочего дня, равная 8-ми часам при ежедневном режиме работы. При сменном режиме работы рассчитывается из условия, что продолжительность рабочей недели не должна превышать 40 часов в неделю и в среднем не может превышать 8-ми часов за рабочей день.

1.1.3 Настоящий документ применяется в случае, если период оценки продолжительностью То состоит из интервалов времени со следующими свойствами:

- наличие пыли (АПФД) в воздухе рабочей зоны создается одним или несколькими источниками, характерными для этого интервала;

- продолжительность характерных интервалов за период оценки может быть измерена или установлена в результате анализа производственной деятельности работника на рабочем месте.

2 Метрологические характеристики

2.1 При соблюдении всех регламентированных условий и проведении анализа в точном соответствии с методикой анализа значение погрешности (и ее составляющих) результатов анализа не превышает значений, приведенных в таблице 1.

Таблица 1

Диапазон измерений массовых концентраций пыли, мг/мЗ Показатели прецизионности
Показатель повторяемости (относительное среднеквадратическое отклонение повторяемости), , % Показатель точности (границы относительной погрешности при вероятности Р=0,95), ± , %
От 1 до 250 мг/мЗ 15 25

2.2 Все методы и средства измерений запыленности воздуха должны обеспечивать определение массовой концентрации пыли в диапазоне от 1 до 10 ПДК с основной относительной погрешностью, не превышающей 25 % при доверительной вероятности 0,95. При концентрации более 10 ПДК погрешность не нормируется.

3 Нормативные ссылки

3.1 В настоящей Методике использованы нормативные ссылки на следующие стандарты:

ГОСТ 12.1.005-88 "ССБТ. Общие санитарно-гигиенические требования к воздуху рабочей зоны" (с Изменением N 1)

ГОСТ Р 54578-2011 Воздух рабочей зоны. Аэрозоли преимущественно фиброгенного действия.

ГОСТ Р 8.563-96 "ГСИ. Методики выполнения измерений" (с изм.1 и 2)

ГОСТ Р 8.563-96 отменен. Взамен него с 15.04.2010 введен в действие ГОСТ Р 8.563-2009.

ГОСТ Р ИСО 5725-2002 (части 1 - 6) "Точность (правильность и прецизионность) методов и результатов измерений".

4 Термины и определения

4.1 В настоящей Методике применены следующие термины с соответствующими определениями согласно ГОСТ 12.1.005-88 и ГОСТ Р 54578-2011:

- предельно допустимые концентрации (ПДК) вредных веществ в воздухе рабочей зоны: Концентрации, которые при ежедневной (кроме выходных дней) работе в течение 8 ч или при другой продолжительности, но не более 41 ч в неделю, в течение всего рабочего стажа не могут вызвать заболеваний или отклонений в состоянии здоровья, обнаруживаемых современными методами исследований в процессе работы или в отдаленные сроки жизни настоящего и последующих поколений;

- зона дыхания: Пространство в радиусе до 50 см от лица работающего;

- аэрозоль преимущественно фиброгенного действия; АПФД: Аэрозоли, отличающиеся и обладающие (по характеру биологического воздействия) преимущественно фиброгенным типом действия;

- среднесменная концентрация , мг/м3: Массовая концентрация вредного вещества в воздухе рабочей зоны, усредненная за восьмичасовую рабочую смену. Предельно допустимая среднесменная концентрация обозначается как .

- максимальная разовая концентрация Кмр: Максимальное содержание вредного вещества в воздухе рабочей зоны.

5 Средства измерений, вспомогательные устройства, материалы и реактивы

5.1 При выполнении измерений применяют средства измерений, вспомогательные устройства и материалы, приведенные в таблице 2.

Таблица 2

Наименование средств измерений и технических средств Обозначение стандарта, ТУ или их метрологические характеристики
1. Аспиратор ПУ ТУ 4215-000-11696625-2003. Предел допускаемой основной относительной погрешности расхода (объема) отбираемого воздуха ± 5 %.
2. Весы лабораторные аналитические ВЛ-210 ТУ 4274-003-00226394-2002, ГОСТ 24104-2001
Класс точности 1, цена деления не более 0,1 мг Пределы допускаемой в интервалах взвешивания от 10 мг до 50 г включ. ±1мг
3 Секундомер типа СОПпр-2а-2-ОЮ ГОСТ 13045 ГОСТ 13045
Класс точности 2, цена деления секундной шкалы 0,2 с. Допустимая погрешность за 30 минут ± 1,0 с
4.Термометр лабораторный, ТЛ-4 ГОСТ 28498
Класс точности 2, диапазон измерений от 0 до 100 °С, цена деления 0,1 °С. Предел допускаемой погрешности ± 0,5
5.Барометр-анероид любого типа Пределы допускаемой абсолютной погрешности ± 1 мм. рт. ст. (± 0,2 кПа.)
6. Фильтр типа АФА-ВП-10, АФА-ВП-20 ТУ 95-1892-89
7. Фильтр типа АФА-ХП-20, АФА-ХП-10 ТУ 95-1021-82
8. Фильтродержатель открытый ИРА-10-1, ИРА-20-1 ГОСТ 25336
9. Фильтродержатель закрытый ИРА-10-2, ИРА-20-2 ГОСТ 21241
10. Эксикатор ГОСТ 25336-82
11. Пинцет медицинский ГОСТ 21241-89
12. Кальций хлористый ГОСТ 450-77

5.2 Допускается использование других средств измерений утвержденных типов, обеспечивающих измерения с установленной точностью. Допускается использование другого оборудования, материалов и реактивов с метрологическими и техническими характеристиками не хуже указанных.

5.3 Все средства измерений должны быть зарегистрированы в Государственном реестре средств измерений Российской Федерации с действующими свидетельствами о поверке.

6 Метод измерений

6.1 Измерение массовых концентраций пыли основано на гравиметрическом (весовом) определении массы пыли (дисперсной фазы аэрозолей), уловленной из измеренного объема исследуемого воздуха.

6.2 Весовой или гравиметрический метод определения массы частиц пыли, отобранных на фильтр, является основным прямым методом измерений, при котором взвешиванием определяется масса частиц, а по результатам измерений расхода воздуха и продолжительности отбора пробы определяется ее объем.

6.3 Отбор проб воздуха рабочей зоны осуществляют в соответствии с ГОСТ 12.1.005 на фильтры типа АФА-ВП или АФА-ХП.

6.4 Нижний предел измерения массовой концентрации пыли в воздухе зависит от точности применяемых аналитических весов (± 0,1 мг) и от объема аспирируемого воздуха.

6.5 Определение невозможно в средах, содержащих ацетон, бензол, ксилол, дихлорэтан, так как фильтры типа АФА-ВП под действием этих паров изменяют свою структуру с потерей фильтрующих свойств.

7 Требования безопасности и охраны окружающей среды

7.1 При выполнении измерений соблюдают следующие требования:

7.1.1 При выполнении измерений необходимо соблюдать правила техники безопасности, установленные при работе с токсичными, едкими и легковоспламеняющимися веществами по ГОСТ 12.1.005.

7.1.2 Помещение лаборатории должно соответствовать требованиям пожарной безопасности по ГОСТ 12.1.004.

7.1.3 Лаборатория должна иметь средства пожаротушения по ГОСТ 12.4.009.

7.1.4 При работе с электроприборами необходимо соблюдать правила электробезопасности в соответствии с ГОСТ 12.1.019

7.1.5 Лица, производящие измерения концентрации пыли, должны знать требования, предъявляемые к отбору и качеству проб, устройство применяемых приборов, а также правила безопасного поведения на рабочем месте.

7.1.6 Находясь на территории предприятия, следует строго выполнять указания по технике безопасности в соответствии с предупредительными надписями, световыми сигналами и плакатами. При выполнении работ и перемещении по предприятию следует руководствоваться соответствующими Правилами безопасности.

8 Требования к квалификации оператора

К проведению измерений допускаются лица:

- соответствующие требованиям, предъявляемым к лицам, непосредственно выполняющих работы по проведению измерений в соответствии с областью аккредитации <2>;

<2> Данные требования устанавливаются локальными документами Федеральной службы по аккредитации

- изучившие руководство по эксплуатации используемых СИ;

- прошедшие специальную подготовку, имеющие знания и навыки работы со СИ;

- прошедшие инструктаж по технике безопасности.

9 Условия измерений

9.1 При проведении измерений соблюдают выполнение внешних условий, указанных в руководстве по эксплуатации применяемого аспиратора.

9.2 При отборе проб воздуха рабочей зоны соблюдают выполнение следующих условий:

- температура воздуха от 2 до 40 °С;

- относительная влажность воздуха не более 80%;

- атмосферное давление 84-106 кПа.

9.3 Контроль метрологических параметров воздуха рабочей зоны должен осуществляться параллельно с отбором проб.

9.4 Фактические значения параметров окружающей среды заносятся в протокол измерений Приложение А.

10 Подготовка к выполнению отбора проб воздуха рабочей зоны

10.1 На дно эксикатора помещается осушитель. В качестве осушителя используются прокаленный хлористый кальций.

10.2 Взвешивание фильтров производят до и после отбора проб в лабораторных условиях на аналитических весах, имеющих погрешность не более ± 0,1 мг. При первом и повторном взвешивании допускается изменение температуры воздуха в помещении в пределах ± 2 °С и относительной влажности воздуха ±10%.

10.3 Исходя из режимов работы установленных источников, выделяются составляющие интервалы, соответствующие требованиям пункта 1.1.3. Устанавливаются типичные длительности интервалов в течение периода оценки . Характеристики выбранных интервалов заносятся в протокол измерений (Приложение А).

10.4 По результатам проведенных мероприятий, указанных в пункте 10.3 составляется план измерений, в котором определены число и расположение точек измерений, число и границы составляющих интервалов (m и ). Составляющие интервалы могут быть одинаковыми для разных точек измерений.

10.5 Отбор проб воздуха должен проводиться при характерных производственных условиях.

10.6 Количество проб воздуха на пыль (АПФД) для установления соответствия максимальным и среднесменным ПДК зависит от уровня запыленности воздуха, длительности отбора одной пробы, числа технологических операций (m) и их продолжительности . Длительность отбора одной пробы воздуха на пыль для веществ преимущественно фиброгенного действия не более 30 мин.

10.7 Для каждого составляющего интервала необходимо провести не менее 3-х однократных отбора проб (n = 3), равномерно распределенных по продолжительности интервала.

10.8 Измерение среднесменной концентрации проводится в течение всей смены, но не менее 75% ее продолжительности, при условии охвата всех (не только пылеобразующих) производственных операций в течение смены, в том числе перерывов в работе.

10.9 На рабочих местах концентрацию пыли необходимо измерять в зоне дыхания или в случае невозможности такого отбора с максимальным приближением к ней воздухозаборного устройства (на высоте 1,5 м от пола при работе стоя и 1,0 м - при работе сидя). Если рабочее место не фиксировано, измерение концентрации пыли проводят в точках рабочей зоны, в которых работающий находится более 50% смены.

10.10 Подготавливают СИ к измерениям.

10.11 При отборе пробы фильтродержатель с фильтром следует располагать так, чтобы плоскость всасывания образовывала угол 90 ° с направлением движения потока воздуха. Если направление воздушного потока выражено неясно, поверхность фильтра надо направлять в сторону источника пылеобразования.

10.12 Время начала и окончания отбора пробы, параметры проведенных измерений заносятся в протокол измерений Приложение А.

10.13 Фильтры с отобранными пробами и сопроводительный документ на отбор проб доставляются в лабораторию.

11 Выполнение измерений

11.1. После отбора пробы воздуха проводится повторное взвешивание фильтров в лаборатории на тех же весах.

11.2 Фильтры с пылью перед взвешиванием должны находиться не менее 2 ч в помещении, в котором будет производиться взвешивание.

11.3 При отборе проб в условиях повышенной влажности (более 75%) перед повторным взвешиванием фильтры следует помещать в эксикатор на 2 ч и затем в течение не менее 2 ч выдерживать в условиях комнатной температуры и влажности.

12 Вычисление результатов измерений

12.1. Массовую концентрацию пыли в пробе (Кп, мг/м3) рассчитывают по формуле:

, (1)

где

- концентрация всей витающей в воздухе пыли в отдельной пробе, мг/м3;

- масса фильтра до отбора пробы, мг;

- масса фильтра (накопителя) с пылью, мг;

- объем воздуха, отобранный для анализа и приведенный к стандартным условиям, дм3

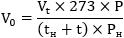
, (2)

где - объем воздуха, отобранный для анализа, дм3;

Р - измеренное в день отбора барометрическое давление, мм рт.ст. (или Па);

t - температура воздуха в месте отбора пробы, °С.

Нормальные условия (, ), определенные IUPAC (Международным союзом практической и прикладной химии):

= 273,15 К (0°С)

= 760 мм рт. ст. (101325 Па).

12.2 Среднее арифметическое значение результатов измерений рассчитывают по формуле:

, (3)

12.3 Результат анализа представляют в виде:

, при Р = 0,95 (4)

где - среднее арифметическое значение результатов 3-х определений, мг/м3; - границы относительной погрешности, % (табл.1).

12.4 Результат измерений округляют до одной значащей цифры после запятой в диапазоне измерений (1 - 50) мг/м3 и до целых единиц - в диапазоне более (50 - 250) мг/м3.

12.5 По результатам средних концентраций () на интервале с учетом его продолжительности рассчитывают среднесменную концентрацию () как средневзвешенную по времени величину за смену по формуле:

, (5)

где .... - средневзвешенная концентрация на интервале (за операцию), мг/м3;

, , .... - продолжительность интервала (операции), мин;

- продолжительность всех интервалов (операций), соответствующая продолжительности рабочей смены (480 мин).

12.5 Результаты измерений концентрации пыли в воздухе рабочей зоны ( и ) регистрируют в журналах учета отбора проб воздуха на пыль.

12.6 В случае, если массовые концентрации пыли в воздухе рабочей зоны ниже нижней (выше верхней) границы диапазона измерений, то производят следующую запись в журнале: "массовая концентрация пыли в воздухе рабочей зоны менее 1,0 мг/м3 (более 250 мг/м3)". Результаты измерений оформляют записью в журнале.

13 Контроль качества результатов измерений

13.1 Контроль качества результатов измерений, проводимых в соответствии с настоящей методикой, осуществляется путем поверки применяемых средств измерений. Средства измерений должны использоваться с погрешностями не выше указанных в настоящей методике и иметь свидетельства об их метрологической поверке или клеймо поверителя. Для метода измерений массовой концентрации пыли в воздухе рабочей зоны нет стандартных образцов. Обеспечение достоверности измерений в пределах лаборатории организуют и проводят путем контроля стабильности результатов измерений в соответствии с ГОСТ ИСО 5725-6 "Точность (правильность и прецизионность) методов и результатов измерений" и РМГ 76-2014 "ГСИ. Внутренний контроль качества результатов количественного химического анализа". Для контроля стабильности показателей качества результатов анализа используют контрольные карты Шухарта (контроль повторяемости). Контрольные процедуры для контроля повторяемости осуществляют с использованием рабочих проб.

13.2 Периодичность получения результатов контрольных процедур и формы их регистрации приводят в документах лаборатории, устанавливающих порядок и содержание работ по организации методов контроля стабильности результатов измерений в пределах лаборатории.

13.3 При неудовлетворительных результатах контроля, например, при превышении предела действия или регулярном превышении предела предупреждения, выясняют причины этих отклонений.

ПРИЛОЖЕНИЕ А
(справочное)

ПЕРЕЧЕНЬ ДАННЫХ, СОДЕРЖАЩИХСЯ В ПРОТОКОЛЕ ИЗМЕРЕНИЙ КОНЦЕНТРАЦИЙ ПЫЛИ (АПФД) ДЛЯ СПЕЦИАЛЬНОЙ ОЦЕНКИ УСЛОВИЙ ТРУДА

- наименование документа - Протокол измерений массовых концентраций пыли (АПФД);

- полное наименование организации, проводящей специальную оценку условий труда, регистрационного номера записи в реестре организаций, проводящих специальную оценку условий труда, а также сведений об аккредитации в национальной системе аккредитации (номер аттестата аккредитации (при наличии);

- уникальный номер протокола (определяется организацией, проводящей специальную оценку условий труда), содержащегося на каждой странице протокола вместе с номером страницы протокола измерений;

- идентификация номера протокола на каждой странице, чтобы обеспечить признание страницы как части протокола измерений, и, кроме того, четкую идентификацию конца протокола измерений;

- полное наименование работодателя;

- адрес места нахождения и адрес(а) места осуществления деятельности работодателя;

- наименование структурного подразделения работодателя (при наличии);

- индивидуальный номер рабочего места, наименование должности, профессии или специальности работника (работников), занятого (занятых) на данном рабочем месте, в соответствии с наименованием этих должностей, профессий или специальностей, указанным в квалификационных справочниках, утверждаемых в установленном порядке;

- дата проведения отбора проб;

- сведения о применяемых СИ (наименование прибора, вспомогательного оборудования, заводской номер, срок действия и номер свидетельства о поверке, кем выдано свидетельство о поверке;

- диапазоны значений пределов измерений и погрешности применяемых СИ;

- значения параметров окружающей среды в соответствии с диапазонами рабочих условий эксплуатации применяемых СИ, указанных в руководствах по эксплуатации на СИ;

- фактические значения параметров окружающей среды: температура воздуха, относительная влажность воздуха, атмосферное давление;

- наименования методики измерений - Методика измерений массовой концентрации пыли (АПФД) для целей специальной оценки условий труда, свидетельство об аттестации __________________, сведения о регистрации в государственном информационном фонде ________________________

- реквизиты нормативных правовых актов (вид нормативного правового акта, наименование органа его издавшего, название, дата и номер), регламентирующих предельно допустимые концентрации вредных химических веществ (далее - ПДК);

- места проведения измерений массовых концентраций пыли (АПФД) с указанием номера интервала т, краткого описания источников на интервале, продолжительности интервала в часах;

- результаты единичных прямых измерений , на интервале , с указанием номера измерения 1 = 1, 2, 3;

- расчетное среднее значение массовой концентрации () для каждого интервала

- расчетное значение массовой концентрации и (или) за период оценки То.

- предельно-допустимые концентрации, установленные для специальной оценки условий труда;

- заключение по фактическому уровню массовой концентрации и (или) относительно установленных ПДК с указанием степени его отклонения от нормативного значения;

- фамилии, имена, отчества (при наличии), должности специалистов организации, проводящей специальную оценку условий труда, проводивших измерения.

БИБЛИОГРАФИЯ

1 Федеральный закон N 102-ФЗ "Об обеспечении единства измерений"

2 Постановление Правительства Российской Федерации от 31 октября 2009 г. N 879 "Об утверждении положения о единицах величин, допускаемых к применению в Российской Федерации"

3 Приказ Министерства промышленности и торговли Российской Федерации от 15 декабря 2015 г. N 4091 "Об утверждении Порядка аттестации первичных референтных методик (методов) измерений, референтных методик (методов) измерений и методик (методов) измерений и их применения"

4 Приказ Министерства здравоохранения и социального развития Российской Федерации от 9 сентября 2011 г. N 1034 "Об утверждении перечня измерений, относящихся к сфере государственного регулирования обеспечения единства измерений и производимых при выполнении работ по обеспечению безопасных условий и охраны труда, в том числе на опасных производственных объектах, и обязательных метрологических требований к ним, в том числе показателей точности"

5 Приказ Министерства труда и социальной защиты Российской Федерации от 24.01.2014 г. N 33н "Методика проведения специальной оценки условий труда"

6 РМГ 76-2014 ГСИ "Внутренний контроль качества результатов количественного химического анализа".

ЛИСТ РЕГИСТРАЦИИ ИЗМЕНЕНИЙ

Номер изменения Номер раздела / листа Дата внесения изменений Подпись ответственного лица