Положение ЦБ РФ от 16.08.2021 N 769-П

"О расчетном размере гарантийного депозита филиала иностранной страховой организации"
Редакция от 16.08.2021 — Действует с 29.10.2021

Зарегистрировано в Минюсте России 7 октября 2021 г. N 65339


ЦЕНТРАЛЬНЫЙ БАНК РОССИЙСКОЙ ФЕДЕРАЦИИ

ПОЛОЖЕНИЕ
от 16 августа 2021 г. N 769-П

О РАСЧЕТНОМ РАЗМЕРЕ ГАРАНТИЙНОГО ДЕПОЗИТА ФИЛИАЛА ИНОСТРАННОЙ СТРАХОВОЙ ОРГАНИЗАЦИИ

Настоящее Положение на основании пунктов 3 и 12 статьи 33.4 Закона Российской Федерации от 27 ноября 1992 года N 4015-1 "Об организации страхового дела в Российской Федерации" (Ведомости Съезда народных депутатов Российской Федерации и Верховного Совета Российской Федерации, 1993, N 2, ст. 56; Собрание законодательства Российской Федерации, 1998, N 1, ст. 4; 2021, N 27, ст. 5171) устанавливает:

требования к формированию иностранной страховой организацией расчетного размера гарантийного депозита филиала иностранной страховой организации;

требования к положению о формировании расчетного размера гарантийного депозита филиала иностранной страховой организации, а также к документам, содержащим сведения, необходимые для формирования расчетного размера гарантийного депозита филиала иностранной страховой организации, и сроки хранения таких документов.

Глава 1. Общие положения

1.1. Формирование иностранной страховой организацией расчетного размера гарантийного депозита филиала иностранной страховой организации (далее - расчетный размер гарантийного депозита) должно осуществляться на основании сведений филиала иностранной страховой организации обо всех операциях, осуществленных на территории Российской Федерации через созданный ею филиал, по договорам страхования, сострахования, (перестрахования), содержащихся в базах данных информационных систем, указанных в пункте 1 статьи 29.1 Закона Российской Федерации "Об организации страхового дела в Российской Федерации" (Ведомости Съезда народных депутатов Российской Федерации и Верховного Совета Российской Федерации, 1993, N 2, ст. 56; Собрание законодательства Российской Федерации, 1998, N 1, ст. 4; 2021, N 27, ст. 5171) (далее - Закон Российской Федерации "Об организации страхового дела в Российской Федерации"), журналах, указанных в пункте 5.3 настоящего Положения, а также бухгалтерской (финансовой) отчетности иностранной страховой организации, составленной в соответствии с Международными стандартами финансовой отчетности (далее - МСФО) или иными, отличными от МСФО, международно признанными правилами.

Иными, отличными от МСФО, международно признанными правилами в целях настоящего Положения являются общепринятые принципы бухгалтерского учета (GAAP) США, Японии, Канады, Китайской Народной Республики, Республики Корея, а также общепринятые принципы бухгалтерского учета (GAAP) иного иностранного государства, которые могут использоваться в соответствии с регулированием Европейского Союза для составления отчетности, раскрываемой на иностранном организованном (регулируемом) финансовом рынке вместо отчетности, составленной в соответствии с МСФО.

1.2. Расчетный размер гарантийного депозита по договорам страхования (сострахования, перестрахования), которые в соответствии с валютным законодательством Российской Федерации заключаются в иностранной валюте (страховые премии (взносы) уплачиваются в иностранной валюте, и страховые выплаты осуществляются в иностранной валюте), может по решению иностранной страховой организации рассчитываться в иностранной валюте, в которой заключен указанный договор, и пересчитывается иностранной страховой организацией в рублевый эквивалент по официальному курсу иностранной валюты по отношению к рублю, установленному Банком России в соответствии с пунктом 15 статьи 4 Федерального закона от 10 июля 2002 года N 86-ФЗ "О Центральном банке Российской Федерации (Банке России)" (Собрание законодательства Российской Федерации, 2002, N 28, ст. 2790; 2021, N 9, ст. 1467) по состоянию на расчетную дату.

В случае если официальный курс иностранной валюты по отношению к рублю не устанавливается Банком России, рублевый эквивалент пересчитывается иностранной страховой организацией по курсу, рассчитанному по котировкам иностранной валюты на международных валютных рынках или по устанавливаемому центральным (национальным) банком, осуществляющим эмиссию данной иностранной валюты, курсу к любой третьей валюте, официальный курс которой по отношению к рублю устанавливается Банком России по состоянию на расчетную дату.

В случае расчета отдельной части (отдельных частей) расчетного размера гарантийного депозита в иностранной валюте иностранная страховая организация должна осуществлять указанный расчет в валюте, указанной в ее внутренних документах для каждой из предусмотренных пунктом 3.1 настоящего Положения учетных групп, и осуществлять перерасчет данной части (данных частей) расчетного размера гарантийного депозита в рубли в соответствии с методологией, предусмотренной внутренними документами указанной иностранной страховой организации.

1.3. В целях настоящего Положения при формировании иностранной страховой организацией расчетного размера гарантийного депозита:

отчетным периодом является квартал;

отчетной датой является последний день отчетного периода;

расчетной датой является дата, на которую осуществляется определение величины расчетного размера гарантийного депозита;

расчетным периодом является период с 1 января по расчетную дату, по состоянию на которую осуществляется определение величины расчетного размера гарантийного депозита.

1.4. В случае если иностранная страховая организация наряду со страхованием жизни осуществляет иные виды личного страхования, расчетный размер гарантийного депозита должен формироваться в соответствии с главами 2 и 3 настоящего Положения.

1.5. Иностранная страховая организация должна разработать и утвердить положение о формировании расчетного размера гарантийного депозита в соответствии с требованиями пункта 4.1 настоящего Положения, в случае если иностранная страховая организация осуществляет страхование жизни, или пункта 4.4 настоящего Положения, в случае если иностранная страховая организация осуществляет иные виды страхования, чем страхование жизни.

В случае если иностранная страховая организация осуществляет страхование жизни наряду с иными видами личного страхования, положение о формировании расчетного размера гарантийного депозита должно соответствовать требованиям пунктов 4.1 и 4.4 настоящего Положения.

Глава 2. Особенности формирования иностранной страховой организацией расчетного размера гарантийного депозита филиала иностранной страховой организации по договорам страхования жизни

2.1. Формирование расчетного размера гарантийного депозита по договорам страхования жизни должно осуществляться иностранной страховой организацией как совокупность следующих частей.

2.1.1. Математическая часть, под которой понимается расчетная величина обязательств иностранной страховой организации по договорам страхования жизни, которые могут возникнуть в связи с наступлением страховых случаев (далее - Математическая часть).

2.1.2. Часть расходов на обслуживание страховых обязательств, под которой понимается расчетная величина предстоящих расходов иностранной страховой организации по обслуживанию и исполнению договора страхования жизни в течение срока действия указанного договора после уплаты единовременной страховой премии или по истечении периода уплаты страховых взносов (далее - Часть расходов на обслуживание страховых обязательств).

2.1.3. Часть выплат по заявленным, но не урегулированным страховым случаям, под которой понимается расчетная величина неисполненных или исполненных не полностью обязательств иностранной страховой организации по осуществлению страховых выплат по заявленным на расчетную дату страховым случаям или обязательств, срок исполнения которых на расчетную дату наступил исходя из условий договора страхования жизни, а также при досрочном расторжении договора страхования жизни (далее - Часть выплат по заявленным, но не урегулированным страховым случаям).

2.1.4. Часть выплат по произошедшим, но не заявленным страховым случаям, под которой понимается расчетная величина неисполненных на дату расчета обязательств иностранной страховой организации по осуществлению страховых выплат в связи со страховыми случаями, произошедшими в расчетном периоде или предшествующих ему периодах, но не заявленными иностранной страховой организацией (далее - Часть выплат по произошедшим, но не заявленным страховым случаям).

2.1.5. Часть дополнительных выплат (страховых бонусов), под которой понимается расчетная величина обязательств иностранной страховой организации по предусмотренным договором страхования жизни выплатам инвестиционного дохода в дополнение к страховой сумме (далее - Часть дополнительных выплат (страховых бонусов).

2.1.6. Выравнивающая часть, под которой понимается расчетная величина дополнительного обеспечения обязательств иностранной страховой организации в случае дефицита страховых премий (взносов), возникшего в случае, когда резервный базис (совокупность параметров, необходимых для расчета частей расчетного размера гарантийного депозита) является более консервативным, чем тарифный базис (совокупность параметров, необходимых для расчета страховых тарифов). Более консервативным резервным базисом считается базис, которому на любую дату расчета соответствует большая величина частей расчетного размера гарантийного депозита по договору страхования жизни (далее - Выравнивающая часть).

2.1.7. Часть опций и гарантий, под которой понимается расчетная величина не учитывающихся при формировании Математической части и Части дополнительных выплат (страховых бонусов) обязательств иностранной страховой организации, вытекающих из следующих условий договора страхования жизни: величина страховой суммы и (или) величины дополнительных выплат, на которые страхователь (застрахованное лицо, выгодоприобретатель) имеет право в соответствии с условиями договора страхования жизни, зависят от доходности актива (группы активов), определенного (определенной) в соответствии с условиями договора страхования жизни (далее - Часть опций и гарантий).

2.2. Математическая часть, а также Часть выплат по заявленным, но не урегулированным страховым случаям, должны рассчитываться иностранной страховой организацией по всем договорам страхования жизни.

Часть расходов на обслуживание страховых обязательств должна рассчитываться иностранной страховой организацией исключительно по договорам страхования жизни, оплаченным страхователем единовременно, и по договорам страхования жизни, в которых период уплаты страховых взносов короче срока действия договора страхования жизни.

Часть выплат по произошедшим, но не заявленным страховым случаям, а также Часть опций и гарантий рассчитываются иностранной страховой организацией, в случае если указанная иностранная страховая организация приняла решение о расчете части выплат по произошедшим, но не заявленным страховым случаям, и (или) о расчете части опций и гарантий.

Часть дополнительных выплат (страховых бонусов) должна рассчитываться исключительно по договорам страхования жизни с участием страхователя в инвестиционном доходе иностранной страховой организации.

Выравнивающая часть должна рассчитываться иностранной страховой организацией по договорам страхования жизни в случае недостаточности совокупных страховых премий (далее - брутто-премия) для определения Математической части, когда цильмеризованная резервируемая часть премии, предназначенная для осуществления страховой выплаты (далее - нетто-премия), превышает 98 процентов от брутто-премии по договору страхования жизни.

2.3. Иностранная страховая организация должна использовать следующие методы расчета частей расчетного размера гарантийного депозита по договорам страхования жизни.

2.3.1. Расчет частей расчетного размера гарантийного депозита должен осуществляться иностранной страховой организацией на основе резервного базиса и учитывать условия договоров страхования жизни.

2.3.2. Состав и значения параметров резервного базиса должны рассчитываться иностранной страховой организацией исходя из страховых рисков, включенных в договор страхования жизни. При расчете состава и значения параметров резервного базиса иностранная страховая организация должна учитывать прогнозы макроэкономического развития (демографические показатели, ставка рефинансирования), показатели развития фондового рынка.

2.3.3. Резервный базис должен включать следующие параметры:

норму (ставку) доходности;

таблицы, используемые иностранной страховой организацией для формирования частей расчетного размера гарантийного депозита, содержащие вероятности наступления смерти, инвалидности, заболевания, и рассчитанные на их основе величины, связанные с предстоящей продолжительностью жизни лиц мужского и (или) женского пола (таблицы смертности, заболеваемости, инвалидности);

показатель, позволяющий по договорам страхования жизни с уплатой страховой премии в рассрочку корректировать величину Математической части с целью учета начальных расходов иностранной страховой организации на заключение договора страхования (далее - уровень цильмеризации);

абсолютную величину и (или) долю будущих расходов иностранной страховой организации по обслуживанию договоров страхования жизни (будущих расходов на ведение дела по страхованию), а также долю расходов на осуществление страховых выплат в процентах от страховой суммы.

2.3.4. Норма (ставка) доходности, применяемая в целях определения расчетного размера гарантийного депозита, устанавливается иностранной страховой организацией в зависимости от условий договора страхования жизни и не может превышать 5 процентов.

2.3.5. При выборе таблиц смертности, заболеваемости, инвалидности иностранная страховая организация должна учитывать особенности страхового риска по договору страхования жизни на основе характеристик застрахованного лица и (или) страхователя.

2.3.6. Уровень цильмеризации, который определяется как доля разности между актуарной стоимостью поступлений нетто-премии, рассчитанной с учетом начальных расходов иностранной страховой организации на заключение договора страхования жизни, и актуарной стоимостью поступлений резервируемой нетто-премии в брутто-премии по договору страхования жизни, не должен превышать 4 процента.

2.3.7. Величина будущих расходов иностранной страховой организации по обслуживанию договоров страхования жизни для целей формирования расчетного размера гарантийного депозита должна составлять не менее 0,01 процента от расчетной страховой суммы по договору страхования жизни на любую дату определения расчетного размера гарантийного депозита, за исключением периода выплаты страховой ренты (аннуитета), в который величина будущих расходов иностранной страховой организации по обслуживанию договоров страхования жизни должна составлять не менее 0,5 процента от расчетной страховой суммы по договору страхования жизни.

Расчетной страховой суммой по договору страхования жизни является максимальная из следующих величин:

годовая величина выплат по страховой ренте;

страховая сумма, выплачиваемая единовременно на случай дожития до установленного договором страхования жизни срока, возраста или наступления иного события;

страховая сумма, выплачиваемая единовременно на случай смерти застрахованного лица;

совокупная страховая сумма по всем рискам, включенным в договор страхования жизни.

2.3.8. Значения параметров резервного базиса должны совпадать со значениями параметров тарифного базиса, за исключением случая, когда резервный базис является более консервативным, чем тарифный.

2.3.9. Значения параметров резервного базиса должны выбираться иностранной страховой организацией на основе консервативного подхода так, чтобы обеспечить способность иностранной страховой организации выполнить обязательства в случае отклонений фактических значений параметров от прогнозируемых или наиболее вероятных.

Иностранная страховая организация должна использовать при расчете статистические данные, собираемые на территории Российской Федерации.

2.3.10. Расчет Математической части, выравниваемой части и Части расходов на обслуживание страховых обязательств должен осуществляться иностранной страховой организацией перспективным методом - на основе актуарных стоимостей предстоящих денежных выплат (поступлений) по договору страхования жизни.

Актуарная стоимость предстоящих денежных выплат (поступлений) вычисляется иностранной страховой организацией путем дисконтирования предполагаемых денежных выплат (поступлений) с учетом вероятностей, с которыми указанные денежные выплаты (поступления) будут осуществлены.

2.3.11. По договорам страхования жизни, предусматривающим выплату выкупных сумм, суммарная величина частей по указанному договору, за исключением Части выплат по произошедшим, но не заявленным страховым случаям, на любую расчетную дату должна быть не менее величины выкупной суммы.

2.3.12. Математическая часть должна рассчитываться иностранной страховой организацией отдельно по каждому договору страхования жизни.

Величина Математической части на календарную дату, месяц и день которой совпадает с месяцем и днем дат вступления договоров страхования в силу (далее - страховая годовщина), должна определяться как разность между актуарной стоимостью страховых выплат по предстоящим страховым случаям и актуарной стоимостью предстоящих поступлений резервируемой нетто-премии.

2.3.13. Величина Математической части на дату расчета, не совпадающую со страховой годовщиной, должна рассчитываться иностранной страховой организацией методом интерполяции через величины Математической части на ближайшие к дате расчета страховые годовщины.

В случае если дата расчета Математической части приходится на период уплаты страховых взносов или период выплаты страховой ренты (аннуитета), полученная величина Математической части должна быть скорректирована иностранной страховой организацией с учетом части годового страхового взноса или годовой выплаты по страховой ренте (аннуитету), относящейся к сроку действия договора страхования жизни после даты расчета.

Резервируемая нетто-премия должна рассчитываться исходя из равенства актуарной стоимости страховых выплат по предстоящим страховым случаям и актуарной стоимости поступлений резервируемой нетто-премии на начало срока действия договора страхования жизни.

В целях расчета Математической части по каждой программе актуарная стоимость страховых выплат по предстоящим страховым случаям и актуарная стоимость поступлений резервируемой нетто-премии должны рассчитываться с использованием единого резервного базиса.

2.3.14. Для расчета Математической части иностранной страховой организацией должны использоваться годовые величины:

суммарная величина резервируемых нетто-премий, подлежащая получению иностранной страховой организацией в течение одного страхового года;

суммарная величина выплат по страховой ренте, подлежащая получению выгодоприобретателем в течение одного страхового года.

2.3.15. С целью учета начальных расходов иностранной страховой организации по заключению договора страхования жизни при расчете Математической части вместо резервируемой нетто-премии иностранная страховая организация может по своему усмотрению использовать цильмеризованную резервируемую нетто-премию.

2.3.16. В случае если на дату расчета Математическая часть по договору страхования жизни принимает отрицательное значение, оно приравнивается к нулю.

На даты расчета, следующие за датой окончания срока действия или досрочного прекращения договора страхования жизни, Математическая часть должна приравниваться к нулю.

Для целей интерполяции по договорам страхования жизни, предусматривающим единовременную страховую выплату при дожитии застрахованным лицом до срока окончания данного договора на страховую годовщину, следующую за датой окончания данного договора, Математическая часть считается иностранной страховой организацией равной величине указанной выплаты.

2.3.17. При изменении страховой суммы, размера и порядка уплаты страховой премии (страховых взносов), срока страхования расчет Математической части на даты расчета, следующие за датой указанного изменения, должен осуществляться иностранной страховой организацией с учетом внесенных изменений страховой суммы, размера и порядка уплаты страховой премии (страховых взносов), срока страхования.

2.3.18. Величина Части выплат по заявленным, но не урегулированным страховым случаям на дату расчета должна определяться иностранной страховой организацией как совокупный объем денежных сумм, включая сумму дополнительных выплат части инвестиционного дохода по договорам страхования жизни, прекратившим свое действие, подлежащих выплате застрахованному лицу (выгодоприобретателю) в связи:

со страховыми случаями, о факте наступления которых было заявлено иностранной страховой организации в соответствии с порядком, предусмотренным договором и (или) правилами страхования;

с дожитием до определенного возраста, срока или иного события, предусмотренного договором страхования жизни;

с досрочным прекращением договора страхования жизни, предусматривающего выплату выкупных сумм;

с досрочным расторжением или внесением изменений в договор страхования жизни, предусматривающий возврат части страховой премии (страховых взносов).

Для расчета итоговой величины Части выплат по заявленным, но не урегулированным страховым случаям, указанные в абзаце первом настоящего подпункта суммы должны увеличиваться иностранной страховой организацией на сумму расходов по осуществлению страховых выплат.

2.3.19. Расчет Части выплат по произошедшим, но не заявленным страховым случаям, должен осуществляться иностранной страховой организацией по совокупности договоров страхования жизни или программ страхования в отношении обязательств иностранной страховой организации в случае смерти и (или) иного события, на случай которого производится страхование, кроме дожития застрахованного лица (страхователя) до определенного возраста или срока, методом расчета на основе анализа динамики страховых выплат.

2.3.20. Расчет Части расходов на обслуживание страховых обязательств должен осуществляться иностранной страховой организацией отдельно по каждому договору страхования жизни.

Величина Части расходов на обслуживание страховых обязательств на страховую годовщину должна определяться иностранной страховой организацией как разность между актуарной стоимостью будущих расходов иностранной страховой организации по обслуживанию договоров страхования жизни после окончания периода уплаты страховой премии (далее - будущие расходы) и актуарной стоимостью предстоящих поступлений резервируемой премии на покрытие будущих расходов.

2.3.21. Величина Части расходов на обслуживание страховых обязательств на расчетную дату, не совпадающую со страховой годовщиной, должна рассчитываться иностранной страховой организацией методом интерполяции через величины Части расходов на обслуживание страховых обязательств на ближайшие к расчетной дате страховые годовщины.

В случае если дата расчета Части расходов на обслуживание страховых обязательств приходится на период уплаты страховых взносов, полученная величина Части расходов на обслуживание страховых обязательств должна быть скорректирована с учетом части годового страхового взноса на покрытие будущих расходов, относящегося к периоду после даты расчета.

Резервируемая премия на покрытие будущих расходов должна рассчитываться иностранной страховой организацией исходя из равенства актуарной стоимости будущих расходов иностранной страховой организации по обслуживанию договоров страхования жизни и актуарной стоимости поступлений резервируемой премии на покрытие будущих расходов на начало срока действия договора страхования жизни.

В целях расчета Части расходов на обслуживание страховых обязательств актуарная стоимость будущих расходов иностранной страховой организации по обслуживанию договоров страхования жизни и актуарная стоимость предстоящих поступлений резервируемой премии на покрытие будущих расходов должны рассчитываться иностранной страховой организацией при использовании единого резервного базиса расчета, совпадающего с базисом расчета Математической части по тому риску, по которому применялся более консервативный базис.

2.3.22. Для расчета Части расходов на обслуживание страховых обязательств иностранная страховая организация должна использовать годовые величины:

суммарную величину резервируемых премий на покрытие будущих расходов, подлежащую получению иностранной страховой организацией в течение одного страхового года;

суммарную величину резервируемых выплат по страховой ренте (аннуитету), подлежащую выплате застрахованному лицу (выгодоприобретателю) в течение одного страхового года.

На даты расчета, следующие за датой окончания срока действия или досрочного прекращения договора страхования жизни, Часть расходов на обслуживание страховых обязательств должна считаться равной нулю.

2.3.23. Расчет Части дополнительных выплат (страховых бонусов) должен осуществляться иностранной страховой организацией отдельно по каждому договору страхования жизни, каждой программе страхования.

Величина Части дополнительных выплат (страховых бонусов) на дату расчета должна определяться иностранной страховой организацией как накопленная стоимость начисленных дополнительных выплат, на которые страхователь (застрахованное лицо, выгодоприобретатель) имеет право в соответствии с условиями договора страхования жизни, уменьшенная на величину осуществленных ранее дополнительных выплат.

При определении величины накопленной стоимости начисленных дополнительных выплат иностранная страховая организация должна учитывать результаты инвестиционной деятельности иностранной страховой организации и порядок начисления инвестиционного дохода, определенного в договоре страхования жизни и правилах страхования, на основании которых он заключен, предусматривающих участие страхователя в инвестиционном доходе страховщика. Величина накопленной стоимости начисленных дополнительных выплат не должна принимать отрицательное значение.

На даты, следующие за датой окончания срока действия или досрочного прекращения договоров страхования жизни, Часть дополнительных выплат (страховых бонусов) должна считаться равной нулю.

В случае если на дату расчета Часть дополнительных выплат (страховых бонусов) по договору страхования жизни принимает отрицательное значение, данное значение должно считаться равным нулю.

На даты, следующие за датой окончания срока действия или досрочного прекращения договоров страхования жизни, Часть дополнительных выплат (страховых бонусов) должна считаться равной нулю.

2.3.24. Расчет Выравнивающей части должен осуществляться иностранной страховой организацией отдельно по каждому договору страхования жизни.

Величина Выравнивающей части на страховую годовщину должна определяться иностранной страховой организацией как актуарная стоимость разности между предстоящими поступлениями резервируемой нетто-премии и 98 процентами поступлений страховой брутто-премии.

Величина Выравнивающей части на расчетную дату, не совпадающую со страховой годовщиной, должна рассчитываться иностранной страховой организацией методом интерполяции через величины Выравнивающей части, рассчитанные на ближайшие предшествующую и последующую страховые годовщины. В случае если дата расчета Выравнивающей части приходится на период уплаты страховых взносов или период выплаты страховой ренты (аннуитета), полученная величина Выравнивающей части должна быть скорректирована иностранной страховой организацией с учетом части годового страхового взноса или годовой выплаты по страховой ренте (аннуитету), относящейся к сроку действия договора страхования жизни после даты расчета.

2.3.25. Расчет Части опций и гарантий должен осуществляться иностранной страховой организацией отдельно по каждому договору страхования жизни.

Величина Части опций и гарантий на дату расчета должна определяться иностранной страховой организацией как актуарная стоимость предстоящих денежных выплат по увеличению страховой суммы или дополнительных выплат в соответствии с условиями договора страхования жизни в связи с изменением доходности актива (группы активов), определенного (определенной) в соответствии с условиями договора страхования жизни, определяющей величину страховой суммы или величины дополнительных выплат, рассчитанная исходя из ожидаемой доходности указанного актива (группы активов).

Глава 3. Особенности формирования иностранной страховой организацией расчетного размера гарантийного депозита филиала иностранной страховой организации по договорам, относящимся к страхованию иному, чем страхование жизни

3.1. Для расчета иностранной страховой организацией частей расчетного размера гарантийного депозита договоры страхования (сострахования, перестрахования), относящиеся к страхованию иному, чем страхование жизни (далее - договоры страхования иного, чем страхование жизни), в зависимости от страховых рисков должны распределяться по следующим учетным группам:

учетная группа 1 "Добровольное медицинское страхование";

учетная группа 2 "Страхование от несчастных случаев и болезней";

учетная группа 3 "Обязательное страхование гражданской ответственности владельцев транспортных средств";

учетная группа 4 "Страхование гражданской ответственности владельцев транспортных средств в рамках международных систем страхования гражданской ответственности владельцев транспортных средств, участником которых является профессиональное объединение страховщиков, действующее в соответствии со статьей 24 Федерального закона от 25 апреля 2002 года N 40-ФЗ "Об обязательном страховании гражданской ответственности владельцев транспортных средств" (Собрание законодательства Российской Федерации, 2002, N 18, ст. 1720; 2021, N 27, ст. 5171) (далее - Федеральный закон от 25 апреля 2002 года N 40-ФЗ);

учетная группа 6 "Страхование ответственности владельцев транспортных средств, кроме указанного в учетных группах 3, 4, 8";

учетная группа 7 "Страхование средств наземного транспорта";

учетная группа 8 "Страхование воздушного, водного транспорта, включая страхование ответственности владельцев указанного транспорта, и страхование грузов";

учетная группа 10 "Страхование имущества, кроме указанного в учетных группах 7 и 8";

учетная группа 12 "Страхование гражданской ответственности застройщика за неисполнение или ненадлежащее исполнение обязательств по передаче жилого помещения участнику долевого строительства по договору участия в долевом строительстве";

учетная группа 13 "Страхование ответственности туроператоров за неисполнение или ненадлежащее исполнение обязательств по договору о реализации туристского продукта";

учетная группа 14 "Страхование ответственности, кроме указанного в учетных группах 3, 4, 6, 8, 12 и 13";

учетная группа 15 "Страхование финансовых и предпринимательских рисков";

учетная группа 16 "Страхование лиц, выезжающих за пределы постоянного места жительства";

учетная группа 17 "Договоры, принятые в перестрахование, кроме договоров перестрахования, в соответствии с условиями которых у перестраховщика возникает обязанность по возмещению заранее установленной доли в каждой страховой выплате, производимой страховщиком по каждому принятому в перестрахование договору (договорам), по которому произошел убыток, подпадающий под действие договора перестрахования (договоры непропорционального перестрахования)".

Договоры перестрахования, в соответствии с условиями которых у перестраховщика возникает обязанность по возмещению заранее установленной доли в каждой страховой выплате, производимой страховщиком (перестрахователем) по каждому принятому в перестрахование основному договору (договорам), по которому произошел убыток, подпадающий под действие договора перестрахования (договоры пропорционального перестрахования), должны относится к тем же учетным группам, что и договоры страхования (сострахования).

3.2. Иностранная страховая организация может внутри каждой учетной группы, предусмотренной в пункте 3.1 настоящего Положения, вводить дополнительные учетные группы в зависимости от условий договоров страхования иного, чем страхование жизни, продолжительности сроков страхования, частоты причинения ущерба, размеров возможного ущерба, продолжительности урегулирования убытков, объектов страхования и их местонахождения, перечня страховых рисков, а также иных условий. В случае наличия дополнительных учетных групп величина частей расчетного размера гарантийного депозита по учетной группе должна быть равна сумме величин части по всем дополнительным учетным группам, входящим в ее состав.

3.3. В случае заключения иностранной страховой организацией договоров страхования иного, чем страхование жизни, относящихся к нескольким учетным группам, предусмотренным в пункте 3.1 настоящего Положения, для целей расчета иностранной страховой организацией частей расчетного размера гарантийного депозита указанные договоры должны разделяться на отдельные условные договоры (перечень показателей, содержащихся в указанных договорах или возникающих при их исполнении), каждый из которых относится к одной из указанных учетных групп.

3.4. Формирование расчетного размера гарантийного депозита по договорам страхования иного, чем страхование жизни, должно осуществляться иностранной страховой организацией как совокупность следующих частей.

3.4.1. Часть незаработанной премии, под которой понимается часть страховой премии по договору страхования иного, чем страхование жизни, относящаяся к периоду действия указанного договора, выходящему за пределы расчетного периода (незаработанной премии), являющуюся источником для исполнения обязательств по обеспечению предстоящих страховых выплат, которые могут возникнуть после расчетной даты.

3.4.2. Часть убытков, состоящая из следующих частей:

часть заявленных, но не урегулированных убытков, под которой понимается расчетная величина неисполненных или исполненных не полностью на расчетную дату обязательств иностранной страховой организации по осуществлению страховых выплат, о факте наступления которых в установленном законом или договором страхования иного, чем страхование жизни, порядке заявлено иностранной страховой организации в расчетном или предшествующих ему периодах;

часть произошедших, но не заявленных убытков, под которой понимается расчетная величина обязательств иностранной страховой организации по осуществлению страховых выплат, возникших в связи со страховыми случаями, произошедшими в расчетном или предшествующих ему периодах, о факте наступления которых в установленном законом или договором страхования иного, чем страхование жизни, порядке не заявлено иностранной страховой организации в расчетном или предшествующих ему периодах;

часть расходов на урегулирование убытков, под которой понимается расчетная величина будущих расходов (прямых и косвенных, указанных в подпункте 3.9.1 пункта 3.9 настоящего Положения), относящихся к урегулированию убытков, произошедших в отчетном и предшествующих ему периодах, включающая сумму денежных средств, необходимых иностранной страховой организации для оплаты экспертных, консультационных или иных услуг, связанных с оценкой размера и снижением ущерба (вреда), нанесенного имущественным интересам страхователей (расходы по урегулированию убытков) в связи со страховыми случаями.

3.4.3. Часть расчетного размера гарантийного депозита для компенсации расходов на осуществление страховых выплат и прямое возмещение убытков по обязательному страхованию гражданской ответственности владельцев транспортных средств в последующие периоды (далее - Часть для компенсации расходов по обязательному страхованию гражданской ответственности владельцев транспортных средств), под которой понимается часть, формируемая иностранной страховой организацией для компенсации расходов на осуществление страховых выплат и прямое возмещение убытков в последующие периоды в соответствии со статьей 26.1 Федерального закона от 25 апреля 2002 года N 40-ФЗ (Собрание законодательства Российской Федерации, 2002, N 18, ст. 1720; 2021, N 27, ст. 5171).

3.5. Величина частей, указанных в абзаце третьем подпункта 3.4.2 и подпункте 3.4.3 пункта 3.4 настоящего Положения на расчетную дату, не совпадающую с отчетной, должна приниматься иностранной страховой организацией равной величине данных частей на предшествующую расчетной отчетную дату.

3.6. Иностранная страховая организация должна использовать следующие методы расчета частей расчетного размера гарантийного депозита по договорам страхования иного, чем страхование жизни.

3.6.1. Расчет Части незаработанной премии должен производиться иностранной страховой организацией отдельно по каждой учетной группе, предусмотренной пунктом 3.1 настоящего Положения, по которым распределяются договоры страхования иного, чем страхование жизни.

Величина Части незаработанной премии должна определяться иностранной страховой организацией путем суммирования Частей незаработанной премии по всем учетным группам, предусмотренным пунктом 3.1 настоящего Положения.

В случае если договором страхования иного, чем страхование жизни, предусмотрены периоды времени, в течение которых иностранная страховая организация не несет ответственность по данному договору страхования, при расчете Части незаработанной премии иностранная страховая организация должна учитывать информацию о периодах несения ответственности.

Для целей расчета частей расчетного размера гарантийного депозита периодом несения ответственности признается период времени, в течение которого действует ответственность иностранной страховой организации по исполнению обязательств по договору страхования иного, чем страхование жизни, обусловленных возможным наступлением страхового случая в этот период.

При расчете Части незаработанной премии по договору обязательного страхования гражданской ответственности владельцев транспортных средств, заключенному с учетом сезонного использования транспортного средства, периодом несения ответственности должен считаться период (периоды) использования транспортного средства, а неистекшим на отчетную дату периодом несения ответственности - неистекший период (периоды) использования транспортного средства.

В случае если договором застраховано более одного объекта страхования с различными периодами несения ответственности и (или) объект (объекты) страхования застрахован (застрахованы) более чем от одного страхового риска с различными периодами несения ответственности, иностранная страховая организация должна определять Часть незаработанной премии исходя из показателей, соответствующих каждому объекту, страховому риску и периоду несения ответственности.

3.6.2. Величина Части незаработанной премии должна определяться иностранной страховой организацией как сумма двух показателей: базовой части Части незаработанной премии и дополнительной части Части незаработанной премии.

3.6.3. Для целей расчета базовой части Части незаработанной премии страховая премия (страховая брутто-премия) по договору страхования (сострахования) иного, чем страхование жизни, уменьшается на сумму вознаграждения за заключение указанного договора страхования (сострахования) и отчислений от страховой брутто-премии в фонд компенсационных выплат, осуществляемых за счет средств профессионального объединения страховщиков в соответствии со статьей 27 Федерального закона от 25 апреля 2002 года N 40-ФЗ (Собрание законодательства Российской Федерации, 2002, N 18, ст. 1720; 2016, N 22, ст. 3094) (далее - отчисления от страховой брутто-премии в фонд компенсационных выплат).

Для целей расчета базовой части незаработанной премии (базовой части Части незаработанной премии) страховая брутто-премия по договору (договорам) страхования иного, чем страхование жизни, принятому (принятым) в перестрахование, должна уменьшаться иностранной страховой организацией на сумму вознаграждения по договору (договорам) страхования иного, чем страхование жизни, принятому (принятым) в перестрахование.

Полученные величины в дальнейшем именуются базовыми страховыми премиями по договорам страхования иного, чем страхование жизни.

3.6.4. Для целей расчета дополнительной части Части незаработанной премии вознаграждение за заключение договора страхования (сострахования) иного, чем страхование жизни, должно увеличиваться иностранной страховой организацией на отчисления от страховой брутто-премии в фонд компенсационных выплат.

Полученная величина в дальнейшем именуется дополнительной частью страховой премии по договору страхования иного, чем страхование жизни.

Для целей расчета дополнительной части незаработанной премии (дополнительной части Части незаработанной премии) дополнительная часть страховой премии по договору (договорам) страхования иного, чем страхование жизни, принятому (принятым) в перестрахование, должна быть равна сумме вознаграждения по договору (договорам) страхования иного, чем страхование жизни, принятому (принятым) в перестрахование.

3.6.5. Для расчета величины базовой части незаработанной премии (базовой части Части незаработанной премии) и величины дополнительной части незаработанной премии (дополнительной части Части незаработанной премии) должны использоваться методы, приведенные в приложении 1 к настоящему Положению.

При этом для каждого договора страхования иного, чем страхование жизни, расчет величины дополнительной части незаработанной премии (дополнительной части Части незаработанной премии) должен осуществляться иностранной страховой организацией тем же методом, что и расчет величины базовой части незаработанной премии (базовой части Части незаработанной премии).

3.6.6. По договорам страхования иного, чем страхование жизни, относящимся к учетным группам 1 - 4, 6 - 8, 10, 12 - 16 расчет базовой части Части незаработанной премии и дополнительной части Части незаработанной премии должен производиться иностранной страховой организацией методом, указанным в пункте 1 приложения 1 к настоящему Положению. В случае страхования по генеральному полису или если в силу специфики взаиморасчетов между иностранной страховой организацией и страхователем (порядка представления иностранной страховой организации сведений о заключенных договорах страхования иного, чем страхование жизни) для целей определения частей расчетного размера гарантийного депозита устанавливать даты начала и окончания указанных договоров нецелесообразно, по договорам страхования иного, чем страхование жизни, относящимся к учетным группам 3, 4, 8, 16, расчет Части незаработанной премии может производиться методами, указанными в пунктах 2 и 3 приложения 1 к настоящему Положению.

3.6.7. По договорам перестрахования (договорам пропорционального перестрахования и договорам, относящимся к учетной группе 17) расчет базовой части Части незаработанной премии и дополнительной части Части незаработанной премии может производиться иностранной страховой организацией по ее усмотрению как методом, указанным в пункте 1 приложения 1 к настоящему Положению, так и методами, указанными в пунктах 2 и 3 приложения 1 к настоящему Положению.

3.6.8. По заключенным договорам страхования иного, чем страхование жизни, о которых на отчетную дату иностранная страховая организация не имеет данных в связи с получением ею первичных учетных документов после заключения указанных договоров страхования, базовая часть Части незаработанной премии равна сумме наилучшей оценки ожидаемой страховой премии на отчетную дату по указанным договорам, уменьшенной на долю вознаграждения за их заключение в сумме наилучшей оценки ожидаемой страховой премии и долю отчислений в фонд компенсационных выплат, предусмотренный статьей 27 Федерального закона от 25 апреля 2002 года N 40-ФЗ, в сумме наилучшей оценки ожидаемой страховой премии (далее - доля отчислений в фонд компенсационных выплат в сумме наилучшей оценки ожидаемой страховой премии).

По заключенным договорам страхования иного, чем страхование жизни, о которых на отчетную дату иностранная страховая организация не имеет данных в связи с получением ею первичных учетных документов после заключения указанных договоров, дополнительная часть Части незаработанной премии равна сумме доли вознаграждения за их заключение в сумме наилучшей оценки ожидаемой страховой премии и доли отчислений в фонд компенсационных выплат в сумме наилучшей оценки ожидаемой страховой премии.

3.7. Расчет части заявленных, но не урегулированных убытков, должен производиться иностранной страховой организацией следующим методом.

3.7.1. Расчет части заявленных, но не урегулированных убытков, должен производиться отдельно по каждой учетной группе. Величина части заявленных, но не урегулированных убытков, должна определяться путем суммирования частей заявленных, но не урегулированных убытков, рассчитанных по всем учетным группам.

3.7.2. В качестве базы расчета части заявленных, но не урегулированных убытков, иностранной страховой организацией должен приниматься размер неурегулированных на расчетную дату обязательств иностранной страховой организации, подлежащих оплате в связи со страховыми случаями, о факте наступления которых в установленном законом или договором страхования иного, чем страхование жизни, порядке заявлено иностранной страховой организации.

3.7.3. В целях расчета части заявленных, но не урегулированных убытков, по учетной группе 3 в части прямого возмещения убытков датой заявления убытка является дата поступления предварительного уведомления от страховщика, который вправе осуществлять прямое возмещение убытков в соответствии со статьей 26.1 Федерального закона от 25 апреля 2002 года N 40-ФЗ.

3.7.4. При расчете части заявленных, но не урегулированных убытков, по учетной группе 4 иностранная страховая организация должна оценивать заявленные убытки исходя из полученной ей от иностранных представителей, уполномоченных на рассмотрение требований потерпевших о наступивших страховых случаях (включая национальные страховые бюро) в рамках осуществления страхования гражданской ответственности владельцев транспортных средств в рамках международных систем страхования гражданской ответственности владельцев транспортных средств, участником которых является профессиональное объединение страховщиков, действующее в соответствии со статьей 31 Федерального закона от 25 апреля 2002 года N 40-ФЗ (Собрание законодательства Российской Федерации, 2002, N 18, ст. 1720; 2019, N 18, ст. 2212) (далее - международная система страхования "Зеленая карта"), информации о предполагаемом размере ущерба на территории стран - членов указанной международной системы страхования, нанесенного владельцами транспортных средств, зарегистрированных на территории Российской Федерации, чья ответственность застрахована в рамках международной системы страхования "Зеленая карта".

3.7.5. При расчете части заявленных, но не урегулированных убытков, по учетной группе 9 в случае получения информации о наличии страхового случая по объекту строительства, к которому относится договор страхования иного, чем страхование жизни, часть заявленных, но не урегулированных убытков, должна определяться иностранной страховой организацией в размере страховой суммы по указанному договору.

3.7.6. В случае если о страховом случае заявлено, но размер заявленного убытка, подлежащего оплате иностранной страховой организацией в соответствии с условиями договора страхования иного, чем страхование жизни, не установлен, иностранная страховая организация должна принимать для определения расчетного размера гарантийного депозита максимально возможную величину убытка, оцененную иностранной страховой организацией исходя из предварительно полученной иностранной страховой организацией информации о страховом случае либо исходя из практики урегулирования иностранной страховой организацией убытков по данному виду страхования, не превышающую страховую сумму.

В случае если иностранная страховая организация применяет оценку, основанную на предварительно полученной информации, перечень и формы документов, содержащих указанную информацию, должны быть установлены в ее внутренних документах.

В случае если иностранная страховая организация применяет оценку, основанную на практике урегулирования аналогичных убытков в прошлом, порядок такой оценки должен раскрываться иностранной страховой организацией во внутренних документах.

3.7.7. В случае если по договору страхования иного, чем страхование жизни, относящемуся к учетной группе 4, заявлено о страховом случае, но размер заявленного убытка не установлен, величина убытка должна приниматься иностранной страховой организацией равной средней сумме страховой выплаты.

Расчет средних сумм страховых выплат по договорам страхования иного, чем страхование жизни, относящимся к учетной группе 4, производится профессиональным объединением страховщиков, осуществляющим функции национального страхового бюро международной системы страхования "Зеленая карта", на основании статистических данных страховщиков и иностранных бюро - членов международной системы страхования "Зеленая карта", содержащих сведения о страховых случаях, страховых выплатах, об уровне убыточности страховых операций. Средние суммы страховых выплат по договорам, относящимся к учетной группе 4, должны быть дифференцированы в зависимости от вида ущерба (имущественный ущерб и ущерб, причиненный жизни и (или) здоровью третьих лиц) и страны, на территории которой произошел страховой случай. Средние суммы страховых выплат по договорам, относящимся к учетной группе 4, должны пересматриваться указанным лицом не реже одного раза в год.

3.8. Расчет части произошедших, но не заявленных убытков, должен производиться иностранной страховой организацией следующим методом.

3.8.1. Расчет части произошедших, но не заявленных убытков, должен производиться иностранной страховой организацией отдельно по каждой учетной группе, предусмотренной пунктом 3.1 настоящего Положения.

Величина части произошедших, но не заявленных убытков, должна определяться иностранной страховой организацией путем суммирования частей произошедших, но не заявленных убытков, рассчитанных по всем учетным группам, предусмотренным пунктом 3.1 настоящего положения.

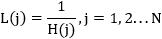
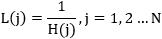
3.8.2. Расчет части произошедших, но не заявленных убытков, на отчетную дату должен осуществляться иностранной страховой организацией в отдельности по каждой учетной группе, предусмотренной пунктом 3.1 настоящего Положения, в соответствии с приложением 2 к настоящему Положению.

3.8.3. Заработанная страховая премия за определенный период в целях расчета Части произошедших, но не заявленных убытков, должна определяться иностранной страховой организацией как страховая брутто-премия за данный период, по договорам страхования иного, чем страхование жизни, страхование обусловленное которыми началось в указанном периоде (но не ранее даты заключения договора), отраженная в журналах, указанных в пункте 5.3 настоящего Положения, с учетом отражения ее изменений в сторону увеличения или уменьшения в результате ранее допущенных ошибок (при их наличии) и в результате изменения условий указанных договоров, увеличенная на сумму наилучшей оценки ожидаемой страховой премии по договорам страхования иного, чем страхование жизни, относящимся к отчетному периоду, но о которых на конец данного периода иностранная страховая организация не имела данных в связи с получением первичных учетных документов после заключения указанного договора, уменьшенная на изменение величины Части незаработанной премии, равное величине Части незаработанной премии, определенной на конец периода, уменьшенной на величину Части незаработанной премии, определенной на начало данного периода, за который определяется Заработанная страховая премия.

3.8.4. Сформированные иностранной страховой организацией по учетным группам 3 и 7 части произошедших, но не заявленных убытков, могут быть уменьшены иностранной страховой организацией по ее усмотрению на величину оценки будущих поступлений по суброгациям, регрессам и поступлений от реализаций годных остатков соответственно по учетным группам 3 и 7.

Оценка будущих поступлений по суброгациям, регрессам и поступлений от реализаций годных остатков должна производиться иностранной страховой организацией в следующем порядке:

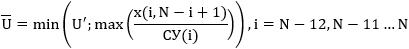
оценка будущих поступлений по суброгациям, регрессам и поступлений от реализаций годных остатков должна осуществляться иностранной страховой организацией в соответствии с методом, изложенным в приложении 3 к настоящему Положению;

итоговая оценка будущих поступлений по суброгациям, регрессам и поступлений от реализаций годных остатков по учетной группе должна быть приравнена иностранной страховой организацией к минимальному из двух значений: величине, полученной в соответствии с пунктом 14 приложения 3 к настоящему Положению, или 10 процентам от величины страховых выплат по учетной группе, предусмотренной пунктом 3.1 настоящего Положения, по которой производится оценка, за четыре квартала, предшествующие отчетной дате;

в случае если оценка будущих поступлений по суброгациям, регрессам и поступлений от реализации годных остатков превышает величину части произошедших, но не заявленных убытков, по учетной группе, то оценка будущих поступлений по суброгациям, регрессам и поступлений от реализации остатков должна приниматься иностранной страховой организацией равной величине части произошедших, но не заявленных убытков по данной учетной группе.

3.9. Расчет части расходов на урегулирование убытков должен производиться иностранной страховой организацией следующим методом.

3.9.1. Расчет части расходов на урегулирование убытков должен производиться иностранной страховой организацией отдельно по каждой учетной группе.

Величина части расходов на урегулирование убытков должна определяться иностранной страховой организацией путем суммирования частей расходов на урегулирование убытков, определенных по всем учетным группам.

Расчет части расходов на урегулирование убытков по каждой учетной группе должен производиться иностранной страховой организацией как сумма части расходов на урегулирование страховых убытков в части прямых расходов и части расходов на урегулирование страховых убытков в части косвенных расходов.

Прямые расходы представляют собой расходы, которые относятся к урегулированию конкретных убытков по договорам страхования иного, чем страхование жизни. Прямые расходы должны учитываться иностранной страховой организацией при определении расчетного размера гарантийного депозита филиала, через который осуществлялась деятельность иностранной страховой организации по заключению договора.

К прямым расходам для целей настоящего Положения относятся:

расходы на оплату иностранной страховой организацией услуг экспертов (сюрвейеров, аварийных комиссаров, прочих специалистов), расходы на проведение переговоров (расходы на телефонные переговоры, организацию встреч со страхователями и экспертами, командировочные расходы) и прочие;

компенсация страхователю понесенных им расходов в целях уменьшения размера убытков (в случае необходимости) при выполнении указаний иностранной страховой организации при наступлении страхового случая;

взысканные судом с иностранной страховой организации в пользу истца (страхователя, застрахованного, выгодоприобретателя) суммы на компенсацию судебных издержек, морального вреда и прочие выплаченные иностранной страховой организацией суммы, связанные с процессами урегулирования убытков и защиты прав потребителя страховых услуг.

Косвенные расходы представляют собой расходы, которые не могут быть отнесены на конкретный убыток. Для целей настоящего Положения к косвенным расходам относятся расходы по заработной плате сотрудников, участвующих в урегулировании убытков, амортизационные отчисления по имуществу иностранной страховой организации, используемому при осуществлении мероприятий по урегулированию убытков, арендная плата, управленческие расходы и другие.

3.9.2. Расчет части расходов по урегулированию убытков должен осуществляться иностранной страховой организацией на основе фактических данных о ее расходах, связанных с рассмотрением заявленных убытков, их урегулированием, определением размера выплат по договорам в прошлые отчетные периоды, а также, по усмотрению иностранной страховой организации, может включать оценку будущих расходов иностранной страховой организации на судебные издержки, штрафы и иные расходы, указанные в абзаце восьмом подпункта 3.9.1 настоящего пункта.

3.9.3. Часть расходов по урегулированию убытков в части прямых расходов должна рассчитываться иностранной страховой организацией как процент от суммы части заявленных, но не урегулированных убытков, и части произошедших, но не заявленных убытков, или, по усмотрению иностранной страховой организации, как абсолютная величина.

3.9.4. Часть расходов по урегулированию убытков в части косвенных расходов должна рассчитываться иностранной страховой организацией как процент от суммы части заявленных, но не урегулированных убытков и части произошедших, но не заявленных убытков.

3.9.5. Суммарная величина части расходов по урегулированию убытков по всем учетным группам должна быть не менее 3 процентов от суммарной величины части заявленных, но не урегулированных убытков, и части произошедших, но не заявленных убытков.

3.10. Часть для компенсации расходов по обязательному страхованию гражданской ответственности владельцев транспортных средств должна быть приравнена иностранной страховой организацией к 10 процентам размера Части выплат по произошедшим, но не заявленным убыткам, по обязательному страхованию гражданской ответственности владельцев транспортных средств на конец отчетного периода.

Глава 4. Требования к положению о формировании расчетного размера гарантийного депозита филиала иностранной страховой организации

4.1. Положение о формировании расчетного размера гарантийного депозита по договорам страхования жизни должно содержать:

перечень применяемых иностранной страховой организацией терминов и обозначений;

описание программ страхования, определяющих совокупность условий страхования, указанных в правилах страхования и необходимых для расчета иностранной страховой организацией частей расчетного размера гарантийного депозита;

состав частей расчетного размера гарантийного депозита;

формулу расчета резервируемой нетто-премии по каждой программе страхования;

описание методов и формулы расчета иностранной страховой организацией частей расчетного размера гарантийного депозита по каждой программе страхования;

описание интерполяции величины частей расчетного размера гарантийного депозита на расчетную дату по величинам частей расчетного размера гарантийного депозита на ближайшие страховые годовщины;

резервный базис по программе страхования, в том числе по каждому страховому риску;

описание методов и формулы расчета нормы (ставки) доходности;

наименование источников получения таблиц смертности, заболеваемости, инвалидности, описание и обоснование методов их корректировок;

порядок расчета и начисления дополнительных выплат части инвестиционного дохода по договорам страхования, предусматривающим участие в инвестиционном доходе иностранной страховой организации.

4.2. В описании программ страхования по договорам страхования жизни иностранной страховой организацией должны быть указаны следующие условия страхования:

страховые риски (смерть страхователя (застрахованного лица), дожитие страхователя (застрахованного лица) до определенного возраста, срока или наступление иных событий в жизни страхователя (застрахованного лица), предусмотренных договором);

сроки страхования и периоды уплаты страховой премии, определенные договором страхования;

порядок уплаты страховой премии (единовременно, путем внесения страховых взносов периодически, в установленные договором страхования сроки);

порядок выплаты страховой суммы (единовременно, регулярно, в течение определенного договором страхования срока, в форме страховой ренты, аннуитетов, страховых пенсий);

размер страховой суммы (постоянная, возрастающая или убывающая);

формы участия страхователя (застрахованного лица) в инвестиционном доходе иностранной страховой организации, порядок его начисления, а также периодичность осуществления дополнительных выплат части инвестиционного дохода;

порядок расчета и выплаты выкупной суммы при досрочном прекращении договора страхования;

изменение условий страхования, влияющих на расчет частей расчетного размера гарантийного депозита.

4.3. В описании программ страхования иностранная страховая организация должна указать наименование правил страхования, а также дату утверждения иностранной страховой организацией.

4.4. Положение о формировании расчетного размера гарантийного депозита по договорам страхования иного, чем страхование жизни, должно содержать:

перечень учетных групп, на которые распределены договоры для целей расчета иностранной страховой организацией частей расчетного размера гарантийного депозита;

порядок распределения данных по линиям бизнеса, по которым иностранной страховой организацией осуществляется ведение бухгалтерского учета, по учетным группам;

состав частей расчетного размера гарантийного депозита;

перечень методов, используемых иностранной страховой организацией для расчета частей расчетного размера гарантийного депозита, их описание и условия применения;

порядок расчета в соответствии с подпунктом 3.6.8 пункта 3.6 настоящего Положения доли вознаграждения за заключение договоров страхования иного, чем страхование жизни, в сумме наилучшей оценки ожидаемой страховой премии и доли отчислений в фонд компенсационных выплат в сумме наилучшей оценки ожидаемой страховой премии, исходя из фактических данных по каждой учетной группе;

перечень расходов, классифицируемых иностранной страховой организацией в соответствии с подпунктом 3.9.1 пункта 3.9 настоящего Положения как расходы на урегулирование убытков, а также критерии их классификации на прямые и косвенные и методология распределения расходов между учетными группами;

конкретный процент от суммы части заявленных, но не урегулированных убытков, и части произошедших, но не заявленных убытков, или абсолютная величина, используемые иностранной страховой организацией при расчете Части расходов на урегулирование убытков в части прямых расходов по каждой учетной группе в соответствии с подпунктом 3.9.3 пункта 3.9 настоящего Положения;

конкретный размер процента от суммы части заявленных, но не урегулированных убытков, и части произошедших, но не заявленных убытков, или порядок его определения, используемые иностранной страховой организацией при расчете части расходов по урегулированию убытков в части косвенных расходов в соответствии с подпунктом 3.9.4 пункта 3.9 настоящего Положения;

количество периодов, предшествующих отчетной дате, которые включаются в статистическую базу для расчета части произошедших, но не заявленных убытков, по каждой отдельной учетной группе и по каждой дополнительной учетной группе в соответствии с пунктом 14 приложения 2 к настоящему Положению;

в случаях, предусмотренных пунктом 3 приложения 3 к настоящему Положению, количество периодов, предшествующих отчетной дате, которые включаются в статистическую базу для оценки будущих поступлений по суброгациям и поступлений от реализации годных остатков.

Глава 5. Требования к документам, содержащим сведения, необходимые для формирования расчетного размера гарантийного депозита филиала иностранной страховой организации, и сроки хранения таких документов

5.1. Документы, содержащие сведения, необходимые для формирования расчетного размера гарантийного депозита по договорам страхования жизни и включаемые в журнал учета договоров страхования и страховых выплат по страхованию жизни, должны включать в себя в отношении каждого договора страхования жизни следующие сведения:

номер договора страхования жизни (полиса);

фамилию, имя, отчество (последнее - при наличии) страхователя, если страхователь - физическое лицо, или наименование, организационно-правовую форму, идентификационный номер налогоплательщика и другие реквизиты страхователя, если страхователь - юридическое лицо;

фамилию, имя, отчество (последнее - при наличии), возраст и пол застрахованного лица (застрахованных лиц), иные их характеристики, включенные в договор страхования жизни и оказывающие влияние на величину страхового тарифа;

фамилию, имя, отчество (последнее - при наличии), возраст выгодоприобретателя (выгодоприобретателей);

дату заключения и дату вступления договора страхования жизни в силу;

дату изменения условий договора страхования жизни;

срок действия договора страхования жизни;

перечень страховых случаев, предусмотренных договором страхования жизни;

размеры, сроки, периодичность уплаты страховой премии (взносов) согласно условиям договора страхования жизни;

размеры, сроки, периодичность осуществления страховых выплат согласно условиям договора страхования жизни;

дату фактического поступления страховой премии или первого страхового взноса при уплате страховой премии в рассрочку;

дату наступления и наименование страхового случая;

дату представления страховщику заявления о страховой выплате и документов, необходимых для решения вопроса о страховой выплате;

даты и размеры фактически осуществленных страховых выплат;

даты и размеры начисленных и выплаченных дополнительных выплат;

дату досрочного прекращения договора страхования жизни, размер и дату выплаты выкупной суммы;

условия, действовавшие до внесения изменений в договор страхования жизни.

5.2. Документы, содержащие сведения, необходимые для формирования расчетного размера гарантийного депозита по договорам страхования иного, чем страхование жизни, и включаемые в журнал учета заключенных договоров страхования (сострахования), журнал учета убытков и досрочно прекращенных договоров страхования (сострахования), журнал учета договоров, принятых в перестрахование, и журнал учета убытков по договорам, принятым в перестрахование, должны включать в себя в отношении каждого договора страхования иного, чем страхование жизни, следующие сведения:

номер и дату заключения договора;

дату вступления договора в силу;

дату начала несения ответственности;

срок действия договора;

период (периоды) несения ответственности, если данный период (периоды) не совпадает со сроком действия договора;

размер (размеры) страховой суммы (сумм);

размер страховой премии (взносов);

дату (даты), когда признается страховая премия (взносы);

размер (размеры) и дату (даты) уплаты страховой премии (взносов);

размер вознаграждения за заключение договора страхования иного, чем страхование жизни;

размер отчислений от страховой премии (взносов) в случаях, предусмотренных законодательством Российской Федерации;

дату досрочного прекращения (расторжения) договора;

дату (даты) изменения условий договора;

размер страховой премии (взносов), возвращенной (возвращенных) страхователям (перестрахователям) в связи с досрочным прекращением (изменением условий) договора;

дату возврата страховой премии (взносов);

сумму и дату (даты) уменьшения страховой премии (взносов) в связи с изменением условий договора;

сумму и дату (даты) уменьшения страховой премии (взносов) в связи с ошибочно признанной премией по договору;

сумму и дату (даты) уменьшения страховой премии (взносов) в связи с досрочным расторжением договора;

дату (даты) поступления заявления о страховом случае (случаях);

дату (даты) наступления страхового случая (случаев);

идентификационный номер страхового случая;

размер (размеры) заявленного убытка (убытков), а также информацию об изменении о дате (датах) и размере (размерах) изменений заявленного убытка (убытков) в процессе его (их) урегулирования с указанием идентификационного номера страхового случая;

дату (даты) осуществления страховой выплаты (выплат) с указанием идентификационного номера страхового случая;

размер (размеры) страховой выплаты (выплат) с указанием идентификационного номера страхового случая;

дату (даты) отказа в страховой выплате (выплатах) с указанием идентификационного номера страхового случая;

основание (основания) отказа в страховой выплате (выплатах) с указанием идентификационного номера страхового случая;

дату поступления предварительного уведомления о страховом случае по договору обязательного страхования гражданской ответственности владельцев транспортных средств от страховщика, который осуществляет прямое возмещение убытков в соответствии со статьей 26.1 Федерального закона от 25 апреля 2002 года N 40-ФЗ;

дату поступления требования об оплате возмещенного вреда по договору обязательного страхования гражданской ответственности владельцев транспортных средств от страховщика, который осуществляет прямое возмещение убытков в соответствии со статьей 26.1 Федерального закона от 25 апреля 2002 года N 40-ФЗ;

дату поступления сообщения об отказе потерпевшему в прямом возмещении убытков по договору обязательного страхования гражданской ответственности владельцев транспортных средств от страховщика, который осуществляет прямое возмещение убытков в соответствии со статьей 26.1 Федерального закона от 25 апреля 2002 года N 40-ФЗ;

дату принятия к бухгалтерскому учету страховой выплаты по договору обязательного страхования гражданской ответственности владельцев транспортных средств, причитающейся к перечислению страховщику, осуществившему прямое возмещение убытков в соответствии со статьей 26.1 Федерального закона от 25 апреля 2002 года N 40-ФЗ;

размер (размеры) сумм по суброгациям, регрессам и сумм от реализации годных остатков с указанием идентификационного номера страхового случая и дат возникновения права на них у иностранной страховой организации;

размер (размеры) и дату (даты) полученных сумм по суброгациям, регрессам и сумм от реализации годных остатков с указанием идентификационного номера страхового случая и даты получения.

5.3. Формы журнала учета договоров страхования и страховых выплат по страхованию жизни, журнала учета заключенных договоров страхования (сострахования), относящихся к страхованию иному, чем страхование жизни, журнала учета убытков и досрочно прекращенных договоров страхования (сострахования), относящихся к страхованию иному, чем страхование жизни, журнала учета договоров, принятых в перестрахование, и журнала учета убытков по договорам, принятым в перестрахование, а также порядок их заполнения должны устанавливаться иностранной страховой организацией в ее внутренних документах.

5.4. Документы, содержащие сведения, необходимые для формирования расчетного размера гарантийного депозита, должны храниться иностранной страховой организацией на территории Российской Федерации на протяжении всего времени действия договоров страхования (сострахования, перестрахования), сведения о которых содержатся в указанных документах, и не менее 5 лет с даты полного исполнения иностранной страховой организацией обязательств по указанным договорам.

Глава 6. Заключительные положения

6.1. Настоящее Положение вступает в силу по истечении 10 дней после дня его официального опубликования.

Председатель Центрального банка
Российской Федерации
Э.С. НАБИУЛЛИНА

Приложение 1
к Положению Банка России
от 16.08.2021 N 769-П
"О расчетном размере гарантийного
депозита филиала иностранной
страховой организации"

МЕТОДЫ РАСЧЕТА БАЗОВОЙ ЧАСТИ ЧАСТИ НЕЗАРАБОТАННОЙ ПРЕМИИ И ДОПОЛНИТЕЛЬНОЙ ЧАСТИ ЧАСТИ НЕЗАРАБОТАННОЙ ПРЕМИИ ПО ДОГОВОРАМ СТРАХОВАНИЯ ИНОГО, ЧЕМ СТРАХОВАНИЕ ЖИЗНИ

1. Метод расчета Части незаработанной премии "pro rata temporis" представляет собой расчет Части незаработанной премии по каждому договору страхования иного, чем страхование жизни, как произведение базовой страховой премии по указанному договору на отношение не истекшего на отчетную дату периода несения ответственности (в днях) ко всему периоду несения ответственности (в днях).

В случае если период несения ответственности не определен, расчет Части незаработанной премии осуществляется исходя из срока действия договора страхования иного, чем страхование жизни.

Базовая часть Части незаработанной премии методом "pro rata temporis" определяется по каждому договору страхования иного, чем страхование жизни как произведение базовой страховой премии по указанному договору на отношение не истекшего на отчетную дату периода несения ответственности (в днях) ко всему периоду несения ответственности (в днях).

Базовая часть Части незаработанной премии методом "pro rata temporis" в целом по учетной группе определяется путем суммирования базовых частей Части незаработанной премии, рассчитанных по каждому договору страхования иного, чем страхование жизни.

Дополнительная часть Части незаработанной премии методом "pro rata temporis" определяется по каждому договору страхования иного, чем страхование жизни, как произведение дополнительной части страховой премии по указанному договору на отношение не истекшего на отчетную дату периода несения ответственности (в днях) ко всему периоду несения ответственности (в днях).

Дополнительная часть Части незаработанной премии методом "pro rata temporis" в целом по учетной группе определяется путем суммирования дополнительных частей Части незаработанной премии, рассчитанных по каждому договору страхования иного, чем страхование жизни.

2. Метод расчета Части незаработанной премии "1/24" представляет собой расчет Части незаработанной премии посредством группировки договоров, страхования иного, чем страхование жизни, относящихся к одной учетной группе, по подгруппам, в которые включаются указанные договоры с одинаковыми сроками действия (в месяцах) и с датами начала их действия, приходящимися на одинаковые месяцы. В подгруппу включаются договоры страхования иного, чем страхование жизни, с одинаковыми сроками действия (в месяцах) и с датами начала их действия, приходящимися на одинаковые месяцы.

Для расчета Части незаработанной премии методом "1/24" принимаются иностранной страховой организацией следующие условия:

дата начала действия договора страхования иного, чем страхование жизни, должна приходиться на середину месяца;

срок действия договора страхования иного, чем страхование жизни, не равный целому числу месяцев, должен быть равен ближайшему большему целому числу месяцев.

Общая сумма базовой страховой премии по договорам страхования иного, чем страхование жизни, входящим в подгруппу, определяется иностранной страховой организацией суммированием базовых страховых премий, рассчитанных по каждому из указанных договоров, входящих в подгруппу.

Базовая часть Части незаработанной премии определяется иностранной страховой организацией по каждой подгруппе путем умножения общей суммы базовых страховых премий на коэффициенты для расчета величины базовой части Части незаработанной премии.

Коэффициент для расчета величины базовой части Части незаработанной премии для каждой подгруппы определяется иностранной страховой организацией как отношение не истекшего на отчетную дату срока действия договоров страхования иного, чем страхование жизни, подгруппы (в половинах месяцев) ко всему сроку действия указанных договоров подгруппы (в половинах месяцев).

Базовая часть Части незаработанной премии методом "1/24" в целом по учетной группе определяется иностранной страховой организацией путем суммирования базовых частей Части незаработанной премии, рассчитанных по каждой подгруппе.

Дополнительная часть Части незаработанной премии определяется иностранной страховой организацией по каждой подгруппе путем умножения общей суммы дополнительных частей страховой премии на коэффициенты для расчета величины дополнительной части Части незаработанной премии.

Коэффициент для расчета величины дополнительной части Части незаработанной премии для каждой подгруппы определяется иностранной страховой организацией как отношение не истекшего на отчетную дату срока действия договоров страхования иного, чем страхование жизни, подгруппы (в половинах месяцев) ко всему сроку действия указанных договоров подгруппы (в половинах месяцев).

Дополнительная часть Части незаработанной премии методом "1/24" в целом по учетной группе определяется иностранной страховой организацией путем суммирования дополнительных частей Части незаработанной премии, рассчитанных по каждой подгруппе.

3. Метод расчета Части незаработанной премии "1/8" представляет собой расчет Части незаработанной премии посредством группировки договоров страхования иного, чем страхование жизни, относящихся к одной учетной группе, по подгруппам, в которые включаются указанные договоры с одинаковыми сроками действия (в кварталах) и с датами начала их действия, приходящимися на одинаковые кварталы. В подгруппу включаются договоры страхования иного, чем страхование жизни, с одинаковыми сроками действия (в кварталах) и с датами начала их действия, приходящимися на одинаковые кварталы.

Для расчета Части незаработанной премии методом "1/8" принимаются иностранной страховой организацией следующие условия:

дата начала действия договора должна приходиться на середину квартала;

срок действия договора, не равный целому числу кварталов, должен быть равен ближайшему большему целому числу кварталов.

Общая сумма базовой страховой премии по договорам страхования иного, чем страхование жизни, входящих в подгруппу, определяется суммированием базовых страховых премий, рассчитанных по каждому из указанных договоров, входящему в подгруппу.

Базовая часть Части незаработанной премии определяется иностранной страховой организацией по каждой подгруппе путем умножения общей суммы базовых страховых премий на коэффициенты для расчета величины базовой части Части незаработанной премии.

Коэффициент для расчета величины базовой части Части незаработанной премии для каждой подгруппы определяется иностранной страховой организацией как отношение не истекшего на отчетную дату срока действия договоров подгруппы (в половинах кварталов) ко всему сроку действия договоров подгруппы (в половинах кварталов).

Базовая часть Части незаработанной премии методом "1/8" в целом по учетной группе определяется иностранной страховой организацией путем суммирования базовых частей Части незаработанной премии, рассчитанных по каждой подгруппе.

Дополнительная часть Части незаработанной премии определяется иностранной страховой организацией по каждой подгруппе путем умножения общей суммы дополнительных частей страховой премии на коэффициенты для расчета величины дополнительной части Части незаработанной премии.

Коэффициент для расчета величины дополнительной части Части незаработанной премии для каждой подгруппы определяется иностранной страховой организацией как отношение не истекшего на отчетную дату срока действия договоров страхования иного, чем страхование жизни, подгруппы (в половинах кварталов) ко всему сроку действия указанных договоров подгруппы (в половинах кварталов).

Дополнительная часть Части незаработанной премии методом "1/8" в целом по учетной группе определяется иностранной страховой организацией путем суммирования дополнительных частей Части незаработанной премии, рассчитанных по каждой подгруппе.

Приложение 2
к Положению Банка России
от 16.08.2021 N 769-П
"О расчетном размере гарантийного
депозита филиала иностранной
страховой организации"

МЕТОД РАСЧЕТА ЧАСТИ ПРОИЗОШЕДШИХ, НО НЕ ЗАЯВЛЕННЫХ УБЫТКОВ, ПО ДОГОВОРАМ СТРАХОВАНИЯ ИНОГО, ЧЕМ СТРАХОВАНИЕ ЖИЗНИ

1. Для расчета части произошедших, но не заявленных убытков, иностранная страховая организация формирует статистическую базу, основанную на данных журналов, указанных в пункте 5.3 настоящего Положения, в следующем порядке.

Данные об оплаченных на отчетную дату убытках (страховых выплатах), за исключением возвращенных страховых премий при досрочном прекращении (расторжении) договоров страхования иного, чем страхование жизни, группируются иностранной страховой организацией по периодам наступления указанных убытков (кварталам, на которые приходятся даты наступления страховых случаев) и нарастающим итогом по периодам оплаты (развития) убытков (кварталам, в которые эти убытки были оплачены иностранной страховой организацией) в соответствии с таблицей "Треугольник развития убытков".

Таблица

Треугольник развития убытков

Период оплаты (развития) убытков (j)
1 2 3 ... (N - 2) (N - 1) N
Период наступления убытков (i) 1 x(1, 1) x(1, 2) x(1, 3) ... x(1, N - 2) x(1, N - 1) x(1, N)
2 x(2, 1) x(2, 2) x(2, 3) ... x(2, N - 2) x(2, N - 1)  
3 x(3, 1) x(3, 2) x(3, 3) ... x(3, N - 2)    
... ... ... ... ...      
(N - 2) x(N - 2, 1) x(N - 2, 2) x(N - 2, 3)        
(N - 1) x(N - 1, 1) x(N - 1, 2)          
N x(N, 1)            

где:

x(i, j) - убытки, оплаченные на конец j-го периода оплаты (развития) убытков, по страховым случаям, произошедшим в i-м периоде наступления убытков;

N - число периодов, за которые рассматриваются данные об убытках.

Данные об оплаченных убытках по договорам, которые в соответствии с действующим валютным законодательством Российской Федерации заключаются в иностранной валюте (страховые премии (взносы) уплачиваются в иностранной валюте и страховые выплаты осуществляются в иностранной валюте), и по договорам страхования иного, чем страхование жизни, в которых предусмотрено исполнение денежных обязательств в рублях в сумме, эквивалентной определенной сумме в иностранной валюте (страховые премии (взносы) уплачиваются в рублях в сумме, эквивалентной определенной сумме в иностранной валюте, и страховые выплаты осуществляются в рублях в сумме, эквивалентной определенной сумме в иностранной валюте), в случае если число указанных договоров недостаточно, чтобы достоверно рассчитать величину произошедших, но не заявленных убытков, для целей расчета части произошедших, но не заявленных убытков, могут по решению иностранной страховой организацией пересчитываться ею в рубли в соответствии с требованиями пункта 1.2 настоящего Положения.

2. При осуществлении группировки данных в части операций перестрахования следует учитывать, что периодом наступления страхового случая по договору перестрахования у перестраховщика является период наступления страхового случая по основному (перестрахованному) договору, риск выплаты страхового возмещения или страховой суммы по которому был передан перестрахователем по указанному договору перестрахования.

3. При осуществлении группировки данных по учетной группе 3 в части операций по прямому возмещению убытков следует учитывать, что периодом оплаты убытка является период, в котором произведено признание страховой выплаты, причитающейся к перечислению страховщику, осуществившему прямое возмещение убытков в соответствии со статьей 26.1 Федерального закона от 25 апреля 2002 года N 40-ФЗ.

4. Полученные при группировке данных (формировании статистической базы) значения используются для расчета совокупной величины убытков, произошедших во все периоды наступления убытков, оплаченной на конец каждого из последующих периодов оплаты (развития), y(j):

5. Коэффициенты развития убытков C (j, j+1), соответствующие относительному увеличению совокупной величины оплаченных убытков от одного периода оплаты (развития) к последующему, определяются иностранной страховой организацией по следующей формуле:

6. Факторы развития убытков H(j) от каждого периода оплаты (развития) убытков до самого последнего из рассматриваемых периодов, соответствующие относительному увеличению совокупной величины оплаченных убытков от каждого из периодов оплаты (развития) убытков до последнего из рассматриваемых периодов, определяются иностранной страховой организацией по следующей формуле:

7. Для каждого периода оплаты (развития) убытков рассчитываются факторы запаздывания L(j), равные доле произошедших убытков, оплаченной на конец каждого периода оплаты (развития) убытков:

8. Для каждого периода наступления убытков вычисляются коэффициенты оплаченных убытков U(i), равные отношению величины оплаченных на отчетную дату убытков (с учетом их последующего развития) к величине заработанной страховой премии за данный период:

,

где:

ЗП(i) - заработанная страховая премия за i-й период наступления убытков.

9. Среднее из значений коэффициентов оплаченных убытков принимается за ожидаемый коэффициент произошедших убытков U:

10. На основе ожидаемого коэффициента произошедших убытков для каждого из периодов наступления убытков вычисляется ожидаемая величина произошедших убытков V(i):

11. Для каждого из периодов наступления убытков суммарная величина произошедших, но не оплаченных на отчетную дату убытков, R(i) определяется как ожидаемая величина произошедших, но не оплаченных убытков, исходя из фактора запаздывания, на отчетную дату:

12. Для каждого из периодов наступления убытков суммарная величина произошедших, но не заявленных убытков, ПНУ(i) определяется как величина произошедших, но не оплаченных на отчетную дату убытков, за минусом величины заявленных, но не урегулированных на отчетную дату убытков, ЗНУ(i) по страховым случаям, произошедшим в данном периоде наступления убытков:

где:

ЗНУ(i) - величина заявленных, но не урегулированных на отчетную дату убытков по страховым случаям, произошедшим в i-м периоде наступления убытков.

В случае если в результате расчетов для какого-либо периода наступления убытков указанная величина отрицательна, то величина произошедших, но не заявленных убытков, для данного периода принимается иностранной страховой организацией равной нулю.

13. Величина части произошедших, но не заявленных убытков, ЧПНУ по учетной группе иностранной страховой организацией определяется как сумма величин произошедших, но не заявленных убытков для каждого из рассматриваемых периодов наступления убытков:

14. По договорам, относящимся к учетным группам 1, 2, 7, 8, 10, 16, рассматриваются иностранной страховой организацией данные не менее чем за 12 периодов наступления убытков (периодов оплаты (развития), предшествующих отчетной дате, по договорам страхования иного, чем страхование жизни, относящимся к учетным группам 3, 4, 6, 12 - 15, 17, - не менее чем за 20 периодов, предшествующих отчетной дате.

15. Если иностранная страховая организация заключает договоры страхования иного, чем страхование жизни, относящиеся к какой-либо учетной группе, для которой нет необходимого объема данных об оплаченных убытках за требуемое число периодов, то в случае если ожидаемый коэффициент произошедших убытков по данной учетной группе меньше единицы, в целях расчета он принимается иностранной страховой организацией равным единице.

В этом случае в качестве части произошедших, но не заявленных убытков, по данной учетной группе принимается иностранной страховой организацией наибольшая из двух частей произошедших, но не заявленных убытков: часть, рассчитанная по формуле, приведенной в пункте 13 настоящего Приложения, и часть, рассчитанная в размере 10 процентов от заработанной страховой премии за последние 4 квартала, предшествующие отчетной дате.

16. Иностранная страховая организация по своему усмотрению вправе корректировать треугольник развития убытков, исключив из него на отчетную дату не более трех убытков, включение которых в треугольник развития убытков приводит к увеличению значения части произошедших, но не заявленных убытков, более чем на 30 процентов от величины части произошедших, но не заявленных убытков, на отчетную дату, рассчитанной по скорректированным данным, или более чем на 10 процентов от заработанной страховой премии за предшествующие отчетной дате 12 месяцев по сравнению с величиной части произошедших, но не заявленных убытков, на отчетную дату, рассчитанной по скорректированным данным.

Приложение 3
к Положению Банка России
от 16.08.2021 N 769-П
"О расчетном размере гарантийного
депозита филиала иностранной
страховой организации"

МЕТОД ОЦЕНКИ БУДУЩИХ ПОСТУПЛЕНИЙ ПО СУБРОГАЦИЯМ, РЕГРЕССАМ И ПОСТУПЛЕНИЙ ОТ РЕАЛИЗАЦИИ ГОДНЫХ ОСТАТКОВ ПО ДОГОВОРАМ СТРАХОВАНИЯ ИНОГО, ЧЕМ СТРАХОВАНИЕ ЖИЗНИ

1. Для оценки будущих поступлений по суброгациям, регрессам и поступлений от реализации годных остатков иностранная страховая организация формирует статистическую базу, основанную на данных журналов, указанных в пункте 5.3 настоящего Положения, в следующем порядке.

2. Данные о сумме поступлений по суброгациям, регрессам и поступлений от реализации годных остатков по убыткам до отчетной даты группируются иностранной страховой организацией по периодам наступления этих убытков (кварталам, на которые приходятся даты наступления страховых случаев) и нарастающим итогом по периодам поступления (развития) указанных поступлений (кварталам, в которые поступления по указанным суброгациям, регрессам и от реализации годных остатков были получены иностранной страховой организацией) в соответствии с таблицей "Треугольник развития поступлений по суброгациям, регрессам и поступлений от реализации годных остатков".

Таблица

Треугольник развития поступлений по суброгациям, регрессам и поступлений от реализации годных остатков

Период поступления (развития) поступлений по суброгациям (j)
1 2 3 ... (N - 2) (N - 1) N
Период наступления убытков (i) 1 x(1, 1) x(1, 2) x(1, 3) ... x(1, N - 2) x(1, N - 1) x(1, N)
2 x(2, 1) x(2, 2) x(2, 3) ... x(2, N - 2) x(2, N - 1)  
3 x(3, 1) x(3, 2) x(3, 3) ... x(3, N - 2)    
... ... ... ...        
(N - 2) x(N - 2, 1) x(N - 2, 2) x(N - 2, 3)        
(N - 1) x(N - 1, 1) x(N - 1, 2)          
N x(N, 1)            

где:

x(i, j) - суммы по суброгациям и поступлениям от реализации годных остатков по страховым убыткам, полученные на конец j-го периода развития, по страховым случаям, произошедшим в i-м периоде наступления убытков;

N - число периодов, за которые рассматриваются данные о поступлениях по суброгациям и поступлениях от реализации годных остатков по страховым убыткам.

Суммы поступлений по суброгациям и поступлений от реализации годных остатков по договорам страхования иного, чем страхование жизни, которые в соответствии с валютным законодательством Российской Федерации заключаются в иностранной валюте (страховые премии (взносы) уплачиваются в иностранной валюте, страховые выплаты осуществляются в иностранной валюте и поступления по суброгациям осуществляются в иностранной валюте), и по договорам страхования иного, чем страхование жизни, в которых предусмотрено исполнение денежных обязательств в рублях в сумме, эквивалентной определенной сумме в иностранной валюте (страховые премии (взносы) уплачиваются в рублях в сумме, эквивалентной определенной сумме в иностранной валюте, страховые выплаты осуществляются в рублях в сумме, эквивалентной определенной сумме в иностранной валюте и поступления по суброгациям осуществляются в рублях в сумме, эквивалентной определенной сумме в иностранной валюте), в случае если число указанных договоров недостаточно, чтобы достоверно оценить величину поступлений по суброгациям и поступлений от реализации годных остатков, могут по усмотрению иностранной страховой организации пересчитываться ею в рубли в соответствии с требованиями пункта 1.2 настоящего Положения.

3. Рассматриваются данные по поступлениям по суброгациям и поступлениям от реализации годных остатков не менее чем за 12 периодов развития, предшествующих отчетной дате.

В случае если иностранная страховая организация располагает данными за большее количество периодов поступлений по суброгациям и поступлений от реализации годных остатков (развития), то в положении о формировании расчетного размера гарантийного депозита иностранная страховая организация указывает количество периодов, предшествующих отчетной дате, которые включаются в статистическую базу для оценки будущих поступлений по суброгациям и поступлений от реализации годных остатков. Иностранная страховая организация вправе по своему усмотрению включать в статистическую базу для оценки будущих поступлений по суброгациям и поступлений от реализации годных остатков все имеющиеся у нее данные.

4. Полученные при группировке данных (формировании статистической базы) значения используются иностранной страховой организацией для расчета совокупной величины поступлений по суброгациям и поступлений от реализации годных остатков по страховым убыткам во все периоды наступления убытков, полученных на конец каждого из последующих периодов развития, y(j):

5. Коэффициенты развития поступлений суброгаций C (j, j + 1), соответствующие относительному увеличению совокупной величины поступлений по суброгациям и поступлений от реализации годных остатков по страховым убыткам от одного периода развития к последующему, определяются иностранной страховой организацией по следующей формуле:

6. Факторы развития поступлений по суброгациям H(j) от каждого периода развития до самого последнего из рассматриваемых периодов, соответствующие относительному увеличению совокупной величины поступлений по суброгациям и поступлений от реализации годных остатков по страховым убыткам от каждого из периодов развития до последнего из рассматриваемых периодов, определяются иностранной страховой организацией по следующей формуле:

7. Для каждого периода развития факторы запаздывания L(j), равные доле поступлений по суброгациям и поступлений от реализации годных остатков по страховым убыткам, полученных на конец каждого периода развития, рассчитываются иностранной страховой организацией по следующей формуле:

8. Для каждого периода наступления убытков коэффициенты полученных поступлений по суброгациям и поступлений от реализации годных остатков по страховым убыткам U(i), равные отношению величины полученных на отчетную дату сумм поступлений по суброгациям и поступлений от реализации годных остатков по страховым убыткам с учетом их последующего развития к величине состоявшихся убытков за данный период, вычисляются иностранной страховой организацией по следующей формуле:

,

где:

СУ(i) - величина состоявшихся убытков за i-й период наступления убытков, определяемая как сумма выплат по страховым случаям, наступившим в i-й период наступления убытков, и ожидаемой величины произошедших, но не оплаченных убытков, рассчитанной в соответствии с пунктом 11 приложения 2 к настоящему Положению.

9. Среднее из значений коэффициентов поступлений по суброгациям и поступлений от реализации годных остатков по страховым убыткам принимается иностранной страховой организацией за ожидаемый коэффициент поступлений по суброгациям и поступлений от реализации годных остатков по страховым убыткам U:

10. Ожидаемый коэффициент поступлений по суброгациям и поступлений от реализации годных остатков по страховым убыткам не может превышать максимальное отношение величины полученных на отчетную дату сумм поступлений по суброгациям и поступлений от реализации годных остатков по страховым убыткам к величине состоявшихся убытков по последним 12 периодам развития:

11. На основе ожидаемого коэффициента суброгаций для каждого из периодов наступления убытков вычисляется иностранной страховой организацией ожидаемая величина суброгаций V(i):

12. Для каждого из периодов наступления убытков суммарная величина не поступивших на отчетную дату сумм поступлений по суброгациям и поступлений от реализации годных остатков R(i) определяется иностранной страховой организацией как ожидаемая величина поступлений по суброгациям и поступлений от реализации годных остатков по страховым убыткам, исходя из фактора запаздывания, на отчетную дату:

13. Для периодов наступления убытков, по которым прошло более 3 лет, величина не поступивших на отчетную дату сумм поступлений по суброгациям и поступлений от реализации годных остатков по страховым убыткам принимается иностранной страховой организацией равной нулю.

14. Оценка будущих поступлений по суброгациям, регрессам и поступлений от реализации годных остатков по учетной группе определяется иностранной страховой организацией как сумма величин не поступивших на отчетную дату сумм поступлений по суброгациям и поступлений от реализации годных остатков для каждого из рассматриваемых периодов наступления убытков: