Приказ МЧС РФ от 14.11.2022 N 1140

"Об утверждении методики определения расчетных величин пожарного риска в зданиях, сооружениях и пожарных отсеках различных классов функциональной пожарной опасности"
Редакция от 14.11.2022 — Действует с 01.09.2023

Зарегистрировано в Минюсте России 20 марта 2023 г. N 72633


МИНИСТЕРСТВО РОССИЙСКОЙ ФЕДЕРАЦИИ ПО ДЕЛАМ ГРАЖДАНСКОЙ ОБОРОНЫ, ЧРЕЗВЫЧАЙНЫМ СИТУАЦИЯМ И ЛИКВИДАЦИИ ПОСЛЕДСТВИЙ СТИХИЙНЫХ БЕДСТВИЙ

ПРИКАЗ
от 14 ноября 2022 г. N 1140

ОБ УТВЕРЖДЕНИИ МЕТОДИКИ ОПРЕДЕЛЕНИЯ РАСЧЕТНЫХ ВЕЛИЧИН ПОЖАРНОГО РИСКА В ЗДАНИЯХ, СООРУЖЕНИЯХ И ПОЖАРНЫХ ОТСЕКАХ РАЗЛИЧНЫХ КЛАССОВ ФУНКЦИОНАЛЬНОЙ ПОЖАРНОЙ ОПАСНОСТИ

В соответствии пунктом 3 Правил проведения расчетов по оценке пожарного риска, утвержденных постановлением Правительства Российской Федерации от 22 июля 2020 г. N 1084 <1>, приказываю:

<1> Собрание законодательства Российской Федерации, 2020, N 30, ст. 4940.

1. Утвердить и ввести в действие с 1 сентября 2023 г. прилагаемую методику определения расчетных величин пожарного риска в зданиях, сооружениях и пожарных отсеках различных классов функциональной пожарной опасности.

2. Признать утратившими силу приказы МЧС России с 1 сентября 2023 г.:

от 30 июня 2009 г. N 382 "Об утверждении методики определения расчетных величин пожарного риска в зданиях, сооружениях и строениях различных классов функциональной пожарной опасности" (зарегистрирован Министерством юстиции Российской Федерации 6 августа 2009 г., регистрационный N 14486);

от 12 декабря 2011 г. N 749 "О внесении изменений в методику определения расчетных величин пожарного риска в зданиях, сооружениях и строениях различных классов функциональной пожарной опасности, утвержденную приказом МЧС России от 30.06.2009 N 382" (зарегистрирован Министерством юстиции Российской Федерации 30 декабря 2011 г., регистрационный N 22871);

от 2 декабря 2015 г. N 632 "О внесении изменений в приказ МЧС России от 30.06.2009 N 382" (зарегистрирован Министерством юстиции Российской Федерации 30 декабря 2015 г., регистрационный N 40386).

Министр
А.В. КУРЕНКОВ

УТВЕРЖДЕНО
приказом МЧС России
от 14.11.2022 N 1140

МЕТОДИКА ОПРЕДЕЛЕНИЯ РАСЧЕТНЫХ ВЕЛИЧИН ПОЖАРНОГО РИСКА В ЗДАНИЯХ, СООРУЖЕНИЯХ И ПОЖАРНЫХ ОТСЕКАХ РАЗЛИЧНЫХ КЛАССОВ ФУНКЦИОНАЛЬНОЙ ПОЖАРНОЙ ОПАСНОСТИ

I. Общие положения

1. Методика определения расчетных величин пожарного риска в зданиях, сооружениях и пожарных отсеках различных классов функциональной пожарной опасности (далее - Методика) устанавливает порядок определения расчетных величин пожарного риска в зданиях, сооружениях и пожарных отсеках (далее - здание) классов функциональной пожарной опасности Ф1 - Ф4, класса Ф5 - в части стоянок легковых автомобилей (в том числе отдельно стоящих) без технического обслуживания и ремонта, а также помещений класса функциональной пожарной опасности Ф5 (за исключением помещений категорий А и Б по взрывопожарной и пожарной опасности), входящих в состав зданий классов функциональной пожарной опасности Ф1 - Ф4.

Класс функциональной пожарной опасности зданий определяется в соответствии со статьей 32 Федерального закона от 22 июля 2008 г. N 123-ФЗ "Технический регламент о требованиях пожарной безопасности" <1> (далее - Федеральный закон N 123-ФЗ).

<1> Собрание законодательства Российской Федерации, 2008, N 30, ст. 3579; 2022, N 29, ст. 5243.

2. Определение расчетных величин пожарного риска может осуществляться для отдельных частей зданий при одновременном выполнении следующих условий:

часть здания выделена глухими противопожарными преградами в соответствии с требованиями нормативных документов по пожарной безопасности;

пути эвакуации из указанной части здания обособлены от путей эвакуации из других частей здания (не имеют общих участков).

3. Определение расчетных величин пожарного риска осуществляется на основании:

а) анализа пожарной опасности зданий;

б) определения частоты возникновения пожара (частоты реализации пожароопасных ситуаций);

в) построения полей опасных факторов пожара для различных сценариев его развития;

г) оценки последствий воздействия опасных факторов пожара на людей для различных сценариев его развития;

д) учета состава системы обеспечения пожарной безопасности зданий.

4. Определение расчетной величины пожарного риска заключается в расчете индивидуального пожарного риска для людей, находящихся в здании. Численным выражением индивидуального пожарного риска является частота воздействия опасных факторов пожара (далее - ОФП) на человека, находящегося в здании. ОФП, учитываемые при проведении расчета, приведены в приложении N 1 к Методике.

5. Частота воздействия ОФП определяется для пожароопасной ситуации, которая характеризуется наибольшей опасностью для жизни и здоровья людей, находящихся в здании.

6. Определение расчетных величин пожарного риска может проводиться для подтверждения условия соответствия объекта защиты требованиям пожарной безопасности, предусмотренного пунктом 2 части 1 статьи 6 Федерального закона N 123-ФЗ <2>, при невыполнении требований нормативных документов по пожарной безопасности, учитываемых Методикой, а также для подтверждения эффективности мероприятий, разработанных (разрабатываемых) в рамках специальных технических условий или комплекса необходимых инженерно-технических и организационных мероприятий по обеспечению пожарной безопасности.

<2>, <3> Собрание законодательства Российской Федерации, 2008, N 30, ст. 3579; 2022, N 29, ст. 5243.

7. Для целей Методики используются основные понятия, установленные статьей 2 Федерального закона N 123-ФЗ <3>.

II. Основные расчетные зависимости

8. Индивидуальный пожарный риск отвечает требуемому, если:

, (1)

где - нормативное значение индивидуального пожарного риска, ;

R - расчетная величина индивидуального пожарного риска.

9. Индивидуальный пожарный риск определяется как максимальное значение пожарного риска из всех рассмотренных в расчете сценариев пожара:

, (2)

где - расчетная величина индивидуального пожарного риска при реализации i-го сценария пожара;

K - количество сценариев, рассмотренных при расчете величины пожарного риска.

10. Сценарий пожара представляет собой вариант развития пожара с учетом принятого места возникновения и характера его развития. Сценарий пожара определяется на основе данных об объемно-планировочных решениях, о размещении горючей нагрузки и людей в здании.

При расчете рассматриваются сценарии пожара, при которых реализуются наихудшие условия для обеспечения безопасности людей. В качестве сценариев с наихудшими условиями пожара рассматриваются сценарии, характеризуемые наиболее затрудненными условиями эвакуации людей и (или) наиболее высокой динамикой нарастания ОФП.

11. Если расчет величины пожарного риска проводится для подтверждения условия соответствия объекта защиты требованиям пожарной безопасности, предусмотренного пунктом 2 части 1 статьи 6 Федерального закона N 123-ФЗ, при невыполнении требований нормативных документов по пожарной безопасности, учитываемых Методикой, рассматриваются сценарии пожара, учитывающие влияние требований нормативных документов по пожарной безопасности которые не выполняются, в том числе сценарии пожара в соответствующих помещениях и частях зданий.

12. Если расчет величины пожарного риска проводится для подтверждения эффективности мероприятий, разработанных (разрабатываемых) в рамках специальных технических условий или комплекса необходимых инженерно-технических и организационных мероприятий по обеспечению пожарной безопасности, рассматриваются сценарии пожара, при которых учитываются параметры и характеристики зданий, связанные с указанными мероприятиями.

13. Кроме вышеуказанных сценариев в зависимости от особенностей здания могут дополнительно рассматриваться сценарии пожара:

в помещениях, характеризующихся присутствием наибольшего количества людей;

в системах помещений, в которых из-за распространения ОФП возможно быстрое блокирование путей эвакуации (коридоров, эвакуационных выходов и так далее). При этом очаг пожара, как правило, выбирается в помещении малого объема вблизи от одного из эвакуационных выходов либо в помещении с большим количеством горючей нагрузки, характеризующейся высокой скоростью распространения пламени;

сопровождающиеся распространением ОФП через обычные лестничные клетки;

в помещениях и системах помещений атриумного типа;

в системах помещений, в которых из-за недостаточной пропускной способности путей эвакуации возможно возникновение продолжительных скоплений людских потоков.

В случаях, когда перечисленные типы сценариев не отражают всех особенностей здания, возможно рассмотрение иных сценариев пожара.

В помещении, имеющем два и более эвакуационных выхода, очаг пожара следует размещать вблизи выхода, имеющего наибольшую пропускную способность. При этом данный выход считается блокированным с первых секунд пожара и при определении расчетного времени эвакуации не учитывается.

В помещении с одним эвакуационным выходом время блокирования выхода определяется расчетом.

Сценарии пожара, не реализуемые при нормальном режиме эксплуатации здания (теракты, поджоги, хранение горючей нагрузки, не предусмотренной назначением здания и так далее), не рассматриваются.

Определение расчетной величины пожарного риска может выполняться для отдельных пожарных отсеков, а также для отдельных частей здания в соответствии с пунктом 2 Методики при условии, что пути эвакуации из указанных пожарных отсеков (частей задания) обособлены от путей эвакуации из других пожарных отсеков (частей задания), то есть не имеют общих участков.

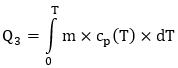
14. Расчетная величина индивидуального пожарного риска при реализации i-го сценария пожара определяется как максимальное значение пожарного риска из полученных для всех групп эвакуируемого контингента:

, (3)

где - расчетная величина индивидуального пожарного риска для j-й группы эвакуируемого контингента при реализации i-го сценария пожара;

m - количество групп эвакуируемого контингента, рассмотренных при расчете i-го сценария пожара. Количество и типы указанных групп определяются в соответствии с приложением N 2 к Методике.

15. Расчетная величина индивидуального пожарного риска для j-й группы эвакуируемого контингента при реализации i-го сценария пожара рассчитывается по формуле:

, (4)

где - частота возникновения пожара в здании в течение года, которая определяется на основании статистических данных, приведенных в приложении N 3 к Методике. При отсутствии статистической информации, а также в случаях, когда отнесение здания к одному из перечисленных типов не является очевидным, допускается принимать ;

- коэффициент, учитывающий соответствие установок автоматического пожаротушения (далее - АУП) требованиям нормативных документов по пожарной безопасности. Значение параметра принимается равным = 0,9, если выполняется хотя бы одно из следующих условий:

здание оборудовано системой АУП, соответствующей требованиям нормативных документов по пожарной безопасности;

оборудование здания системой АУП не требуется в соответствии с требованиями нормативных документов по пожарной безопасности;

эффективность системы подтверждена в соответствии с условием соответствия здания требованиям пожарной безопасности, предусмотренным пунктом 5 части 1 статьи 6 Федерального закона N 123-ФЗ <4>.

<4> Собрание законодательства Российской Федерации, 2008, N 30, ст. 3579; 2022, N 29, ст. 5243.

В остальных случаях принимается равной нулю;

- вероятность присутствия эвакуируемого контингента в здании (рассматриваемой части здания);

- вероятность эвакуации людей j-й группы эвакуируемого контингента в общем потоке эвакуирующихся при реализации i-го сценария пожара;

- коэффициент, учитывающий соответствие системы противопожарной защиты, направленной на обеспечение безопасной эвакуации людей при пожаре, требованиям нормативных документов по пожарной безопасности.

16. Вероятность присутствия эвакуируемого контингента в здании (рассматриваемой части здания) определяется из соотношения:

, (5)

где - время присутствия эвакуируемого контингента в части здания, рассматриваемой в i-м сценарии пожара в часах в течение суток.

17. Вероятность эвакуации людей рассчитывают по формуле:

, (6)

где - расчетное время эвакуации людей j-й группы эвакуируемого контингента при реализации i-го сценария пожара, мин;

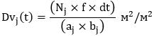
- время от начала пожара до блокирования эвакуационных путей в результате распространения на них ОФП, имеющих предельно допустимые для людей значения (время блокирования путей эвакуации), при реализации i-го сценария пожара, мин;

- время существования скоплений людей на участках пути (плотность людского потока на путях эвакуации превышает значение 0,5 м2/м2) при определении вероятности эвакуации j-й группы эвакуируемого контингента при реализации i-го сценария пожара, мин;

- время начала эвакуации j-й группы эвакуируемого контингента (интервал времени от возникновения пожара до начала эвакуации людей) при реализации i-го сценария пожара, мин. Определяется в соответствии с приложением N 4 к Методике;

- расчетное время эвакуации j-й группы эвакуируемого контингента, мин. Определяется в соответствии с приложением N 5 к Методике;

- время существования скоплений людей на участках пути (плотность людского потока на путях эвакуации превышает значение 0,5 м2/м2), мин.

Вероятность эвакуации рассчитывается для каждой из рассматриваемых групп людей.

18. При расчете производится моделирование эвакуации всех находящихся в здании людей. При этом один из представителей j-й группы должен быть размещен в наиболее удаленной точке. Расчетное время эвакуации принимается равным расчетному времени эвакуации последнего представителя j-й группы.

19. Расчетное время эвакуации людей из помещений и зданий определяется на основе моделирования движения людей до выхода наружу (или в безопасную зону) в соответствии с приложением N 5 к Методике одним из следующих способов:

по упрощенной аналитической модели движения людского потока, приведенной в приложении N 6 к Методике;

по математической модели индивидуально-поточного движения людей из здания, приведенной в приложении N 7 к Методике;

по имитационно-стохастической модели движения людских потоков, приведенной в приложении N 8 к Методике.

При определении расчетного времени эвакуации учитываются данные, приведенные в приложении N 2 к Методике, в частности принципы составления расчетной схемы эвакуации людей, параметры движения людей различных групп мобильности, а также значения площадей горизонтальных проекций различных контингентов людей.

20. Время блокирования путей эвакуации определяется путем расчета времени достижения ОФП предельно допустимых значений на эвакуационных путях в различные моменты времени. Порядок проведения расчета и основные уравнения математической модели для определения времени блокирования путей эвакуации опасными факторами пожара приведены в приложении N 1 к Методике.

21. Коэффициент, учитывающий соответствие системы противопожарной защиты, направленной на обеспечение безопасной эвакуации людей при пожаре, требованиям нормативных документов по пожарной безопасности, рассчитывается по формуле:

, (7)

где - коэффициент, учитывающий соответствие системы пожарной сигнализации требованиям нормативных документов по пожарной безопасности;

- коэффициент, учитывающий соответствие системы оповещения людей о пожаре и управления эвакуацией людей, требованиям нормативных документов по пожарной безопасности;

- коэффициент, учитывающий соответствие системы противодымной защиты требованиям нормативных документов по пожарной безопасности.

Порядок оценки параметров , и приведен в главе IV Методики.

III. Порядок проведения расчета величины индивидуального пожарного риска

22. Для проведения анализа пожарной опасности осуществляется сбор данных о здании, который включает:

объемно-планировочные решения и функциональное назначение помещений здания;

теплофизические характеристики ограждающих конструкций;

вид, количество и размещение горючих веществ и материалов;

количество и места вероятного размещения людей;

системы пожарной сигнализации и пожаротушения, противодымной защиты, оповещения людей о пожаре и управления эвакуацией людей.

23. На основании полученных данных производится анализ пожарной опасности здания, при этом учитывается:

возможная динамика развития пожара;

состав и характеристики системы противопожарной защиты;

возможные последствия воздействия пожара на людей.

24. Для получения исходных данных, необходимых для проведения расчетов, предусмотренных Методикой, следует использовать нормативные документы, проектную и иную документацию здания, а также научные статьи, монографии, справочники, методические рекомендации, учебники, пособия, материалы конференций, диссертации, авторефераты диссертаций, отчеты о научно-исследовательских работах, отчеты об опытно-конструкторских работах (далее - справочные источники информации).

25. Частота реализации пожароопасных ситуаций определяется частотой возникновения пожара в здании в течение календарного года. Порядок определения частоты возникновения пожара в здании приведен в главе II Методики.

26. Для построения полей опасных факторов пожара проводится экспертный выбор сценария или сценариев пожара, при которых ожидаются наихудшие последствия для находящихся в здании людей.

27. Формулировка сценария развития пожара включает в себя следующие этапы:

выбор места нахождения первоначального очага пожара и закономерностей его развития;

задание расчетной области (выбор рассматриваемой при расчете системы помещений, определение учитываемых при расчете элементов внутренней структуры помещений, состояния проемов);

задание параметров окружающей среды и начальных значений параметров внутри помещений.

28. В соответствии с приложением N 1 к Методике формулируется математическая модель развития пожара и проводится моделирование его динамики развития.

29. Определяется вид, количество и размещение горючих материалов, исходя из данных о функциональном назначении здания или его части.

Свойства горючей нагрузки в помещении очага пожара следует принимать по данным, указанным в приложении N 9 к Методике. При этом допускается использовать данные экспериментальных исследований, а также данные из справочных источников информации.

При использовании данных из справочных источников информации значения свойств (за исключением потребления кислорода) должны быть не менее приведенных в таблице П9.1 приложения N 9 к Методике.

При этом для всех помещений (за исключением стоянок легковых автомобилей, а также узких длинных помещений и помещений с расположением горючей нагрузки в виде узкой полосы, для которых принимается линейное распространение пожара по формуле (П1.2) приложения N 1 к Методике) принимается круговое распространение пожара в соответствии с формулой (П1.1) приложения N 1 к Методике. Для стоянок легковых автомобилей в качестве ширины горючей нагрузки принимается ширина автомобиля.

30. Начальные свойства газовой среды в помещениях принимаются соответствующими нормальным условиям эксплуатации <5> и определяются в соответствии с проектной документацией и требованиями санитарных норм и правил.

<5> Пункт 11 части 2 статьи 2 Федерального закона от 30 декабря 2009 г. N 384-ФЗ "Технический регламент о безопасности зданий и сооружений" (Собрание законодательства Российской Федерации, 2010, N 1, ст. 5).

31. Состояние дверных проемов определяется в зависимости от рассматриваемого сценария пожара таким образом, чтобы в соответствии с пунктом 10 Методики в сценарии реализовывались наихудшие условия для обеспечения безопасности людей.

Как правило, принимаются открытыми двери на пути эвакуации из помещения очага пожара, поскольку при этом происходит наиболее быстрое распространение опасных факторов пожара. Двери в других помещениях, выходящих в коридор, принимаются закрытыми.

При наличии в здании обычной лестничной клетки двери в лестничную клетку (за исключением противопожарных) также принимаются открытыми и рассматривается распространение опасных факторов пожара на другие этажи здания.

Учет противопожарных дверей производится в соответствии с пунктом 48 Методики, при этом допускается при проведении расчета не учитывать наличие одной или нескольких противопожарных дверей.

32. На основании результатов расчетов осуществляется построение полей опасных факторов пожара и определяется значение времени блокирования путей эвакуации .

33. Оценка последствий воздействия опасных факторов пожара на людей заключается в определении вероятности эвакуации людей из здания при пожаре.

34. Вероятность эвакуации людей определяется по формуле (6).

35. Время начала эвакуации определяется в соответствии с приложением N 4 к Методике.

36. Определение расчетного времени эвакуации людей производится в соответствии с приложением N 5 к Методике с помощью одной из моделей, приведенных в приложениях NN 6 - 8 к Методике. При этом параметры движения людских потоков принимаются в соответствии с приложением N 2 к Методике.

37. В соответствии с главой II Методики проводится определение расчетной величины индивидуального пожарного риска R и сопоставление ее с нормативным значением индивидуального пожарного риска , установленным статьей 79 Федерального закона N 123-ФЗ <6>.

<6> Собрание законодательства Российской Федерации, 2008, N 30, ст. 3579; 2012, N 29, ст. 3997.

38. Наличие систем обеспечения пожарной безопасности здания учитывается в соответствии с положениями главы IV Методики.

39. Блок-схема, иллюстрирующая порядок проведения расчета величины индивидуального пожарного риска, приведена в приложении N 10 к Методике.

IV. Порядок разработки дополнительных противопожарных мероприятий при определении расчетной величины индивидуального пожарного риска

40. В случае если расчетная величина индивидуального пожарного риска превышает нормативное значение, в здании следует предусмотреть дополнительные противопожарные мероприятия, направленные на обеспечение безопасной эвакуации людей при пожаре, в том числе:

применение дополнительных объемно-планировочных решений и средств, обеспечивающих ограничение распространения пожара;

устройство дополнительных эвакуационных путей, отвечающих требованиям безопасной эвакуации людей при пожаре;

устройство систем оповещения людей о пожаре и управления эвакуацией людей и повышение их типа;

применение систем противодымной защиты от воздействия опасных факторов пожара;

устройство систем автоматического пожаротушения;

ограничение количества людей в здании (части здания, помещении) до значений, обеспечивающих безопасность их эвакуации из здания наружу или в безопасную зону.

41. Эффективность каждого из перечисленных выше противопожарных мероприятий определяется степенью влияния на параметры , , , а для систем пожарной сигнализации, противодымной защиты, оповещения и управления эвакуацией людей при пожаре, автоматического пожаротушения - дополнительно параметрами , , , .

Значение параметра принимается равным = 0,8 в случае, если выполняется хотя бы одно из следующих условий:

здание оборудовано системой пожарной сигнализации, соответствующей требованиям нормативных документов по пожарной безопасности;

оборудование здания системой пожарной сигнализации не требуется в соответствии с требованиями нормативных документов по пожарной безопасности;

эффективность системы подтверждена в соответствии с условием соответствия здания требованиям пожарной безопасности, предусмотренным пунктом 5 части 1 статьи 6 Федерального закона N 123-ФЗ.

В остальных случаях значение параметра принимается равным нулю.

42. Степень влияния используемых в качестве дополнительного противопожарного мероприятия объемно-планировочных решений и средств, обеспечивающих ограничение распространения пожара, на динамику распространения пожара и значение параметра определяется путем проведения повторного расчета после внесения соответствующих изменений в схему объемно-планировочных решений здания.

43. При применении в качестве дополнительного противопожарного мероприятия устройства дополнительных эвакуационных путей и выходов следует выполнить повторный расчет по оценке параметра с учетом откорректированных объемно-планировочных решений.

44. При применении в качестве дополнительного противопожарного мероприятия устройства системы оповещения и управления эвакуацией людей при пожаре повышенного типа следует выполнить повторный расчет по оценке параметра с учетом возможного перераспределения потоков эвакуирующихся и изменения схемы эвакуации в зависимости от сценариев возникновения и развития пожара, алгоритма функционирования системы оповещения и управления эвакуацией людей при пожаре.

Значение параметра принимается равным = 0,8 в случае, если выполняется хотя бы одно из следующих условий:

здание оборудовано системой оповещения и управления эвакуацией людей при пожаре, соответствующей требованиям нормативных документов по пожарной безопасности;

оборудование здания системой оповещения и управления эвакуацией людей при пожаре не требуется в соответствии с требованиями нормативных документов по пожарной безопасности;

эффективность системы подтверждена в соответствии с условием соответствия здания требованиям пожарной безопасности, предусмотренным пунктом 5 части 1 статьи 6 Федерального закона N 123-ФЗ.

В остальных случаях значение параметра принимается равным нулю.

45. Влияние системы противодымной защиты на обеспечение безопасной эвакуации людей при пожаре оценивается посредством расчета значения параметра с учетом технических характеристик применяемого вентиляционного оборудования системы противодымной защиты. При этом для выполнения расчетов следует применять полевую модель.

Значение параметра принимается равным = 0,8 в случае, если выполняется хотя бы одно из следующих условий:

здание оборудовано системой противодымной защиты, соответствующей требованиям нормативных документов по пожарной безопасности;

оборудование здания системой противодымной защиты не требуется в соответствии с требованиями нормативных документов по пожарной безопасности;

эффективность системы подтверждена в соответствии с условием соответствия здания требованиям пожарной безопасности, предусмотренным пунктом 5 части 1 статьи 6 Федерального закона N 123-ФЗ.

В остальных случаях значение параметра принимается равным нулю.

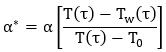
46. Влияние системы автоматического пожаротушения на обеспечение безопасной эвакуации людей при пожаре оценивается посредством расчета значения параметра с учетом приложения N 11 к Методике.

47. Ограничение количества людей в здании (части здания, помещении) до значений, обеспечивающих безопасность их эвакуации из здания при пожаре, учитывается посредством повторного расчета значения параметра при существующих объемно-планировочных решениях и ограниченном значении количества эвакуирующихся при пожаре.

48. При применении в качестве дополнительного противопожарного мероприятия устройства на путях эвакуации противопожарных дверей, калиток в противопожарных воротах, открываемых в процессе эвакуации, следует выполнить расчеты значения пожарного риска для двух случаев соответствующих открытому и закрытому положению двери и рассчитать итоговое значение индивидуального пожарного риска для i-го сценария пожара по формуле:

, (8)

где = 0,3 - вероятность нахождения противопожарной двери в открытом положении. При этом противопожарная дверь принимается открытой на всю ширину;

= 0,7 - вероятность нахождения противопожарной двери в закрытом положении (противопожарная дверь принимается плотно закрытой и опасные факторы пожара через нее не распространяются).

При наличии на путях эвакуации нескольких последовательно расположенных противопожарных дверей строится дерево событий с целью учета различных сочетаний положения противопожарных дверей. При этом формула (8) корректируется соответствующим образом. При наличии трех и более последовательно расположенных противопожарных дверей при расчете допускается учитывать только первые две двери.

Приложение N 1
к методике определения расчетных
величин пожарного риска в зданиях,
сооружениях и пожарных отсеках
различных классов функциональной
пожарной опасности, утвержденной
приказом МЧС России
от 14.11.2022 N 1140

ПОРЯДОК ПРОВЕДЕНИЯ РАСЧЕТА И МАТЕМАТИЧЕСКАЯ МОДЕЛЬ ДЛЯ ОПРЕДЕЛЕНИЯ ВРЕМЕНИ БЛОКИРОВАНИЯ ПУТЕЙ ЭВАКУАЦИИ ОПАСНЫМИ ФАКТОРАМИ ПОЖАРА

I. Порядок проведения расчета

Производится экспертный выбор сценария или сценариев пожара, при которых ожидаются наихудшие последствия для находящихся в здании людей.

Формулировка сценария развития пожара включает в себя следующие этапы:

выбор места нахождения первоначального очага пожара и закономерностей его развития;

задание расчетной области (выбор рассматриваемой при расчете системы помещений, определение учитываемых при расчете элементов внутренней структуры помещений, задание состояния проемов);

задание параметров окружающей среды и начальных значений параметров внутри помещений.

Выбор места нахождения очага пожара производится экспертным путем. При этом учитывается количество горючей нагрузки, ее свойства и расположение, вероятность возникновения пожара, возможная динамика его развития, расположение эвакуационных путей и выходов.

Наиболее часто при расчетах рассматриваются два основных вида развития пожара: круговое распространение пожара по твердой горючей нагрузке, линейное распространение пожара по твердой горючей нагрузке.

Зависимость скорости выгорания (кг/с) от времени для кругового распространения пожара определяется формулами:

, (П1.1)

где - удельная скорость выгорания (для жидкостей установившаяся), кг/(с·м2);

v - линейная скорость распространения пламени, м/с;

- время охвата пожаром всей поверхности горючей нагрузки в помещении, с;

t - текущее время, с.

Зависимость скорости выгорания (кг/с) от времени для линейного распространения пожара определяется формулами:

, (П1.2)

где b - ширина полосы горючей нагрузки, м.

Время охвата пожаром всей поверхности горючей нагрузки в помещении определяется по формуле:

где k - коэффициент, учитывающий отличие фактической площади горючей нагрузки в помещении и площади помещения. Для помещений классов функциональной пожарной опасности Ф1 - Ф4 следует принимать равным 2, для помещений класса Ф5.2 с высотой хранения менее 5,5 м - равным 4, для помещений класса Ф5.2 с высотой хранения более 5,5 м - равным отношению фактической поверхности горючих материалов в помещении к площади помещения (но не менее 10);

- площадь помещения.

При наличии в помещении очага пожара установки автоматического пожаротушения, соответствующей требованиям нормативных документов по пожарной безопасности, при проведении расчетов значение скорости выгорания принимается уменьшенным в 2 раза с момента срабатывания указанной системы.

Время срабатывания АУП определяется в соответствии с приложением N 11 к Методике.

С учетом раздела 2 настоящего приложения выбирается метод моделирования, формулируется математическая модель, соответствующая данному сценарию, и производится моделирование динамики развития пожара. На основании полученных результатов рассчитывается время достижения каждым из опасных факторов пожара предельно допустимого значения на путях эвакуации. Кроме того, при наличии системы пожарной сигнализации (автоматических установок пожаротушения, выполняющих функцию систем пожарной сигнализации) определяется время достижения параметром, воздействующим на пожарный извещатель порогового значения.

Критическое время по каждому из опасных факторов пожара определяется как время достижения этим фактором предельно допустимого значения на путях эвакуации на высоте 1,7 м от пола.

Предельно допустимые значения по каждому из опасных факторов пожара составляют:

по повышенной температуре - 70 °C;

по тепловому потоку - 1400 Вт/м2;

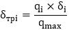
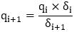
по потере видимости - 20 м (для случая, когда эффективный диаметр помещения меньше 20 м, предельное значение по потере видимости принимается равным его эффективному диаметру). Эффективный диаметр помещения вычисляется из соотношения , где - площадь помещения. Оптическая плотность дыма при обычных условиях связана с расстоянием предельной видимости в дыму соотношением lпр = 2,38/;

по пониженному содержанию кислорода - 0,226 кг/м3;

по каждому из токсичных газообразных продуктов горения (CO2 - 0,11 кг/м3; CO - 1,16 x 10-3 кг/м3; HCL - 23 x 10-6 кг/м3).

Необходимо отметить, что при использовании полевой модели определение критического времени имеет существенные особенности, связанные с тем, что критическое значение в различных точках помещения достигается не одновременно. Для помещений с соизмеримыми горизонтальными размерами критическое время определяется как максимальное из критических времен для эвакуационных выходов из данного помещения (время блокирования последнего выхода).

Определяется время блокирования :

. (П1.3)

II. Классификация и область применения методов математического моделирования пожара

Для описания термогазодинамических параметров пожара применяются три основных группы детерминистических моделей: интегральные, зонные (зональные) и полевые.

Выбор конкретной модели расчета времени блокирования путей эвакуации следует осуществлять исходя из следующих предпосылок:

интегральный метод:

- для зданий, содержащих развитую систему помещений малого объема простой геометрической конфигурации;

- для помещений, где характерный размер очага пожара соизмерим с характерными размерами помещения и размеры помещения соизмеримы между собой (линейные размеры помещения отличаются не более чем в 5 раз);

- в рассматриваемых помещениях система противодымной вентиляции отсутствует или не учитывается при расчете;

зонный (зональный) метод:

- для помещений и систем помещений простой геометрической конфигурации, линейные размеры которых соизмеримы между собой (линейные размеры помещения отличаются не более чем в 5 раз);

- для рабочих зон, расположенных на разных уровнях в пределах одного помещения (например, наклонный зрительный зал кинотеатра, антресоли, балконы);

- в рассматриваемых помещениях система противодымной вентиляции отсутствует или не учитывается при расчете;

полевой метод применим во всех случаях, в том числе:

- для помещений сложной геометрической конфигурации, а также помещений с большим количеством внутренних преград (например, атриумы с системой галерей и примыкающих коридоров, многофункциональные центры со сложной системой вертикальных и горизонтальных связей);

- для помещений, в которых один из геометрических размеров гораздо больше (меньше) остальных;

- для иных случаев, когда применимость или информативность зонных и интегральных моделей вызывает сомнение (например, уникальные сооружения, распространение пожара по фасаду здания, необходимость учета работы систем противопожарной защиты, способных качественно изменить картину пожара).

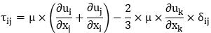
III. Интегральная математическая модель расчета газообмена в здании при пожаре

Для расчета распространения продуктов горения по зданию составляются и решаются уравнения аэрации, тепло- и массообмена как для каждого помещения в отдельности, так и для всего здания в целом.

Уравнения движения, связывающие значения перепадов давлений на проемах с расходами газов через проемы, имеют вид:

, (П1.4)

где - расход газов через проем между двумя (j-м и i-м) смежными помещениями, кг/с;

- коэффициент расхода проема ( = 0,64 для открытых проемов);

F - площадь сечения проема, м2;

- плотность газов, проходящих через проем, кг/м3;

- средний перепад полных давлений между j-м и i-м помещением, Па.

Направление (знак) расхода определяется знаком разности давлений . В зависимости от этого плотность принимает различные значения.

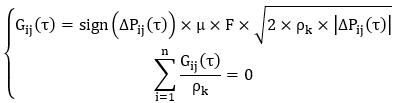
Знак расхода газов (входящий в помещение расход считается положительным, выходящий - отрицательным) и значение зависят от знака перепада давлений:

. (П1.5)

Для прогнозирования параметров продуктов горения (температуры, концентраций токсичных компонентов продуктов горения) в помещениях многоэтажного здания на этажах, расположенных выше этажа, на котором может возникнуть пожар, рассматриваются процессы распространения продуктов горения в вертикальных каналах (лестничные клетки, шахты лифтов, вентканалы).

Вертикальную шахту по высоте разделяют на зоны, которые представляют узлы в гидравлической схеме здания. Зона по высоте может охватывать несколько этажей здания. В этом случае расход газа между зонами можно выразить формулой вида:

, (П1.6)

где - характеристика гидравлического сопротивления на границе зон;

F - площадь поперечного сечения шахты;

k - коэффициент (допускается принимать равным 0,05 с2/м);

g = 9,81 м/с2 - ускорение свободного падения;

- перепад давлений между узлами.

Здание представляют в виде гидравлической схемы, узлы которой моделируют помещения, а связи - пути движения продуктов горения и воздуха. Каждое помещение здания описывается системой уравнений, состоящей из уравнения баланса массы, уравнения сохранения энергии и уравнения основного газового закона (Менделеева-Клайперона).

Уравнение баланса массы выражается формулой:

, (П1.7)

где - объем помещения, м3;

- сумма расходов, входящих в помещение, кг/с;

- сумма расходов, выходящих из помещения, кг/с;

t - время, с;

- скорость выгорания пожарной нагрузки, кг/с.

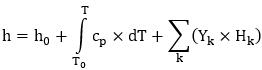
Уравнение сохранения энергии выражается формулой:

, (П1.8)

где , - удельная изохорная и изобарная теплоемкости, кДж/(кг·K);

, - температуры газов в i-м и j-м помещениях, K;

- количество тепла, выделяемого в помещении при горении, кВт;

- тепловой поток, поглощаемый конструкциями и излучаемый через проемы, кВт.

Для помещения очага пожара величина определяется по формуле:

,

где - коэффициент полноты горения;

- низшая теплота сгорания, кДж/кг;

I - энтальпия газифицированной горючей нагрузки, кДж/кг.

Для остальных помещений = 0.

Коэффициент полноты горения определяется по формуле:

, (П1.9)

где - коэффициент полноты горения в режиме пожара, регулируемом горючей нагрузкой, определяемый формулой:

. (П1.10)

Коэффициент рассчитывается по формуле:

(П.1.11)

где

- начальная концентрация кислорода в помещении очага пожара, кг/кг;

- текущая концентрация кислорода в помещении очага пожара, кг/кг;

- количество кислорода, поглощаемого при сгорании 1 кг горючей нагрузки, кг/кг.

Уравнение Менделеева-Клайперона выражается формулой:

(П1.12)

где - давление газа в j-м помещении, Па;

- температура газа в j-м помещении, K;

R = 8,31 - универсальная газовая постоянная, Дж/(моль·К);

M - молярная масса газа, моль.

Параметры газа в помещении определяются из уравнения баланса масс отдельных компонентов продуктов горения и кислорода и уравнения баланса оптической плотности дыма.

Уравнение баланса масс отдельных компонентов продуктов горения и кислорода:

, (П1.13)

где , - концентрация L-го компонента продуктов горения в i-м и j-м помещениях, кг/кг;

- количество L-го компонента продуктов горения (кислорода), выделяющегося (поглощающегося) при сгорании одного килограмма пожарной нагрузки, кг/кг.

Уравнение баланса оптической плотности дыма:

, (П1.14)

где , - оптическая плотность дыма в i-м и j-м помещениях, Нп·м-1;

- дымообразующая способность пожарной нагрузки, Нп·м2/кг.

Для помещений без источника тепла система уравнений П8.6, П8.7 и П8.8 упрощается и представляется в виде:

, (П1.15)

где .

Первое уравнение связывает перепады давлений на соединяющих помещение проемах с расходом газа через эти проемы. Второе - выражает постоянство объема для данного помещения. Таким образом, для всего здания требуется решать систему, состоящую из нелинейных уравнений вида (П1.12) и линейных уравнений вида (П1.13). Здесь и - соответственно число горизонтальных и вертикальных связей на этаже; - число узлов; - число этажей.

Система уравнений, включающая в себя уравнения (П1.6), (П1.7) для помещения очага пожара и (П1.12), (П1.13) для остальных помещений и уравнение (П1.11), описывающая гидравлическую схему здания, решается численно методом итерации в совокупности с методом секущих.

Основные уравнения для определения температуры газа и концентрации продуктов горения в помещениях здания получены из уравнений сохранения энергии и массы.

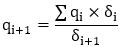
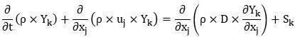
Температура газа в помещении, где отсутствует очаг пожара, определяется из уравнения теплового баланса, которое можно получить из уравнения сохранения энергии (П1.7). Формула для определения температуры газа в j-м помещении здания в "n"-ый момент времени:

, (П1.16)

где - сумма источников (стоков) тепла в объеме j-го помещения и тепла, уходящего в ограждающие конструкции;

- приведенный коэффициент теплоотдачи;

- начальная температура в помещении;

- площадь поверхности ограждающих конструкций в j-м помещении.

Коэффициент теплоотдачи может быть рассчитан по эмпирической формуле:

. (П1.17)

Концентрация отдельных компонентов газовых смесей в помещениях здания вычисляются из уравнения баланса массы данного компонента (П1.12).

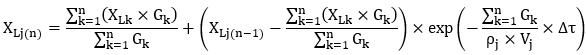
Концентрация L-го компонента продуктов горения в j-м помещении в "n"-ый момент времени определяется уравнением:

. (П1.18)

Оптическая концентрация дыма в помещениях определяется из балансового уравнения П8.19. Натуральный показатель ослабления среды в j-ом помещении в "n"-ый момент времени определяется уравнением:

. (П1.19)

IV. Аналитические соотношения для определения критической продолжительности пожара

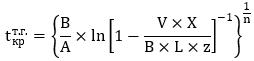
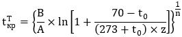
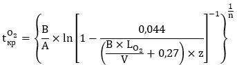
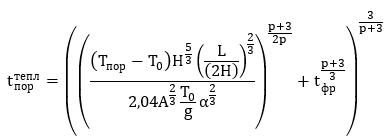
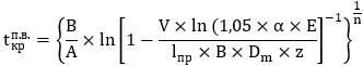
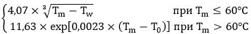
Для одиночного помещения высотой не более 6 м, удовлетворяющего условиям применения интегральной модели, при отсутствии систем противопожарной защиты, влияющих на развитие пожара, допускается определять критические времена по каждому из опасных факторов пожара с помощью аналитических соотношений:

по повышенной температуре:

, (П1.20)

по потере видимости:

, (П1.21)

по пониженному содержанию кислорода:

, (П1.22)

по каждому из газообразных токсичных продуктов горения:

, (П1.23)

где - размерный комплекс, зависящий от теплоты сгорания материала и свободного объема помещения, кг;

- начальная температура воздуха в помещении, °C;

n - показатель степени, учитывающий изменение массы выгорающего материала во времени;

A - размерный параметр, учитывающий удельную массовую скорость выгорания горючего материала и площадь пожара, кг/сn;

Z - безразмерный параметр, учитывающий неравномерность распределения ОФП по высоте помещения;

- низшая теплота сгорания материала, МДж/кг;

- удельная изобарная теплоемкость газа, МДж/(кг·К);

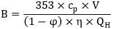
- коэффициент теплопотерь (принимается по данным справочных источников информации, при отсутствии данных может быть принят равным 0,3);

- коэффициент полноты горения (определяется по формуле (П1.9);

V - свободный объем помещения, м3;

a - коэффициент отражения предметов на путях эвакуации;

E - начальная освещенность, лк;

- предельная дальность видимости в дыму, м;

- дымообразующая способность горящего материала, Нп·м2/кг;

L - удельный выход токсичных газов при сгорании 1 кг материала, кг/кг;

X - предельно допустимое содержание токсичного газа в помещении, кг м-3 (XCO2 = 0,11 кг/м3; XCO = 1,16·10-3 кг/м3; XHCL = 23·10-6 кг/м3);

- удельный расход кислорода, кг/кг.

Если под знаком логарифма получается отрицательное число, то данный ОФП не представляет опасности.

Параметр z вычисляют по формуле:

, (П1.24)

где h - высота рабочей зоны, м;

H - высота помещения, м.

Определяется высота рабочей зоны:

, (П1.25)

где - высота площадки, на которой находятся люди, над полом помещения, м;

- разность высот пола, равная нулю при горизонтальном его расположении, м.

Следует иметь в виду, что наибольшей опасности при пожаре подвергаются люди, находящиеся на более высокой отметке. Поэтому, например, при определении необходимого времени эвакуации людей из партера зрительного зала с наклонным полом значение h следует находить, ориентируясь на наиболее высоко расположенные ряды кресел. Параметры A и n вычисляют так:

для кругового распространения пожара:

,

где V - линейная скорость распространения пламени, м/с;

для вертикальной или горизонтальной поверхности горения в виде прямоугольника, одна из сторон которого увеличивается в двух направлениях за счет распространения пламени (например, распространение огня в горизонтальном направлении по занавесу после охвата его пламенем по всей высоте):

,

где b - перпендикулярный к направлению движения пламени размер зоны горения, м.

При отсутствии специальных требований значения a и E принимаются равными 0,3 и 50 лк соответственно, а значение = 20 м.

V. Математическая двухзонная модель пожара в здании

При решении задач с использованием двухзонной модели пожар в здании характеризуется усредненными по массе и объему значениями параметров задымленной зоны:

T - температура среды в задымленной зоне, К;

- оптическая плотность дыма, Нп/м;

- массовая концентрация i-того токсичного продукта горения в задымленной зоне, кг/кг;

- массовая концентрация кислорода, кг/кг;

Z - высота нижней границы слоя дыма, м.

В свою очередь перечисленные параметры выражаются через основные интегральные параметры задымленной зоны с помощью следующих формул:

, (П1.26)

, (П1.27)

, (П1.28)

, (П1.29)

где m, - общая масса дыма и соответственно i-го токсичного продукта горения в задымленной зоне, кг;

mк - масса кислорода в задымленной зоне, кг;

- энтальпия продуктов горения в задымленной зоне, кДж;

S - оптическое количество дыма, Нп·м2;

- плотность дыма при температуре T, кг/м3;

VД - объем задымленной зоны, м3;

H, A - высота и площадь помещения, м;

- удельная теплоемкость дыма, кДж/(K·кг).

Динамика основных интегральных параметров задымленной зоны определяется интегрированием системы следующих балансовых уравнений:

общей массы компонентов задымленной зоны с учетом дыма, вносимого в зону конвективной колонкой, и дыма, удаляемого через проемы в соседние помещения:

, (П1.30)

где: t - текущее время, с;

, - массовый расход дыма соответственно через конвективную колонку и открытые проемы в помещении, кг/с;

энтальпия компонентов задымленной зоны с учетом тепла, вносимого в зону конвективной колонкой, теплоотдачи в конструкции и уноса дыма в проемы:

, (П1.31)

где , , - тепловая мощность, соответственно, вносимая в задымленную зону конвективной колонкой, удаляемая с дымом через открытые проемы и теряемая в конструкции, кВт;

массы кислорода с учетом потерь на окисление продуктов пиролиза горючих веществ:

, (П1.32)

- полнота сгорания горючего материала, кг/кг;

- скорость выгорания горючего материала, кг/с;

- потребление кислорода при сгорании единицы массы горючего материала, кг/кг;

оптического количества дыма с учетом дымообразующей способности горящего материала:

, (П1.33)

где - дымообразующая способность горючего материала, Нп/(м2·кг);

массы i-го токсичного продукта горения:

, (П1.34)

где - массовый выход i-го токсичного продукта горения, кг/кг.

Масса компонентов дыма , вносимых в задымленную зону конвективной колонкой, оценивается с учетом количества воздуха, вовлекаемого в конвективную колонку по всей ее высоте до нижней границы слоя дыма. В инженерных расчетах расход компонентов дыма через осесимметричную конвективную колонку на высоте нижнего уровня задымленной зоны Z (в зависимости от того, какая область конвективной колонки или факела погружена в задымленную зону) задается полуэмпирической формулой:

, (П1.35)

где Q - мощность очага пожара, кВт.

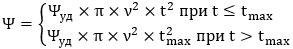
Динамика параметров очага пожара определяется развитием площади горения с учетом сложного состава горючих материалов, их расположения, места возникновения очага пожара и полноты сгорания:

, (П1.36)

Потери тепла в ограждающие конструкции рассчитываются с учетом температуры горячей струи , скорости и излучательной способности струи, омывающей конструкции, и прогрева самой i-ой конструкции по толщине y. Для этого численно интегрируется нестационарное уравнение Фурье:

, (П1.37)

с граничными и начальными условиями:

, (П1.38)

, (П1.39)

, (П1.40)

где , - соответственно конвективный и лучистый коэффициент теплоотдачи, Вт/(м2·К);

- толщина ограждающей конструкции, м;

C(T) - теплоемкость материала конструкции при температуре T(y), Дж/(кг2·°K);

- теплопроводность материала конструкции при температуре T(y), Вт/(м·°K);

, - температура соответственно обогреваемой части конструкции и среды у необогреваемой поверхности, К;

- плотность материала конструкции, кг/м.

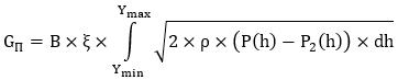
Тепловые и массовые потоки через проем в каждый момент времени рассчитываются с учетом текущего перепада давления по высоте проема, состава и температуры газовой среды по обе стороны проема (схема расчета на рисунке П1.1). Так, массовый расход дыма из помещения очага пожара в соседнее помещение рассчитывается следующим образом:

, (П1.41)

где B - ширина проема, м;

- аэродинамический коэффициент проема;

P(h) - P2(h) - разница давлений в помещениях на высоте h;

- плотность дыма в задымленной зоне соседнего помещения при температуре дыма T.

Рисунок П1.1. Массопотоки через проем

Пределы интегрирования и выбираются в пределах створа проема, слоя дыма помещения очага пожара и там, где избыточное давление , как это указано на рисунке П1.1.

Необходимая для оценки перепада давления по створу проема зависимость давления от высоты в i-ом помещении (с учетом задымленной зоны этого помещения) оценивается как:

, (П1.42)

где - текущее давление в i-ом помещении на нулевой отметке (или приведенное к нулевой отметке, если уровень пола помещения выше нулевой отметки);

- плотность воздуха при начальной температуре ;

- текущая высота незадымленной зоны в i-ом помещении.

Рассчитанные параметры тепломассообмена в проеме используются как граничные условия для соседнего помещения.

VI. Полевой метод моделирования пожара в здании

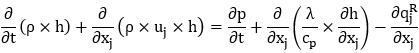
Основой для полевых моделей пожаров являются уравнения, выражающие законы сохранения массы, импульса, энергии и масс компонентов в рассматриваемом малом контрольном объеме.

Уравнение сохранения массы:

, (П1.43)

Уравнение сохранения импульса:

, (П1.44)

Для ньютоновских жидкостей, подчиняющихся закону Стокса, тензор вязких напряжений определяется формулой:

, (П1.45)

Уравнение энергии:

, (П1.46)

где - статическая энтальпия смеси;

- теплота образования k-го компонента;

- теплоемкость смеси при постоянном давлении;

- радиационный поток энергии в направлении .

Уравнение сохранения химического компонента k:

, (П1.47)

Для замыкания системы уравнений (П1.43) - (П1.47) используется уравнение состояния идеального газа. Для смеси газов оно имеет вид:

, (П1.48)

где - универсальная газовая постоянная;

- молярная масса k-го компонента.

Приложение N 2
к методике определения расчетных
величин пожарного риска в зданиях,
сооружениях и пожарных отсеках
различных классов функциональной
пожарной опасности, утвержденной
приказом МЧС России
от 14.11.2022 N 1140

КЛАССИФИКАЦИЯ ЛЮДСКИХ ПОТОКОВ И ПАРАМЕТРЫ ИХ ДВИЖЕНИЯ

1. Расчетные группы людей, образующие состав людского потока во время эвакуации в здании, подразделяются на группы людей без ограничения мобильности (М0) и маломобильные группы населения (МГН).

2. Люди без ограничения мобильности (МО), рассматриваемые при эвакуации, подразделяются на 7 групп, которые могут иметь однородный и неоднородный состав. Указанная классификация представлена в таблице П2.1.

Таблица П2.1

Группы контингента без ограничения мобильности Общие характеристики людей групп мобильности
Однородные группы М0-1 Дети и подростки (7 - 18 лет)
М0-2 Молодежь (18 - 25 лет)
М0-3 Люди трудоспособного возраста (18 - 60 лет)
Неоднородные группы М0-4 Группа, состоящая из детей дошкольного и школьного возраста и людей трудоспособного возраста
М0-5 Группа, состоящая из детей дошкольного и школьного возраста, людей трудоспособного возраста и активных людей пожилого возраста
М0-6 Группа, состоящая из людей трудоспособного возраста и активных людей пожилого возраста
М0-7 Группа, состоящая из людей с грудными детьми, детей дошкольного и школьного возраста, людей трудоспособного возраста, активных людей пожилого возраста

3. Классификация МГН по группам мобильности представлена в таблице П2.2.

Таблица П2.2

Группы мобильности Общие характеристики людей групп мобильности
М1 Люди, не имеющие инвалидности, со сниженной мобильностью (пожилые люди (старше 60 лет), дети дошкольного возраста, беременные женщины), а также глухие и слабослышащие
М2 Пожилые немощные люди (имеющие инвалидность или хронические заболевания), слепые и слабовидящие люди
М3 Люди трудоспособного возраста с поражением опорно-двигательного аппарата
М4 Инвалиды, передвигающиеся на креслах-колясках
НМ Немобильные граждане (люди, не имеющие возможности передвигаться самостоятельно, например, люди с травмами опорно-двигательного аппарата). Людей, передвигающихся несамостоятельно на кресле-коляске, следует относить к группе НМ.
НТ Нетранспортабельные люди (Люди, действия по транспортировке которых являются недопустимыми вследствие прямой угрозы жизни, вызванной такой транспортировкой.)
НО Люди с ограниченной степенью свободы, в том числе люди с психическими отклонениями (Порядок эвакуации людей, относящихся к группе НО, определяется инструкцией о мерах пожарной безопасности для конкретного здания.)

4. В соответствии с таблицей П2.3 осуществляется выбор групп эвакуируемого контингента зависимости от класса функциональной пожарной опасности зданий. На основе проектной и иной документации на здание определяется общее количество людей в здании. Определяется количество людей, относящихся к каждой из этих групп. При отсутствии необходимых данных количество людей принимается в соответствии с пунктами 5, 6 настоящего приложения.

5. Минимальное расчетное количество людей в здании должно составлять не менее:

для танцевальных залов - 1 человек на 1,35 м2 площади зала;

для магазинов - 1 человек на 3 м2 площади торгового зала, включая площадь, занятую оборудованием;

для рынков - 1 человек на 1,6 м2 площади торгового зала рыночной торговли, включая площадь, занятую оборудованием;

для предприятий бытового обслуживания - 1 человек на 1,35 м2 площади помещения для посетителей, включая площадь, занятую оборудованием;

для административных помещений - 1 человек на 6 м2 суммарной площади офисных помещений;

для стоянок автомобилей - 1 человек на 1 машиноместо;

для предприятий общественного питания - 1 человек на 1 посадочное место, при организации танцевальных площадок - 1 человек на 2 м2 площади зала, не занятой оборудованием;

для зданий жилых многоквартирных - не менее количества комнат в квартире плюс два человека на каждую квартиру;

для внеквартирных кладовых зданий жилых многоквартирных - 1 человек на 1 кладовую;

для молельных залов культовых зданий с расчетным числом посетителей - не менее количества сидячих мест плюс количество людей, определенное из расчета 0,8 м2 площади молельного зала на одного человека, не занятой оборудованием;

для молельных залов культовых зданий с нерасчетным числом посетителей - из расчета 0,5 м2 площади молельного зала на одного человека, включая площадь, занятую оборудованием;

для алтаря культовых зданий - из расчета 5 м2 площади алтаря на одного человека, включая площадь, занятую оборудованием.

В случае, если общее количество людей, определенное по пункту 4 настоящего приложения, составляет менее минимального, количество людей следует принимать равным минимальному расчетному количеству, за исключением случаев, когда численность людей ограничена в рамках дополнительных мероприятий по обеспечению пожарной безопасности.

6. В соответствии с положениями таблицы П2.3 определяется минимальное расчетное количество людей, относящихся к группам мобильности М2, М3, М4. При этом, если в таблице приведено суммарное количество людей групп М2, М3, М4, количество людей каждой из групп (М2/МЗ/М4) следует определять из соотношения: 0,25/0,6/0,15.

При необходимости количество людей в оставшейся группе определяется как разность между общим количеством людей и суммарным количеством людей групп М2, М3, М4.

7. Для зданий больниц количество людей в каждой группе определяется по таблице П2.4. Для специализированных учреждений для пребывания МГН (дома инвалидов, жилые дома, специально предназначенных для инвалидов), количество МГН, относящихся к различным группам, следует определять в соответствии с заданием на проектирование или иной документацией на здание.

Таблица П2.3

Эвакуируемый контингент в зависимости от класса функциональной пожарной опасности зданий

N п/п Класс функциональной пожарной опасности Назначение здания Минимальное расчетное количество людей, относящихся к различным группам мобильности, %
1. Ф1.1 Здания дошкольных образовательных организаций М1
(дошкольники)
Суммарное количество
М2, М3, М4 - 2%
Спальные корпуса образовательных организаций с наличием интерната и детских организаций М0-1
Суммарное количество М2, М3, М4 - 2%
Специализированные дома престарелых (неквартирные) М2 - 100%
Специализированные дома инвалидов (неквартирные) В соответствии с документацией на здание
Здания медицинских организаций, предназначенные для оказания медицинской помощи в стационарных условиях (круглосуточно) (далее - больницы) В соответствии с таблицей П7.4
2. Ф1.2 Гостиницы, общежития (за исключением общежитий квартирного типа), спальные корпуса санаториев и домов отдыха общего типа, кемпингов М0-5
Суммарное количество М2, М3, М4 - 3% общей вместимости здания, но не менее 1 места
3. Ф1.3 Многоквартирные жилые дома, в том числе общежития квартирного типа М0-7
Суммарное количество М2, М3, М4 - определяется заданием на проектирование, но не менее 1 человека на этаж (этаж секции) при площади не более 550 М2. При большей площади - в соответствии с пунктом 2 настоящей таблицы
4. Ф1.4 Одноквартирные жилые дома, в том числе блокированные М0-7
М2 - 1 человек
5. Ф2.1, Ф2.3 Театры для детей и цирки М0-4
Суммарное количество М2, М3, М4 - 3% общей вместимости сооружений плюс 1 место на каждые 100 мест при вместимости свыше 1000 зрителей
6. Театры (для взрослых), кинотеатры, концертные залы, клубы, спортивные сооружения с трибунами М0-5
Суммарное количество М2, М3, М4 - 3% общей вместимости сооружений плюс 1 место на каждые 100 мест при вместимости свыше 1000 зрителей
7. Ф2.1 Библиотеки М0-2
Суммарное количество М2, М3, М4 - 3% общей вместимости сооружений плюс 1 место на каждые 100 мест при вместимости свыше 1000 читателей
8. Ф2.2, Ф2.4 Танцевальные залы М0-2
Суммарное количество М2, М3, М4 - 2% общей вместимости здания
9. Музеи, выставки М0-5
Суммарное количество М2, М3, М4 - 2% общей вместимости здания
10. Ф3.1 Здания организации торговли М0-5
Суммарное количество М2, М3, М4 - 3% общей вместимости здания
11. Ф3.2 Здания организации общественного питания М0-5
Суммарное количество М2, М3, М4 - 5% общей вместимости здания
12. Ф3.3 Вокзалы М0-5
Суммарное количество М2, М3, М4 - 2% общей вместимости здания
13. Ф3.4 Здания медицинских
организаций, предназначенные для осуществления медицинской деятельности, за исключением больниц (для взрослых людей)
М0-6
Суммарное количество М2, М3, М4 - 5% общей вместимости здания
14.   Здания медицинских организаций, предназначенные для осуществления медицинской деятельности, за исключением больниц (для детей и подростков) М0-4
Суммарное количество М2, М3, М4 - 5% общей вместимости здания
15. Ф3.5 Помещения для посетителей организаций бытового и коммунального обслуживания с нерасчетным числом посадочных мест для посетителей М0-6
Суммарное количество М2, М3, М4 - 3% общей вместимости здания
16. Ф3.6 Физкультурно-оздоровительные комплексы и учреждения с помещениями без трибун для зрителей, бытовые помещения (для детей) М0-4
Суммарное количество М2, М3, М4 - 2% общей вместимости здания
17. физкультурно-оздоровительные комплексы и учреждения с помещениями без трибун для зрителей, бытовые помещения (для взрослых), бани М0-6
Суммарное количество М2, М3, М4 - 2% общей вместимости здания
18. Ф3.7 Объекты религиозного назначения М0-7
Суммарное количество М2, М3, М4 - 7% от общей вместимости
19. Ф4.1. Здания общеобразовательных организаций, организаций дополнительного образования детей, профессиональных образовательных организаций М0-1
Суммарное количество М2, М3, М4 - 2% общего числа мест в учреждении
20. Ф4.2 Здания образовательных организаций высшего образования, организаций дополнительного профессионального образования М0-3
Суммарное количество М2, М3, М4 - 2,7% общего числа мест
21. Ф4.3 Здания органов управления учреждений, проектно-конструкторских организаций, информационных и редакционно-издательских организаций, научных организаций, банков, контор, офисов М0-3
Суммарное количество М2, М3, М4 - определяется заданием на проектирование или иной документацией на здание
22. Ф4.4 Здания пожарных депо М0-3 - 100%
23. Ф5.1 Производственные здания, сооружения, производственные и лабораторные помещения, мастерские, крематории М0-3
Суммарное количество М2, М3, М4 - определяется заданием на проектирование или иной документацией на здание
24. Ф5.2 Складские здания, сооружения, книгохранилища, архивы, складские помещения М0-3
Суммарное количество М2, М3, М4 - определяется заданием на проектирование или иной документацией на здание
25. Стоянки для автомобилей без технического обслуживания и ремонта М0-7
(кроме встроенных автостоянок, где основной эвакуируемый контингент определяется назначением здания, в которое они встроены.) Суммарное количество М2, М3, М4 - определяется заданием на проектирование или иной документацией на здание
26. Ф5.3 Здания сельскохозяйственного назначения М0-3
Суммарное количество М2, М3, М4 - определяется заданием на проектирование или иной документацией на здание

Таблица П2.4

Эвакуируемый контингент для различных отделений больниц

Отделения больниц Расчетное количество людей, относящихся к различным группам мобильности, %
Терапевтическое отделение М0-6 - 27
М2 - 56
М3 - 11
М4 - 6
Неврологическое отделение М0-6 - 15
М2 - 50
М3 - 9
М4 - 7
НМ - 17
НТ - 2
Онкологическое отделение М0-6 - 41
М2 - 37
М3 - 10
М4 - 7
НМ - 4
НТ - 1
Кардиологическое отделение М0-6 - 24
М2 - 61
М3 - 6
М4 - 5
НМ - 3
НТ - 1
Химиотерапевтическое отделение М0-6 - 40
М2 - 40
М3 - 10
М4 - 6
НМ - 3
НТ - 1
Хирургическое отделение М0-6 - 42
М2 - 41
М3 - 6
М4 - 5
НМ - 4
НТ - 2
Пульмонологическое отделение М0-6 - 58
М2 - 32
М3 - 5
М4 - 5
Урологическое отделение М0-6 - 41
М2 - 43
М3 - 7
М4 - 6
НМ - 3
Нейрохирургическое отделение М0-6 - 41
М2 - 12
М3 - 30
М4 - 9
НМ - 5
НТ - 2
Гинекологическое отделение М0-6 - 92
М2 - 3
М3 - 4
М4 - 1
Детское отделение М0-4 - 92
М3 - 5
М4 - 3
Родильное отделение М0-3 - 15
М1 (беременные женщины) - 82
М3 - 2
М4 - 1

8. В зданиях, где люди, относящиеся к группе М1 не выделены в отдельную группу, они учитываются в составе смешанного потока группы М0 и как отдельная группа не рассматриваются.

9. В зависимости от функционального назначения здания людей, входящих в состав групп М1 - М4, с учетом таблицы П2.2 следует относить к одной из групп, параметры движения которых приведены в таблице П2.7.

10. Площадь горизонтальной проекции людей f, м2/чел., в зависимости от их мобильности, возраста и одежды следует принимать в соответствии с приведенными ниже данными:

0,03 м2/чел. - для детей дошкольного возраста (дошкольников);

0,06 м2/чел. - для детей и подростков школьного возраста (школьников);

0,100 м2/чел. - для людей молодого и среднего возраста (М0) в летней одежде без дополнительных опор;

0,15 м2/чел. - для детей с ограниченными возможностями; для беременных женщин;

0,125 м2/чел. - для людей молодого и среднего возраста (М0) в зимней одежде без дополнительных опор, глухих и слабослышащих людей молодого и среднего возраста (М1);

0,200 м2/чел. - для людей молодого и среднего возраста (М3) с одной дополнительной опорой; для пожилых немощных людей (М2) без дополнительных опор и с одной дополнительной опорой (в том числе глухих и слабослышащих);

0,300 м2/чел. - для людей молодого и среднего возраста (М3) с двумя дополнительными опорами;

0,4 м2/чел. - для слепых и слабовидящих людей с тростью (М2);

0,96 м2/чел. - для инвалидов, передвигающихся на креслах-колясках.

Дополнительные данные площади горизонтальной проекции людей f, м2/чел., представлены в табл. П2.5.

Таблица П2.5

Площадь горизонтальной проекции людей с ограниченной мобильностью, м2/чел.

Здоровые люди, слабослышащие, с ограничением умственной деятельности Слепые С поражением опорно-двигательного аппарата
передвигающиеся без дополнительных опор передвигающиеся с одной дополнительной опорой передвигающиеся с двумя дополнительными опорами передвигающиеся на креслах-колясках транспортируемые на носилках транспортируемые на каталках
1 2 3 4 5 6 7 8
             
a = 0,28 a1 = 0,72 a2 = 0,40 a3 = 0,50 a4 = 0,50 a5 = 0,80 b1 = 0,50 b2 = 0,75
c = 0,46 c1 = 0,82 c2 = 0,75 c3 = 0,65 c4 = 0,90 c5 = 1,20 l1 = 2,10 l2 = 2,10
f = 0,10 f = 0,40 f = 0,25 f = 0,20 f = 0,30 f = 0,96 f = 1,05 f = 1,58

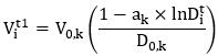
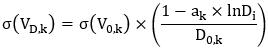
11. Расчетное значение скорости движения людей на участке эвакуационного пути при определенном значении плотности может быть определено по формуле (П2.1) с учетом данных в таблицах П2.6 и П2.7:

,

, (П2.1)

где - среднее значение скорости свободного движения людей в потоке (при ), м/мин;

где - скорость движения людей в потоке по i-му виду пути, м/мин, при плотности потока ;

- значение плотности людского потока на i-м участке эвакуационного пути, чел./м2;

- предельное значение плотности людского потока, до достижения которого возможно свободное движение людей по i-му виду пути (плотность не влияет на скорость движения людей), чел./м2;

- коэффициент адаптации людей к изменениям плотности потока при движении по j-му виду пути;

m - коэффициент влияния проема. Значение m принимается равным m = 1 при плотности потока перед границей проема D < 0,5 м2/м2. При D 0,5 м2/м2 значение m принимается равным m = 1,25 - 0,05D.

Значения величин , , и представлены в таблицах П2.6 и П2.7.

Таблица П2.6

Параметры людского потока для групп основного контингента различного состава без ограничения мобильности (М0)

Расчетная группа Вид пути и значения параметров в формате //, м/мин/-/чел/м2 Средняя площадь горизонтальной проекции, м2
Горизонтальный Проем Лестница вниз Лестница вверх  
1.М0-1 92,6/0,284/0,75 92,6/0,350/1,20 92,4/0,338/0,94 65,9/0,289/0,84 0,06
2. М0-2 120/0,308/0,72 120/0,308/0,53 129/0,353/0,58 76,8/0,305/0,67 0,09
3. М0-3 100,0/0,295/0,51 100,0/0,295/0,65 100,0/0,40/0,89 60,0/0,305/0,67 0,1
4. М0-4 93,8/0,353/0,56 93,8/0,371/0,64 93,8/0,394/0,75 57,5/0,375/0,66 0,09
5. М0-5 91,4/0,357/0,58 91,8/0,366/0,62 90,0/0,410/0,83 56,1/0,379/0,68 0,121
6. М0-6 69,6/0,385/0,71 72,1/0,318/0,41 61,7/0,394/0,75 43,5/0,400/0,78 0,127
7. М0-7 45,02/0,425/0,86 50,0/0,253/0,18 30,0/0,367/0,62 30,0/0,414/0,88 0,121

В таблице П2.6 указаны данные для летней одежды. В случае расчетной эвакуации людей в зимней одежде площадь проекции надо увеличить на 25%.

Таблица П2.7

Значения величин , , и , для определения параметров движения людских потоков, состоящих из людей, относящихся к МГН на разных участках пути эвакуации

Вид пути , чел,/м2 , м/мин
Пожилые люди (старше 60 лет)
Горизонтальный 0,295 0,51 80
Проем 0,295 0,65 80
Лестница вниз 0,400 0,89 70
Лестница вверх 0,305 0,67 60
Пожилые немощные люди (имеющие инвалидность или хронические заболевания)
Горизонтальный 0,428 0,96 25,00
Проем 0,456 1,02 20,00
Лестница вниз 0,505 1,26 20,00
Лестница вверх 0,338 0,56 20,00
Пандус вниз 0,353 0,58 25,00
Пандус вверх 0,368 0,72 15,00
Дошкольники (дети 3 - 7 лет)
Горизонтальный 0,275 0,78 60
Проем 0,350 1,2 60
Лестница вниз 0,190 0,64 47
Лестница вверх 0,275 0,76 47
Дети с ограниченными возможностями
Горизонтальный 0,29 0,60 51,00
Проем 0,30 0,67 47,00
Лестница вниз 0,21 0,63 23,00
Лестница вверх 0,30 0,69 20,00
Люди трудоспособного возраста с поражением опорно-двигательного аппарата
Горизонтальный 0,414 0,77 44,00
Проем 0,345 0,57 38,00
Лестница вниз 0,422 0,96 24,00
Лестница вверх 0,313 0,74 14,00
Слепые и слабовидящие люди
Горизонтальный 0,371 0,73 26,00
Проем 0,271 0,77 17,00
Лестница вниз 0,519 0,97 21,00
Лестница вверх 0,387 0,82 18,00
Глухие и слабослышащие люди
Горизонтальный 0,301 0,58 82,00
Проем 0,328 0,73 82,00
Лестница вниз 0,380 0,91 82,00
Лестница вверх 0,344 0,72 54,00
Беременные женщины
Горизонтальный 0,404 0,991 56,42
Проем 0,427 1,033 49,47
Лестница вниз 0,336 0,786 42,35
Лестница вверх 0,411 1,312 31,25
Инвалиды, передвигающиеся на креслах-колясках
Горизонтальный 0,400 0,141 60,00
Пандус вниз 0,400 0,141 60,00
Пандус вверх 0,420 0,156 40,00

В таблице П2.7 параметры движения по пандусу вниз и вверх приведены только для пожилых немощных людей (имеющих инвалидность или хронические заболевания) и инвалидов, передвигающихся на креслах-колясках. Для остальных людей параметры движения по пандусам, если их наклон незначителен (не более 1:8), необходимо определять, как для горизонтального пути, при более значительных наклонах - как для лестницы.

Значение интенсивности движения людей в потоке определенной плотности qDi, чел./(м·мин), а также максимальное значение интенсивности qmaxi, чел./(м·мин), при движении на i-м участке эвакуационного пути рассчитывается по формулам (П2.2) и (П2.3).

При учете в расчетах площади горизонтальной проекции людей f интенсивности qDi и qmaxi будут иметь размерность м/мин:

, (П2.2)

, (П2.3)

где - плотности людей в потоке, при которой достигается максимальное значение интенсивности движения для i-го вида пути, чел./м2 или м2/м2;

- скорость движения людей в потоке по i-му виду пути при плотности потока, в котором достигается максимальное значение интенсивности движения, м/мин.

рассчитывается по формуле:

, (П2.4)

Вне зависимости от типа используемой модели значение qmaxi и значение интенсивности при максимальной плотности qDmaxi, м/мин, для потоков любого состава не должны превышать значений, приведенных в таблице П2.8.

Таблица П2.8

Значения величин qmax и qDmax на разных участках пути эвакуации

Вид пути qmax, м/мин qDmax (при образовании максимальной плотности), м/мин
Горизонтальный путь 16,5 13,5
Дверной проем 19,6 8,5 при 1,6 м;
2,5+3,75, при <1,6 м
Лестница вниз 16,0 7,2
Лестница вверх 11,0 9,9

12. Для людей, неспособных к самостоятельной эвакуации (далее - немобильные люди), необходимо определять расчетное время спасения из лечебно-профилактических и социальных учреждений при помощи носилок.

Спасение осуществляется персоналом по двое.

Расчетное время спасения немобильных людей , мин, определяется как сумма затрат времени на последовательные операции, включающие:

укладывание немобильного человека на носилки;

переноску немобильного человека на носилках в безопасное место;

перекладывание немобильного человека с носилок на подготовленную поверхность;

передвижение (возвращение) персонала с пустыми носилками за следующим немобильным человеком.

После перекладывания с носилок на подготовленную поверхность последнего немобильного человека, затраты времени на возвращение персонала с пустыми носилками за следующим немобильным человеком не определяются.

Время, затраченное персоналом на передвижение с носилками, определяется как отношение длин различных видов пути, встречающихся на маршруте спасения, к скорости передвижения.

При отсутствии необходимых исходных данных для определения скорости переноски персоналом носилок с человеком и без него следует воспользоваться данными, приведенными в таблице П2.9.

Таблица П2.9

Скорость движения персонала при переноске носилок с человеком и без него, м/мин

Вид пути С человеком Без человека
Горизонтальный путь 70 100
Лестница вниз 30 80
Лестница вверх 20 60

При осуществлении переноски немобильных людей по лестнице с различных этажей здания количество рейсов, осуществляемых одной парой человек из числа персонала, следует определять по таблице П2.10.

Таблица П2.10

Количество рейсов по переноске немобильных людей на носилках с различных этажей здания, осуществляемое одной парой человек из числа персонала

Этаж Максимальное количество рейсов для переноски немобильных людей на носилках
15 1
14 1
13 1
12 2
11 2
10 2
9 2
8 2
7 3
6 3
5 5
4 5
3 8
2 11
1 20

Время укладывания человека на носилки или перекладывания с носилок на подготовленную поверхность, осуществляемое одной парой спасателей из числа персонала, составляет 0,15 мин.

Приложение N 3
к методике определения расчетных
величин пожарного риска в зданиях,
сооружениях и пожарных отсеках
различных классов функциональной
пожарной опасности, утвержденной
приказом МЧС России
от 14.11.2022 N 1140

СТАТИСТИЧЕСКИЕ ДАННЫЕ О ЧАСТОТЕ ВОЗНИКНОВЕНИЯ ПОЖАРА В ЗДАНИЯХ

Таблица П3.1

N п/п Наименование здания Частота возникновения пожара в течение года
1. Общеобразовательные организации 1,16 x 10-2
2. Организации начального профессионального образования (профессиональные технические училища) 1,98 x 10-2
3. Организации среднего профессионального образования (среднее специальное учебное заведение) 2,69 x 10-2
4. Дошкольные образовательные организации 1,3 x 10-3
5. Детские оздоровительные лагеря, летние детские дачи 1,26 x 10-3
6. Санатории, дома отдыха, пансионаты 2,99 x 10-2
7. Амбулатории, поликлиники, диспансеры, медпункты 8,88 x 10-3
8. Здания розничной торговли:
универмаги, промтоварные магазины;
универсамы, продовольственные магазины;
магазины смешанных товаров;
аптеки, аптечные ларьки
2,03 x 10-2
9. Здания рыночной торговли:
крытые, оптовые рынки (из зданий стационарной постройки), торговые павильоны, киоски, ларьки, палатки, контейнеры
1,13 x 10-2
10. Здания организаций общественного питания 3,88 x 10-2
11. Гостиницы, мотели 2,81 x 10-2
12. Спортивные сооружения 1,83 x 10-3
13. Здания зрелищных и культурно-просветительных учреждений 6,90 x 10-3
14. Библиотеки 1,16 x 10-3
15. Музеи 1,38 x 10-2
16. Больницы 1,3 x 10-2
17. Образовательные организации с наличием интерната 7,7 x 10-3
18. Специализированные дома престарелых и инвалидов 7,7 x 10-3
19. Дома жилые многоквартирные 2,6 x 10-2
20. Дома жилые одноквартирные 1,9 x 10-3
21. Стоянки автомобилей 4,5 x 10-2
22. Здания производственного и складского назначения 1,9 x 10-2
23. Здания религиозного назначения 3,2 x 10-3

Приложение N 4
к методике определения расчетных
величин пожарного риска в зданиях,
сооружениях и пожарных отсеках
различных классов функциональной
пожарной опасности, утвержденной
приказом МЧС России
от 14.11.2022 N 1140

ПОРЯДОК ОПРЕДЕЛЕНИЯ ВРЕМЕНИ НАЧАЛА ЭВАКУАЦИИ

1. Значение времени начала эвакуации (с) для помещения очага пожара следует определять по формуле:

, (П4.1)

где - площадь помещения, м2.

В случае если время начала эвакуации, рассчитанное по указанной формуле, превышает время начала эвакуации, определенное в соответствии с формулой (П4.2) или таблицей П4.1, время начала эвакуации из помещения очага пожара следует определять по формуле (П4.2) или таблице П4.1.

2. Время начала эвакуации для зданий, оборудованных системой пожарной сигнализации (или автоматическими установками пожаротушения, выполняющими функцию системы пожарной сигнализации) и системой оповещения и управления эвакуацией при пожаре, определяется по формуле:

где - время достижения порогового значения срабатывания пожарного извещателя, с;

- время задержки, связанное с инерционностью системы обнаружения пожара, с;

- время задержки, связанное с задержкой оповещения людей при пожаре, с. Принимается равным нулю при одновременном оповещении людей в здании или определяется алгоритмом оповещения при поэтапном оповещении;

- время проведения предварительных действий, предшествующих началу эвакуации. Принимается равным:

60 с - для зданий класса функциональной пожарной опасности Ф1;

30 с - для других зданий.

3. Для людей, относящихся к группе мобильности НМ, , принимается равным времени начала транспортировки человека, для которого указанное время является максимальным среди всех немобильных граждан. Для людей, относящихся к группе мобильности НО, - определяется инструкцией о мерах пожарной безопасности для конкретного здания. Люди, относящиеся к группе мобильности НТ, при проведении расчета не рассматриваются.

4. Время достижения порогового значения срабатывания пожарного извещателя и время задержки, связанное с инерционностью системы обнаружения пожара , определяются в соответствии с приложением N 11 к Методике.

5. Если значение времени , рассчитанное по формуле (П4.2), превышает время, приведенное в таблице П4.1, при расчете следует использовать значение, приведенное в таблице П4.1.

6. Для зданий, не оборудованных системой пожарной сигнализации или системой оповещения и управления эвакуацией людей при пожаре, tн.э. определяется в соответствии с таблицей П4.1.

Таблица П4.1

N п/п Класс функциональной пожарной опасности зданий и характеристика контингента людей Время начала эвакуации , мин
1. Здания дошкольных образовательных организаций, специализированных домов престарелых и инвалидов (неквартирные), спальные корпуса образовательных организаций с наличием интерната и детских организаций, здания медицинских организаций, предназначенные для оказания медицинской помощи в стационарных условиях (круглосуточно); многоквартирные жилые дома, в том числе общежития квартирного типа; одноквартирные жилые дома, в том числе блокированные (Ф1.1, Ф1.3, Ф1.4). Люди могут находиться в состоянии сна, но знакомы со структурой эвакуационных путей и выходов. 6,0
2. Гостиницы, общежития, спальные корпуса санаториев и домов отдыха общего типа, кемпингов, мотелей и пансионатов (Ф1.2). Жильцы могут находиться в состоянии сна и не достаточно знакомы со структурой эвакуационных путей и выходов. 6,0
3. Здания зрелищных и культурно-просветительных учреждений; здания организаций по обслуживанию населения (Ф2, Ф3). Люди находятся в бодрствующем состоянии, но могут быть не знакомы со структурой эвакуационных путей и выходов 3,0
4. Здания научных и образовательных учреждений, научных и проектных организаций, органов управления учреждений (Ф4). Люди находятся в бодрствующем состоянии и хорошо знакомы со структурой эвакуационных путей и выходов. 3,0
5. Здания класса Ф5 - в части стоянок легковых автомобилей, без технического обслуживания и ремонта, а также помещений класса функциональной пожарной опасности Ф5 (за исключением помещений категорий А и Б), входящих в состав зданий классов функциональной пожарной опасности Ф1, Ф2, ФЗ и (или) Ф4. 3,0

Приложение N 5
к методике определения расчетных
величин пожарного риска в зданиях,
сооружениях и пожарных отсеках
различных классов функциональной
пожарной опасности, утвержденной
приказом МЧС России
от 14.11.2022 N 1140

ПОРЯДОК ОПРЕДЕЛЕНИЯ РАСЧЕТНОГО ВРЕМЕНИ ЭВАКУАЦИИ

1. Вероятность эвакуации определяется для каждой из групп эвакуируемого контингента в общем потоке эвакуирующихся. Расчетное время эвакуации людей из здания (части здания) или в безопасную зону также определяется для каждой группы в общем потоке эвакуирующихся и устанавливается по времени выхода из него последнего человека, относящегося к данной группе.

2. Перед началом моделирования процесса эвакуации в зависимости от назначения здания по таблице П2.3 определяется основной эвакуируемый контингент и дополнительные группы. Площади проекций людей и параметры движения для указанных групп определяются в соответствии с приложением N 2 к Методике.

На основе проектной и иной документации на здание, требований нормативных документов (в части, не противоречащей положениям Методики) определяется количество людей, относящихся к каждой из групп, и места их размещения. При этом одного человека, относящегося к группе, для которой определяется расчетное время эвакуации, необходимо разместить в наиболее удаленной точке рассматриваемой части здания (исключая зоны, где человек, относящийся к данной группе, не может находиться при нормальной эксплуатации здания).

3. Составляется расчетная схема эвакуации в соответствии с одной из представленных в приложениях NN 6 - 8 к Методике моделей и производится моделирование процесса эвакуации для основного эвакуируемого контингента и дополнительных групп. Для каждой группы определяется расчетное время их эвакуации.

4. В отчете по проведению расчета величины пожарного риска приводится принципиальная схема эвакуации, которая представляет собой схему основных направлений движения людских потоков при реализации определенного сценария пожара, выполненную на поэтажных планах.

На принципиальной схеме указываются:

место расположения очага пожара;

контрольные точки, для которых производится определение расчетного времени эвакуации и времени блокирования путей эвакуации. Эти точки выбираются исполнителем расчета, как правило, вблизи эвакуационных выходов или на участках путей эвакуации, блокирование которых опасными факторами пожара возможно до момента окончания прохода людей через указанные участки. Контрольные точки должны также содержать уникальные обозначения, позволяющие однозначно их идентифицировать;

обозначения эвакуационных выходов, выходов в безопасные зоны, лестничных клеток и выходов наружу. Данные обозначения должны быть уникальными и должны использоваться при указании размеров соответствующего элемента в перечне исходных данных. Вместо принципиальной схемы эвакуации допускается приводить расчетную схему эвакуации, содержащую информацию, которая должна быть представлена на принципиальной схеме.

5. Принципы составления расчетной схемы эвакуации.

Расчетная схема эвакуации представляет собой отдельно выполненную или нанесенную на поэтажные планы здания схему, на которой отражены:

количество людей на начальных участках - источниках (проходы между рабочими местами, оборудованием, рядами кресел и т.п.);

направление их движения (маршруты);

геометрические параметры участков пути (длина, ширина) и виды участков пути.

6. Эвакуационные пути могут иметь горизонтальные и наклонные (лестница вниз, лестница вверх и пандус) эвакуационные участки. Длина и ширина эвакуационных участков для проектируемых зданий принимаются по проекту, а для построенных - по фактическому положению.

7. Пути движения людей и выходы высотой менее 1,9 м и шириной менее 0,7 м при составлении расчетной схемы эвакуации не учитываются, за исключением случаев, установленных в нормативных документах по пожарной безопасности.

8. При использовании упрощенной аналитической и имитационно-стохастической моделей движения людского потока определение ширины пути (b) при выходе людей на участок "неограниченной" ширины, например, в вестибюль определяется в зависимости от количества людей (N) и длины (l) участка: b = 4 м при N < 100 чел. и l 6 м; b = 6 м - в остальных случаях.

9. Влияние поворотов пути на параметры движения людского потока не учитывается.

10. Определение длины (вдоль оси пути) отличается для горизонтальных и наклонных путей. К наклонным путям относятся лестницы и пандусы. Свободная ширина b наклонного пути, например, лестничного марша, принимается в свету (измеряется от перил до стены). Длина наклонного пути L (рисунок П5.1) принимается по истинному его значению. Этажные и междуэтажные площадки в целях упрощения и облегчения вычислений, учитывая их небольшие размеры и меньшую сложность движения по ним в сравнении с лестничными маршами, допускается отнести к наклонным путям. Тогда средняя длина наклонного пути в пределах одного этажа с учетом движения по площадкам составит:

для двухмаршевых лестниц: ,

где L' - горизонтальная проекция длины наклонного пути, м;

- угол наклона к горизонту;

не допуская серьезной погрешности, длину пути по двухмаршевой лестнице можно принимать равной его утроенной высоте H, то есть L = 3 x H;

для трехмаршевых лестниц: .

Рисунок П5.1. Расчетная длина пути по лестнице:
а - двухмаршевая лестница; б - трехмаршевая лестница

Пути движения в пределах здания обычно пересекаются дверными проемами, декоративными порталами, имеют сужения за счет различных архитектурных или технологических элементов, выступающих из плоскости ограждений. Такие местные сужения независимо от их характера в дальнейшем называются проемами шириной b. Длина пути l в проеме принимается равной нулю, если она не превышает 0,7 м, то есть длины одного шага, в ином случае движение в проеме следует рассматривать как движение на самостоятельном расчетном участке горизонтального пути.

Приложение N 6
к методике определения расчетных
величин пожарного риска в зданиях,
сооружениях и пожарных отсеках
различных классов функциональной
пожарной опасности, утвержденной
приказом МЧС России
от 14.11.2022 N 1140

УПРОЩЕННАЯ АНАЛИТИЧЕСКАЯ МОДЕЛЬ ДВИЖЕНИЯ ЛЮДСКОГО ПОТОКА (ОПРЕДЕЛЕНИЕ РАСЧЕТНОГО ВРЕМЕНИ ЭВАКУАЦИИ ЛЮДЕЙ ИЗ ПОМЕЩЕНИЙ И ЗДАНИЙ ПО РАСЧЕТУ ВРЕМЕНИ ДВИЖЕНИЯ ОДНОГО ИЛИ НЕСКОЛЬКИХ ЛЮДСКИХ ПОТОКОВ ЧЕРЕЗ ЭВАКУАЦИОННЫЕ ВЫХОДЫ ОТ НАИБОЛЕЕ УДАЛЕННЫХ МЕСТ РАЗМЕЩЕНИЯ ЛЮДЕЙ)

Расчетное время эвакуации людей из помещений и зданий устанавливается по расчету времени движения одного или нескольких людских потоков через эвакуационные выходы от наиболее удаленных мест размещения людей.

Расчетное время эвакуации людей tp следует определять как сумму времени движения людского потока по отдельным участкам пути ti по формуле:

, (П6.1)

где - время движения людского потока на начальном (первом) участке, мин;

, , ... - время движения людского потока на каждом из следующих после начального участка пути, мин.

Время движения людского потока по начальному участку пути , мин, рассчитывают по формуле:

, (П6.2)

где - длина начального участка пути, м;

- скорость движения людского потока на начальном участке, м/мин, определяется в соответствии с приложением N 2 к Методике в зависимости от плотности D, м2/м2.

Плотность людского потока на начальном участке пути рассчитывают по формуле:

, (П6.3)

где - число людей на начальном участке, чел.;

f - средняя площадь горизонтальной проекции человека, м2/чел. принимаемая в соответствии с приложением N 7 к Методике;

- ширина начального участка пути, м.

Скорость движения людского потока на участках пути, следующих после начального, принимают в соответствии с приложением N 7 в зависимости от интенсивности движения людского потока на участке пути.

Интенсивность движения при пересечении границы смежных участков пути вычисляется по формуле (П6.4). По участку i, имеющему ширину , к границе со следующим участком (i+1), имеющему другую ширину (или вид пути), подошел людской поток численностью N человек (рисунок П6.1). Тогда значения интенсивности q на участке i+1 определяется по формуле:

, (П6.4)

Интенсивность движения при слиянии людских потоков вычисляется по формуле (П4.6). Слияние людских потоков может происходить на участках пути, где соединяются несколько путей и движущиеся по ним потоки, слившись в общий поток, затем двигаются по общему пути. Одновременный подход головных частей потоков к месту слияния в практике встречается редко. Как правило, люди из боковых проходов выходят либо в общий проход без слияния, либо вклиниваясь в поток идущих людей. Слияние людских потоков происходит при выполнении условия слияния потоков: передний фронт потока i1 должен подойти к месту слияния до того, как последний человек из потока i2 пройдет место слияния потоков, то есть:

, (П6.5)

Если слияние потоков происходит, то интенсивность объединенного потока определяется как:

, (П6.6)

Рисунок П6.1. Пояснения к расчету параметров людского потока

Если пропускная способность последующего участка пути недостаточна (то есть к границе участка в единицу времени подходит больше людей, чем он может пропустить за это же время), то перед его границей с участками образуются скопления людей с максимальной плотностью. При выполнении расчетов индикатором образования скопления является превышение расчетным значением qi максимального qmax для данного вида пути:

. (П6.7)

Значения , м/мин следует принимать в соответствии с приложением N 7 к Методике. Если значение больше , то ширину данного участка пути следует увеличивать на такое значение, при котором соблюдается условие:

. (П6.8)

Требуемая ширина участка определяется по формуле:

. (П6.9)

При невозможности выполнения условия, приведенного в формуле (П6.9), интенсивность и скорость движения людского потока по участку i определяют в соответствии с приложением N 2 при значении D = 0,9 и более. При этом время эвакуации на участке i следует определять с учетом задержки движения людей, , мин, по причине образовавшегося скопления по формуле:

. (П6.10)

Время задержки при пересечении людьми границы смежного участка пути (скопление образуется на участке i, рисунок П6.1) определяется из следующего соотношения:

. (П6.11)

Время задержки при пересечении людьми границы смежного участка пути двумя и более людскими потоками определяется по формуле:

, (П6.12)

где N - число людей, чье движение задержано из-за недостаточной пропускной способности участка пути, чел.

В случае образования задержек движения на нескольких участках учитывается сумма тех задержек движения, которые встречаются человеку, движущемуся из наиболее удаленной точки в сторону выхода.

Время существования скопления всегда больше времени задержки и рассчитывается по выражению:

. (П6.13)

Параметры людского потока после образования скопления определяются процессом разуплотнения. Люди, переходя на участок i+1 (рисунок П6.1), имеют перед собой пространство, свободное для движения, поэтому они увеличивают скорость движения до значения , которое соответствует значению интенсивности движения в скоплении , но при значении плотности в интервале до D при .

Приложение N 7
к методике определения расчетных
величин пожарного риска в зданиях,
сооружениях и пожарных отсеках
различных классов функциональной
пожарной опасности, утвержденной
приказом МЧС России
от 14.11.2022 N 1140

МАТЕМАТИЧЕСКАЯ МОДЕЛЬ ИНДИВИДУАЛЬНО-ПОТОЧНОГО ДВИЖЕНИЯ ЛЮДЕЙ ИЗ ЗДАНИЯ

1. Расчетное время эвакуации людей из здания устанавливается по времени выхода из него последнего человека.

2. За габариты человека в плане принимается эллипс с размерами осей, указанными в таблице П2.5 приложения N 2 к Методике. Задаются координаты каждого человека - расстояние от центра эллипса до конца эвакуационного участка, на котором он находится (рисунок П7.1).

3. Координаты каждого человека в начальный момент времени задаются в соответствии со схемой расстановки людей в помещениях (например, рабочие места, места для зрителей, спальные места). В случае отсутствия таких данных, например, для магазинов, выставочных залов и так далее, допускается размещать людей равномерно по всей площади помещения с учетом расстановки технологического оборудования.

Координата каждого человека в момент времени t определяется по формуле:

, (П7.1)

где - координата i-го человека в предыдущий момент времени, м;

- скорость i-го человека в момент времени t, м/с;

t - промежуток времени, с.

4. Скорость i-го человека в момент времени t определяется по таблицам П2.5, П2.6 приложения N 2 к Методике в зависимости от локальной плотности потока, в котором он движется, и типа эвакуационного участка.

5. Локальная плотность вычисляется по группе, состоящей из n человек, по формуле:

, (П7.2)

где n - количество людей в группе, человек;

f - средняя площадь горизонтальной проекции человека, м2;

b - ширина эвакуационного участка, м;

x - разность координат последнего и первого человека в группе, м.

Рисунок П7.1. Координатная схема размещения людей на путях эвакуации

6. Если в момент времени t координата человека , определенная по формуле (П7.1), станет отрицательной - это означает, что человек достиг границы текущего эвакуационного участка и должен перейти на следующий эвакуационный участок.

7. В этом случае координата этого человека на следующем эвакуационном участке определяется:

, (П7.3)

где - координата i-го человека в предыдущий момент времени на (j-1) эвакуационном участке, м;

- скорость i-го человека на (j-1)-ом эвакуационном участке в момент времени t, м/с;

- длина j-го эвакуационного участка, m; - координата места слияния j-го и (j-1)-го эвакуационных участков - расстояние от начала j-го эвакуационного участка до места слияния его с (j-1)-ым эвакуационным участком, м.

8. Количество людей, переходящих с одного эвакуационного участка на другой в единицу времени, определяется пропускной способностью выхода с участка :

(П7.4)

где - интенсивность движения на выходе с j-го эвакуационного участка в момент времени t, м/мин;

- ширина выхода с j-го эвакуационного участка, м;

dt - промежуток времени, с;

f - средняя площадь горизонтальной проекции человека, м2.

9. Интенсивность движения на выходе с j-го эвакуационного участка в момент времени t определяется в зависимости от плотности людского потока на этом участке .

10. Плотность людского потока на j-ом эвакуационном участке в момент времени t определяется по формуле:

, (П7.5)

где - число людей на j-ом эвакуационном участке, чел.;

f - средняя площадь горизонтальной проекции человека, м2;

- длина j-го эвакуационного участка, м;

- ширина j-го эвакуационного участка, м;

dt - промежуток времени, с.

11. В момент времени t определяется количество людей m с отрицательными координатами , определенными по формуле (П7.1). Если значение , то все m человек переходят на следующий эвакуационный участок, и их координаты определяются в соответствии с формулой (П7.3). Если значение m > , то количество человек, равное значению , переходят на следующий эвакуационный участок, и их координаты определяются в соответствии с формулой (П7.3), а количество человек, равное значению (m - ), не переходят на следующий эвакуационный участок (остаются на данном эвакуационном участке), и их координатам присваиваются значения xi(t) = k x 0,25 + 0,25, где k - номер ряда, в котором будут находиться люди (максимально возможное количество человек в одном ряду сбоку друг от друга для каждого эвакуационного участка определяется перед началом расчетов). Таким образом, возникает скопление людей перед выходом с эвакуационного участка.

Приложение N 8
к методике определения расчетных
величин пожарного риска в зданиях,
сооружениях и пожарных отсеках
различных классов функциональной
пожарной опасности, утвержденной
приказом МЧС России
от 14.11.2022 N 1140

ИМИТАЦИОННО-СТОХАСТИЧЕСКАЯ МОДЕЛЬ ДВИЖЕНИЯ ЛЮДСКИХ ПОТОКОВ

1. Множество людей, одновременно идущих в одном направлении по общим участкам пути, образуют людской поток. Участками формирования людских потоков в помещениях следует принимать проходы между оборудованием. Для последующих участков эвакуационных путей они представляют собой первичные источники людских потоков. Распределение человек на участках формирования, имеющих ширину и длину , принимается равномерным. Поэтому в начальный момент на каждом элементарном участке , занимаемом потоком, плотность потока определяется по формуле:

. (П8.1)

2. При дальнейшем движении людских потоков из первичных источников по общим участкам пути происходит их слияние. Образуется общий поток, части которого имеют различную плотность. Происходит выравнивание плотностей различных частей людского потока - его переформирование. Следует учитывать, что его головная часть, имеющая перед собой свободный путь, растекается - люди стремятся идти свободно при плотности . За интервал времени t часть людей переходит с этих элементарных участков на последующие и происходит изменение состояния людского потока, его движение.

3. Скорость движения людского потока при плотности на i-ом отрезке участка пути k-го вида следует считать случайной величиной , имеющей числовые характеристики:

математическое ожидание (среднее значение):

, (П8.2)

среднее квадратичное отклонение:

, (П8.3)

где и - математическое ожидание скорости свободного движения людей в потоке (при ) и ее среднее квадратичное отклонение, м/мин;

- предельное значение плотности людского потока, до достижения которого возможно свободное движение людей по k-му виду пути (плотность не влияет на скорость движения людей);

- коэффициент адаптации людей к изменениям плотности потока при движении по k-му виду пути;

- значение плотности людского потока на i-ом отрезке (I) участка пути шириной , чел./м2;

m - коэффициент влияния проема.

4. При любом возможном значении люди в количестве , находящиеся в момент на i-ом элементарном участке, двигаются по нему и начинают переходить на последующий участок (i+1) (рисунок П8.1). На участок i в свою очередь переходит часть людей с предыдущего (i-1) элементарного участка и из источника j.

5. По прошествии времени t к моменту только часть людей с участка i успеет перейти на участок (i+1). К этому моменту времени из людей, бывших на участке i в момент , останется () людей. Их число пополняется за счет людей, успевших за этот интервал времени перейти на него с предыдущего участка - и из источника . Тогда плотность потока на участке i в момент будет равна:

. (П8.4)

6. Скорость движения людей, оказавшихся на участке i в момент , определяется по формуле:

. (П8.5)

7. Следует учитывать, что изменение плотности потока на каждом участке в различные моменты времени отражает процесс переформирования различных частей потока, в том числе, как частный случай, - процесс растекания потока.

8. Изменение плотности потока на каждом из элементарных участков в последовательные моменты времени зависит от количества людей, переходящих через границы участков. В общем случае количество людей, переходящих за интервал времени t с участка i на последующий участок i+1, составляет:

. (П8.6)

9. Скорость перехода через границы смежных элементарных участков следует принимать, руководствуясь следующими формулами:

. (П8.7)

Следует учитывать, что в тот момент времени , когда плотность потока на участке i достигла максимальной величины, на этот участок не может прийти ни один человек, ни с предшествующего участка, ни из источника. В результате перед участком i задерживается соответственно и людей. В следующий момент времени часть людей с участка i переходит на участок i+1, плотность людского потока на нем уменьшится и часть скопившихся перед его границей людей сможет перейти на него. Доля их участия в пополнении людьми участка i в момент определяется формулой:

. (П8.8)

Формулы (П8.4) - (П8.8) полностью описывают состояние людского потока на элементарных участках и их переходы в последовательные моменты времени. Совокупность значений расчетного времени эвакуации, полученных при различных значениях , формирует эмпирическое распределение вероятностей значений . По этому распределению следует рассчитывать значение времени завершения эвакуации, соответствующее вероятности = 0,999.

Момент времени

Момент времени

Рисунок П8.1. Изменения состояния потока в последовательные моменты времени

Приложение N 9
к методике определения расчетных
величин пожарного риска в зданиях,
сооружениях и пожарных отсеках
различных классов функциональной
пожарной опасности, утвержденной
приказом МЧС России
от 14.11.2022 N 1140

ЗНАЧЕНИЯ ПОКАЗАТЕЛЕЙ ПОЖАРНОЙ ОПАСНОСТИ ТИПОВОЙ ГОРЮЧЕЙ НАГРУЗКИ В ПОМЕЩЕНИЯХ

Таблица П 9.1

Вид помещения Низшая теплота сгорания, МДж/кг Дымообразующая способность, Нп x м2/кг Удельная массовая скорость выгорания, кг/(м2·с) Линейная скорость распространения пламени, м/с Удельный расход кислорода, кг/кг Выделение токсичных продуктов горения, кг/кг
CO2 CO HCl
Жилые помещения гостиниц, общежитий и так далее 13,800 270 0,0145 0,0045 1,0300 0,20300 0,0022 0,01400
Столовая, зал ресторана и так далее 13800 82 0,0145 0,0045 1,4370 1,28500 0,0022 0,00600
Зал театра, кинотеатра, клуба, цирка и т.д. 13,800 270 0,0145 0,0055 1,0300 0,20300 0,0022 0,01400
Гардеробы 16,700 61 0,025 0,007 2,56 0,88 0,063 0
Хранилища библиотек, архивы 14,500 49,50 0,01100 0,008 1,1540 1,10870 0,09740 0
Музеи, выставки 13,800 270 0,0145 0,0055 1,0300 0,20300 0,0022 0,01400
Подсобные и бытовые помещения 14,000 53,00 0,01290 0,00420 1,1610 0,64200 0,03170 0
Административные помещения, учебные классы школ, ВУЗов; кабинеты поликлиник, палаты больниц и стационаров 14,000 47,70 0,01370 0,0045 1,3690 1,47800 0,03000 0,00580
Магазины 15,800 270 0,015 0,0055 1,25 0,85 0,043 0,023
Зал вокзала 13,800 270 0,0145 0,0055 1,0300 0,20300 0,0022 0,01400
Стоянки легковых автомобилей 31,700 487 0,023 0,0068 2,64 1,3 0,097 0,011
Стоянки легковых автомобилей с двухуровневым хранением 31,700 487 0,023 0,0136 2,64 1,3 0,097 0,011
Стадионы 26,4 78 0,004 0,004 2,09 1,8 0,127 0
Спортзалы 16,7 61 0,024 0,0045 2,56 0,88 0,063 0

Приложение N 10
к методике определения расчетных
величин пожарного риска в зданиях,
сооружениях и пожарных отсеках
различных классов функциональной
пожарной опасности, утвержденной
приказом МЧС России
от 14.11.2022 N 1140

ПОРЯДОК ПРОВЕДЕНИЯ РАСЧЕТА ВЕЛИЧИНЫ ИНДИВИДУАЛЬНОГО ПОЖАРНОГО РИСКА

Приложение N 11
к методике определения расчетных
величин пожарного риска в зданиях,
сооружениях и пожарных отсеках
различных классов функциональной
пожарной опасности, утвержденной
приказом МЧС России
от 14.11.2022 N 1140

ОЦЕНКА ВРЕМЕНИ СРАБАТЫВАНИЯ СИСТЕМЫ ПОЖАРНОЙ СИГНАЛИЗАЦИИ И АВТОМАТИЧЕСКИХ УСТАНОВОК ПОЖАРОТУШЕНИЯ

1. Время достижения порогового значения параметром, воздействующим на пожарный извещатель, определяется как время появления на высоте размещения пожарных извещателей области с эффективным диаметром, превышающим максимальное определенное нормативными документами расстояние между пожарными извещателями, в каждой точке которой значение воздействующего параметра превышает пороговое. При этом эффективный диаметр определяется по формуле:

,

где F - площадь области, в каждой точке которой значение воздействующего параметра превышает пороговое.

Для помещений, в которых допускается устанавливать один пожарный извещатель, площадь данной области должна соответствовать площади помещения.

2. Для определения времени достижения порогового значения полевым методом используются значения параметров, полученные в результате расчета.

3. При использовании интегральной и зонной модели при размещении пожарных извещателей на потолке в помещении очага пожара для очагов с мощностью тепловыделения время достижения порогового значения допускается определять по формулам:

- для максимальных тепловых пожарных извещателей:

, (П11.1)

- для точечных дымовых оптико-электронных пожарных извещателей:

, (П11.2)

где время прихода фронта продуктов горения определяется по формуле:

, (П11.3)

где L - максимальное допустимое расстояние между пожарными извещателями (принимается в соответствии с нормативными документами), м;

H - высота помещения, м;

- размерный комплекс, м4/(кДж·с2);

- начальная температура воздуха в помещении, К;

- пороговое значение температуры, К;

- размерный коэффициент, (кВт/ср).

Параметры и p для наиболее типичных сценариев пожара имеют значения:

для вертикальной или горизонтальной поверхности горения в виде прямоугольника, одна из сторон которого увеличивается в двух направлениях за счет распространения пламени (линейное распространение пламени):

,

где b - перпендикулярный к направлению движения пламени размер зоны горения, м.

для кругового распространения пожара:

.

4. При использовании извещателей пламени время достижения порогового значения допускается принимать равным 30 с.

5. Пороговые значения параметров, воздействующих на пожарные извещатели, следует принимать в соответствии с технической документацией. При отсутствии данных пороговые значения допускается принимать равными:

для точечных дымовых оптико-электронных пожарных извещателей: оптическая плотность ;

для максимальных тепловых пожарных извещателей: температура принимается в соответствии с требованиями нормативных документов в зависимости от класса пожарного извещателя. При отсутствии данных о классе пожарного извещателя принимается равной значению, превышающему максимально возможную в течение года температуру в помещении на 20 °C;

для дифференциальных тепловых пожарных извещателей: скорость изменения температуры 10 °C/мин;

для максимально-дифференциальных тепловых пожарных извещателей время достижения порогового значения определяется по первому из времен для максимального и дифференциального извещателя;

для дымовых аспирационных пожарных извещателей:

класса A = 0,035 Дб/м;

класса B = 0,088 Дб/м;

класса C = 0,2 Дб/м = 0,023 Нп/м;

для извещателей газовых по концентрации CO: объемная концентрация CO 100 ppm;

для спринклерных АУП, выполняющих функцию системы пожарной сигнализации: принимается равной значению, превышающему максимально возможную в течение года температуру в помещении на 30 °C.

При использовании линейных дымовых пожарных извещателей, расположение которых известно (на основании проектных данных или фактического расположения), допускается проводить интегрирование оптической плотности дыма вдоль пути луча и определять время достижения порогового значения путем сравнения с пороговым значением 5,2 Дб.

При отсутствии данных о типе пожарных извещателей расчет следует проводить исходя из оборудования помещения точечными дымовыми оптико-электронными пожарными извещателями, за исключением помещений, которые в соответствии с условиями эксплуатации не могут быть ими оборудованы (автостоянки, кухни и так далее). В последнем случае расчет следует проводить для максимальных тепловых извещателей. При этом, если впоследствии предусматриваются иные типы пожарных извещателей, расчет следует провести повторно.

6. Время задержки, связанное с инерционностью системы обнаружения пожара , допускается принимать равным 20 с.

При использовании дымовых аспирационных извещателей к времени задержки следует добавлять время транспортирования пробы воздуха от максимально удаленного от блока обработки дымовсасывающего отверстия до технических средств обнаружения дыма. При отсутствии информации указанное время допускается принимать равным:

для извещателей класса A - 60 с;

для извещателей класса B - 90 с;

для извещателей класса C - 120 с.

7. В случае использования спринклерной АУП в качестве системы пожарной сигнализации допускается принимать равным 180 с.

При наличии данных о коэффициенте тепловой инерционности оросителей спринклерной АУПТ, расположение которых известно (на основании проектных данных или фактического расположения), допускается определять путем расчета времени прогрева термочувствительного элемента до температуры, соответствующей порогу срабатывания, с использованием уравнения:

,

где - температура термочувствительного элемента, К;

u - скорость газовой среды, м/с;

- коэффициент инерционности;

t - время, с.

8. Время срабатывания спринклерной АУП следует принимать равным .При этом принимать равным . Время задержки подачи огнетушащего состава определяется алгоритмом работы АУП.