Решение ФАС РФ от 17.12.2024 N 223ФЗ-444/24

"О признании жалобы частично обоснованной: действия заказчика, организатора нарушают п. 13, 14 ч. 10 ст. 4 Федерального закона от 18.07.2011 N 223-ФЗ "О закупках товаров, работ, услуг отдельными видами юридических лиц""
Редакция от 17.12.2024 — Действует

ФЕДЕРАЛЬНАЯ АНТИМОНОПОЛЬНАЯ СЛУЖБА

РЕШЕНИЕ
от 17 декабря 2024 г. N 223ФЗ-444/24

ПО РЕЗУЛЬТАТАМ РАССМОТРЕНИЯ ЖАЛОБЫ АО "А" НА ДЕЙСТВИЯ (БЕЗДЕЙСТВИЕ) ЗАКАЗЧИКА, ОРГАНИЗАТОРА ПРИ ЗАКУПКЕ ТОВАРОВ, РАБОТ, УСЛУГ В СООТВЕТСТВИИ С ФЕДЕРАЛЬНЫМ ЗАКОНОМ ОТ 18.07.2011 N 223-ФЗ "О ЗАКУПКАХ ТОВАРОВ, РАБОТ, УСЛУГ ОТДЕЛЬНЫМИ ВИДАМИ ЮРИДИЧЕСКИХ ЛИЦ"

Комиссия Федеральной антимонопольной службы по контролю в сфере закупок (далее - Комиссия ФАС России) в составе:

ведущего заседание Комиссии ФАС России - заместителя начальника Управления контроля размещения государственного заказа Кущнецовой Е.С., членов Комиссии ФАС России:

начальника отдела контроля торгов отдельных видов юридических лиц N 1 Управления контроля размещения государственного заказа Кулыгина А.В.,

заместителя начальника отдела проверок N 2 Управления контроля размещения государственного заказа Бисаевой М.Н.,

при участии представителей:

АО "КА": Т. (доверенность от 01.03.2024 N 0057/2024),

ОАО "Р": Г. (доверенность от 30.10.2024 N ЦДЗС-121/Д), АО "А": А. (доверенность от 09.12.2024 б/н), Б.А. (доверенность от 09.12.2024 б/н),

представители АО "КБ" (далее - Оператор) на заседание Комиссии ФАС России не явились, о дате, времени и месте рассмотрения жалобы посредством системы видеоконференц-связи уведомлены надлежащим образом,

рассмотрев посредством системы видеоконференц-связи жалобу АО "А" от 02.12.2024 б/н на действия (бездействие) заказчика АО "КА", организатора ОАО "Р" при проведении конкурса в электронной форме на право заключения договора на оказание услуг контактных центров по информационно-консультационному обслуживанию входящих обращений от клиентов ОАО "Р" по вопросам пассажирских перевозок, пассажирского комплекса и железнодорожного транспорта по голосовым и неголосовым каналам связи, осуществлению исходящих телефонных вызовов с целью информирования/опроса клиентов (извещение N 32414232090), в соответствии со статьей 18.1 Федерального закона от 26.07.2006 N 135-ФЗ "О защите конкуренции" (далее - Закон о защите конкуренции),

установила:

В ФАС России поступила жалоба АО "А" (далее - Заявитель) от 02.12.2024 б/н на действия (бездействие) заказчика АО "КА" (далее - Заказчик), организатора ОАО "Р" (далее - Организатор) при проведении конкурса в электронной форме на право заключения договора на оказание услуг контактных центров по информационно-консультационному обслуживанию входящих обращений от клиентов ОАО "Р" по вопросам пассажирских перевозок, пассажирского комплекса и железнодорожного транспорта по голосовым и неголосовым каналам связи, осуществлению исходящих телефонных вызовов с целью информирования/опроса клиентов (извещение N 32414232090) (далее - Конкурса, Жалоба).

Федеральный закон от 18.07.2011 N 223-ФЗ "О закупках товаров, работ, услуг отдельными видами юридических лиц" (далее - Закон о закупках) устанавливает общие принципы закупки товаров, работ, услуг и основные требования к закупке товаров, работ, услуг юридическими лицами, указанными в части 2 статьи 1 Закона о закупках.

В соответствии с пунктом 1 части 1 статьи 18.1 Закона о защите конкуренции по правилам статьи 18.1 Закона о защите конкуренции антимонопольный орган рассматривает жалобы на действия (бездействие) юридического лица, организатора торгов, оператора электронной площадки, конкурсной комиссии или аукционной комиссии при организации и проведении торгов, заключении договоров по результатам торгов либо в случае, если торги, проведение которых является обязательным в соответствии с законодательством Российской Федерации, признаны несостоявшимися, а также при организации и проведении закупок в соответствии с Законом о закупках.

Частью 17 статьи 18.1 Закона о защите конкуренции установлено, что при рассмотрении жалобы по существу комиссия антимонопольного органа рассматривает обжалуемые акты и (или) действия (бездействие) организатора торгов, оператора электронной площадки, конкурсной или аукционной комиссии, уполномоченного органа и (или) организации, осуществляющей эксплуатацию сетей.

В силу положений части 1 статьи 2 Закона о закупках при закупке товаров, работ, услуг заказчики руководствуются Конституцией Российской Федерации, Гражданским кодексом Российской Федерации, Законом о закупках, другими федеральными законами, а также принятыми в соответствии с ними и утвержденными с учетом положений части 3 статьи 2 Закона о закупках правовыми актами, регламентирующими правила закупки.

Закупочная деятельность Заказчика регламентируется положением о закупке товаров, работ, услуг для нужд АО "КА", утвержденным решением совета директоров АО "КА" (протокол N 429 от 29.09.2023) (в редакции с изменениями, утвержденными решением совета директоров АО "КА" (протокол N 444 от 30.09.2024)) (далее - Положение о закупке).

Согласно части 5 статьи 4 Закона о закупках при осуществлении закупки в единой информационной системе, на официальном сайте, за исключением случаев, предусмотренных Законом о закупках, размещаются извещение об осуществлении конкурентной закупки, документация о конкурентной закупке, проект договора, являющийся неотъемлемой частью извещения об осуществлении конкурентной закупки и документации о конкурентной закупке, изменения, внесенные в такие извещение и документацию, разъяснения такой документации, протоколы, составляемые при осуществлении закупки, итоговый протокол, иная дополнительная информация, предусмотренная в соответствии с частью 6 статьи 4 Закона о закупках.

В соответствии с извещением о проведении Конкурса (далее - Извещение), документацией о Конкурсе (далее - Документация):

1. Извещение размещено в единой информационной системе в сфере закупок - 22.11.2024.

2. Начальная (максимальная) цена договора (далее - НМЦД) - 2 738 081 134,80 руб.

3. Дата окончания срока подачи заявок на участие в Конкурсе - 23.12.2024.

4. Дата рассмотрения заявок, поданных на участие в Конкурсе - 27.12.2024.

5. Дата подведения итогов Конкурса - 28.12.2024.

В соответствии с частью 14 статьи 18.1 Закона о защите конкуренции антимонопольный орган обязан рассмотреть жалобу по существу в течение семи рабочих дней со дня поступления жалобы, за исключением случая, предусмотренного частью 14.1 статьи 18.1 Закона о защите конкуренции.

Согласно части 14.1 статьи 18.1 Закона о защите конкуренции если при рассмотрении жалобы комиссии антимонопольного органа необходимо получение дополнительной информации, срок принятия решения может быть продлен однократно на срок, установленный частью 14 статьи 18.1 Закона о защите конкуренции.

В ходе заседания 11.12.2024 Комиссией ФАС России на основании части 14.1 статьи 18.1 Закона о защите конкуренции с целью изучения представленных материалов срок рассмотрения Жалобы продлен до 17.12.2024.

Частью 10 статьи 3 Закона о закупках предусмотрен ряд случаев, позволяющих участникам закупок обжаловать в антимонопольный орган в порядке, установленном статьей 18.1 Закона о защите конкуренции, действия (бездействие) заказчика при закупках товаров, работ, услуг, в том числе осуществление заказчиком закупки с нарушением требований Закона о закупках и (или) порядка подготовки и (или) осуществления закупки, содержащегося в утвержденном и размещенном в единой информационной системе положении о закупке такого заказчика.

Из Жалобы следует, что в ходе проведения Конкурса нарушены права и законные интересы Заявителя ввиду следующего:

1. Заказчиком неправомерно не размещены на официальном сайте единой информационной системы в сфере закупок Извещение и Документация.

2. Заказчиком неправомерно в Документации не отражена информация о проведении закупки неконкурентным способом.

3. Заказчиком неверно определен код ОКПД2, в связи с чем неправомерно установлен "коэффициент значимости" в порядке оценки критерия "Цена договора" (далее - Критерий N 1).

4. Заказчиком в Документации ненадлежащим образом установлен порядок оценки заявок участников закупки по критериям "Опыт участника за последние 3 года (2021 - 2023 гг.) по оказанным услугам контактного центра по обеспечению функционирования авто и/или железнодорожного транспорта в рамках одного заказчика (контрагента)" (далее - Критерий N 2), "Опыт оказания услуг контактных центров за последние 3 года (2021 - 2023 гг.)" (далее - Критерий N 3).

5. Заказчиком неправомерно в Документации установлен критерий оценки заявок участников закупки "Наличие 2-х и более центров обработки данных, один из которых сертифицирован не ниже уровня Tier III" (далее - Критерий N 4).

6. Заказчиком ненадлежащим образом осуществлено обоснование НМЦД.

7. Заказчиком неправомерно в проекте договора установлена обязанность предоставления информации о бенефициарах.

8. Заказчиком установлены избыточные требования к номинальной мощности оборудования по резервированию электропитания, которая должна составлять не менее 115 кВт на каждой площадке контактного центра.

Представители Организатора, Заказчика с доводами Жалобы не согласились и сообщили, что при проведении Конкурса Организатор, Заказчик действовали в соответствии с требованиями законодательства Российской Федерации, Положения о закупке и Документации.

Комиссией ФАС России установлено, что Жалоба содержит основания, предусмотренные частью 10 статьи 3 Закона о закупках, следовательно, подлежит рассмотрению в порядке статьи 18.1 Закона о защите конкуренции.

Рассмотрев представленные материалы, а также выслушав пояснения представителей Заказчика, Организатора, Заявителя, Комиссия ФАС России установила следующее.

Частью 1 статьи 1 Закона о закупках установлены цели регулирования Закона о закупках, в том числе расширение возможностей участия юридических и физических лиц в закупке товаров, работ, услуг для нужд заказчиков и стимулирование такого участия, развитие добросовестной конкуренции, обеспечение гласности и прозрачности закупки, предотвращение коррупции и других злоупотреблений.

На основании части 1 статьи 3 Закона о закупках при закупке товаров, работ, услуг заказчики руководствуются установленными в Законе о закупках следующими принципами: информационной открытости закупки, равноправия, справедливости, отсутствия дискриминации и необоснованных ограничений конкуренции по отношению к участникам закупки, целевого и экономически эффективного расходования денежных средств на приобретение товаров, работ, услуг, отсутствие ограничения допуска к участию в закупке путем установления неизменяемых требований к участникам закупки.

1. Согласно доводу Жалобы Заказчиком неправомерно не размещены на официальном сайте единой информационной системы в сфере закупок Извещение и Документация.

Пунктом 3 части 16 статьи 4 Закона о закупках установлено, что Правительство Российской Федерации вправе определить перечень оснований неразмещения на официальном сайте информации о поставщике (подрядчике, исполнителе), с которым заключен договор.

Пунктом 1 постановления Правительства Российской Федерации от 06.03.2022 N 301 "Об основаниях неразмещения в единой информационной системе в сфере закупок товаров, работ, услуг для обеспечения государственных и муниципальных нужд сведений о закупках товаров, работ, услуг, информации о поставщиках (подрядчиках, исполнителях), с которыми заключены договоры" (далее - Постановление N 301) установлено обязательное неразмещение на официальном сайте единой информационной системы в сфере закупок сведений о закупках, осуществляемых заказчиками, в отношении которых иностранными государствами введены санкции и меры ограничительного характера, а также о поставщиках (подрядчиках, исполнителях), с которыми такими заказчиками заключены договоры.

В соответствии с пунктом 543.1 Положения о закупке Заказчик во исполнение Постановления N 301 вправе проводить конкурентные закупки, осуществляемые закрытым способом (закрытые конкурентные закупки), в соответствии с пунктами 391 - 395 Положения о закупке или неконкурентные закупки, сведения о которых не размещаются на официальном сайте единой информационной системы в сфере закупок.

Согласно пункту 2 Извещения способом проведения обжалуемой закупки является открытый конкурс в электронной форме. При этом согласно сайту Оператора Конкурс проводится неконкурентным способом.

На заседании Комиссии ФАС России представители Заявителя пояснили, что Заказчиком неправомерно принято решение о проведении закупки неконкурентным способом, что, как следствие, привело к неразмещению Извещения и Документации на официальном сайте единой информационной системы в сфере закупок.

Представители Заказчика, Организатора на заседании Комиссии ФАС России пояснили, что в отношении заказчика недружественными странами введены санкции и меры ограничительного характера, в связи с чем Конкурс в силу Постановления N 301 проводится неконкурентным способом закупки без размещения Извещения и Документации на официальном сайте единой информационной системы в сфере закупок.

Изучив представленные материалы, а также пояснения представителей Заказчика, Организатора, Заявителя, Комиссия ФАС России установила, что Положением о закупке определена возможность Заказчика, подпадающего под действие Постановление N 301, проводить закупку в том числе неконкурентным способом без размещения извещения и документации о такой закупки на официальном сайте единой информационной системе в сфере закупок.

При этом Комиссия ФАС России установила, что Заказчик является юридическим лицом в отношении которого недружественными странами введены санкции и меры ограничительного характера, в связи с чем Заказчик обязан при осуществлении закупочной деятельности обязан руководствоваться положениями Постановления N 301.

Вместе с тем представители Заявителя на заседании Комиссии ФАС России не представили сведений и материалов, подтверждающих обоснованность довода Жалобы.

Таким образом, Комиссия ФАС России приходит к выводу, что действия Заказчика, Организатора, не разместивших на официальном сайте единой информационной системы в сфере закупок Извещение и Документацию, не противоречат требованиям Закона о закупках, Положению о закупке и Документации, в связи с чем довод Жалобы не нашел своего подтверждения.

2. Согласно доводу Жалобы Заказчиком неправомерно в Документации не отражена информация о проведении закупки неконкурентным способом.

Пунктом 1 части 9 статьи 4 Закона о закупках в извещении об осуществлении конкурентной закупки должны быть указаны сведения о способе осуществления закупки.

На заседании Комиссии ФАС России представители Заявителя пояснили, что Заказчиком в Извещении, Документации не отражены сведения о принятии решения о проведении Конкурса неконкурентным способом, что вводит участников закупки в заблуждение относительно порядка проведения закупки.

Представитель Заказчика на заседании Комиссии ФАС России пояснил, что сведения о том, что Конкурс проводится неконкурентным способом размещена на сайте Оператора и доступна неограниченному кругу лиц.

Изучив представленные материалы, а также пояснения представителей Организатора, Заказчика, Заявителя, Комиссия ФАС России установила, что Законом о закупках, Положением о закупке не установлена обязанность Заказчика, Организатора отражать в Извещении, Документации информацию о том, что закупка не размещается на официальном сайте единой информационной системы в сфере закупок в силу положений Постановления N 301.

Таким образом, Комиссия ФАС России пришла к выводу, что действия Заказчика, Организатора, не отразивших в Извещении и Документации информацию о неразмещению сведений о проведении Конкурса в силу положений Постановления N 301, не противоречат положениям Закона о закупках, Положения о закупке и Документации, в связи с чем довод Жалобы не нашел своего подтверждения.

3. Согласно доводу Жалобу Заказчиком неверно определен код ОКПД2, в связи с чем неправомерно установлен "коэффициент значимости" в порядке оценки Критерия N 1.

В силу положений пунктов 13, 14 части 10 статьи 4 Закона о закупках в документации о закупке должны быть указаны сведения, определенные положением о закупке, в том числе критерии оценки и сопоставления заявок на участие в закупке, порядок оценки и сопоставления заявок на участие в закупке.

Исходя из системного, взаимосвязанного содержания положений пункта 2 части 1 статьи 3, пунктов 13, 14 части 10 статьи 4 Закона о закупках следует, что действия Заказчика по определению требований к содержанию и составу заявки, установленных критериев и порядка оценки могут быть признаны соответствующими требованиям Закона о закупках исключительно только в тех случаях, когда они основываются и направлены на достижение и практическую реализацию принципов указанных в части 1 статьи 3 Закона о закупках, в том числе принципов равноправия, справедливости, отсутствия дискриминации и необоснованных ограничений конкуренции по отношению к участникам закупки.

Согласно подпункту 7 пункта 253 Положения о закупке Заказчиком могут применяться антидемпинговые меры при проведении конкурсов в целях заключения договоров на выполнение научно-исследовательских, опытно-конструкторских или технологических работ, оказание консультационных услуг заказчик вправе установить в документации о конкурентной закупке различные величины значимости критериев оценки заявок для случаев подачи участником конкурса заявки, содержащей предложение о цене договора, которая:

до двадцати пяти процентов ниже начальной (максимальной) цены договора; на двадцать пять и более процентов ниже начальной (максимальной) цены договора.

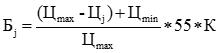
Пунктом 1 приложения N 1.4 Документации установлен Критерий N 1, в соответствии с которым оценка осуществляется на основании технических предложений, представленных в заявках участников, по следующей формуле:

где:

Бj - количество баллов j-ого участника;

Цmax - цена договора без учета НДС, установленная в техническом задании документации о закупке;

Цj - цена, предложенная j-ым участником без учета НДС;

Цmin - цена договора без учета НДС, установленная в техническом задании документации о закупке, сниженная на максимально допустимый размер снижения цены. Максимально допустимый размер снижения цены определяется по формуле: Цmin = ((Цmax - 0,25 * Цmax) + 1 копейка) (Цmin - 1 711 300 709 (один миллиард семьсот одиннадцать миллионов триста тысяч семьсот девять) рублей 26 копеек);

55 - максимально возможное количество баллов;

K - коэффициент значимости.

Если участником предложена цена договора, сниженная до 25% от цены договора без учета НДС, установленной в техническом задании документации о закупке, при расчете применяется коэффициент значимости равный 1.

Если участником предложена цена договора, которая на 25% ниже от цены договора без учета НДС, установленной в техническом задании документации о закупке, при расчете применяется коэффициент значимости 0,75.

Если предложенная участником цена договора снижена более чем на 25% от цены договора без учета НДС, установленной в техническом задании документации о закупке, коэффициент значимости снижается в следующем порядке:

Снижение цены Коэффициент значимости
0% - 24,99% 1
25% - 25,99% 0,75
26% до 26,99% 0,74
27% - 27,99% 0,73
28% - 28,99% 0,72
Далее коэффициент значимости рассчитывается по аналогии и т.д.

Если в результате расчета по формуле оценки полученное значение баллов является не целым числом (имеет несколько знаков после запятой), такое значение округляется с точностью до двух знаков после запятой.

Оценка и сопоставление заявок на участие в конкурсе, которые содержат предложения об оказании услуг российскими лицами, производятся по предложенной в указанных заявках цене договора, сниженной на 15 процентов.

На заседании Комиссии ФАС России представитель Заявителя пояснил, что Заказчиком, Организатором ненадлежащим образом выбран код ОКПД2 70.22.30.000 "Услуги консультативные прочие в области предпринимательства", который не соответствует предмету Конкурса, а также наделяет Заказчика, Организатора правом использования антидемпинговых мер в части применения "коэффициента значимости".

Представители Заказчика, Организатора на заседании Комиссии ФАС России пояснили, что порядок оценки заявок участников закупки по Критерию установлен с целью минимизации рисков, связанных с неисполнением или ненадлежащим исполнением обязательств по заключаемому по результатам Конкурса договора, ввиду необоснованного снижения цены такого договора.

Вместе с тем Комиссией ФАС России установлено, что участнику закупки, сделавшему предложение о цене договора, сниженной на 27,5% от НМЦД, в соответствии с порядком оценки по Критерию N 1 будет присвоено меньшее количество баллов, чем участнику, сделавшему предложение о цене договора со снижением в 3%, что противоречит принципам, установленным в Законе о закупках.

Изучив представленные материалы, осуществив расчет, а также выслушав пояснения Заказчика, Организатора, Заявителя, Комиссия ФАС России установила, что обжалуемый порядок оценки заявок участников закупки не позволяет участникам закупки получить максимальное количество баллов по Критерию путем снижения цены договора противоречит требованиям Положения о закупке, а также препятствует участникам закупки предложить лучшие условия исполнения договора и не соответствует целям проведения конкурса, как способа проведения закупки.

Таким образом, Комиссия ФАС России приходит к выводу, что действия Заказчика, Организатора установившего ненадлежащий порядок оценки заявок участников закупки по Критерию N 1, противоречат пункту 2 части 1 статьи 3, нарушают пункты 13, 14 части 10 статьи 4 Закона о закупках, а также содержат признаки состава административного правонарушения, ответственность за совершение которого предусмотрена частью 7 статьи 7.32.3 Кодекса Российской Федерации об административных правонарушениях (далее - КоАП РФ).

4. Согласно доводу Жалобы Заказчиком в Документации ненадлежащим образом установлен порядок оценки заявок участников закупки по Критериям NN 2, 3.

Пунктом 2.1 приложения N 1.4 Документации установлен Критерий N 2, в соответствии с которым для оценки по данному критерию участник предоставляет по своему выбору договор/договоры за последние 3 года (2021 - 2023 гг.) по оказанию услуг контактного центра по обеспечению функционирования авто и/или железнодорожного транспорта в рамках одного заказчика (контрагента).

Оценка осуществляется на основании документов, представленных каждым участником в составе заявки в соответствии с пунктом 2.1 Приложения N 1.4 Документации путем деления стоимости оказанных каждым (j-ым) участником за последние 3 года (2021 - 2023 гг.) услуг контактного центра по обеспечению функционирования авто и/или железнодорожного транспорта в рамках одного заказчика (контрагента), без учета НДС, на максимальную из предложенных участниками стоимость оказанных за последние 3 года (2021 - 2023 гг.) услуг контактного центра по обеспечению функционирования авто и/или железнодорожного транспорта в рамках одного заказчика (контрагента), без учета НДС, по формуле:

где:

Бj - количество баллов j-го участника;

- стоимость оказанных каждым (j-ым) участником за последние 3 года (2021 - 2023 гг.) услуг контактного центра по обеспечению функционирования авто и/или железнодорожного транспорта в рамках одного заказчика (контрагента), без учета НДС;

Цмакс - максимальная стоимость оказанных за последние 3 года (2021 - 2023 гг.) услуг контактного центра по обеспечению функционирования авто и/или железнодорожного транспорта в рамках одного заказчика (контрагента), без учета НДС, из всех предложенных участниками.

30 - максимально возможное количество баллов.

0 баллов - в случае отсутствия у участника опыта за последние 3 года (2021 - 2023 гг.) по оказанным услугам контактного центра по обеспечению функционирования авто и/или железнодорожного транспорта в рамках одного заказчика (контрагента), или непредставления документов, указанных в пункте 2.1 приложения N 1.4 к Документации.

Вместе с тем пунктом 2.3 приложения N 1.4 Документации установлено, что оценка осуществляется на основании документов, представленных каждым участником в составе заявки в соответствии с пунктом 2.3 приложения N 1.4 Документации, следующим образом:

В случае если участником закупки в представленных сведениях о наличии опыта оказания услуг контактных центров за последние 3 (три) года (2021 - 2023 гг.) оказаны услуги 3 (трем) и более разным контрагентам оценка проводится путем деления количества контрагентов, представленного каждым (j-ым) участником, на максимальное количество контрагентов, из всех представленных участниками, по формуле:

где

Бj - количество баллов j-го участника;

Kj - количество контрагентов, представленное каждым (j-ым) участником;

Kmax - максимальное количество контрагентов, из всех представленных участниками.

10 - максимально возможное количество баллов по данному критерию.

0 баллов - в случае если участником закупки в представленных сведениях о наличии опыта оказания услуг контактных центров за последние 3 (три) года (2021 - 2023 гг.) оказаны услуги менее чем 3 (трем) разным заказчикам (контрагентам), или непредставления документов, указанных в пункте 2.3 приложения N 1.4 к Документации.

На заседании Комиссии ФАС России представители Заявителя пояснили, что порядок оценки заявок участников закупки по Критерию N 1 ограничивает количество участников закупки, поскольку в соответствии с пунктом 2.1 приложения N 1.4 к Документации установлено, что к учету принимаются договоры на оказание услуг контактного центра по обеспечению функционирования исключительно авто и/или железнодорожного транспорта в рамках одного заказчика (контрагента).

При этом представители Заявителя сообщили, что порядок оценки заявок участников закупки по Критерию N 2 не позволяет определить участника закупки, который способен наилучшим образом исполнить обязательства по договору, заключаемому по результатам Конкурса, поскольку Заказчиком не принимается к учету минимальный и максимальный размер выручки контрагента.

Представители Заказчика, Организатора на заседании Комиссии ФАС России пояснили, что порядок оценки заявок участников закупки по Критериям NN 1,2 установлен с целью выявления участника закупки, способного наилучшим образом исполнить обязательства по договору, заключаемому по результатам Конкурса.

Изучив представленные материалы, а также выслушав пояснения представителей Заказчика, Организатора, Заявителя, Комиссии ФАС России не представляется возможным установить, что оказываемые услуги контактного центра по обеспечению функционирования авто и/или железнодорожного транспорта существенным образом отличаются от оказания аналогичных услуг в иных областях (например, авиаперевозок).

Кроме того, в соответствии с порядком оценки по Критерию N 2 заказчиком принимаются договоры на оказание услуг, аналогичных предмету Конкурса, исключительно, которые заключены с одним заказчиком (контрагентом), что, в свою очередь, не позволяет участнику закупки, имеющему опыт оказания услуг контактного центра с несколькими заказчика, получить максимальное количество баллов.

Учитывая изложенное, порядок оценки заявок участников по Критерию N 1, в рамках которого к учету принимаются договоры исключительно на оказание услуг контактного центра по обеспечению функционирования авто и/или железнодорожного транспорта, заключенные с одним заказчиком (контрагентом), ограничивает количество участников закупки и создает преимущественные условия отдельным участникам товарного рынка.

Кроме того, Комиссия ФАС России отмечает, что к оценке по Критерию N 3 принимается опыт оказания услуг, аналогичный предмету Конкурса, без указания сферы деятельности контрагента, что также подтверждает необоснованность порядка оценки по Критерию N 2, согласно которому к учету подлежит опыта участника закупки исключительно по обеспечению функционирования авто и/или железнодорожного транспорта.

Таким образом, Комиссия ФАС России приходит к выводу, что действия Заказчика, Организатора, установившего в Документации ненадлежащий порядок оценки заявок участников закупки по Критерию N 1, противоречат пункту 2 части 1 статьи 3, нарушают пункты 13, 14 части 10 статьи 4 Закона о закупках, а также содержат признаки состава административного правонарушения, ответственность за совершение которого предусмотрена частью 7 статьи 7.32.3 КоАП РФ.

5. Согласно доводу Жалобы Заказчиком неправомерно в Документации установлен Критерий N 4.

Пунктом 2.2 приложения N 1.4 к Документации установлено, что оценка осуществляется на основании документов, представленных каждым участником в составе заявки в соответствии с пунктом 2.2 приложения N 1.4 Документации, следующим образом:

- 5 баллов присваивается в случае подтверждения участником наличия 2-х и более центров обработки данных (далее - ЦОД), один из которых сертифицирован не ниже уровня Tier III;

- 0 баллов - участником не подтверждено наличие 2-х и более ЦОД, один из которых сертифицирован не ниже уровня Tier III (не представлены /частично представлены документы, указанные в пункте 2.2 приложения N 1.4 Документации).

На заседании Комиссии ФАС России представители Заявителя пояснили, что порядок оценки заявок участников закупки по Критерию N 4 ограничивает количество участников закупки, поскольку в настоящее время на российском рынке существует только 3 центра обработки данных, соответствующих требованиям Критерия N 4.

Представители Заказчика, Организатора на заседании Комиссии ФАС России пояснили, что оценка заявок участников закупки по Критерию N 4 обусловлена необходимостью выявления поставщика (подрядчика, исполнителя), способного организовать непрерывность сервиса по дистанционному обслуживанию клиентов и, как следствие, наилучшим образом исполнить обязательства по договору, заключаемому по результатам проведения Конкурса.

При этом представители Заказчика, Организатора на заседании Комиссии ФАС России представили сведения о наличии как минимум 5 центов обработки данных, удовлетворяющих требованиям Критерия N 4.

Вместе с тем представители Заявителя на заседании Комиссии ФАС России не представили сведений и материалов, подтверждающих обоснованность довода Жалобы.

Таким образом, Комиссия ФАС России пришла к выводу, что действия Заказчика, Организатора, установившего порядок оценки заявок участников закупки по Критерию N 4, не противоречат положениям Закона о закупках, Положения о закупке и Документации, в связи с чем довод Жалобы не нашел своего подтверждения.

6. Согласно доводу Жалобу Заказчиком ненадлежащим образом осуществлено обоснование НМЦД.

Пунктами 5, 7 части 10 статьи 4 Закона о закупках установлено, что в документации о конкурентной закупке должны быть указаны сведения о начальной (максимальной) цене договора, либо формула цены и максимальное значение цены договора, либо цена единицы товара, работы, услуги и максимальное значение цены договора, а также обоснование начальной (максимальной) цены договора либо цены единицы товара, работы, услуги, включая информацию о расходах на перевозку, страхование, уплату таможенных пошлин, налогов и других обязательных платежей

В соответствии с пунктом 55 Положения о закупке метод сопоставимых рыночных цен (анализа рынка) является приоритетным для определения и обоснования НМЦД (цена лота) конкурентной закупки и цены договора, заключаемого по результатам неконкурентной закупки, и предусматривает установление НМЦД (цены лота) конкурентной закупки и цены договора, заключаемого по результатам неконкурентной закупки на основании информации о рыночных ценах идентичных товаров, работ, услуг, планируемых к закупкам, или при их отсутствии однородных товаров, работ, услуг.

Пунктом 1 приложения 1.1 к Документации НМЦД сформирована методом сопоставимых рыночных цен (анализа рынка), предусмотренным подпунктом 1 пункта 54 Положения о закупке товаров, работ, услуг для нужд Заказчика, и включает все виды налогов и пошлин, иных расходов и затрат участника, с которым принято решение о заключении договора, связанных с оказанием услуг по Конкурсу.

НМЦД с учетом всех налогов, включая НДС составляет 2 738 081 134 (два миллиарда семьсот тридцать восемь миллионов восемьдесят одна тысяча сто тридцать четыре) рубля 80 копеек, в том числе:

- на 2025 год - 912 693 711 (девятьсот двенадцать миллионов шестьсот девяносто три тысячи семьсот одиннадцать) рублей 60 копеек с учетом всех налогов, включая НДС;

- на 2026 год - 912 693 711 (девятьсот двенадцать миллионов шестьсот девяносто три тысячи семьсот одиннадцать) рублей 60 копеек с учетом всех налогов, включая НДС;

- на 2027 год - 912 693 711 (девятьсот двенадцать миллионов шестьсот девяносто три тысячи семьсот одиннадцать) рублей 60 копеек с учетом всех налогов, включая НДС.

На Заказчика не налагается обязательств по заказу услуг на всю указанную сумму, а равно по выдаче исполнителю каких-либо гарантий и компенсаций от Заказчика в связи с заказом услуг в течение срока действия договора на меньшую сумму. Фактический объем услуг определяется исходя из потребностей Заказчика.

Представители Заявителя на заседании Комиссии ФАС России пояснили, что Заказчиком, Организатором не определена цена единицы услуги, а также сведения и информации, на основании которых формировалась НМЦД.

На заседании Комиссии ФАС России представители Заказчика, Организатора пояснили, что при формировании НМЦД Заказчиком, Организатором учитывались функционально-технические характеристики и коммерческие предложения участников рынка, готовых оказать услуги, аналогичные предмету Конкурса, при этом информация о полученных коммерческих предложениях отражена в пункте 1 приложения N 1.1 к Документации.

Изучив представленные материалы, а также выслушав пояснения представителей Заказчика, Организатора, Заявителя, Комиссия ФАС России установила, что в ходе формирования НМЦД Заказчиком в адрес участников рынка направлялись запросы, по результатам рассмотрения которых в адрес Заказчика, Организатора направлены 3 коммерческих предложения, принятых к учету Заказчиком, Организатором. При этом в качестве НМЦД определена минимально предложенная цена участника рынка.

Кроме того, Комиссия ФАС России отмечает, что Закон о закупках, Положение о закупке не обязывают Заказчика, Организатора раскрывать информацию о лицах, направивших коммерческие предложения, а также сведения о цене за единицу оказываемых услуг.

Вместе с тем представители Заявителя на заседании Комиссии ФАС России не представили сведений и материалов, подтверждающих обоснованность довода Жалобы.

Таким образом, Комиссия ФАС России приходит к выводу, что действия Заказчика, Организатора, Заявителя в вышеуказанной части не противоречат положениям Закона о закупках, Положения о закупке и Документации, в связи с чем довод Жалобы не нашел своего подтверждения.

7. Согласно доводу Жалобы Заказчиком неправомерно в проекте договора установлена обязанность предоставления информации о бенефициарах.

Пунктом 14.6 приложения N 1.2 к Документации для заключения договора исполнитель обязан предоставить Заказчику информационную справку, содержащую сведения о собственниках исполнителя, включая конечных бенефициаров, с приложением подтверждающих документов. В случае не предоставления исполнителем вышеуказанных сведений и документов Заказчик вправе отказаться от заключения договора.

На заседании Комиссии ФАС России представители Заявителя пояснили, что до заключения такого договора по итогам проведения закупки не влияет на исполнение обязательств по договору и, в частности, не является подтверждением надлежащего исполнения обязательств по договору.

Изучив положения Документации, а также выслушав пояснения представителей Заказчика, Организатора, Заявителя, Комиссия ФАС России установила, что требование исполнителя по договору, заключаемому по результатам Конкурса предъявляется к победителю Конкурса, с которым будет заключен договор.

При этом участник закупки, подавая заявку на участие в Конкурса, в соответствии с Документацией не обязан в составе заявки представлять сведения, указанные в пункте 14.6 приложения N 1.2 к Документации.

Таким образом, Комиссия ФАС России приходит к выводу, что действия Заказчика, Организатора, установивших требование к исполнителю по договору о представлении сведений о владельцах, а также конечных бенефициаров, не противоречат требованиям Закона о закупках, Положения о закупке и Документации, в связи с чем довод Жалобы не нашел своего подтверждения.

8. Согласно доводу Жалобы Заказчиком установлены избыточные требования к номинальной мощности оборудования по резервированию электропитания, которая должна составлять не менее 115 кВт на каждой площадке контактного центра.

Пунктом 1 части 10 статьи 4 Закона о закупках установлено, что в документации о конкурентной закупке должны быть указаны требования к безопасности, качеству, техническим характеристикам, функциональным характеристикам (потребительским свойствам) товара, работы, услуги, к размерам, упаковке, отгрузке товара, к результатам работы, установленные заказчиком и предусмотренные техническими регламентами в соответствии с законодательством Российской Федерации о техническом регулировании, документами, разрабатываемыми и применяемыми в национальной системе стандартизации, принятыми в соответствии с законодательством Российской Федерации о стандартизации, иные требования, связанные с определением соответствия поставляемого товара, выполняемой работы, оказываемой услуги потребностям заказчика.

В соответствии с пунктом 1 части 6.1 статьи 3 Закона о закупках при описании в документации о конкурентной закупке предмета закупки заказчик должен руководствоваться следующими правилами, определенными частью 6.1 статьи 3 Закона о закупках, в том числе в описании предмета закупки указываются функциональные характеристики (потребительские свойства), технические и качественные характеристики, а также эксплуатационные характеристики (при необходимости) предмета закупки.

Согласно пункту 2.10 приложения N 1.1 к Документации номинальная мощность оборудования по резервированию электропитания должна составлять не менее 115 кВт на каждой площадке контрактных центров.

В соответствии с вышеуказанным пунктом Документации исполнитель обязан предоставить Заказчику в момент заключения договора подтверждение наличия системы резервирования электропитания по каждой площадке контактного центра.

На заседании Комиссии ФАС России представители Заявителя пояснили, что установленное Заказчиком минимальное значение номинальной мощности оборудования по резервированию является необоснованным и не соответствует объему и характеру закупаемых услуг:

При этом представители Заявителя сообщили, что установление требования обременяет участника закупки заблаговременно обладать материально-техническими ресурсами.

Представители Заказчика, организатора на заседании Комиссии ФАС России пояснили, что приложение N 1.1 к Документацию сформировано исходя из потребности и нужд Заказчика. Кроме того, требование о предоставлении о предоставлении подтверждения наличия системы резервирования электропитания по каждой площадке контактного центра установлено исключительно в отношении исполнителя по договору.

Вместе с тем представители Заявителя на заседании Комиссии ФАС России не представили сведений и материалов, подтверждающих обоснованность довода Жалобы.

Таким образом, Комиссия ФАС России приходит к выводу, что действия Заказчика, Организатора в вышеуказанной части не противоречат требованиям Закона о закупках и Положения о закупке, в связи с чем довод Жалобы не нашел своего подтверждения.

В соответствии с частью 20 статьи 18.1 Закона о защите конкуренции, Комиссией ФАС России принято решение о необходимости выдачи предписания, направленного на устранение выявленных нарушений.

На основании изложенного и руководствуясь положениями частей 17, 20 статьи 18.1 Закона о защите конкуренции, Комиссия ФАС России

решила:

1. Признать жалобу АО "А" (ИНН: <...>; ОГРН: <...>) от 02.12.2024 б/н на действия (бездействие) заказчика АО "КА" (ИНН: <...>; ОГРН: <...>), организатора ОАО "Р" (ИНН: <...>; ОГРН: <...>) при проведении конкурса в электронной форме на право заключения договора на оказание услуг контактных центров по информационно-консультационному обслуживанию входящих обращений от клиентов ОАО "Р" по вопросам пассажирских перевозок, пассажирского комплекса и железнодорожного транспорта по голосовым и неголосовым каналам связи, осуществлению исходящих телефонных вызовов с целью информирования/опроса клиентов (извещение N 32414232090) обоснованной в части установления ненадлежащих критериев оценки "Цена договора", "Опыт участника за последние 3 года (2021 - 2023 гг.) по оказанным услугам контактного центра по обеспечению функционирования авто и/или железнодорожного транспорта в рамках одного заказчика (контрагента)".

2. Признать АО "КА", ОАО "Р" нарушившими пункты 13, 14 части 10 статьи 4 Федерального закона от 18.07.2011 N 223-ФЗ "О закупках товаров, работ, услуг отдельными видами юридических лиц".

3. Выдать АО "КА", ОАО "Р", АО "КБ" обязательное к исполнению предписание, направленное на устранение выявленных нарушений, в соответствии с принятым решением от 17.12.2024 по делу N 223ФЗ-444/24.

4. Передать соответствующему должностному лицу Управления контроля размещения государственного заказа ФАС России материалы дела от 17.12.2024 N 223ФЗ-444/24 для рассмотрения вопроса о возбуждении дела об административном правонарушении.

Решение может быть обжаловано в арбитражный суд в течение трех месяцев со дня его вынесения.

Ведущий заседание Комиссии
ФАС России
Е.С. КУЗНЕЦОВА

Члены Комиссии
ФАС России
А.В. КУЛЫГИН
М.Н. БИСАЕВА