Здания и сооружения. Метод тепловизионного контроля качества теплоизоляции ограждающих конструкций. ГОСТ р 54852-2011

(утв. Приказом Росстандарта от 15.12.2011 N 1557-СТ)
Редакция от 15.12.2011 — Документ не действует

НАЦИОНАЛЬНЫЙ СТАНДАРТ РОССИЙСКОЙ ФЕДЕРАЦИИ

ЗДАНИЯ И СООРУЖЕНИЯ

МЕТОД ТЕПЛОВИЗИОННОГО КОНТРОЛЯ КАЧЕСТВА ТЕПЛОИЗОЛЯЦИИ ОГРАЖДАЮЩИХ КОНСТРУКЦИЙ

Buildings and structures. Method of thermovision control of enclosing structures thermal insulation quality EN 13187:1999 (NEQ)

ГОСТ Р 54852-2011

Дата введения
1 мая 2012 года

Предисловие

Цели и принципы стандартизации в Российской Федерации установлены Федеральным законом от 27 декабря 2002 г. N 184-ФЗ "О техническом регулировании", а правила применения национальных стандартов Российской Федерации - ГОСТ Р 1.0-2004 "Стандартизация в Российской Федерации. Основные положения".

Сведения о стандарте

1. Разработан Учреждением Научно-исследовательский институт строительной физики Российской академии архитектуры и строительных наук (НИИСФ РААСМ).

2. Внесен Техническим комитетом по стандартизации ТК 465 "Строительство".

3. Утвержден и введен в действие Приказом Федерального агентства по техническому регулированию и метрологии от 15 декабря 2011 г. N 1557-ст.

4. В настоящем стандарте учтены основные положения европейского регионального стандарта ЕН 13187:1999 "Тепловые характеристики зданий - Качественное обнаружение тепловых неоднородностей ограждающих конструкций - Инфракрасный метод" (EN 13187:1999 "Performance thermique des - qualitative des thermiques sur les enveloppes de - infrarouge", NEQ).

5. Введен впервые.

Информация об изменениях к настоящему стандарту публикуется в ежегодно издаваемом информационном указателе "Национальные стандарты", а текст изменений и поправок - в ежемесячно издаваемых информационных указателях "Национальные стандарты". В случае пересмотра (замены) или отмены настоящего стандарта соответствующее уведомление будет опубликовано в ежемесячно издаваемом информационном указателе "Национальные стандарты". Соответствующая информация, уведомление и тексты размещаются также в информационной системе общего пользования - на официальном сайте Федерального агентства по техническому регулированию и метрологии в сети Интернет.

1. Область применения

Настоящий стандарт распространяется на ограждающие конструкции жилых, общественных, промышленных и сельскохозяйственных зданий и сооружений с нормируемой температурой внутреннего воздуха помещений и устанавливает метод тепловизионного контроля качества теплозащиты одно- и многослойных конструкций (наружных стен, перекрытий, в том числе стыковых соединений) в натурных и лабораторных условиях, определения мест и размеров участков, подлежащих ремонту для восстановления требуемых теплозащитных качеств.

Требования настоящего стандарта не распространяются на части ограждающих конструкций с повышенным коэффициентом отражения теплового излучения.

2. Нормативные ссылки

В настоящем стандарте использованы нормативные ссылки на следующие стандарты:

ГОСТ 745-2003. Фольга алюминиевая для упаковки. Технические условия

ГОСТ 6416-75. Термографы метеорологические с биметаллическим чувствительным элементом. Технические условия

ГОСТ 7502-98. Рулетки измерительные металлические. Технические условия

ГОСТ 25380-82. Здания и сооружения. Метод измерения плотности тепловых потоков, проходящих через ограждающие конструкции

ГОСТ 26148-84. Фотометрия. Термины и определения

ГОСТ 28243-96. Пирометры. Общие технические требования

ГОСТ 31167-2009. Здания и сооружения. Методы определения воздухопроницаемости ограждающих конструкций в натурных условиях.

Примечание. При пользовании настоящим стандартом целесообразно проверить действие ссылочных стандартов в информационной системе общего пользования - на официальном сайте Федерального агентства по техническому регулированию и метрологии в сети Интернет или по ежегодно издаваемому информационному указателю "Национальные стандарты", который опубликован по состоянию на 1 января текущего года, и по соответствующим ежемесячно издаваемым информационным указателям, опубликованным в текущем году. Если ссылочный стандарт заменен (изменен), то при пользовании настоящим стандартом следует руководствоваться заменяющим (изменяющим) стандартом. Если ссылочный стандарт отменен без замены, то положение, в котором дана ссылка на него, применяется в части, не затрагивающей эту ссылку.

3. Термины и определения

В настоящем стандарте применены термины по ГОСТ 26148, а также следующие термины с соответствующими определениями:

3.1. Абсолютно черное тело: тело, которое полностью поглощает все падающее на него электромагнитное излучение.

3.2. Базовый участок ограждающей конструкции: участок ограждающей конструкции, состояние теплоизоляции которого принимают за эталон при контроле качества теплоизоляции других участков ограждающей конструкции.

3.3. Величина температурной аномалии: разница температур в наиболее холодной или горячей точке температурной аномалии и базового участка.

3.4. Зеркальная поверхность: поверхность, на которой с помощью тепловизора можно наблюдать отражение теплового излучения оператора на расстоянии более 2 м.

3.5. Коэффициент излучения: отношение мощностей собственного теплового излучения единиц поверхности реального тела и абсолютно черного тела при одинаковых температурах.

3.6. Коэффициент теплоусвоения материала: отношение амплитуды колебания теплового потока к амплитуде колебания температуры на поверхности материала при заданной частоте.

3.7. Мгновенное поле зрения тепловизора: линейный угол зрения одного элемента разложения термограммы.

3.8. Минимально допустимый перепад температур: разность температур внутреннего и наружного воздуха, при которой возможно выявление участков ограждающей конструкции с нарушенной теплоизоляцией.

3.9. Модель термограммы ограждающей конструкции: термограмма из альбома типовых термограмм или эскиз температурного поля поверхности, рассчитанного на ЭВМ по данным проекта ограждающей конструкции.

3.10. Обзорная термограмма: термограмма поверхности ограждающей конструкции или ее укрупненных элементов, получаемая для выявления участков с нарушенными теплозащитными свойствами.

3.11. Относительное сопротивление теплопередаче: показатель качества теплоизоляции, равный отношению сопротивления теплопередаче контролируемого и базового участков.

3.12. Параметры, настраиваемые при тепловизионной съемке: параметры, к которым в зависимости от модели тепловизора могут относиться коэффициент излучения, коэффициент пропускания атмосферы, температура отраженного излучения, температура окружающего воздуха, относительная влажность воздуха, удаленность точки съемки.

3.13. Радиационная температура: температура абсолютно черного тела, при которой регистрируемая сенсором(ами) тепловизора мощность излучения единицы площади поверхности данного тела равна регистрируемой мощности излучения объекта контроля.

3.14. Реперный участок: участок поверхности с постоянной температурой на наружной или внутренней стороне ограждающей конструкции, размеры которой при выбранной дистанции съемки соответствуют формуле (2).

3.15. Температурная аномалия: область зарегистрированной термограммы с повышенной или пониженной относительно базового участка температурой.

3.16. Температурная чувствительность тепловизора: минимальная разрешаемая тепловизором разница температур.

3.17. Тепловая инерция ограждающей конструкции: величина, численно равная сумме произведений термических сопротивлений отдельных слоев ограждающей конструкции и коэффициентов теплоусвоения материала этих слоев.

3.18. Тепловизионный контроль: неразрушающий контроль, основанный на бесконтактном измерении теплового излучения и регистрации температурных полей на поверхности ограждающих конструкций.

3.19. Тепловизор: прибор или совокупность приборов, предназначенных для преобразования теплового изображения объекта в видимое.

3.20. Тепловое изображение: изображение объекта контроля, создаваемое за счет различий в радиационной температуре различных участков объекта.

3.21. Термограмма: тепловое изображение, записанное в аналоговом или цифровом виде в память тепловизора или на цифровой носитель.

3.22. Термографирование: определение и отображение распределения температуры по поверхности путем измерения радиационной температуры.

3.23. Точка съемки: место и направление размещения тепловизора либо в руках оператора, либо с применением дополнительных средств.

3.24. Элемент разложения термограммы: минимальный участок термограммы, соответствующий сигналу, измеренному одним элементом матрицы тепловизора (для матричных приборов), либо элемент разложения изображения (для приборов сканирующего типа).

4. Общие положения

4.1. Метод тепловизионного контроля качества теплоизоляции ограждающих конструкций основан на дистанционном измерении тепловизором полей температур поверхностей ограждающих конструкций, между внутренними и наружными поверхностями которых существует перепад температур, и визуализации температурных аномалий для определения дефектов в виде областей повышенных теплопотерь, связанных с нарушением теплоизоляции, а также участков внутренних поверхностей ограждающих конструкций, температура которых в процессе эксплуатации может опускаться ниже точки росы.

4.2. Температурные поля поверхностей ограждающих конструкций получают на экране тепловизора, а также на экранах вспомогательных устройств в виде псевдоцветного или монохромного изображения изотермических поверхностей. Градации цвета или яркости на изображении соответствуют различным температурам. Кроме того, температурные поля и другая сопутствующая измерениям информация записываются в виде термограмм во встроенной памяти тепловизора и/или на внешних съемных носителях информации. Термограммы, записанные во встроенной памяти тепловизора и/или на внешних съемных носителях, могут быть визуализированы и подвергнуты компьютерной обработке для составления отчетов и обработки (уточнения) результатов измерений.

4.3. Тепловизионному контролю подвергают наружные и/или внутренние поверхности ограждающих конструкций.

4.4. Тепловизионный контроль ограждающих конструкций рекомендуется проводить в осенне-весенний отопительный сезон.

4.5. Тепловизионный контроль ограждающих конструкций подразделяют на три вида.

4.5.1. Первый вид: осмотр объекта контроля с помощью тепловизора с сохранением или без сохранения термограмм в памяти тепловизора и/или на внешних съемных носителях памяти. Данный осмотр проводят для формирования общей характеристики объекта и выявления участков, подлежащих дальнейшему термографированию. Осмотр проводят в процессе строительства по этапам работ, при вводе объекта в эксплуатацию и в процессе его эксплуатации не реже одного раза в год. По результатам осмотра может быть составлен отчет о термографическом осмотре (см. Приложение А).

4.5.2. Второй вид: обзорное термографирование наружных и/или внутренних поверхностей ограждающих конструкций с сохранением термограмм в памяти тепловизора и/или на внешних съемных носителях памяти и с обязательным составлением отчета о термографическом обследовании (см. Приложение Б). Обзорное крупномасштабное термографирование наружных и/или внутренних поверхностей ограждающих конструкций может являться предварительным этапом при проведении детального термографирования с целью локализации зон проведения обследований.

4.5.3. Третий вид: детальное термографирование выделенных участков наружных и/или внутренних поверхностей ограждающих конструкций проводится с сохранением термограмм в памяти тепловизора и/или на внешних съемных носителях памяти и с обязательным составлением отчета о термографическом обследовании (см. Приложение Б).

4.6. Тепловизионное обследование может включать в себя один или несколько видов работ согласно 4.5.1 - 4.5.3.

4.7. На основании данных осмотра объекта и/или обзорного крупномасштабного термографирования выбирают реперные участки для измерения температуры контактным методом, базовый участок, а также точки съемки для проведения обзорного и/или детального термографирования.

4.8. Результаты обзорного и детального термографирования в зависимости от поставленных задач подразделяют на качественные и количественные. Качественные результаты термографирования ограничиваются информацией, содержащейся в термограммах, полученных и обработанных тепловизором либо упрощенными методами с помощью дополнительных средств, и используются для обследований, направленных на выявление дефектов без последующего использования полученных результатов для количественных расчетов локальных относительных сопротивлений теплопередаче, коэффициента теплотехнической неоднородности и других параметров. Количественные результаты термографирования сопровождаются компьютерной обработкой снятых термограмм с целью получения распределения температур по поверхности объекта, максимально близкого к действительному. Данные результаты могут быть использованы в дальнейших расчетах.

4.9. При обзорном и детальном термографировании используются базовый и реперные участки на обследуемой поверхности ограждающей конструкции.

4.10. Для получения качественных результатов термографирования на каждой термограмме достаточно одного реперного участка. Для получения количественных результатов термографирования на каждой термограмме выбирают не менее двух реперных участков так, чтобы различия температуры на них как минимум в несколько раз превосходили точность измерения температуры контактным методом и чувствительность тепловизора.

5. Оборудование и приборы

5.1. Для контроля качества теплоизоляции ограждающих конструкций применяют тепловизоры с параметрами не ниже:

диапазон контролируемых температур минус 20 °C - плюс 40 °C;
предел температурной чувствительности 0,1 °C;
угловые размеры поля обзора в диапазоне от 0,08 до 0,65 рад;
число элементов разложения по строке 160;
число строк в кадре, не менее 120.

5.2. При тепловизионном контроле используют следующую аппаратуру и материалы:

- термощуп-термометр с погрешностью не более 0,5 °C;

- термогигрометр с погрешностью измерения температуры не более 0,7 °C и относительной влажности не более 3,5%;

- ручной анемометр с чувствительностью не менее 0,2 м/с;

- измерительную металлическую рулетку по ГОСТ 7502.

5.3. При тепловизионном контроле могут быть использованы следующее дополнительное оборудование и материалы:

- метеорологический недельный термограф по ГОСТ 6416 или его аналог;

- измерители плотности тепловых потоков по ГОСТ 25380;

- металлизированная фольга по ГОСТ 745 или клеящая лента на ее основе;

- пленка с известным коэффициентом излучения не менее 0,85;

- пирометр по ГОСТ 28243;

- лазерный или иной измеритель расстояния;

- система электронной регистрации температур.

6. Подготовка к измерениям

6.1. Тепловизионные измерения проводят при перепаде температур между наружным и внутренним воздухом, превосходящем минимально допустимый перепад , °C, значение которого определяют по формуле

, (1)

где - предел температурной чувствительности тепловизора, °C;

- проектное значение сопротивления теплопередаче, /Вт;

- коэффициент теплоотдачи, принимаемый равным: для внутренней поверхности стен - по нормативно-технической документации, для наружной поверхности стен при скоростях ветра 1; 3; 6 м/с - 11; 20; 30 соответственно;

r - относительное сопротивление теплопередаче подлежащего выявлению дефектного участка ограждающей конструкции.

6.2. Во многих случаях для выполнения условия по формуле (1) оказывается достаточным перепад температуры между внутренним и наружным воздухом не менее 10 °C - 15 °C. Чем выше перепад температур, тем более точными являются и лучше поддаются анализу и обработке результаты тепловизионных обследований.

6.3. Тепловизионный контроль проводят при режиме теплопередачи через ограждающую конструкцию, близком к стационарному. О возможной нестационарности теплопередачи свидетельствуют относительные изменения температуры воздуха и температуры поверхности ограждающей конструкции. В случае нестационарного режима теплопередачи рекомендуется проведение нескольких тепловизионных съемок с последующим совместным анализом термограмм. Анализ однократно полученных термограмм при нестационарных условиях часто затруднен ввиду того, что температурные аномалии, обусловленные переходными процессами и некачественной теплоизоляцией ограждающей конструкции, могут оказаться неразличимыми. Проведение однократного термографирования в нестационарных условиях допускается только при термографическом осмотре (см. 4.5.1), результаты которого считают предварительными.

Фактические требования к стационарности режима теплопередачи могут варьироваться в зависимости от теплофизических характеристик ограждающих конструкций объекта контроля, требуемой точности нахождения термограмм и скорости изменения во времени тепловых воздействий на ограждающую конструкцию. Требования также могут варьироваться с учетом местных климатических условий. Главными критериями оценки нестационарности режима теплопередачи являются тепловая инерция ограждающей конструкции и коэффициент теплоусвоения материала. Оценка степени стационарности режима теплопереноса может проводиться расчетным путем.

6.4. Обследуемые поверхности не должны находиться в зоне прямого и отраженного солнечного облучения в течение 12 ч до проведения измерений. Оконные и дверные проемы в обследуемом объекте рекомендуется сохранять в фиксированном положении в течение 12 ч до начала и в процессе проведения измерений.

6.5. Измерения не рекомендуется проводить, если значение интегрального коэффициента излучения поверхности объекта менее 0,7. Значения коэффициента излучения выбирают из технической документации к тепловизору, справочной литературы для заданных материалов в спектральном диапазоне тепловизора либо измеряют в натурных или лабораторных условиях.

6.6. Методики обработки и анализа термограмм (см. разделы 8, 9), приведенные в настоящем стандарте, не распространяются на зеркальные по отношению к тепловому излучению поверхности объектов.

6.7. Точки съемки выбирают так, чтобы поверхность объекта измерений находилась в прямой видимости под углом наблюдения не более 60°. Под данными углами должны находиться все поверхности, подлежащие анализу в рамках каждой термограммы.

Допускается термографирование под , чем 60°, углами. В этом случае оператор с помощью осмотра объекта под разными углами должен убедиться, что показания тепловизора для каждого вида обследуемой поверхности изменяются незначительно.

6.8. Удаленность точек съемки L, м, от поверхности объекта выбирают исходя из величины наименьшего линейного размера H, м, подлежащего выявлению участка ограждающей конструкции по формуле

, (2)

где - мгновенное поле зрения тепловизора, определяемое как линейный угол зрения одного элемента разложения термограммы, рад.

Значение H может быть принято равным:

- при контроле внутренней поверхности - от 0,01 до 0,2 м;

- при контроле наружной поверхности - от 0,2 до 1 м.

6.9. Тепловизионные измерения проводят при отсутствии атмосферных осадков, тумана, задымленности.

В случае необходимости осмотр и обзорное термографирование могут проводиться в условиях дымки или дождя. В этом случае анализ термограмм будет затруднен и потребует учета поглощения теплового излучения атмосферой. Максимальное расстояние от поверхности объекта выбирают как меньшее из двух:

- первое определяют как максимальную удаленность точки съемки в зависимости от метеорологической дальности видимости в дымке и от типа и силы дождя (см. Приложение В);

- второе вычисляют по формуле (2).

6.10. Поверхности ограждающих конструкций в период тепловизионных измерений не должны подвергаться дополнительному тепловому воздействию от биологических объектов, источников освещения. Минимально допустимое приближение оператора тепловизора к обследуемой поверхности составляет 1 м, электрических ламп накаливания - 2 м.

6.11. Детальное термографирование поверхностей, находящихся в непосредственной близости (менее 1 м) от отопительных приборов, работающих электронных приборов, систем подачи холодной и горячей воды, в случае если их температура существенно отличается от температуры воздуха, не проводят. Допускается проведение тепловизионного осмотра или обзорного термографирования при условии экранирования излучения перечисленных выше объектов с помощью металлизированной пленки (см. 5.3).

6.12. Поверхности контролируемых участков стен освобождают от картин, ковров, отслоившихся обоев и других предметов, исключающих прямую видимость объекта.

6.13. На обследуемой поверхности выбирают геометрический репер, которым может служить линейный размер откоса окна, расстояние между стыками панелей ограждающей конструкции и другие геометрические особенности.

7. Проведение измерений

7.1. Проведение осмотра объекта контроля

7.1.1. Осмотр объекта контроля с помощью тепловизора может быть проведен без выбора геометрического репера. Максимальное приближение к стационарному режиму теплопереноса через ограждающую конструкцию необязательно. Основными требованиями являются отсутствие прямых и отраженных солнечных лучей и наличие минимального перепада температуры между внутренним и наружным воздухом согласно формуле (1).

7.1.2. Осмотр в соответствии с 7.1.1 выполняют с целью создания общей характеристики качества теплоизоляции и выявления мест для последующего детального термографирования. Результаты, получаемые в ходе осмотра объекта, считаются лишь предварительными и не могут быть самостоятельно использованы для анализа наблюдаемых дефектов.

7.1.3. В процессе осмотра, если планируется дальнейшее обзорное и/или детальное термографирование, выбирают также реперные и базовый участки, которые любым доступным способом отмечают непосредственно на ограждающей конструкции или на ее плане. За базовый принимают участок ограждающей конструкции, линейные размеры которого превышают две толщины, имеющий равномерное температурное поле. При внешней съемке в отопительный период температура базового участка должна быть близкой к минимальной температуре на поверхности ограждающей конструкции, а при внутренней съемке - к максимальной температуре. За реперные участки принимают области с постоянными температурами, существенно отличающимися от температур других областей поверхности. Размер реперного участка при заданной дистанции съемки должен превышать наименьший линейный размер H в формуле (2). В качестве одного из реперных участков можно использовать базовый участок, а в качестве других допускается использовать участки с потенциальными дефектами.

7.2. Проведение обзорного и детального термографирования

7.2.1. Тепловизор устанавливают на выбранном месте, включают и настраивают в соответствии с инструкцией по его эксплуатации.

7.2.2. Выбирают реперные и базовый участки перед каждым термографированием в соответствии с 7.1.3.

7.2.3. Для привязки реперных участков к термограммам объект контроля фотографируют с отмеченными участками или наклеивают рядом на бездефектной области металлизированную пленку.

7.2.4. Непосредственно перед началом и после термографирования измеряют температуру и влажность внутреннего и наружного воздуха термогигрометром и регистрируют значения в журнале (см. Приложение Г).

7.2.5. В процессе обследования контролируют температуру наружного воздуха с частотой не менее одного раза в 15 - 30 мин, результаты заносят в журнал (см. Приложение Г).

7.2.6. При наружном обследовании измеряют скорость ветра вблизи поверхности ограждающей конструкции, результаты заносят в журнал (см. Приложение Г).

7.2.7. Перед или после каждой термографической съемки с записью термограммы измеряют температуру в выбранных точках на реперных участках. Результаты измерений заносят в журнал (см. Приложение Г).

7.2.8. В процессе термографической съемки каждому снятому кадру присваивают номер, который с комментариями заносят в журнал (см. Приложение Г). Допускается параллельное фотографирование участков поверхности.

7.2.9. Если предполагается объединение термограмм для получения панорамных снимков, термографирование проводят с перекрытием не менее 10% каждой соседней термограммы.

7.2.10. Если в процессе обзорного термографирования были обнаружены участки с нарушениями теплозащиты, не замеченные в ходе проведения осмотра, рекомендуется провести повторное детальное термографирование таких участков.

7.2.11. Все угловые стыки наружных и внутренних поверхностей ограждающих конструкций (стен, потолка, пола, карнизов, сопряжений с землей и др.) рекомендуется подвергать дополнительному детальному термографированию.

7.2.12. В случае необходимости дальнейшей компьютерной обработки термограмм для получения точных количественных данных по измеренным температурам перед началом и после проведения обследований рекомендуется проводить измерение радиационной температуры неба под разными углами с помощью тепловизора или пирометра (см. 5.2).

8. Обработка термограмм

8.1. Обработку термограмм проводят для получения записанного в цифровом виде теплового изображения распределения температуры на поверхности ограждающей конструкции с более высокой точностью, чем это может быть выполнено при тепловизионной съемке. Неточности тепловизионной съемки могут быть вызваны неточностями задания коэффициента излучения поверхности, учета температуры отраженного излучения, учета поглощения излучения воздушной средой, погрешностями калибровки тепловизора и другими факторами. Целью обработки термограмм является переход от радиационных температур, регистрируемых тепловизором, к истинным температурам поверхности. Обработка термограмм не является способом оценки дефектности ограждающей конструкции и качества теплоизоляции.

8.2. Обработку термограмм проводят либо программными средствами непосредственно тепловизора, либо с помощью ЭВМ путем математической обработки записанного в оцифрованном виде теплового изображения.

8.3. Обработка термограмм с помощью ЭВМ не требуется, если полученные с помощью тепловизора значения температур в реперных участках совпадают с температурами, измеренными контактным методом.

8.4. Обработку термограммы считают завершенной, если полученные в ходе пересчета значения температуры на реперных участках в рамках приборной погрешности совпадают с измеренными значениями, а также учтено влияние на регистрируемую температуру изменения коэффициента излучения по области термограммы (см. Приложение Д).

8.5. Обработку термограмм не проводят или проводят в упрощенном виде, если термографирование выполняют на качественном уровне, т.е. определяют участки поверхности с различными температурами, сравнение которых служит основанием для вынесения решения о наличии дефектности теплоизоляции.

8.6. Если термографирование проводят на количественном уровне, т.е. необходимо получение максимально точных значений распределения температур на поверхности для проведения расчетов тепловых потерь и повышения достоверности оценок причин и степени нарушения теплоизоляции, то обработка термограмм является обязательной.

8.7. Информацию о проведенной обработке термограмм, способах обработки и полученных результатах по коррекции температур в обнаруженных зонах с анормальными температурами приводят в отчете о термографическом обследовании (см. Приложение Б).

8.8. Упрощенная обработка термограмм проводится путем сдвига шкалы температуры на величину, равную разности между измеренной и зарегистрированной тепловизором температурами на реперном участке или настройкой параметров тепловизора при съемке. К таким параметрам относятся: коэффициент излучения поверхности, температура отраженного излучения, температура окружающей среды, удаленность точки съемки и влажность воздуха.

8.9. На обработанных термограммах допускается присутствие участков, температура которых отличается от действительной. О наличии таких участков должно быть указано в отчете о термографическом обследовании (см. Приложение Б) с указанием причины возможных отличий. Данные участки последующему анализу не подлежат.

8.10. Обработка термограмм сводится к пересчету измеренных значений температур во всех точках термограмм с учетом калибровочной зависимости тепловизора, влияния таких факторов, как наличие и температура отраженного излучения, коррекция величины коэффициента излучения, степень пропускания регистрируемого излучения воздушной средой на пути между тепловизором и объектом, температура окружающего воздуха и его относительная влажность в соответствии с Приложением Е.

9. Анализ термограмм

9.1. Анализ термограмм представляет собой процедуру, направленную на выявление причин возникновения температурных аномалий с целью выявления нарушения теплоизоляции ограждающих конструкций или снижения ее качества.

9.2. При анализе термограмм наружной поверхности ограждающей конструкции ее следует разбивать на участки, для которых температурные условия на внутренней поверхности близки к постоянным (отсутствуют локальные источники тепла, заметно влияющие на температуру внутренней поверхности).

9.3. На стадии анализа используют обработанные или необработанные термограммы для компьютерной визуализации температурных полей на поверхности ограждающей конструкции с возможностью выделения отдельных участков ограждающих конструкций для проведения компьютерных оперативных расчетов перепадов температур, построения гистограмм линейных и поверхностных распределений температур.

9.4. Основным критерием сравнения различных участков поверхности ограждающей конструкции является разница температур в выбранной точке на сравниваемом и базовом участках поверхности.

9.5. Для сравнения может быть дополнительно проведена оценка относительного сопротивления теплопередаче в различных точках ограждающей конструкции. Значения сопротивления теплопередаче r (x, y) рассчитывают по отношению к базовым участкам ограждающей конструкции для внутренних обследований по формуле

(3)

и для наружных обследований по формуле

, (4)

где , - температуры внутреннего и наружного воздуха соответственно в зоне исследуемого фрагмента, °C;

, - температура поверхности базового участка при внутренних и наружных обследованиях соответственно, °C;

- разность между температурой (x,y) изотермы, проходящей через точку с координатами x, y на соответствующей поверхности, и температурой поверхности базового участка, °C.

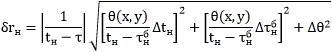
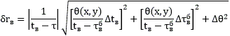
9.6. Значение случайной относительной погрешности определения относительного сопротивления теплопередаче рассчитывают соответственно по формулам:

; (5)

, (6)

где t и - значения абсолютных случайных погрешностей определения температуры воздуха и базового участка соответственно.

9.7. Нарушение теплоизоляции по результатам анализа считают обнаруженным, если исключены иные причины возникновения температурной аномалии.

9.8. В случае, если не удается точно установить, является ли обнаруженная температурная аномалия следствием нарушения теплоизоляции, рекомендуется провести измерение температуры в данных участках контактным методом на внешней и внутренней поверхностях ограждающей конструкции.

9.9. При анализе термограмм, содержащих области с температурными аномалиями, могут быть использованы модели термограмм ограждающих конструкций из альбома типовых термограмм, полученных в лабораторных или натурных условиях, а также модельные термограммы, полученные путем компьютерных расчетов элементов ограждающей конструкции здания. Если температурная аномалия имеет место в эталонной термограмме, то данная аномалия не относится к дефекту теплоизоляции, а является следствием конструктивных особенностей оболочки ограждающей конструкции.

9.10. При расположении дефектного участка в зоне стыкового соединения стеновых панелей или оконного блока и панели следует проверить сопротивление воздухопроницанию стыкового соединения по ГОСТ 31167.

9.11. При составлении отчетов по результатам анализа термограмм выявленные области с нарушениями теплоизоляции могут сопровождаться фотографиями соответствующих элементов ограждающих конструкций.

Приложение А
(рекомендуемое)

ОТЧЕТ О ТЕРМОГРАФИЧЕСКОМ ОСМОТРЕ

Отчет о термографическом осмотре должен содержать:

1) описание обследования со ссылкой на настоящий стандарт и другие использованные нормативные документы и методики, полное наименование и адрес объекта осмотра;

2) заключение о возможности применения требований настоящего стандарта к объекту осмотра с указанием элементов конструкции, подлежащих осмотру;

3) спецификацию используемого оборудования, включая марки, модели и серийные номера, даты поверок всего используемого измерительного оборудования;

4) дату и время проведения осмотра;

5) общую информацию об атмосферных осадках, направлении и скорости ветра в ходе осмотра;

6) общую информацию о температуре внутреннего воздуха и перепаде внутренних и наружных температур в ходе осмотра;

7) другие важные факторы, влияющие на результаты, например, быстрое изменение погодных условий;

8) результаты дополнительных измерений;

9) результаты расчетов и оценок, общие для всего осмотра;

10) термограммы, соответствующие данному типу обследования (осмотр). На термограммах допускается выделять линии профиля температуры, различные области поверхности для вычисления средних значений и колебаний температуры и другие пометки, способствующие анализу термограмм. Каждую термограмму при необходимости дополняют:

- эскизами и/или фотографиями здания с указанием местоположений участков ограждающей конструкции, соответствующих термограммам,

- другой дополнительной информацией, позволяющей идентифицировать область ограждающей конструкции, изображенную на термограмме,

- комментариями к полученным термограммам со ссылками на участки ограждающей конструкции с замеченными температурными аномалиями;

11) общую классификацию обнаруженных дефектов. Описание повторяющихся и неповторяющихся обнаруженных дефектов, их характеристики и возможные причины возникновения;

12) дату и подпись.

Приложение Б
(рекомендуемое)

ОТЧЕТ О ТЕРМОГРАФИЧЕСКОМ ОБСЛЕДОВАНИИ

Отчет о термографическом обследовании должен содержать:

1) описание обследования со ссылкой на настоящий стандарт и другие использованные нормативные документы и методики, полное наименование и адрес объекта обследования;

2) тип термографического обследования (обзорное и/или детальное термографирование наружных и/или внутренних поверхностей ограждающих конструкций);

3) заключение о возможности применения настоящего стандарта к объекту обследования с указанием элементов конструкции, подлежащих обследованию;

4) краткое описание конструкции здания, основанное на чертежах или другой имеющейся документации;

5) тип(ы) материала(ов) поверхности конструкции и расчетное сопротивление теплопередаче;

6) ориентацию здания по сторонам света, указанную на плане, и описание окружения (здания, ландшафт и т.д.);

7) спецификацию используемого измерительного оборудования, включая марки, модели и серийные номера, даты поверок. Перечень дополнительного оборудования и специальных средств, в том числе программного обеспечения для проведения обследований и обработки, анализа термограмм;

8) дату и время проведения обследования;

9) температуру наружного воздуха, по крайней мере, минимальное и максимальное значения, наблюдавшиеся в течение 24 ч до начала обследования и в ходе обследования;

10) общую информацию об условиях солнечного воздействия, имевших место в течение 12 ч до начала обследования и в ходе обследования;

11) общую информацию об атмосферных осадках, направлении и скорости ветра в ходе обследования;

12) общую информацию о температуре внутреннего воздуха и перепаде внутренних и наружных температур в ходе обследования;

13) перепад давления воздуха с наветренной и подветренной сторон для каждого этажа, если необходимо;

14) другие важные погодные и иные факторы, влияющие на результаты;

15) результаты дополнительных измерений;

16) результаты расчетов и оценок, общие для всего обследования;

17) полученные термограммы, соответствующие данному(ым) типу(ам) обследования (обзорное или детальное термографирование). Термограммы должны содержать указание базового и реперных участков с соответствующими значениями температуры, выделение дефектных участков и/или точек локальных максимумов/минимумов температуры. На термограммах допускается выделение линий профиля температуры, различных областей поверхности для вычисления средних значений и колебаний температуры и других пометок, способствующих анализу термограмм. Каждую термограмму при необходимости дополняют:

- эскизами и/или фотографиями здания с указанием местоположений термограмм,

- другой дополнительной информацией, позволяющей идентифицировать область ограждающей конструкции, изображенную на термограмме,

- комментариями к полученным термограммам со ссылками на участки ограждающей конструкции с замеченными температурными аномалиями. В комментариях также приводят описание областей термограммы, не подлежащих анализу, и причин исключения из анализа,

- значениями температур, измеренных контактным способом на реперных и базовом участках, а также температурами внутреннего и наружного воздуха, подвижностью воздуха и другими параметрами;

18) информацию о проведенной обработке термограмм, способах обработки полученных результатов по коррекции температур в обнаруженных зонах с аномальными температурами;

19) данные о наличии участков, температура которых отличается от действительной, и возможными причинами таких отличий, если термограммы подвергались математической обработке;

20) общую классификацию обнаруженных дефектов. Описание повторяющихся и неповторяющихся обнаруженных дефектов, их характеристики и возможные причины возникновения;

21) дату и подпись.

Приложение В
(рекомендуемое)

МАКСИМАЛЬНАЯ УДАЛЕННОСТЬ ТОЧКИ СЪЕМКИ ПРИ ДОЖДЕ И ДЫМКЕ

Максимальная удаленность точки съемки при дожде и дымке определяется условием, что коэффициент пропускания атмосферы не должен быть менее 0,98 (потери излучения за счет рассеяния составляют не более 2%).

В.1. Дождь

Коэффициент рассеяния , , и коэффициент пропускания для дождя можно рассчитать на основе полуэмпирической формулы Мидолтона

, (В.1)

где Z - толщина слоя осажденной воды в единицу времени (сила дождя), см/ч;

r - радиус капель, см;

L - удаленность точки съемки, м.

В таблице В.1 приведены градации дождя по его силе и максимальная удаленность точки съемки в зависимости от типа дождя.

Таблица В.1

Максимальная удаленность точки съемки L в зависимости от силы дождя

Тип дождя Слабый дождь Средний дождь Сильный дождь Очень сильный дождь
Сила дождя, см/ч 0,25 1,25 2,5 10
L, м 290 124 87 37

В.2. Дымка

Дымка состоит из взвешенных частиц с характерным размером порядка одного микрометра. Для инфракрасного излучения с диапазоном длин волн 3 - 5 и 8 - 14 мкм (данные диапазоны длин волн используются в тепловизорах для контроля ограждающих конструкций) дымка пропускает излучение хуже дождя. Визуально максимальную удаленность точки съемки при дымке можно оценить по метеорологической дальности видимости. Метеорологическая дальность видимости характеризует замутненность атмосферы с точки зрения возможности днем увидеть на фоне неба темный предмете угловым размером более 30 мин. Такое определение соответствует коэффициенту пропускания атмосферы на уровне =0,98.

Максимальная удаленность точки съемки L для дымки в зависимости от метеорологической дальности видимости приведена на рисунке В.1. Данные на рисунке В.1 являются оценочными и получены с помощью расчетов коэффициента пропускания в дымке с размером частиц 1,5 мкм для диапазона длин волн 3 - 5 мкм (линия 1) и 8 - 14 мкм (линия 2).

Рисунок В.1. Зависимость максимальной удаленности точки съемки от метеорологической дальности видимости в условиях дымки

Приложение Г
(рекомендуемое)

ЖУРНАЛ ЗАПИСИ РЕЗУЛЬТАТОВ ТЕПЛОВИЗИОННЫХ ИЗМЕРЕНИЙ

Объект  
Обследование проводил(и)  

"____" ________________ 20__ г.

N изм. Время Положение фрагмента ограждающей конструкции Параметры тепловизора , °С , °С V , м/с , °С , °С , °С , % , % Номер термограммы Номер фотографии Примечание
1                            
2                            
...                            
(Подпись) (ФИО) (Дата)

Приложение Д
(рекомендуемое)

УЧЕТ ИЗМЕНЕНИЯ КОЭФФИЦИЕНТА ИЗЛУЧЕНИЯ ПРИ ОБРАБОТКЕ ТЕРМОГРАММ

Термограммы содержат неоднородные участки ограждающей конструкции, включая различные геометрические неоднородности, различающиеся по свойствам элементы, связанные с различным типом применяемых поверхностей, разным состоянием поверхности и другими факторами. Неоднородности отображаются в виде различий в регистрируемой температуре, и обычно тепловизор не отличает их от действительных температурных аномалий.

Для оценки перечисленных выше факторов оценивают значение температуры отраженного излучения. Отраженная температура характеризует светимость единицы поверхности объекта контроля, обусловленную отражением излучения от сторонних объектов.

Значение температуры отраженного излучения , °C, в случае обследования часто принимают равной значению температуры окружающего воздуха.

Отклонение действительной температуры , °C, от измеренной, обусловленной изменением коэффициента излучения по поверхности для оценок, считают пропорциональным разности температур в точке термограммы T, °C, и температуры отраженного излучения , °C. При этом отклонение считают пропорциональным относительному отклонению коэффициента излучения и оценивают по формуле

. (Д.1)

Данная формула позволяет оценить отклонение температуры с точностью около 20% при изменении °С; и применима как при внутренних, так и при наружных обследованиях. При внутренних обследованиях в осенне-весенний период , а при наружных в тот же период .

Приложение Е
(рекомендуемое)

ОБРАБОТКА ТЕРМОГРАММ НА ОСНОВАНИИ ЭНЕРГЕТИЧЕСКОГО БАЛАНСА ИЗЛУЧЕНИЯ

Нахождение уточненных значений распределения температур по термограмме осуществляется на основании решения уравнения энергетического баланса регистрируемого излучения

, (Е.1)

где - абсолютная истинная температура поверхности, К;

- абсолютная температура отраженного излучения, К;

- абсолютная средняя температура воздуха на линии между участком поверхности и тепловизором, К;

- абсолютная радиационная температура, регистрируемая тепловизором, К;

- воспринимаемая тепловизором и преобразуемая его сенсором мощность излучения абсолютно черного тела температурой T, Вт/м2;

- спектральная плотность энергетической светимости абсолютно черного тела, Вт/м2/мкм;

(x,y) - интегральный коэффициент излучения поверхности ограждающей конструкции в спектральном диапазоне тепловизора;

- интегральный коэффициент пропускания воздуха;

- температура воздуха, К;

HR - относительная влажность воздуха, %;

L - расстояние от тепловизора до участка ограждающей конструкции, м.

Функция характеризует спектральные свойства тепловизора (пропускную способность тепловизора и чувствительность принимающей матрицы в зависимости от длин волн). Упрощенно функцию f() определяют как

при ;

при ;

при ,

где - спектральный диапазон длин волн, приводится в технической документации к тепловизору, мкм.

Уравнение (Е.1) решают расчетными методами или с применением эмпирических зависимостей E(T), получаемых при калибровке тепловизора.