Постановление Правительства РФ от 14.02.2015 N 129

"О внесении изменений в некоторые акты Правительства Российской Федерации по вопросам применения двухкомпонентных тарифов на горячую воду"
Редакция от 21.12.2020 — Не действует Перейти в действующую
Показать изменения

ПРАВИТЕЛЬСТВО РОССИЙСКОЙ ФЕДЕРАЦИИ

ПОСТАНОВЛЕНИЕ
от 14 февраля 2015 г. N 129

О ВНЕСЕНИИ ИЗМЕНЕНИЙ В НЕКОТОРЫЕ АКТЫ ПРАВИТЕЛЬСТВА РОССИЙСКОЙ ФЕДЕРАЦИИ ПО ВОПРОСАМ ПРИМЕНЕНИЯ ДВУХКОМПОНЕНТНЫХ ТАРИФОВ НА ГОРЯЧУЮ ВОДУ

(в ред. Постановлений Правительства РФ от 27.12.2017 N 1670, от 25.12.2019 N 1822, от 21.12.2020 N 2185)

Правительство Российской Федерации постановляет:

1. Утвердить прилагаемые изменения, которые вносятся в акты Правительства Российской Федерации по вопросам применения двухкомпонентных тарифов на горячую воду.

2. Органам государственной власти субъектов Российской Федерации утвердить норматив потребления холодной воды для предоставления коммунальной услуги по горячему водоснабжению в жилом помещении и норматив расхода тепловой энергии на подогрев холодной воды для предоставления коммунальной услуги по горячему водоснабжению не позднее 1 января 2022 г. (в ред. Постановлений Правительства РФ от 27.12.2017 N 1670, от 25.12.2019 N 1822, от 21.12.2020 N 2185)

Председатель Правительства
Российской Федерации
Д.МЕДВЕДЕВ

УТВЕРЖДЕНЫ
постановлением Правительства
Российской Федерации
от 14 февраля 2015 г. N 129

ИЗМЕНЕНИЯ, КОТОРЫЕ ВНОСЯТСЯ В АКТЫ ПРАВИТЕЛЬСТВА РОССИЙСКОЙ ФЕДЕРАЦИИ ПО ВОПРОСАМ ПРИМЕНЕНИЯ ДВУХКОМПОНЕНТНЫХ ТАРИФОВ НА ГОРЯЧУЮ ВОДУ

1. В Правилах установления и определения нормативов потребления коммунальных услуг, утвержденных постановлением Правительства Российской Федерации от 23 мая 2006 г. N 306 "Об утверждении Правил установления и определения нормативов потребления коммунальных услуг" (Собрание законодательства Российской Федерации, 2006, N 22, ст. 2338; 2012, N 15, ст. 1783; 2013, N 16, ст. 1972; 2014, N 14, ст. 1627; N 52, ст. 7773):

а) в пункте 4:

в подпункте "а":

слова "(открытая, закрытая)" заменить словами ", вид системы горячего водоснабжения";

дополнить словами ", а также наличие изолированных (неизолированных) стояков и (или) полотенцесушителей";

в подпункте "е" слова "(открытая, закрытая)" заменить словами ", вид системы горячего водоснабжения";

б) подпункт "б" пункта 7 изложить в следующей редакции:

"б) в отношении горячего водоснабжения (горячей воды):

в жилых помещениях - куб. метр холодной воды на 1 человека и Гкал на подогрев 1 куб. метра холодной воды или куб. метр горячей воды на 1 человека;

на общедомовые нужды - куб. метр холодной воды и Гкал на подогрев 1 куб. метра холодной воды на 1 кв. метр общей площади помещений, входящих в состав общего имущества в многоквартирном доме, или куб. метр горячей воды на 1 кв. метр общей площади помещений, входящих в состав общего имущества в многоквартирном доме;";

в) пункт 24 дополнить абзацем следующего содержания:

"Норматив потребления коммунальной услуги по горячему водоснабжению в жилом помещении при установлении двухкомпонентных тарифов на горячую воду (далее норматив потребления горячей воды) определяется исходя из норматива потребления холодной воды для предоставления коммунальной услуги по горячему водоснабжению в жилом помещении и норматива расхода тепловой энергии на подогрев холодной воды для предоставления коммунальной услуги по горячему водоснабжению. В норматив расхода тепловой энергии на подогрев холодной воды для предоставления коммунальной услуги по горячему водоснабжению включается расход тепловой энергии на подогрев холодной воды, необходимый для осуществления услуги по горячему водоснабжению в соответствии с требованиями к качеству коммунальной услуги по горячему водоснабжению, установленными правилами предоставления коммунальных услуг.";

г) пункт 25 изложить в следующей редакции:

"25. Норматив потребления коммунальной услуги по водоотведению в жилых помещениях определяется исходя из суммы норматива потребления коммунальной услуги по холодному водоснабжению и норматива потребления коммунальной услуги по горячему водоснабжению или норматива потребления холодной воды для предоставления коммунальной услуги по горячему водоснабжению.";

д) дополнить пунктами 32.1 и 32.2 следующего содержания:

"32.1. Уполномоченный орган устанавливает норматив расхода тепловой энергии, используемой на подогрев холодной воды для предоставления коммунальной услуги по горячему водоснабжению, с учетом вида системы горячего водоснабжения (открытая, закрытая) внутри многоквартирного дома или жилого дома, а также следующих конструктивных особенностей таких домов:

а) неизолированные стояки и полотенцесушители;

б) изолированные стояки и полотенцесушители;

в) неизолированные стояки и отсутствие полотенцесушителей;

г) изолированные стояки и отсутствие полотенцесушителей.

32.2. Информация об оснащенности многоквартирного дома или жилого дома изолированными или неизолированными стояками и полотенцесушителями на территории субъекта Российской Федерации предоставляется органами местного самоуправления исходя из сведений, содержащихся в проектной документации домов. При отсутствии необходимых сведений в проектной документации дома указанная информация определяется на основании сведений, полученных от исполнителей коммунальных услуг.";

е) в пункте 38:

подпункт "а" дополнить словами "или по каждому виду коммунального ресурса, учитываемого в составе коммунальной услуги";

дополнить подпунктом "и" следующего содержания:

"и) вид системы горячего водоснабжения в соответствии с положениями, установленными пунктами 32 - 32.2 настоящих Правил.";

ж) пункт 45 изложить в следующей редакции:

"45. Норматив потребления коммунальной услуги по холодному водоснабжению и норматив потребления коммунальной услуги по горячему водоснабжению или норматив потребления горячей воды в жилом помещении определяются исходя из оснащенности жилых помещений водоразборными устройствами и санитарно-техническим оборудованием. Норма расхода воды водоразборными устройствами предусмотрена в таблице 5 приложения N 1 к настоящим Правилам.";

з) дополнить пунктом 45.1 следующего содержания:

"45.1. Норматив расхода тепловой энергии на подогрев воды для предоставления коммунальной услуги по горячему водоснабжению определяется с учетом положений, установленных пунктами 32 - 32 настоящих Правил.";

и) в приложении N 1 к указанным Правилам:

наименование подраздела "Формула определения норматива потребления коммунальной услуги по холодному водоснабжению и норматива потребления коммунальной услуги по горячему водоснабжению в жилых помещениях" после слов "по горячему водоснабжению" дополнить словами "или норматива потребления горячей воды";

в абзацах первом и шестом пункта 5 и пункте 5.1 слова "(норматив потребления коммунальной услуги по горячему водоснабжению)" заменить словами ", норматив потребления коммунальной услуги по горячему водоснабжению или норматив потребления горячей воды";

после пункта 6 дополнить подразделом следующего содержания:

"Формула определения норматива расхода тепловой энергии, используемой на подогрев холодной воды для предоставления коммунальной услуги по горячему водоснабжению

6.1. Норматив расхода тепловой энергии, используемой на подогрев холодной воды для предоставления коммунальной услуги по горячему водоснабжению (Гкал на 1 куб. метр), при применении метода аналогов в соответствии с положениями пунктов 32 - 32.2 Правил установления и определения нормативов потребления коммунальных услуг, утвержденных постановлением Правительства Российской Федерации от 23 мая 2006 г. N 306 "Об утверждении Правил установления и определения нормативов потребления коммунальных услуг" (далее - Правила), определяется по следующей формуле:

(формула 71)

где:

- суммарный расход тепловой энергии, содержащейся в горячей воде, определенный по показаниям коллективного (общедомового) прибора учета в i-м многоквартирном доме или индивидуального прибора учета в i-м жилом доме (Гкал в месяц);

- суммарный расход горячей воды по показаниям коллективного (общедомового) прибора учета в i-м многоквартирном доме или индивидуального прибора учета в i-м жилом доме (куб. м в месяц);

m - количество многоквартирных домов или жилых домов.";

наименование подраздела "Формула определения норматива потребления коммунальной услуги по холодному водоснабжению и норматива потребления коммунальной услуги по горячему водоснабжению на общедомовые нужды" после слов "по горячему водоснабжению" дополнить словами "или норматива потребления горячей воды";

в абзаце первом пункта 7 и пункте 7.1:

слово "(горячему)" исключить;

после слова "водоснабжению" дополнить словами ", норматив потребления коммунальной услуги по горячему водоснабжению или норматив потребления горячей воды";

в наименовании подраздела "Формула расчета норматива потребления коммунальных услуг по холодному и горячему водоснабжению в жилых помещениях" слова "и горячему водоснабжению" заменить словами "водоснабжению и норматива потребления коммунальной услуги по горячему водоснабжению или норматива потребления горячей воды";

в пункте 24:

абзац первый после слов "по горячему водоснабжению" дополнить словами "или норматив потребления горячей воды";

абзац седьмой после слов "(далее - правила предоставления коммунальных услуг)" дополнить словами ", исходя из температуры горячей воды, которая принимается к расчету в соответствии с требованиями санитарно-эпидемиологических правил и норм (СанПиН 2.1.4.2496-09)";

дополнить пунктом 24.1 следующего содержания:

"24.1. В случае установления двухкомпонентных тарифов на горячую воду норматив расхода тепловой энергии, используемой на подогрев воды в целях предоставления коммунальной услуги по горячему водоснабжению (Гкал на 1куб.м), при применении расчетного метода определяется по следующей формуле:

(формула 23.1)

где:

с - удельная теплоемкость воды (1 х Гкал/(кг х °С);

р - плотность воды при температуре, равной , и среднем за год давлении воды в трубопроводе, определяемая в соответствии с таблицей 5.1:

Таблица 5.1

Определение плотности воды в диапазоне температур от 5 °С до 75 °С

Температура воды (°С) Плотность воды (кг/м3) Температура воды (°С) Плотность воды (кг/м3) Температура воды (°С) Плотность воды (кг/м3)
5 1000 29 996,02 53 986,62
6 999,99 30 995,71 54 986,14
7 999,96 31 995,41 55 985,65
8 999,91 32 995,09 56 985,16
9 999,85 33 994,76 57 984,66
10 999,77 34 994,43 58 984,16
И 999,68 35 994,08 59 983,64
12 999,58 36 993,73 60 983,13
13 999,46 37 993,37 61 982,6
14 999,33 38 993 62 982,07
15 999,19 39 992,63 63 981,54
16 999,03 40 992,25 64 981
17 998,86 41 991,86 65 980,45
18 998,68 42 991,46 66 979,9
19 998,49 43 991,05 67 979,34
20 998,29 44 990,64 68 978,78
21 998,08 45 990,22 69 978,21
22 997,86 46 989,8 70 977,63
23 997,62 47 989,36 71 977,05
24 997,38 48 988,92 72 976,47
25 997,13 49 988,47 73 975,88
26 996,86 50 988,02 74 975,28
27 996,59 51 987,56 75 974,68;
28 996,31 52 987,09

- температура горячей воды, поступающей потребителям из систем централизованного горячего водоснабжения (°С), определяемая в соответствии с санитарно-эпидемиологическими правилами и нормами (СанПиН 2.1.4.2496-09);

- температура холодной воды, поступающей потребителям из систем централизованного холодного водоснабжения (°С), определяемая в соответствии с пунктом 25 настоящего документа;

- коэффициент, учитывающий потери тепла трубопроводами систем горячего водоснабжения, определяемый на основании таблицы 5.2:

Таблица 5.2

Коэффициент, учитывающий тепловые потери трубопроводами систем горячего водоснабжения

Система горячего водоснабжения Коэффициент, учитывающий тепловые потери трубопроводами систем горячего водоснабжения
с наружной сетью горячего водоснабжения без наружной сети горячего водоснабжения
С изолированными стояками:
с полотенцесушителями 0,25 0,2
без полотенцесушителей 0,15 0,1
С неизолированными стояками:
с полотенцесушителями 0,35 0,3
без полотенцесушителей 0,25 0,2";

в наименовании подраздела "Формула расчета норматива потребления коммунальных услуг по холодному и горячему водоснабжению на общедомовые нужды" слова "и горячему водоснабжению" заменить словами "водоснабжению и норматива потребления коммунальной услуги по горячему водоснабжению или норматива потребления горячей воды";

в абзаце первом пункта 27:

слово "(горячему)" исключить;

после слова "водоснабжению" дополнить словами ", норматив потребления коммунальной услуги по горячему водоснабжению или норматив потребления горячей воды".

2. В Правилах предоставления коммунальных услуг собственникам и пользователям помещений в многоквартирных домах и жилых домов, утвержденных постановлением Правительства Российской Федерации от 6 мая 2011г. N 354 "О предоставлении коммунальных услуг собственникам и пользователям помещений в многоквартирных домах и жилых домов" (Собрание законодательства Российской Федерации, 2011, N 22, ст. 3168; 2012, N 36, ст. 4908; 2013, N 16, ст. 1972; N 21, ст. 2648; N 31, ст. 4216; N 39, ст. 4979; 2014, N 8, ст. 811; N 9, ст. 919; N 14, ст. 1627):

а) абзац десятый пункта 2 после слов "тепловая энергия" дополнить словами "теплоноситель в виде горячей воды в открытых системах теплоснабжения (горячего водоснабжения)";

б) пункт 38 после абзаца пятого дополнить абзацем следующего содержания:

"В случае установления двухкомпонентных тарифов на горячую воду размер платы за коммунальную услугу по горячему водоснабжению рассчитывается исходя из суммы стоимости компонента на холодную воду, предназначенную для подогрева в целях предоставления коммунальной услуги по горячему водоснабжению, и стоимости компонента на тепловую энергию, используемую на подогрев холодной воды в целях предоставления коммунальной услуги по горячему водоснабжению.";

в) абзац третий пункта 40 изложить в следующей редакции:

"Потребитель коммунальной услуги по отоплению и (или) горячему водоснабжению, произведенной и предоставленной исполнителем потребителю при отсутствии централизованных систем теплоснабжения и (или) горячего водоснабжения, вносит плату за такую коммунальную услугу, рассчитанную в соответствии с пунктом 54 настоящих Правил.";

г) в пункте 42:

абзац первый дополнить предложением следующего содержания: "В случае установления двухкомпонентных тарифов на горячую воду размер платы за коммунальную услугу по горячему водоснабжению, предоставленную потребителю за расчетный период в жилом помещении, определяется в соответствии с формулой 23 приложения N 2 к настоящим Правилам исходя из показаний приборов учета горячей воды.";

абзац второй дополнить предложением следующего содержания: "В случае установления двухкомпонентных тарифов на горячую воду размер платы за коммунальную услугу по горячему водоснабжению, предоставленную потребителю за расчетный период в жилом помещении, определяется в соответствии с формулой 23 приложения N 2 к настоящим Правилам исходя из норматива потребления горячей воды.";

абзац пятый изложить в следующей редакции:

"Размер платы за коммунальную услугу по водоотведению, предоставленную за расчетный период в жилом помещении, не оборудованном индивидуальным или общим (квартирным) прибором учета сточных бытовых вод, рассчитывается исходя из суммы объемов холодной и горячей воды, предоставленных в таком жилом помещении и определенных по показаниям индивидуальных или общих (квартирных) приборов учета холодной и (или) горячей воды за расчетный период, а при отсутствии приборов учета холодной и (или) горячей воды - в соответствии с формулой 4 приложения N 2 к настоящим Правилам исходя из норматива водоотведения.";

д) пункт 42(1) дополнить текстом следующего содержания:

"При открытой системе теплоснабжения (горячего водоснабжения), в случае если узел учета тепловой энергии многоквартирного дома оснащен коллективным (общедомовым) прибором учета тепловой энергии, учитывающим общий объем (количество) тепловой энергии, потребленной на нужды отопления и горячего водоснабжения, для определения размера платы за коммунальную услугу по отоплению в соответствии с положениями абзацев второго и третьего настоящего пункта объем (количество) тепловой энергии, потребленной за расчетный период на нужды отопления, в течение отопительного периода определяется как разность объема (количества) потребленной за расчетный период тепловой энергии, определенного по показаниям коллективного (общедомового) прибора учета тепловой энергии, которым оборудован многоквартирный дом, и произведения объема (количества) потребленной за расчетный период тепловой энергии, использованной на подогрев воды в целях предоставления коммунальной услуги по горячему водоснабжению, определенного исходя из норматива расхода тепловой энергии, использованной на подогрев воды в целях предоставления коммунальной услуги по горячему водоснабжению, и объема (количества) горячей воды, потребленной в жилых и нежилых помещениях многоквартирного дома и на общедомовые нужды.

В случае если при открытой системе теплоснабжения (горячего водоснабжения) в многоквартирном доме коллективные (общедомовые) приборы учета установлены раздельно в системе отопления и в системе горячего водоснабжения, размер платы за коммунальную услугу по отоплению определяется в соответствии с положениями абзацев второго и третьего настоящего пункта.";

е) пункт 43 дополнить абзацем следующего содержания:

"В случае установления двухкомпонентных тарифов на горячую воду размер платы за коммунальную услугу по горячему водоснабжению, предоставленную потребителю за расчетный период в нежилом помещении, определяется в соответствии с формулой 23 приложения N 2 к настоящим Правилам.";

ж) абзац первый пункта 50 дополнить словами ", а в случае установления двухкомпонентных тарифов на горячую воду - в соответствии с формулами 25 - 27 приложения N 2 к настоящим Правилам";

з) в пункте 54:

абзац первый после слов "исходя из объема коммунального ресурса" дополнить словами "(или ресурсов)";

абзац второй изложить в следующей редакции:

"Объем использованного при производстве коммунального ресурса определяется по показаниям прибора учета, фиксирующего объем такого коммунального ресурса, а при его отсутствии - пропорционально расходам такого коммунального ресурса на производство тепловой энергии, используемой в целях предоставления коммунальной услуги по отоплению и (или) в целях предоставления коммунальной услуги по горячему водоснабжению.";

после абзаца второго дополнить абзацем следующего содержания:

"При этом общий объем (количество) произведенной исполнителем за расчетный период тепловой энергии, используемой в целях предоставления коммунальной услуги по отоплению и (или) в целях предоставления коммунальной услуги по горячему водоснабжению, определяется по показаниям приборов учета, установленных на оборудовании, с использованием которого исполнителем была произведена коммунальная услуга по отоплению и (или) горячему водоснабжению, а при отсутствии таких приборов учета - как сумма объемов (количества) тепловой энергии, используемой в целях предоставления коммунальной услуги по отоплению и (или) в целях предоставления коммунальной услуги по горячему водоснабжению, определенных по показаниям индивидуальных и общих (квартирных) приборов учета тепловой энергии, которыми оборудованы жилые и нежилые помещения потребителей, объемов (количества) потребления тепловой энергии, используемой в целях предоставления коммунальной услуги по отоплению и (или) предоставления коммунальной услуги по горячему водоснабжению, определенных в порядке, установленном настоящими Правилами для потребителей, жилые и нежилые помещения которых не оборудованы такими приборами учета, и объемов (количества) потребления тепловой энергии, используемой в целях предоставления коммунальной услуги по горячему водоснабжению на общедомовые нужды, определенных исходя из нормативов потребления горячей воды на общедомовые нужды и нормативов расхода тепловой энергии, используемой на подогрев воды в целях горячего водоснабжения. Объем (количество) тепловой энергии, потребленной за расчетный период на нужды отопления многоквартирного дома или жилого дома, определяется с учетом положений пункта 42(1) настоящих Правил.";

в абзаце четвертом слова "в соответствии с формулой 20" заменить словами "в соответствии с формулами 20 и 20(1)";

абзац шестой изложить в следующей редакции:

"произведение объема (количества) коммунального ресурса, использованного для подогрева холодной воды в целях предоставления коммунальной услуги по горячему водоснабжению, и тарифа на коммунальный ресурс. При этом объем (количество) коммунального ресурса определяется исходя из удельного расхода коммунального ресурса, использованного на подогрев холодной воды в целях предоставления коммунальной услуги по горячему водоснабжению, в объеме, равном объему горячей воды, потребленной за расчетный период в жилом или нежилом помещении и на общедомовые нужды;";

и) в пункте 69:

подпункт "в" дополнить словами "(при применении в расчетах за коммунальные услуги по горячему водоснабжению тарифов на горячую воду, состоящих из компонента на холодную воду, используемую в целях предоставления коммунальной услуги по горячему водоснабжению, и компонента на тепловую энергию, используемую на подогрев воды в целях предоставления коммунальной услуги по горячему водоснабжению, - величина каждого из компонентов, единицы измерения объема (количества) горячей воды и тепловой энергии в натуральных величинах)";

в подпункте "д" слова "за исключением коммунальных услуг по отоплению и горячему водоснабжению, произведенных исполнителем при отсутствии централизованных теплоснабжения и горячего водоснабжения," исключить;

к) в абзаце первом пункта 70 слова ", за исключением коммунальных услуг по отоплению и горячему водоснабжению, произведенных исполнителем при отсутствии централизованных теплоснабжения и горячего водоснабжения" исключить;

л) пункт 86 дополнить словами ", предусмотренных соответственно подпунктами "е" и "д" пункта 4 настоящих Правил";

м) в приложении N 2 к указанным Правилам:

в пункте 1 после слов "горячему водоснабжению" дополнить словами "(за исключением случая установления двухкомпонентных тарифов на горячую воду (горячее водоснабжение)";

в абзаце четвертом пункта 3 слова "пунктом 59" заменить словами "пунктами 42.1 и 59";

в пункте 3(1):

абзац шестой изложить в следующей редакции:

"";

абзац седьмой исключить;

абзац первый пункта 4 после слов "горячему водоснабжению" дополнить словами "(за исключением случая установления двухкомпонентных тарифов на горячую воду)";

абзац первый пункта 7 после слов "горячему водоснабжению" дополнить словами "(за исключением случая установления двухкомпонентных тарифов на горячую воду)";

дополнить пунктом 11.1 следующего содержания:

"11.1. В случае установления двухкомпонентного тарифа на горячую воду приходящийся на i-e жилое или нежилое помещение объем холодной воды, использованной на общедомовые нужды при потреблении коммунальных услуг холодного водоснабжения и горячего водоснабжения, измеренный коллективным (общедомовым) прибором учета холодной воды, распределяется:

а) в отношении коммунальных услуг по холодному водоснабжению на общедомовые нужды - по формуле 11(1):

- норматив потребления коммунальной услуги по холодному водоснабжению на общедомовые нужды;

- норматив потребления горячей воды на общедомовые нужды;

б) в отношении коммунальных услуг по горячему водоснабжению на общедомовые нужды - по формуле 11(2):

";

в абзацах четвертом и седьмом пункта 20 слова "газ или иное топливо" заменить словами "тепловая энергия, газ или иное топливо";

пункт 22 изложить в следующей редакции:

"22. Размер платы за коммунальную услугу по горячему водоснабжению, предоставленную за расчетный период в i-м жилом помещении (квартире) или нежилом помещении в многоквартирном доме, согласно пункту 54 Правил определяется по формуле 20:

где:

- объем потребленной за расчетный период в i-м жилом или нежилом помещении горячей воды, определенный по показаниям индивидуального или общего (квартирного) прибора учета в i-м жилом или нежилом помещении. При отсутствии приборов учета объем потребленной горячей воды определяется:

в жилом помещении - исходя из нормативов потребления горячей воды в жилом помещении и количества граждан, постоянно и временно проживающих в i-м жилом помещении;

в нежилом помещении - из расчетного объема горячей воды, потребленной в нежилых помещениях, определяемого в соответствии с пунктом 43 Правил;

- тариф на холодную воду, установленный в соответствии с законодательством Российской Федерации;

- удельный расход v-го коммунального ресурса на подогрев воды, утвержденный в соответствии с законодательством Российской Федерации уполномоченным органом норматив расхода v-ro коммунального ресурса на подогрев воды в целях предоставления коммунальной услуги по горячему водоснабжению. При наличии коллективного (общедомового) прибора учета v-го коммунального ресурса, использованного за расчетный период на производство тепловой энергии в целях предоставления коммунальной услуги по отоплению и подогреву воды в целях предоставления коммунальной услуги по горячему водоснабжению, потребленной в жилых и нежилых помещениях и на общедомовые нужды многоквартирного дома, определяется по формуле 20(1):

где:

- объем v-го коммунального ресурса, использованного за расчетный период на производство тепловой энергии в целях предоставления коммунальной услуги по отоплению и на подогрев воды в целях предоставления коммунальной услуги по горячему водоснабжению, потребленной в жилых и нежилых помещениях и на общедомовые нужды многоквартирного дома;

- количество произведенной тепловой энергии в целях предоставления коммунальной услуги по отоплению и на подогрев воды в целях предоставления коммунальной услуги по горячему водоснабжению, потребленной в жилых и нежилых помещениях и на общедомовые нужды многоквартирного дома, определяемое в соответствии с пунктом 54 Правил;

- норматив расхода тепловой энергии, используемой на подогрев воды в целях предоставления коммунальной услуги по горячему водоснабжению;

- тариф на v-й коммунальный ресурс, установленный в соответствии с законодательством Российской Федерации.";

дополнить пунктом 22(1) следующего содержания:

"22(1). Размер платы за коммунальную услугу по горячему водоснабжению, предоставленную на общедомовые нужды в многоквартирном доме, для i-го жилого помещения (квартиры) или нежилого помещения определяется по формуле 20(2):

- объем горячей воды, предоставленной за расчетный период на общедомовые нужды в многоквартирном доме, приходящийся на i-e жилое или нежилое помещение, определяется:

при наличии коллективного (общедомового) прибора учета горячей воды - по формуле 12, предусмотренной настоящим приложением;

при отсутствии коллективного (общедомового) прибора учета горячей воды - исходя из норматива потребления коммунальной услуги по горячему водоснабжению на общедомовые нужды;

при наличии коллективного (общедомового) прибора учета холодной воды, подаваемой в многоквартирный дом в целях предоставления коммунальных услуг по холодному и горячему водоснабжению, - по формуле 11(2), предусмотренной настоящим приложением.";

дополнить пунктом 23(1) следующего содержания:

"23(1). Размер платы за коммунальную услугу по горячему водоснабжению, предоставленную на общедомовые нужды в многоквартирном доме, для j-й комнаты i-го жилого помещения (квартиры) определяется по формуле 21(1):

где:

- размер платы за коммунальную услугу по горячему водоснабжению, предоставленную на общедомовые нужды в многоквартирном доме, для i-ro жилого помещения (квартиры), определенный в соответствии с формулой 20(2), предусмотренной настоящим приложением;

- площадь j-й комнаты в i-й коммунальной квартире;

- суммарная площадь жилых комнат в i-й коммунальной квартире.";

в пункте 25:

абзац третий подпункта "б" после слов "горячего водоснабжения" дополнить словами "(холодной воды, используемой в целях предоставления коммунальной услуги по горячему водоснабжению, и тепловой энергии, используемой на подогрев холодной воды в целях предоставления коммунальной услуги по горячему водоснабжению)";

после пункта 25 дополнить разделами VII и VIII следующего содержания:

"VII. Расчет размера платы за коммунальную услугу по горячему водоснабжению, предоставленную потребителю за расчетный период в i-м жилом помещении (жилом доме, квартире) или нежилом помещении и на общедомовые нужды, в случае установления двухкомпонентных тарифов на горячую воду

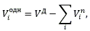
26. Размер платы за коммунальную услугу по горячему водоснабжению в i-м жилом или нежилом помещении определяется по формуле 23:

где:

- объем потребленной за расчетный период в i-м жилом или нежилом помещении горячей воды, определенный по показаниям индивидуального или общего (квартирного) прибора учета в i-м жилом или нежилом помещении. При отсутствии приборов учета объем потребленной горячей воды определяется:

в жилом помещении - исходя из нормативов потребления горячей воды в жилом помещении и количества граждан, постоянно и временно проживающих в i-м жилом помещении;

в нежилом помещении - из расчетного объема, определенного в соответствии с пунктом 43 Правил;

- компонент на холодную воду, являющийся составной частью установленного в соответствии с законодательством Российской Федерации тарифа на горячую воду (горячее водоснабжение);

- объем (количество) тепловой энергии, используемой на подогрев воды в целях предоставления коммунальной услуги по горячему водоснабжению за расчетный период в i-м жилом или нежилом помещении, рассчитывается как произведение и утвержденного норматива расхода тепловой энергии, используемой на подогрев воды в целях предоставления коммунальной услуги по горячему водоснабжению;

- компонент на тепловую энергию, являющийся составной частью установленного в соответствии с законодательством Российской Федерации тарифа на горячую воду (горячее водоснабжение).

27. Размер платы за коммунальную услугу по горячему водоснабжению, предоставленную на общедомовые нужды в многоквартирном доме для i-ro жилого помещения (квартиры) или нежилого помещения, в случае установления двухкомпонентных тарифов на горячую воду определяется по формуле 24:

где:

- объем горячей воды, потребленной за расчетный период на

общедомовые нужды, приходящийся на i-e жилое или нежилое помещение, который определяется:

при наличии коллективного (общедомового) прибора учета горячей воды - по формуле 12, предусмотренной настоящим приложением;

при отсутствии коллективного (общедомового) прибора учета горячей воды - по формуле 15, предусмотренной настоящим приложением;

- компонент на холодную воду, являющийся составной частью установленного в соответствии с законодательством Российской Федерации тарифа на горячую воду (горячее водоснабжение);

- объем (количество) тепловой энергии, используемой на подогрев воды в целях предоставления коммунальной услуги по горячему водоснабжению за расчетный период на общедомовые нужды, приходящийся на i-e жилое или нежилое помещение, определяется как произведение и утвержденного норматива расхода тепловой энергии, используемой на подогрев воды в целях предоставления коммунальной услуги по горячему водоснабжению;

- компонент на тепловую энергию, являющийся составной частью установленного в соответствии с законодательством Российской Федерации тарифа на горячую воду (горячее водоснабжение).

VIII. Расчет размера платы за коммунальную услугу по горячему водоснабжению, предоставленную потребителю за расчетный период в занимаемой им j-й комнате (комнатах) в i-й коммунальной квартире, в случае установления двухкомпонентных тарифов на горячую воду (горячее водоснабжение)

28. Размер платы за коммунальную услугу по горячему водоснабжению в j-й комнате (комнатах) в i-й коммунальной квартире определяется по формуле 25:

где:

- объем горячей воды, приходящийся на j-ю комнату i-й коммунальной квартиры, рассчитанный по формуле 26:

где:

- объем потребленной за расчетный период в i-й коммунальной квартире горячей воды, определенный в соответствии с пунктами 42 и 59 Правил;

- количество граждан, постоянно и временно проживающих в j-й принадлежащей потребителю (находящейся в его пользовании) комнате (комнатах) в i-й коммунальной квартире;

- количество граждан, постоянно и временно проживающих в i-й коммунальной квартире;

- объем (количество) потребленной за расчетный период в j-й комнате i-й коммунальной квартиры тепловой энергии, используемой на подогрев воды в целях предоставления коммунальной услуги по горячему водоснабжению, определяется по формуле 27:

где:

- объем (количество) потребленной за расчетный период в i-й коммунальной квартире тепловой энергии, используемой на подогрев воды в целях предоставления коммунальной услуги по горячему водоснабжению, определенный в соответствии с пунктом 26 настоящего приложения;

- компонент на холодную воду, являющийся составной частью установленного в соответствии с законодательством Российской Федерации тарифа на горячую воду (горячее водоснабжение);

- компонент на тепловую энергию, являющийся составной частью установленного в соответствии с законодательством Российской Федерации тарифа на горячую воду (горячее водоснабжение).

При отсутствии в i-й коммунальной квартире прибора учета горячей воды объем (количество) потребления в j-й комнате горячей воды и тепловой энергии, используемой на подогрев воды в целях предоставления коммунальной услуги по горячему водоснабжению, определяется исходя из количества граждан, постоянно и временно проживающих в j-й комнате i-й коммунальной квартиры, норматива потребления горячей воды и норматива расхода тепловой энергии, используемой на подогрев воды в целях предоставления коммунальной услуги по горячему водоснабжению.

29. Размер платы за коммунальную услугу по горячему водоснабжению, предоставленную на общедомовые нужды в многоквартирном доме, для j-й комнаты (комнат) в i-й коммунальной квартире в случае установления двухкомпонентных тарифов на горячую воду (горячее водоснабжение) определяется по формуле 28:

где:

- объем горячей воды, потребленной за расчетный период на общедомовые нужды, приходящийся на j-ю комнату в i-й коммунальной квартире, который определяется по формуле 29:

где:

- объем горячей воды, потребленной за расчетный период на общедомовые нужды, приходящийся на i-ю коммунальную квартиру, определенный в соответствии с пунктом 44 Правил и пунктом 27 настоящего приложения;

- площадь j-й комнаты в i-й коммунальной квартире;

- суммарная площадь жилых комнат в i-й коммунальной квартире;

- объем (количество) предоставленной на общедомовые нужды многоквартирного дома за расчетный период для j-й комнаты i-й коммунальной квартиры тепловой энергии, используемой на подогрев воды в целях предоставления коммунальной услуги по горячему водоснабжению, рассчитанный по формуле 30:

где:

- объем (количество) потребленной за расчетный период в i-й коммунальной квартире тепловой энергии, используемой на подогрев воды в целях предоставления коммунальной услуги по горячему водоснабжению, определенный в соответствии с пунктом 27 настоящего приложения;

- компонент на холодную воду, являющийся составной частью установленного в соответствии с законодательством Российской Федерации тарифа на горячую воду (горячее водоснабжение);

- компонент на тепловую энергию, являющийся составной частью установленного в соответствии с законодательством Российской Федерации тарифа на горячую воду (горячее водоснабжение).";

в примечании 1:

в подпункте "б":

в абзаце третьем слова "горячее водоснабжение," исключить;

дополнить текстом следующего содержания:

"в случае если не установлены двухкомпонентные тарифы на горячую воду - куб. метр на 1 человека;

в случае если установлены двухкомпонентные тарифы на горячую воду:

горячая вода - куб. метр на 1 человека;

тепловая энергия на подогрев воды в целях предоставления коммунальной услуги по горячему водоснабжению - Гкал/куб. метр;";

в подпункте "в":

абзац первый после слов "на коммунальные ресурсы" дополнить словами "(для двухкомпонентного тарифа на горячую воду - по компонентам)";

в абзаце третьем слова "горячая вода," исключить; дополнить абзацем следующего содержания:

"горячая вода:

компонент на холодную воду в целях предоставления коммунальной услуги по горячему водоснабжению - рублей/куб. метр;

компонент на тепловую энергию, используемую на подогрев воды в целях предоставления коммунальной услуги по горячему водоснабжению, - рублей/Гкал;".