Постановление Кабинета Министров Республики Татарстан от 31.05.2018 N 412

"Об условиях оплаты труда работников государственных образовательных организаций Республики Татарстан"
Редакция от 19.06.2025 — Действует с 20.06.2025
Показать изменения

Данный документ не поддерживается в сервисе Норматив.


КАБИНЕТ МИНИСТРОВ РЕСПУБЛИКИ ТАТАРСТАН

ПОСТАНОВЛЕНИЕ
от 31 мая 2018 г. N 412

ОБ УСЛОВИЯХ ОПЛАТЫ ТРУДА РАБОТНИКОВ ГОСУДАРСТВЕННЫХ ОБРАЗОВАТЕЛЬНЫХ ОРГАНИЗАЦИЙ РЕСПУБЛИКИ ТАТАРСТАН

(в ред. Постановлений Кабинета министров Республики Татарстан от 31.10.2018 N 965, от 29.12.2018 N 1262, от 06.05.2019 N 380, от 11.07.2019 N 565, от 28.08.2019 N 714, от 02.11.2019 N 1008, от 30.12.2019 N 1278, от 16.04.2020 N 294, от 21.05.2020 N 413, от 01.09.2020 N 772, от 23.10.2020 N 954, от 26.07.2021 N 645, от 06.09.2021 N 821, от 29.10.2021 N 1021, от 30.10.2021 N 1030, от 15.06.2022 N 566, от 22.09.2022 N 1027, от 11.03.2023 N 232, от 19.08.2023 N 989, от 16.10.2023 N 1312, от 31.10.2023 N 1377, от 07.11.2023 N 1431, от 11.05.2024 N 318, от 24.06.2024 N 454, от 25.09.2024 N 830, от 30.12.2024 N 1273, от 12.03.2025 N 149, от 21.04.2025 N 252, от 19.06.2025 N 444)

Кабинет Министров Республики Татарстан постановляет:

1. Утвердить прилагаемые:

Положение об условиях оплаты труда работников общеобразовательных организаций Республики Татарстан;

Положение об условиях оплаты труда работников дошкольных образовательных организаций Республики Татарстан;

Положение об условиях оплаты труда работников образовательных организаций дополнительного образования Республики Татарстан;

Положение об условиях оплаты труда работников государственных профессиональных образовательных организаций Республики Татарстан;

Положение об условиях оплаты труда работников профессиональных квалификационных групп общеотраслевых профессий рабочих, рабочих культуры, искусства и кинематографии, общеотраслевых должностей руководителей, специалистов и служащих образовательных организаций Республики Татарстан.

Положение об условиях оплаты труда работников государственных образовательных организаций высшего образования, осуществляющих образовательную деятельность по реализации образовательных программ высшего образования - программ бакалавриата, программ специалитета, программ магистратуры, и организаций дополнительного профессионального образования Республики Татарстан. (в ред. Постановления Кабинета министров Республики Татарстан от 11.07.2019 N 565)

2. Установить, что заработная плата работников государственных образовательных организаций Республики Татарстан, устанавливаемая в соответствии с пунктом 1 настоящего постановления, не может быть меньше заработной платы, выплачиваемой на основе системы оплаты труда, действовавшей на момент перехода на условия оплаты труда в соответствии с настоящим постановлением, при условии сохранения объема должностных обязанностей работников и выполнения ими работ той же квалификации.

3. Руководителям государственных образовательных организаций Республики Татарстан по согласованию с соответствующим профсоюзным органом работников:

внести соответствующие изменения в коллективные договоры, соглашения, локальные нормативные правовые акты, устанавливающие условия оплаты труда работников государственных образовательных организаций Республики Татарстан;

уведомить работников государственных образовательных организаций Республики Татарстан об изменении существенных условий труда не позднее чем за два месяца до введения системы оплаты труда, установленной настоящим постановлением.

4. Предложить органам местного самоуправления принять аналогичные решения по установлению с 1 сентября 2018 года условий оплаты труда для работников муниципальных образовательных организаций.

5. Установить, что:

пункт 1 настоящего постановления вступает в силу с 1 сентября 2018 года;

действие постановления Кабинета Министров Республики Татарстан от 24.08.2010 N 678 "Об условиях оплаты труда работников государственных учреждений Республики Татарстан" с 1 сентября 2018 года не распространяется на общеобразовательные организации, дошкольные образовательные организации, профессиональные образовательные организации и образовательные организации дополнительного образования, с 1 апреля 2019 года не распространяется на государственные образовательные организации высшего образования, осуществляющие образовательную деятельность по реализации образовательных программ высшего образования - программ бакалавриата, программ специалитета, программ магистратуры, и организации дополнительного профессионального образования Республики Татарстан. (в ред. Постановления Кабинета министров Республики Татарстан от 11.07.2019 N 565)

6. Контроль за исполнением настоящего постановления возложить на Министерство образования и науки Республики Татарстан и Министерство труда, занятости и социальной защиты Республики Татарстан.

Премьер-министр
Республики Татарстан
А.В. ПЕСОШИН

УТВЕРЖДЕНО
Постановлением
Кабинета Министров
Республики Татарстан
от 31 мая 2018 г. N 412

ПОЛОЖЕНИЕ ОБ УСЛОВИЯХ ОПЛАТЫ ТРУДА РАБОТНИКОВ ОБЩЕОБРАЗОВАТЕЛЬНЫХ ОРГАНИЗАЦИЙ РЕСПУБЛИКИ ТАТАРСТАН

(в ред. Постановлений Кабинета министров Республики Татарстан от 24.06.2024 N 454, от 25.09.2024 N 830, от 30.12.2024 N 1273, от 12.03.2025 N 149, от 21.04.2025 N 252, от 19.06.2025 N 444)

I. Общие положения

1.1. Настоящее Положение определяет порядок формирования окладов работников общеобразовательных организаций Республики Татарстан (далее - общеобразовательные организации), условия и размеры выплат компенсационного и стимулирующего характера.

1.2. В настоящем Положении используются следующие основные понятия:

система оплаты труда - совокупность норм, определяющих условия и размеры оплаты труда работников общеобразовательных организаций, включая размеры тарифных ставок, окладов (должностных окладов), а также выплаты компенсационного и стимулирующего характера, установленных в соответствии с федеральным законодательством и законодательством Республики Татарстан;

базовый оклад - оклад работника общеобразовательной организации, установленный ему за исполнение трудовых (должностных) обязанностей за календарный месяц либо за норму труда (норму часов педагогической работы в неделю (в год) за ставку заработной платы) в зависимости от сложности выполняемых работ без учета выплат стимулирующего и компенсационного характера;

должностной оклад - фиксированный размер оплаты труда работника за исполнение трудовых (должностных) обязанностей определенной сложности за календарный месяц за фактически отработанное время без учета компенсационных и стимулирующих выплат;

заработная плата (оплата труда работника) - вознаграждение за труд в зависимости от квалификации работника, сложности, количества, качества и условий выполняемой работы, а также компенсационные и стимулирующие выплаты;

выплаты стимулирующего характера - доплаты и надбавки стимулирующего характера, премии и иные поощрительные выплаты;

выплаты компенсационного характера - доплаты и надбавки компенсационного характера, в том числе за работу в условиях, отклоняющихся от нормальных, и иные выплаты компенсационного характера.

1.3. Заработная плата (оплата труда работника) работников профессиональных квалификационных групп должностей работников образования, работников, занятых в

сфере культуры, искусства и кинематографии, работников профессиональных квалификационных групп должностей медицинских и фармацевтических работников общеобразовательных организаций (далее соответственно - работники образования, работники культуры, медицинские работники) определяется исходя из:

должностных окладов;

выплат стимулирующего характера;

выплат компенсационного характера.

1.4. При наступлении у работника права на изменение размера оплаты труда в связи с увеличением стажа работы по профилю, с присвоением квалификационной категории, присвоением почетного звания, награждением ведомственными знаками отличия, в период пребывания в ежегодном или ином отпуске, в период его временной нетрудоспособности, а также в другие периоды, в течение которых за ним сохраняется средняя заработная плата, изменения размера оплаты его труда осуществляются по окончании указанных периодов.

1.5. Руководители общеобразовательных организаций:

проверяют документы об образовании и стаже педагогической работы (работы по специальности, в определенной должности) на соответствие квалификационным характеристикам, которые определены приказом Министерства здравоохранения и социального развития Российской Федерации от 26 августа 2010 г. N 761н "Об утверждении Единого квалификационного справочника должностей руководителей, специалистов и служащих, раздел "Квалификационные характеристики должностей работников образования";

ежегодно составляют и утверждают на работников общеобразовательных организаций тарификационные списки;

несут ответственность за своевременное и правильное определение размеров заработной платы работников общеобразовательных организаций.

II. Определение базовых окладов работников общеобразовательных организаций (в ред. Постановления Кабинета министров Республики Татарстан от 21.04.2025 N 252)

2.1. Базовые оклады работников образования общеобразовательных организаций устанавливаются в следующих размерах:

Квалификационный уровеньНаименование должностиРазмер базового оклада в месяц, рублей
123
Профессиональная квалификационная группа учебно-вспомогательного персонала первого уровня
Первый квалификационный уровеньВожатый23 600
Помощник воспитателя
Секретарь учебной части
Профессиональная квалификационная группа учебно-вспомогательного персонала второго уровня
Первый квалификационный уровеньДежурный по режиму23 720
Младший воспитатель
Второй квалификационный уровеньДиспетчер образовательной организации23 950
Старший дежурный по режиму
Профессиональная квалификационная группа должностей педагогических работников
Первый квалификационный уровеньИнструктор по труду24 900
Инструктор по физической культуре
Музыкальный руководитель
Старший вожатый
Второй квалификационный уровеньКонцертмейстер25 000
Педагог дополнительного образования
Педагог-организатор
Социальный педагог
Тренер-преподаватель
Инструктор-методист
Третий квалификационный уровеньВоспитатель25 140
Мастер производственного обучения
Педагог-психолог
Старший инструктор-методист
Старший педагог дополнительного образования
Старший тренер-преподаватель
Методист
Четвертый квалификационный уровеньПреподаватель (кроме должностей преподавателей, отнесенных к профессорско-преподавательскому составу)25 250
Преподаватель-организатор основ безопасности и защиты Родины
Руководитель физического воспитания
Учитель
Старший воспитатель
Старший методист
Тьютор (за исключением тьютора, занятого в сфере высшего и дополнительного профессионального образования)
Учитель-дефектолог
Учитель-логопед (логопед)
Педагог-библиотекарь
Профессиональная квалификационная группа должностей руководителей структурных подразделений
Первый квалификационный уровеньЗаведующий (начальник) структурным подразделением: кабинетом, лабораторией, отделом, отделением, сектором, учебно-консультационным пунктом, учебной (учебно-производственной) мастерской и другими структурными подразделениями, реализующими общеобразовательную программу и образовательную программу дополнительного образования детей (кроме должностей руководителей структурных подразделений, отнесенных ко второму квалификационному уровню)25 300
Второй квалификационный уровеньЗаведующий (начальник) обособленным структурным подразделением, реализующим образовательную программу и образовательную программу дополнительного образования детей, начальник (заведующий, директор, руководитель, управляющий) кабинета, лаборатории, отдела, отделения, сектора, учебно-консультационного пункта, учебной (учебно-производственной) мастерской, учебного хозяйства и других25 350

2.2. Базовые оклады работников культуры общеобразовательных организаций устанавливаются в следующих размерах:

Наименование должностиРазмер базового оклада в месяц, рублей
12
Профессиональная квалификационная группа "Должности работников культуры, искусства и кинематографии среднего звена"
Аккомпаниатор24 950
Культорганизатор
Профессиональная квалификационная группа "Должности работников культуры, искусства и кинематографии ведущего звена"
Библиотекарь25 450
Звукооператор
Ведущий библиотекарь
Художник-декоратор
Главный библиотекарь
Профессиональная квалификационная группа "Должности руководящего состава учреждений культуры, искусства и кинематографии"
Заведующий отделом (сектором) библиотеки26 650
Заведующий отделом (сектором) музея

2.3. Базовые оклады медицинских работников общеобразовательных организаций устанавливаются в следующих размерах:

Квалификационный уровеньНаименование должностиРазмер базового оклада в месяц, рублей
123
Профессиональная квалификационная группа "Медицинский и фармацевтический персонал первого уровня"
Первый квалификационный уровеньМладшая медицинская сестра по уходу за больными (младший медицинский брат по уходу за больными)23 320
Профессиональная квалификационная группа "Средний медицинский и фармацевтический персонал"
Первый квалификационный уровеньИнструктор по лечебной физкультуре24 240
Второй квалификационный уровеньМедицинская сестра диетическая (медицинский брат диетический)24 740
Третий квалификационный уровеньМедицинская сестра (медицинский брат)25 240
Медицинская сестра по физиотерапии (медицинский брат по физиотерапии)
Медицинская сестра по массажу (медицинский брат по массажу)
Четвертый квалификационный уровеньФельдшер25 940
Медицинская сестра процедурной (медицинский брат процедурной
Пятый квалификационный уровеньСтаршая медицинская сестра (старший медицинский брат)26 940
Заведующий здравпунктом - фельдшер (медицинская сестра (медицинский брат)
Профессиональная квалификационная группа должностей "Врачи и провизоры"
Второй квалификационный уровеньВрачи-специалисты (кроме врачей-специалистов, отнесенных к третьему и четвертому квалификационным уровням)29 170

III. Норма часов за ставку заработной платы (базовый оклад) и нормативное количество объемных показателей работников образования

3.1. Продолжительность рабочего времени (нормы часов педагогической работы за ставку заработной платы) определена приказом Министерства образования и науки Российской Федерации от 22 декабря 2014 г. N 1601 "О продолжительности рабочего времени (нормах часов педагогической работы за ставку заработной платы) педагогических работников и о порядке определения учебной нагрузки педагогических работников, оговариваемой в трудовом договоре".

Продолжительность рабочего времени (норма часов за ставку заработной платы) для педагогических работников общеобразовательных организаций устанавливается исходя из сокращенной продолжительности рабочего времени не более 36 часов в неделю, которая включает преподавательскую (учебную) работу, воспитательную, а также другую педагогическую работу, предусмотренную должностными обязанностями и режимом рабочего времени, утвержденными в установленном порядке.

3.2. Норма часов за ставку заработной платы устанавливается:

руководителям физического воспитания, преподавателям-организаторам основ безопасности и защиты Родины - в объеме 360 часов в год; (в ред. Постановления Кабинета министров Республики Татарстан от 19.06.2025 N 444)

директорам начальных общеобразовательных организаций с количеством обучающихся до 50 человек (кроме начальных общеобразовательных организаций, закрепленных для прохождения педагогической практики студентов педагогических колледжей), вечерних (сменных) общеобразовательных организаций с количеством учащихся до 80 человек (в городах и поселках городского типа - до 100 человек) - в объеме 10 часов в неделю.

Продолжительность рабочего времени (нормы часов работы за ставку заработной платы) работников культуры, медицинских работников определяется Трудовым кодексом Российской Федерации.

3.3. Нормативное количество объемных показателей за час базовой ставки заработной платы (базового оклада), оказываемых работниками образования, составляет:

3.3.1. Преподавателям, учителям, инструкторам по труду, мастерам производственного обучения, руководителям физического воспитания, преподавателям-организаторам основ безопасности и защиты Родины: (в ред. Постановления Кабинета министров Республики Татарстан от 19.06.2025 N 444)

25 человек - в классах городских общеобразовательных организаций (в том числе гимназий, лицеев, вечерних (сменных) общеобразовательных школ), реализующих общеобразовательную программу и общеобразовательную программу, обеспечивающую дополнительную (углубленную) подготовку обучающихся по одному или нескольким предметам;

20 человек - в классах общеобразовательных организаций, имеющих интернат, начального общего, основного общего и среднего общего образования, в том числе с углубленным изучением отдельных предметов, гимназий-интернатов, лицеев-интернатов, городских санаторных образовательных организаций, имеющих интернат, городских санаторно-лесных школ, кадетских школ, кадетских школ, имеющих интернат;

15 человек - в классах сельских санаторных образовательных организаций, имеющих интернат, и сельских санаторно-лесных школ, сельских вечерних (сменных) общеобразовательных школ, реализующих общеобразовательную программу и общеобразовательную программу, обеспечивающую дополнительную (углубленную) подготовку обучающихся по одному или нескольким предметам;

14 человек - в классах сельских общеобразовательных организаций (в том числе гимназий и лицеев), реализующих общеобразовательную программу и общеобразовательную программу, обеспечивающую дополнительную (углубленную) подготовку обучающихся по одному или нескольким предметам;

10 человек - в классах (группах) специальных общеобразовательных школ (учебно-воспитательных учреждений для обучающихся с девиантным поведением);

9 человек - в группах с заочной формой обучения вечерних (сменных) общеобразовательных школ.

При проведении занятий по иностранному языку, родному языку и литературе, русскому языку и литературе в общеобразовательных организациях с национальным языком обучения на первой, второй и третьей ступенях общего образования, трудовому обучению на второй и третьей ступенях общего образования, физической культуре на третьей ступени общего образования, по информатике и вычислительной технике, физике и химии (во время практических занятий) допускается деление класса на две группы: в городских общеобразовательных организациях, если наполняемость класса составляет 25 человек, и в сельских - не менее 20 человек.

3.3.2. Преподавателям, учителям, инструкторам по труду, мастерам производственного обучения, руководителям физического воспитания, преподавателям-организаторам основ безопасности и защиты Родины, педагогам дополнительного образования, учителям-дефектологам, учителям-логопедам, воспитателям групп продленного дня, работающим непосредственно с обучающимися (воспитанниками) с ограниченными возможностями здоровья: (в ред. Постановления Кабинета министров Республики Татарстан от 19.06.2025 N 444)

5 человек - для общеобразовательных организаций, специальных (коррекционных) классов в общеобразовательных организациях:

I вида - для глухих детей с задержкой психического развития или умственной отсталостью;

II вида - для слабослышащих и позднооглохших детей с глубоким недоразвитием речи, обусловленным нарушением слуха, и умственной отсталостью;

II вида - для слабослышащих и позднооглохших детей с глубоким недоразвитием речи, обусловленным нарушением слуха, и задержкой психического развития;

III вида - для слепых детей с задержкой психического развития;

III вида - для слепых детей с умственной отсталостью;

IV вида - для слабовидящих и поздноослепших детей с умственной отсталостью;

VI вида - для детей, имеющих нарушения опорно-двигательного аппарата и умственную отсталость;

6 человек - для общеобразовательных организаций, специальных (коррекционных) классов в общеобразовательных организациях:

I вида - для глухих детей;

II вида - для слабослышащих и позднооглохших детей с глубоким недоразвитием речи, обусловленным нарушением слуха;

8 человек - для общеобразовательных организаций III вида для слепых детей, для общеобразовательных организаций для детей и подростков с ограниченными возможностями здоровья (задержкой психического развития и легкими формами умственной отсталости), совершивших общественно опасные деяния;

10 человек - для общеобразовательных организаций, специальных (коррекционных) классов в общеобразовательных организациях:

II вида - для слабослышащих и позднооглохших с легким недоразвитием речи, обусловленным нарушением слуха;

VI вида - для детей, имеющих нарушения опорно-двигательного аппарата;

VIII вида - для глубоко умственно отсталых детей;

12 человек - для общеобразовательных организаций, специальных (коррекционных) классов в общеобразовательных организациях:

IV вида - для слабовидящих и поздноослепших детей;

V вида - для детей, имеющих тяжелые нарушения речи;

VII вида - для детей, имеющих задержку психического развития;

VIII вида - для умственно отсталых детей;

20 человек - для санаторных образовательных организаций для детей, нуждающихся в длительном лечении, находящихся в городской местности;

15 человек-для санаторных образовательных организаций для детей, нуждающихся в длительном лечении, находящихся в сельской местности.

При проведении занятий по трудовому обучению, социально-бытовой ориентировке, факультативных занятий класс (группа) делится на две подгруппы. При делении класса (группы) на подгруппы учитывается профиль трудового обучения для девочек и мальчиков, а также вид общеобразовательной организации.

3.3.3. Воспитателям групп продленного дня образовательных организаций - 25 человек.

3.3.4. Воспитателям общеобразовательных организаций, воспитателям образовательных организаций, имеющих интернат, образовательных организаций для детей-сирот и детей, оставшихся без попечения родителей, интернатов при общеобразовательных организациях:

20 человек - в интернате при общеобразовательной организации, в общеобразовательной организации, имеющей интернат;

10 человек - в городской санаторной образовательной организации для детей, нуждающихся в длительном лечении;

7 человек - в сельской санаторной образовательной организации для детей, нуждающихся в длительном лечении;

5 человек - для специальной общеобразовательной школы (учебно-воспитательной организации для обучающихся с девиантным поведением), общеобразовательной организации, имеющей интернат:

I вида - для глухих детей с задержкой психического развития или умственной отсталостью;

II вида - для слабослышащих и позднооглохших детей с глубоким недоразвитием речи, обусловленным нарушением слуха, и умственной отсталостью;

II вида - для слабослышащих и позднооглохших детей с глубоким недоразвитием речи, обусловленным нарушением слуха, и задержкой психического развития;

III вида - для слепых детей с задержкой психического развития;

III вида - для слепых детей с умственной отсталостью;

IV вида - для слабовидящих и поздноослепших детей с умственной отсталостью;

VI вида - для детей, имеющих нарушения опорно-двигательного аппарата и задержку психического развития;

VI вида - для детей, имеющих нарушения опорно-двигательного аппарата и умственную отсталость;

4 человека - для общеобразовательных организаций для детей и подростков с ограниченными возможностями здоровья (задержкой психического развития и легкими формами умственной отсталости), совершивших общественно опасные деяния;

6 человек - для общеобразовательной организации, имеющей интернат:

I вида - для глухих детей;

II вида - для слабослышащих и позднооглохших детей с глубоким недоразвитием речи, обусловленным нарушением слуха;

8 человек - для общеобразовательных организаций III вида для слепых детей;

10 человек - для общеобразовательных организаций, специальных (коррекционных) классов в общеобразовательных организациях:

II вида - для слабослышащих и позднооглохших детей с легким недоразвитием речи, обусловленным нарушением слуха;

VI вида - для детей, имеющих нарушения опорно-двигательного аппарата;

VIII вида - для глубоко умственно отсталых детей;

12 человек - для общеобразовательной организации, имеющей интернат:

VI вида - для слабовидящих и поздноослепших детей;

V вида - для детей, имеющих тяжелые нарушения речи;

VII вида - для детей, имеющих задержку психического развития;

VIII вида - для умственно отсталых детей.

3.3.5. Старшим воспитателям, воспитателям, музыкальным руководителям, учителям-дефектологам, учителям-логопедам, педагогам-психологам, младшим воспитателям, помощникам воспитателей, работающим непосредственно с обучающимися (воспитанниками) дошкольного возраста:

в группах общеразвивающей направленности (включая разновозрастные):

от двух месяцев до трех лет - 15 детей;

от трех лет до прекращения образовательных отношений - 20 детей;

в группах в форме семейного образования - 7 детей;

в группах компенсирующей направленности для детей до трех лет и старше трех лет:

для детей с тяжелыми нарушениями речи - 6 и 10 детей соответственно;

для детей с фонетико-фонематическими нарушениями речи в возрасте старше трех лет - 12 детей;

для глухих детей - 6 детей для обеих возрастных групп;

для слабослышащих детей - 6 и 8 детей соответственно;

для слепых детей - 6 детей для обеих возрастных групп;

для слабовидящих детей, детей с амблиопией, косоглазием - 6 и 10 детей соответственно;

для детей с нарушениями опорно-двигательного аппарата - 6 и 8 детей соответственно;

для детей с задержкой психического развития, для детей с умственной отсталостью легкой степени - 6 и 10 детей соответственно;

для детей с умственной отсталостью умеренной, тяжелой степени в возрасте старше трех лет - 8 детей;

для детей с расстройствами аутистического спектра - 5 детей для обеих возрастных групп;

для детей со сложными дефектами (имеющих сочетание двух или более недостатков в физическом и (или) психическом развитии) - 5 детей для обеих возрастных групп;

в группах комбинированной направленности:

в возрасте до трех лет - не более 10 детей, в том числе не более 3 детей с ограниченными возможностями здоровья;

в возрасте старше трех лет:

не более 10 детей, в том числе не более 3 глухих детей, или слепых детей, или детей с нарушениями опорно-двигательного аппарата, или детей с умственной отсталостью умеренной, тяжелой степени, или детей с расстройствами аутистического спектра, или детей со сложным дефектом;

не более 15 детей, в том числе не более 4 слабовидящих, и (или) детей с амблиопией, и (или) косоглазием, или слабослышащих детей, или детей, имеющих тяжелые нарушения речи, или детей с умственной отсталостью легкой степени;

не более 17 детей, в том числе не более 5 детей с задержкой психического развития;

в группах оздоровительной направленности для детей до трех лет и старше трех лет:

для детей с туберкулезной интоксикацией - 10 и 15 детей соответственно;

для часто болеющих детей и других категорий детей, которым необходим комплекс специальных оздоровительных мероприятий, - 10 и 15 детей соответственно.

3.3.6. Педагогам дополнительного образования, тренерам-преподавателям:

15 человек - в общеобразовательных организациях городской местности;

10 человек - в общеобразовательных организациях сельской местности.

IV. Порядок формирования должностных окладов работников общеобразовательных организаций

4.1. Должностной оклад работников общеобразовательных организаций (Od) рассчитывается по формуле:

,

где:

Оb - размер базового оклада работников общеобразовательных организаций, принимаемый в соответствии с разделом II настоящего Положения;

Hf - фактическое количество часов работы в общеобразовательных организациях;

HN - норма часов за ставку заработной платы работников общеобразовательных организаций, установленная разделом III настоящего Положения;

Р - компенсация на обеспечение книгоиздательской продукцией и периодическими изданиями в размере 100 рублей устанавливается педагогическим работникам, входящим в профессиональную квалификационную группу должностей педагогических работников, пропорционально ставке, но не более чем на одну ставку по основному месту работы.

V. Выплаты стимулирующего характера

5.1. К выплатам стимулирующего характера относятся выплаты, направленные на стимулирование работника к качественному результату труда, а также поощрение за выполненную работу.

5.1.1. Выплаты стимулирующего характера включают в себя:

выплаты за квалификационную категорию;

выплаты за наличие почетных званий и ведомственных наград;

выплаты за стаж работы по профилю;

выплаты за интенсивность труда;

выплаты за работу в сельской местности;

премиальные и иные поощрительные выплаты;

выплаты за качество выполняемых работ.

5.2. Размеры и порядок установления выплат стимулирующего характера работникам образования общеобразовательных организаций:

5.2.1. Выплаты за квалификационную категорию предоставляются работникам профессиональных квалификационных должностных групп педагогических работников и руководителей структурных подразделений при наличии у них действующей квалификационной категории в пределах срока действия квалификационной категории. (в ред. Постановления Кабинета министров Республики Татарстан от 30.12.2024 N 1273)

Установление (изменение) выплат за квалификационную категорию производится со дня принятия положительного решения соответствующей аттестационной комиссией. (в ред. Постановления Кабинета министров Республики Татарстан от 30.12.2024 N 1273)

Выплаты за квалификационную категорию () предоставляются работникам профессиональных квалификационных должностных групп педагогических работников и руководителей структурных подразделений, реализующих программы начального общего, основного общего, среднего общего образования, и рассчитываются по формуле: (в ред. Постановления Кабинета министров Республики Татарстан от 30.12.2024 N 1273)

,

(в ред. Постановления Кабинета министров Республики Татарстан от 30.12.2024 N 1273)

где: (в ред. Постановления Кабинета министров Республики Татарстан от 30.12.2024 N 1273)

- должностной оклад работников образования общеобразовательных организаций, реализующих программы начального общего, основного общего, среднего общего образования; (в ред. Постановления Кабинета министров Республики Татарстан от 30.12.2024 N 1273)

- размер надбавки за квалификационную категорию, который приведен в таблице 1. (в ред. Постановления Кабинета министров Республики Татарстан от 30.12.2024 N 1273)

Таблица 1

Размеры надбавок за квалификационную категорию работникам образования, реализующим программы начального общего, основного общего, среднего общего образования

(в ред. Постановления Кабинета министров Республики Татарстан от 30.12.2024 N 1273)

Квалификационный уровеньКвалификационная категорияРазмер надбавки, процентов
Профессиональная квалификационная группа должностей педагогических работников
Первыйпервая квалификационная категория10,0
высшая квалификационная категория22,0
Второйпервая квалификационная категория12,0
высшая квалификационная категория24,0
Третийпервая квалификационная категория12,0
высшая квалификационная категория24,0
Четвертыйпервая квалификационная категория12,0
высшая квалификационная категория24,0
Профессиональная квалификационная группа должностей руководителей структурных подразделений
Первыйпервая квалификационная категория12,0
высшая квалификационная категория24,0
Второйпервая квалификационная категория12,0
высшая квалификационная категория24,0
Третийпервая квалификационная категория12,0
высшая квалификационная категория24,0

Выплаты за квалификационную категорию () предоставляются работникам профессиональных квалификационных должностных групп педагогических работников и руководителей структурных подразделений, реализующих программы дошкольного образования в общеобразовательных организациях, и рассчитываются по формуле: (в ред. Постановления Кабинета министров Республики Татарстан от 30.12.2024 N 1273)

,

(в ред. Постановления Кабинета министров Республики Татарстан от 30.12.2024 N 1273)

где: (в ред. Постановления Кабинета министров Республики Татарстан от 30.12.2024 N 1273)

- должностной оклад работников образования общеобразовательных организаций, реализующих программы дошкольного образования; (в ред. Постановления Кабинета министров Республики Татарстан от 30.12.2024 N 1273)

- размер надбавки за квалификационную категорию, который приведен в таблице 1.1. (в ред. Постановления Кабинета министров Республики Татарстан от 30.12.2024 N 1273)

Таблица 1.1

Размеры надбавок за квалификационную категорию работникам образования, реализующим программы дошкольного образования

(в ред. Постановления Кабинета министров Республики Татарстан от 30.12.2024 N 1273)

Квалификационный уровеньКвалификационная категорияРазмер надбавки, процентов
Профессиональная квалификационная группа должностей педагогических работников
Первыйпервая квалификационная категория25,0
высшая квалификационная категория30,0
Второйпервая квалификационная категория26,0
высшая квалификационная категория31,0
Третийпервая квалификационная категория27,0
высшая квалификационная категория32,0
Четвертыйпервая квалификационная категория28,0
высшая квалификационная категория33,0
Профессиональная квалификационная группа должностей руководителей структурных подразделений
Первыйпервая квалификационная категория28,0
высшая квалификационная категория34,0
Второйпервая квалификационная категория28,0
высшая квалификационная категория34,0
Третийпервая квалификационная категория28,0
высшая квалификационная категория34,0

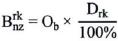
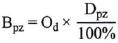
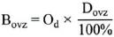
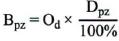
5.2.2. Выплаты за наличие почетных званий и ведомственных наград (Врz), предоставляются по должностям работников образования, входящим в профессиональные квалификационные группы должностей учебно-вспомогательного персонала первого и второго уровней, педагогических работников и руководителей структурных подразделений и рассчитываются по формуле:

,

где:

Od - должностной оклад работников образования общеобразовательных организаций;

Dpz - размер надбавки за наличие почетных званий и ведомственных наград.

Размер надбавки за наличие почетных званий Российской Федерации, Союза Советских Социалистических Республик, союзных республик в составе Союза Советских Социалистических Республик составляет 7 процентов.

Размер надбавки за наличие почетных званий Республики Татарстан (Татарской Автономной Советской Социалистической Республики) составляет 6 процентов.

Размер надбавки за наличие ведомственных наград Российской Федерации, ведомственных наград Российской Советской Федеративной Социалистической Республики, ведомственных наград Республики Татарстан, ведомственных наград Союза Советских Социалистических Республик, ведомственных наград союзных республик в составе Союза Советских Социалистических Республик составляет 4 процента.

Размер надбавки за наличие Почетной грамоты Министерства просвещения Российской Федерации (Министерства образования и науки Российской Федерации, Министерства образования Российской Федерации) составляет 2 процента. Надбавка за наличие Почетной грамоты Министерства просвещения Российской Федерации (Министерства образования и науки Российской Федерации, Министерства образования Российской Федерации) устанавливается работникам образования, награждаемым приказом Министра просвещения Российской Федерации (Министра образования и науки Российской Федерации, Министра образования Российской Федерации) в соответствии с Порядком награждения ведомственными наградами Министерства просвещения Российской Федерации (Министерства образования и науки Российской Федерации, Министерства образования Российской Федерации).

Размер надбавки за наличие нагрудного знака "За заслуги в образовании", знака отличия "Почетный наставник", знака отличия "Отличник сферы образования и науки Республики Татарстан", нагрудного знака "За сохранение и развитие языков, культур, традиций", нагрудного знака "Яшь могаллим" составляет 2 процента. Надбавка за наличие нагрудного знака Республики Татарстан "За заслуги в образовании", знака отличия "Почетный наставник", знака отличия "Отличник сферы образования и науки Республики Татарстан", нагрудного знака "За сохранение и развитие языков, культур, традиций", нагрудного знака "Яшь могаллим" устанавливается на основании приказа министра образования и науки Республики Татарстан (министра образования Республики Татарстан).

Перечень почетных званий и ведомственных наград, за наличие которых работникам образования предоставляются соответствующие выплаты, приведен в приложении N 1 к настоящему Положению.

Установление размеров выплат за наличие почетных званий и ведомственных наград производится со дня присвоения почетного звания. Работникам, имеющим два и более почетных звания и (или) две и более ведомственные награды, выплата устанавливается по одному из оснований по выбору работника.

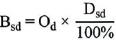
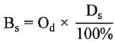
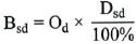
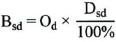
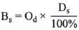
5.2.3. Выплаты за стаж работы по профилю (Bs) устанавливаются по группам по стажу в разрезе профессиональных квалификационных групп и квалификационных уровней в зависимости от продолжительности работы по профилю и рассчитываются по формуле:

,

где:

Od - должностной оклад работников образования общеобразовательных организаций;

Ds - размер надбавки за стаж работы по профилю, который приведен в таблице 2.

Таблица 2

Размеры надбавок за стаж работы по профилю

Наименование профессиональной квалификационной группыКвалификационный уровеньГруппа по стажуРазмер надбавки, процентов
Должности учебно-вспомогательного персонала второго уровняпервый - второйот 4 до 10 лет1,0
от 10 до 15 лет2,0
свыше 15 лет3,0
Должности педагогических работниковпервый - четвертыйот 2 до 6 лет2,0
от 6 до 10 лет3,0
от 10 до 15 лет3,5
свыше 15 лет4,0
Должности руководителей структурных подразделенийпервый - третийот 2 до 6 лет2,0
от 6 до 10 лет3,0
от 10 до 15 лет3,5
свыше 15 лет4,0

5.2.4. Установление (изменение) размеров выплат за стаж работы по профилю при изменении стажа работы производится со дня достижения стажа, дающего право на увеличение размера выплат за стаж работы, если документы, подтверждающие стаж, находятся в общеобразовательной организации, или со дня представления необходимого документа, подтверждающего стаж.

5.2.5. В стаж педагогической работы засчитывается педагогическая, руководящая и методическая работа в образовательных и других организациях согласно таблице 3.

Таблица 3

Перечень организаций и должностей, время работы, в которых засчитывается в педагогический стаж работников образования

Наименование организацииНаименование должности
12
Образовательные организации, в том числе образовательные организации высшего образования, военные образовательные организации высшего образования и военные профессиональные образовательные организации, организации дополнительного профессионального образования (повышения квалификации специалистов); медицинские организации и организации социального обслуживания: дома ребенка, детские: санатории, клиники, поликлиники, больницы и др.Учителя, преподаватели, учителя-дефектологи, учителя-логопеды (логопеды), преподаватели-организаторы основ безопасности и защиты Родины, руководители физического воспитания, старшие мастера, мастера производственного обучения (в том числе обучения вождению транспортных средств, работе на сельскохозяйственных машинах, работе на пишущих машинах и другой организационной технике), старшие методисты, методисты, старшие инструкторы-методисты, инструкторы-методисты (в том числе по физической культуре и спорту, по туризму), концертмейстеры, музыкальные руководители, старшие воспитатели, воспитатели, классные воспитатели, социальные педагоги, педагоги-психологи, педагоги-организаторы, педагоги дополнительного образования, старшие тренеры-преподаватели, тренеры-преподаватели, старшие вожатые (пионервожатые), инструкторы по физкультуре, инструкторы по труду, директора (начальники, заведующие), заместители директоров (начальников, заведующих) по учебной, учебно-воспитательной, учебно-производственной, воспитательной, культурно-воспитательной работе, по производственному обучению (работе), по иностранному языку, по учебно-летной подготовке, по общеобразовательной подготовке, по режиму, заведующие учебной частью, заведующие (начальники): практикой, учебно-консультационными пунктами, логопедическими пунктами, интернатами, отделениями, отделами, лабораториями, кабинетами, секциями, филиалами, курсов и другими структурными подразделениями, деятельность которых связана с образовательным (воспитательным) процессом, методическим обеспечением; старшие дежурные по режиму, дежурные по режиму, аккомпаниаторы, культорганизаторы, экскурсоводы; профессорско-преподавательский состав
(в ред. Постановления Кабинета министров Республики Татарстан от 19.06.2025 N 444)
Методические (учебно-методические) организации всех наименований (независимо от ведомственной подчиненности)Руководители, их заместители, заведующие: секторами, кабинетами, лабораториями, отделами; научные сотрудники, деятельность которых связана с методическим обеспечением; старшие методисты, методисты
Органы управления образованием и органы (структурные подразделения), осуществляющие руководство образовательными организациямиРуководящие, инспекторские, методические должности, инструкторские, а также другие должности специалистов (за исключением работы на должностях, связанных с экономической, финансовой, хозяйственной деятельностью, со строительством, снабжением, делопроизводством)
Отделы (бюро) технического обучения, отделы кадров организаций, подразделений министерств (ведомств), занимающихся вопросами подготовки и повышения квалификации кадров на производствеШтатные преподаватели, мастера производственного обучения рабочих на производстве, руководящие, инспекторские, инженерные, методические должности, деятельность которых связана с вопросами подготовки и повышения квалификации
Образовательные организации РОСТО (ДОСААФ) и гражданской авиацииРуководящий, командно-летный, командно-инструкторский, инженерно-инструкторский, инструкторский и преподавательский составы, мастера производственного обучения, инженеры-инструкторы-методисты, инженеры-летчики-методисты
Общежития организаций, жилищно-эксплуатационные организации, молодежные жилищные комплексы, детские кинотеатры, театры юного зрителя, кукольные театры, культурно-просветительские организации по работе с детьми и подросткамиВоспитатели, педагоги-организаторы, педагоги-психологи (психологи), преподаватели, педагоги дополнительного образования (руководители кружков) для детей и подростков, инструкторы и инструкторы-методисты, тренеры-преподаватели и другие специалисты по работе с детьми и подростками, заведующие детскими отделами, секторами
Исправительные колонии, воспитательные колонии, следственные изоляторы и тюрьмы, лечебно-исправительные организацииРабота (служба) при наличии педагогического образования на должностях: заместитель начальника по воспитательной работе, начальник отряда, старший инспектор, инспектор по общеобразовательной работе (обучению), старший инспектор-методист и инспектор-методист, старший инженер и инженер по производственно-техническому обучению, старший мастер и мастер производственного обучения, старший инспектор и инспектор по охране и режиму, заведующий учебно-техническим кабинетом, психолог

Примечание:

В стаж педагогической работы включаются:

время работы в качестве учителей-дефектологов, логопедов, воспитателей в медицинских организациях и организациях, осуществляющих социальное обслуживание для взрослых, методистов организационно-методического отдела организаций здравоохранения Республики Татарстан;

время работы в других организациях, службы в Вооруженных Силах СССР и Российской Федерации, обучения в образовательных организациях высшего образования и профессиональных образовательных организациях по программам подготовки специалистов среднего звена в следующем порядке:

педагогическим работникам в стаж педагогической работы засчитывается без всяких условий и ограничений:

время нахождения на военной службе по контракту из расчета один день военной службы за один день работы, а время нахождения на военной службе по призыву - один день военной службы за два дня работы;

время работы в должности заведующего фильмотекой и методиста фильмотеки;

педагогическим работникам в стаж педагогической работы засчитываются следующие периоды времени при условии, если этим периодам, взятым как в отдельности, так и в совокупности, непосредственно предшествовала и за ними непосредственно следовала педагогическая деятельность:

время службы в Вооруженных Силах СССР и Российской Федерации на должностях офицерского, сержантского, старшинского составов, прапорщиков и мичманов (в том числе в войсках МВД, в войсках и органах безопасности), кроме времени нахождения на военной службе по контракту и по призыву;

время работы на руководящих, инспекторских, инструкторских и других должностях специалистов в аппаратах территориальных организаций (комитетах, советах) профсоюза работников народного образования и науки Российской Федерации (просвещения, высшей школы и научных организаций);

на выборных должностях в профсоюзных органах;

на инструкторских и методических должностях в педагогических обществах и правлениях Детского фонда;

в должности директора (заведующего) Дома учителя (работника народного образования, профтехобразования);

комиссиях по делам несовершеннолетних и защите их прав или в отделах социально-правовой охраны несовершеннолетних, в подразделениях по предупреждению правонарушений (инспекциях по делам несовершеннолетних, детских комнатах милиции) органов внутренних дел.

5.2.6. В стаж педагогической работы отдельных категорий педагогических работников засчитывается время работы в организациях и время службы в Вооруженных Силах СССР и Российской Федерации по специальности (профессии), соответствующей профилю работы в образовательной организации или профилю преподаваемого предмета (курса, дисциплины, кружка):

преподавателям-организаторам основ безопасности и защиты Родины; (в ред. Постановления Кабинета министров Республики Татарстан от 19.06.2025 N 444)

учителям и преподавателям физического воспитания, руководителям физического воспитания, инструкторам по физкультуре, инструкторам-методистам (старшим инструкторам-методистам), тренерам-преподавателям (старшим тренерам-преподавателям);

учителям, преподавателям трудового (профессионального) обучения, технологии, черчения, изобразительного искусства, информатики, специальных дисциплин, в том числе специальных дисциплин общеобразовательных организаций (классов) с углубленным изучением отдельных предметов;

педагогам дополнительного образования;

педагогическим работникам экспериментальных образовательных организаций;

педагогам-психологам;

методистам;

преподавателям специальных дисциплин музыкальных и художественных общеобразовательных организаций.

5.2.7. Воспитателям (старшим воспитателям) дошкольных образовательных организаций, домов ребенка в педагогический стаж включается время работы в должности медицинской сестры ясельной группы дошкольных образовательных организаций, постовой медсестры домов ребенка, а воспитателям ясельных групп - время работы на медицинских должностях.

Время работы в должностях помощника воспитателя и младшего воспитателя засчитывается в стаж педагогической работы при условии, если в период работы на этих должностях работник имел педагогическое образование или обучался в образовательной организации высшего образования или профессиональной образовательной организации.

Работникам организаций время педагогической работы в образовательных организациях, выполняемой помимо основной работы на условиях почасовой оплаты, включается в педагогический стаж, если ее объем (в одной или нескольких образовательных организациях) составляет не менее 180 часов в учебном году.

При этом в педагогический стаж засчитываются только те месяцы, в течение которых выполнялась педагогическая работа.

Право решать конкретные вопросы о соответствии работы в организации, организациях и службы в Вооруженных Силах СССР и Российской Федерации профилю работы, преподаваемого предмета (курса, дисциплины, кружка) предоставляется руководителю образовательной организации по согласованию с профсоюзным органом.

5.3. Размеры и порядок установления выплат стимулирующего характера работникам культуры общеобразовательных организаций:

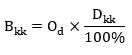
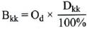
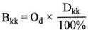
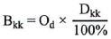
5.3.1. Выплаты за квалификационную категорию (Bkk) предоставляются работникам, занятым по специальностям, предусматривающим в соответствии с тарифно-квалификационными характеристиками присвоение квалификационных категорий по итогам аттестации в разрезе профессиональных квалификационных групп и рассчитываются по формуле:

,

где:

Od - должностной оклад работников культуры общеобразовательных организаций;

Dkk - размер надбавки за квалификационную категорию, который приведен в таблице 4.

Изменение (установление) выплат за квалификационную категорию производится согласно дате приказа органа (организации), при котором создана аттестационная комиссия.

Таблица 4

Размеры надбавок за квалификационную категорию

Квалификационная категорияРазмер надбавки, процентов
Профессиональная квалификационная группа "Должности работников культуры, искусства и кинематографии ведущего звена"
Первая квалификационная категория5,0
Высшая квалификационная категория8,0

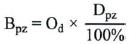
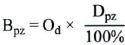
5.3.2. Выплаты за наличие почетных званий (Bpz) предоставляются работникам культуры, входящим в профессиональные квалификационные группы должностей работников культуры, искусства и кинематографии, и рассчитываются по формуле:

,

где:

Od - должностной оклад работников культуры общеобразовательных организаций;

Dpz - размер надбавки за наличие почетных званий.

Размер надбавки за наличие почетных званий Республики Татарстан, автономных республик в составе Союза Советских Социалистических Республик составляет 6 процентов.

Размер надбавки за наличие почетных званий Российской Федерации, Союза Советских Социалистических Республик, союзных республик в составе Союза Советских Социалистических Республик составляет 7 процентов.

Перечень почетных званий, за наличие которых работникам культуры, искусства и кинематографии предоставляются соответствующие выплаты, приведен в приложении N 2 к настоящему Положению.

Установление размеров выплат за наличие почетных званий производится со дня присвоения почетного звания. Работникам, имеющим два и более почетных звания, выплата устанавливается по одному из них по выбору работника.

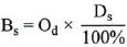
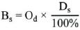
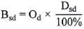
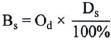
5.3.3. Выплаты за стаж работы по профилю (Вs) устанавливаются работникам культуры общеобразовательных организаций по группам по стажу в разрезе профессиональных квалификационных групп в зависимости от продолжительности работы по профилю с учетом выполнения индикаторов оценки эффективности деятельности сотрудников и рассчитываются по формуле:

,

где:

Od - должностной оклад работников культуры общеобразовательных организаций;

Ds - размер надбавки за стаж работы по профилю, который приведен в таблице 5.

Таблица 5

Размеры надбавок за стаж работы по профилю

Наименование профессиональной квалификационной группыГруппа по стажуРазмер надбавки, процентов
Профессиональная квалификационная группа должностей работников культуры, искусства и кинематографии среднего звенаот 3 до 6 лет1,0
от 6 до 10 лет1,5
от 10 до 15 лет2,0
свыше 15 лет2,5
Профессиональная квалификационная группа должностей работников культуры, искусства и кинематографии ведущего звенаот 3 до 6 лет1,0
от 6 до 10 лет2,5
от 10 до 15 лет3,5
свыше 15 лет4,0

Установление (изменение) размеров выплат за стаж работы по профилю при изменении стажа работы производится со дня достижения стажа, дающего право на увеличение размера выплат за стаж работы по профилю, если документы, подтверждающие стаж, находятся в общеобразовательной организации, или со дня представления необходимого документа, подтверждающего стаж.

5.4. Размеры и порядок установления выплат стимулирующего характера медицинским работникам общеобразовательных организаций:

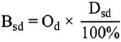
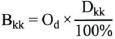
5.4.1. Выплаты за квалификационную категорию (Bkk) предоставляются медицинским работникам общеобразовательных организаций, занятым по специальностям, предусматривающим в соответствии с тарифно-квалификационными характеристиками присвоение квалификационных категорий по итогам аттестации в разрезе профессиональных квалификационных групп, и рассчитываются по формуле:

,

где:

Od - должностной оклад медицинских работников общеобразовательных организаций;

Dkk - размер надбавки за квалификационную категорию, который приведен в таблице 6.

Изменение (установление) выплат за квалификационную категорию производится согласно дате приказа органа (организации), при котором создана аттестационная комиссия.

Таблица 6

Размеры надбавок за квалификационную категорию

Квалификационная категорияРазмер надбавки, процентов
Профессиональная квалификационная группа должностей среднего медицинского и фармацевтического персонала
Вторая квалификационная категория3,0
Первая квалификационная категория6,0
Высшая квалификационная категория10,0
Профессиональная квалификационная группа должностей врачей и провизоров
Вторая квалификационная категория6,0
Первая квалификационная категория10,0
Высшая квалификационная категория20,0

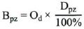
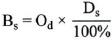
5.4.2. Выплаты за наличие почетных званий (Bpz) предоставляются медицинским работникам общеобразовательных организаций, входящим в профессиональные квалификационные группы должностей медицинских и фармацевтических работников, и рассчитываются по формуле:

,

где:

Od - должностной оклад медицинских работников общеобразовательных организаций;

Dpz - размер надбавки за наличие почетных званий.

Размер надбавки за наличие почетных званий Республики Татарстан, автономных республик в составе Союза Советских Социалистических Республик составляет 6 процентов.

Размер надбавки за наличие почетных званий Российской Федерации, Союза Советских Социалистических Республик, союзных республик в составе Союза Советских Социалистических Республик составляет 7 процентов.

Перечень почетных званий, за наличие которых медицинским и фармацевтическим работникам предоставляются соответствующие выплаты, приведен в приложении N 3 к настоящему Положению.

Установление размеров выплат за наличие почетных званий производится со дня присвоения почетного звания. Работникам, имеющим два и более почетных звания, выплата устанавливается по одному из них по выбору работника.

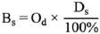
5.4.3. Выплаты за стаж работы по профилю (Bs) устанавливаются по группам по стажу в разрезе профессиональных квалификационных групп в зависимости от продолжительности работы по профилю и рассчитываются по формуле:

,

где:

Od - должностной оклад медицинских работников общеобразовательных организаций;

Ds - размер надбавки за стаж работы по профилю, который приведен в таблице 7.

Таблица 7

Размеры надбавок за стаж работы по профилю

Наименование профессиональной квалификационной группыГруппа по стажуРазмер надбавки, процентов
Медицинский и фармацевтический персонал первого уровняот 2 до 5 лет2,5
от 5 до 10 лет4,0
от 10 до 15 лет4,5
свыше 15 лет5,5
Средний медицинский и фармацевтический персоналот 3 до 5 лет2,5
от 5 до 10 лет3,5
от 10 до 15 лет4,5
свыше 15 лет5,5
Врачи и провизорыот 3 до 5 лет5,0
от 5 до 10 лет7,5
от 10 до 15 лет9,0
свыше 15 лет10,0

Установление (изменение) размеров выплат за стаж работы по профилю при изменении стажа работы производится со дня достижения стажа, дающего право на увеличение размера выплат за стаж работы по профилю, если документы, подтверждающие стаж, находятся в общеобразовательной организации, или со дня представления необходимого документа, подтверждающего стаж.

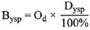
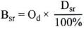
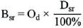
5.4.4. Выплаты за интенсивность труда (Bsr) предоставляются по должностям работникам профессиональных квалификационных групп должностей среднего медицинского и фармацевтического персонала, врачей и провизоров и рассчитываются по формуле:

,

где:

Od - должностной оклад медицинских работников общеобразовательных организаций;

Dsr - размер надбавки за интенсивность труда, который приведен в таблице 8.

Таблица 8

Размеры надбавок за интенсивность труда

Наименование профессиональной квалификационной группыКвалификационный уровеньДиапазон надбавок, процентов
Средний медицинский и фармацевтический персоналвторой1,5
третий3,0
четвертый4,5
пятый10,0
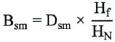
Врачи и провизорыпервый - второй3,0

5.5. Выплаты специалистам за работу в сельской местности (Вsm) предоставляются работникам, входящим в профессиональные квалификационные группы должностей педагогических работников и руководителей структурных подразделений, работникам культуры, входящим в профессиональные квалификационные группы должностей работников культуры, искусства и кинематографии среднего, ведущего звена и руководящего состава, медицинским работникам, входящим в профессиональные квалификационные группы среднего медицинского и фармацевтического персонала, врачей и провизоров и рассчитываются по формуле:

,

где:

Dsm - размер выплаты специалистам за работу в сельской местности, принимаемый равным 1 388 рублям;

Hf - фактическое количество часов работы в общеобразовательных организациях;

HN - норма часов за ставку заработной платы работников общеобразовательных организаций, установленная разделом III настоящего Положения.

Выплаты специалистам за работу в сельской местности предоставляются также работникам общеобразовательных организаций, расположенных в следующих городских поселениях, образованных на основе поселков городского типа:

Апастово;

Балтаси;

Богатые Сабы;

Рыбная Слобода.

5.6. Премиальные и иные поощрительные выплаты устанавливаются работникам общеобразовательных организаций по основному месту работы и основной должности (за исключением работников, занимающих должности учителей и преподавателей) единовременно за определенный период времени (месяц, квартал, год) в связи с юбилейными датами, получением знаков отличия, благодарственных писем, грамот, почетных званий и по иным основаниям, установленным локальными нормативными актами и коллективными договорами общеобразовательной организации.

5.6.1. Размеры, порядок и условия осуществления премиальных и иных поощрительных выплат по итогам работы определяются локальными нормативными актами общеобразовательной организации и коллективными договорами.

5.6.2. Размер фонда оплаты труда, предусмотренного на премиальные выплаты работникам общеобразовательных организаций, составляет не менее 2 процентов фонда оплаты труда, предусмотренного на выплату окладов (ставок заработной платы, должностных окладов), выплаты стимулирующего характера (за исключением выплат специалистам за работу в сельской местности), выплаты за дополнительные виды работ, выплат за специфику образовательной программы, работникам по одному месту работы и основной должности (за исключением работников, занимающих должности учителей и преподавателей).

5.6.3. В целях повышения эффективности деятельности работников общеобразовательных организаций и сохранения достигнутого уровня целевых показателей, установленных Указом Президента Российской Федерации от 7 мая 2012 года N 597 "О мероприятиях по реализации государственной социальной политики", работникам, входящим в профессиональную квалификационную группу должностей педагогических работников, по основному месту работы и основной должности при наличии средств производится единовременная поощрительная выплата. Порядок, условия и конкретный размер выплаты в указанных целях устанавливаются локальными нормативными актами общеобразовательной организации.

5.7. Выплаты за качество выполняемых работ устанавливаются работникам общеобразовательных организаций по основному месту работы (за исключением работников, занимающих должности учителей и преподавателей) по результатам труда за определенный период времени. Основным критерием, влияющим на размер выплат за качество выполняемых работ, является достижение пороговых значений критериев оценки эффективности деятельности работников общеобразовательных организаций.

5.7.1. Критерии оценки эффективности деятельности работников организаций утверждаются руководителем общеобразовательной организации по согласованию с органом, обеспечивающим государственно-общественный характер управления общеобразовательной организацией. Значения критериев оценки эффективности деятельности работников общеобразовательных организаций и условия осуществления выплат определяются ежегодно на основании задач, поставленных перед общеобразовательной организацией.

5.7.2. Размеры, порядок и условия осуществления выплат за качество выполняемых работ работниками общеобразовательных организаций определяются локальными нормативными актами общеобразовательной организации и коллективными договорами.

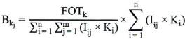
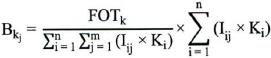
5.7.3. Выплаты за качество выполняемых работ (Вкj) рассчитываются по формуле:

,

где:

FOTk - фонд оплаты труда, предусмотренный на выплаты за качество выполняемых работ;

lij - отнормированный i-й критерий оценки эффективности деятельности по j-му работнику;

Ki - весовой коэффициент i-ro критерия оценки эффективности деятельности;

n - количество критериев оценки эффективности деятельности;

m - численность работников общеобразовательной организации.

5.7.4. Нормирование критериев эффективности деятельности обеспечивает сопоставимость критериев эффективности различной размерности. Нормирование заключается в выборе диапазона значений критерия эффективности деятельности (наилучшее и наихудшее), одно из которых соответствует нулевому значению отнормированного критерия, другое - единичному. При нахождении фактического значения критерия эффективности в пределах диапазона значений критерия эффективности деятельности отнормированный критерий эффективности деятельности принимает значения от нуля до единицы. При фактическом значении критерия эффективности ниже наихудшего значения значение отнормированного критерия принимается равным нулю, при выше наилучшего - единице.

5.7.5. Зависимость значения отнормированного критерия эффективности деятельности от значения критерия эффективности деятельности может быть прямой (положительная динамика определяется увеличением значения критерия) и обратной (положительная динамика определяется уменьшением значения критерия).

5.7.6. Отнормированный критерий при прямой зависимости его значения от значения критерия (Ii) рассчитывается по формуле:

,

где:

FIi - фактическое значение критерия эффективности деятельности;

Мi - наилучшее значение критерия эффективности деятельности;

Li - наихудшее значение критерия эффективности деятельности.

5.7.7. Отнормированный критерий эффективности деятельности при обратной зависимости его значения от значения критерия (Ii) рассчитывается по формуле:

,

где:

FIi - фактическое значение критерия эффективности деятельности;

Mi - наилучшее значение критерия эффективности деятельности;

Li - наихудшее значение критерия эффективности деятельности.

5.7.8. Весовыми коэффициентами определяется степень приоритетности критерия эффективности деятельности. Наиболее приоритетному критерию присваивается наибольший коэффициент. Относительный весовой коэффициент (Ki) рассчитывается по формуле:

,

где:

VKi - весовой коэффициент i-го критерия оценки эффективности деятельности.

5.7.9. Предельный совокупный размер весовых коэффициентов по критериям эффективности деятельности работников общеобразовательных организаций приведен в таблицах 9 - 11.

Таблица 9

Предельный совокупный размер весовых коэффициентов по критериям эффективности деятельности работников образования

N п/пНаименование должностиПредельный совокупный размер весовых коэффициентов
123
1. Профессиональная квалификационная группа учебно-вспомогательного персонала первого уровня
1.1.Вожатый5
1.2.Помощник воспитателя5
1.3.Секретарь учебной части5
2. Профессиональная квалификационная группа учебно-вспомогательного персонала второго уровня
2.1.Дежурный по режиму35
2.2.Младший воспитатель35
2.3.Диспетчер образовательной организации40
2.4.Старший дежурный по режиму40
3. Профессиональная квалификационная группа должностей педагогических работников
3.1.Инструктор по труду45
3.2.Инструктор по физической культуре45
3.3.Музыкальный руководитель45
3.4.Старший вожатый45
3.5.Инструктор-методист50
3.6.Концертмейстер50
3.7.Педагог дополнительного образования50
3.8.Педагог-организатор50
3.9.Социальный педагог50
3.10.Тренер-преподаватель50
3.11.Воспитатель55
3.12.Мастер производственного обучения55
3.13.Методист55
3.14.Педагог-психолог55
3.15.Старший инструктор-методист55
3.16.Старший педагог дополнительного образования55
3.17.Старший тренер-преподаватель55
3.18.Преподаватель (кроме должностей преподавателей, отнесенных к профессорско-преподавательскому составу)60
3.19.Преподаватель-организатор основ безопасности и защиты Родины60
(в ред. Постановления Кабинета министров Республики Татарстан от 19.06.2025 N 444)
3.20.Руководитель физического воспитания60
3.21.Старший воспитатель60
3.22.Старший методист60
3.23.Тьютор (за исключением тьютора, занятого в сфере высшего и дополнительного профессионального образования)60
3.24.Учитель60
3.25.Учитель-дефектолог60
3.26.Учитель-логопед (логопед)60
3.27.Педагог-библиотекарь60
4. Профессиональная квалификационная группа должностей руководителей структурных подразделений
4.1.Заведующий (начальник) структурным подразделением: кабинетом, лабораторией, отделом, отделением, сектором, учебно-консультационным пунктом, учебной (учебно-производственной) мастерской и другими структурными подразделениями, реализующими общеобразовательную программу и образовательную программу дополнительного образования детей (кроме должностей руководителей структурных подразделений, отнесенных ко второму квалификационному уровню)65
4.2.Заведующий (начальник) обособленным структурным подразделением, реализующим образовательную программу и образовательную программу дополнительного образования детей, начальник (заведующий, директор, руководитель, управляющий): кабинета, лаборатории, отдела, отделения, сектора, учебно-консультационного пункта, учебной (учебно-производственной) мастерской, учебного хозяйства и других структурных подразделений образовательной организации (подразделения) начального и среднего профессионального образования (кроме должностей руководителей структурных подразделений, отнесенных к третьему квалификационному уровню)70

Таблица 10

Предельный совокупный размер весовых коэффициентов по критериям эффективности деятельности работников культуры

N п/пНаименование должностиПредельный совокупный размер весовых коэффициентов
1. Профессиональная квалификационная группа должностей работников культуры, искусства и кинематографии среднего звена
1.1.Аккомпаниатор35
1.2.Культорганизатор35
2. Профессиональная квалификационная группа должностей работников культуры ведущего звена
2.1.Библиотекарь40
2.2.Звукооператор40
2.3.Ведущий библиотекарь42
2.4.Художник-декоратор45
2.5.Главный библиотекарь45
3. Профессиональная квалификационная группа должностей руководящего состава организации культуры
3.1.Заведующий отделом (сектором) музея50
3.2.Заведующий отделом (сектором) библиотеки50

Таблица 11

Предельный совокупный размер весовых коэффициентов по критериям эффективности деятельности медицинских работников

N п/пНаименование должностиПредельный совокупный размер весовых коэффициентов
123
1. Профессиональная квалификационная группа должностей медицинского и фармацевтического персонала первого уровня
1.1.Младшая медицинская сестра по уходу за больными (младший медицинский брат по уходу за больными)5
2. Профессиональная квалификационная группа должностей среднего медицинского и фармацевтического персонала
Первый квалификационный уровень
2.1.Инструктор по лечебной физкультуре35
Второй квалификационный уровень
2.2.Медицинская сестра диетическая (медицинский брат диетический)37
Третий квалификационный уровень
2.3.Медицинская сестра (медицинский брат)40
2.4.Медицинская сестра по физиотерапии (медицинский брат по физиотерапии)40
2.5.Медицинская сестра по массажу (медицинский брат по массажу)40
Четвертый квалификационный уровень
2.6.Фельдшер45
Пятый квалификационный уровень
2.7.Старшая медицинская сестра (старший медицинский брат)50
2.8.Заведующий здравпунктом - фельдшер (медицинская сестра (медицинский брат))50
3. Профессиональная квалификационная группа должностей врачей и провизоров
Второй квалификационный уровень
3.1.Врачи-специалисты (кроме врачей-специалистов, отнесенных к третьему и четвертому квалификационным уровням)60

5.7.10. Типовые критерии эффективности деятельности работников общеобразовательных организаций, их весовые коэффициенты утверждаются Министерством образования и науки Республики Татарстан.

5.7.11. В общеобразовательной организации формируется фонд выплат стимулирующего характера за качество выполняемых работ, объем (FOTk) которого рассчитывается по формуле:

,

где:

FOTdo - фонд оплаты труда работников общеобразовательной организации по должностным окладам работников по основному месту работы (за исключением работников, занимающих должности учителей и преподавателей);

Dk - доля фонда оплаты труда на выплаты стимулирующего характера за качество выполняемых работ.

Рекомендуемая доля фонда оплаты труда на выплаты стимулирующего характера за качество выполняемых работ принимается в размере 16 процентов.

VI. Выплаты компенсационного характера

6.1. К выплатам компенсационного характера в общеобразовательных организациях относятся:

выплаты компенсационного характера работникам, занятым на работах с вредными и (или) опасными условиями труда;

выплаты компенсационного характера за работу в условиях, отклоняющихся от нормальных (при выполнении работ различной квалификации, совмещении профессий (должностей), сверхурочной работе, работе в ночное время и выполнении работ в других условиях, отклоняющихся от нормальных);

выплаты компенсационного характера педагогическим работникам за дополнительные виды работ;

выплаты компенсационного характера за работу с определенными категориями воспитанников (обучающихся);

выплаты компенсационного характера за работу (в общеобразовательных организациях для детей с ограниченными возможностями здоровья) работникам профессиональных квалификационных групп должностей медицинских и фармацевтических работников в отдельных общеобразовательных организациях;

выплаты компенсационного характера за специфику образовательной программы.

Выплаты компенсационного характера, размеры и условия их осуществления устанавливаются коллективными договорами, локальными нормативными актами, трудовым договором в соответствии с трудовым законодательством и иными нормативными правовыми актами, содержащими нормы трудового права.

6.2. Выплаты компенсационного характера работникам, занятым на работах с вредными и (или) опасными условиями труда (Bkh), рассчитываются по формуле:

,

где:

Оb - размер базового оклада работников общеобразовательных организаций, принимаемый в соответствии с разделом II настоящего Положения;

Hfk - фактически отработанное время, по которому законодательством предусмотрена выплата компенсационного характера, в часах;

HN - норма часов за ставку заработной платы работников общеобразовательной организации, установленная разделом III настоящего Положения;

Р - компенсация на обеспечение книгоиздательской продукцией и периодическими изданиями в размере 100 рублей устанавливается педагогическим работникам пропорционально учебной нагрузке, но не более чем на одну ставку по основному месту работы;

Dkh - размер надбавки за выплату компенсационного характера работникам, занятым на работах с вредными и (или) опасными условиями труда, определяемый в соответствии с Трудовым кодексом Российской Федерации.

Оплата труда работников, занятых на работах с вредными и (или) опасными условиями труда, устанавливается в повышенном размере по сравнению с оплатой труда, установленной для различных видов работ с нормальными условиями труда, на основании специальной оценки условий труда в размере 4 процентов.

К оплате труда работников государственных оздоровительных общеобразовательных организаций санаторного типа для детей, нуждающихся в длительном лечении, непосредственно участвующих в оказании противотуберкулезной помощи и занятие которых связано с опасностью инфицирования микобактериями туберкулеза, устанавливается дополнительная надбавка за работу с вредными и (или) опасными условиями труда в размере 25 процентов.

6.3. Выплаты компенсационного характера за работу в условиях, отклоняющихся от нормальных (при выполнении работ различной квалификации, совмещении профессий (должностей), сверхурочной работе, работе в ночное время и при выполнении работ в других условиях, отклоняющихся от нормальных), устанавливаются за каждый час работы в ночное время в повышенном размере по сравнению с работой в нормальных условиях, но не ниже размеров, определенных законами и иными нормативными правовыми актами.

В случае привлечения работника к работе в установленный ему графиком выходной день или нерабочий праздничный день работа оплачивается не менее чем в двойном размере, при этом работникам, получающим должностной оклад, - в размере не менее одинарной дневной или часовой базовой ставки сверх оклада, если работа в выходной и нерабочий праздничный день производилась в пределах месячной нормы рабочего времени, и в размере не менее двойной часовой или дневной ставки сверх базового оклада, если работа производилась сверх месячной нормы.

6.3.1. По желанию работника, работавшего в выходной или нерабочий праздничный день, ему может быть предоставлен другой день отдыха. В этом случае работа в нерабочий праздничный день оплачивается в одинарном размере, а день отдыха оплате не подлежит.

6.4. Выплаты компенсационного характера педагогическим работникам за дополнительные виды работ включают в себя:

выплаты компенсационного характера за осуществление функций классного руководителя по общеобразовательной организации и координации воспитательной работы с обучающимися;

выплаты компенсационного характера за проверку письменных работ (проверку тетрадей);

выплаты компенсационного характера за заведование учебными кабинетами, учебными мастерскими, спортивными залами, лабораториями, учебно-опытными участками, музеями;

выплаты компенсационного характера за руководство предметной, методической или цикловой комиссией, методическими объединениями.

6.4.1 Выплаты компенсационного характера за осуществление функций классного руководителя по общеобразовательной организации и координации воспитательной работы с обучающимися () устанавливаются один раз в год на начало учебного года и рассчитываются по формуле:

,

где:

А - постоянная часть выплат за осуществление функций классного руководителя по общеобразовательной организации и координации воспитательной работы с обучающимися;

Кr - переменная часть выплат за осуществление функций классного руководителя по общеобразовательной организации и координации воспитательной работы с обучающимися;

Yk - численность обучающихся в классе.

Размер постоянной части выплат за осуществление функций классного руководителя по общеобразовательной организации и координации воспитательной работы с обучающимися составляет 550 рублей в месяц, размер переменной части выплат за осуществление указанных функций - 80 рублей в месяц.

6.4.2 Выплаты компенсационного характера за проверку письменных работ (проверку тетрадей) () рассчитываются по формуле:

,

где:

Ob - размер базового оклада педагогического работника общеобразовательной организации, принимаемый в соответствии с разделом II настоящего Положения;

Hf - фактическое количество часов ведения педагогической работы по предмету в общеобразовательной организации;

Yf - фактическое количество объемных показателей, выполняемых педагогическим работником в общеобразовательной организации;

HN - норма часов за ставку заработной платы работников общеобразовательных организаций, установленная разделом III настоящего Положения;

YN - нормативное количество объемных показателей, выполняемых педагогическим работником общеобразовательной организации;

Р - компенсация на обеспечение книгоиздательской продукцией и периодическими изданиями в размере 100 рублей устанавливается пропорционально учебной нагрузке, но не более чем на одну ставку по основному месту работы;

Dpt - размер надбавки за проверку письменных работ (проверку тетрадей), который приведен в таблице 12.

При выполнении педагогическим работником проверки письменных работ в разных классах и по разным предметам размер выплат за проверку письменных работ (проверку тетрадей) рассчитывается как сумма выплат по каждому предмету и классу.

Таблица 12

Размеры надбавок за проверку письменных работ (проверку тетрадей) в общеобразовательных организациях

N п/пНаименование работыРазмер надбавки, процентов
1.Проверка тетрадей в начальных классах, по русскому языку и литературе, родному языку и литературе, математике12,0
2.Проверка письменных работ по иностранному языку7,0
3.Проверка письменных работ по информатике, обществознанию, биологии, химии, физике, географии3,6

6.4.3 Выплата компенсационного характера за заведование учебными кабинетами, учебными мастерскими, спортивными залами, лабораториями, учебно-опытными участками, музеями в общеобразовательных организациях составляет:

за заведование учебными кабинетами, лабораториями, музеями - 1 000 рублей; (в ред. Постановления Кабинета министров Республики Татарстан от 21.04.2025 N 252)

за заведование учебными мастерскими, спортивными залами и учебно-опытными участками - 1 500 рублей. (в ред. Постановления Кабинета министров Республики Татарстан от 21.04.2025 N 252)

Заведование кабинетами и учебными мастерскими, спортивными залами, лабораториями определяется уровнем соответствия имеющегося учебно-методического, дидактического и наглядного материала требованиям паспорта учебного кабинета при оснащенности кабинета не менее 50 процентов утвержденных требований к оснащению образовательного процесса.

При обеспечении педагогическим работником работы нескольких учебных кабинетов, учебных мастерских, спортивных залов, лабораторий, учебно-опытных участков, музеев размер выплат за обеспечение указанной работы рассчитывается как сумма выплат по каждому учебному кабинету, учебной мастерской, спортивному залу, лаборатории, учебно-опытному участку, музею.

6.4.4. Выплаты компенсационного характера за руководство предметной, методической или цикловой комиссиями, методическими объединениями () рассчитываются по формуле:

,

где:

Оb - размер базового оклада педагогических работников общеобразовательных организаций, принимаемый в соответствии с разделом II настоящего Положения;

Drk - размер надбавки за руководство предметной, методической или цикловой комиссиями, методическими объединениями, который составляет 5 процентов. (в ред. Постановления Кабинета министров Республики Татарстан от 21.04.2025 N 252)

При обеспечении педагогическим работником руководства несколькими комиссиями, объединениями размер выплат в указанном случае рассчитывается как сумма выплат по каждой комиссии, объединению.

6.5. Выплаты компенсационного характера за работу с определенными категориями воспитанников (обучающихся) предоставляются работникам образования в отдельных образовательных организациях.

6.5.1. Выплаты компенсационного характера за работу с определенными категориями воспитанников (обучающихся) для педагогических работников, которым установлены нормы часов педагогической работы в неделю за ставку заработной платы (Bkh), рассчитываются по формуле:

,

где:

Ob - размер базового оклада педагогических работников общеобразовательных организаций, принимаемый в соответствии с разделом II настоящего Положения;

Hf - фактическое количество часов ведения педагогической работы в общеобразовательных организациях;

Yf - фактическое количество объемных показателей, выполняемых педагогическими работниками общеобразовательных организаций;

HN - норма часов за ставку заработной платы работников общеобразовательных организаций, установленная разделом III настоящего Положения;

YN - нормативное количество объемных показателей, выполняемых педагогическими работниками общеобразовательных организаций;

Р - компенсация на обеспечение книгоиздательской продукцией и периодическими изданиями в размере 100 рублей устанавливается педагогическим работникам пропорционально учебной нагрузке, но не более чем на одну ставку по основному месту работы;

Dkh - размер выплат компенсационного характера за работу с определенными категориями воспитанников (обучающихся), который приведен в таблице 13.

6.5.2. Выплаты компенсационного характера за работу с определенными категориями воспитанников (обучающихся) для работников образования (за исключением педагогических работников, выплаты которых определены пунктом 5.1 настоящего Положения) (Bkh) рассчитываются по формуле:

,

где:

Od - должностной оклад работников общеобразовательной организации;

Dkh - размер компенсационного характера, который приведен в таблице 13.

При работе педагогических и учебно-вспомогательных работников общеобразовательных организаций с определенными категориями воспитанников предусматривается предоставление выплат компенсационного характера по нескольким основаниям, размер выплат рассчитывается по каждому основанию.

Перечень должностей работников, которым с учетом конкретных условий работы в данной общеобразовательной организации, подразделении и должности устанавливаются надбавки компенсационного характера, утверждается в каждой общеобразовательной организации по согласованию с выборным профсоюзным органом или иным органом, уполномоченным представлять интересы работников.

Таблица 13

Размеры выплаты за работу с определенными категориями воспитанников (обучающихся)

N п/пОснование назначения выплатыДолжности, которым назначаются выплатыРазмер выплаты, процентов
наименование профессиональной квалификационной группыквалификационный уровень
12345
1.Работа в общеобразовательных организациях (отделениях, классах, группах) для обучающихся (воспитанников) с ограниченными возможностями здоровья (в том числе с задержкой психического развития)должности учебно-вспомогательного персонала первого уровняпервый5,5
должности учебно-вспомогательного персонала второго уровняпервый - второй5,5
должности педагогических работниковпервый - четвертый5,5
должности руководителей структурных подразделенийпервый - второй5,5
2.Работа в санаторных образовательных организациях (классах, группах) для детей, нуждающихся в
длительном лечении
должности учебно-вспомогательного персонала первого уровняпервый7,3
должности учебно-вспомогательного персонала второго уровняпервый - второй7,3
должности педагогических работниковпервый - четвертый7,3
должности руководителей структурных подразделенийпервый - второй7,3
3.Работа в специальных учебно-воспитательных организациях для обучающихся с девиантным поведениемдолжности учебно-вспомогательного персонала первого уровняпервый - второй55,0
должности учебно-вспомогательного персонала второго уровняпервый - второй55,0
должности педагогических работниковпервый - четвертый55,0
должности руководителей структурных подразделенийпервый - второй55,0
4.Работа в специальных (коррекционных) отделениях, классах, группах для обучающихся (воспитанников) с ограниченными возможностями здоровья (в том числе с задержкой психического развития) в общеобразовательных организациях, имеющих интернатдолжности учебно-вспомогательного персонала первого уровняпервый7,0
должности учебно-вспомогательного персонала второго уровняпервый - второй7,0
должности педагогических работниковпервый - четвертый7,0
должности руководителей структурных подразделенийпервый - второй7,0
5.Работа в общеобразовательных организациях для детей-сирот и детей, оставшихся без попечения родителейдолжности учебно-вспомогательного персонала первого уровняпервый12,0
должности учебно-вспомогательного персонала второго уровняпервый - второй12,0
должности педагогических работниковпервый - четвертый23,5
должности руководителей структурных подразделенийпервый - второй12,0
6.Работа в общеобразовательных организациях при организациях, исполняющих уголовные наказания в виде лишения свободыдолжности учебно-вспомогательного персонала второго уровняпервый - второй55,0
должности педагогических работниковпервый - четвертый55,0
должности руководителей структурных подразделенийпервый - второй55,0
7.Работа в общеобразовательных организациях при организациях, исполняющих уголовные наказания в виде лишения свободы, с обучающимися, больными активной формой туберкулезадолжности педагогических работниковпервый - четвертый60,0
должности руководителей структурных подразделенийпервый - второй60,0
8.Индивидуальное обучение на дому детей, имеющих ограниченные возможности здоровья (на основании медицинского заключения)должности педагогических работниковчетвертый7,0
9.Работа в дошкольных группах, реализующих адаптированные образовательные программы для воспитанников с ограниченными возможностями здоровья по слуху, по зрению, имеющих нарушения опорно-двигательного аппарата, с задержкой психического развития, с расстройствами аутистического развития, со сложными дефектами и умственно отсталых детейдолжности учебно-вспомогательного персонала первого уровняпервый5,5
должности учебно-вспомогательного персонала второго уровняпервый - второй5,5
должности педагогических работниковпервый - четвертый5,5
10.Работа в дошкольных группах, реализующих адаптированные образовательные программы для воспитанников с тяжелыми нарушениями речидолжности педагогических работниковтретий4,0
11.Осуществление индивидуального и группового обучения детей, находящихся на длительном лечении в стационарной лечебной организациидолжности педагогических работниковчетвертый4,0
12.Работа в общеобразовательных организациях, реализующих адаптированные образовательные программы для обучающихся, воспитанников с отклонениями в развитиидолжности работников культуры, искусства и кинематографии ведущего звена 4,5
13.Работа в общеобразовательных организациях, осуществляющих образовательную деятельность по образовательным программам до
школьного образования
должности педагогических работниковпервый - четвертый28,0
должности руководителей структурных подразделенийпервый - второй28,0

6.6. Выплаты компенсационного характера за работу (в общеобразовательных организациях для детей с ограниченными возможностями здоровья) работникам профессиональных квалификационных групп должностей медицинских и фармацевтических работников в отдельных общеобразовательных организациях (Вкhm) рассчитываются по формуле:

,

где:

Od - должностной оклад работников профессиональных квалификационных групп должностей медицинских работников;

Dkhm - размер выплаты компенсационного характера за работу в образовательных организациях для детей с ограниченными возможностями здоровья работникам профессиональных квалификационных групп должностей медицинских и фармацевтических работников, который равен 15 процентам.

6.7. Выплаты компенсационного характера за специфику образовательной программы предоставляются работникам общеобразовательных организаций.

6.7.1. Выплаты компенсационного характера за специфику образовательной программы предоставляются работникам образования общеобразовательных организаций за работу с определенными категориями воспитанников (обучающихся).

6.7.2. Выплаты компенсационного характера за специфику образовательной программы для педагогических работников, которым установлены нормы часов педагогической работы в неделю (в год) за ставку заработной платы (Bsop), рассчитываются по формуле:

,

где:

Оь - размер базового оклада педагогических работников общеобразовательной организации, принимаемый в соответствии с разделом II настоящего Положения;

Hf - фактическое количество часов ведения педагогической работы общеобразовательной организации;

Yf - фактическое количество услуг, оказываемых работниками образования общеобразовательной организации;

HN - норма часов за ставку заработной платы работников общеобразовательной организации, установленная разделом III настоящего Положения;

YN - нормативное количество услуг, оказываемых педагогическими работниками общеобразовательной организации;

Р - компенсация на обеспечение книгоиздательской продукцией и периодическими изданиями в размере 100 рублей, которая устанавливается педагогическим работникам пропорционально учебной нагрузке, но не более чем на одну ставку по основному месту работы;

Dsop - размер надбавки за специфику образовательной программы, который приведен в таблице 14.

6.7.3. Выплаты компенсационного характера за специфику образовательной программы для работников образования (за исключением педагогических работников, выплаты которым определены пунктом 6.7.2 настоящего Положения) (Bsop) и рассчитываются по формуле:

,

где:

Od - должностной оклад работников образования общеобразовательных организаций;

Dsop - размер надбавки за специфику образовательной программы, который приведен в таблице 14.

6.7.4. Выплаты компенсационного характера за специфику образовательной программы в государственной автономной общеобразовательной организации "Полилингвальный комплекс "Адымнар - путь к знаниям и согласию" г. Казани для педагогических работников, которым установлены нормы часов педагогической работы в неделю (в год) за ставку заработной платы (), рассчитываются по формуле:

,

где:

Ob - размер базового оклада педагогических работников общеобразовательной организации, принимаемый в соответствии с разделом II настоящего Положения;

Hfpb - фактическое количество часов преподавания предметов на английском или татарском языках;

Yf - фактическое количество объемных показателей, выполняемых работниками образования общеобразовательной организации;

HN - норма часов за ставку заработной платы работников общеобразовательной организации, установленная разделом III настоящего Положения;

YN - нормативное количество объемных показателей, выполняемых педагогическими работниками общеобразовательной организации;

Р - компенсация на обеспечение книгоиздательской продукцией и периодическими изданиями в размере 100 рублей, которая устанавливается педагогическим работникам пропорционально учебной нагрузке, но не более чем на одну ставку по основному месту работы;

- размер надбавки за специфику образовательной программы в государственной автономной общеобразовательной организации "Полилингвальный комплекс "Адымнар - путь к знаниям и согласию" г. Казани, который приведен в таблице 15.

6.7.5. При работе педагогических и учебно-вспомогательных работников в образовательных организациях с определенными категориями обучающихся (воспитанников) предусматривается предоставление выплат за специфику образовательной программы по нескольким основаниям. В этом случае размер выплат за специфику образовательной программы рассчитывается по каждому основанию.

6.7.6. Перечень должностей работников, которым с учетом конкретных условий работы в данной общеобразовательной организации, подразделении и должности устанавливаются надбавки за специфику образовательной программы, утверждается в каждой общеобразовательной организации по согласованию с выборным профсоюзным органом или иным органом, уполномоченным представлять интересы работников.

Таблица 14

Размеры надбавок за специфику образовательной программы

N п/пОснование назначения надбавки за специфику образовательной программыДолжности, по которым назначаются надбавки за специфику образовательной программыРазмер надбавки, процентов
наименование профессиональной квалификационной группыквалификационный уровень
12345
1.Работа в общеобразовательных организациях, имеющих интернатдолжности учебно-вспомогательного персонала первого уровняпервый5,5
 должности учебно-вспомогательного персонала второго уровняпервый - второй5,5
должности педагогических работниковпервый - четвертый5,5
должности руководителей структурных подразделенийпервый - второй5,5
2.Работа в лицейских, гимназических классахдолжности педагогических работниковчетвертый
1
5,5
должности руководителей структурных подразделенийпервый - второй5,5
3.Работа в психолого-педагогических и медико-педагогических комиссиях, логопедических пунктахдолжности педагогических работниковвторой - четвертый4,0
4.Преподавание русского языка в 1 - 11-х классах и литературы в 5 - 11-х классах в общеобразовательных организациях с нерусским языком обучения, расположенных в сельской местности и поселках городского типадолжности педагогических работниковчетвертый5,0
должности руководителей структурных подразделенийпервый - второй5,0
5.Обучение детей русскому языку в дошкольных группах с нерусским языком обучения, расположенных в сельской местности и поселках городского типадолжности педагогических работниковтретий - четвертый5,0
6.Преподавание родного языка (татарского, чувашского, марийского и др., за исключением русского) и литературы в общеобразовательных организациях с русским языком обучениядолжности педагогических работниковчетвертый5,0
должности руководителей структурных подразделенийпервый5,0
7.Обучение детей родному (татарскому, чувашскому, марийскому и др., за исключением русского) языку в дошкольных группах с русским языком обучениядолжности педагогических работниковтретий - четвертый5,0
8.Применение иностранного языка в практической работе в общеобразовательных организациях с углубленным изучением иностранного языкадолжности педагогических работниковчетвертый5,5
должности руководителей структурных подразделенийпервый - второй5,5
9.Работа в общеобразовательных организациях и межшкольных учебных комбинатахдолжности педагогических работников, осуществляющих образовательную деятельность по образовательным программам
начального общего, основного общего и среднего общего образования, дополнительного образования по основному месту работы и основной должности
первый14,0
второй16,0
третий18,0
10.Работа в общеобразовательных организациях, имеющих статус "кадетский корпус"должности педагогических работниковпервый - четвертый20,0

Таблица 15

Размеры надбавок за специфику образовательной программы в государственной автономной общеобразовательной организации "Полилингвальный комплекс "Адымнар - путь к знаниям и согласию" г. Казани

N п/пОснование назначения надбавки за специфику образовательной программыДолжности, по которым назначаются надбавки за специфику образовательной программыРазмер надбавки, процентов
наименование профессиональной квалификационной группыквалификационный уровень
12345
1.Преподавание предметов на английском языке (полилингвальная программа обучения) в общеобразовательных организацияхдолжности педагогических работниковчетвертый70,0
2.Преподавание предметов на татарском языке (билингвальная программа обучения) в общеобразовательных организацияхдолжности педагогических работниковчетвертый30,0

6.7.7. Выплаты компенсационного характера за специфику деятельности предоставляются работникам профессиональной квалификационной группы должностей руководящего состава организации культуры, искусства и кинематографии (Bsd) и рассчитываются по формуле:

,

где:

Od - должностной оклад работников культуры общеобразовательных организаций;

Dsd - размер надбавки за специфику деятельности, принимаемый равным 9 процентам.

6.7.8. Выплаты компенсационного характера за специфику деятельности предоставляются работникам профессиональных квалификационных групп должностей медицинских и фармацевтических работников в отдельных общеобразовательных организациях (Bsd) и рассчитываются по формуле:

,

где:

Od - должностной оклад медицинских работников общеобразовательных организаций;

Dsd - размер надбавки за специфику деятельности, который приведен в таблице 16.

6.7.9. Перечень должностей работников, которым с учетом конкретных условий работы в данном учреждении, подразделении и должности устанавливаются надбавки за специфику деятельности, утверждается каждым учреждением по согласованию с выборным профсоюзным органом или иным органом, уполномоченным представлять интересы работников.

Таблица 16

Рекомендуемые размеры надбавок за специфику деятельности

N п/пОснование назначения надбавки за специфику деятельностиНаименование профессиональной квалификационной группыРазмер надбавки, процентов
1.Работа в образовательных организацияхсредний медицинский и фармацевтический персонал17,0
врачи и провизоры10,0

VII. Порядок определения заработной платы руководителя общеобразовательной организации, заместителя руководителя организации, главного бухгалтера и советника директора по воспитанию и взаимодействию с детскими общественными объединениями

7.1. Заработная плата руководителей общеобразовательных организаций, их заместителей и главных бухгалтеров состоит из должностных окладов, выплат компенсационного и стимулирующего характера.

7.2. Должностной оклад руководителя общеобразовательной организации устанавливается Министерством образования и науки Республики Татарстан один раз в год на начало учебного года в зависимости от группы по оплате труда (Od) и рассчитывается по формуле:

,

где:

Оb - размер базового оклада руководителя;

Hf - фактическое количество часов работы в общеобразовательных организациях;

HN - норма часов за ставку заработной платы работников общеобразовательных организаций, установленная разделом III настоящего Положения.

Группа по оплате труда руководителя общеобразовательной организации определяется в зависимости от численности обучающихся.

7.3. Должностные оклады заместителей руководителей и главных бухгалтеров общеобразовательной организации на 20 - 30 процентов ниже должностных окладов руководителей этих общеобразовательных организаций.

7.4. Выплаты стимулирующего характера за качество выполняемых работ руководителю общеобразовательной организации устанавливаются Министерством образования и науки Республики Татарстан с учетом результатов деятельности, определенных на основании критериев эффективности их деятельности.

Выплаты стимулирующего характера за качество выполняемых работ руководителю общеобразовательной организации могут осуществляться ежемесячно, по итогам работы за год, за выполнение важных и особо важных заданий.

7.5. Группа по оплате труда руководителей, размеры базовых окладов и выплат стимулирующего характера за качество выполняемых работ руководителям общеобразовательных организаций представлены в таблице 17.

7.6. Выплаты стимулирующего характера за качество выполняемых работ заместителям руководителя, главному бухгалтеру общеобразовательной организации устанавливаются руководителем общеобразовательной организации с учетом результатов деятельности, определенных на основании критериев эффективности их деятельности, установленных локальными нормативными актами. Выплаты стимулирующего характера за качество выполняемых работ заместителям руководителя, главному бухгалтеру могут осуществляться ежемесячно, ежеквартально, по итогам работы за год, за выполнение важных и особо важных заданий. Предельный уровень выплат стимулирующего характера за качество выполняемых работ заместителям руководителя, главному бухгалтеру устанавливается на уровне 70 процентов выплат стимулирующего характера за качество выполняемых работ руководителем общеобразовательной организации.

Таблица 17

Группа по оплате труда руководителей, размеры базовых окладов и выплат стимулирующего характера за качество выполняемых работ руководителям общеобразовательных организаций

(в ред. Постановления Кабинета министров Республики Татарстан от 21.04.2025 N 252)

Группа по оплате труда руководителяЗначение объемного показателя (численность обучающихся, воспитанников по состоянию на начало учебного года), человек <*>Базовый оклад, рублейВыплаты стимулирующего характера за качество выполняемых работ, рублей
11 - 1539 0008 000
216 - 5041 0008 000
351 - 10043 0009 000
4101 - 20044 00010 000
5201 - 40046 00012 000
6401 - 60047 00013 000
7601 - 80049 00013 000
8801 - 1 00053 00013 000
91 001 - 1 20054 00014 000
101 201 - 1 40055 00015 000
111 401 - 1 80055 00018 000
121 801 и выше56 00022 000

<*> Контингент обучающихся общеобразовательной организации для обучающихся с девиантным поведением закрытого типа, общеобразовательных организаций при исправительных учреждениях уголовно-исполнительной системы, общеобразовательных организаций санаторного типа для детей, нуждающихся в длительном лечении, общеобразовательных организаций, реализующих адаптированные образовательные программы, учитывается с коэффициентом 3.

Контингент обучающихся, проживающих в интернатах при общеобразовательных организациях, учитывается с коэффициентом 2.

Контингент воспитанников дошкольных групп общеобразовательных организаций учитывается с коэффициентом 1,5.

Контингент обучающихся межшкольных учебных комбинатов учитывается с коэффициентом 0,5.

7.7. Типовые критерии эффективности деятельности руководителей, заместителей руководителей и главных бухгалтеров общеобразовательных организаций и их весовые коэффициенты утверждаются Министерством образования и науки Республики Татарстан.

7.8. Выплаты стимулирующего характера за качество выполняемых работ (Вк) рассчитываются по формуле:

.

где:

Вс - размер выплат стимулирующего характера за качество выполняемых работ, который приведен в таблице 16 настоящего Положения;

Kvk - коэффициент выполнения критериев качества.

7.9. Выплаты компенсационного характера устанавливаются для руководителя организации, его заместителей, главного бухгалтера общеобразовательной организации в соответствии с Трудовым кодексом Российской Федерации.

7.10. Должностной оклад советника директора по воспитанию и взаимодействию с детскими общественными объединениями () рассчитывается по формуле:

,

где:

Obs - размер базового оклада советника директора по воспитанию и взаимодействию с детскими общественными объединениями, устанавливается в размере 22 958 рублей; (в ред. Постановления Кабинета министров Республики Татарстан от 25.09.2024 N 830)

Hf - фактическое количество часов работы в общеобразовательных организациях;

HN - норма часов за ставку заработной платы работников общеобразовательных организаций, установленная разделом III настоящего Положения.

7.11. Выплаты за интенсивность труда предоставляются советнику директора по воспитанию и взаимодействию с детскими общественными объединениями () и рассчитываются по формуле:

,

где:

- размер должностного оклада советника директора по воспитанию и взаимодействию с детскими общественными объединениями;

- размер надбавки за интенсивность труда советника директора по воспитанию и взаимодействию с детскими общественными объединениями принимается равным 100 процентам.

7.12. Выплаты компенсационного характера устанавливаются для советника директора по воспитанию и взаимодействию с детскими общественными объединениями в соответствии с Трудовым кодексом Российской Федерации.

VIII. Порядок формирования и использования фонда оплаты труда общеобразовательной организации

8.1. Формирование фонда оплаты труда общеобразовательной организации осуществляется в пределах объема средств общеобразовательной организации на текущий финансовый год, определенного в соответствии с нормативами, количеством объемных показателей, и отражается в плане финансово-хозяйственной деятельности общеобразовательной организации.

8.2. Начисления должностных окладов, выплат компенсационного и стимулирующего характера, установленных настоящим Положением, осуществляются работникам общеобразовательной организации (включая работников профессиональных квалификационных групп общеотраслевых профессий рабочих, рабочих культуры, искусства и кинематографии, общеотраслевых должностей руководителей, специалистов и служащих) за счет средств, предусмотренных в плане финансово-хозяйственной деятельности общеобразовательной организации на оплату труда на текущий финансовый год.

8.3. Экономия фонда оплаты труда, сложившаяся в ходе исполнения плана финансово-хозяйственной деятельности общеобразовательных организаций за счет всех источников финансового обеспечения, включая доходы, полученные от оказания платных услуг, за соответствующий период (месяц, квартал, год) может направляться на поощрительные выплаты в соответствии с локальными нормативными актами общеобразовательной организации, принятыми с учетом норм настоящего Положения.

При наличии экономии фонда оплаты труда поощрительные выплаты производятся работникам той профессиональной квалификационной группы должностей, по которой экономия фонда оплаты труда образовалась (включая работников профессиональных квалификационных групп общеотраслевых профессий рабочих, рабочих культуры, искусства и кинематографии, общеотраслевых должностей руководителей, специалистов и служащих).

Размер поощрительной выплаты, произведенной за счет экономии фонда оплаты труда за соответствующий период работнику общеобразовательной организации с учетом отработанной за этот период нормы рабочего времени, выполнившему нормы труда (трудовые обязанности), не может превышать трехкратного минимального размера оплаты труда, установленного Федеральным законом от 19 июня 2000 года N 82-ФЗ "О минимальном размере оплаты труда" на 1 января текущего года (за исключением работников, занимающих профессиональные квалификационные группы должностей педагогических работников, руководителя общеобразовательной организации).

Размер поощрительной выплаты за счет экономии фонда оплаты труда руководителю общеобразовательной организации определяется учредителем общеобразовательной организации.

Ответственность за использование экономии фонда оплаты труда, образовавшейся в ходе исполнения плана финансово-хозяйственной деятельности общеобразовательной организации за счет всех источников финансового обеспечения, включая доходы, полученные от оказания платных услуг, возлагается на руководителя общеобразовательной организации.

Приложение N 1
к Положению
об условиях оплаты труда работников
общеобразовательных организаций
Республики Татарстан

ПЕРЕЧЕНЬ ПОЧЕТНЫХ ЗВАНИЙ И ВЕДОМСТВЕННЫХ НАГРАД, ЗА НАЛИЧИЕ КОТОРЫХ РАБОТНИКАМ ОБРАЗОВАНИЯ ПРЕДОСТАВЛЯЮТСЯ СООТВЕТСТВУЮЩИЕ ВЫПЛАТЫ

(в ред. Постановлений Кабинета министров Республики Татарстан от 24.06.2024 N 454, от 30.12.2024 N 1273)

N п/пНаименование почетного звания
12
Почетные звания Российской Федерации, Республики Татарстан, Союза Советских Социалистических Республик, союзных и автономных республик в составе Союза Советских Социалистических Республик
1. Почетные звания Российской Федерации
1.1.Народный учитель Российской Федерации
1.2.Заслуженный учитель Российской Федерации
1.3.Заслуженный деятель науки Российской Федерации
1.4.Заслуженный работник высшей школы Российской Федерации
1.5.Заслуженный мастер производственного обучения Российской Федерации
1.6.Заслуженный работник физической культуры Российской Федерации
1.7.Заслуженный работник культуры Российской Федерации
1.8.Заслуженный художник Российской Федерации
1.9.Заслуженный экономист Российской Федерации
2. Почетные звания Союза Советских Социалистических Республик
2.1.Народный учитель СССР
3. Почетные звания союзных республик в составе Союза Советских Социалистических Республик
3.1.Заслуженный деятель физкультуры и спорта
3.2.Заслуженный деятель спорта
3.3.Заслуженный деятель физической культуры
3.4.Заслуженный работник физической культуры и спорта
3.5.Заслуженный тренер РСФСР
3.6.Заслуженный учитель школы РСФСР
3.7.Заслуженный учитель профессионально-технического образования
3.8.Заслуженный мастер профессионально-технического образования
3.9.Заслуженный работник профессионально-технического образования
3.10.Заслуженный преподаватель
3.11.Заслуженный работник высшей школы
3.12.Заслуженный работник народного образования
3.13.Заслуженный деятель высшей школы
3.14.Заслуженный деятель науки и техники
3.15.Заслуженный деятель науки
4. Почетные звания автономных республик в составе Союза Советских Социалистических Республик
4.1.Заслуженный деятель физкультуры и спорта
4.2.Заслуженный работник физической культуры и спорта
4.3.Заслуженный деятель школы
4.4.Заслуженный учитель школы
4.5.Заслуженный учитель профессионально-технического образования
4.6.Заслуженный мастер профессионально-технического образования
4.7.Заслуженный работник профессионально-технического образования
4.8.Заслуженный работник высшей школы
4.9.Заслуженный деятель науки и культуры
4.10.Заслуженный работник культуры
4.11.Заслуженный деятель науки и техники
4.12.Заслуженный деятель науки
5. Почетные звания Республики Татарстан
5.1.Народный учитель Республики Татарстан
5.2.Заслуженный учитель школы Республики Татарстан
5.3.Заслуженный учитель Республики Татарстан
5.4.Заслуженный деятель науки Республики Татарстан
5.5.Заслуженный работник высшей школы Республики Татарстан
5.6.Заслуженный работник физической культуры Республики Татарстан
5.7.Заслуженный работник культуры Республики Татарстан
5.8.Заслуженный экономист Республики Татарстан
Ведомственные награды Российской Федерации, Республики Татарстан (Союза Советских Социалистических Республик, Российской Советской Федеративной Социалистической Республики), за наличие которых предоставляются выплаты стимулирующего характера
1. Министерство просвещения Российской Федерации (Министерство образования и науки Российской Федерации, Министерство образования Российской Федерации)
1.1.Почетный работник общего образования Российской Федерации
1.2.Почетный работник начального профессионального образования Российской Федерации
1.3.Почетный работник среднего профессионального образования Российской Федерации
1.4.Почетный работник высшего профессионального образования Российской Федерации
1.5.Почетный работник науки и техники Российской Федерации
1.6.Почетный работник сферы молодежной политики Российской Федерации
1.7.За развитие научно-исследовательской работы студентов
1.8.Почетный работник сферы образования Российской Федерации
1.9.Почетный работник сферы воспитания детей и молодежи Российской Федерации
1.10.Отличник просвещения
1.11.Почетный работник воспитания и просвещения Российской Федерации
1.12.Почетный работник науки и высоких технологий Российской Федерации
1.13.Ветеран сферы воспитания и образования
1.14.Медаль Л.С. Выготского
1.15.Медаль К.Д. Ушинского
1.16.Значок "Отличник профессионально-технического образования Российской Федерации"
1.17.Нагрудный знак "За милосердие и благотворительность"
1.18.Нагрудный знак "За верность профессии"
1.19.Нагрудный знак "Молодость и Профессионализм"
1.20.Нагрудный знак "Почетный наставник"
(в ред. Постановления Кабинета министров Республики Татарстан от 30.12.2024 N 1273)
1.21.Нагрудный знак "Ветеран" Министерства науки и высшего образования Российской Федерации
1.22.Медаль "За безупречный труд и отличие"
1.23.Медаль "За вклад в реализацию государственной политики в области образования и научно-технологического развития"
1.24.Звание "Почетный работник" Министерства науки и высшего образования Российской Федерации
1.25.Нагрудный знак "Молодой ученый"
1.26.Почетная грамота Министерства науки и высшего образования Российской Федерации
2. Министерство народного образования, Министерство просвещения СССР (РСФСР)
2.1.Значок "Отличник просвещения СССР"
2.2.Значок "Отличник народного просвещения"
2.3.Значок "Отличник профтехобразования СССР"
2.4.Значок "Отличник профессионально-технического образования РСФСР"

Приложение N 2
к Положению
об условиях оплаты труда работников
общеобразовательных организаций
Республики Татарстан

ПЕРЕЧЕНЬ ПОЧЕТНЫХ ЗВАНИЙ РОССИЙСКОЙ ФЕДЕРАЦИИ, РЕСПУБЛИКИ ТАТАРСТАН, СОЮЗА СОВЕТСКИХ СОЦИАЛИСТИЧЕСКИХ РЕСПУБЛИК, СОЮЗНЫХ И АВТОНОМНЫХ РЕСПУБЛИК В СОСТАВЕ СОЮЗА СОВЕТСКИХ СОЦИАЛИСТИЧЕСКИХ РЕСПУБЛИК, ЗА НАЛИЧИЕ КОТОРЫХ ПРЕДОСТАВЛЯЮТСЯ ВЫПЛАТЫ СТИМУЛИРУЮЩЕГО ХАРАКТЕРА

(в ред. Постановления Кабинета министров Республики Татарстан от 24.06.2024 N 454)

N п/пНаименование почетных званий
12
1. Почетные звания Российской Федерации
1.1.Народный артист Российской Федерации
1.2.Народный художник Российской Федерации
1.3.Заслуженный артист Российской Федерации
1.4.Заслуженный работник культуры Российской Федерации
1.5.Заслуженный художник Российской Федерации
2. Почетные звания Республики Татарстан
2.1.Народный артист Республики Татарстан
2.2.Народный писатель Республики Татарстан
2.3.Народный поэт Республики Татарстан
2.4.Народный художник Республики Татарстан
2.5.Заслуженный артист Республики Татарстан
2.6.Заслуженный деятель искусств Республики Татарстан
2.7.Заслуженный работник культуры Республики Татарстан
3.Почетные звания Союза Советских Социалистических Республик
3.1.Народный артист СССР
3.2.Народный художник СССР
4. Почетные звания союзных республик в составе Союза Советских Социалистических Республик
4.1.Заслуженный пропагандист
4.2.Народный артист
4.3.Заслуженный артист
4.4.Заслуженный деятель искусств
4.5.Народный художник
4.6.Заслуженный художник
4.7.Народный писатель
4.8.Заслуженный писатель
4.9.Народный поэт
4.10.Народный певец
4.11.Народный акын
4.12.Заслуженный журналист
4.13.Заслуженный деятель культуры
4.14.Заслуженный работник культурно-просветительной работы
4.15.Заслуженный работник культуры
4.16.Заслуженный библиотекарь
4.17.Мастер прикладного искусства
4.18.Заслуженный мастер народного творчества
4.19.Заслуженный деятель науки
5. Почетные звания автономных республик в составе Союза Советских Социалистических Республик
5.1.Заслуженный строитель
5.2.Народный артист
5.3.Заслуженный артист
5.4.Заслуженный деятель искусств
5.5.Народный художник
5.6.Заслуженный художник
5.7.Народный писатель
5.8.Заслуженный писатель
5.9.Народный поэт
5.10.Заслуженный журналист
5.11.Заслуженный работник культуры
5.12.Заслуженный библиотекарь
5.13.Заслуженный деятель науки и культуры
5.14.Заслуженный деятель науки и техники
5.15.Заслуженный деятель науки

Приложение N 3
к Положению
об условиях оплаты труда работников
общеобразовательных организаций
Республики Татарстан

ПЕРЕЧЕНЬ ПОЧЕТНЫХ ЗВАНИЙ РОССИЙСКОЙ ФЕДЕРАЦИИ, РЕСПУБЛИКИ ТАТАРСТАН, СОЮЗА СОВЕТСКИХ СОЦИАЛИСТИЧЕСКИХ РЕСПУБЛИК, СОЮЗНЫХ И АВТОНОМНЫХ РЕСПУБЛИК В СОСТАВЕ СОЮЗА СОВЕТСКИХ СОЦИАЛИСТИЧЕСКИХ РЕСПУБЛИК, ЗА НАЛИЧИЕ КОТОРЫХ ПРЕДОСТАВЛЯЮТСЯ ВЫПЛАТЫ СТИМУЛИРУЮЩЕГО ХАРАКТЕРА

(в ред. Постановления Кабинета министров Республики Татарстан от 24.06.2024 N 454)

N п/пНаименование почетных званий
1. Почетные звания Российской Федерации
1.1.Заслуженный врач Российской Федерации
1.2.Заслуженный работник здравоохранения Российской Федерации
2. Почетные звания Республики Татарстан
2.1.Заслуженный врач Республики Татарстан
2.2.Заслуженный работник здравоохранения Республики Татарстан
3. Почетные звания Союза Советских Социалистических Республик
3.1.Народный врач СССР
4. Почетные звания союзных республик в составе Союза Советских Социалистических Республик
4.1.Народный врач
4.2.Заслуженный работник здравоохранения
4.3.Заслуженный врач
4.4.Заслуженный провизор
4.5.Заслуженный фармацевт
5. Почетные звания автономных республик в составе Союза Советских Социалистических Республик
5.1.Заслуженный работник здравоохранения
5.2.Заслуженный врач
5.3.Заслуженный провизор

УТВЕРЖДЕНО
постановлением
Кабинета Министров
Республики Татарстан
от 31.05.2018 N 412

ПОЛОЖЕНИЕ ОБ УСЛОВИЯХ ОПЛАТЫ ТРУДА РАБОТНИКОВ ДОШКОЛЬНЫХ ОБРАЗОВАТЕЛЬНЫХ ОРГАНИЗАЦИЙ РЕСПУБЛИКИ ТАТАРСТАН

(в ред. Постановлений Кабинета министров Республики Татарстан от 24.06.2024 N 454, от 25.09.2024 N 830, от 21.04.2025 N 252, от 19.06.2025 N 444)

I. Общие положения

1.1. Настоящее Положение определяет порядок формирования окладов работников дошкольных образовательных организаций Республики Татарстан (далее - дошкольные образовательные организации), условия и размеры выплат компенсационного и стимулирующего характера.

1.2. В настоящем Положении используются следующие основные понятия:

система оплаты труда - совокупность норм, определяющих условия и размеры оплаты труда работников дошкольных образовательных организаций, включая размеры тарифных ставок, окладов (должностных окладов), а также выплаты компенсационного и стимулирующего характера, установленных в соответствии с федеральным законодательством и законодательством Республики Татарстан;

базовый оклад - оклад работника дошкольной образовательной организации, установленный ему за исполнение трудовых (должностных) обязанностей за календарный месяц либо за норму труда (норму часов педагогической работы в неделю (в год) за ставку заработной платы) в зависимости от сложности выполняемых работ без учета выплат стимулирующего и компенсационного характера;

должностной оклад - фиксированный размер оплаты труда работника за исполнение трудовых (должностных) обязанностей определенной сложности за календарный месяц за фактически отработанное время без учета компенсационных и стимулирующих выплат;

заработная плата (оплата труда работника) - вознаграждение за труд в зависимости от квалификации работника, сложности, количества, качества и условий выполняемой работы, а также компенсационные и стимулирующие выплаты;

выплаты стимулирующего характера - доплаты и надбавки стимулирующего характера, премии и иные поощрительные выплаты;

выплаты компенсационного характера - доплаты и надбавки компенсационного характера, в том числе за работу в условиях, отклоняющихся от нормальных, и иные выплаты компенсационного характера.

1.3. Заработная плата (оплата труда работника) работников профессиональных квалификационных групп должностей работников образования, работников профессиональных квалификационных групп должностей медицинских и фармацевтических работников (далее соответственно - работники образования, медицинские работники) в дошкольных образовательных организациях определяется исходя из:

должностных окладов;

выплат стимулирующего характера;

выплат компенсационного характера.

1.4. При наступлении у работника права на изменение размера оплаты труда в связи с увеличением стажа работы по профилю, с присвоением квалификационной категории, с присвоением почетного звания, награждением ведомственными знаками отличия, в период пребывания в ежегодном или ином отпуске, в период его временной нетрудоспособности, а также в другие периоды, в течение которых за ним сохраняется средняя заработная плата, изменения размера оплаты его труда осуществляются по окончании указанных периодов.

1.5. Руководители дошкольных образовательных организаций:

проверяют документы об образовании и стаже педагогической работы (работы по специальности в определенной должности) на соответствие квалификационным характеристикам, которые определены приказом Министерства здравоохранения и социального развития Российской Федерации от 26 августа 2010 г. N 761н "Об утверждении Единого квалификационного справочника должностей руководителей, специалистов и служащих, раздел "Квалификационные характеристики должностей работников образования";

ежегодно составляют и утверждают на работников дошкольных образовательных организаций тарификационные списки;

несут ответственность за своевременное и правильное определение размеров заработной платы работников дошкольных образовательных организаций.

II. Определение базовых окладов работников дошкольных образовательных организаций (в ред. Постановления Кабинета министров Республики Татарстан от 21.04.2025 N 252)

2.1. Базовые оклады работников образования дошкольных образовательных организаций устанавливаются в следующих размерах:

Квалификационный уровеньНаименование должностиРазмер базового оклада в месяц, рублей
123
Профессиональная квалификационная группа должностей работников учебно-вспомогательного персонала первого уровня
Первый квалификационный уровеньВожатый23 600
Помощник воспитателя
Профессиональная квалификационная группа должностей работников учебно-вспомогательного персонала второго уровня
Первый квалификационный уровеньМладший воспитатель23 720
Профессиональная квалификационная группа должностей педагогических работников
Первый квалификационный уровеньИнструктор по физической культуре24 900
Музыкальный руководитель
Второй квалификационный уровеньПедагог дополнительного образования25 000
Третий квалификационный уровеньВоспитатель25 140
Педагог-психолог
Методист
Четвертый квалификационный уровеньСтарший воспитатель25 250
Тьютор (за исключением тьюторов, занятых в сфере высшего и дополнительного профессионального образования)
Учитель-дефектолог
Учитель-логопед (логопед)
Профессиональная квалификационная группа должностей руководителей структурных подразделений
Первый квалификационный уровеньЗаведующий (начальник) структурным подразделением: кабинетом, лабораторией, отделом, отделением, сектором, учебно-консультационным пунктом, учебной (учебно-производственной) мастерской и другими структурными подразделениями, реализующими общеобразовательную программу и образовательную программу дополнительного образования детей (кроме должностей руководителей структурных подразделений, отнесенных ко второму квалификационному уровню)25 300
Второй квалификационный уровеньЗаведующий (начальник) обособленным структурным подразделением, реализующим общеобразовательную программу и образовательную программу дополнительного образования детей, начальник (заведующий, директор, руководитель, управляющий): кабинета, лаборатории, отдела, отделения, сектора, учебно-консультационного пункта, учебной (учебно-производственной) мастерской, учебного хозяйства и других структурных подразделений образовательного учреждения (подразделения) начального и среднего профессионального образования (кроме должностей руководителей структурных подразделений, отнесенных к третьему квалификационному уровню)25 350

2.2. Базовые оклады медицинских работников дошкольных образовательных организаций устанавливаются в следующих размерах:

Квалификационный уровеньНаименование должностиРазмер базового оклада в месяц, рублей
123
Профессиональная квалификационная группа "Медицинский и фармацевтический персонал первого уровня"
Первый квалификационный уровеньМладшая медицинская сестра по уходу за больными (младший медицинский брат по уходу за больными)23 320
Профессиональная квалификационная группа "Средний медицинский и фармацевтический персонал"
Первый квалификационный уровеньИнструктор по лечебной физкультуре24 240
Второй квалификационный уровеньМедицинская сестра диетическая (медицинский брат диетический)24 740
Третий квалификационный уровеньМедицинская сестра (медицинский брат)25 240
Медицинская сестра по физиотерапии (медицинский брат по физиотерапии)
Медицинская сестра по массажу (медицинский брат по массажу)
Четвертый квалификационный уровеньФельдшер25 940
Пятый квалификационный уровеньСтаршая медицинская сестра (старший медицинский брат)26 940
Заведующий здравпунктом - фельдшер (медицинская сестра (медицинский брат))
Профессиональная квалификационная группа должностей "Врачи и провизоры"
Второй квалификационный уровеньВрачи-специалисты (кроме врачей-специалистов, отнесенных к третьему и четвертому квалификационным уровням)29 170

III. Норма часов за ставку заработной платы (базовый оклад) и нормативное количество объемных показателей работников дошкольных образовательных организаций

3.1. Продолжительность рабочего времени (нормы часов педагогической работы за ставку заработной платы) определена приказом Министерства образования и науки Российской Федерации от 22 декабря 2014 г. N 1601 "О продолжительности рабочего времени (нормах часов педагогической работы за ставку заработной платы) педагогических работников и о порядке определения учебной нагрузки педагогических работников, оговариваемой в трудовом договоре".

Продолжительность рабочего времени (норма часов за ставку заработной платы) для педагогических работников дошкольных образовательных организаций устанавливается исходя из сокращенной продолжительности рабочего времени не более 36 часов в неделю, которая включает преподавательскую (учебную) работу, воспитательную, а также другую педагогическую работу, предусмотренную должностными обязанностями и режимом рабочего времени, утвержденными в установленном порядке.

3.2. Норма часов за ставку заработной платы устанавливается заведующим дошкольными образовательными организациями с одной - двумя группами (кроме организаций, имеющих одну или несколько групп с круглосуточным пребыванием детей) в объеме трех часов в день.

Продолжительность рабочего времени (нормы часов за ставку заработной платы) работников культуры, медицинских работников определяется Трудовым кодексом Российской Федерации.

3.3. Нормативное количество объемных показателей за один час базовой ставки заработной платы (базового оклада), оказываемых работниками образования, составляет:

3.3.1. Старшим воспитателям, воспитателям, музыкальным руководителям, учителям-дефектологам, учителям-логопедам, педагогам-психологам, младшим воспитателям, помощникам воспитателей, работающим непосредственно с обучающимися (воспитанниками) дошкольного возраста:

в группах общеразвивающей направленности (включая разновозрастные):

от двух месяцев до трех лет - 15 детей;

от трех лет до прекращения образовательных отношений - 20 детей;

в группах в форме семейного образования - 7 детей;

в группах компенсирующей направленности для детей до трех лет и старше трех лет соответственно:

для детей с тяжелыми нарушениями речи - 6 детей и 10 детей;

для детей с фонетико-фонематическими нарушениями речи в возрасте старше трех лет - 12 детей;

для глухих детей - 6 детей для обеих возрастных групп;

для слабослышащих детей - 6 детей и 8 детей;

для слепых детей - 6 детей для обеих возрастных групп;

для слабовидящих детей, детей с амблиопией, косоглазием - 6 детей и 10 детей;

для детей с нарушениями опорно-двигательного аппарата - 6 детей и 8 детей;

для детей с задержкой психического развития, для детей с умственной отсталостью легкой степени - 6 детей и 10 детей;

для детей с умственной отсталостью умеренной, тяжелой степени в возрасте старше трех лет - 8 детей;

для детей с расстройствами аутистического спектра - 5 детей для обеих возрастных групп;

для детей со сложными дефектами (имеющие сочетание двух или более недостатков в физическом и (или) психическом развитии) - 5 детей для обеих возрастных групп;

в группах комбинированной направленности:

в возрасте до трех лет - не более 10 детей, в том числе не более 3 детей с ограниченными возможностями здоровья;

в возрасте старше трех лет:

не более 10 детей, в том числе не более 3 глухих детей, или слепых детей, или детей с нарушениями опорно-двигательного аппарата, или детей с умственной отсталостью умеренной, тяжелой степени, или детей с расстройствами аутистического спектра, или детей со сложным дефектом;

не более 15 детей, в том числе не более 4 слабовидящих и (или) детей с амблиопией и (или) косоглазием, или слабослышащих детей, или детей, имеющих тяжелые нарушения речи, или детей с умственной отсталостью легкой степени;

не более 17 детей, в том числе не более 5 детей с задержкой психического развития;

в группах оздоровительной направленности для детей до трех лет и старше трех лет:

для детей с туберкулезной интоксикацией - соответственно 10 детей и 15 детей;

для часто болеющих детей и других категорий детей, которым необходим комплекс специальных оздоровительных мероприятий, - соответственно 10 детей и 15 детей.

IV. Порядок формирования должностных окладов работников

4.1. Должностной оклад работников дошкольной образовательной организации (Od) рассчитывается по формуле:

,

где:

Ob - размер базового оклада работников дошкольной образовательной организации, принимаемый в соответствии с разделом II настоящего Положения;

Hf - фактическое количество часов работы в дошкольной образовательной организации;

HN - норма часов за ставку заработной платы работников дошкольной образовательной организации, установленная разделом III настоящего Положения;

Р - компенсация на обеспечение книгоиздательской продукцией и периодическими изданиями в размере 100 рублей устанавливается педагогическим работникам, входящим в профессиональную квалификационную группу должностей педагогических работников пропорционально учебной нагрузке, но не более чем на одну ставку по основному месту работы.

V. Выплаты стимулирующего характера

5.1. К выплатам стимулирующего характера относятся выплаты, направленные на стимулирование работника к качественному результату труда, а также поощрение за выполненную работу.

5.1.1. Выплаты стимулирующего характера включают в себя:

выплаты за квалификационную категорию;

выплаты за наличие почетных званий и ведомственных наград;

выплаты за стаж работы по профилю;

выплаты за интенсивность труда;

выплаты за работу в сельской местности;

выплаты за качество выполняемых работ;

премиальные и иные поощрительные выплаты.

5.2. Размеры и порядок установления выплат стимулирующего характера работникам образования дошкольных образовательных организаций:

5.2.1. Выплаты за квалификационную категорию (Bkk) предоставляются работникам профессиональных квалификационных должностных групп педагогических работников и руководителей структурных подразделений при наличии у них действующей квалификационной категории в пределах срока действия квалификационной категории и рассчитываются по формуле:

,

где:

Od - должностной оклад работников образования дошкольной образовательной организации;

Dkk ~ размер надбавки за квалификационную категорию, который приведен в таблице 1.

РАЗМЕРЫ НАДБАВОК ЗА КВАЛИФИКАЦИОННУЮ КАТЕГОРИЮ РАБОТНИКАМ ОБРАЗОВАНИЯ

Квалификационный уровеньКвалификационная категорияРазмер надбавки, процентов
Профессиональная квалификационная группа должностей педагогических работников
Первыйпервая квалификационная категория25,0
высшая квалификационная категория30,0
Второйпервая квалификационная категория26,0
высшая квалификационная категория31,0
Третийпервая квалификационная категория27,0
высшая квалификационная категория32,0
Четвертыйпервая квалификационная категория28,0
высшая квалификационная категория33,0
Профессиональная квалификационная группа должностей руководителей структурных подразделений
Первыйпервая квалификационная категория28,0
высшая квалификационная категория34,0
Второйпервая квалификационная категория28,0
высшая квалификационная категория34,0
Третийпервая квалификационная категория28,0
высшая квалификационная категория34,0

Установление (изменение) выплат за квалификационную категорию производится со дня принятия положительного решения соответствующей аттестационной комиссией.

5.2.2. Выплаты за наличие почетных званий и ведомственных наград (Bpz) предоставляются по должностям работников образования, входящим в профессиональные квалификационные группы должностей учебно-вспомогательного персонала первого и второго уровней, педагогических работников и руководителей структурных подразделений и рассчитываются по формуле:

,

где:

Od - должностной оклад работников образования дошкольной образовательной организации;

Dpz - размер надбавки за наличие почетных званий и ведомственных наград.

Размер надбавки за наличие почетных званий Российской Федерации, почетных званий Союза Советских Социалистических Республик, почетных званий союзных республик в составе Союза Советских Социалистических Республик составляет 7 процентов.

Размер надбавки за наличие почетных званий Республики Татарстан (Татарской Автономной Советской Социалистической Республики) составляет 6 процентов.

Размер надбавки за наличие ведомственных наград Российской Федерации, ведомственных наград Российской Советской Федеративной Социалистической Республики, ведомственных наград Республики Татарстан, ведомственных наград Союза Советских Социалистических Республик, ведомственных наград союзных республик в составе Союза Советских Социалистических Республик составляет 4 процента.

Размер надбавки за наличие Почетной грамоты Министерства просвещения Российской Федерации (Министерства образования и науки Российской Федерации, Министерства образования Российской Федерации) составляет 2 процента. Надбавка за наличие Почетной грамоты Министерства просвещения Российской Федерации (Министерства образования и науки Российской Федерации, Министерства образования Российской Федерации) устанавливается работникам образования, награждаемым приказом Министра просвещения Российской Федерации (Министра образования и науки Российской Федерации, Министра образования Российской Федерации) в соответствии с Порядком награждения ведомственными наградами Министерства просвещения Российской Федерации (Министерства образования и науки Российской Федерации, Министерства образования Российской Федерации).

Размер надбавки за наличие нагрудного знака "За заслуги в образовании", знака отличия "Почетный наставник", знака отличия "Отличник сферы образования и науки Республики Татарстан", нагрудного знака "За сохранение и развитие языков, культур, традиций", нагрудного знака "Яшь могаллим" составляет 2 процента. Надбавка за наличие нагрудного знака Республики Татарстан "За заслуги в образовании", знака отличия "Почетный наставник", знака отличия "Отличник сферы образования и науки Республики Татарстан", нагрудного знака "За сохранение и развитие языков, культур, традиций", нагрудного знака "Яшь могаллим" устанавливается на основании приказа министра образования и науки Республики Татарстан (министра образования Республики Татарстан).

Перечень почетных званий и ведомственных наград, за наличие которых работникам образования предоставляются соответствующие выплаты, приведен в приложении N 1 к настоящему Положению.

Установление размеров выплат за наличие почетных званий и ведомственных наград производится со дня присвоения почетного звания. Работникам образования, имеющим два и более почетных звания и (или) две и более ведомственные награды, выплата устанавливается по одному из оснований по выбору работника.

5.2.3. Выплаты за стаж работы по профилю (Bs) устанавливаются по группам по стажу в разрезе профессиональных квалификационных групп и квалификационных уровней в зависимости от продолжительности работы по профилю и рассчитываются по формуле:

,

где:

Od - должностной оклад работников образования дошкольной образовательной организации;

Ds - размер надбавки за стаж работы по профилю, который приведен в таблице 2.

Таблица 2

Размеры надбавок за стаж работы по профилю

Наименование профессиональной квалификационной группыКвалификационный уровеньГруппа по стажуРазмер надбавки, процентов
Должности учебно-вспомогательного персонала второго уровняпервый - второйот 4 до 10 лет1,0
от 10 до 15 лет2,0
свыше 15 лет3,0
Должности педагогических работниковпервый - четвертыйот 2 до 6 лет2,0
от 6 до 10 лет3,0
от 10 до 15 лет3,5
свыше 15 лет4,0
Должности руководителей структурных подразделенийпервый - третийот 2 до 6 лет2,0
от 6 до 10 лет3,0
от 10 до 15 лет3,5
свыше 15 лет4,0

5.2.4. Установление (изменение) размеров выплат за стаж работы по профилю при изменении стажа работы производится со дня достижения стажа, дающего право на увеличение размера выплат за стаж работы, если документы, подтверждающие стаж, находятся в дошкольной образовательной организации, или со дня представления необходимого документа, подтверждающего стаж.

5.2.5. В стаж педагогической работы засчитывается педагогическая, руководящая и методическая работа в образовательных организациях согласно таблице 3.

Таблица 3

Перечень организаций и должностей, время работы в которых засчитывается в педагогический стаж работников образования

Наименование организацииНаименование должности
12
Образовательные организации, в том числе образовательные организации высшего образования, военные образовательные организации высшего образования и военные профессиональные образовательные организации, организации дополнительного профессионального образования (повышения квалификации специалистов); медицинские организации и организации социального обслуживания, дома ребенка, детские: санатории, клиники, поликлиники, больницы и др.Учителя, преподаватели, учителя-дефектологи, учителя-логопеды (логопеды), преподаватели-организаторы основ безопасности и защиты Родины, руководители физического воспитания, старшие мастера, мастера производственного обучения (в том числе обучения вождению транспортных средств, работе на сельскохозяйственных машинах, работе на пишущих машинах и другой организационной технике), старшие методисты, методисты, старшие инструкторы-методисты, инструкторы-методисты (в том числе по физической культуре и спорту, по туризму), концертмейстеры, музыкальные руководители, старшие воспитатели, воспитатели, классные воспитатели, социальные педагоги, педагоги-психологи, педагоги-организаторы, педагоги дополнительного образования, старшие тренеры-преподаватели, тренеры-преподаватели, старшие вожатые (пионервожатые), инструкторы по физической культуре, инструкторы по труду, директора (начальники, заведующие), заместители директоров (начальников, заведующих) по учебной, учебно-воспитательной, учебно-производственной, воспитательной, культурно-воспитательной работе, по производственному обучению (работе), по иностранному языку, по учебно-летной подготовке, по общеобразовательной подготовке, по режиму, заведующие учебной частью, заведующие (начальники) практикой, учебно-консультационными пунктами, логопедическими пунктами, интернатами, отделениями, отделами, лабораториями, кабинетами, секциями, филиалами, курсами и другими структурными подразделениями, деятельность которых связана с образовательным (воспитательным) процессом, методическим обеспечением, старшие дежурные по режиму, дежурные по режиму, аккомпаниаторы, культорганизаторы, экскурсоводы, профессорско-преподавательский состав
(в ред. Постановления Кабинета министров Республики Татарстан от 19.06.2025 N 444)
Методические (учебно-методические) организации всех наименований (независимо от ведомственной подчиненности)Руководители, их заместители, заведующие секторами, кабинетами, лабораториями, отделами, научные сотрудники, деятельность которых связана с методическим обеспечением, старшие методисты, методисты
Органы управления образованием и органы (структурные подразделения), осуществляющие руководство образовательными организациямиРуководящие, инспекторские, методические инструкторские должности, а также другие должности специалистов (за исключением работы на должностях, связанных с экономической, финансовой, хозяйственной деятельностью, со строительством, снабжением, делопроизводством)
Отделы (бюро) технического обучения, отделы кадров организаций, подразделений министерств (ведомств), занимающихся вопросами подготовки и повышения квалификации кадров на производствеШтатные преподаватели, мастера производственного обучения рабочих на производстве, руководящие, инспекторские, инженерные, методические должности, деятельность которых связана с вопросами подготовки и повышения квалификации
Образовательные организации РОСТО (ДОСААФ) и гражданской авиацииРуководящий, командно-летный, командно-инструкторский, инженерно-инструкторский, инструкторский и преподавательский составы, мастера производственного обучения, инженеры-инструкторы-методисты, инженеры-летчики-методисты
Общежития организаций, жилищно-эксплуатационные организации, молодежные жилищные комплексы, детские кинотеатры, театры юного зрителя, кукольные театры, культурно-просветительские организации по работе с детьми и подросткамиВоспитатели, педагоги-организаторы, педагоги-психологи (психологи), преподаватели, педагоги дополнительного образования (руководители кружков) для детей и подростков, инструкторы и инструкторы-методисты, тренеры-преподаватели и другие специалисты по работе с детьми и подростками, заведующие детскими отделами, секторами
Исправительные колонии, воспитательные колонии, следственные изоляторы и тюрьмы, лечебно-исправительные организацииРабота (служба) при наличии педагогического образования на должностях: заместитель начальника по воспитательной работе, начальник отряда, старший инспектор, инспектор по общеобразовательной работе (обучению), старший инспектор-методист и инспектор-методист, старший инженер и инженер по производственно-техническому обучению, старший мастер и мастер производственного обучения, старший инспектор и инспектор по охране и режиму, заведующий учебно-техническим кабинетом, психолог

Примечание:

В стаж педагогической работы включаются:

время работы в качестве учителей-дефектологов, логопедов, воспитателей в медицинских организациях и организациях, осуществляющих социальное обслуживание для взрослых, методистов организационно-методического отдела организаций здравоохранения Республики Татарстан;

время работы в других организациях, службы в Вооруженных Силах СССР и Российской Федерации, обучения в образовательных организациях высшего образования и профессиональных образовательных организациях по программам подготовки специалистов среднего звена в следующем порядке:

педагогическим работникам в стаж педагогической работы засчитывается без всяких условий и ограничений:

время нахождения на военной службе по контракту из расчета один день военной службы за один день работы, а время нахождения на военной службе по призыву - один день военной службы за два дня работы;

время работы в должности заведующего фильмотекой и методиста фильмотеки; педагогическим работникам в стаж педагогической работы засчитываются следующие периоды времени при условии, если этим периодам, взятым как в отдельности, так и в совокупности, непосредственно предшествовала и за ними непосредственно следовала педагогическая деятельность:

время службы в Вооруженных Силах СССР и Российской Федерации на должностях офицерского, сержантского, старшинского составов, прапорщиков и мичманов (в том числе в войсках МВД, в войсках и органах безопасности), кроме времени нахождения на военной службе по контракту и по призыву;

время работы на руководящих, инспекторских, инструкторских и других должностях специалистов в аппаратах территориальных организаций (комитетах, советах) профсоюза работников народного образования и науки Российской Федерации (просвещения, высшей школы и научных организаций);

на выборных должностях в профсоюзных органах;

на инструкторских и методических должностях в педагогических обществах и правлениях Детского фонда;

в должности директора (заведующего) Дома учителя (работника народного образования, профтехобразования);

комиссиях по делам несовершеннолетних и защите их прав или в отделах социально-правовой охраны несовершеннолетних, в подразделениях по предупреждению правонарушений (инспекциях по делам несовершеннолетних, детских комнатах милиции) органов внутренних дел.

5.2.6. В стаж педагогической работы отдельных категорий педагогических работников засчитывается время работы в организациях и время службы в Вооруженных Силах СССР и Российской Федерации по специальности (профессии), соответствующей профилю работы в образовательной организации или профилю преподаваемого предмета (курса, дисциплины, кружка):

преподавателям-организаторам основ безопасности и защиты Родины; (в ред. Постановления Кабинета министров Республики Татарстан от 19.06.2025 N 444)

учителям и преподавателям физического воспитания, руководителям физического воспитания, инструкторам по физкультуре, инструкторам-методистам (старшим инструкторам-методистам), тренерам-преподавателям (старшим тренерам-преподавателям);

учителям, преподавателям трудового (профессионального) обучения, технологии, черчения, изобразительного искусства, информатики, специальных дисциплин, в том числе специальных дисциплин общеобразовательных организаций (классов) с углубленным изучением отдельных предметов;

мастерам производственного обучения;

педагогам дополнительного образования;

педагогическим работникам экспериментальных образовательных организаций;

педагогам-психологам;

методистам;

педагогическим работникам организаций среднего профессионального образования по программам подготовки специалистов среднего звена (отделений) культуры и искусства, музыкально-педагогических, художественно-графических, музыкальных;

преподавателям организаций дополнительного образования детей (культуры и искусства, в том числе музыкальных и художественных), преподавателям специальных дисциплин музыкальных и художественных общеобразовательных организаций, преподавателям музыкальных дисциплин педагогических училищ (педагогических колледжей), учителям музыки, музыкальным руководителям, концертмейстерам.

5.2.3.4. Воспитателям (старшим воспитателям) дошкольных образовательных организаций, домов ребенка в педагогический стаж включается время работы в должности медицинской сестры ясельной группы дошкольных образовательных организаций, постовой медсестры домов ребенка, а воспитателям ясельных групп - время работы на медицинских должностях.

5.2.3.5. Время работы в должностях помощника воспитателя и младшего воспитателя засчитывается в стаж педагогической работы при условии, если в период работы на этих должностях работник имел педагогическое образование или обучался в образовательной организации высшего образования или профессиональной образовательной организации.

5.2.3.6. Работникам организаций время педагогической работы в образовательных организациях, выполняемой помимо основной работы на условиях почасовой оплаты, включается в педагогический стаж, если ее объем (в одной или нескольких образовательных организациях) составляет не менее 180 часов в учебном году.

При этом в педагогический стаж засчитываются только те месяцы, в течение которых выполнялась педагогическая работа.

5.2.7. Право решать конкретные вопросы о соответствии работы в организациях и службы в Вооруженных Силах СССР и Российской Федерации профилю работы, преподаваемого предмета (курса, дисциплины, кружка) предоставляется руководителю образовательной организации по согласованию с профсоюзным органом.

5.3. Размеры и порядок установления выплат стимулирующего характера медицинским работникам дошкольных образовательных организаций:

5.3.1. Выплаты за квалификационную категорию (Bkk) предоставляются медицинским работникам, занятым по специальностям, предусматривающим в соответствии с тарифно-квалификационными характеристиками присвоение квалификационных категорий по итогам аттестации в разрезе профессиональных квалификационных групп и рассчитываются по формуле:

,

где:

Od - должностной оклад медицинских работников дошкольной образовательной организации;

Dkk - размер надбавки за квалификационную категорию, которые приведены в таблице 4.

Изменение (установление) выплат за квалификационную категорию производится согласно дате приказа органа, при котором создана аттестационная комиссия.

Таблица 4

Размеры надбавок за квалификационную категорию

Квалификационная категорияРазмер надбавки, процентов
Профессиональная квалификационная группа должностей среднего медицинского и фармацевтического персонала
Вторая квалификационная категория3,0
Первая квалификационная категория6,0
Высшая квалификационная категория10,0
Профессиональная квалификационная группа должностей врачей и провизоров
Вторая квалификационная категория6,0
Первая квалификационная категория10,0
Высшая квалификационная категория20,0

5.3.2. Выплаты за наличие почетных званий предоставляются медицинским работникам, входящим в профессиональные квалификационные группы должностей медицинских и фармацевтических работников (Bpz), и рассчитываются по формуле:

,

где:

Od - должностной оклад медицинских работников дошкольной образовательной организации;

Dpz - размер надбавки за наличие почетных званий.

Размер надбавки за наличие почетных званий Республики Татарстан, почетных званий автономных республик в составе Союза Советских Социалистических Республик составляет 6 процентов.

Размер надбавки за наличие почетных званий Российской Федерации, Союза Советских Социалистических Республик, союзных республик в составе Союза Советских Социалистических Республик составляет 7 процентов.

Перечень почетных званий, за наличие которых медицинским и фармацевтическим работникам предоставляются соответствующие выплаты, приведен в приложении N 2 к настоящему Положению.

Установление размеров выплат за наличие почетных званий производится со дня присвоения почетного звания. Работникам, имеющим два и более почетных звания, выплата за их наличие устанавливается по одному из почетных званий по выбору работника.

5.3.3. Выплаты за стаж работы по профилю (Bsr) устанавливаются медицинским работникам по группам по стажу в разрезе профессиональных квалификационных групп в зависимости от продолжительности работы по профилю и рассчитываются по формуле:

,

где:

Od - должностной оклад медицинских работников дошкольной образовательной организации;

Dsr - размер надбавки за стаж работы по профилю, который приведен в таблице 5.

Таблица 5

Размеры надбавок за стаж работы по профилю

Наименование профессиональной квалификационной группыГруппа по стажуРазмер надбавки, процентов
123
Медицинский и фармацевтический персонал первого уровняот 2 до 5 лет2,5
от 5 до 10 лет3,5
от 10 до 15 лет4,5
свыше 15 лет5,5
Средний медицинский и фармацевтический персоналот 3 до 5 лет2,5
от 5 до 10 лет3,5
от 10 до 15 лет4,5
свыше 15 лет5,5
Врачи и провизорыот 3 до 5 лет5,0
от 5 до 10 лет7,5
от 10 до 15 лет9,0
свыше 15 лет10,0

Установление (изменение) размеров выплат за стаж работы по профилю при изменении стажа работы производится со дня достижения стажа, дающего право на увеличение размера выплат за стаж работы по профилю, если документы, подтверждающие стаж, находятся в дошкольной образовательной организации, или со дня представления необходимого документа, подтверждающего стаж.

5.3.4. Выплаты за интенсивность труда (Bsr) предоставляются по должностям работникам профессиональных квалификационных групп должностей среднего медицинского и фармацевтического персонала, врачей и провизоров и рассчитываются по формуле:

,

где:

Od - должностной оклад медицинских работников дошкольной образовательной организации;

Dsr - размер надбавки за интенсивность труда, который приведен в таблице 6.

Таблица 6

Размеры надбавок за интенсивность труда

Наименование профессиональной квалификационной группыКвалификационный уровеньДиапазон надбавок, процентов
Средний медицинский и фармацевтический персоналвторой1,5
третий3,0
четвертый4,5
пятый10,0
Врачи и провизорыпервый - второй5,0

5.4. Выплаты специалистам за работу в сельской местности (Bsm) предоставляются работникам, входящим в профессиональные квалификационные группы должностей педагогических работников и руководителей структурных подразделений, медицинским работникам, входящим в профессиональные квалификационные группы среднего медицинского и фармацевтического персонала, врачей и провизоров и рассчитываются по формуле:

,

где:

Dsm - размер выплаты специалистам за работу в сельской местности, принимаемый равным 1 388 рублям;

Hf - фактическое количество часов работы в дошкольных образовательных организациях;

HN - норма часов за ставку заработной платы работников дошкольных образовательных организаций, установленная разделом III настоящего Положения.

Выплаты специалистам за работу в сельской местности предоставляются также работникам дошкольных образовательных организаций, расположенных в следующих городских поселениях, образованных на основе поселков городского типа:

Апастово;

Балтаси;

Богатые Сабы;

5.5. Премиальные и иные поощрительные выплаты устанавливаются работникам дошкольных образовательных организаций по основному месту работы и основной должности единовременно за определенный период времени (месяц, квартал, год) в связи с юбилейными датами, получением знаков отличия, благодарственных писем, грамот, почетных званий и по иным основаниям, установленным локальными нормативными актами и коллективными договорами дошкольной образовательной организации.

5.5.1. Размеры, порядок и условия осуществления премиальных и иных поощрительных выплат по итогам работы определяются локальными нормативными актами дошкольной образовательной организации и коллективными договорами.

5.5.2. Размер фонда оплаты труда, предусмотренного на премиальные выплаты работникам дошкольных образовательных организаций, составляет не менее 2 процентов от фонда оплаты труда, предусмотренного на выплату окладов (ставок заработной платы, должностных окладов), выплат стимулирующего характера (за исключением выплат специалистам за работу в сельской местности), выплат за специфику образовательной программы, работникам по основному месту работы и основной должности (за исключением работников, занимающих должности учителей и преподавателей).

5.5.3. В целях повышения эффективности деятельности работников дошкольных образовательных организаций и сохранения достигнутого уровня целевых показателей, установленных Указом Президента Российской Федерации от 7 мая 2012 года N 597 "О мероприятиях по реализации государственной социальной политики", работникам, входящим в профессиональную квалификационную группу должностей педагогических работников, по основному месту работы и основной должности при наличии средств производится единовременная поощрительная выплата. Порядок, условия и конкретный размер выплаты в указанных целях устанавливаются локальными нормативными актами дошкольной образовательной организации.

5.6. Выплаты за качество выполняемых работ устанавливаются работникам до-школьных образовательных организаций по основному месту работы по результатам труда за определенный период времени. Основным критерием, влияющим на размер выплат за качество выполняемых работ, является достижение пороговых значений критериев оценки эффективности деятельности работников дошкольных образовательных организаций.

5.6.1. Критерии оценки эффективности деятельности работников дошкольных образовательных организаций утверждаются руководителем организации по согласованию с профсоюзным органом. Значения критериев оценки эффективности деятельности работников дошкольных образовательных организаций и условия осуществления выплат определяются ежегодно на основании задач, поставленных перед дошкольной образовательной организацией.

5.6.2. Размеры, порядок и условия осуществления выплат за качество выполняемых работ определяются локальными нормативными актами дошкольной образовательной организации и коллективными договорами.

5.6.3. Выплаты за качество выполняемых работ (Вкj) рассчитываются по формуле:

,

где:

FOTk - фонд оплаты труда, предусмотренный на выплаты за качество выполняемых работ.

Iij - отнормированный i-й критерий оценки эффективности деятельности по j-му работнику;

Ki - весовой коэффициент i-ro критерия оценки эффективности деятельности;

n - количество критериев оценки эффективности деятельности;

m - численность работников дошкольной образовательной организации.

5.6.4. Нормирование критериев эффективности деятельности обеспечивает сопоставимость критериев эффективности различной размерности. Нормирование заключается в выборе диапазона значений критерия эффективности деятельности (наилучшее и наихудшее), одно из которых соответствует нулевому значению отнормированного критерия, другое - единичному. При нахождении фактического значения критерия эффективности в пределах диапазона значений критерия эффективности деятельности отнормированный критерий эффективности деятельности принимает значения от нуля до единицы. При фактическом значении критерия эффективности ниже наихудшего значения значение отнормированного критерия принимается равным нулю, при выше наилучшего - единице.

5.6.5. Зависимость значения отнормированного критерия эффективности деятельности от значения критерия эффективности деятельности может быть прямой (положительная динамика определяется увеличением значения критерия) и обратной (положительная динамика определяется уменьшением значения критерия).

5.6.6. Отнормированный критерий при прямой зависимости его значения от значения критерия (Ii) рассчитывается по формуле:

,

где:

FIi - фактическое значение критерия эффективности деятельности;

Мi - наилучшее значение критерия эффективности деятельности;

Li - наихудшее значение критерия эффективности деятельности.

5.6.7. Отнормированный критерий эффективности деятельности при обратной зависимости его значения от значения критерия (Ii) рассчитывается по формуле:

,

где:

li - отнормированный i-й критерий оценки эффективности деятельности;

FIi - фактическое значение критерия эффективности деятельности;

Мi - наилучшее значение критерия эффективности деятельности;

Li - наихудшее значение критерия эффективности деятельности.

5.6.8. Весовыми коэффициентами определяется степень приоритетности критерия эффективности деятельности. Наиболее приоритетному критерию присваивается наибольший коэффициент. Относительный весовой коэффициент (Ki) рассчитывается по формуле:

,

где:

VKi - весовой коэффициент i-ro критерия оценки эффективности деятельности.

5.6.9. Предельный совокупный размер весовых коэффициентов по критериям эффективности деятельности работников дошкольной образовательной организации приведен в таблицах 7 и 8.

Таблица 7

Предельный совокупный размер весовых коэффициентов по критериям эффективности деятельности работников образования

N п/пНаименование должностиПредельный совокупный размер весовых коэффициентов
123
1.Профессиональная квалификационная группа учебно-вспомогательного персонала первого уровня
1.1.Вожатый5
1.2.Помощник воспитателя5
2.Профессиональная квалификационная группа учебно-вспомогательного персонала второго уровня
2.1.Младший воспитатель35
3. Профессиональная квалификационная группа должностей педагогических работников
3.1.Инструктор по физической культуре45
3.2.Музыкальный руководитель45
3.3.Педагог дополнительного образования50
3.4.Воспитатель55
3.5.Методист55
3.6.Педагог-психолог55
3.7.Старший воспитатель60
3.8.Старший методист60
3.9.Тьютор (за исключением тьюторов, занятых в сфере высшего и дополнительного профессионального образования)60
3.10.Учитель-дефектолог60
3.11.Учитель-логопед (логопед)60
4. Профессиональная квалификационная группа должностей руководителей структурных подразделений
4.1.Заведующий (начальник) структурным подразделением: кабинетом, лабораторией, отделом, отделением, сектором, учебно-консультационным пунктом, учебной (учебно-производственной) мастерской и другими структурными подразделениями, реализующими общеобразовательную программу и образовательную программу дополнительного образования детей (кроме должностей руководителей структурных подразделений, отнесенных ко второму квалификационному уровню)65
4.2.Заведующий (начальник) обособленным структурным подразделением, реализующим образовательную программу и образовательную программу дополнительного образования детей, начальник (заведующий, директор, руководитель, управляющий): кабинета, лаборатории, отдела, отделения, сектора, учебно-консультационного пункта, учебной (учебно-производственной) мастерской, учебного хозяйства и других структурных подразделений образовательного учреждения (подразделения) начального и среднего профессионального образования (кроме должностей руководителей структурных подразделений, отнесенных к третьему квалификационному уровню)70

Таблица 8

Предельный совокупный размер весовых коэффициентов по критериям эффективности деятельности медицинских работников

N п/пНаименование должностиПредельный совокупный размер весовых коэффициентов
123
1. Профессиональная квалификационная группа должностей медицинского и фармацевтического персонала первого уровня
1.1.Младшая медицинская сестра по уходу за больными (младший медицинский брат по уходу за больными)5
2.Профессиональная квалификационная группа должностей среднего медицинского и фармацевтического персонала
Первый квалификационный уровень
2.1.Инструктор по лечебной физкультуре35
Второй квалификационный уровень
2.2.Медицинская сестра диетическая (медицинский брат диетический)37
Третий квалификационный уровень
2.3.Медицинская сестра (медицинский брат)40
2.4.Медицинская сестра по физиотерапии (медицинский брат по физиотерапии)40
2.5.Медицинская сестра по массажу (медицинский брат по массажу)40
Четвертый квалификационный уровень
2.6.Фельдшер45
Пятый квалификационный уровень
2.7.Старшая медицинская сестра (старший медицинский брат)50
3. Профессиональная квалификационная группа должностей врачей и провизоров
Второй квалификационный уровень
3.1.Врачи-специалисты (кроме врачей-специалистов, отнесенных к третьему и четвертому квалификационным уровням)60

5.6.10. Типовые критерии эффективности деятельности работников дошкольных образовательных организаций и их весовые коэффициенты утверждаются Министерством образования и науки Республики Татарстан.

5.6.11. В дошкольной образовательной организации формируется фонд выплат стимулирующего характера за качество выполняемых работ, объем (FOTk) которого рассчитывается по формуле:

,

где:

FOTdo - фонд оплаты труда работников дошкольной образовательной организации по должностным окладам работников по основному месту работы (за исключением работников, занимающих должности учителей и преподавателей);

Dk - доля фонда оплаты труда на выплаты стимулирующего характера за качество выполняемых работ.

Рекомендуемая доля фонда оплаты труда на выплаты стимулирующего характера за качество выполняемых работ принимается в размере 17,5 процента.

VI. Выплаты компенсационного характера

6.1. К выплатам компенсационного характера в дошкольной образовательной организации относятся:

выплаты компенсационного характера работникам, занятым на работах с вредными и (или) опасными условиями труда;

выплаты компенсационного характера за работу в условиях, отклоняющихся от нормальных (при выполнении работ различной квалификации, совмещении профессий (должностей), сверхурочной работы, работы в ночное время и при выполнении работ в других условиях, отклоняющихся от нормальных);

выплаты компенсационного характера за работу с определенными категориями воспитанников (обучающихся) с ограниченными возможностями здоровья;

выплаты компенсационного характера за работу в дошкольных образовательных организациях для детей с ограниченными возможностями здоровья работникам профессиональных квалификационных групп должностей медицинских и фармацевтических работников дошкольных образовательных организаций;

выплаты компенсационного характера за специфику образовательной программы.

6.2. Выплаты компенсационного характера, размеры и условия их осуществления устанавливаются коллективными договорами, локальными нормативными актами, трудовым договором в соответствии с трудовым законодательством и иными нормативными правовыми актами, содержащими нормы трудового права.

6.3. Выплаты компенсационного характера работникам, занятым на работах с вредными и (или) опасными условиями труда (Bkh), рассчитываются по формуле:

,

где:

Ob - размер базового оклада работников дошкольной образовательной организации, принимаемый в соответствии с разделом II настоящего Положения;

Hfk - фактически отработанное время, по которому законодательством предусмотрена выплата компенсационного характера;

HN - норма часов за ставку заработной платы работников дошкольной образовательной организации, установленная разделом III настоящего Положения;

Р - компенсация на обеспечение книгоиздательской продукцией и периодическими изданиями в размере 100 рублей устанавливается педагогическим работникам пропорционально учебной нагрузке, но не более чем на одну ставку по основному месту работы;

Dkh - размер надбавки за выплату компенсационного характера, определяемый в соответствии с Трудовым кодексом Российской Федерации.

Оплата труда работников, занятых на работах с вредными и (или) опасными условиями труда, устанавливается в повышенном размере по сравнению с оплатой труда, установленной для различных видов работ с нормальными условиями труда, на основании специальной оценки условий труда в размере 4 процентов.

6.4. Выплаты компенсационного характера за работу в условиях, отклоняющихся от нормальных (при выполнении работ различной квалификации, совмещении профессий (должностей), сверхурочной работе, работе в ночное время и при выполнении работ в других условиях, отклоняющихся от нормальных), устанавливаются за каждый час работы в ночное время, который оплачивается в повышенном размере по сравнению с работой в нормальных условиях, но не ниже размеров, установленных законами и иными нормативными правовыми актами.

В случае привлечения работника к работе в установленный ему графиком выходной день или нерабочий праздничный день работа оплачивается не менее чем в двойном размере. Работникам, получающим должностной оклад, работа оплачивается в размере не менее одинарной дневной или часовой базовой ставки сверх оклада, если она производилась в выходной и нерабочий праздничный день в пределах месячной нормы рабочего времени, и в размере не менее двойной часовой или дневной ставки сверх базового оклада, если работа производилась сверх месячной нормы.

6.4.1. По желанию работника, работавшего в выходной или нерабочий праздничный день, ему может быть предоставлен другой день отдыха. В этом случае работа в нерабочий праздничный день оплачивается в одинарном размере, а день отдыха оплате не подлежит.

6.6. Выплаты компенсационного характера за работу с определенными категориями воспитанников (обучающихся), с ограниченными возможностями здоровья предоставляются работникам образования в дошкольных образовательных организациях.

6.6.1. Выплаты компенсационного характера за работу с определенными категориями воспитанников (обучающихся) с ограниченными возможностями здоровья для педагогических работников, которым установлены нормы часов педагогической работы в неделю за ставку заработной платы (Bkh), рассчитываются по формуле:

,

где:

Ob - размер базового оклада работников дошкольной образовательной организации, принимаемый в соответствии с разделом II настоящего Положения;

Hf - фактическое количество часов ведения педагогической работы дошкольной образовательной организации;

Yf - фактическое количество объемных показателей, выполняемых педагогическими работниками дошкольной образовательной организации;

HN - норма часов за ставку заработной платы работников дошкольной образовательной организации, установленная разделом III настоящего Положения;

YN - нормативное количество объемных показателей, выполняемых педагогическими работниками дошкольной образовательной организации;

Р - компенсация на обеспечение книгоиздательской продукцией и периодическими изданиями в размере 100 рублей устанавливается педагогическим работникам пропорционально учебной нагрузке, но не более чем на одну ставку по основному месту работы;

Dkh - размеры выплат компенсационного характера за работу с определенными категориями воспитанников (обучающихся) с ограниченными возможностями здоровья, которые приведены в таблице 9 настоящего Положения.

6.6.2. Выплаты компенсационного характера за работу в условиях, отклоняющихся от нормальных (при выполнении работ с определенными категориями воспитанников (обучающихся) с ограниченными возможностями здоровья, для работников образования (за исключением педагогических работников, выплаты которым определены пунктом 6.6.1 настоящего Положения) (Вкh) рассчитываются по формуле:

,

где:

Od - должностной оклад работников в дошкольной образовательной организации;

Dkh - размеры выплат компенсационного характера за работу с определенными категориями воспитанников (обучающихся) с ограниченными возможностями здоровья, которые приведены в таблице 9.

6.6.3. При работе педагогических и учебно-вспомогательных работников в дошкольных образовательных организациях с определенными категориями воспитанников предусматривается предоставление выплат компенсационного характера по нескольким основаниям, размер выплат рассчитывается по каждому основанию отдельно.

6.6.4. Перечень должностей работников, которым с учетом конкретных условий работы в данной дошкольной образовательной организации, подразделении и должности устанавливаются надбавки компенсационного характера, утверждается в каждой дошкольной образовательной организации по согласованию с выборным профсоюзным органом (или иным органом, уполномоченным представлять интересы работников).

Таблица 9

Размеры надбавок компенсационного характера за работу с определенными категориями воспитанников (обучающихся) с ограниченными возможностями здоровья

N п/пОснование назначения надбавкиДолжности, по которым назначаются надбавки за работу с определенными категориями воспитанников (обучающихся) с ограниченными возможностями здоровьяРазмер надбавки, процентов
наименование профессиональной квалификационной группыквалификационный уровень
12345
1.Работа в дошкольных образовательных организациях (группах), реализующих адаптированные образовательные программы для воспитанников с туберкулезной интоксикацией, с ограниченными возможностями здоровья по слуху, по зрению, имеющих нарушения опорно-двигательного аппарата, с задержкой психического развития, с расстройствами аутистического развития, со сложными дефектами и умственно отсталых детейдолжности учебно-вспомогательного персонала первого уровняпервый7,0
должности учебно-вспомогательного персонала второго уровняпервый - второй7,0
должности педагогических работниковпервый - четвертый7,0
2.Работа в дошкольных образовательных организациях (группах), реализующих адаптированные образовательные программы для воспитанников с тяжелыми нарушениями речидолжности педагогических работниковпервый - третий4,0

6.7. Выплаты компенсационного характера за работ)' в дошкольных образовательных организациях, реализующих адаптированные образовательные программы для детей с ограниченными возможностями здоровья работникам профессиональных квалификационных групп должностей медицинских и фармацевтических работников в отдельных учреждениях (Bkhm), рассчитываются по формуле:

,

где:

Od - должностной оклад работников профессиональных квалификационных групп должностей медицинских работников;

Dkhm - размер выплаты компенсационного характера за работу в дошкольных образовательных организациях для детей с ограниченными возможностями здоровья работникам профессиональных квалификационных групп должностей медицинских и фармацевтических работников равен 15 процентам.

6.8. Выплаты компенсационного характера за специфику образовательной программы для педагогических работников дошкольной образовательной организации (Bsop), рассчитываются по формуле:

,

где:

Ob - размер базового оклада работников дошкольной образовательной организации, принимаемый в соответствии с разделом II настоящего Положения;

Hf - фактическое количество часов ведения педагогической работы дошкольной образовательной организации;

Yf - фактическое количество объемных показателей, выполняемых работниками образования дошкольной образовательной организации;

HN - норма часов за ставку заработной платы работников дошкольной образовательной организации, установленная разделом III настоящего Положения;

YN - нормативное количество объемных показателей, выполняемых педагогическими работниками образования дошкольной образовательной организации;

Р - компенсация на обеспечение книгоиздательской продукцией и периодическими изданиями в размере 100 рублей устанавливается педагогическим работникам пропорционально учебной нагрузке, но не более чем на одну ставку по основному месту работы;

DSOp _ размер надбавки за специфику образовательной программы, который приведен в таблице 10.

6.8.1. При работе педагогических работников в дошкольных образовательных организациях с определенными категориями воспитанников, предусматривающих предоставление выплат за специфику образовательной программы по нескольким основаниям, размер выплат за специфику образовательной программы рассчитывается по каждому основанию.

6.8.2. Перечень должностей работников, которым с учетом конкретных условий работы в данной дошкольной образовательной организации, подразделении и должности устанавливаются надбавки за специфику образовательной программы, утверждается в каждой дошкольной образовательной организации по согласованию с выборным профсоюзным органом (или иным органом, уполномоченным представлять интересы работников).

Таблица 10

Размеры надбавок за специфику образовательной программы

N п/пОснование назначения надбавки за специфику образовательной программыДолжности, по которым назначаются надбавки за специфику образовательной программыРазмер надбавки, процентов
наименование профессиональной квалификационной группыквалификационный уровень
12345
1.Обучение детей русскому языку в дошкольных образовательных организациях с нерусским языком обучения, расположенных в сельской местности и поселках городского типадолжности педагогических работниковтретий - четвертый5,0
2.Обучение детей родному (татарскому, чувашскому, марийскому и др. (за исключением русского) языку в дошкольных образовательных организациях с русским языком обучениядолжности педагогических работниковтретий - четвертый5,0
3.Применение иностранного языка в практической работе в дошкольных образовательных организациях с приоритетным осуществлением одного или нескольких направлений развития воспитанниковдолжности педагогических работниковтретий3,0
4Работа в образовательных организациях, осуществляющих образовательную деятельность по образовательным программам дошкольного образованиядолжности педагогических работниковпервый - четвертый28

6.9. Выплаты компенсационного характера за специфику деятельности (Bsd), предоставляются медицинским работникам профессиональных квалификационных групп должностей медицинских и фармацевтических работников и руководителям структурных подразделений дошкольных образовательных организаций рассчитываются по формуле:

,

где:

Od - должностной оклад медицинских работников и руководителей структурных подразделений в дошкольной образовательной организации;

Dsd - размер надбавки за специфику деятельности, который приведен в таблице 11.

6.9.1. Перечень должностей медицинских работников и руководителей структурных подразделений, которым с учетом конкретных условий работы в данной дошкольной образовательной организации, подразделении и должности устанавливаются надбавки за специфику деятельности, утверждается каждым учреждением по согласованию с выборным профсоюзным органом или иным органом, уполномоченным представлять интересы работников.

Таблица 11

Размеры надбавок за специфику деятельности

N п/пОснование назначения надбавки за специфику деятельностиНаименование профессиональной квалификационной группыРазмер надбавки, процентов
1.Работа в дошкольных образовательных организацияхсредний медицинский и фармацевтический персонал12
врачи и провизоры5
2.Работа в дошкольных образовательных организацияхдолжности руководителей структурных подразделений28

VII. Порядок определения заработной платы руководителя дошкольной образовательной организации, заместителя руководителя, главного бухгалтера

7.1. Заработная плата руководителей дошкольных образовательных организаций, их заместителей и главных бухгалтеров состоит из должностных окладов, выплат компенсационного и стимулирующего характера.

7.2. Должностной оклад руководителя дошкольной образовательной организации устанавливается Министерством образования и науки Республики Татарстан один раз в год на начало учебного года в зависимости от группы по оплате труда (Od) и рассчитывается по формуле:

,

где:

Ob - размер базового оклада руководителя;

Hf - фактическое количество часов работы в дошкольных образовательных организациях;

HN - норма часов за ставку заработной платы работников дошкольных образовательных организаций, установленная разделом III настоящего Положения.

Группа по оплате труда руководителя дошкольной образовательной организации определяется в зависимости от численности воспитанников.

7.3. Должностные оклады заместителей руководителей и главных бухгалтеров дошкольной образовательной организации устанавливаются на 20 - 30 процентов ниже должностных окладов руководителей этих дошкольных образовательных организаций.

7.4. Выплаты стимулирующего характера за качество выполняемых работ руководителю дошкольной образовательной организации устанавливаются Министерством образования и науки Республики Татарстан с учетом результатов деятельности, определенных на основании критериев эффективности их деятельности. Выплаты стимулирующего характера за качество выполняемых работ руководителю дошкольной образовательной организации могут осуществляться ежемесячно, по итогам работы за год, за выполнение важных и особо важных заданий.

7.5. Группа по оплате труда руководителей, размеры базовых окладов и выплат стимулирующего характера за качество выполняемых работ руководителям дошкольной образовательной организации представлены в таблице 12.

7.6. Выплаты стимулирующего характера за качество выполняемых работ заместителям руководителя, главному бухгалтеру дошкольной образовательной организации устанавливаются руководителем дошкольной образовательной организации с учетом результатов деятельности, определенных на основании критериев эффективности их деятельности, установленных локальными нормативными актами. Выплаты стимулирующего характера за качество выполняемых работ заместителям руководителя, главному бухгалтеру могут осуществляться ежемесячно, ежеквартально, по итогам работы за год, за выполнение важных и особо важных заданий. Предельный уровень выплат стимулирующего характера за качество выполняемых работ заместителям руководителя, главному бухгалтеру устанавливается на уровне 70 процентов выплат стимулирующего характера за качество выполняемых работ руководителя дошкольной образовательной организации.

Таблица 12

Группа по оплате труда руководителей, размеры базовых окладов и выплат стимулирующего характера за качество выполняемых работ руководителям дошкольной образовательной организации

(в ред. Постановления Кабинета министров Республики Татарстан от 21.04.2025 N 252)

Группа по оплате труда руководителяЗначение объемного показателя (численность воспитанников по состоянию на начало учебного года), человек <*>Базовый оклад, рублейВыплаты стимулирующего характера за качество выполняемых работ, рублей
1234
11 - 2033 0005 500
221 - 4035 0005 500
341 - 6039 5006 500
461 - 8041 0007 500
581 - 10044 0008 500
6101 - 14046 00010 000
7141 - 18049 50011 000
8181 - 22053 00012 000
9221 - 28054 00013 000
10281 - 32055 00014 000
11321 - 36055 00015 000
12361 и выше56 50016 000

<*> Контингент воспитанников дошкольных образовательных организаций, реализующих адаптированные образовательные программы, учитывается с коэффициентом 3.

Контингент воспитанников дошкольных образовательных организаций для детей с туберкулезной интоксикацией учитывается с коэффициентом 2.

7.7. Типовые критерии эффективности деятельности руководителей, заместителей руководителей и главных бухгалтеров дошкольных образовательных организаций и их весовые коэффициенты утверждаются Министерством образования и науки Республики Татарстан.

7.8. Выплаты стимулирующего характера за качество выполняемых работ с учетом результатов их деятельности (Вк) рассчитываются по формуле:

,

где:

Вс - размер выплат стимулирующего характера за качество выполняемых работ, который приведен в таблице 12 настоящего Положения;

Kvk _ коэффициент выполнения критериев качества.

7.9. Выплаты компенсационного характера устанавливаются для руководителя учреждения, его заместителей, главного бухгалтера дошкольной образовательной организации в соответствии с Трудовым кодексом Российской Федерации.

VIII. Порядок формирования и использования фонда оплаты труда дошкольной образовательной организации

8.1. Формирование фонда оплаты труда дошкольной образовательной организации осуществляется в пределах объема средств дошкольной образовательной организации на текущий финансовый год, определенного в соответствии с нормативами, количеством объемных показателей, и отражается в плане финансово-хозяйственной деятельности дошкольной образовательной организации.

8.2. Начисления должностных окладов, выплат компенсационного и стимулирующего характера, установленных настоящим Положением, осуществляются работникам дошкольной образовательной организации (включая работников профессиональных квалификационных групп общеотраслевых профессий рабочих, рабочих культуры, искусства и кинематографии, общеотраслевых должностей руководителей, специалистов и служащих) за счет средств, предусмотренных в плане финансово-хозяйственной деятельности дошкольной образовательной организации на оплату труда на текущий финансовый год.

8.3. Экономия фонда оплаты труда, сложившаяся в ходе исполнения плана финансово-хозяйственной деятельности дошкольных образовательных организаций за счет всех источников финансового обеспечения, включая доходы, полученные от оказания платных услуг, за соответствующий период (месяц, квартал, год) может направляться на поощрительные выплаты в соответствии с локальными нормативными актами дошкольной образовательной организации, принятыми с учетом норм настоящего Положения.

При наличии экономии фонда оплаты труда поощрительные выплаты производятся работникам той профессиональной квалификационной группы должностей, по которой экономия фонда оплаты труда образовалась (включая работников профессиональных квалификационных групп общеотраслевых профессий рабочих, рабочих культуры, искусства и кинематографии, общеотраслевых должностей руководителей, специалистов и служащих).

Размер поощрительной выплаты, произведенной за счет экономии фонда оплаты труда за соответствующий период работнику дошкольной образовательной организации с учетом отработанной за этот период нормы рабочего времени, выполнившему нормы труда (трудовые обязанности), не может превышать трехкратного минимального размера оплаты труда, установленного Федеральным законом от 19 июня 2000 года N 82-ФЗ "О минимальном размере оплаты труда" на 1 января текущего года (за исключением работников, занимающих профессиональные квалификационные группы должностей педагогических работников, руководителя дошкольной образовательной организации).

Размер поощрительной выплаты за счет экономии фонда оплаты труда руководителю дошкольной образовательной организации определяется учредителем дошкольной образовательной организации.

Ответственность за использование экономии фонда оплаты труда, образовавшейся в ходе исполнения плана финансово-хозяйственной деятельности дошкольной образовательной организации за счет всех источников финансового обеспечения, включая доходы, полученные от оказания платных услуг, возлагается на руководителя дошкольной образовательной организации.

Приложение N 1
к Положению
об условиях оплаты труда работников
дошкольных образовательных
организаций Республики Татарстан

ПЕРЕЧЕНЬ ПОЧЕТНЫХ ЗВАНИЙ И ВЕДОМСТВЕННЫХ НАГРАД, ЗА НАЛИЧИЕ КОТОРЫХ РАБОТНИКАМ ДОШКОЛЬНОЙ ОБРАЗОВАТЕЛЬНОЙ ОРГАНИЗАЦИИ ПРЕДОСТАВЛЯЮТСЯ СООТВЕТСТВУЮЩИЕ ВЫПЛАТЫ

(в ред. Постановления Кабинета министров Республики Татарстан от 24.06.2024 N 454)

N п/пНаименование награды и почетного звания
12
Почетные звания Российской Федерации, Республики Татарстан, Союза Советских Социалистических Республик, союзных и автономных республик в составе Союза Советских Социалистических Республик
1. Почетные звания Российской Федерации
1.1.Народный учитель Российской Федерации
1.2.Заслуженный учитель Российской Федерации
1.3.Заслуженный деятель науки Российской Федерации
1.4.Заслуженный работник высшей школы Российской Федерации
1.5.Заслуженный мастер производственного обучения Российской Федерации
1.6.Заслуженный работник физической культуры Российской Федерации
1.7.Заслуженный работник культуры Российской Федерации
1.8.Заслуженный художник Российской Федерации
1.9.Заслуженный экономист Российской Федерации
2. Почетные звания Союза Советских Социалистических Республик
2.1.Народный учитель СССР
3. Почетные звания союзных республик в составе Союза Советских Социалистических Республик
3.1.Заслуженный деятель физкультуры и спорта
3.2.Заслуженный деятель спорта
3.3.Заслуженный деятель физической культуры
3.4.Заслуженный работник физической культуры и спорта
3.5.Заслуженный тренер РСФСР
3.6.Заслуженный учитель школы РСФСР
3.7.Заслуженный учитель профессионально-технического образования
3.8.Заслуженный мастер профессионально-технического образования
3.9.Заслуженный работник профессионально-технического образования
3.10.Заслуженный преподаватель
3.11.Заслуженный работник высшей школы
3.12.Заслуженный работник народного образования
3.13.Заслуженный деятель высшей школы
3.14.Заслуженный деятель науки и техники
3.15.Заслуженный деятель науки
4. Почетные звания автономных республик в составе Союза Советских Социалистических Республик
4.1.Заслуженный деятель физкультуры и спорта
4.2.Заслуженный работник физической культуры и спорта
4.3.Заслуженный деятель школы
4.4.Заслуженный учитель школы
4.5.Заслуженный учитель профессионально-технического образования
4.6.Заслуженный мастер профессионально-технического образования
4.7.Заслуженный работник профессионально-технического образования
4.8.Заслуженный работник высшей школы
4.9.Заслуженный деятель науки и культуры
4.10.Заслуженный работник культуры
4.11.Заслуженный деятель науки и техники
4.12.Заслуженный деятель науки
5. Почетные звания Республики Татарстан
5.1.Народный учитель Республики Татарстан
5.2.Заслуженный учитель школы Республики Татарстан
5.3.Заслуженный учитель Республики Татарстан
5.4.Заслуженный деятель науки Республики Татарстан
5.5.Заслуженный работник высшей школы Республики Татарстан
5.6.Заслуженный работник физической культуры Республики Татарстан
5.7.Заслуженный работник культуры Республики Татарстан
5.8.Заслуженный экономист Республики Татарстан
Ведомственные награды Российской Федерации, Республики Татарстан (Союза Советских Социалистических Республик, Российской Советской Федеративной Социалистической Республики)
1. Министерство просвещения Российской Федерации (Министерство образования и науки Российской Федерации, Министерство образования Российской Федерации)
1.1.Почетный работник общего образования Российской Федерации
1.2.Почетный работник начального профессионального образования Российской Федерации
1.3.Почетный работник среднего профессионального образования Российской Федерации
1.4.Почетный работник высшего профессионального образования Российской Федерации
1.5.Почетный работник науки и техники Российской Федерации
1.6.Почетный работник сферы молодежной политики Российской Федерации
1.7.За развитие научно-исследовательской работы студентов
1.8.Почетный работник сферы образования Российской Федерации
1.9.Почетный работник сферы воспитания детей и молодежи Российской Федерации
1.10.Отличник просвещения
1.11.Почетный работник воспитания и просвещения Российской Федерации
1.12.Почетный работник науки и высоких технологий Российской Федерации
1.13.Ветеран сферы воспитания и образования
1.14.Медаль Л.С. Выготского
1.15.Медаль К.Д. Ушинского
1.16.Значок "Отличник профессионально-технического образования Российской Федерации"
1.17.Нагрудный знак "За милосердие и благотворительность"
1.18.Нагрудный знак "За верность профессии"
1.19.Нагрудный знак "Молодость и Профессионализм"
1.20.Нагрудный знак "Почетный наставник"
1.21.Нагрудный знак "Ветеран" Министерства науки и высшего образования Российской Федерации
1.22.Медаль "За безупречный труд и отличие"
1.23.Медаль "За вклад в реализацию государственной политики в области образования и научно-технологического развития"
1.24.Звание "Почетный работник" Министерства науки и высшего образования Российской Федерации
1.25.Нагрудный знак "Молодой ученый"
1.26.Почетная грамота Министерства науки и высшего образования Российской Федерации
2. Министерство народного образования, Министерство просвещения СССР (РСФСР)
2.1.Значок "Отличник просвещения СССР"
2.2.Значок "Отличник народного просвещения"
2.3.Значок "Отличник профтехобразования СССР"
2.4.Значок "Отличник профессионально-технического образования РСФСР"

Приложение N 2
к Положению
об условиях оплаты труда работников
дошкольных образовательных
организаций Республики Татарстан

ПЕРЕЧЕНЬ ПОЧЕТНЫХ ЗВАНИЙ РОССИЙСКОЙ ФЕДЕРАЦИИ, РЕСПУБЛИКИ ТАТАРСТАН, СОЮЗА СОВЕТСКИХ СОЦИАЛИСТИЧЕСКИХ РЕСПУБЛИК, СОЮЗНЫХ И АВТОНОМНЫХ РЕСПУБЛИК В СОСТАВЕ СОЮЗА СОВЕТСКИХ СОЦИАЛИСТИЧЕСКИХ РЕСПУБЛИК, ЗА НАЛИЧИЕ КОТОРЫХ ПРЕДОСТАВЛЯЮТСЯ ВЫПЛАТЫ СТИМУЛИРУЮЩЕГО ХАРАКТЕРА

(в ред. Постановления Кабинета министров Республики Татарстан от 24.06.2024 N 454)

N п/пНаименование почетного звания
1. Почетные звания Российской Федерации
1.1.Заслуженный врач Российской Федерации
1.2.Заслуженный работник здравоохранения Российской Федерации
2. Почетные звания Республики Татарстан
2.1.Заслуженный врач Республики Татарстан
2.2.Заслуженный работник здравоохранения Республики Татарстан
3. Почетные звания Союза Советских Социалистических Республик
3.1.Народный врач СССР
4. Почетные звания союзных республик в составе Союза Советских Социалистических Республик
4.1.Народный врач
4.2.Заслуженный работник здравоохранения
4.3.Заслуженный врач
4.4.Заслуженный провизор
4.5.Заслуженный фармацевт
5. Почетные звания автономных республик в составе Союза Советских Социалистических Республик
5.1.Заслуженный работник здравоохранения
5.2.Заслуженный врач
5.3.Заслуженный провизор

УТВЕРЖДЕНО
постановлением
Кабинета Министров
Республики Татарстан
от 31.05.2018 N 412

ПОЛОЖЕНИЕ ОБ УСЛОВИЯХ ОПЛАТЫ ТРУДА РАБОТНИКОВ ОБРАЗОВАТЕЛЬНЫХ ОРГАНИЗАЦИЙ ДОПОЛНИТЕЛЬНОГО ОБРАЗОВАНИЯ РЕСПУБЛИКИ ТАТАРСТАН

(в ред. Постановлений Кабинета министров Республики Татарстан от 24.06.2024 N 454, от 25.09.2024 N 830, от 21.04.2025 N 252, от 19.06.2025 N 444))

I. Общие положения

1.1. Настоящее Положение определяет порядок формирования окладов работников в образовательных организациях дополнительного образования Республики Татарстан (далее - организации дополнительного образования), условия и размеры выплат компенсационного и стимулирующего характера.

1.2. В настоящем Положении используются следующие основные понятия:

система оплаты труда - совокупность норм, определяющих условия и размеры оплаты труда работников, включая размеры базовых (должностных окладов), а также выплаты компенсационного и стимулирующего характера, установленные в соответствии с федеральным законодательством и законодательством Республики Татарстан;

базовый оклад - оклад работника организации дополнительного образования, установленный ему за исполнение трудовых (должностных) обязанностей за календарный месяц либо за норму труда (норму часов педагогической работы в неделю (в год) за ставку заработной платы) в зависимости от сложности выполняемых работ без учета выплат стимулирующего и компенсационного характера;

должностной оклад - фиксированный размер оплаты труда работника за исполнение трудовых (должностных) обязанностей определенной сложности за календарный месяц за фактически отработанное время без учета компенсационных и стимулирующих выплат;

заработная плата (оплата труда работника) - вознаграждение за труд в зависимости от квалификации работника, сложности, количества, качества и условий выполняемой работы, включая компенсационные и стимулирующие выплаты;

выплаты компенсационного характера - доплаты и надбавки компенсационного характера, в том числе за работу в условиях, отклоняющихся от нормальных, и иные выплаты компенсационного характера;

выплаты стимулирующего характера - доплаты и надбавки стимулирующего характера, премии и иные поощрительные выплаты.

1.3. Заработная плата (оплата труда работника) работников профессиональных квалификационных групп должностей работников образования, работников, занятых в сфере культуры, искусства и кинематографии, работников профессиональных квалификационных групп должностей медицинских и фармацевтических работников, работников профессиональных квалификационных групп должностей сельского хозяйства (далее соответственно - работники образования, работники культуры, медицинские работники, работники сельского хозяйства) в организациях дополнительного образования Республики Татарстан определяется исходя из:

должностных окладов;

выплат стимулирующего характера;

выплат компенсационного характера.

1.4. При наступлении у работника права на изменение размера оплаты труда в связи с увеличением стажа работы по профилю, с присвоением квалификационной категории, с присвоением почетного звания, награждением ведомственными знаками отличия, в период пребывания в ежегодном или ином отпуске, в период его временной нетрудоспособности, а также в другие периоды, в течение которых за ним сохраняется средняя заработная плата, изменения размера оплаты его труда осуществляются по окончании указанных периодов.

1.5. Руководители организаций дополнительного образования:

проверяют документы об образовании, стаже педагогической работы (работы по специальности, в определенной должности) на соответствие квалификационным характеристикам, которые определены приказом Министерства здравоохранения и социального развития Российской Федерации от 26 августа 2010 г. N 761н "Об утверждении Единого квалификационного справочника должностей руководителей, специалистов и служащих, раздел "Квалификационные характеристики должностей работников образования";

ежегодно составляют и утверждают на работников организаций дополнительного образования тарификационные списки;

несут ответственность за своевременное и правильное определение размеров заработной платы работников организаций дополнительного образования.

II. Определение базовых окладов заработной платы работников организаций дополнительного образования (в ред. Постановления Кабинета министров Республики Татарстан от 21.04.2025 N 252)

2.1. Базовые оклады заработной платы работников образования организаций дополнительного образования устанавливаются в следующих размерах:

Квалификационный уровеньНаименование должностиРазмер базового оклада в месяц, рублей
123
Профессиональная квалификационная группа учебно-вспомогательного персонала первого уровня
Первый квалификационный уровеньСекретарь учебной части23 600
Профессиональная квалификационная группа должностей педагогических работников
Первый квалификационный уровеньИнструктор по труду24 900
Инструктор по физической культуре
Музыкальный руководитель
Второй квалификационный уровеньТренер-преподаватель25 000
Концертмейстер
Педагог дополнительного образования
Педагог-организатор
Социальный педагог
Инструктор-методист
Третий квалификационный уровеньМастер производственного обучения25 140
Педагог-психолог
Методист
Старший педагог дополнительного образования
Старший тренер-преподаватель
Старший инструктор-методист
Четвертый квалификационный уровеньПреподаватель (кроме должности преподавателя, отнесенного к профессорско-преподавательскому составу)25 250
Руководитель физического воспитания
Старший методист
Тьютор (за исключением тьютора, занятого в сфере высшего и дополнительного профессионального образования)
Профессиональная квалификационная группа должностей руководителей структурных подразделений
Первый квалификационный уровеньЗаведующий (начальник) структурным подразделением: кабинетом, лабораторией, отделом, отделением, сектором, учебно-консультационным пунктом, учебной (учебно-производственной) мастерской и другими структурными подразделениями, реализующими образовательную программу дополнительного образования детей25 300
Второй квалификационный уровеньЗаведующий (начальник) обособленным структурным подразделением, реализующим образовательную программу и образовательную программу дополнительного образования детей25 350

2.2. Базовые оклады работников сельского хозяйства организаций дополнительного образования устанавливаются в следующих размерах:

Квалификационный уровеньНаименование должностиРазмер базового оклада в месяц, рублей
Профессиональная квалификационная группа должностей работников сельского хозяйства второго уровня
Первый квалификационный уровеньВетеринарный фельдшер24 900
Второй квалификационный уровеньАгроном по защите растений (средней квалификации)
Профессиональная квалификационная группа должностей работников сельского хозяйства третьего уровня
Первый квалификационный уровеньАгроном24 950
Зоотехник
Ветеринарный врач
Второй квалификационный уровеньАгроном II категории25 000
Зоотехник II категории
Ветеринарный врач II категории
Третий квалификационный уровеньАгроном I категории25 060
Зоотехник I категории
Ветеринарный врач I категории
Четвертый квалификационный уровеньВедущий агроном25 150
Ведущий зоотехник
Ведущий ветеринарный врач
Профессиональная квалификационная группа должностей работников сельского хозяйства третьего уровня
Первый квалификационный уровеньГлавный агроном25 900

2.3. Базовые оклады медицинских работников организаций дополнительного образования устанавливаются в следующих размерах:

Квалификационный уровеньНаименование должностиРазмер базового оклада в месяц, рублей
123
Профессиональная квалификационная группа "Средний медицинский и фармацевтический персонал"
Третий квалификационный уровеньМедицинская сестра (медицинский брат)25 240
Медицинская сестра по массажу (медицинский брат по массажу)
Пятый квалификационный уровеньСтаршая медицинская сестра (старший медицинский брат) <*>26 940
Профессиональная квалификационная группа должностей "Врачи и провизоры"
Второй квалификационный уровеньВрачи-специалисты (кроме врачей-специалистов, отнесенных к третьему и четвертому квалификационным уровням)29 170

<*> Должность устанавливается в организации при наличии в подчинении трех и более медицинских сестер.

2.4. Базовые оклады работников культуры организаций дополнительного образования устанавливаются в следующих размерах:

Наименование должностиРазмер базового оклада в месяц, рублей
Профессиональная квалификационная группа "Должности работников культуры, искусства и кинематографии среднего звена"
Аккомпаниатор24 950
Заведующий костюмерной
Культорганизатор
Профессиональная квалификационная группа "Должности работников культуры, искусства и кинематографии ведущего звена"
Библиограф25 450
Библиотекарь
Ведущий библиотекарь
Звукооператор
Хранитель фондов
Художник-скульптор
Художник-постановщик
Профессиональная квалификационная группа "Должности руководящего состава организации культуры, искусства и кинематографии"
Заведующий отделом (сектором) музея26 650
Заведующий отделом (сектором) библиотеки
Заведующий отделением (пунктом) по прокату кино- и видеофильмов
Звукорежиссер
Режиссер-постановщик
Художественный руководитель

III. Норма часов за ставку заработной платы (базовый оклад) и нормативное количество объемных показателей организаций дополнительного образования

3.1. Продолжительность рабочего времени (норма часов за ставку заработной платы) определена приказом Министерства образования и науки Российской Федерации от 22 декабря 2014 г. N 1601 "О продолжительности рабочего времени (нормах часов педагогической работы за ставку заработной платы) педагогических работников и о порядке определения учебной нагрузки педагогических работников, оговариваемой в трудовом договоре".

Продолжительность рабочего времени (норма часов за ставку заработной платы) для педагогических работников организаций дополнительного образования устанавливается исходя из сокращенной продолжительности рабочего времени не более 36 часов в неделю, которая включает преподавательскую (учебную) работу, воспитательную, а также другую педагогическую работу, предусмотренную должностными обязанностями и режимом рабочего времени, утвержденными в установленном порядке.

3.2. Нормативное количество объемных показателей за час базового оклада, оказываемых работниками образования организаций дополнительного образования, составляет:

3.2.1. Педагогам дополнительного образования организаций дополнительного образования, за исключением организаций дополнительного образования детей художественно-эстетической направленности:

15 человек - в первый год обучения;

12 человек - во второй год обучения;

10 человек - в третий и последующие годы обучения.

3.1.2. Педагогам дополнительного образования, концертмейстерам в организациях дополнительного образования детей художественно-эстетической направленности:

для музыкальных школ (музыкальных отделений школ искусств):

1 человек - на индивидуальных занятиях;

10 человек - на групповых занятиях при семилетнем сроке обучения;

6 человек - на групповых занятиях при пятилетнем сроке обучения;

40 человек - на сводных занятиях при семилетнем сроке обучения;

18 человек - на сводных занятиях при пятилетнем сроке обучения;

10 человек - для художественных школ (отделений школы искусств), отделений общеэстетического образования школы искусств;

8 человек - для отделений раннего эстетического образования школы искусств; для фольклорных отделений школы искусств:

1 человек - на индивидуальных занятиях;

6 человек - на занятиях по фольклорной хореографии;

10 человек - на групповых занятиях;

20 человек - на сводных занятиях;

для хореографических школ (хореографических отделений школы искусств), отделений театрального искусства школы искусств:

1 человек - на индивидуальных занятиях;

5 человек - на занятиях по предметам специализации;

10 человек - на групповых занятиях.

3.3. Продолжительность рабочего времени (нормы часов работы за ставку заработной платы) работников образования, работников культуры, сельского хозяйства, медицины определяется Трудовым кодексом Российской Федерации.

3.4. Отдельным категориям работников продолжительность рабочего времени (норма часов работы за ставку заработной платы) может устанавливаться трехсторонними отраслевыми соглашениями на федеральном и региональном уровнях.

IV. Порядок формирования должностных окладов работников организаций дополнительного образования

4.1. Должностной оклад работников организаций дополнительного образования (Od) рассчитывается по формуле:

,

где:

Ob - размер базового оклада педагогических работников, принимаемый в соответствии с разделом II настоящего Положения;

Hf - фактическое количество отработанных часов в организациях дополнительного образования;

HN - норма часов за ставку заработной платы работников организаций дополнительного образования, установленная разделом IV настоящего Положения;

Р - компенсация на обеспечение книгоиздательской продукцией и периодическими изданиями в размере 100 рублей устанавливается педагогическим работникам, входящим в профессиональную квалификационную группу должностей педагогических работников, но не более чем на одну ставку по основному месту работы.

V. Выплаты стимулирующего характера

5.1. К выплатам стимулирующего характера относятся выплаты, направленные на стимулирование работника к качественному результату труда, а также поощрение за выполненную работу.

5.1.1. Выплаты стимулирующего характера включают в себя:

выплаты за квалификационную категорию;

выплаты за наличие почетных званий и ведомственных наград;

выплаты за стаж работы по профилю;

выплаты за интенсивность труда;

выплаты специалистам за работу в сельской местности;

премиальные и иные поощрительные выплаты;

выплаты за качество выполняемых работ.

5.2. Размеры и порядок установления выплат стимулирующего характера работникам образования в организациях дополнительного образования.

5.2.1. Выплаты за квалификационную категорию (Bkk) предоставляются работникам профессиональных квалификационных должностных групп педагогических работников и руководителей структурных подразделений при наличии у них действующей квалификационной категории в пределах срока действия квалификационной категории и рассчитываются по формуле:

,

где:

Od - должностной оклад работников организаций дополнительного образования;

Dkk - размер надбавки за квалификационную категорию, который приведен в таблице 1.

Таблица 1

Размеры надбавок за квалификационную категорию работникам образования

Квалификационный уровеньКвалификационная категорияРазмер надбавки, процентов
123
Профессиональная квалификационная группа должностей педагогических работников
Первыйпервая квалификационная категория11,0
высшая квалификационная категория13,0
Второйпервая квалификационная категория11,0
высшая квалификационная категория13,0
Третийпервая квалификационная категория12,0
высшая квалификационная категория15,5
Четвертыйпервая квалификационная категория13,0
высшая квалификационная категория18,0
Профессиональная квалификационная группа должностей руководителей структурных подразделений
Первыйпервая квалификационная категория13,0
высшая квалификационная категория18,0
Второйпервая квалификационная категория13,0
высшая квалификационная категория18,0

Установление (изменение) выплат за квалификационную категорию производится со дня принятия положительного решения соответствующей аттестационной комиссией.

5.2.2. Выплаты за наличие почетных званий и ведомственных наград (Bpz) предоставляются по должностям работников образования, входящим в профессиональные квалификационные группы должностей работников учебно-вспомогательного персонала первого и второго уровней, педагогических работников и руководителей структурных подразделений, и рассчитываются по формуле:

,

где:

Od - должностной оклад работников организаций дополнительного образования;

Dpz - размер надбавки за наличие почетных званий.

Размер надбавки за наличие почетных званий Российской Федерации, Союза Советских Социалистических Республик, союзных республик в составе Союза Советских Социалистических Республик составляет 7 процентов.

Размер надбавки за наличие почетных званий Республики Татарстан (Татарской Автономной Советской Социалистической Республики) составляет 6 процентов.

Размер надбавки за наличие ведомственных наград Российской Федерации, ведомственных наград Российской Советской Федеративной Социалистической Республики, ведомственных наград Республики Татарстан, ведомственных наград Союза Советских Социалистических Республик, ведомственных наград союзных республик в составе Союза Советских Социалистических Республик составляет 4 процента.

Размер надбавки за наличие Почетной грамоты Министерства просвещения Российской Федерации (Министерства образования и науки Российской Федерации, Министерства образования Российской Федерации) составляет 2 процента. Надбавка за наличие Почетной грамоты Министерства просвещения Российской Федерации (Министерства образования и науки Российской Федерации, Министерства образования Российской Федерации) устанавливается работникам образования, награждаемым приказом Министра просвещения Российской Федерации (Министра образования и науки Российской Федерации, Министра образования Российской Федерации) в соответствии с Порядком награждения ведомственными наградами Министерства просвещения Российской Федерации (Министерства образования и науки Российской Федерации, Министерства образования Российской Федерации).

Размер надбавки за наличие нагрудного знака "За заслуги в образовании", знака отличия "Почетный наставник", знака отличия "Отличник сферы образования и науки Республики Татарстан", нагрудного знака "За сохранение и развитие языков, культур, традиций", нагрудного знака "Яшь могаллим" составляет 2 процента. Надбавка за наличие нагрудного знака Республики Татарстан "За заслуги в образовании", знака отличия "Почетный наставник", знака отличия "Отличник сферы образования и науки Республики Татарстан", нагрудного знака "За сохранение и развитие языков, культур, традиций", нагрудного знака "Яшь могаллим" устанавливается на основании приказа министра образования и науки Республики Татарстан (министра образования Республики Татарстан).

Перечень почетных званий и ведомственных наград, за наличие которых работникам образования предоставляются соответствующие выплаты, приведен в таблице 1 приложения к настоящему Положению.

Установление размеров выплат за наличие почетных званий и ведомственных наград производится со дня присвоения почетного звания и ведомственных наград. Работникам образования, имеющим два и более почетных звания и (или) две и более ведомственные награды, выплата устанавливается по одному из оснований по выбору работника.

5.2.3. Выплаты за стаж работы по профилю (Bs) устанавливаются по группам по стажу в разрезе профессиональных квалификационных групп и квалификационных уровней в зависимости от продолжительности работы по профилю и рассчитываются по формуле:

,

где:

Od - должностной оклад работников организаций дополнительного образования;

Ds - размер надбавки за стаж работы по профилю, который приведен в таблице 2.

Таблица 2

Размеры надбавок за стаж работы по профилю

Наименование профессиональной квалификационной группыКвалификационный уровеньГруппа по стажуРазмер надбавки, процентов
Должности учебно-вспомогательного персонала второго уровняпервый - второйот 4 до 10 лет2,0
от 10 до 15 лет3,0
свыше 15 лет4,0
Должности педагогических работниковпервый - четвертыйот 2 до 6 лет3,0
от 6 до 10 лет4,5
от 10 до 15 лет5,5
свыше 15 лет6,5
Должности руководителей структурных подразделенийпервый - второйот 2 до 6 лет3,0
от 6 до 10 лет4,5
от 10 до 15 лет5,5
свыше 15 лет6,5

5.2.4. Установление (изменение) размеров выплат за стаж работы по профилю при изменении стажа работы производится со дня достижения стажа, дающего право на увеличение размера выплат за стаж работы, если документы, подтверждающие стаж, находятся в организации дополнительного образования, или со дня представления необходимого документа, подтверждающего стаж.

5.2.5. В стаж педагогической работы засчитывается педагогическая, руководящая и методическая работа в образовательных и других организациях согласно таблице 3.

Таблица 3

Перечень организаций и должностей, время работы в которых засчитывается в педагогический стаж работников образования

Наименование организацииНаименование должности
12
Образовательные организации, в том числе образовательные организации высшего образования, военные образовательные организации высшего образования и военные профессиональные образовательные организации, организации дополнительного профессионального образования (повышения квалификации специалистов);
медицинские организации и организации социального обслуживания, дома ребенка, детские: санатории, клиники, поликлиники, больницы и др.
Учителя, преподаватели, учителя-дефектологи, учителя-логопеды (логопеды), преподаватели-организаторы основ безопасности и защиты Родины, руководители физического воспитания, старшие мастера, мастера производственного обучения (в том числе обучения вождению транспортных средств, работе на сельскохозяйственных машинах, работе на пишущих машинах и другой организационной технике), старшие методисты, методисты, старшие инструкторы-методисты, инструкторы-методисты (в том числе по физической культуре и спорту, по туризму), концертмейстеры, музыкальные руководители, старшие воспитатели, воспитатели, классные воспитатели, социальные педагоги, педагоги-психологи, педагоги-организаторы, педагоги дополнительного образования, старшие тренеры-преподаватели, тренеры-преподаватели, старшие вожатые (пионервожатые), инструкторы по физкультуре, инструкторы по труду, директора (начальники, заведующие), заместители директоров (начальников, заведующих) по учебной, учебно-воспитательной, учебно-производственной, воспитательной, культурно-воспитательной работе, по производственному обучению (работе), по иностранному языку, по учебно-летной подготовке, по общеобразовательной подготовке, по режиму, заведующие учебной частью, заведующие (начальники): практикой, учебно-консультационными пунктами, логопедическими пунктами, интернатами, отделениями, отделами, лабораториями, кабинетами, секциями, филиалами, курсами и другими структурными подразделениями, деятельность которых связана с образовательным (воспитательным) процессом, методическим обеспечением; старшие дежурные по режиму, дежурные по режиму, аккомпаниаторы, культорганизаторы, экскурсоводы; профессорско-преподавательский состав
(в ред. Постановления Кабинета министров Республики Татарстан от 19.06.2025 N 444)
Методические (учебно-методические) организации всех наименований (независимо от ведомственной подчиненности)Руководители, их заместители, заведующие: секторами, кабинетами, лабораториями, отделами; научные сотрудники, деятельность которых связана с методическим обеспечением; старшие методисты, методисты
Органы управления образованием и органы (структурные подразделения), осуществляющие руководство образовательными организациямиРуководящие, инспекторские, методические должности, инструкторские, а также другие должности специалистов (за исключением работы на должностях, связанных с экономической, финансовой, хозяйственной деятельностью, со строительством, снабжением, делопроизводством)
Отделы (бюро) технического обучения, отделы кадров организаций, подразделений министерств (ведомств), занимающихся вопросами подготовки и повышения квалификации кадров на производствеШтатные преподаватели, мастера производственного обучения рабочих на производстве, руководящие, инспекторские, инженерные, методические должности, деятельность которых связана с вопросами подготовки и повышения квалификации
Образовательные организации РОСТО (ДОСААФ) и гражданской авиации
1
Руководящий, командно-летный, командно-инструкторский, инженерно-инструкторский, инструкторский и преподавательский составы, мастера производственного обучения, инженеры-инструкторы-методисты, инженеры-летчики-методисты
Общежития организаций, жилищно-эксплуатационные организации, молодежные жилищные комплексы, детские кинотеатры, театры юного зрителя, кукольные театры, культурно-просветительские организации по работе с детьми и подросткамиВоспитатели, педагоги-организаторы, педагоги-психологи (психологи), преподаватели, педагоги дополнительного образования (руководители кружков) для детей и подростков, инструкторы и инструкторы-методисты, тренеры-преподаватели и другие специалисты по работе с детьми и подростками, заведующие детскими отделами, секторами
Исправительные колонии, воспитательные колонии, следственные изоляторы и тюрьмы, лечебно-исправительные организацииРабота (служба) при наличии педагогического образования на следующих должностях: заместитель начальника по воспитательной работе, начальник отряда, старший инспектор, инспектор по общеобразовательной работе (обучению), старший инспектор-методист и инспектор-методист, старший инженер и инженер по производственно-техническому обучению, старший мастер и мастер производственного обучения, старший инспектор и инспектор по охране и режиму, заведующий учебно-техническим кабинетом, психолог

Примечание:

В стаж педагогической работы включаются:

время работы в качестве учителей-дефектологов, логопедов, воспитателей в медицинских организациях и организациях, осуществляющих социальное обслуживание для взрослых, методистов организационно-методического отдела организаций здравоохранения Республики Татарстан;

время работы в других организациях, службы в Вооруженных Силах СССР и Российской Федерации, обучения в образовательных организациях высшего образования и профессиональных образовательных организациях по программам подготовки специалистов среднего звена в следующем порядке:

педагогическим работникам в стаж педагогической работы засчитывается без всяких условий и ограничений:

время нахождения на военной службе по контракту из расчета один день военной службы за один день работы, а время нахождения на военной службе по призыву - один день военной службы за два дня работы;

время работы в должности заведующего фильмотекой и методиста фильмотеки;

педагогическим работникам в стаж педагогической работы засчитываются следующие периоды времени при условии, если этим периодам, взятым как в отдельности, так и в совокупности, непосредственно предшествовала и за ними непосредственно следовала педагогическая деятельность:

время службы в Вооруженных Силах СССР и Российской Федерации на должностях офицерского, сержантского, старшинского составов, прапорщиков и мичманов (в том числе в войсках МВД, в войсках и органах безопасности), кроме времени нахождения на военной службе по контракту и по призыву;

время работы на руководящих, инспекторских, инструкторских и других должностях специалистов в аппаратах территориальных организаций (комитетах, советах) профсоюза работников народного образования и науки Российской Федерации (просвещения, высшей школы и научных организаций);

на выборных должностях в профсоюзных органах;

на инструкторских и методических должностях в педагогических обществах и правлениях Детского фонда;

в должности директора (заведующего) Дома учителя (работника народного образования, профтехобразования); комиссиях по делам несовершеннолетних и защите их прав или в отделах социально-правовой охраны несовершеннолетних, в подразделениях по предупреждению правонарушений (инспекциях по делам несовершеннолетних, детских комнатах милиции) органов внутренних дел.

5.2.6. В стаж педагогической работы отдельных категорий педагогических работников засчитывается время работы в организациях и время службы в Вооруженных Силах СССР и Российской Федерации по специальности (профессии), соответствующей профилю работы в образовательной организации или профилю преподаваемого предмета (курса, дисциплины, кружка):

преподавателям-организаторам основ безопасности и защиты Родины; (в ред. Постановления Кабинета министров Республики Татарстан от 19.06.2025 N 444)

учителям и преподавателям физического воспитания, руководителям физического воспитания, инструкторам по физкультуре, инструкторам-методистам (старшим инструкторам-методистам), тренерам-преподавателям (старшим тренерам-преподавателям);

учителям, преподавателям трудового (профессионального) обучения, технологии, черчения, изобразительного искусства, информатики, специальных дисциплин, в том числе специальных дисциплин общеобразовательных организаций (классов) с углубленным изучением отдельных предметов;

мастерам производственного обучения;

педагогам дополнительного образования;

педагогическим работникам экспериментальных образовательных организаций;

педагогам-психологам;

методистам;

педагогическим работникам организаций среднего профессионального образования по программам подготовки специалистов среднего звена (отделений) культуры и искусства, музыкально-педагогических, художественно-графических, музыкальных;

преподавателям организаций дополнительного образования детей (культуры и искусства, в том числе музыкальных и художественных), преподавателям специальных дисциплин музыкальных и художественных общеобразовательных организаций, преподавателям музыкальных дисциплин педагогических училищ (педагогических колледжей), учителям музыки, музыкальным руководителям, концертмейстерам.

5.2.7. Воспитателям (старшим воспитателям) дошкольных образовательных организаций, домов ребенка в педагогический стаж включается время работы в должности медицинской сестры ясельной группы дошкольных образовательных организаций, постовой медсестры домов ребенка, а воспитателям ясельных групп - время работы на медицинских должностях.

Время работы на должностях помощника воспитателя и младшего воспитателя засчитывается в стаж педагогической работы при условии, если в период работы на этих должностях работник имел педагогическое образование или обучался в образовательной организации высшего образования или профессиональной образовательной организации.

Работникам организаций время педагогической работы в образовательных организациях, выполняемой помимо основной работы на условиях почасовой оплаты, включается в педагогический стаж, если ее объем (в одной или нескольких образовательных организациях) составляет не менее 180 часов в учебном году.

При этом в педагогический стаж засчитываются только те месяцы, в течение которых выполнялась педагогическая работа.

Право решать конкретные вопросы о соответствии работы в организациях и службы в Вооруженных Силах СССР и Российской Федерации профилю работы, преподаваемого предмета (курса, дисциплины, кружка) предоставляется руководителю образовательной организации по согласованию с профсоюзным органом.

5.3. Размеры и порядок установления выплат стимулирующего характера работникам культуры организаций дополнительного образования.

5.3.1. Выплаты за квалификационную категорию (Bkk) предоставляются работникам, занятым по специальностям, предусматривающим в соответствии с тарифно-квалификационными характеристиками присвоение квалификационных категорий по итогам аттестации в разрезе профессиональных квалификационных групп. Выплаты за квалификационную категорию рассчитываются по формуле:

,

где:

Od - должностной оклад работников организаций дополнительного образования;

Dkk - размер надбавки за квалификационную категорию, который приведен в таблице 4.

Изменение (установление) выплат за квалификационную категорию производится согласно дате приказа органа (учреждения), при котором создана аттестационная комиссия.

Таблица 4

Размеры надбавок за квалификационную категорию

Квалификационная категорияРазмер надбавки, процентов
Профессиональная квалификационная группа "Должности работников культуры, искусства и кинематографии ведущего звена"
Первая квалификационная категория5,0
Высшая квалификационная категория8,0

5.3.2. Выплаты за наличие почетных званий предоставляются работникам культуры, входящим в профессиональные квалификационные группы должностей работников культуры, искусства и кинематографии (Bpz), и рассчитываются по формуле:

,

где:

Od - должностной оклад работников организаций дополнительного образования;

Dpz - размер надбавки за наличие почетных званий.

Размер надбавки за наличие почетных званий Республики Татарстан, автономных республик в составе Союза Советских Социалистических Республик составляет 6 процентов.

Размер надбавки за наличие почетных званий Российской Федерации, Союза Советских Социалистических Республик, союзных республик в составе Союза Советских Социалистических Республик составляет 7 процентов.

Перечень почетных званий, за наличие которых работникам культуры, искусства и кинематографии предоставляются соответствующие выплаты, приведен в таблице 2 приложения к настоящему Положению.

Установление размеров выплат за наличие почетных званий производится со дня их присвоения. Работникам, имеющим два и более почетных звания, выплата за их наличие устанавливается по одному из почетных званий по выбору работника.

5.3.3. Выплаты за стаж работы по профилю (Bs) устанавливаются по группам по стажу в разрезе профессиональных квалификационных групп в зависимости от продолжительности работы по профилю с учетом выполнения индикаторов оценки эффективности деятельности сотрудников и рассчитываются по формуле:

,

где:

Od - должностной оклад работников организаций дополнительного образования;

Ds - размер надбавки за стаж работы по профилю, который приведен в таблице 5.

Таблица 5

Размеры надбавок за стаж работы по профилю

Наименование профессиональной квалификационной группыГруппа по стажуРазмер надбавки, процентов
Профессиональная квалификационная группа должностей работников культуры, искусства и кинематографии среднего звенаот 3 до 6 лет1,0
от 6 до 10 лет1,5
от 10 до 15 лет2,0
свыше 15 лет2,5
Профессиональная квалификационная группа должностей работников культуры, искусства и кинематографии ведущего звенаот 3 до 6 лет1,0
от 6 до 10 лет2,5
от 10 до 15 лет3,5
свыше 15 лет4,0

Установление (изменение) размеров выплат за стаж работы по профилю при изменении стажа работы производится со дня достижения стажа, дающего право на увеличение размера выплат за стаж работы по профилю, если документы, подтверждающие стаж, находятся в учреждении, или со дня представления необходимого документа, подтверждающего стаж.

5.4. Размеры и порядок установления выплат стимулирующего характера медицинским работникам организаций дополнительного образования.

5.4.1. Выплаты за квалификационную категорию (Bkk) предоставляются работникам, занятым по специальностям, предусматривающим в соответствии с тарифно-квалификационными характеристиками присвоение квалификационных категорий по итогам аттестации в разрезе профессиональных квалификационных групп. Выплаты за квалификационную категорию рассчитываются по формуле:

,

где:

Od - должностной оклад работников организаций дополнительного образования;

Dkk - размер надбавки за квалификационную категорию, который приведен в таблице 6.

Изменение (установление) выплат за квалификационную категорию производится согласно дате приказа органа (учреждения), при котором создана аттестационная комиссия.

Таблица 6

Размеры надбавок за квалификационную категорию

Квалификационная категорияРазмер надбавки, процентов
Профессиональная квалификационная группа должностей среднего медицинского и фармацевтического персонала
Вторая квалификационная категория3,0
Первая квалификационная категория6,0
Высшая квалификационная категория10,0
Профессиональная квалификационная группа должностей врачей и провизоров
Вторая квалификационная категория6,0
Первая квалификационная категория10,0
Высшая квалификационная категория20,0

5.4.2. Выплаты за наличие почетных званий (Bpz) предоставляются работникам, входящим в профессиональные квалификационные группы должностей медицинских и фармацевтических работников, и рассчитываются по формуле:

,

где:

Od - должностной оклад медицинских работников организаций дополнительного образования;

Dpz - размер надбавки за наличие почетных званий.

Размер надбавки за наличие почетных званий Республики Татарстан, автономных республик в составе Союза Советских Социалистических Республик составляет 6 процентов.

Размер надбавки за наличие почетных званий Российской Федерации, Союза Советских Социалистических Республик, союзных республик в составе Союза Советских Социалистических Республик составляет 7 процентов.

Перечень почетных званий, за наличие которых медицинским и фармацевтическим работникам предоставляются соответствующие выплаты, приведен в таблице 3 приложения к настоящему Положению.

Установление размеров выплат за наличие почетных званий производится со дня присвоения почетного звания. Работникам, имеющим два и более почетных званий, выплата за их наличие устанавливается по одному из почетных званий по выбору работника.

5.4.3. Выплаты за стаж работы по профилю устанавливаются по группам по стажу в разрезе профессиональных квалификационных групп в зависимости от продолжительности работы по профилю (Bs) и рассчитываются по формуле:

,

где:

Od - должностной оклад работников организаций дополнительного образования;

Ds - размер надбавки за стаж работы по профилю, который приведен в таблице 7.

Таблица 7

Размеры надбавок за стаж работы по профилю

Наименование профессиональной квалификационной группыГруппа по стажуРазмер надбавки, процентов
Средний медицинский и фармацевтический персоналот 3 до 5 лет2,5
от 5 до 10 лет3,5
от 10 до 15 лет4,5
свыше 15 лет5,5
Врачи и провизорыот 3 до 5 лет5,0
от 5 до 10 лет7,5
от 10 до 15 лет9,0
свыше 15 лет10,0

Установление (изменение) размеров выплат за стаж работы по профилю при изменении стажа работы производится со дня достижения стажа, дающего право на увеличение размера выплат за стаж работы по профилю, если документы, подтверждающие стаж, находятся в организации дополнительного образования, или со дня представления необходимого документа, подтверждающего стаж.

5.4.4. Выплаты за интенсивность труда предоставляются по должностям работникам профессиональных квалификационных групп должностей среднего медицинского и фармацевтического персонала, врачей и провизоров (Bsr) и рассчитываются по формуле:

,

где:

Od - должностной оклад медицинских работников организаций дополнительного образования;

Dsr - размер надбавки за интенсивность труда, который приведен в таблице 8.

Таблица 8

Размеры надбавок за интенсивность труда

Наименование профессиональной квалификационной группыКвалификационный уровеньДиапазон надбавок, процентов
Средний медицинский и фармацевтический персоналвторой1,5
третий3,0
четвертый4,5
пятый10,0
Врачи и провизорыпервый - второй3,0

5.5. Размеры и порядок установления выплат стимулирующего характера работникам сельского хозяйства организаций дополнительного образования.

5.5.1. Выплаты за квалификационную категорию (Bkk) предоставляются работникам, занятым по специальностям, предусматривающим в соответствии с тарифно-квалификационными характеристиками присвоение квалификационных категорий по итогам аттестации в разрезе профессиональных квалификационных групп. Выплаты за квалификационную категорию рассчитываются по формуле:

,

где:

Od - должностной оклад работников организаций дополнительного образования;

Dkk - размер надбавки за квалификационную категорию, который приведен в таблице 9.

Изменение (установление) выплат за квалификационную категорию производится согласно дате приказа органа (учреждения), при котором создана аттестационная комиссия.

Таблица 9

Размеры надбавок за квалификационную категорию

Квалификационная категорияРазмер надбавки, процентов
Профессиональная квалификационная группа "Должности работников сельского хозяйства третьего уровня"
Первая квалификационная категория5,0
Высшая квалификационная категория8,0

5.5.2. Выплаты за наличие почетных званий предоставляются работникам сельского хозяйства, входящим в профессиональные квалификационные группы должностей работников сельского хозяйства (Bpz), и рассчитываются по формуле:

,

где:

Od - должностной оклад работников организаций дополнительного образования;

Dpz - размер надбавки за наличие почетных званий.

Размер надбавки за наличие почетных званий Республики Татарстан, автономных республик в составе Союза Советских Социалистических Республик составляет 6 процентов.

Размер надбавки за наличие почетных званий Российской Федерации, Союза Советских Социалистических Республик, союзных республик в составе Союза Советских Социалистических Республик составляет 7 процентов.

Перечень почетных званий, за наличие которых работникам сельского хозяйства предоставляются соответствующие выплаты, приведен в таблице 5 приложения к настоящему Положению.

Установление размеров выплат за наличие почетных званий производится со дня присвоения почетного звания. Работникам, имеющим два и более почетных звания, выплата за их наличие устанавливается по одному из почетных званий по выбору работника.

5.5.3. Выплаты за стаж работы по профилю (Bs) устанавливаются по группам по стажу в разрезе профессиональных квалификационных групп сельского хозяйства в зависимости от продолжительности работы по профилю с учетом выполнения индикаторов оценки эффективности деятельности сотрудников и рассчитываются по формуле:

,

где:

Od - должностной оклад работников организаций дополнительного образования;

Ds - размер надбавки за стаж работы по профилю, который приведен в таблице 10.

Таблица 10

Размеры надбавок за стаж работы по профилю

Наименование профессиональной квалификационной группыГруппа по стажуРазмер надбавки, процентов
Профессиональная квалификационная группа должностей работников сельского хозяйства второго уровняот 3 до 5 лет2,5
от 5 до 10 лет3,5
от 10 до 15 лет4,5
свыше 15 лет5,5
Профессиональная квалификационная группа должностей работников сельского хозяйства третьего уровняот 3 до 5 лет3,0
от 5 до 10 лет4,5
от 10 до 15 лет5,5
свыше 15 лет6,5

Установление (изменение) размеров выплат за стаж работы по профилю при изменении стажа работы производится со дня достижения стажа, дающего право на увеличение размера выплат за стаж работы по профилю, если документы, подтверждающие стаж, находятся в учреждении, или со дня представления необходимого документа, подтверждающего стаж.

5.6. Премиальные и иные поощрительные выплаты устанавливаются работникам организаций дополнительного образования по основному месту работы и основной должности (за исключением работников, занимающих должности учителей и преподавателей) единовременно за определенный период времени (месяц, квартал, год) в связи с юбилейными датами, получением знаков отличия, благодарственных писем, грамот, почетных званий и по иным основаниям, установленным локальными нормативными актами и коллективными договорами организации дополнительного образования.

5.6.1. Размеры, порядок и условия осуществления премиальных и иных поощрительных выплат по итогам работы определяются локальными нормативными актами организации дополнительного образования и коллективными договорами.

5.6.2. Размер фонда оплаты труда, предусмотренного на премиальные выплаты работникам организаций дополнительного образования, составляет не менее 2 процентов фонда оплаты труда, предусмотренного на выплату окладов (ставок заработной платы, должностных окладов), выплаты стимулирующего характера (за исключением выплат специалистам за работу в сельской местности), выплат за специфику деятельности, работникам по основному месту работы и основной должности (за исключением работников, занимающих должности преподавателей).

5.6.3. В целях повышения эффективности деятельности работников образовательных организаций дополнительного образования и сохранения достигнутого уровня целевых показателей, установленных Указом Президента Российской Федерации от 1 июня 2012 года N 761 "О Национальной стратегии действий в интересах детей на 2012 - 2017 годы", работникам, входящим в профессиональную квалификационную группу должностей педагогических работников, по основному месту работы и основной должности при наличии средств производится единовременная поощрительная выплата. Порядок, условия и конкретный размер выплаты в указанных целях устанавливаются локальными нормативными актами образовательной организации дополнительного образования.

5.7. Выплаты специалистам за работу в сельской местности (Bsm) предоставляются работникам образования, входящим в профессиональные квалификационные группы должностей педагогических работников и руководителей структурных подразделений, работникам культуры, входящим в профессиональные квалификационные группы работников культуры, искусства и кинематографии среднего, ведущего звена и руководящего состава, медицинским работникам, входящим в профессиональные квалификационные группы должностей среднего медицинского и фармацевтического персонала и должностей врачей и провизоров, работникам сельского хозяйства, входящим в профессиональные квалификационные группы должностей работников сельского хозяйства второго и третьего уровней, и рассчитываются по формуле:

,

где:

Dsm - размер выплаты за работу в сельской местности, равный 1 388 рублям;

Hf - фактическое количество часов работы в организациях дополнительного образования;

HN - норма часов за ставку заработной платы работников организаций дополнительного образования, установленная разделом III настоящего Положения.

Выплаты специалистам за работу в сельской местности предоставляются также работникам организаций дополнительного образования, расположенных в следующих городских поселениях, образованных на основе поселков городского типа:

Апастово;

Балтаси;

Богатые Сабы;

Рыбная Слобода.

5.8. Выплаты за качество в организациях дополнительного образования.

5.8.1. Выплаты за качество выполняемых работ устанавливаются работникам образования, работникам культуры, медицинским работникам, работникам сельского хозяйства организаций дополнительного образования по основному месту работы (за исключением работников, занимающих должности учителей и преподавателей) по результатам труда за определенный период времени. Основным критерием, влияющим на размер выплат за качество выполняемых работ, является достижение пороговых значений критериев оценки эффективности деятельности работников организаций дополнительного образования.

5.8.2. Критерии оценки эффективности деятельности работников организаций дополнительного образования утверждаются руководителем организации дополнительного образования по согласованию с органом, обеспечивающим государственно-общественный характер управления организацией дополнительного образования. Значения критериев оценки эффективности деятельности работников организаций дополнительного образования и условия осуществления выплат определяются ежегодно на основании задач, поставленных перед организацией дополнительного образования.

5.8.3. Размеры, порядок и условия осуществления выплат за качество выполняемых работ определяются локальными нормативными актами организации дополнительного образования и коллективными договорами.

5.8.4. Выплаты за качество выполняемых работ (Вкj) рассчитываются по формуле:

,

где:

FOTk - фонд оплаты труда, предусмотренный на выплаты за качество выполняемых работ;

Iij - отнормированный i-й критерий оценки эффективности деятельности по j-му работнику;

Ki - относительный весовой коэффициент i-ro критерия оценки эффективности деятельности;

n - количество критериев оценки эффективности деятельности;

m - численность работников организации дополнительного образования.

5.8.5. Нормирование критериев эффективности деятельности обеспечивает сопоставимость критериев эффективности различной размерности. Нормирование заключается в выборе диапазона значений критерия эффективности деятельности (наилучшее и наихудшее), одно из которых соответствует нулевому значению отнормированного критерия, другое - единичному. При нахождении фактического значения критерия эффективности в пределах диапазона значений критерия эффективности деятельности отнормированный критерий эффективности деятельности принимает значения от нуля до единицы. При фактическом значении критерия эффективности ниже наихудшего значения значение отнормированного критерия принимается равным нулю, при выше наилучшего - единице.

5.8.6. Зависимость значения отнормированного критерия эффективности деятельности от значения критерия эффективности деятельности может быть прямой (положительная динамика определяется увеличением значения критерия) и обратной (положительная динамика определяется уменьшением значения критерия).

5.8.7. Отнормированный критерий при прямой зависимости его значения от значения критерия (Ii) рассчитывается по формуле:

,

где:

FIi - фактическое значение критерия эффективности деятельности;

Mi - наилучшее значение критерия эффективности деятельности;

Li - наихудшее значение критерия эффективности деятельности.

5.8.8. Отнормированный критерий эффективности деятельности при обратной зависимости его значения от значения критерия (Ii) рассчитывается по формуле:

,

где:

FIi - фактическое значение критерия эффективности деятельности;

Мi - наилучшее значение критерия эффективности деятельности;

Li - наихудшее значение критерия эффективности деятельности.

5.8.9. Весовыми коэффициентами определяется степень приоритетности критерия эффективности деятельности. Наиболее приоритетному критерию присваивается наибольший коэффициент. Относительный весовой коэффициент (Кi) рассчитывается по формуле:

,

где:

VKi - весовой коэффициент i-ro критерия оценки эффективности деятельности.

5.8.10. Предельный совокупный размер весовых коэффициентов по критериям эффективности деятельности работников представлен в таблицах 11-14.

Таблица 11

Предельный совокупный размер весовых коэффициентов по критериям эффективности деятельности работников образования

N п/пНаименование должностиКвалификационный уровеньПредельный совокупный размер весовых коэффициентов
1234
1. Профессиональная квалификационная группа учебно-вспомогательного персонала первого уровня
1.1.Секретарь учебной частиПервый5
2. Профессиональная квалификационная группа должностей педагогических работников
2.1.Инструктор по трудуПервый45
2.2.Инструктор по физической культуреПервый45
2.3.Музыкальный руководительПервый45
2.4.Старший вожатыйПервый45
2.5.Инструктор-методистВторой50
2.6.КонцертмейстерВторой50
2.7.Педагог дополнительного образованияВторой50
2.8.Педагог-организаторВторой50
2.9.Социальный педагогВторой50
2.10.Тренер-преподавательВторой50
2.11.ВоспитательТретий55
2.12.МетодистТретий55
2.13.Педагог-психологТретий55
2.14.Старший инструктор-методистТретий55
2.15.Старший педагог дополнительного образованияТретий55
2.16.Старший тренер-преподавательТретий55
2.17.Преподаватель (кроме должностей преподавателей, отнесенных к профессорско-преподавательскому составу)Четвертый60
2.18.Руководитель физического воспитанияЧетвертый60
2.19.Старший воспитательЧетвертый60
2.20.Старший методистЧетвертый60
2.21.Тьютор (за исключением тьюторов, занятых в сфере высшего и дополнительного профессионального образования)Четвертый60
3. Профессиональная квалификационная группа должностей руководителей структурных подразделений
3.1.Заведующий (начальник) структурным подразделением: кабинетом, лабораторией, отделом, отделением, сектором, учебно-консультационным пунктом, учебной (учебно-производственной) мастерской и другими структурными подразделениями, реализующими образовательную программу дополнительного образования детей (кроме должностей руководителей структурных подразделений, отнесенных ко второму квалификационному уровню)Первый65
3.2.Заведующий (начальник) обособленным структурным подразделением, реализующим образовательную программу и образовательную программу дополнительного образования детейВторой70

Таблица 12

Предельный совокупный размер весовых коэффициентов по критериям эффективности деятельности работников культуры

N п/пНаименование должностиПредельный совокупный размер весовых коэффициентов
123
. Профессиональная квалификационная группа должностей работников культуры, искусства и кинематографии среднего звена
1.1.Заведующий костюмерной35
1.2.Аккомпаниатор35
1.3.Культорганизатор35
2. Профессиональная квалификационная группа должностей работников культуры ведущего звена
2.1.Библиотекарь40
2.2.Ведущий библиотекарь42
2.3.Главный библиотекарь45
2.4.Аккомпаниатор-концертмейстер40
2.5.Звукооператор40
2.6.Художник-декоратор45
3. Профессиональная квалификационная группа должностей руководящего состава учреждений культуры
3.1.Заведующий отделом (сектором) музея50
3.2.Заведующий отделом (сектором) библиотеки50
3.3.Режиссер (дирижер, балетмейстер, хормейстер)55
3.4.Балетмейстер-постановщик55
3.5.Художественный руководитель55

Таблица 13

Предельный совокупный размер весовых коэффициентов по критериям эффективности деятельности медицинских работников

N п/пНаименование должностиПредельный совокупный размер весовых коэффициентов
1. Профессиональная квалификационная группа должностей среднего медицинского и фармацевтического персонала
Третий квалификационный уровень
1.1.Медицинская сестра (медицинский брат)40
1.2.Медицинская сестра по массажу (медицинский брат по массажу)40
Четвертый квалификационный уровень
1.3.Фельдшер45
Пятый квалификационный уровень
1.4.Старшая медицинская сестра (старший медицинский брат)50
2. Профессиональная квалификационная группа должностей врачей и провизоров
2.1.Врачи-специалисты (кроме врачей-специалистов, отнесенных к третьему и четвертому квалификационным уровням)60

Таблица 14

Предельный совокупный размер весовых коэффициентов по критериям эффективности деятельности работников сельского хозяйства

N п/пНаименование должностиПредельный совокупный размер весовых коэффициентов
123
1. Профессиональная квалификационная группа "Должности работников сельского хозяйства второго уровня"
1.1.Ветеринарный фельдшер45
1.2.Агроном по защите растений (средней квалификации)45
2. Профессиональная квалификационная группа "Должности работников сельского хозяйства третьего уровня"
Первый квалификационный уровень
2.1.Агроном55
2.2.Ветеринарный врач55
2.3.Зоотехник55
Второй квалификационный уровень
2.4.Агроном второй категории60
2.5.Ветеринарный врач второй категории60
2.6.Зоотехник второй категории60
Третий квалификационный уровень
2.7.Агроном первой категории63
2.8.Ветеринарный врач первой категории63
2.9.Зоотехник первой категории63
Четвертый квалификационный уровень
2.10.Ведущий агроном65
2.11.Ведущий ветеринарный врач65
2.12.Ведущий зоотехник65
3. Профессиональная квалификационная группа "Должности работников сельского хозяйства четвертого уровня"
3.1.Главный агроном70

5.8.11. Типовые критерии эффективности деятельности организации дополнительного образования и их весовые коэффициенты в разрезе типов образовательных организаций утверждаются Министерством образования и науки Республики Татарстан, Министерством культуры Республики Татарстан.

5.8.12. В организациях дополнительного образования формируется фонд выплат стимулирующего характера за качество выполняемых работ (FOTk), объем которого рассчитывается по формуле:

,

где:

FOTdo - фонд оплаты труда работников организаций дополнительного образования по должностным окладам работников по основному месту работы (за исключением работников, занимающих должности учителей и преподавателей);

Dk - доля фонда оплаты труда на выплаты стимулирующего характера за качество выполняемых работ.

Рекомендуемая доля фонда оплаты труда на выплаты стимулирующего характера за качество выполняемых работ принимается в размере 15 процентов.

VI. Выплаты компенсационного характера

6.1. К выплатам компенсационного характера в организациях дополнительного образования относятся:

выплаты работникам, занятым на работах с вредными и (или) опасными условиями труда;

выплаты за работу в условиях, отклоняющихся от нормальных (при выполнении работ различной квалификации, совмещении профессий (должностей), сверхурочной работе, работе в ночное время и при выполнении работ в других условиях, отклоняющихся от нормальных);

выплаты за специфику деятельности.

6.2. Выплаты компенсационного характера, размеры и условия их осуществления устанавливаются коллективными договорами, локальными нормативными актами, трудовым договором в соответствии с трудовым законодательством и иными нормативными правовыми актами, содержащими нормы трудового права.

6.3. Выплаты компенсационного характера работникам, занятым на работах с вредными и (или) опасными условиями труда (Bkh), рассчитываются по формуле:

,

где:

Ob - размер базового оклада работников организаций дополнительного образования, принимаемый в соответствии с разделом II настоящего Положения;

Hfk - фактически отработанное время, по которому законодательством предусмотрена выплата компенсационного характера;

HN - норма часов за ставку заработной платы работников организаций дополнительного образования, установленная разделом III настоящего Положения;

Р - компенсация на обеспечение книгоиздательской продукцией и периодическими изданиями в размере 100 рублей устанавливается педагогическим работникам пропорционально учебной нагрузке, но не более чем на одну ставку по основному месту работы;

Dkh - размер надбавки за выплату компенсационного характера, занятым на работах с вредными и (или) опасными условиями труда, определяемый в соответствии с Трудовым кодексом Российской Федерации.

Оплата труда работников, занятых на работах с вредными и (или) опасными условиями труда, устанавливается в повышенном размере по сравнению с оплатой труда, установленной для различных видов работ с нормальными условиями труда, на основании специальной оценки условий труда в размере 4 процентов.

6.4. Выплаты компенсационного характера за работу в условиях, отклоняющихся от нормальных (при выполнении работ различной квалификации, совмещении профессий (должностей), сверхурочной работе, работе в ночное время и при выполнении работ в других условиях, отклоняющихся от нормальных), устанавливаются за каждый час работы в ночное время, который оплачивается в повышенном размере по сравнению с работой в нормальных условиях, но не ниже размеров, установленных законами и иными нормативными правовыми актами.

В случае привлечения работника к работе в установленный ему графиком выходной день или нерабочий праздничный день работа оплачивается не менее чем в двойном размере работникам, получающим должностной оклад, при этом в размере не менее одинарной дневной или часовой базовой ставки сверх оклада, если работа в выходной или нерабочий праздничный день производилась в пределах месячной нормы рабочего времени, и в размере не менее двойной часовой или дневной ставки сверх базового оклада, если работа производилась сверх месячной нормы.

6.4.1. По желанию работника, работавшего в выходной или нерабочий праздничный день, ему может быть предоставлен другой день отдыха. В этом случае работа в выходной или нерабочий праздничный день оплачивается в одинарном размере, а день отдыха оплате не подлежит.

6.5. Выплаты компенсационного характера за специфику деятельности предоставляются работникам профессиональных квалификационных групп должностей медицинских и фармацевтических работников в отдельных учреждениях (Bsd) и рассчитываются по формуле:

,

где:

Od - должностной оклад медицинских работников организаций дополнительного образования;

Dsd - размер надбавки за специфику деятельности, который принимается равным 16,2 процента.

6.5.1. Перечень должностей работников, которым с учетом конкретных условий работы в данной организации дополнительного образования, подразделении и должности устанавливаются надбавки за специфику деятельности, утверждается каждым учреждением по согласованию с выборным профсоюзным органом или иным органом, уполномоченным представлять интересы работ

VII. Порядок определения заработной платы руководителя организации дополнительного образования, заместителя руководителя, главного бухгалтера

7.1. Заработная плата руководителей организаций дополнительного образования, их заместителей и главных бухгалтеров состоит из должностных окладов, выплат компенсационного и стимулирующего характера.

7.2. Должностной оклад руководителя организации дополнительного образования устанавливается Министерством образования и науки Республики Татарстан один раз в год на начало учебного года в зависимости от группы по оплате труда (Od) и рассчитывается по формуле:

,

где:

Ob - размер базового оклада руководителя;

Hf - фактическое количество часов работы;

HN - норма часов за ставку заработной платы работников организаций дополнительного образования, установленная разделом III настоящего Положения.

7.3. Должностные оклады заместителей руководителей и главных бухгалтеров организаций дополнительного образования устанавливаются на 20 - 30 процентов ниже должностных окладов руководителей этих организаций дополнительного образования.

7.4. Выплаты стимулирующего характера за качество выполняемых работ руководителю образовательной организации дополнительного образования устанавливаются Министерством образования и науки Республики Татарстан с учетом результатов деятельности, определенных на основании критериев эффективности их деятельности.

Выплаты стимулирующего характера за качество выполняемых работ руководителю организации дополнительного образования могут осуществляться ежемесячно, по итогам работы за год, за выполнение важных и особо важных заданий.

7.5. Группа по оплате труда руководителей, размеры базового окладов и выплат стимулирующего характера за качество выполняемых работ руководителям организации дополнительного образования представлены в таблице 15.

7.6. Выплаты стимулирующего характера за качество выполняемых работ заместителям руководителя, главному бухгалтеру организации дополнительного образования устанавливаются руководителем организации дополнительного образования с учетом результатов деятельности, определенных на основании критериев эффективности их деятельности, установленных локальными нормативными актами. Выплаты стимулирующего характера за качество выполняемых работ заместителям руководителя, главному бухгалтеру могут осуществляться ежемесячно, ежеквартально, по итогам работы за год, за выполнение важных и особо важных заданий. Предельный уровень выплат стимулирующего характера заместителям руководителя, главному бухгалтеру устанавливается на уровне 70 процентов выплат стимулирующего характера за качество выполняемых работ руководителя организации дополнительного образования.

Таблица 15

Группа по оплате труда руководителей, размеры базового оклада и выплат стимулирующего характера за качество выполняемых работ руководителям организации дополнительного образования

(в ред. Постановления Кабинета министров Республики Татарстан от 21.04.2025 N 252)

Группа по оплате труда руководителяЗначение объемного показателя (численность обучающихся по состоянию на начало учебного года в соответствии с государственным заданием), человекБазовый оклад, рублейВыплаты стимулирующего характера за качество выполняемых работ, рублей
11 - 20034 0004 500
2201 - 40036 0005 500
3401 - 70040 0005 500
4701 - 1 20041 0006 500
51 201 - 1 80044 0007 500
61 801 и выше46 0009 000

7.7. Типовые критерии эффективности деятельности руководителей, заместителей руководителей, главных бухгалтеров организаций дополнительного образования и их весовые коэффициенты утверждаются отраслевыми министерствами Республики Татарстан, в ведении которых находятся организации дополнительного образования.

7.8. Стимулирующие выплаты за качество выполняемых работ (Вк) рассчитываются по формуле:

,

где:

Вс - размер выплат стимулирующего характера за качество выполняемых работ, который приведен в таблице 15;

KVK - коэффициент выполнения критериев качества.

7.9. Выплаты компенсационного характера устанавливаются для руководителя учреждения, его заместителей, главного бухгалтера организации дополнительного образования в соответствии с Трудовым кодексом Российской Федерации.

VIII. Порядок формирования и использования фонда оплаты труда организаций дополнительного образования

8.1. Формирование фонда оплаты труда в организациях дополнительного образования осуществляется в пределах объема средств организации дополнительного образования на текущий финансовый год, определенного в соответствии с нормативными затратами, количеством объемных показателей, и отражается в плане финансово-хозяйственной деятельности в организациях дополнительного образования.

8.2. Начисления должностных окладов, выплат компенсационного и стимулирующего характера, установленных настоящим Положением, осуществляются работникам организации дополнительного образования (включая работников профессиональных квалификационных групп общеотраслевых профессий рабочих, рабочих культуры, искусства и кинематографии, общеотраслевых должностей руководителей, специалистов и служащих) за счет средств, предусмотренных в плане финансово-хозяйственной деятельности организации дополнительного образования на оплату труда на текущий финансовый год.

8.3. Экономия фонда оплаты труда, сложившаяся в ходе исполнения плана финансово-хозяйственной деятельности организаций дополнительного образования за счет всех источников финансового обеспечения, включая доходы, полученные от оказания платных услуг, за соответствующий период (месяц, квартал, год) может направляться на поощрительные выплаты в соответствии с локальными нормативными актами организации дополнительного образования, принятыми с учетом норм настоящего Положения.

При наличии экономии фонда оплаты труда поощрительные выплаты производятся работникам той профессиональная квалификационной группы должностей, по которой экономия фонда оплаты труда образовалась (включая работников профессиональных квалификационных групп общеотраслевых профессий рабочих, рабочих культуры, искусства и кинематографии, общеотраслевых должностей руководителей, специалистов и служащих).

Размер поощрительной выплаты, произведенной за счет экономии фонда оплаты труда за соответствующий период работнику организации дополнительного образования с учетом отработанной за этот период нормы рабочего времени, выполнившему нормы труда (трудовые обязанности), не может превышать трехкратного минимального размера оплаты труда, установленного Федеральным законом от 19 июня 2000 года N 82-ФЗ "О минимальном размере оплаты труда" на 1 января текущего года (за исключением работников, занимающих профессиональные квалификационные группы должностей педагогических работников, руководителя организации дополнительного образования).

Размер поощрительной выплаты за счет экономии фонда оплаты труда руководителю организации дополнительного образования определяется учредителем организации дополнительного образования.

Ответственность за использование экономии фонда оплаты труда, образовавшейся в ходе исполнения плана финансово-хозяйственной деятельности организации дополнительного образования за счет всех источников финансового обеспечения, включая доходы, полученные от оказания платных услуг, возлагается на руководителя организации дополнительного образования.

Приложение
к Положению
об условиях оплаты труда работников
образовательных организаций
дополнительного образования
Республики Татарстан

(в ред. Постановления Кабинета министров Республики Татарстан от 24.06.2024 N 454)

Таблица 1

Перечень почетных званий и ведомственных наград, за наличие которых предоставляются соответствующие выплаты работникам образования

N п/пНаименование почетного звания
12
Почетные звания Российской Федерации, Республики Татарстан, Союза Советских Социалистических Республик, союзных и автономных республик
в составе Союза Советских Социалистических Республик
1. Почетные звания Российской Федерации
1.1.Народный учитель Российской Федерации
1.2.Заслуженный учитель Российской Федерации
1.3.Заслуженный деятель науки Российской Федерации
1.4.Заслуженный работник высшей школы Российской Федерации
1.5.Заслуженный мастер производственного обучения Российской Федерации
1.6.Заслуженный работник физической культуры Российской Федерации
1.7.Заслуженный работник культуры Российской Федерации
1.8.Заслуженный художник Российской Федерации
1.9.Заслуженный экономист Российской Федерации
2. Почетные звания Союза Советских Социалистических Республик
2.1.Народный учитель СССР
3. Почетные звания союзных республик в составе Союза Советских Социалистических Республик
3.1.Заслуженный деятель физкультуры и спорта
3.2.Заслуженный деятель спорта
3.3.Заслуженный деятель физической культуры
3.4.Заслуженный работник физической культуры и спорта
3.5.Заслуженный тренер РСФСР
3.6.Заслуженный учитель школы РСФСР
3.7.Заслуженный учитель профессионально-технического образования
3.8.Заслуженный мастер профессионально-технического образования
3.9.Заслуженный работник профессионально-технического образования
3.10.Заслуженный преподаватель
3.11.Заслуженный работник высшей школы
3.12.Заслуженный работник народного образования
3.13.Заслуженный деятель высшей школы
3.14.Заслуженный деятель науки и техники
3.15.Заслуженный деятель науки
4. Почетные звания автономных республик в составе Союза Советских Социалистических Республик
4.1.Заслуженный деятель физкультуры и спорта
4.2.Заслуженный работник физической культуры и спорта
4.3.Заслуженный деятель школы
4.4.Заслуженный учитель школы
4.5.Заслуженный учитель профессионально-технического образования
4.6.Заслуженный мастер профессионально-технического образования
4.7.Заслуженный работник профессионально-технического образования
4.8.Заслуженный работник высшей школы
4.9.Заслуженный деятель науки и культуры
4.10.Заслуженный работник культуры
4.11.Заслуженный деятель науки и техники
4.12.Заслуженный деятель науки
4.13.Заслуженный тренер
5. Почетные звания Республики Татарстан
5.1.Народный учитель Республики Татарстан
5.2.Заслуженный учитель школы Республики Татарстан
5.3.Заслуженный учитель Республики Татарстан
5.4.Заслуженный деятель науки Республики Татарстан
5.5.Заслуженный работник высшей школы Республики Татарстан
5.6.Заслуженный работник физической культуры Республики Татарстан
5.7.Заслуженный работник культуры Республики Татарстан
5.8.Заслуженный экономист Республики Татарстан
5.9.Заслуженный тренер Республики Татарстан
Ведомственные награды Российской Федерации, Республики Татарстан (Союза Советских Социалистических Республик, Российской Советской Федеративной Социалистической Республики)
1. Министерство просвещения Российской Федерации (Министерство образования и науки Российской Федерации, Министерство образования Российской Федерации)
1.1.Почетный работник общего образования Российской Федерации
1.2.Почетный работник начального профессионального образования Российской Федерации
1.3.Почетный работник среднего профессионального образования Российской Федерации
1.4.Почетный работник высшего профессионального образования Российской Федерации
1.5.Почетный работник науки и техники Российской Федерации
1.6.Почетный работник сферы молодежной политики Российской Федерации
1.7.За развитие научно-исследовательской работы студентов
1.8.Почетный работник сферы образования Российской Федерации
1.9.Почетный работник сферы воспитания детей и молодежи Российской Федерации
1.10.Отличник просвещения
1.11.Почетный работник воспитания и просвещения Российской Федерации
1.12.Ветеран сферы воспитания и образования
1.13.Медаль Л.С. Выготского
1.14.Значок "Отличник профессионально-технического образования Российской Федерации"
1.15.Нагрудный знак "За милосердие и благотворительность"
1.16.Нагрудный знак "За верность профессии"
1.17.Нагрудный знак "Молодость и Профессионализм"
1.18.Нагрудный знак "Почетный наставник"
1.19.Нагрудный знак "Ветеран" Министерства науки и высшего образования Российской Федерации
1.20.Медаль "За безупречный труд и отличие"
1.21.Медаль "За вклад в реализацию государственной политики в области образования и научно-технологического развития"
1.22.Звание "Почетный работник" Министерства науки и высшего образования Российской Федерации
1.23.Нагрудный знак "Молодой ученый"
1.24.Почетная грамота Министерства науки и высшего образования Российской Федерации
2. Министерство народного образования, Министерство просвещения СССР (РСФСР)
2.1.Значок "Отличник просвещения СССР"
2.2.Значок "Отличник народного просвещения"
2.3.Значок "Отличник профтехобразования СССР"
2.4.Значок "Отличник профтехобразования РСФСР"
2.5.Значок "Отличник физической культуры и спорта"

Таблица 2

Перечень почетных званий Российской Федерации, Республики Татарстан, Союза Советских Социалистических Республик, союзных и автономных республик в составе Союза Советских Социалистических Республик, за наличие которых предоставляются выплаты стимулирующего характера работникам культуры

N п/пНаименование почетного звания
12
1. Почетные звания Российской Федерации
1.1.Народный артист Российской Федерации
1.2.Народный художник Российской Федерации
1.3.Заслуженный артист Российской Федерации
1.4.Заслуженный работник культуры Российской Федерации
1.5.Заслуженный художник Российской Федерации
2. Почетные звания Республики Татарстан
2.1.Народный артист Республики Татарстан
2.2.Народный писатель Республики Татарстан
2.3.Народный поэт Республики Татарстан
2.4.Народный художник Республики Татарстан
2.5.Заслуженный артист Республики Татарстан
2.6.Заслуженный деятель искусств Республики Татарстан
2.7.Заслуженный работник культуры Республики Татарстан
3. Почетные звания Союза Советских Социалистических Республик
3.1.Народный артист СССР
3.2.Народный художник СССР
4. Почетные звания союзных республик в составе Союза Советских Социалистических Республик
4.1.Заслуженный пропагандист
4.2.Народный артист
4.3.Заслуженный артист
4.4.Заслуженный деятель искусств
4.5.Народный художник
4.6.Заслуженный художник
4.7.Народный писатель
4.8.Заслуженный писатель
4.9.Народный поэт
4.10.Народный певец
4.11.Народный акын
4.12.Заслуженный журналист
4.13.Заслуженный деятель культуры
4.14.Заслуженный работник культурно-просветительной работы
4.15.Заслуженный работник культуры
4.16.Заслуженный библиотекарь
4.17.Мастер прикладного искусства
4.18.Заслуженный мастер народного творчества
4.19.Заслуженный деятель науки
5. Почетные звания автономных республик в составе Союза Советских Социалистических Республик
5.1.Заслуженный строитель
5.2.Народный артист
5.3.Заслуженный артист
5.4.Заслуженный деятель искусств
5.5.Народный художник
5.6.Заслуженный художник
5.7.Народный писатель
5.8.Заслуженный писатель
5.9.Народный поэт
5.10.Заслуженный журналист
5.11.Заслуженный работник культуры
5.12.Заслуженный библиотекарь
5.13.Заслуженный деятель науки и культуры
5.14.Заслуженный деятель науки и техники
5.15.Заслуженный деятель науки

Таблица 3

Перечень почетных званий, за наличие которых предоставляются соответствующие выплаты медицинским работникам

N п/пНаименование почетного звания
1. Почетные звания Российской Федерации
1.1.Заслуженный врач Российской Федерации
1.2.Заслуженный работник здравоохранения Российской Федерации
1.3.Отличник здравоохранения Российской Федерации
2. Почетные звания Республики Татарстан
2.1.Заслуженный врач Республики Татарстан
2.2.Заслуженный работник здравоохранения Республики Татарстан

Таблица 4

Перечень почетных званий, спортивных званий Российской Федерации, Республики Татарстан, Союза Советских Социалистических Республик, союзных и автономных республик в составе Союза Советских Социалистических Республик, за наличие которых предоставляются выплаты стимулирующего характера работникам физической культуры

N п/пНаименование почетного звания, спортивного звания
12
1. Почетные звания, спортивные звания Российской Федерации
1.1.Заслуженный работник физической культуры Российской Федерации
1.2.Заслуженный мастер спорта России
1.3.Заслуженный тренер России
1.4.Почетный спортивный судья России
1.5.Заслуженный мастер спорта России международного класса
1.6.Мастер спорта России международного класса
1.7.Мастер спорта России
1.8.Гроссмейстер России
1.9.Почетный спортивный судья России
2. Почетные звания Республики Татарстан
2.1.Заслуженный работник физической культуры Республики Татарстан
2.2.Заслуженный тренер Республики Татарстан
3. Почетные звания Союза Советских Социалистических Республик
3.1.Заслуженный мастер спорта СССР
3.2.Заслуженный тренер СССР
3.3.Мастер спорта СССР
3.4.Мастер спорта СССР международного класса
3.5.Заслуженный тренер РСФСР
3.6.Гроссмейстер СССР
4. Почетные звания союзных республик в составе Союза Советских Социалистических Республик
4.1.Заслуженный деятель физкультуры и спорта
4.2.Заслуженный деятель спорта
4.3.Заслуженный деятель физической культуры
4.4.Заслуженный работник физической культуры и спорта
4.5.Заслуженный тренер
5. Почетные звания автономных республик в составе Союза Советских Социалистических Республик
5.1.Заслуженный деятель физкультуры и спорта
5.2.Заслуженный работник физической культуры и спорта

Таблица 5

Перечень почетных званий Российской Федерации, Республики Татарстан, Союза Советских Социалистических Республик, союзных и автономных республик в составе Союза Советских Социалистических Республик, по которым предоставляются выплаты стимулирующего характера работникам сельского хозяйства

N п/пНаименование почетного звания
12
1. Почетные звания Российской Федерации
1.1.Заслуженный агроном Российской Федерации
1.2.Заслуженный ветеринарный врач Российской Федерации
12
1.3.Заслуженный зоотехник Российской Федерации
1.4.Заслуженный мелиоратор Российской Федерации
1.5.Заслуженный механизатор сельского хозяйства Российской Федерации
1.6.Заслуженный работник сельского хозяйства Российской Федерации
2. Почетные звания Республики Татарстан
2.1.Заслуженный агроном Республики Татарстан
2.2.Заслуженный ветеринарный врач Республики Татарстан
2.3.Заслуженный животновод Республики Татарстан
2.4.Заслуженный зоотехник Республики Татарстан
2.5.Заслуженный мелиоратор Республики Татарстан
2.6.Заслуженный механизатор сельского хозяйства Республики Татарстан
2.7.Заслуженный работник сельского хозяйства Республики Татарстан
3. Почетные звания Союза Советских Социалистических Республик
3.1.Заслуженный работник сельского хозяйства СССР
4. Почетные звания союзных республик в составе Союза Советских Социалистических Республик
4.1.Заслуженный работник сельского хозяйства
4.2.Заслуженный агроном
4.3.Заслуженный инженер сельского хозяйства
4.4.Заслуженный зоотехник
4.5.Заслуженный работник животноводства
4.6.Заслуженный животновод
4.7.Заслуженный мастер животноводства
4.8.Мастер животноводства
4.9.Заслуженный механизатор сельского хозяйства
4.10.Заслуженный механизатор
4.11.Заслуженный мелиоратор
4.12.Заслуженный ветеринарный врач
5. Почетные звания автономных республик в составе Союза Советских Социалистических Республик
5.1.Заслуженный работник сельского хозяйства
5.2.Заслуженный агроном
5.3.Заслуженный зоотехник
5.4.Заслуженный животновод
5.5.Заслуженный механизатор сельского хозяйства
5.6.Заслуженный механизатор
5.7.Заслуженный ветеринарный врач

УТВЕРЖДЕНО
постановлением
Кабинета Министров
Республики Татарстан
от 31.05.2018 N 412

ПОЛОЖЕНИЕ ОБ УСЛОВИЯХ ОПЛАТЫ ТРУДА РАБОТНИКОВ ГОСУДАРСТВЕННЫХ ПРОФЕССИОНАЛЬНЫХ ОБРАЗОВАТЕЛЬНЫХ ОРГАНИЗАЦИЙ РЕСПУБЛИКИ ТАТАРСТАН

(в ред. Постановлений Кабинета министров Республики Татарстан от 24.06.2024 N 454, от 25.09.2024 N 830, от 21.04.2025 N 252, от 19.06.2025 N 444)

I. Общие положения

1.1. Настоящее Положение определяет порядок формирования окладов работников государственных профессиональных образовательных организаций Республики Татарстан (далее - профессиональные образовательные организации), условия и размеры выплат компенсационного и стимулирующего характера.

1.2. В настоящем Положении используются следующие основные понятия:

система оплаты труда - совокупность норм, определяющих условия и размеры оплаты труда работников, включая размеры тарифных ставок, должностных окладов, а также выплат компенсационного и стимулирующего характера, установленных в соответствии с федеральным законодательством и законодательством Республики Татарстан;

базовый оклад - оклад работника профессиональной образовательной организации, установленный ему за исполнение трудовых (должностных) обязанностей за календарный месяц либо за норму труда (норму часов педагогической работы в неделю (в год) за ставку заработной платы) в зависимости от сложности выполняемых работ без учета выплат стимулирующего и компенсационного характера;

должностной оклад - фиксированный размер оплаты труда работника за исполнение трудовых (должностных) обязанностей определенной сложности за календарный месяц за фактически отработанное время без учета компенсационных, стимулирующих выплат;

заработная плата (оплата труда работника) - вознаграждение за труд в зависимости от квалификации работника, сложности, количества, качества и условий выполняемой работы, включая компенсационные и стимулирующие выплаты;

выплаты стимулирующего характера - доплаты и надбавки стимулирующего характера, премии и иные поощрительные выплаты;

выплаты компенсационного характера - доплаты и надбавки компенсационного характера, в том числе за работу в условиях, отклоняющихся от нормальных, и иные выплаты компенсационного характера.

1.3. Заработная плата (оплата труда работника) работников профессиональных квалификационных групп должностей работников образования, работников, занятых в сфере культуры, искусства и кинематографии, работников профессиональных квалификационных групп должностей работников физической культуры и спорта, работников профессиональных квалификационных групп должностей медицинских и фармацевтических работников (далее соответственно - работники образования, работники культуры, работники физической культуры и спорта, медицинские работники) в профессиональных образовательных организациях определяется исходя из:

должностных окладов;

выплат стимулирующего характера;

выплат компенсационного характера.

1.4. При наступлении у работника права на изменение размера оплаты труда в связи с увеличением стажа работы по профилю, с присвоением квалификационной категории, с присвоением почетного звания, награждением ведомственными знаками отличия, в период пребывания в ежегодном или ином отпуске, в период его временной нетрудоспособности, а также в другие периоды, в течение которых за ним сохраняется средняя заработная плата, изменения размера оплаты его труда осуществляются по окончании указанных периодов.

1.5. Руководители профессиональных образовательных организаций:

проверяют документы об образовании и стаже педагогической работы (работы по специальности в определенной должности) на соответствие квалификационным характеристикам, которые определены приказом Министерства здравоохранения и социального развития Российской Федерации от 26 августа 2010 г. N 761н "Об утверждении Единого квалификационного справочника должностей руководителей, специалистов и служащих, раздел "Квалификационные характеристики должностей работников образования";

ежегодно составляют и утверждают на работников профессиональных образовательных организаций тарификационные списки;

несут ответственность за своевременное и правильное определение размеров заработной платы работников профессиональных образовательных организаций.

II. Определение базовых окладов работников профессиональных образовательных организаций (в ред. Постановления Кабинета министров Республики Татарстан от 21.04.2025 N 252)

2.1. Базовые оклады работников образования профессиональных образовательных организаций устанавливаются в следующих размерах:

Квалификационный уровеньНаименование должностиРазмер базового оклада в месяц, рублей
123
Профессиональная квалификационная группа должностей работников учебно-вспомогательного персонала первого уровня
Первый квалификационный уровеньСекретарь учебной части23 600
Профессиональная квалификационная группа должностей работников учебно-вспомогательного персонала второго уровня
Первый квалификационный уровеньМладший воспитатель23 720
Второй квалификационный уровеньДиспетчер образовательного учреждения23 950
Профессиональная квалификационная группа должностей педагогических работников
Первый квалификационный уровеньИнструктор по труду24 900
Инструктор по физической культуре
Музыкальный руководитель
Второй квалификационный уровеньИнструктор-методист25 000
Концертмейстер
Педагог дополнительного образования
Педагог-организатор
Социальный педагог
Тренер-преподаватель
Третий квалификационный уровеньВоспитатель25 140
Мастер производственного обучения
Методист
Педагог-психолог
Четвертый квалификационный уровеньПреподаватель (кроме должностей преподавателей, отнесенных к профессорско-преподавательскому составу)25 250
Преподаватель-организатор основ безопасности и защиты Родины
Руководитель физического воспитания
Старший воспитатель
Старший методист
Тьютор (за исключением тьютора, занятого в сфере высшего и дополнительного профессионального образования)
Учитель
Педагог-библиотекарь <*>
Профессиональная квалификационная группа должностей руководителей структурных подразделений
Первый квалификационный уровеньЗаведующий (начальник) структурным подразделением: кабинетом, лабораторией, отделом, отделением, сектором, учебно-консультационным пунктом, учебной (учебно-производственной) мастерской и другими структурными подразделениями, реализующими общеобразовательную программу и образовательную программу дополнительного образования детей (кроме должностей руководителей структурных подразделений, отнесенных ко второму квалификационному уровню)25 300
Второй квалификационный уровеньЗаведующий (начальник) обособленным структурным подразделением, реализующим общеобразовательную программу и образовательную программу дополнительного образования детей, начальник (заведующий, директор, руководитель, управляющий): кабинета, лаборатории, отдела, отделения, сектора, учебно-консультационного пункта, учебной (учебно-производственной) мастерской, учебного хозяйства и других структурных подразделений образовательного учреждения (подразделения) начального и среднего профессионального образования (кроме должностей руководителей структурных подразделений, отнесенных к третьему квалификационному уровню)25 350
Старший мастер образовательного учреждения (подразделения) начального и (или) среднего профессионального образования
Третий квалификационный уровеньНачальник (заведующий, директор, руководитель, управляющий) обособленного структурного подразделения образовательного учреждения (подразделения) начального и среднего профессионального образования25 400

<*> Для государственных профессиональных образовательных организаций Республики Татарстан, реализующих образовательные программы основного общего образования и образовательные программы среднего общего образования.

2.2. Базовые оклады работников культуры профессиональных образовательных организаций устанавливаются в следующих размерах:

Наименование должностиРазмер базового оклада в месяц, рублей
12
Профессиональная квалификационная группа "Должности работников культуры, искусства и кинематографии среднего звена"
Заведующий костюмерной24 950
Профессиональная квалификационная группа "Должности работников культуры, искусства и кинематографии ведущего звена"
Библиограф25 450
Библиотекарь
Ведущий библиотекарь
Звукооператор
Хранитель фондов
Художник-постановщик
Художник-скульптор
Профессиональная квалификационная группа "Должности руководящего состава учреждений культуры, искусства и кинематографии"
Заведующий отделом (сектором) музея26 650
Заведующий отделом (сектором) библиотеки
Заведующий отделением (пунктом) по прокату кино- и видеофильмов
Звукорежиссер
Режиссер-постановщик
Художественный руководитель

2.3. Базовые оклады медицинских работников профессиональных образовательных организаций устанавливаются в следующих размерах:

Квалификационный уровеньНаименование должностиРазмер базового оклада в месяц, рублей
123
Профессиональная квалификационная группа "Медицинский и фармацевтический персонал первого уровня"
Первый квалификационный уровеньМладшая медицинская сестра по уходу за больными (младший медицинский брат по уходу за больными)23 320
Профессиональная квалификационная группа "Средний медицинский и фармацевтический персонал"
Третий квалификационный уровеньМедицинская сестра (медицинский брат)25 240
Медицинская сестра по массажу (медицинский брат по массажу)
Медицинский лабораторный техник (фельдшер-лаборант)
Четвертый квалификационный уровеньФельдшер25 940
Пятый квалификационный уровеньСтаршая медицинская сестра (старший медицинский брат)26 940
Профессиональная квалификационная группа "Врачи и провизоры"
Второй квалификационный уровеньВрачи-специалисты (кроме врачей-специалистов, отнесенных к третьему и четвертому квалификационным уровням)29 170
Профессиональная квалификационная группа "Руководители структурных подразделений учреждений с высшим медицинским и фармацевтическим образованием (врач-специалист, провизор)"
Первый квалификационный уровеньЗаведующий структурным подразделением (отделом, отделением, лабораторией, кабинетом, отрядом и др.) (кроме заведующего отделением хирургического профиля стационара)33 150

2.4. Базовые оклады работников физической культуры и спорта профессиональных образовательных организаций устанавливаются в следующих размерах:

Квалификационный уровеньНаименование должностиРазмер базового оклада в месяц, рублей
123
Профессиональная квалификационная группа должностей работников физической культуры и спорта первого уровня
Второй квалификационный уровеньСпортсмен23 320
Профессиональная квалификационная группа должностей работников физической культуры и спорта второго уровня
Первый квалификационный уровеньСпортсмен-инструктор24 185
Второй квалификационный уровеньИнструктор-методист физкультурно-спортивных организаций24 190
Третий квалификационный уровеньСтарший инструктор-методист физкультурно-спортивных организаций24 200
Старший тренер-преподаватель по спорту
Профессиональная квалификационная группа должностей работников физической культуры и спорта третьего уровня
Первый квалификационный уровеньВрач по спортивной медицине спортивных сборных команд24 260
Второй квалификационный уровеньСтарший тренер спортивной сборной команды24 310
Профессиональная квалификационная группа должностей работников физической культуры и спорта четвертого уровня
Первый квалификационный уровеньГлавный тренер спортивной сборной команды24 410

III. Норма часов за ставку заработной платы (базовый оклад) и нормативное количество объемных показателей работников профессиональных образовательных организаций

3.1. Продолжительность рабочего времени (нормы часов педагогической работы за ставку заработной платы) определена приказом Министерства образования и науки Российской Федерации от 22 декабря 2014 г. N 1601 "О продолжительности рабочего времени (нормах часов педагогической работы за ставку заработной платы) педагогических работников и о порядке определения учебной нагрузки педагогических работников, оговариваемой в трудовом договоре".

Продолжительность рабочего времени (норма часов за ставку заработной платы) для педагогических работников профессиональных образовательных организаций устанавливается исходя из сокращенной продолжительности рабочего времени не более 36 часов в неделю, которая включает преподавательскую (учебную) работу, воспитательную, а также другую педагогическую работу, предусмотренную должностными обязанностями и режимом рабочего времени, утвержденными в установленном порядке.

3.2. Нормативное количество объемных показателей за час ставки заработной платы (базового оклада), оказываемых работниками образования, составляет:

3.2.1. Преподавателям, учителям, инструкторам по труду, мастерам производственного обучения, руководителям физического воспитания, преподавателям-организаторам основ безопасности и защиты Родины: (в ред. Постановления Кабинета министров Республики Татарстан от 19.06.2025 N 444)

25 человек - в группах на занятиях теоретического образования в профессиональных образовательных организациях;

12 - 15 человек - для профессиональных образовательных организаций при проведении практических занятий по всем профессиям, а по профессиям, связанным с обслуживанием сложного оборудования, выполнением опасных работ, - 8 - 10 человек;

в сфере культуры в соответствии с требованиями федеральных государственных образовательных стандартов среднего профессионального образования по соответствующим специальностям и профессиям.

При проведении занятий по иностранному языку, родному языку и литературе, русскому языку и литературе в профессиональных образовательных организациях с национальным языком обучения, по информатике и вычислительной технике, физике

и химии (во время практических занятий) допускается деление группы на две подгруппы: в городских профессиональных образовательных организациях, если наполняемость группы составляет 25 человек, и в сельских - не менее 20 человек.

3.2.2. Преподавателям, учителям, инструкторам по труду, мастерам производственного обучения, руководителям физического воспитания, преподавателям-организаторам основ безопасности и защиты Родины, педагогам дополнительного образования, работающим непосредственно с обучающимися (воспитанниками) с ограниченными возможностями здоровья: (в ред. Постановления Кабинета министров Республики Татарстан от 19.06.2025 N 444)

10 человек - для профессиональных образовательных организаций, специальных (коррекционных) групп:

II вида - для слабослышащих и позднооглохших с легким недоразвитием речи, обусловленным нарушением слуха;

VI вида - для детей, имеющих нарушения опорно-двигательного аппарата;

VIII вида - для глубоко умственно отсталых детей;

12 человек - для профессиональных образовательных организаций, специальных (коррекционных) групп:

IV вида - для слабовидящих и поздноослепших детей;

V вида - для детей, имеющих тяжелые нарушения речи;

VII вида - для детей, имеющих задержку психического развития;

VIII вида - для умственно отсталых детей.

3.3. Продолжительность рабочего времени (нормы часов работы за ставку заработной платы) работников образования, работников культуры, медицинских работников определяется Трудовым кодексом Российской Федерации.

3.4. Отдельным категориям работников продолжительность рабочего времени (нормы часов работы за ставку заработной платы) может устанавливаться трехсторонними отраслевыми соглашениями на федеральном и региональном уровнях.

3.5. Нормативы оплаты труда тренеров-преподавателей по спорту (старших тренеров-преподавателей по спорту) профессиональных образовательных организаций спортивной направленности за одного занимающегося, недельный режим учебно-тренировочной работы, нормативная наполняемость групп на этапах спортивной подготовки по видам спорта, нормативы оплаты труда спортсменов-инструкторов и спортсменов за достигнутые результаты в официальных международных, всероссийских, окружных и республиканских соревнованиях:

3.5.1. Нормативы оплаты труда тренеров-преподавателей (старших тренеров-преподавателей) профессиональных образовательных организаций, реализующих образовательные программы в области физической культуры и спорта, за одного занимающегося, недельный режим учебно-тренировочной работы, нормативная наполняемость групп на этапах спортивной подготовки по видам спорта представлены таблицах 1 - 3 приложения N 1 к настоящему Положению. (в ред. Постановления Кабинета министров Республики Татарстан от 19.06.2025 N 444)

3.5.2. Недельный режим учебно-тренировочной работы является максимальным и устанавливается в зависимости от специфики вида спорта, периода и задач подготовки. Годовой объем учебно-тренировочной работы, предусмотренный указанными режимами работы, начиная с учебно-тренировочного этапа подготовки, может быть сокращен не более чем на 25 процентов.

3.5.3. При объединении в одну группу занимающихся по возрасту и спортивной подготовленности разница в уровнях их спортивного мастерства не должна превышать двух разрядов, а их количественный состав на этапе высшего спортивного мастерства не должен превышать 8 человек, спортивного совершенствования - 12 человек, учебно-тренировочного - 16 человек для занимающихся свыше двух лет и 20 человек - для занимающихся менее двух лет с учетом правил техники безопасности на учебно-тренировочных занятиях.

3.5.4. В отдельных видах спорта, кроме основного тренера-преподавателя, могут привлекаться тренеры-преподаватели по смежным видам спорта (акробатике, хореографии и др.) при условии одновременной работы со спортсменами. Оплата их труда не должна превышать половины размера норматива оплаты труда, предусмотренного для основного тренера-преподавателя. (в ред. Постановления Кабинета министров Республики Татарстан от 19.06.2025 N 444)

3.5.5. Размер норматива оплаты труда тренеров-преподавателей (старших тренеров-преподавателей) за подготовку высококвалифицированного спортсмена согласно занятому месту на соревнованиях устанавливается на основании выписки из протокола соревнований с момента результата, показанного спортсменом в течение одного календарного года. (в ред. Постановления Кабинета министров Республики Татарстан от 19.06.2025 N 444)

3.5.6. Норматив оплаты труда тренеров-преподавателей (старших тренеров-преподавателей) за подготовку высококвалифицированного спортсмена согласно занятому месту на соревнованиях устанавливается на один календарный год. (в ред. Постановления Кабинета министров Республики Татарстан от 19.06.2025 N 444)

3.5.7. Если по истечении срока действия норматива оплаты труда за подготовку высококвалифицированного спортсмена согласно занятому месту спортсмен не показал иного результата, размер норматива оплаты труда тренеров-преподавателей (старших тренеров-преподавателей) устанавливается в соответствии с таблицей 1 приложения N 1 к настоящему Положению. (в ред. Постановления Кабинета министров Республики Татарстан от 19.06.2025 N 444)

3.5.8. Норматив оплаты труда тренеров-преподавателей (старших тренеров-преподавателей) за подготовку высококвалифицированного спортсмена согласно занятому месту устанавливается из суммы процентов за один лучший результат в соревнованиях каждого уровня (не более восьми соревнований спортсмена), показанный спортсменом в индивидуальном зачете в виде программы, в многоборье, или за результат в командных соревнованиях, если в таковых разыгрываются комплекты медалей. (в ред. Постановления Кабинета министров Республики Татарстан от 19.06.2025 N 444)

3.5.9. Для тренеров-преподавателей по смежным видам спорта (акробатика, хореография и т.д.), привлекаемых в отдельных видах спорта (индивидуальных и командных) при подготовке высококвалифицированных спортсменов, устанавливаются нормативы оплаты труда тренеров-преподавателей (старших тренеров-преподавателей) за подготовку высококвалифицированных спортсменов согласно занятому месту на тех же условиях, что и основным тренерам-преподавателям (старшим тренерам-преподавателям) в размере пропорционально отработанному времени от недельного режима учебно-тренировочной работы спортсменов, установленного в таблице 2 приложения N 1 к настоящему Положению. (в ред. Постановления Кабинета министров Республики Татарстан от 19.06.2025 N 444)

3.5.10. Размер норматива оплаты труда спортсменов-инструкторов и спортсменов за достигнутые результаты в официальных международных, всероссийских, окружных и республиканских соревнованиях согласно занятому месту устанавливается на основании выписки из протокола соревнований с момента результата, показанного спортсменами-инструкторами, спортсменами в течение одного календарного года.

3.5.11. Норматив оплаты труда спортсменов-инструкторов и спортсменов за достигнутые результаты в официальных международных, всероссийских, окружных и республиканских соревнованиях согласно занятому месту устанавливается на один календарный год.

3.5.12. Норматив оплаты труда спортсменов-инструкторов и спортсменов за достигнутые результаты в официальных международных, всероссийских, окружных и республиканских соревнованиях согласно занятому месту устанавливается из суммы процентов за один лучший результат в соревнованиях каждого уровня (не более восьми соревнований спортсмена-инструктора, спортсмена), показанный спортсменом-инструктором, спортсменом в индивидуальном зачете в виде программы, в многоборье или за результат в командных соревнованиях, если в таковых разыгрываются комплекты медалей.

3.5.13. Перечень всероссийских соревнований, включенных в единый календарный план Министерства спорта Российской Федерации, по которому производится выплата вознаграждений тренерам-преподавателям (старшим тренерам-преподавателям) за подготовку высококвалифицированных спортсменов, выступивших успешно на соревнованиях, определяется Министерством спорта Республики Татарстан.

IV. Порядок формирования должностных окладов работников профессиональных образовательных организаций

4.1. Должностной оклад работников профессиональных образовательных организаций (Od) рассчитывается по формуле:

,

где:

Ob - размер базового оклада работников профессиональных образовательных организаций, принимаемый в соответствии с разделом II настоящего Положения;

Hf - фактическое количество часов работы в профессиональных образовательных организациях;

HN - норма часов за ставку заработной платы работников профессиональных образовательных организаций, установленная разделом III настоящего Положения;

Р - компенсация на обеспечение книгоиздательской продукцией и периодическими изданиями в размере 100 рублей устанавливается педагогическим работникам, входящим в профессиональную квалификационную группу должностей педагогических работников, и работникам, входящим в профессиональную квалификационную группу должностей работников физической культуры и спорта второго уровня, пропорционально ставке, но не более чем на одну ставку по основному месту работы.

4.2. Должностной оклад тренеров-преподавателей (старших тренеров-преподавателей) в профессиональных образовательных организациях, реализующих образовательные программы в области физической культуры и спорта (Оd), рассчитывается по формуле: (в ред. Постановления Кабинета министров Республики Татарстан от 19.06.2025 N 444)

,

где:

Ob - размер базового оклада педагогических работников профессиональных образовательных организаций, принимаемый в соответствии с разделом II настоящего Положения;

Ni - нормативы оплаты труда тренеров-преподавателей (старших тренеров-преподавателей) профессиональных образовательных организаций, реализующих образовательные программы в области физической культуры и спорта, за одного занимающегося на этапах спортивной подготовки по видам спорта; (в ред. Постановления Кабинета министров Республики Татарстан от 19.06.2025 N 444)

Р - компенсация на обеспечение книгоиздательской продукцией и периодическими изданиями в размере 100 рублей устанавливается педагогическим работникам пропорционально учебной нагрузке, но не более чем на одну ставку по основному месту работы;

n - количество обучающихся.

4.3.Должностной оклад тренеров-преподавателей (старших тренеров-преподавателей) профессиональных образовательных организаций, реализующих образовательные программы в области физической культуры и спорта, за подготовку высококвалифицированных спортсменов согласно занятому месту (Ov) рассчитывается по формуле: (в ред. Постановления Кабинета министров Республики Татарстан от 19.06.2025 N 444)

(в ред. Постановления Кабинета министров Республики Татарстан от 19.06.2025 N 444)

где: (в ред. Постановления Кабинета министров Республики Татарстан от 19.06.2025 N 444)

Оb - размер базового оклада работников профессиональных образовательных организаций, принимаемый в соответствии с разделом II настоящего Положения; (в ред. Постановления Кабинета министров Республики Татарстан от 19.06.2025 N 444)

Nvi - нормативы оплаты труда тренеров-преподавателей (старших тренеров-преподавателей) профессиональных образовательных организаций, реализующих образовательные программы в области физической культуры и спорта, за подготовку высококвалифицированных спортсменов согласно занятому месту, которые приведены в таблице 5 приложения N 1 к настоящему Положению; (в ред. Постановления Кабинета министров Республики Татарстан от 19.06.2025 N 444)

n - количество обучающихся. (в ред. Постановления Кабинета министров Республики Татарстан от 19.06.2025 N 444)

V. Выплаты стимулирующего характера

5.1. К выплатам стимулирующего характера относятся выплаты, направленные на стимулирование работника к качественному результату труда, а также поощрение за выполненную работу.

5.1.1. Выплаты стимулирующего характера включают в себя:

выплаты за квалификационную категорию;

выплаты за наличие почетных званий и ведомственных наград;

выплаты за стаж работы по профилю;

выплаты за интенсивность труда;

выплаты за высокие результаты работы;

выплаты за обеспечение высококачественного учебно-тренировочного процесса;

выплаты специалистам за работу в сельской местности;

премиальные и иные поощрительные выплаты;

выплаты за качество выполняемых работ.

5.2. Размеры и порядок установления выплат стимулирующего характера работникам образования профессиональных образовательных организаций:

5.2.1. Выплаты за квалификационную категорию (Bkk) предоставляются работникам профессиональных квалификационных должностных групп педагогических работников и руководителей структурных подразделений при наличии у них действующей квалификационной категории в пределах срока действия квалификационной категории и рассчитываются по формуле:

,

где:

Od - должностной оклад работников профессиональных образовательных организаций;

Dkk - размер надбавки за квалификационную категорию, который приведен в таблице 1.

Таблица 1

Размеры надбавок за квалификационную категорию работникам образования

Квалификационный уровеньКвалификационная категорияРазмер надбавки, процентов
Профессиональная квалификационная группа должностей педагогических работников
Первыйпервая квалификационная категория2,0
высшая квалификационная категория3,5
Второйпервая квалификационная категория5,5
высшая квалификационная категория7,7
Третийпервая квалификационная категория6,0
высшая квалификационная категория9,0
Четвертыйпервая квалификационная категория7,2
высшая квалификационная категория11,0
Профессиональная квалификационная группа должностей руководителей структурных подразделений
Первыйпервая квалификационная категория7,2
высшая квалификационная категория11,0
Второйпервая квалификационная категория10,0
высшая квалификационная категория11,0
Третийпервая квалификационная категория10,0
высшая квалификационная категория15,0

Установление (изменение) выплат за квалификационную категорию производится со дня принятия положительного решения соответствующей аттестационной комиссией.

5.2.2. Выплаты за наличие почетных званий (спортивных званий) и ведомственных наград (Вр7) предоставляются по должностям работников образования, входящим в профессиональные квалификационные группы должностей учебно-вспомогательного персонала первого и второго уровней, педагогических работников и руководителей структурных подразделений, и рассчитываются по формуле:

,

где:

Od - должностной оклад работников профессиональных образовательных организаций;

Dpz - размер надбавки за наличие почетных званий (спортивных званий) и ведомственных наград.

Размер надбавки за наличие почетных званий Российской Федерации, почетных званий Союза Советских Социалистических Республик, почетных званий союзных республик в составе Союза Советских Социалистических Республик составляет 7 процентов.

Размер надбавки за наличие почетных званий Республики Татарстан (Татарской Автономной Советской Социалистической Республики) составляет 6 процентов.

Размер надбавки за наличие ведомственных наград Российской Федерации, ведомственных наград Российской Советской Федеративной Социалистической Республики, ведомственных наград Республики Татарстан, ведомственных наград Союза Советских Социалистических Республик, ведомственных наград союзных республик в составе Союза Советских Социалистических Республик составляет 4 процента.

Размер надбавки за наличие Почетной грамоты Министерства просвещения Российской Федерации (Министерства образования и науки Российской Федерации, Министерства образования Российской Федерации) составляет 2 процента. Надбавка за наличие Почетной грамоты Министерства просвещения Российской Федерации (Министерства образования и науки Российской Федерации, Министерства образования Российской Федерации) устанавливается работникам образования, награждаемым приказом Министра просвещения Российской Федерации (Министра образования и науки Российской Федерации, Министра образования Российской Федерации) в соответствии с Порядком награждения ведомственными наградами Министерства просвещения Российской Федерации (Министерства образования и науки Российской Федерации, Министерства образования Российской Федерации).

Размер надбавки за наличие нагрудного знака "За заслуги в образовании", знака отличия "Почетный наставник", знака отличия "Отличник сферы образования и науки Республики Татарстан", нагрудного знака "За сохранение и развитие языков, культур, традиций", нагрудного знака "Яшь могаллим" составляет 2 процента. Надбавка за наличие нагрудного знака Республики Татарстан "За заслуги в образовании", знака отличия "Почетный наставник", знака отличия "Отличник сферы образования и науки Республики Татарстан", нагрудного знака "За сохранение и развитие языков, культур, традиций", нагрудного знака "Яшь могаллим" устанавливается на основании приказа министра образования и науки Республики Татарстан (министра образования Республики Татарстан).

Перечень почетных званий и ведомственных наград, за наличие которых работникам образования предоставляются соответствующие выплаты, приведен в таблице 1 приложения N 2 к настоящему Положению.

Перечень почетных званий (спортивных званий), за наличие которых работникам физической культуры и тренерам-преподавателям предоставляются выплаты в профессиональных образовательных организациях по программам подготовки специалистов среднего звена спортивной направленности (группах, отделениях) олимпийского резерва, приведен в таблице 4 приложения N 2 к настоящему Положению.

Установление размеров выплат за наличие почетных званий (спортивных званий) и ведомственных наград производится со дня присвоения почетного звания и ведомственных наград. Работникам образования, имеющим два и более почетных звания и (или) две и более ведомственные награды, выплата устанавливается по одному из оснований по выбору работника.

5.2.3. Выплаты за стаж работы по профилю (Bs) устанавливаются по группам по стажу в разрезе профессиональных квалификационных групп и квалификационных уровней в зависимости от продолжительности работы по профилю и рассчитываются по формуле:

,

где:

Od - должностной оклад работников профессиональных образовательных организаций;

Ds - размер надбавки за стаж работы по профилю, который приведен в таблице 2.

Таблица 2

Размеры надбавок за стаж работы по профилю

Наименование профессиональной квалификационной группыКвалификационный уровеньГруппа по стажуРазмер надбавки, процентов
Должности учебно-вспомогательного персонала второго уровняпервый - второйот 4 до 10 лет1,0
от 10 до 15 лет2,0
свыше 15 лет3,0
Должности педагогических работниковпервый - четвертыйот 2 до 6 лет2,0
от 6 до 10 лет3,0
от 10 до 15 лет3,5
свыше 15 лет4,0
Должности руководителей структурных подразделенийпервый - третийот 2 до 6 лет2,0
от 6 до 10 лет3,0
от 10 до 15 лет3,5
свыше 15 лет4,0

5.2.4. Установление (изменение) размеров выплат за стаж работы по профилю при изменении стажа работы производится со дня достижения стажа, дающего право на увеличение размера выплат за стаж работы, если документы, подтверждающие стаж, находятся в профессиональной образовательной организации, или со дня представления необходимого документа, подтверждающего стаж.

5.2.5. В стаж педагогической работы засчитывается педагогическая, руководящая и методическая работа в образовательных и других организациях согласно таблице 3.

Таблица 3

Перечень организаций и должностей, время работы в которых засчитывается в педагогический стаж работников образования

Наименование учреждения и организацииНаименование должности
12
Образовательные организации, в том числе образовательные организации высшего образования, военные образовательные организации высшего образования и военные профессиональные образовательные организации, организации дополнительного профессионального образования (повышения квалификации специалистов); медицинские организации и организации социального обслуживания: дома ребенка, детские: санатории, клиники, поликлиники, больницы и др.Учителя, преподаватели, учителя-дефектологи, учителя-логопеды (логопеды), преподаватели-организаторы основ безопасности и защиты Родины, руководители физического воспитания, старшие мастера, мастера производственного обучения (в том числе обучения вождению транспортных средств, работе на сельскохозяйственных машинах, работе на пишущих машинах и другой организационной технике), старшие методисты, методисты, старшие инструкторы-методисты, инструкторы-методисты (в том числе по физической культуре и спорту, по туризму), концертмейстеры, музыкальные руководители, старшие воспитатели, воспитатели, классные воспитатели, социальные педагоги, педагоги-психологи, педагоги-организаторы, педагоги дополнительного образования, старшие тренеры-преподаватели, тренеры-преподаватели, старшие вожатые (пионервожатые), инструкторы по физкультуре, инструкторы по труду, директора (начальники, заведующие), заместители директоров (начальников, заведующих) по учебной, учебно-воспитательной, учебно-производственной, воспитательной, культурно-воспитательной работе, по производственному обучению (работе), по иностранному языку, по учебно-летной подготовке, по общеобразовательной подготовке, по режиму, заведующие учебной частью, заведующие (начальники):
практикой, учебно-консультационными пунктами, логопедическими пунктами, интернатами, отделениями, отделами, лабораториями, кабинетами, секциями, филиалами, курсов и другими структурными подразделениями, деятельность которых связана с образовательным (воспитательным) процессом, методическим обеспечением; старшие дежурные по режиму, дежурные по режиму, аккомпаниаторы, культорганизаторы, экскурсоводы; профессорско-преподавательский состав
(в ред. Постановления Кабинета министров Республики Татарстан от 19.06.2025 N 444)
Методические (учебно-методические) организации всех наименований (независимо от ведомственной подчиненности)Руководители, их заместители, заведующие: секторами, кабинетами, лабораториями, отделами; научные сотрудники, деятельность которых связана с методическим обеспечением; старшие методисты, методисты
Органы управления образованием и органы (структурные подразделения), осуществляющие руководство образовательными организациямиРуководящие, инспекторские, методические, инструкторские должности, а также другие должности специалистов (за исключением работы на должностях, связанных с экономической, финансовой, хозяйственной деятельностью, со строительством, снабжением, делопроизводством)
Отделы (бюро) технического обучения, отделы кадров организаций, подразделений министерств (ведомств), занимающихся вопросами подготовки и повышения квалификации кадров на производствеШтатные преподаватели, мастера производственного обучения рабочих на производстве, руководящие, инспекторские, инженерные, методические должности, деятельность которых связана с вопросами подготовки и повышения квалификации
Образовательные организации РОСТО (ДОСААФ) и гражданской авиацииРуководящий, командно-летный, командно-инструкторский, инженерно-инструкторский, инструкторский и преподавательский составы, мастера производственного обучения, инженеры-инструкторы-методисты, инженеры-летчики-методисты
Общежития организаций, жилищно-эксплуатационные организации, молодежные жилищные комплексы, детские кинотеатры, театры юного зрителя, кукольные театры, культурно-просветительские организации по работе с детьми и подросткамиВоспитатели, педагоги-организаторы, педагоги-психологи (психологи), преподаватели, педагоги дополнительного образования (руководители кружков) для детей и подростков, инструкторы и инструкторы-методисты, тренеры-преподаватели и др. специалисты по работе с детьми и подростками, заведующие детскими отделами, секторами
Исправительные колонии, воспитательные колонии, следственные изоляторы и тюрьмы, лечебно-исправительные организацииРабота (служба) при наличии педагогического образования на должностях: заместитель начальника по воспитательной работе, начальник отряда, старший инспектор, инспектор по общеобразовательной работе (обучению), старший инспектор-методист и инспектор-методист, старший инженер и инженер по производственно-техническому обучению, старший мастер и мастер производственного обучения, старший инспектор и инспектор по охране и режиму, заведующий учебно-техническим кабинетом, психолог

Примечание:

В стаж педагогической работы включаются:

время работы в качестве учителей-дефектологов, логопедов, воспитателей в медицинских организациях и организациях, осуществляющих социальное обслуживание для взрослых, методистов организационно-методического отдела организаций здравоохранения Республики Татарстан;

время работы в других организациях, службы в Вооруженных Силах СССР и Российской Федерации, обучения в образовательных организациях высшего образования и профессиональных образовательных организациях в следующем порядке:

педагогическим работникам в стаж педагогической работы засчитывается без всяких условий и ограничений:

время нахождения на военной службе по контракту из расчета один день военной службы за один день работы, а время нахождения на военной службе по призыву - один день военной службы за два дня работы;

время работы в должности заведующего фильмотекой и методиста фильмотеки;

педагогическим работникам в стаж педагогической работы засчитываются следующие периоды времени при условии, если этим периодам, взятым как в отдельности, так и в совокупности, непосредственно предшествовала и за ними непосредственно следовала педагогическая деятельность:

время службы в Вооруженных Силах СССР и Российской Федерации на должностях офицерского, сержантского, старшинского составов, прапорщиков и мичманов (в том числе в войсках МВД, в войсках и органах безопасности), кроме времени нахождения на военной службе по контракту и по призыву;

время работы на руководящих, инспекторских, инструкторских и других должностях специалистов в аппаратах Территориальных организаций (комитетах, советах) профсоюза работников народного образования и науки Российской Федерации (просвещения, высшей школы и научных организаций); на выборных должностях в профсоюзных органах; на инструкторских и методических должностях в педагогических обществах и правлениях Детского фонда; в должности директора (заведующего) Дома учителя (работника народного образования, профтехобразования); комиссиях по делам несовершеннолетних и защите их прав или в отделах социально-правовой охраны несовершеннолетних, в подразделениях по предупреждению правонарушений (инспекциях по делам несовершеннолетних, детских комнатах милиции) органов внутренних дел.

5.2.6. В стаж педагогической работы отдельных категорий педагогических работников засчитывается время работы в организациях и время службы в Вооруженных Силах СССР и Российской Федерации по специальности (профессии), соответствующей профилю работы в образовательной организации или профилю преподаваемого предмета (курса, дисциплины, кружка):

преподавателям-организаторам основ безопасности и защиты Родины; (в ред. Постановления Кабинета министров Республики Татарстан от 19.06.2025 N 444)

учителям и преподавателям физического воспитания, руководителям физического воспитания, инструкторам по физкультуре, инструкторам-методистам (старшим инструкторам-методистам), тренерам-преподавателям (старшим тренерам-преподавателям);

учителям, преподавателям трудового (профессионального) обучения, технологии, черчения, изобразительного искусства, информатики, специальных дисциплин, в том числе специальных дисциплин общеобразовательных организаций (классов) с углубленным изучением отдельных предметов;

мастерам производственного обучения;

педагогам дополнительного образования;

педагогическим работникам экспериментальных образовательных организаций;

педагогам-психологам;

методистам;

педагогическим работникам организаций среднего профессионального образования по программам подготовки специалистов среднего звена (отделений) культуры и искусства, музыкально-педагогических, художественно-графических, музыкальных;

преподавателям организаций дополнительного образования детей (культуры и искусства, в том числе музыкальных и художественных), преподавателям специальных дисциплин музыкальных и художественных общеобразовательных организаций, преподавателям музыкальных дисциплин педагогических училищ (педагогических колледжей), учителям музыки, музыкальным руководителям, концертмейстерам.

5.2.7. Воспитателям (старшим воспитателям) дошкольных образовательных организаций, домов ребенка в педагогический стаж включается время работы в должности медицинской сестры ясельной группы дошкольных образовательных организаций, постовой медсестры домов ребенка, а воспитателям ясельных групп - время работы на медицинских должностях.

Время работы в должностях помощника воспитателя и младшего воспитателя засчитывается в стаж педагогической работы при условии, если в период работы на этих должностях работник имел педагогическое образование или обучался в образовательной организации высшего образования или профессиональной образовательной организации.

Работникам учреждений и организаций время педагогической работы в образовательных организациях, выполняемой помимо основной работы на условиях почасовой оплаты, включается в педагогический стаж, если ее объем (в одной или нескольких образовательных организациях) составляет не менее 180 часов в учебном году.

При этом в педагогический стаж засчитываются только те месяцы, в течение которых выполнялась педагогическая работа.

Право решать конкретные вопросы о соответствии работы в учреждениях, организациях и службы в Вооруженных Силах СССР и Российской Федерации профилю работы, преподаваемого предмета (курса, дисциплины, кружка) предоставляется руководителю образовательной организации по согласованию с профсоюзным органом.

5.2.8. Выплаты за обеспечение высококачественного учебно-тренировочного процесса предоставляются инструкторам-методистам (включая старших) за успешные выступления и достигнутые результаты спортсменами в официальных международных, всероссийских, окружных и республиканских соревнованиях с учетом выполнения индикаторов оценки эффективности деятельности работника (Bvytp) и рассчитываются по формуле:

,

где:

Od - должностной оклад работников физической культуры и спорта профессиональных образовательных организаций;

Dvytp - размер надбавки за обеспечение высококачественного учебно-тренировочного процесса, который приведен в таблице 4.

Выплаты за обеспечение высококачественного учебно-тренировочного процесса устанавливаются на основании выписки из протокола соревнований с момента результата, показанного спортсменом в течение одного календарного года.

Срок действия выплаты за обеспечение высококачественного учебно-тренировочного процесса устанавливается на один календарный год.

Размер надбавки за обеспечение высококачественного учебно-тренировочного процесса формируется из суммы процентов за один лучший результат в соревнованиях каждого уровня (не более восьми соревнований спортсмена), показанный спортсменом, спортсменом-инструктором в индивидуальном зачете в виде программы, в многоборье, или за результат в командных соревнованиях, если в таковых разыгрываются комплекты медалей.

Таблица 4

Размер надбавки за обеспечение высококачественного учебно-тренировочного процесса

(процентов)

Квалификационный уровеньУровень соревнованийЗанятое местоРазмер надбавки
олимпийские виды спорта, олимпийские дисциплинынеолимпийские виды спорта, неолимпийские дисциплины
12345
Профессиональная квалификационная группа должностей педагогических работников
ВторойОлимпийские игры1 - 64,0-
чемпионат мира1 - 64,03,5
Кубок мира, чемпионат Европы1 - 63,53,0
Кубок Европы1 -43,53,0
чемпионат России1 - 43,02,5
Кубок России1 - 43,02,5
первенство мира, Европы1 - 63,53,5
первенство России1 - 32,52,5
финал Спартакиады молодежи, учащихся1 - 32,02,0
ТретийОлимпийские игры1 - 65,0-
чемпионат мира1 - 65,04,0
Кубок мира, чемпионат Европы1 - 64,03,5
Кубок Европы1 - 44,03,5
чемпионат России1 - 43,53,0
Кубок России1 - 43,53,0
первенство мира, Европы1 - 63,53,5
первенство России1 - 33,03,0
финал Спартакиады молодежи, учащихся1 - 32,52,5

5.3. Размеры и порядок установления выплат стимулирующего характера работникам культуры профессиональных образовательных организаций:

5.3.1. Выплаты за квалификационную категорию (Bkk) предоставляются работникам, занятым по специальностям, предусматривающим в соответствии с тарифно-квалификационными характеристиками присвоение квалификационных категорий по итогам аттестации в разрезе профессиональных квалификационных групп. Выплаты за квалификационную категорию рассчитываются по формуле:

,

где:

Od - должностной оклад работников культуры профессиональных образовательных организаций;

Dkk - размер надбавки за квалификационную категорию, который приведен в таблице 5.

Изменение (установление) выплат за квалификационную категорию производится согласно дате приказа органа (учреждения), при котором создана аттестационная комиссия.

Таблица 5

Размеры надбавок за квалификационную категорию

Квалификационная категорияРазмер надбавки, процентов
Профессиональная квалификационная группа "Должности работников культуры, искусства и кинематографии ведущего звена"
Первая квалификационная категория7,5
Высшая квалификационная категория12,5

5.3.2. Выплаты за наличие почетных званий (Bpz) предоставляются работникам культуры, входящим в профессиональные квалификационные группы должностей работников культуры, искусства и кинематографии и рассчитываются по формуле:

,

где:

Od - должностной оклад работников культуры профессиональных образовательных организаций;

Dpz - размер надбавки за наличие почетных званий.

Размер надбавки за наличие почетных званий Республики Татарстан, почетных званий автономных республик в составе Союза Советских Социалистических Республик составляет 6 процентов.

Размер надбавки за наличие почетных званий Российской Федерации, почетных званий Союза Советских Социалистических Республик, почетных званий союзных республик в составе Союза Советских Социалистических Республик составляет 7 процентов.

Перечень почетных званий, за наличие которых работникам культуры, искусства и кинематографии предоставляются соответствующие выплаты, приведен в таблице 2 приложения N 2 к настоящему Положению.

Установление размеров выплат за наличие почетных званий производится со дня присвоения почетного звания. Работникам, имеющим два и более почетных званий, выплата за их наличие устанавливается по одной из, почетных званий по выбору работника.

5.3.3. Выплаты за стаж работы по профилю (Bs) устанавливаются по группам по стажу в разрезе профессиональных квалификационных групп в зависимости от продолжительности работы по профилю с учетом выполнения индикаторов оценки эффективности деятельности сотрудников и рассчитываются по формуле:

,

где:

Od - должностной оклад работников культуры профессиональных образовательных организаций;

Ds - размер надбавки за стаж работы по профилю, который приведен в таблице 6.

Таблица 6

Размеры надбавок за стаж работы по профилю

Наименование профессиональной квалификационной группыГруппа по стажуРазмер надбавки, процентов
Профессиональная квалификационная группа должностей работников культуры, искусства и кинематографии среднего звенаот 3 до 6 лет1,5
от 6 до 10 лет2,0
от 10 до 15 лет2,5
свыше 15 лет3,5
Профессиональная квалификационная группа должностей работников культуры, искусства и кинематографии ведущего звенаот 3 до 6 лет1,5
от 6 до 10 лет3,5
от 10 до 15 лет5,0
свыше 15 лет6,5

Установление (изменение) размеров выплат за стаж работы по профилю при изменении стажа работы производится со дня достижения стажа, дающего право на увеличение размера выплат за стаж работы по профилю, если документы, подтверждающие стаж, находятся в учреждении, или со дня представления необходимого документа, подтверждающего стаж.

5.4. Размеры и порядок установления выплат стимулирующего характера медицинским работникам профессиональных образовательных организаций:

5.4.1. Выплаты за квалификационную категорию (Вкк) предоставляются работникам, занятым по специальностям, предусматривающим в соответствии с тарифно-квалификационными характеристиками присвоение квалификационных категорий по итогам аттестации в разрезе профессиональных квалификационных групп. Выплаты за квалификационную категорию рассчитываются по формуле:

,

где:

Od - должностной оклад медицинских работников профессиональных образовательных организаций;

Dkk - размер надбавки за квалификационную категорию, который приведен в таблице 7.

Изменение (установление) выплат за квалификационную категорию производится согласно дате приказа органа (учреждения), при котором создана аттестационная комиссия.

Таблица 7

Размеры надбавок за квалификационную категорию

Квалификационная категорияРазмер надбавки, процентов
12
Профессиональная квалификационная группа должностей среднего медицинского и фармацевтического персонала
Вторая квалификационная категория3,0
Первая квалификационная категория6,0
Высшая квалификационная категория10,0
Профессиональная квалификационная группа должностей врачей и провизоров
Вторая квалификационная категория6,0
Первая квалификационная категория10,0
Высшая квалификационная категория20,0

5.4.2. Выплаты за наличие почетных званий (Bpz) предоставляются работникам, входящим в профессиональные квалификационные группы должностей медицинских и фармацевтических работников, и рассчитываются по формуле:

,

где:

Od - должностной оклад медицинских работников профессиональных образовательных организаций;

Dpz - размер надбавки за наличие почетных званий.

Размер надбавки за наличие почетных званий Республики Татарстан, почетных званий автономных республик в составе Союза Советских Социалистических Республик составляет 6 процентов.

Размер надбавки за наличие почетных званий Российской Федерации, почетных званий Союза Советских Социалистических Республик, почетных званий союзных республик в составе Союза Советских Социалистических Республик составляет 7 процентов.

Перечень почетных званий, за наличие которых медицинским и фармацевтическим работникам предоставляются соответствующие выплаты, приведен в таблице 3 приложения N 2 к настоящему Положению.

Установление размеров выплат за наличие почетных званий производится со дня присвоения почетного звания. Работникам, имеющим два и более почетных звания, выплата за их наличие устанавливается по одному из почетных званий по выбору работника.

5.4.3. Выплаты за стаж работы по профилю (Bs) устанавливаются по группам по стажу в разрезе профессиональных квалификационных групп в зависимости от продолжительности работы по профилю и рассчитываются по формуле:

,

где:

Od - должностной оклад медицинских работников профессиональных образовательных организаций;

Ds - размер надбавки за стаж работы по профилю, который приведен в таблице 8.

Таблица 8

Размеры надбавок за стаж работы по профилю

Наименование профессиональной квалификационной группыГруппа по стажуРазмер надбавки, процентов
Медицинский и фармацевтический персонал первого уровняот 2 до 5 лет2,5
от 5 до 10 лет4,0
от 10 до 15 лет4,5
свыше 15 лет5,5
Средний медицинский и фармацевтический персоналот 3 до 5 лет2,5
от 5 до 10 лет3,5
от 10 до 15 лет4,5
свыше 15 лет5,5
Врачи и провизорыот 3 до 5 лет5,0
от 5 до 10 лет7,5
от 10 до 15 лет9,0
свыше 15 лет10,0

Установление (изменение) размеров выплат за стаж работы по профилю при изменении стажа работы производится со дня достижения стажа, дающего право на увеличение размера выплат за стаж работы по профилю, если документы, подтверждающие стаж, находятся в учреждении, или со дня представления необходимого документа, подтверждающего стаж.

5.4.4. Выплаты за интенсивность труда предоставляются по должностям работникам профессиональных квалификационных групп должностей среднего медицинского и фармацевтического персонала, врачей и провизоров (Bsr) и рассчитываются по формуле:

,

где:

Od - должностной оклад медицинских работников профессиональных образовательных организаций;

Dsr - размер надбавки за интенсивность труда, который приведен в таблице 9.

Таблица 9

Размеры надбавок за интенсивность труда

Наименование профессиональной квалификационной группыКвалификационный уровеньДиапазон надбавок, процентов
123
Средний медицинский и фармацевтический персоналвторой1,5
третий3,0
четвертый4,5
пятый10,0
Врачи и провизорыпервый - второй5,0

5.5. Размеры и порядок установления выплат стимулирующего характера работникам физической культуры и спорта профессиональных образовательных организаций.

5.5.1. Выплаты за квалификационную категорию (Вкк) предоставляются работникам, занятым по специальностям, предусматривающим в соответствии с тарифно-квалификационными характеристиками присвоение квалификационных категорий по итогам аттестации, в разрезе профессиональных квалификационных групп и рассчитываются по формуле:

,

где:

Od - должностной оклад работников физической культуры и спорта профессиональных образовательных организаций;

Dkk - размер надбавки за квалификационную категорию, который приведен в таблице 10.

Изменение (установление) выплат за квалификационную категорию производится согласно дате приказа органа (организации), при котором создана аттестационная комиссия.

Таблица 10

Размеры надбавок за квалификационную категорию работникам физической культуры и спорта

Квалификационный уровеньКвалификационная категорияРазмер надбавки, процентов
123
Профессиональная квалификационная группа должностей работников физической культуры и спорта второго уровня (группа 2)
Первыйпервая квалификационная категория3,5
высшая квалификационная категория4,0
Второйпервая квалификационная категория4,0
высшая квалификационная категория6,0
Третийпервая квалификационная категория5,0
высшая квалификационная категория8,0
Профессиональная квалификационная группа должностей работников физической культуры и спорта третьего уровня (группа 3)
Первыйпервая квалификационная категория6,0
высшая квалификационная категория10,0
Второйпервая квалификационная категория6,0
высшая квалификационная категория10,0
Профессиональная квалификационная группа должностей работников физической культуры и спорта четвертого уровня (группа 4)
Первыйпервая квалификационная категория6,0
высшая квалификационная категория10,0

5.5.2. Выплаты за высокие результаты работы согласно занятому месту на соревнованиях предоставляются спортсменам-инструкторам и спортсменам за успешные выступления и достигнутые результаты в официальных международных, всероссийских, окружных и республиканских соревнованиях (Bvrr) и рассчитываются по формуле:

,

где:

Od - должностной оклад работников физической культуры и спорта профессиональных образовательных организаций;

Dvrr - размер надбавки за высокие результаты работы, который приведен в таблице 11.

Выплаты за высокие результаты работы согласно занятому месту на соревнованиях устанавливаются на основании выписки из протокола соревнований с момента результата, показанного спортсменом в течение одного календарного года.

Срок действия выплаты за высокие результаты работы согласно занятому месту на соревнованиях устанавливается на один календарный год.

Размер надбавки за высокие результаты работы согласно занятому месту на соревнованиях формируется из суммы процентов за один лучший результат в соревнованиях каждого уровня (не более восьми соревнований спортсмена), показанный спортсменом, спортсменом-инструктором в индивидуальном зачете в виде программы, в многоборье или за результат в командных соревнованиях, если в таковых разыгрываются комплекты медалей.

Таблица 11

Размер надбавки за высокие результаты работы

(процентов)

Уровень соревнованийЗанятое местоРазмер надбавки
олимпийские виды спорта, олимпийские дисциплинынеолимпийские виды спорта, неолимпийские дисциплины
1234
Олимпийские игры1500,0-
2375,0-
3250,0-
4200,0-
5187,5-
6125,0-
участие62,5-
Чемпионат мира1150,0105,0
2140,0100,0
3130,095,0
4120,090,0
5110,085,0
6100,070,0
Кубок мира, чемпионат Европы1140,0100,0
2130,090,0
3120,085,0
4110,075,0
5100,070,0
690,065,0
Кубок Европы, первенство мира1120,085,0
2110,075,0
3100,070,0
490,065,0
Всемирная универсиада1120,085,0
2110,075,0
3100,070,0
490,065,0
Чемпионат России, первенство Европы1100,070,0
290,065,0
380,055,0
470,050,0
Кубок России, первенство России180,055,0
270,045,0
360,040,0
450,035,0
Всероссийская универсиада135,017,5
230,015,0
325,012,5
420,010,0

5.5.3. Выплаты за обеспечение высококачественного учебно-тренировочного процесса предоставляются работникам первого квалификационного уровня профессиональной квалификационной группы должностей работников физической культуры и спорта первого уровня и работникам по профессиональным квалификационным группам должностей работников физической культуры и спорта второго, третьего и четвертого уровней (за исключением спортсменов-инструкторов, спортсменов) за успешные выступления и достигнутые результаты спортсменами в официальных международных, всероссийских, окружных и республиканских соревнованиях с учетом выполнения индикаторов оценки эффективности деятельности работника (Вvytp) и рассчитываются по формуле:

,

где:

Od - должностной оклад работников физической культуры и спорта профессиональных образовательных организаций;

Dvytp - размер надбавки за обеспечение высококачественного учебно-тренировочного процесса, который приведен в таблице 12.

Таблица 12

Размер надбавки за обеспечение высококачественного учебно-тренировочного процесса

(процентов)

Квалификационный уровеньУровень соревнованийЗанятое местоРазмер надбавки
олимпийские виды спорта, олимпийские дисциплинынеолимпийские виды спорта, неолимпийские дисциплины
12345
Профессиональная квалификационная группа должностей работников физической культуры и спорта первого уровня
ПервыйОлимпийские игры1-62,5-
чемпионат мира1-62,51,5
Кубок мира, чемпионат Европы1-61,51,0
Кубок Европы1 -41,51,5
чемпионат России1-41,51,0
Кубок России1-41,51,0
первенство мира, Европы1-61,51,5
первенство России1 -41,51,0
финал Спартакиады молодежи, учащихся, всероссийских соревнований среди спортивных школ1-31,01,0
ВторойОлимпийские игры1-63,0-
чемпионат мира1-63,02,5
Кубок мира, чемпионат Европы1 -62,52,0
Кубок Европы1-42,52,0
чемпионат России1-42,01,5
Кубок России1 -42,01,5
первенство мира, Европы1-62,52,5
первенство России1-41,51,5 ’
финал Спартакиады молодежи, учащихся, всероссийских соревнований среди спортивных школ1-333
Профессиональная квалификационная группа должностей работников физической культуры и спорта второго уровня
ПервыйОлимпийские игры1-63,5-
чемпионат мира1-63,53,0
Кубок мира, чемпионат Европы1 -63,02,5
Кубок Европы1-43,02,5
чемпионат России1-42,51,5
Кубок России1-42,51,5
первенство мира, Европы1-62,52,5
первенство России1-42,52,0
финал Спартакиады молодежи, учащихся, всероссийских соревнований среди спортивных школ1-32,02,0 .
ВторойОлимпийские игры1-64,0-
чемпионат мира1-64,03,5
Кубок мира, чемпионат Европы1-63,53,0
Кубок Европы1 -43,53,0
чемпионат России1 -43,02,5
Кубок России1 -43,02,5
первенство мира, Европы1-63,53,5
первенство России1 -42,52,5
финал Спартакиады молодежи, учащихся, всероссийских соревнований среди спортивных школ1-32,02,0
ТретийОлимпийские игры1-65,0-
чемпионат мира1-65,04,0
Кубок мира, чемпионат Европы1-64,03,5
Кубок Европы1-44,03,5
чемпионат России1 -43,53,0
Кубок России1 -43,53,0
первенство мира, Европы1-63,53,5
первенство России1 -43,03,0
финал Спартакиады молодежи, учащихся, всероссийских соревнований среди спортивных школ1-32,52,5
Профессиональная квалификационная группа должностей работников физической культуры и спорта третьего уровня
ПервыйОлимпийские игры1-66,0-
чемпионат мира1-66,05,0
Кубок мира, чемпионат Европы1-65,04,5
Кубок Европы1 -45,04,5
чемпионат России1 -44,04,0
Кубок России1 -44,04,0
первенство мира, Европы1-64,54,5
первенство России1-44,04,0
финал Спартакиады молодежи, учащихся, всероссийских соревнований среди спортивных школ1-33,53,5
ВторойОлимпийские игры1-67,5-
чемпионат мира1-67,56,0
Кубок мира, чемпионат Европы1-66,04,0
Кубок Европы1 -46,05,0
чемпионат России1 -45,04,5
Кубок России1-45,04,5
первенство мира, Европы1-65,55,5
первенство России1 -44,54,5
финал Спартакиады молодежи, учащихся, всероссийских соревнований среди спортивных школ1-34,04,0
Профессиональная квалификационная группа должностей работников физической культуры и спорта четвертого уровня
ПервыйОлимпийские игры1-612,5-
чемпионат мира1-612,57,5
Кубок мира, чемпионат Европы1-67,56,0
Кубок Европы1 -47,56,0
чемпионат России1 -46,05,0
Кубок России1 -46,05,0
первенство мира, Европы1 -67,07,0
первенство России1 -46,06,0
финал Спартакиады молодежи, учащихся, всероссийских соревнований среди спортивных школ1-35,05,0

5.5.4. Выплаты за спортивные звания, спортивные разряды предоставляются спортсменам-инструкторам и спортсменам за выполнение норм и требований, необходимых для присвоения соответствующих спортивных званий и спортивных разрядов (Bszsr), и рассчитываются по формуле:

,

где:

Od - должностной оклад работников физической культуры и спорта профессиональных образовательных организаций;

Dszsr - размер надбавки за спортивные звания, спортивные разряды, который приведен в таблице 13.

5.5.4.1. Выплаты за спортивные звания, спортивные разряды устанавливаются с даты приказа или постановления о присвоении звания или разряда.

Таблица 13

Размер надбавки за спортивные звания, спортивные разряды

N п/пНаименование спортивного звания, спортивного разрядаРазмер надбавки, процентов
1.Мастер спорта России международного класса27,0
2.Мастер спорта России20,0
3.Гроссмейстер России20,0
4.Кандидат в мастера спорта9,0

5.5.5. Выплаты за наличие почетных званий (спортивных званий) (Врz) предоставляются работникам физической культуры и спорта и рассчитываются по формуле: (в ред. Постановления Кабинета министров Республики Татарстан от 19.06.2025 N 444)

,

где:

Od - должностной оклад работников физической культуры и спорта профессиональных образовательных организаций;

Dpz - размер надбавки за наличие почетных званий (спортивных званий).

Размер надбавки за наличие почетных званий Республики Татарстан, почетных званий автономных республик в составе Союза Советских Социалистических Республик составляет 6 процентов.

Размер надбавки за наличие почетных званий, спортивных званий Российской Федерации, государственных наград Союза Советских Социалистических Республик, союзных республик в составе Союза Советских Социалистических Республик составляет 7 процентов.

Перечень наличие почетных званий (спортивных званий), за наличие которых предоставляются выплаты, приведен в таблице 4 приложения N 2 к настоящему Положению.

5.5.6. Установление размеров выплат за наличие почетных званий (спортивных званий) производится со дня присвоения почетного звания (спортивного звания). Работникам, имеющим два и более почетного звания (спортивных звания), выплата за их наличие устанавливается по одному из оснований по выбору работника.

5.5.7. Выплаты за стаж работы по профилю (Bs) устанавливаются по группам по стажу в разрезе профессиональных квалификационных групп и квалификационных уровней в зависимости от продолжительности работы по профилю и рассчитываются по формуле:

,

где:

Od - должностной оклад работников физической культуры и спорта профессиональных образовательных организаций;

Ds - размер надбавки за стаж работы по профилю, который приведен в таблице 14.

Таблица 14

Размеры надбавок за стаж работы по профилю

Наименование профессиональной квалификационной группыКвалификационный уровеньГруппа по стажуРазмер надбавки, процентов
1234
Должности работников физической культуры и спорта первого уровня (группа 1)первый - второйот 2 до 5 лет2,0
от 5 до 10 лет3,0
от 10 до 15 лет3,5
свыше 15 лет4,0
Должности работников физической культуры и спорта второго уровня (группа 2)первый - третийот 2 до 5 лет2,0
от 5 до 10 лет3,0
от 10 до 15 лет3,5
свыше 15 лет4,0
Должности работников физической культуры и спорта третьего уровня (группа 3)первый - второйот 2 до 5 лет2,0
от 5 до 10 лет3,0
от 10 до 15 лет3,5
свыше 15 лет4,0
Должности работников физической культуры и спорта четвертого уровня (группа 4)первыйот 2 до 5 лет2,0
от 5 до 10 лет3,0
от 10 до 15 лет3,5
свыше 15 лет4,0

Установление (изменение) размеров выплат за стаж работы по профилю при изменении стажа работы производится со дня достижения стажа, дающего право на увеличение размера выплат за стаж работы по профилю, если документы, подтверждающие стаж, находятся в профессиональной образовательной организации, или со дня представления необходимого документа, подтверждающего стаж.

5.6. Премиальные и иные поощрительные выплаты устанавливаются работникам профессиональных образовательных организаций по основному месту работы и основной должности (за исключением работников, занимающих должности учителей и преподавателей) единовременно за определенный период времени (месяц, квартал, год), в связи с юбилейными датами, получением знаков отличия, благодарственных писем, грамот, наград, званий и по иным основаниям, установленным локальными нормативными актами и коллективными договорами профессиональной образовательной организации.

5.6.1. Размеры, порядок и условия осуществления премиальных и иных поощрительных выплат по итогам работы определяются локальными нормативными актами профессиональной образовательной организации и коллективными договорами.

5.6.2. Размер фонда оплаты труда, предусмотренного на премиальные выплаты работникам профессиональных образовательных организаций, составляет не менее 2 процентов фонда оплаты труда, предусмотренного на выплату окладов (ставок заработной платы, должностных окладов), выплат стимулирующего характера (за исключением выплат специалистам за работу в сельской местности), выплат за осуществление функций классного руководителя по профессиональной образовательной организации и координации воспитательной работы с обучающимися; выплат за проверку письменных работ (проверку тетрадей); выплаты за заведование учебными кабинетами, учебными мастерскими, спортивными залами, лабораториями, учебно-опытными участками, музеями; выплат за руководство предметной, методической или цикловой комиссией, методическими объединениями; выплат за специфику деятельности, работникам по основному месту работы и основной должности (за исключением работников, занимающих должности учителей и преподавателей).

5.6.3. В целях повышения эффективности деятельности работников профессиональных образовательных организаций и сохранения достигнутого уровня целевых показателей, установленных Указом Президента Российской Федерации от 7 мая 2012 года N 597 "О мероприятиях по реализации государственной социальной политики", работникам, занимающим должности "мастер производственного обучения", "преподаватель (кроме должностей преподавателей, отнесенных к профессорско-преподавательскому составу)", "преподаватель-организатор основ безопасности и защиты Родины", "тренер-преподаватель", по основному месту работы и основной должности при наличии средств производится единовременная поощрительная выплата. Порядок, условия и конкретный размер выплаты в указанных целях устанавливаются локальными нормативными актами профессиональной образовательной организации. (в ред. Постановления Кабинета министров Республики Татарстан от 19.06.2025 N 444)

5.7. Выплаты специалистам за работу в сельской местности (Bsm) предоставляются работникам образования, входящим в профессиональные квалификационные группы должностей педагогических работников и руководителей структурных подразделений, работникам культуры, входящим в профессиональные квалификационные группы работников культуры, искусства и кинематографии среднего, ведущего звена и руководящего состава, работникам физической культуры и спорта, входящим в профессиональные квалификационные группы должностей работников физической культуры и спорта второго - четвертого уровней, медицинским работникам, входящим в профессиональные квалификационные группы среднего медицинского и фармацевтического персонала и врачей и провизоров, и рассчитываются по формуле:

,

где:

Dsm - размер выплаты за работу в сельской местности, равный 1 388 рублям;

Hf - фактическое количество часов работы в профессиональных образовательных организациях;

HN - норма часов за ставку заработной платы работников профессиональных образовательных организаций, установленная разделом III настоящего Положения.

Выплаты специалистам за работу в сельской местности предоставляются также работникам организаций, расположенных в следующих городских поселениях, образованных на основе поселков городского типа:

Апастово;

Балтаси;

Богатые Сабы;

Рыбная Слобода.

5.8. Выплаты за качество в профессиональных образовательных организациях.

5.8.1. Выплаты за качество выполняемых работ устанавливаются работникам образования, работникам культуры, работникам физической культуры, медицинским работникам по основному месту работы (за исключением работников, занимающих должности учителей и преподавателей) по результатам труда за определенный период времени. Основным критерием, влияющим на размер выплат за качество выполняемых работ, является достижение пороговых значений критериев оценки эффективности деятельности работников организаций.

5.8.2. Критерии оценки эффективности деятельности работников профессиональных образовательных организаций утверждаются руководителем профессиональной образовательной организации по согласованию с органом, обеспечивающим государственно-общественный характер управления профессиональной образовательной организацией. Значения критериев оценки эффективности деятельности работников профессиональных образовательных организаций и условия осуществления выплат определяются ежегодно на основании задач, поставленных перед профессиональной образовательной организацией.

5.8.3. Размеры, порядок и условия осуществления выплат за качество выполняемых работ определяются локальными нормативными актами профессиональной образовательной организации и коллективными договорами.

5.8.4. Выплаты за качество выполняемых работ () рассчитываются по формуле:

,

где:

FOTk - фонд оплаты труда, предусмотренный на выплаты за качество выполняемых работ;

Iij - отнормированный i-й критерий оценки эффективности деятельности по j-му работнику;

Ki - относительный весовой коэффициент i-ro критерия оценки эффективности деятельности;

n - количество критериев оценки эффективности деятельности;

m - численность работников профессиональных образовательных организаций.

5.8.5. Нормирование критериев эффективности деятельности обеспечивает сопоставимость критериев эффективности различной размерности. Нормирование заключается в выборе диапазона значений критерия эффективности деятельности (наилучшее и наихудшее), одно из которых соответствует нулевому значению отномированного критерия, другое - единичному. При нахождении фактического значения критерия эффективности в пределах диапазона значений критерия эффективности деятельности отнормированный критерий эффективности деятельности принимает значения от нуля до единицы. При фактическом значении критерия эффективности ниже наихудшего значения значение отнормированного критерия принимается равным нулю, при выше наилучшего - единице.

5.8.6. Зависимость значения отнормированного критерия эффективности деятельности от значения критерия эффективности деятельности может быть прямой (положительная динамика определяется увеличением значения критерия) и обратной (положительная динамика определяется уменьшением значения критерия).

5.8.7. Отнормированный критерий при прямой зависимости его значения от значения критерия (Ii) рассчитывается по формуле:

,

где:

FIi - фактическое значение критерия эффективности деятельности;

Mi - наилучшее значение критерия эффективности деятельности;

Li - наихудшее значение критерия эффективности деятельности.

5.8.8. Отнормированный критерий эффективности деятельности при обратной зависимости его значения от значения критерия (Ii) рассчитывается по формуле:

,

где:

FIi - фактическое значение критерия эффективности деятельности;

Мi - наилучшее значение критерия эффективности деятельности;

Li - наихудшее значение критерия эффективности деятельности.

5.8.9. Весовыми коэффициентами определяется степень приоритетности критерия эффективности деятельности. Наиболее приоритетному критерию присваивается наибольший коэффициент. Относительный весовой коэффициент (Ki) рассчитывается по формуле:

,

где:

VKi - весовой коэффициент i-ro критерия оценки эффективности деятельности.

5.8.10. Предельный совокупный размер весовых коэффициентов по критериям эффективности деятельности работников приведен в приложении N 3 к настоящему Положению.

5.8.11. В профессиональных образовательных организациях формируется фонд выплат стимулирующего характера за качество выполняемых работ, объем которого (FOTk) рассчитывается по формуле:

,

где:

FOTdo - фонд оплаты труда работников профессиональных образовательных организаций по должностным окладам работников по основному месту работы (за исключением работников, занимающих должности учителей и преподавателей);

Dk - размер фонда оплаты труда на выплаты стимулирующего характера за качество выполняемых работ.

Рекомендуемая доля фонда оплаты труда на выплаты стимулирующего характера за качество выполняемых работ принимается в размере 2 процентов.

VI. Выплаты компенсационного характера

6.1. К выплатам компенсационного характера в профессиональных образовательных организациях относятся:

выплаты компенсационного характера за осуществление функций классного руководителя по профессиональной образовательной организации и координации воспитательной работы с обучающимися;

выплаты компенсационного характера за проверку письменных работ (проверку тетрадей);

выплаты компенсационного характера за заведование учебными кабинетами, учебными мастерскими, спортивными залами, лабораториями, учебно-опытными участками, музеями;

выплаты компенсационного характера за руководство предметной, методической или цикловой комиссией, методическими объединениями;

выплаты компенсационного характера за специфику деятельности;

выплаты компенсационного характера работникам, занятым на работах с вредными и (или) опасными условиями труда;

выплаты компенсационного характера за работу в условиях, отклоняющихся от нормальных (при выполнении работ различной квалификации, совмещении профессий (должностей), сверхурочную работу, работу в ночное время и при выполнении работ в других условиях, отклоняющихся от нормальных);

выплаты компенсационного характера педагогическим работникам за работу с детьми-сиротами и детьми, оставшимися без попечения родителей;

выплаты компенсационного характера работникам физической культуры и спорта за работу с инвалидами и лицами с недостатками в физическом или умственном развитии.

6.2. Выплаты компенсационного характера, размеры и условия их осуществления устанавливаются коллективными договорами, локальными нормативными актами, трудовым договором в соответствии с трудовым законодательством и иными нормативными правовыми актами, содержащими нормы трудового права.

6.3. Выплаты компенсационного характера за осуществление функций классного руководителя по профессиональной образовательной организации и координации воспитательной работы с обучающимися () рассчитываются по формулам:

,

где:

А - постоянная часть выплат за осуществление функций классного руководителя по профессиональной образовательной организации и координации воспитательной работы с обучающимися составляет 550 рублей в месяц;

Yk - количество групп;

,

где:

Ag - постоянная часть выплат за осуществление функций классного руководителя по организации и координации воспитательной работы с обучающимися в профессиональных образовательных организациях, реализующих общеобразовательную программу основного общего образования, составляет 550 рублей в месяц;

Yk - количество классов;

Кг - переменная часть выплат за осуществление функций классного руководителя по профессиональной образовательной организации и координации воспитательной работы с обучающимися в профессиональной образовательной организациях, реализующих общеобразовательную программу основного общего образования, составляет 80 рублей в месяц;

Yd - численность обучающихся в классе.

Выплаты за осуществление функций классного руководителя по профессиональной образовательной организации и координации воспитательной работы с обучающимися в профессиональной образовательной организациях, реализующих общеобразовательную программу основного общего образования, рекомендованы для государственного автономного профессионального образовательного учреждения "Арский педагогический колледж имени Габдуллы Тукая" и государственного автономного профессионального образовательного учреждения "Мензелинский педагогический колледж".

6.4. Выплаты компенсационного характера за проверку письменных работ (проверку тетрадей) () рассчитываются по формуле:

,

где:

Ob - размер базового оклада работников профессиональных образовательных организаций, принимаемый в соответствии с разделом II настоящего Положения;

Hf - фактическое количество часов работы в профессиональных образовательных организациях;

Yf - фактическое количество объемных показателей, выполняемых работниками образования профессиональных образовательных организаций;

HN - норма часов за ставку заработной платы работников профессиональных образовательных организаций, установленная разделом III настоящего Положения;

YN - нормативное количество объемных показателей, выполняемых педагогическими работниками образования профессиональных образовательных организаций;

Р - компенсация на обеспечение книгоиздательской продукцией и периодическими изданиями в размере 100 рублей устанавливается пропорционально учебной нагрузке, но не более чем на одну ставку по основному месту работы;

Dpt - размер надбавки за проверку письменных работ (проверку тетрадей), который приведен в таблице 15.

6.4.1. При выполнении педагогическим работником проверки письменных работ в разных классах и по разным предметам размер выплат за проверку письменных работ (проверку тетрадей) рассчитывается как сумма выплат по каждому предмету и классу.

Таблица 15

Размеры надбавок за проверку письменных работ (проверку тетрадей) в профессиональных образовательных организациях

N п/пНаименование работыРазмер надбавки, процентов
1.Проверка тетрадей по русскому языку и литературе, родному языку и литературе, математике3,0
2.Проверка письменных работ по иностранному языку1,5
3.Проверка письменных работ по информатике, обществознанию, биологии, химии, физике, географии0,75

6.5. Выплаты компенсационного характера за заведование учебными кабинетами, учебными мастерскими, спортивными залами, лабораториями, учебно-опытными участками, музеями профессиональных образовательных организаций:

выплата за заведование учебными кабинетами, лабораториями, музеями составляет 1 000 рублей; (в ред. Постановления Кабинета министров Республики Татарстан от 21.04.2025 N 252)

выплата за заведование учебными мастерскими, спортивными залами и учебно-опытными участками - 1 500 рублей. (в ред. Постановления Кабинета министров Республики Татарстан от 21.04.2025 N 252)

Заведование кабинетами и учебными мастерскими, спортивными залами, лабораториями определяется уровнем соответствия имеющегося учебно-методического, дидактического и наглядного материала требованиям паспорта учебного кабинета при оснащенности кабинета не менее 50 процентов от утвержденных требований к оснащению образовательного процесса.

6.5.1. При обеспечении педагогическим работником работы нескольких учебных кабинетов, учебных мастерских, спортивных залов, лабораторий, учебно-опытных участков, музеев размер выплат в указанном случае рассчитывается как сумма выплат по каждому учебному кабинету, учебной мастерской, спортивному залу, лаборатории, учебно-опытному участку, музею.

6.6. Выплаты компенсационного характера за руководство предметной, методической или цикловой комиссиями, методическими объединениями () рассчитываются по формуле:

,

где:

Ob - размер базового оклада работников профессиональных образовательных организаций, принимаемый в соответствии с разделом II настоящего Положения;

Drk - размер надбавки за руководство предметной, методической или цикловой комиссиями, методическими объединениями, который составляет 5 процентов. (в ред. Постановления Кабинета министров Республики Татарстан от 21.04.2025 N 252)

6.6.1. При обеспечении педагогическим работником руководства несколькими комиссиями, объединениями размер выплат в указанном случае рассчитывается как сумма выплат по каждой комиссии, объединению.

6.7. Выплаты компенсационного характера за специфику образовательной программы предоставляются работникам профессиональных образовательных организаций.

6.7.1. Выплаты компенсационного характера за специфику образовательной программы предоставляются работникам образования профессиональных образовательных организаций.

Выплаты компенсационного характера за специфику образовательной программы педагогических работников профессиональных образовательных организаций (Bsop) рассчитываются по формуле:

,

где:

Ob - размер базового оклада работников профессиональных образовательных организаций, принимаемый в соответствии с разделом II настоящего Положения;

Hf - фактическое количество часов работы в профессиональных образовательных организациях;

Yf - фактическое количество объемных показателей, выполняемых работниками образования профессиональных образовательных организаций;

HN - норма часов за ставку заработной платы работников профессиональных образовательных организаций, установленная разделом III настоящего Положения;

YN - нормативное количество объемных показателей, выполняемых педагогическими работниками образования профессиональных образовательных организаций;

Р - компенсация на обеспечение книгоиздательской продукцией и периодическими изданиями в размере 100 рублей устанавливается педагогическим работникам пропорционально учебной нагрузке, но не более чем на одну ставку по основному месту работы;

Dsop - размер надбавки за специфику образовательной программы, который приведен в таблице 16. (в ред. Постановления Кабинета министров Республики Татарстан от 19.06.2025 N 444)

Выплаты компенсационного характера за специфику образовательной программы для работников образования, за исключением педагогических работников, выплаты которых определены настоящим подпунктом (Bsop), рассчитываются по формуле: (в ред. Постановления Кабинета министров Республики Татарстан от 19.06.2025 N 444)

,

где:

Od - должностной оклад работников образования профессиональных образовательных организаций;

Dsop - размер надбавки за специфику образовательной программы, который приведен в таблице 16.

При работе педагогических работников в профессиональных образовательных организациях с определенными категориями воспитанников, предусматривающих предоставление выплат за специфику образовательной программы по нескольким основаниям, размер выплат за специфику образовательной программы рассчитывается по каждому основанию.

Перечень должностей работников, которым с учетом конкретных условий работы в данной профессиональной образовательной организации, подразделении и должности устанавливаются надбавки за специфику образовательной программы, утверждается в каждой профессиональной образовательной организации по согласованию с выборным профсоюзным органом или иным органом, уполномоченным представлять интересы работников.

Таблица 16

Размеры надбавок за специфику образовательной программы

N п/пОснование назначения надбавки за специфику образовательной программыДолжности, по которым назначаются надбавки за специфику образовательной программыРазмер надбавки, процентов
наименование профессиональной квалификационной группыквалификационный уровень
12345
1.Работа в группах колледжей по специальностям углубленной подготовкидолжности педагогических работниковчетвертый5,5
должности руководителей структурных подразделенийпервый - второй5,5
2.Преподавание родного языка (татарского, чувашского, марийского и др.) и литературы в профессиональных образовательных организацияхдолжности педагогических работниковчетвертый5,5
должности руководителей структурных подразделенийпервый5,5
3.Работа в профессиональных образовательных организациях по программам подготовки специалистов среднего звена спортивной направленности (группах, отделениях) олимпийского резерватренер-преподаватель¦7,0

6.7.2. Выплаты компенсационного характера за специфику деятельности предоставляются работникам профессиональных квалификационных групп должностей медицинских и фармацевтических работников в отдельных учреждениях (Bsd) и рассчитываются по формуле:

,

где:

Od - должностной оклад медицинских работников профессиональных образовательных организаций;

Dsd - размер надбавки за специфику деятельности, который составляет для среднего медицинского персонала 12 процентов, для врачей - 5 процентов.

Перечень должностей работников, которым с учетом конкретных условий работы в данном учреждении, подразделении и должности устанавливаются надбавки за специфику деятельности, утверждается каждым учреждением по согласованию с выборным профсоюзным органом или иным органом, уполномоченным представлять интересы работников.

6.7.3. Выплаты компенсационного характера за специфику деятельности предоставляются работникам физической культуры и спорта первого, второго, третьего и четвертого уровней (Bsd) и рассчитываются по формуле:

для работников, тарифицируемых по должностному окладу:

,

для работников, тарифицируемых по окладу (ставке заработной платы):

,

где:

Od - должностной оклад работников физической культуры и спорта профессиональных образовательных организаций;

Ob - размер базового оклада работников профессиональных образовательных организаций, принимаемый в соответствии с разделом II настоящего Положения;

Dsd - размер надбавки за специфику деятельности, который приведен в таблице 17;

Hfsd - фактическое количество часов работы работников физической культуры и спорта в профессиональных образовательных организациях с определенными категориями потребителей;

HN - норма часов за ставку заработной платы работников профессиональных образовательных организаций, установленная разделом III настоящего Положения;

Ni - нормативы оплаты труда тренеров-преподавателей по спорту (старших тренеров-преподавателей по спорту) профессиональных образовательных организаций, реализующих образовательные программы в области физической культуры и спорта, за одного занимающегося на этапах спортивной подготовки по видам спорта;

n - количество потребителей, за работу с которыми предусмотрено установление выплат за специфику деятельности.

Перечень должностей работников физической культуры и спорта, которым с учетом конкретных условий работы в данной профессиональной образовательной организации, подразделении и должности устанавливаются надбавки за специфику деятельности, утверждается каждой профессиональной образовательной организацией по согласованию с выборным профсоюзным органом или иным органом, уполномоченным представлять интересы работников.

Таблица 17

Размеры надбавок за специфику деятельности

N п/пОснование назначения надбавки за специфику образовательной программыДолжности, по которым назначаются надбавки за специфику образовательной программыРазмер надбавки, процентов
наименование профессиональной квалификационной группыквалификационный уровень
1.Работа в профессиональных образовательных организациях по программам подготовки специалистов среднего звена спортивной направленности (группах, отделениях) олимпийского резервадолжности работников физической культуры и спорта первого уровняпервый - второй7,0
должности работников физической культуры и спорта второго уровняпервый - третий7,0
должности работников физической культуры и спорта третьего уровняпервый - второй7,0
должности работников физической культуры и спорта четвертого уровняпервый7,0

6.8. Выплаты компенсационного характера работникам, занятым на работах с вредными и (или) опасными условиями труда (Bkh), рассчитываются по формуле:

,

где:

Оb - размер базового оклада работников профессиональных образовательных организаций, принимаемый в соответствии с разделом II настоящего Положения;

Hfk - фактически отработанное время, по которому законодательством предусмотрена выплата компенсационного характера;

HN - норма часов за ставку заработной платы работников профессиональных образовательных организаций, установленная разделом III настоящего Положения;

Р - компенсация на обеспечение книгоиздательской продукцией и периодическими изданиями в размере 100 рублей устанавливается педагогическим работникам, входящим в профессиональную квалификационную группу должностей педагогических работников, и работникам, входящим в профессиональную квалификационную группу должностей работников физической культуры и спорта второго уровня, пропорционально ставке, но не более чем на одну ставку по основному месту работы.;

Dkh - размер надбавки за выплату компенсационного характера, занятым на работах с вредными и (или) опасными условиями труда, определяемый в соответствии с Трудовым кодексом Российской Федерации.

Оплата труда работников, занятых на работах с вредными и (или) опасными условиями труда, устанавливается в повышенном размере по сравнению с оплатой труда, установленной для различных видов работ с нормальными условиями труда, на основании специальной оценки условий труда в размере 4 процентов.

6.9. Выплаты компенсационного характера за работу в условиях, отклоняющихся от нормальных (при выполнении работ различной квалификации, совмещении профессий (должностей), сверхурочной работе, работе в ночное время и при выполнении работ в других условиях, отклоняющихся от нормальных), устанавливаются за каждый час работы в ночное время, который оплачивается в повышенном размере по сравнению с работой в нормальных условиях, но не ниже размеров, установленных законами и иными нормативными правовыми актами.

В случае привлечения работника к работе в установленный ему графиком выходной день или нерабочий праздничный день работа оплачивается не менее чем в двойном размере, при этом работникам, получающим должностной оклад, - в размере не менее одинарной дневной или часовой базовой ставки сверх оклада, если работа в выходной и нерабочий праздничный день производилась в пределах месячной нормы рабочего времени, и в размере не менее двойной часовой или дневной ставки сверх базового оклада, если работа производилась сверх месячной нормы.

6.9.1. По желанию работника, работавшего в выходной или нерабочий праздничный день, ему может быть предоставлен другой день отдыха. В этом случае работа в нерабочий праздничный день оплачивается в одинарном размере, а день отдыха оплате не подлежит.

6.10. Выплаты компенсационного характера устанавливаются педагогическим работникам за работу с детьми-сиротами и детьми, оставшимися без попечения родителей (Bovz), и рассчитываются по формуле:

,

где:

Od - должностной оклад работников профессиональных образовательных организаций;

Dovz - размер выплаты компенсационного характера педагогическим работникам за работу с детьми-сиротами и детьми, оставшимися без попечения родителей, который составляет 23,5 процента.

6.11. Выплаты компенсационного характера за работу с инвалидами и лицами с недостатками в физическом или умственном развитии предоставляются работникам физической культуры и спорта первого, второго, третьего и четвертого уровней (Bsd) и рассчитываются по формуле:

для работников, тарифицируемых по должностному окладу:

,

для работников, тарифицируемых по окладу (ставке заработной платы):

,

где:

Od - должностной оклад работников физической культуры и спорта профессиональных образовательных организаций;

Оь - размер базового оклада работников профессиональных образовательных организаций, принимаемый в соответствии с разделом II настоящего Положения;

Dsd - размер надбавки за работу с инвалидами и лицами с недостатками в физическом или умственном развитии, равный 3,5 процента;

Hfsd - фактическое количество часов работы работников физической культуры и спорта в профессиональных образовательных организациях с определенными категориями потребителей;

HN - норма часов за ставку заработной платы работников профессиональных образовательных организаций, установленная разделом III настоящего Положения;

Ni - нормативы оплаты труда тренеров-преподавателей по спорту (старших тренеров-преподавателей по спорту) профессиональных образовательных организаций, реализующих образовательные программы в области физической культуры и спорта, за одного занимающегося на этапах спортивной подготовки по видам спорта;

n - количество потребителей, за работу с которыми предусмотрено установление выплат за специфику деятельности.

6.11.1. Перечень должностей работников физической культуры и спорта, которым с учетом конкретных условий работы в данной профессиональной образовательной организации, подразделении и должности устанавливаются надбавки за специфику деятельности, утверждается каждой профессиональной образовательной организацией по согласованию с выборным профсоюзным органом или иным органом, уполномоченным представлять интересы работников.

VII. Порядок определения заработной платы руководителя профессиональной образовательной организации, заместителя руководителя, главного бухгалтера и советника директора по воспитанию и взаимодействию с детскими общественными объединениями

7.1. Заработная плата руководителей профессиональных образовательных организаций, их заместителей и главных бухгалтеров состоит из должностных окладов, выплат компенсационного и стимулирующего характера.

7.2. Должностной оклад руководителя профессиональной образовательной организации устанавливается Министерством образования и науки Республики Татарстан один раз в год на начало учебного года в зависимости от группы по оплате труда (Od) и рассчитывается по формуле:

,

где:

Оь - размер базового оклада руководителя;

Hf - фактическое количество часов работы в профессиональных образовательных организациях;

HN - норма часов за ставку заработной платы работников профессиональных образовательных организаций, установленная разделом III настоящего Положения.

Группа по оплате труда руководителя профессиональной образовательной организации определяется в зависимости от количества численности обучающихся.

7.3. Должностные оклады заместителей руководителей и главных бухгалтеров профессиональных образовательных организаций устанавливаются на 20 - 30 процентов ниже должностных окладов руководителей этих профессиональных образовательных организаций.

7.4. Выплаты стимулирующего характера за качество выполняемых работ руководителю профессиональной образовательной организации устанавливаются учредителем профессиональной образовательной организации с учетом результатов деятельности, определенных на основании критериев эффективности их деятельности. Выплаты стимулирующего характера за качество выполняемых работ руководителю профессиональной образовательной организации могут осуществляться ежемесячно, по итогам работы за год, за выполнение важных и особо важных заданий.

7.5. Группа по оплате труда руководителей, размеры базового оклада и выплат стимулирующего характера за качество выполняемых работ руководителю профессиональных образовательных организаций представлены в таблице 18.

7.6. Выплаты стимулирующего характера за качество выполняемых работ заместителям руководителя, главному бухгалтеру профессиональной образовательной организации устанавливаются руководителем профессиональной образовательной организации с учетом результатов деятельности, определенных на основании критериев эффективности их деятельности, установленных локальными нормативными актами. Выплаты стимулирующего характера за качество выполняемых работ заместителям руководителя, главному бухгалтеру могут осуществляться ежемесячно, ежеквартально, по итогам работы за год, за выполнение важных и особо важных заданий. Предельный уровень выплат стимулирующего характера за качество выполняемых работ заместителям руководителя, главному бухгалтеру устанавливается на уровне 70 процентов выплат стимулирующего характера за качество выполняемых работ руководителя профессиональной образовательной организации.

Таблица 18

Группа по оплате труда руководителей, размеры базового оклада и выплат стимулирующего характера за качество выполняемых работ руководителю профессиональных образовательных организаций

(в ред. Постановления Кабинета министров Республики Татарстан от 21.04.2025 N 252)

Группа по оплате труда руководителяЗначение объемного показателя (численность обучающихся по состоянию на начало учебного года) в соответствии с государственным заданием, человек <*>Базовый оклад, рублейВыплаты стимулирующего характера за качество выполняемых работ,
рублей
10 - 50044 00011 000
2501 - 90050 00012 000
3901 - 1 30054 00014 000
41 301 - 2 00055 00018 000
52 001 и выше56 00022 000

<*> Контингент учащихся профессиональных образовательных организаций, осуществляющих деятельность в области физической культуры и спорта (училище олимпийского резерва), обучающихся на этапах совершенствования спортивного мастерства и высшего спортивного мастерства, учитывается с коэффициентом 3.

7.7. Типовые критерии эффективности деятельности руководителей, заместителей руководителей, главных бухгалтеров профессиональных образовательных организаций и их весовые коэффициенты утверждаются отраслевыми министерствами Республики Татарстан, в ведении которых находятся профессиональные образовательные организации.

7.8. Выплаты стимулирующего характера за качество выполняемых работ (Вк) рассчитываются по формуле:

,

где:

Вс - размер выплат стимулирующего характера за качество выполняемых работ, который приведен в таблице 18;

Kvk - коэффициент выполнения критериев качества.

7.9. Выплаты компенсационного характера устанавливаются для руководителя учреждения, его заместителей, главного бухгалтера профессиональных образовательных организаций в соответствии с Трудовым кодексом Российской Федерации.

7.10. Учредитель профессиональной образовательной организации, осуществляющей деятельность в области физической культуры и спорта, может устанавливать руководителю указанной профессиональной образовательной организации выплаты стимулирующего характера за подготовку тренерами-преподавателями высококвалифицированных спортсменов и за результаты, полученные в соревнованиях спортсменами и спортсменами-инструкторами.

Руководитель профессиональной образовательной организации, осуществляющей деятельность в области физической культуры и спорта, может устанавливать заместителям руководителя, главному бухгалтеру выплаты стимулирующего характера за подготовку тренерами-преподавателями высококвалифицированных спортсменов и за результаты, полученные в соревнованиях спортсменами и спортсменами-инструкторами.

Объем расходов на осуществление выплат стимулирующего характера руководителю, заместителям руководителя, главному бухгалтеру профессиональной образовательной организации, осуществляющей деятельность в области физической культуры и спорта, за подготовку тренерами-преподавателями высококвалифицированных спортсменов и за результаты, полученные в соревнованиях спортсменами и спортсменами-инструкторами, на очередной финансовый год рассчитывается в соответствии с разделом VIII настоящего Положения об условиях оплаты труда работников государственных физкультурных спортивных организаций, осуществляющих подготовку спортивного резерва в Республике Татарстан, утвержденного постановлением Кабинета Министров Республики Татарстан от 25.09.2018 N 853 "Об условиях оплаты труда работников государственных физкультурных спортивных организаций, осуществляющих подготовку спортивного резерва в Республике Татарстан".

Средства на осуществление выплат стимулирующего характера руководителю, заместителям руководителя, главному бухгалтеру i-й профессиональной образовательной организации, осуществляющей деятельность в области физической культуры и спорта, за подготовку тренерами-преподавателями высококвалифицированных спортсменов и за результаты, полученные в соревнованиях спортсменами и спортсменами-инструкторами, распределяются в размере 50 процентов на стимулирование руководителя профессиональной образовательной организации и 50 процентов на стимулирование заместителей руководителя, главного бухгалтера профессиональной образовательной организации.

Выплаты стимулирующего характера за подготовку тренерами-преподавателями высококвалифицированных спортсменов и за результаты, полученные в соревнованиях спортсменами и спортсменами-инструкторами, руководителю профессиональной образовательной организации, заместителям руководителя, главному бухгалтеру профессиональной образовательной организации, осуществляющей деятельность в области физической культуры и спорта, осуществляются ежемесячно.

7.11. Должностной оклад советника директора по воспитанию и взаимодействию с детскими общественными объединениями () рассчитывается по формуле:

,

где:

- размер базового оклада советника директора по воспитанию и взаимодействию с детскими общественными объединениями, устанавливаемый в размере 22 958 рублей; (в ред. Постановления Кабинета министров Республики Татарстан от 25.09.2024 N 830)

Hf - фактическое количество часов работы в профессиональных образовательных организациях;

HN - норма часов за ставку заработной платы работников профессиональных образовательных организаций, установленная разделом III настоящего Положения.

7.12. Выплаты за интенсивность труда предоставляются советнику директора по воспитанию и взаимодействию с детскими общественными объединениями () и рассчитываются по формуле:

,

где:

- размер должностного оклада советника директора по воспитанию и взаимодействию с детскими общественными объединениями;

- размер надбавки за интенсивность труда советника директора по воспитанию и взаимодействию с детскими общественными объединениями, принимаемый равным 100 процентам.

7.13. Выплаты компенсационного характера устанавливаются для советника директора по воспитанию и взаимодействию с детскими общественными объединениями в соответствии с Трудовым кодексом Российской Федерации.

VIII. Порядок формирования и использования фонда оплаты труда профессиональных образовательных организаций

8.1. Формирование фонда оплаты труда профессиональных образовательных организаций осуществляется в пределах объема средств профессиональных образовательных организаций на текущий финансовый год, определенного в соответствии с нормативами, количеством объемных показателей, и отражается в плане финансово-хозяйственной деятельности профессиональных образовательных организаций.

8.2. Начисления должностных окладов, выплат компенсационного и стимулирующего характера, установленных настоящим Положением, осуществляются работникам профессиональной образовательной организации (включая работников профессиональных квалификационных групп общеотраслевых профессий рабочих, рабочих культуры, искусства и кинематографии, общеотраслевых должностей руководителей, специалистов и служащих) за счет средств, предусмотренных в плане финансово-хозяйственной деятельности профессиональной образовательной организации на оплату труда на текущий финансовый год.

8.3. Экономия фонда оплаты труда, сложившаяся в ходе исполнения плана финансово-хозяйственной деятельности профессиональных образовательных организаций за счет всех источников финансового обеспечения, включая доходы, полученные от оказания платных услуг, за соответствующий период (месяц, квартал, год) может направляться на поощрительные выплаты в соответствии с локальными нормативными актами профессиональной образовательной организации, принятыми с учетом норм настоящего Положения.

При наличии экономии фонда оплаты труда поощрительные выплаты производятся работникам той профессиональной квалификационной группы должностей, по которой экономия фонда оплаты труда образовалась (включая работников профессиональных квалификационных групп общеотраслевых профессий рабочих, рабочих культуры, искусства и кинематографии, общеотраслевых должностей руководителей, специалистов и служащих).

Размер поощрительной выплаты, произведенной за счет экономии фонда оплаты труда за соответствующий период работнику профессиональной образовательной организации с учетом отработанной за этот период нормы рабочего времени, выполнившему нормы труда (трудовые обязанности), не может превышать трехкратного минимального размера оплаты труда, установленного Федеральным законом от 19 июня 2000 года N 82-ФЗ "О минимальном размере оплаты труда" на 1 января текущего года (за исключением работников, занимающих должности "мастер производственного обучения", "преподаватель (кроме должностей преподавателей, отнесенных к профессорско-преподавательскому составу)", "преподаватель-организатор основ безопасности и защиты Родины", "тренер-преподаватель", руководителя профессиональной образовательной организации). (в ред. Постановления Кабинета министров Республики Татарстан от 19.06.2025 N 444)

Размер поощрительной выплаты за счет экономии фонда оплаты труда руководителю профессиональной образовательной организации определяется учредителем профессиональной образовательной организации.

Ответственность за использование экономии фонда оплаты труда, образовавшейся в ходе исполнения плана финансово-хозяйственной деятельности профессиональной образовательной организации за счет всех источников финансового обеспечения, включая доходы, полученные от оказания платных услуг, возлагается на руководителя профессиональной образовательной организации.

Приложение N 1
к Положению
об условиях оплаты труда работников
государственных профессиональных
образовательных организаций
Республики Татарстан

(в ред. Постановлений Кабинета министров Республики Татарстан от 24.06.2024 N 454от 19.06.2025 N 444)

Таблица 1

Нормативы оплаты труда тренеров-преподавателей (старших тренеров-преподавателей) профессиональных образовательных организаций, реализующих образовательные программы в области физической культуры и спорта, за одного занимающегося на этапах спортивной подготовки по видам спорта (в ред. Постановления Кабинета министров Республики Татарстан от 19.06.2025 N 444)

(процентов)

N п/пВид спортаЭтапы спортивной подготовки
спортивно-оздоровительныйначальной подготовкитренировочный (спортивной специализации)совершенствования спортивного мастерствавысшего - спортивного мастерства
до годасвыше года1-й год2-й год3-й год4-й год5-й годдо годасвыше года1 -й год
12345678910111213
1.Авиамодельный спорт1,12,22,86,710,010,010,013,3000
2.Армспорт1,52,23,64,66,77,811,116,717,023,035,0
3.Бадминтон1,52,23,65,65,67,48,311,117,023,035,0
4.Баскетбол1,52,23,35,65,67,48,38,317,020,025,0
5.Биатлон1,52,23,33,75,66,58,912,517,023,035,0
6.Бильярд1,52,24,24,66,79,711,116,717,023,035,0
7.Бодибилдинг1,12,24,26,77,811,112,515,9000
8.Бокс1,52,23,65,67,88,910,011,117,023,035,0
9.Борьба на поясах1,12,12,44,65,67,811,1017,023,035,0
10.Велоспорт-маунтинбайк1,12,24,26,79,711,116,716,720,030,040,0
11.Велоспорт-шоссе1,12,84,26,710,412,513,913,920,030,040,0
12.Водное поло1,52,23,65,66,58,910,011,117,020,025,0
13.Воднолыжный спорт1,52,23,34,44,47,48,30000
14.Волейбол1,52,23,65,65,67,48,38,317,020,025,0
15.Гандбол1,52,23,34,65,66,57,48,317,020,025,0
16.Гиревой спорт1,12,23,34,66,78,39,714,817,023,035,0
17.Го1,52,24,25,67,88,912,513,917,023,035,0
18.Гольф1,53,35,08,38,312,512,512,517,023,035,0
19.Горнолыжный спорт1,52,23,24,65,68,312,515,920,030,040,0
20.Гребля на байдарках и каноэ1,52,23,33,75,66,58,912,517,023,035,0
21.Гребной слалом1,52,84,26,76,712,512,516,717,023,035,0
22.Гребной спорт1,52,23,33,75,66,58,912,517,023,035,0
23.Дзюдо1,52,23,64,65,67,88,910,017,023,035,0
24.Каратэ1,52,23,33,75,67,88,912,517,023,035,0
25.Картинг1,53,36,36,37,911,113,916,717,023,035,0
26.Керлинг1,53,35,66,96,911,111,111,117,023,035,0
27.Кикбоксинг1,52,84,27,47,48,68,69,917,023,035,0
28.Киокусинкай (ката, категория)1,52,84,26,76,710,010,0017,023,035,0
29.Конный спорт1,92,86,311,113,014,816,718,520,030,040,0
30.Конькобежный спорт1,52,23,34,66,710,412,515,917,023,035,0
31.Конькобежный спорт (шорт-трек)1,42,13,15,67,48,30017,023,035,0
32.Корэш1,12,12,43,75,68,913,90,017,023,035,0
33.Легкая атлетика1,52,23,34,86,58,910,013,920,030,040,0
34.Лыжное двоеборье1,52,24,26,77,811,112,513,920,030,040,0
35.Лыжные гонки1,52,23,33,75,66,58,912,517,023,035,0
36.Мотоциклетный спорт1,53,36,39,511,114,816,716,717,023,035,0
37.Настольный теннис1,52,23,66,79,711,112,512,517,023,035,0
38.Начальное техническое моделирование1,52,25,000000000
39.Парашютный спорт1,52,23,300000000
40.Парусный спорт1,52,23,35,65,67,88,912,520,030,040,0
41.Пауэрлифтинг1,53,03,75,67,811,112,513,917,023,035,0
42.Плавание1,52,23,65,66,58,910,013,917,023,035,0
43.Планерный спорт1,52,23,300000000
44.Прыжки в воду1,52,23,65,66,58,910,0И,120,030,040,0
45.Прыжки на батуте1,12,24,26,77,89,912,515,917,023,035,0
46.Прыжки на лыжах с трамплина1,52,24,26,77,811,112,513,920,030,040,0
47.Пулевая стрельба1,11,72,24,25,66,316,70,020,030,040,0
48.Регби1,11,72,53,34,46,98,39,317,020,025,0
49.Рукопашный бой1,52,23,66,76,78,910,010,017,023,035,0
50.Самбо1,52,23,64,65,67,88,910,017,023,035,0
51.Синхронное плавание1,52,84,24,66,79,312,512,520,030,040,0
52.Сноуборд1,^3,35,06,98,310,414,315,920,030,040,0
53.Спортивная акробатика1,12,23,76,78,911,113,917,520,030,040,0
54.Спортивная гимнастика1,52,84,26,79,714,816,718,520,030,040,0
55.Фигурное катание на коньках1,12,84,411,116,716,718,518,520,030,040,0
56.Спортивная борьба1,52,23,65,66,58,910,011,117,023,035,0
57.Спортивное ориентирование1,12,24,26,77,88,912,513,917,023,035,0
58.Спортивный туризм1,52,24,26,77,88,912,513,917,023,035,0
59.Стендовая стрельба1,12,23,75,08,314,80,00,020,030,040,0
60.Стрельба из лука1,52,83,38,311,111,111,111,120,030,040,0
61.Судомоделизм1,52,44,26,77,811,116,716,717,023,035,0
62.Танцевальный спорт1,12,13,65,66,77,811,116,720,030,040,0
63.Теннис1,93,36,38,310,412,515,915,917,023,035,0
64.Тхэквондо1,52,24,24,66,77,811,112,517,023,035,0
65.Тяжелая атлетика1,92,83,73,75,68,913,90,017,023,035,0
66.Фехтование1,52,23,66,76,710,010,010,020,030,040,0
67.Фигурное катание на коньках1,12,84,411,116,716,718,515,320,030,040,0
68.Фристайл1,52,23,24,65,68,312,515,920,030,040,0
69.Футбол1,52,23,03,75,66,58,912,517,020,025,0
70.Хоккей1,52,43,65,68,310,010,011,117,020,025,0
71.Хоккей на траве1,52,22,24,05,67,48,39,317,020,025,0
72.Хоккей с мячом1,52,23,64,85,67,48,311,117,020,025,0
73.Художественная гимнастика1,52,24,26,79,714,816,716,720,030,040,0
74.Шахматы1,52,24,25,67,88,912,513,917,023,035,0
75.Шашки1,52,24,25,67,88,912,513,917,023,035,0
76.Велоспорт-ВМХ0,91,32,22,83,74,27,410,020,030,040,0
77.Восточное боевое единоборство1,92,84,27,87,810,010,00,017,023,035,0
78.Триатлон1,52,23,65,67,49,110,010,017,023,035,0
79.Всестилевое каратэ1,52,84,26,77,88,910,0017,023,035,0
80.Джиу-джитсу1,52,02,44,64,66,56,5017,023,035,0

Таблица 2

Недельный режим учебно-тренировочной работы на этапах спортивной подготовки по видам спорта (часов)

N п/пВид спортаЭтапы спортивной подготовки
спортивно-оздоровительныйначальной подготовкитренировочный (спортивной специализации)совершенствования спортивного мастерствавысшего спортивного мастерства
до годасвыше года1-й год2-й год3-й год4-й год5-й годдо годасвыше года1-й год
12345678910И1213
1.Авиамодельный спорт444699912000
2.Армспорт4691012141618242632
3.Бадминтон4691212161820242830
4.Баскетбол4691212161818242832
5.Биатлон4691012141618242832
6.Бильярд4691012141618242830
7.Бодибилдинг4691214161820000
8.Бокс4691214161820242832
9.Борьба на поясах466101214160242732
10.Велоспорт-маунтинбайк4691214161818242630
11.Велоспорт-шоссе4691215182020222430
12.Водное поло4691214161820242832
13.Воднолыжный спорт469121216180000
14.Волейбол4691212161818242832
15.Гандбол4691012141618242832
16.Гиревой спорт469101212'1416202432
17.Го4691214161820242832
18.Гольф4691212181818282832
19.Горнолыжный спорт4681012151820242432
20.Гребля на байдарках и каноэ4691012141618202232
21.Гребной слалом4691212181818222428
22.Гребной спорт4691012141618202232
23.Дзюдо4691012141618202228
24.Каратэ4691012141618202228
25.Картинг469810121518243032
26.Керлинг4681010121212161618
27.Кикбоксинг4691212141416202028
28.Киокусинкай (ката, категория)469121218180242432
29.Конный спорт4691214161820242832
30.Конькобежный спорт4691012151820242736
31.Конькобежный спорт (шорт-трек)46914161800222632
32.Корэш46681216200242736
33.Легкая атлетика4691214161820242632
34.Лыжное двоеборье4691214161820242832
35.Лыжные гонки4691012141618242832
36.Мотоциклетный спорт4691214161818242632
37.Настольный теннис4691214161818242836
38.Начальное техническое моделирование46900000000
39.Парашютный спорт46900000000
40.Парусный спорт4691212141618242832
41.Пауэрлифтинг48101214161820222432
42.Плавание4691214161820242632
43.Планерный спорт46900000000
44.Прыжки в воду4691214161820242832
45.Прыжки на батуте4691214161820242632
46.Прыжки на лыжах с трамплина4691214161820242832
47.Пулевая стрельба468121618180242832
48.Регби469912151820243032
49.Рукопашный бой4691212161818242832
50.Самбо4691012141618202228
51.Синхронное плавание4691012151818242432
52.Сноуборд4691012151820242432
53.Спортивная акробатика4681216182022242630
54.Спортивная гимнастика4691214161820242830
55.Спортивная аэробика469912141618202432
56.Спортивная борьба4691214161820242830
57.Спортивное ориентирование4691214161820242832
58.Спортивный туризм4691214161820242832
59.Стендовая стрельба4689121600202436
60.Стрельба из лука466912161616242636
61.Судомоделизм4691214161818242632
62.Танцевальный спорт4691212141618242632
63.Теннис4691215182020202432
64.Тхэквондо4691012141618242832
65.Тяжелая атлетика46881216200242832
66.Фехтование4691212181818242832
67.Фигурное катание на коньках410121618182020283236
68.Фристайл4681012151820242432
69.Футбол4681012141618242832
70.Хоккей4691215181820212330
71.Хоккей на траве4661012161820222432
72.Хоккей с мячом4691214161820242832
73.Художественная гимнастика4691214161818242832
74.Шахматы4691214161820242832
75.Шашки4691214161820242832
76.Велоспорт-ВМХ4681012121618182430
77.Восточное боевое единоборство469141418180282832
78.Триатлон4691216181818282832
79.Всестилевое каратэ469121416180242832
80.Джиу-джитсу456101014140202024

Таблица 3

Нормативная наполняемость групп на этапах спортивной подготовки по видам спорта

(человек)

N п/пВид спортаЭтапы спортивной подготовки
спортивно-оздоровительныйначальной подготовкитренировочный (спортивной специализации)совершенствования спортивного мастерствавысшего спортивного мастерства
до годасвыше года1-й год2-й год3-й год4-й год5-й годДО годасвыше года1 -й год
12345678910111213
1.Авиамодельный спорт2010855555000
2.Армспорт15151412101086542
3.Бадминтон15151412121212101084
4.Баскетбол151515121212121210108
5.Биатлон151515151212108221
6.Бильярд1515121210886111
7.Бодибилдинг2015121010887000
8.Бокс1515141210101010653
9.Борьба на поясах20161412121080664
10.Велоспорт-маунтинбайк201512108866422
11.Велоспорт-шоссе201212108888665
12.Водное поло1515141212101010764
13.Воднолыжный спорт151515151512120000
14.Волейбол151514121212121210108
15.Гандбол151515121212121210108
16.Гиревой спорт2015151210886321
17.Го15151212101088664
18.Гольф15101088888441
19.Горнолыжный спорт15151412121087652
20.Гребля на байдарках и каноэ151515151212108431
21.Гребной слалом1512121010886431
22.Гребной спорт151515151212108431
23.Дзюдо1515141212101010664
24.Каратэ151515151210108644
25.Картинг1510877666221
26.Керлинг1510888666422
27.Кикбоксинг15121299999771
28.Киокусинкай (ката, категория)151212101010100331
29.Конный спорт1212866666443
30.Конькобежный спорт1515151210887544
31.Конькобежный спорт (шорт-трек)161616141212001284
32.Корэш20161412121080664
33.Легкая атлетика151515141210108442
34.Лыжное двоеборье1515121010888664
35.Лыжные гонки151515151212108221
36.Мотоциклетный спорт1510877666221
37.Настольный теннис151514108888643
38.Начальное техническое моделирование15151000000000
39.Парашютный спорт15151500000000
40.Парусный спорт151515121210108321
41.Пауэрлифтинг1515151210888664
42.Плавание151514121210108764
43.Планерный спорт15151500000000
44.Прыжки в воду1515141212101010764
45.Прыжки на батуте2015121010987654
46.Прыжки на лыжах с трамплина1515121010888664
47.Пулевая стрельба20202016161660653
48.Регби2020201515121212И1111
49.Рукопашный бой1515141010101010442
50.Самбо1515141212101010664
51.Синхронное плавание1512121210988765
52.Сноуборд12101088877651
53.Спортивная акробатика2015121010987654
54.Спортивная гимнастика151212108666221
55.Спортивная аэробика1515121010987654
56.Спортивная борьба1515141212101010664
57.Спортивное ориентирование20151210101088654
58.Спортивный туризм15151210101088654
59.Стендовая стрельба201512108600543
60.Стрельба из лука15121066888442
61.Судомоделизм1514121010866221
62.Танцевальный спорт20161412101086442
63.Теннис1210888877332
64.Тхэквондо15151212101088111
65.Тяжелая атлетика12121212121080653
66.Фехтование1515141010101010865
67.Фигурное катание на коньках20201586666442
68.Фристайл15151412121087654
69.Футбол151515151212108888
70.Хоккей1514141210101010666
71.Хоккей на траве1515151412121212111111
72.Хоккей с мячом1515141414121210666
73.Художественная гимнастика151512108666211
74.Шахматы15151212101088664
75.Шашки15151212101088664
76.Велоспорт-ВМХ25252020181612101064
77.Восточное боевое единоборство121212101010100332
78.Триатлон1515141212111010863
79.Всестилевое каратэ151212101010100432
80.Джиу-джитсу151414121212120442

Таблица 4 - Утратила силу. (в ред. Постановления Кабинета министров Республики Татарстан от 19.06.2025 N 444)

Таблица 5

Нормативы оплаты труда тренеров-преподавателей (старших тренеров-преподавателей) за подготовку высококвалифицированных спортсменов согласно занятому месту на соревнованиях за одного занимающегося (процентов) (в ред. Постановления Кабинета министров Республики Татарстан от 19.06.2025 N 444)

Уровень соревнованийЗанятое местоНормативы оплаты труда
олимпийские виды спорта, олимпийские дисциплинынеолимпийские виды спорта, неолимпийские дисциплины
личныекомандныеличныекомандные
123456
Олимпийские игры1500,0500,0  
2375,0375,0  
3250,0250,0  
4200,0200,0  
5188,0188,0  
6125,0125,0  
участие63,063,0- 
Чемпионат мира175,075,052,537,5
270,070,050,035,0
365,065,047,532,5
460,060,045,030,0
555,055,042,527,5
650,050,035,025,0
Кубок мира, чемпионат Европы170,070,050,035,0
265,065,045,032,5
360,060,042,530,0
455,055,037,527,5
550,050,035,025,0
645,045,032,522,5
7-1215,015,012,57,5
Официальные международные соревнования среди мужчин и женщин120,020,010,010,0
217,517,58,88,8
315,015,02,57,5
Кубок Европы160,060,042,530,0
255,055,037,527,5
350,050,035,025,0
445,045,032,522,5
5-1022,522,520,011,3
Всемирная универсиада145,045,032,522,5
240,040,027,520,0
335,035,022,517,5
4-620,020,020,010,0
Чемпионат России150,017,535,08,8
245,015,032,57,5
340,012,527,5 •6,3
435,010,025,05,0
Кубок России140,015,027,57,5
235,012,522,56,3
330,010,020,05,0
425,08,5-4,3
Чемпионат федерального округа125,07,522,53,8
220,07,018,03,5
Чемпионат республики120,03,520,01,8
Первенство России (молодежь, юниоры)135,07,330,03,7
230,06,825,03,4
325,06,322,53,2
420,05,820,02,9
Всероссийская универсиада135,07,330,03,7
230,06,825,03,4
325,06,322,53,2
420,05,820,02,9
Первенство мира, Европы145,045,032,522,5
240,040,027,520,0
335,035,022,517,5
4-620,020,020,010,0
Всемирные юношеские игры145,045,032,522,5
240,040,027,520,0
335,035,022,517,5
4-620,020,020,010,0
Европейский юношеский фестиваль140,040,020,020,0
235,035,017,517,5
330,030,015,015,0
4-620,020,010,010,0
Официальные международные соревнования среди юниоров, старших юношей122,515,015,015,0
220,012,512,512,5
317,510,010,010,0
415,07,57,57,5
Первенство России (старшие юноши)135,06,018,03,0
228,05,514,02,7
320,05,010,02,5
Финал Спартакиады молодежи России137,57,532,53,8
232,57,027,53,5
327,56,522,53,3
4-625,06,020,03,0
Финал Спартакиады учащихся России137,57,532,53,8
230,07,025,03,5
327,56,522,53,3
4-622,56,018,03,0
Всероссийские соревнования, включенные в единый календарный план Министерства спорта Российской Федерации115,05,07,52,5
212,52,56,81,3
310,02,05,00,8
Первенство Приволжского федерального округа120,05,810,02,9
217,55,39,02,7
315,04,87,52,4
Зачисление в государственное училище олимпийского резерва 25,05,0  

Приложение N 2
к Положению
об условиях оплаты труда работников
государственных профессиональных
образовательных организаций
Республики Татарстан

(в ред. Постановления Кабинета министров Республики Татарстан от 24.06.2024 N 454)

Таблица 1

Перечень почетных званий и ведомственных наград, за наличие которых работникам образования предоставляются соответствующие выплаты

N п/пНаименование почетного звания, награды
12
Почетных званий Российской Федерации, Республики Татарстан, Советских Социалистических Республик, союзных и автономных республик в составе Союза Советских Социалистических Республик
1.Почетные звания Российской Федерации
1.1.Народный учитель Российской Федерации
1.2.Заслуженный учитель Российской Федерации
1.3.Заслуженный деятель науки Российской Федерации
1.4.Заслуженный работник высшей школы Российской Федерации
1.5.Заслуженный мастер производственного обучения Российской Федерации
1.6.Заслуженный работник физической культуры Российской Федерации
1.7.Заслуженный работник культуры Российской Федерации
1.8.Заслуженный художник Российской Федерации
1.9.Заслуженный экономист Российской Федерации
2.Почетные звания Союза Советских Социалистических Республик
2.1.Народный учитель СССР
3.Почетные звания союзных республик в составе Союза Советских Социалистических Республик
3.1.Заслуженный деятель физкультуры и спорта
3.2.Заслуженный деятель спорта
3.3.Заслуженный деятель физической культуры
3.4.Заслуженный работник физической культуры и спорта
3.5.Заслуженный тренер РСФСР
3.6.Заслуженный учитель школы РСФСР
3.7.Заслуженный учитель профессионально-технического образования
3.8.Заслуженный мастер профессионально-технического образования
3.9.Заслуженный работник профессионально-технического образования
3.10.Заслуженный преподаватель
3.11.Заслуженный работник высшей школы
3.12.Заслуженный работник народного образования
3.13.Заслуженный деятель высшей школы
3.14.Заслуженный деятель науки и техники
3.15.Заслуженный деятель науки
4. Почетные звания автономных республик в составе Союза Советских Социалистических Республик
4.1.Заслуженный деятель физкультуры и спорта
4.2.Заслуженный работник физической культуры и спорта
4.3.Заслуженный деятель школы
4.4.Заслуженный учитель школы
4.5.Заслуженный учитель профессионально-технического образования
4.6.Заслуженный мастер профессионально-технического образования
4.7.Заслуженный работник профессионально-технического образования
4.8.Заслуженный работник высшей школы
4.9.Заслуженный деятель науки и культуры
4.10.Заслуженный работник культуры
4.11.Заслуженный деятель науки и техники
4.12.Заслуженный деятель науки
5.Почетные звания Республики Татарстан
5.1.Народный учитель Республики Татарстан
5.2.Заслуженный учитель школы Республики Татарстан
5.3.Заслуженный учитель Республики Татарстан
5.4.Заслуженный деятель науки Республики Татарстан
5.5.Заслуженный работник высшей школы Республики Татарстан
5.6.Заслуженный работник физической культуры Республики Татарстан
5.7.Заслуженный работник культуры Республики Татарстан
5.8.Заслуженный экономист Республики Татарстан
Ведомственные награды Российской Федерации, Республики Татарстан (Союза Советских Социалистических Республик, Российской Советской Федеративной Социалистической Республики)
1. Министерство просвещения Российской Федерации (Министерство образования и науки Российской Федерации, Министерство образования Российской Федерации)
1.1.Почетный работник общего образования Российской Федерации
1.2.Почетный работник начального профессионального образования Российской Федерации
1.3.Почетный работник среднего профессионального образования Российской Федерации
1.4.Почетный работник высшего профессионального образования Российской Федерации
1.5.Почетный работник науки и техники Российской Федерации
1.6.Почетный работник сферы молодежной политики Российской Федерации
1.7.За развитие научно-исследовательской работы студентов
1.8.Почетный работник сферы образования Российской Федерации
1.9.Почетный работник сферы воспитания детей и молодежи Российской Федерации
1.10.Отличник просвещения
1.11.Почетный работник воспитания и просвещения Российской Федерации
1.12.Почетный работник науки и высоких технологий Российской Федерации
1.13.Ветеран сферы воспитания и образования
1.14.Медаль Л.С. Выготского
1.15.Медаль К.Д. Ушинского
1.16.Значок "Отличник профессионально-технического образования Российской Федерации"
1.17.Нагрудный знак "За милосердие и благотворительность"
1.18.Нагрудный знак "За верность профессии"
1.19.Нагрудный знак "Молодость и Профессионализм"
1.20.Нагрудный знак "Почетный наставник"
1.21.Нагрудный знак "Ветеран" Министерства науки и высшего образования Российской Федерации
1.22.Медаль "За безупречный труд и отличие"
1.23.Медаль "За вклад в реализацию государственной политики в области образования и научно-технологического развития"
1.24.Звание "Почетный работник" Министерства науки и высшего образования Российской Федерации
1.25.Нагрудный знак "Молодой ученый"
1.26.Почетная грамота Министерства науки и высшего образования Российской Федерации
2. Министерство народного образования, Министерство просвещения СССР (РСФСР)
2.1.Значок "Отличник просвещения СССР"
2.2.Значок "Отличник народного просвещения"
2.3.Значок "Отличник профтехобразования СССР"
2.4.Значок "Отличник профессионально-технического образования РСФСР"

Таблица 2

Перечень почетных званий, за наличие которых работникам культуры предоставляются соответствующие выплаты

N п/пНаименование почетного звания
12
1. Почетные звания Российской Федерации
1.1.Народный артист Российской Федерации
1.2.Народный художник Российской Федерации
1.3.Заслуженный артист Российской Федерации
1.4.Заслуженный работник культуры Российской Федерации
1.5.Заслуженный художник Российской Федерации
2. Почетные звания Республики Татарстан
2.1.Народный артист Республики Татарстан
2.2.Народный писатель Республики Татарстан
2.3.Народный поэт Республики Татарстан
2.4.Народный художник Республики Татарстан
2.5.Заслуженный артист Республики Татарстан
2.6.Заслуженный деятель искусств Республики Татарстан
2.7.Заслуженный работник культуры Республики Татарстан
3.Почетные звания Союза Советских Социалистических Республик
3.1.Народный артист СССР
3.2.Народный художник СССР
4.Почетные звания союзных республик в составе Союза Советских Социалистических Республик
4.1.Заслуженный пропагандист
4.2.Народный артист
4.3.Заслуженный артист
4.4.Заслуженный деятель искусств
4.5.Народный художник
4.6.Заслуженный художник
4.7.Народный писатель
4.8.Заслуженный писатель
4.9.Народный поэт
4.10.Народный певец
4.11.Народный акын
4.12.Заслуженный журналист
4.13.Заслуженный деятель культуры
4.14.Заслуженный работник культурно-просветительной работы
4.15.Заслуженный работник культуры
4.16.Заслуженный библиотекарь
4.17.Мастер прикладного искусства
4.18.Заслуженный мастер народного творчества
4.19.Заслуженный деятель науки
5. Почетные звания автономных республик в составе Союза Советских Социалистических Республик
5.1.Заслуженный строитель
5.2.Народный артист
5.3.Заслуженный артист
5.4.Заслуженный деятель искусств
5.5.Народный художник
5.6.Заслуженный художник
5.7.Народный писатель
5.8.Заслуженный писатель
5.9.Народный поэт
5.10.Заслуженный журналист
5.11.Заслуженный работник культуры
5.12.Заслуженный библиотекарь
5.13.Заслуженный деятель науки и культуры
5.14.Заслуженный деятель науки и техники
5.15.Заслуженный деятель науки

Таблица 3

Перечень почетных званий, за наличие которых медицинским работникам предоставляются соответствующие выплаты

N п/пНаименование почетного звания
12
1. Почетные звания Российской Федерации
1.1.Заслуженный врач Российской Федерации
1.2.Заслуженный работник здравоохранения Российской Федерации
1.3.Отличник здравоохранения Российской Федерации
2. Почетные звания Республики Татарстан
2.1.Заслуженный врач Республики Татарстан
2.2.Заслуженный работник здравоохранения Республики Татарстан
3. Почетные звания Союза Советских Социалистических Республик
3.1.Народный врач СССР
4. Почетные звания союзных республик в составе Союза Советских Социалистических Республик
4.1.Народный врач
4.2.Заслуженный работник здравоохранения
4.3.Заслуженный врач
4.4.Заслуженный провизор
4.5.Заслуженный фармацевт
5. Почетные звания автономных республик в составе Союза Советских Социалистических Республик
5.1.Заслуженный работник здравоохранения
5.2.Заслуженный врач
5.3.Заслуженный провизор

Таблица 4

Перечень почетных званий (спортивных званий), за наличие которых работникам физической культуры и тренерам-преподавателям предоставляются соответствующие выплаты

N п/пНаименование почетного звания, спортивного звания
12
1. Почетные звания, спортивные звания Российской Федерации
1.1.Заслуженный работник физической культуры Российской Федерации
1.2.Заслуженный мастер спорта России
1.3.Заслуженный тренер России
1.4.Почетный спортивный судья России
1.5.Заслуженный мастер спорта России международного класса
1.6.Мастер спорта России международного класса
1.7.Мастер спорта России
1.8.Гроссмейстер России
1.9.Почетный спортивный судья России
2. Почетные звания Республики Татарстан
2.1.Заслуженный работник физической культуры Республики Татарстан
2.2.Заслуженный тренер Республики Татарстан
3. Почетные звания Союза Советских Социалистических Республик
3.1.Заслуженный мастер спорта СССР
3.2.Заслуженный тренер СССР
3.3.Мастер спорта СССР
3.4.Мастер спорта СССР международного класса
3.5.Заслуженный тренер РСФСР
3.6.Гроссмейстер СССР
4. Почетные звания союзных республик в составе Союза Советских Социалистических Республик
4.1.Заслуженный деятель физкультуры и спорта
4.2.Заслуженный деятель спорта
4.3.Заслуженный деятель физической культуры
4.4.Заслуженный работник физической культуры и спорта
4.5.Заслуженный тренер
5. Почетные звания автономных республик в составе Союза Советских Социалистических Республик
5.1.Заслуженный деятель физкультуры и спорта
5.2.Заслуженный работник физической культуры и спорта

Приложение N 3
к Положению
об условиях оплаты труда работников
государственных профессиональных
образовательных организаций
Республики Татарстан

(в ред. Постановлений Кабинета министров Республики Татарстан от 24.06.2024 N 454от 19.06.2025 N 444)

Таблица 1

Предельный совокупный размер весовых коэффициентов по критериям эффективности деятельности работников образования

N п/пНаименование должностиКвалификационный уровеньПредельный совокупный размер весовых коэффициентов
1234
1. Профессиональная квалификационная группа учебно-вспомогательного персонала первого уровня
1.1.Секретарь учебной частипервый5
2. Профессиональная квалификационная группа учебно-вспомогательного персонала второго уровня
2.1.Младший воспитательпервый35
2.2.Диспетчер образовательного учреждениявторой40
3. Профессиональная квалификационная группа должностей педагогических работников
3.1.Инструктор по трудупервый45
3.2.Инструктор по физической культурепервый45
3.3.Музыкальный руководительпервый45
3.4.Инструктор-методиствторой50
3.5.Концертмейстервторой50
3.6.Педагог дополнительного образованиявторой50
3.7.Педагог-организаторвторой50
3.8.Социальный педагогвторой50
3.9.Тренер-преподавательвторой50
3.10.Специалист по работе с молодежьювторой50
3.11.Специалист по социальной работе с молодежьювторой50
3.12.Воспитательтретий55
3.13.Мастер производственного обучениятретий55
3.14.Методисттретий55
3.15.Педагог-психологтретий55
3.16.Преподаватель (кроме должностей преподавателей, отнесенных к профессорско-преподавательскому составу)четвертый60
3.17.Преподаватель-организатор основ безопасности и защиты Родинычетвертый60
(в ред. Постановления Кабинета министров Республики Татарстан от 19.06.2025 N 444)
3.18.Руководитель физического воспитаниячетвертый60
3.19.Старший воспитательчетвертый60
3.20.Старший методистчетвертый60
3.21.Тьютор (за исключением тьютора, занятого в сфере высшего и дополнительного профессионального образования)четвертый60
3.22.Учительчетвертый60
3.23.Педагог-библиотекарьчетвертый60
4. Профессиональная квалификационная группа должностей руководителей структурных подразделений
4.1.Заведующий (начальник) структурным подразделением: кабинетом, лабораторией, отделом, отделением, сектором, учебно-консультационным пунктом, учебной (учебно-производственной) мастерской и другими структурными подразделениями, реализующими общеобразовательную программу и образовательную программу дополнительного образования детей (кроме должностей руководителей структурных подразделений, отнесенных ко второму квалификационному уровню)первый65
4.2.Заведующий (начальник) обособленным структурным подразделением, реализующим образовательную программу и образовательную программу дополнительного образования детей, начальник (заведующий, директор, руководитель, управляющий): кабинета, лаборатории, отдела, отделения, сектора, учебно-консультационного пункта, учебной (учебно-производственной) мастерской, учебного хозяйства и других структурных подразделений образовательного учреждения (подразделения) начального и среднего профессионального образования (кроме должностей руководителей структурных подразделений, отнесенных к третьему квалификационному уровню)второй70
4.3.Старший мастер образовательного учреждения (подразделения) начального и (или) среднего профессионального образованиявторой70
4.4.Начальник (заведующий, директор, руководитель, управляющий) обособленного структурного подразделения образовательного учреждения (подразделения) начального и среднего профессионального образованиятретий80

Таблица 2

Предельный совокупный размер весовых коэффициентов по критериям эффективности деятельности работников культуры

N п/пНаименование должностиПредельный совокупный размер весовых коэффициентов
1. Профессиональная квалификационная группа должностей работников культуры, искусства и кинематографии среднего звена
1.1.Заведующий костюмерной35
2. Профессиональная квалификационная группа должностей работников культуры ведущего звена
2.1.Библиотекарь40
2.2.Ведущий библиотекарь42
2.3.Библиограф40
2.4.Звукооператор40
2.5.Художник-постановщик45
3. Профессиональная квалификационная группа должностей руководящего состава учреждений культуры
3.1.Заведующий отделом (сектором) музея50
3.2.Заведующий отделом (сектором) библиотеки50
3.3.Заведующий отделением (пунктом) по прокату кино- и видеофильмов50
3.4.Звукорежиссер55
3.5.Режиссер-постановщик55
3.6.Художественный руководитель55

Таблица 3

Предельный совокупный размер весовых коэффициентов по критериям эффективности деятельности медицинских работников

N п/пНаименование должностиПредельный совокупный размер весовых коэффициентов
123
1. Профессиональная квалификационная группа должностей медицинского и фармацевтического персонала первого уровня
1.1.Младшая медицинская сестра по уходу за больными (младший медицинский брат по уходу за больными)5
2. Профессиональная квалификационная группа должностей среднего медицинского и фармацевтического персонала
Третий квалификационный уровень
2.1.Медицинская сестра (медицинский брат)40
2.2.Медицинская сестра по массажу (медицинский брат по массажу)40
2.3.Медицинский лабораторный техник (фельдшер лаборант)40
Четвертый квалификационный уровень
2.4.Фельдшер45
Пятый квалификационный уровень
2.5.Старшая медицинская сестра (старший медицинский брат)50
2.6.Заведующий здравпунктом - фельдшер (медицинская сестра (медицинский брат))50
3. Профессиональная квалификационная группа должностей врачей и провизоров
3.1.Врач-специалист (кроме врача-специалиста, отнесенного к третьему и четвертому квалификационным уровням)60
4. Профессиональная квалификационная группа "Руководители структурных подразделений учреждений с высшим медицинским и фармацевтическим образованием (врач-специалист, провизор)"
4.1.Заведующий структурным подразделением (отделом, отделением, лабораторией, кабинетом, отрядом и др.) (кроме заведующего отделением хирургического профиля стационара)70

Таблица 4

Предельный совокупный размер весовых коэффициентов по критериям эффективности деятельности работников физической культуры и спорта

N п/пНаименование должностиКвалификационный уровеньПредельный совокупный размер весовых коэффициентов
1234
1. Профессиональная квалификационная группа должностей работников физической культуры и спорта первого уровня (группа 1)
1.1.Спортсмен215
2. Профессиональная квалификационная группа должностей работников физической культуры и спорта второго уровня (группа 2)
2.1.Спортсмен-инструктор145
2.2.Инструктор-методист физкультурно-спортивных организаций250
2.3.Старший инструктор-методист физкультурно-спортивных организаций355
2.4.Старший тренер-преподаватель по спорту355
3. Профессиональная квалификационная группа должностей работников физической культуры и спорта третьего уровня (группа 3)
3.1.Врач по спортивной медицине спортивных сборных команд160
3.2.Старший тренер спортивной сборной команды265
4. Профессиональная квалификационная группа должностей работников физической культуры и спорта четвертого уровня (группа 4)
4.1.Главный тренер спортивной сборной команды170

УТВЕРЖДЕНО
постановлением
Кабинета Министров
Республики Татарстан
от 31.05.2018 N 412

ПОЛОЖЕНИЕ ОБ УСЛОВИЯХ ОПЛАТЫ ТРУДА РАБОТНИКОВ ПРОФЕССИОНАЛЬНЫХ КВАЛИФИКАЦИОННЫХ ГРУПП ОБЩЕОТРАСЛЕВЫХ ПРОФЕССИЙ РАБОЧИХ, РАБОЧИХ КУЛЬТУРЫ, ИСКУССТВА И КИНЕМАТОГРАФИИ, ОБЩЕОТРАСЛЕВЫХ ДОЛЖНОСТЕЙ РУКОВОДИТЕЛЕЙ, СПЕЦИАЛИСТОВ И СЛУЖАЩИХ ОБРАЗОВАТЕЛЬНЫХ ОРГАНИЗАЦИЙ РЕСПУБЛИКИ ТАТАРСТАН

(в ред. Постановлений Кабинета министров Республики Татарстан от 24.06.2024 N 454, от 25.09.2024 N 830, от 21.04.2025 N 252)

I. Общие положения

1.1. Настоящее Положение определяет порядок формирования окладов работников профессиональных квалификационных групп общеотраслевых профессий рабочих, рабочих культуры, искусства и кинематографии, общеотраслевых должностей руководителей, специалистов и служащих образовательных организаций Республики Татарстан, условия и размеры выплат компенсационного и стимулирующего характера, а также критерии их установления.

1.2. В настоящем Положении используются следующие основные понятия:

система оплаты труда - совокупность норм, определяющих условия и размеры оплаты труда работников образовательных организаций, включая размеры базовых окладов, базовых ставок заработной платы, должностных окладов, а также выплаты компенсационного и стимулирующего характера, установленных в соответствии с федеральным законодательством и законодательством Республики Татарстан;

базовый оклад - оклад работника образовательных организаций Республики Татарстан, осуществляющего профессиональную деятельность по профессии рабочего или должности руководителя, специалиста, технического исполнителя, входящей в соответствующую профессиональную квалификационную группу, без учета компенсационных и стимулирующих выплат;

должностной оклад - фиксированный размер оплаты труда работника за исполнение трудовых (должностных) обязанностей определенной сложности за календарный месяц за фактически отработанное время без учета компенсационных и стимулирующих выплат;

заработная плата (оплата труда работника) - вознаграждение за труд в зависимости от квалификации работника, сложности, количества, качества и условий выполняемой работы, а также компенсационные и стимулирующие выплаты;

выплаты компенсационного характера - доплаты и надбавки компенсационного характера, в том числе за работу в условиях, отклоняющихся от нормальных, и иные выплаты компенсационного характера;

выплаты стимулирующего характера - доплаты и надбавки стимулирующего характера, премии и иные поощрительные выплаты.

1.3. Заработная плата (оплата труда) работника определяется из:

должностных окладов;

выплат компенсационного характера;

выплат стимулирующего характера.

II. Определение базовых окладов работников профессиональных квалификационных групп общеотраслевых профессий рабочих, рабочих культуры, искусства и кинематографии, общеотраслевых должностей руководителей, специалистов и служащих образовательных организаций Республики Татарстан (в ред. Постановления Кабинета министров Республики Татарстан от 21.04.2025 N 252)

2.1. Базовые оклады работников профессиональных квалификационных групп общеотраслевых профессий рабочих, рабочих культуры, искусства и кинематографии образовательных организаций Республики Татарстан устанавливаются в следующих размерах:

Квалификационный уровеньРазмер базового оклада в месяц, рублей
Профессиональная квалификационная группа "Общеотраслевые профессии рабочих первого уровня"
Первый квалификационный уровень23 320
Второй квалификационный уровень23 520
Профессиональная квалификационная группа "Общеотраслевые профессии рабочих второго уровня"
Первый квалификационный уровень23 660
Второй квалификационный уровень23 840
Третий квалификационный уровень24 020
Четвертый квалификационный уровень24 550

2.2. Базовые оклады работников профессиональных квалификационных групп общеотраслевых должностей руководителей, специалистов и служащих образовательных организаций Республики Татарстан устанавливаются в следующих размерах:

Квалификационный уровеньРазмер базового оклада в месяц, рублей
12
Профессиональная квалификационная группа "Общеотраслевые должности служащих первого уровня"
Первый квалификационный уровень23 320
Второй квалификационный уровень23 520
Профессиональная квалификационная группа "Общеотраслевые должности служащих второго уровня"
Первый квалификационный уровень23 660
Второй квалификационный уровень23 840
Третий квалификационный уровень24 020
Четвертый квалификационный уровень24 240
Пятый квалификационный уровень24 430
Профессиональная квалификационная группа "Общеотраслевые должности служащих третьего уровня"
Первый квалификационный уровень24 620
Второй квалификационный уровень24 820
Третий квалификационный уровень25 050
Четвертый квалификационный уровень25 250
Пятый квалификационный уровень25 450
Профессиональная квалификационная группа "Общеотраслевые должности служащих четвертого уровня"
Первый квалификационный уровень26 400
Второй квалификационный уровень26 600
Третий квалификационный уровень26 800

2.3. Соответствие должности и профессии работника квалификационным уровням профессиональных квалификационных групп общеотраслевых профессий рабочих, рабочих культуры, искусства и кинематографии, общеотраслевых должностей руководителей, специалистов и служащих устанавливается согласно нормативным правовым актам Министерства здравоохранения Российской Федерации.

2.4. Оплата труда работников, занятых по совместительству, а также на условиях неполного рабочего времени, производится пропорционально отработанному времени либо в зависимости от выполненного объема работ. Определение размеров заработной платы по основной должности, а также по должности, занимаемой в порядке совместительства, производится раздельно по каждой должности.

III. Порядок формирования должностных окладов работников профессиональных квалификационных групп общеотраслевых профессий рабочих, рабочих культуры, искусства и кинематографии, общеотраслевых должностей руководителей, специалистов и служащих образовательных организаций Республики Татарстан

3.1. Должностной оклад работников профессиональных квалификационных групп общеотраслевых профессий рабочих, рабочих культуры, искусства и кинематографии, общеотраслевых должностей руководителей, специалистов и служащих образовательных организаций Республики Татарстан (Od) рассчитывается по формуле:

,

где:

О - размер базового оклада работников профессиональных квалификационных групп общеотраслевых профессий рабочих, рабочих культуры, искусства и кинематографии, общеотраслевых должностей руководителей, специалистов и служащих образовательных организаций Республики Татарстан, принимаемый в соответствии с разделом II настоящего Положения;

Hf - фактическое количество часов работы работников образовательных организаций Республики Татарстан в пределах установленной для работника продолжительности рабочего времени;

HN - норма часов за ставку заработной платы (базовый оклад) общеотраслевых профессий рабочих, рабочих культуры, искусства и кинематографии, общеотраслевых должностей руководителей, специалистов и служащих, принимаемая в соответствии с Трудовым кодексом Российской Федерации.

IV. Выплаты стимулирующего характера

4.1. К выплатам стимулирующего характера относятся выплаты, направленные на стимулирование работника к качественному результату труда, а также поощрение за выполненную работу.

4.2. Выплаты стимулирующего характера включают в себя:

выплаты за интенсивность труда;

выплаты за наличие почетных званий;

выплаты за стаж работы по должности;

премиальные и иные поощрительные выплаты.

4.3. Выплаты за интенсивность труда (Bsd) предоставляются работникам по должности "повар" и должностям "заведующий производством", "заведующий столовой", за работу с определенными категориями получателей услуг и рассчитываются по формуле:

,

где:

Od - должностной оклад работников профессиональных квалификационных групп общеотраслевых профессий рабочих, рабочих культуры, искусства и кинематографии, общеотраслевых должностей руководителей, специалистов и служащих образовательных организаций Республики Татарстан;

Dsd - размер надбавки за интенсивность труда работников, занимающих должности "повар" и должностям "заведующий производством", "заведующий столовой" предоставляются в размере 13 процентов.

4.4. Выплаты за наличие почетных званий (Bpz), предоставляются работникам, входящим в профессиональные квалификационные группы общеотраслевых профессий рабочих, рабочих культуры, искусства и кинематографии, общеотраслевых должностей руководителей, специалистов и служащих и рассчитываются по формуле:

,

где:

Od - должностной оклад работников профессиональных квалификационных групп общеотраслевых профессий рабочих, рабочих культуры, искусства и кинематографии, общеотраслевых должностей руководителей, специалистов и служащих образовательных организаций Республики Татарстан;

Dpz - размер надбавки за наличие почетных званий составляет 3 процента.

4.4.1. Перечень почетных званий, за наличие которых работникам предоставляются соответствующие выплаты, приведен в приложении к настоящему Положению.

4.4.2. Установление размеров выплат за наличие почетных званий производится со дня присвоения почетного звания. Работникам, имеющим два и более почетных званий, выплата за их наличие устанавливается по одной из почетных званий по выбору работника.

4.5. Выплаты за стаж работы по должности (специальности) (Bs) устанавливаются работникам профессиональной квалификационной группы общеотраслевых должностей руководителей, специалистов и служащих по группам по стажу в разрезе профессиональных квалификационных групп и квалификационных уровней в зависимости от продолжительности работы по должности (специальности) и рассчитываются по формуле:

,

где:

Od - должностной оклад работников профессиональных квалификационных групп общеотраслевых должностей руководителей, специалистов и служащих образовательных организаций Республики Татарстан;

Ds - размер надбавки за стаж работы по должности (специальности).

4.5.1. Размеры надбавок за стаж работы по должности (специальности) составляют:

при стаже работы по должности (специальности) от 2 до 5 лет - 2,5 процента;

при стаже работы по должности (специальности) от 5 до 10 лет - 4 процента;

при стаже работы по должности (специальности) от 10 до 15 лет - 5 процентов;

при стаже работы по должности (специальности) свыше 15 лет - 6 процентов.

4.5.2. Установление (изменение) размеров выплат за стаж работы по должности (специальности) при изменении стажа работы производится со дня достижения стажа, дающего право на увеличение размера выплат за стаж работы, если документы, подтверждающие стаж, находятся в образовательной организации Республики Татарстан, или со дня представления необходимого документа, подтверждающего стаж.

4.5.3. В стаж работы по должности (специальности) засчитывается время работы по должностям (профессиям) согласно таблице.

Таблица

Перечень должностей (профессий), время работы по которым засчитывается в стаж работы по должности (специальности)

N п/пНаименования должностей работников профессиональных квалификационных групп общеотраслевых должностей руководителей, специалистов и служащих (всех внутридолжностных категорий, включая должностные наименования "главный", "старший")Наименования должностей (профессий), периоды работы в которых включаются в стаж работы по специальности для установления стимулирующей выплаты
123
1.Начальник финансового отдела, начальник планово-экономического отдела, заместитель главного бухгалтера, бухгалтер, бухгалтер-ревизор, экономист, экономист по бухгалтерскому учету и анализу хозяйственной деятельности, экономист вычислительного (информационно-вычислительного) центра, экономист по договорной и претензионной работе, экономист по финансовой работе, техник по планированию, счетовод, калькулятор, кассир, таксировщик, статистик, учетчикначальник финансового отдела, начальник планово-экономического отдела, заместитель главного бухгалтера, бухгалтер, бухгалтер-ревизор, экономист, экономист по бухгалтерскому учету и анализу хозяйственной деятельности, экономист вычислительного (информационно-вычислительного) центра, экономист по договорной и претензионной работе, экономист материально-технического снабжения, экономист по планированию, экономист по сбыту, экономист по труду, экономист по финансовой работе, техник по планированию, счетовод, калькулятор, кассир, таксировщик, статистик, учетчик, консультант по налогам и сборам, аудитор
2.Экономист по материально-техническому снабжениюэкономист по материально-техническому снабжению, начальник отдела материально-технического снабжения, заведующий складом, бухгалтер, бухгалтер-ревизор, экономист, экономист по бухгалтерскому учету и анализу хозяйственной деятельности, экономист вычислительного (информационно-вычислительного) центра, экономист по договорной и претензионной работе, экономист по планированию, экономист по сбыту, экономист по финансовой работе, товаровед, техник по планированию, счетовод, таксировщик, учетчик
3.Начальник отдела организации и оплаты труданачальник отдела организации и оплаты труда, начальник лаборатории (бюро) по организации труда и управления производством, начальник нормативно-исследовательской лаборатории по труду, начальник лаборатории (бюро) социологии труда, начальник отдела социального развития, экономист по труду, инженер по нормированию труда, инженер по организации и нормированию труда, инженер по организации труда, инструктор-дактилолог, техник по труду, социолог, нарядчик, хронометражист
4.Начальник отдела охраны труда, инженер по охране труда и технике безопасностиначальник отдела охраны труда, начальник отдела организации и оплаты труда, начальник лаборатории (бюро) по организации труда и управления производством, начальник нормативно-исследовательской лаборатории по труду, инженер по охране труда и технике безопасности, инженер
5.Начальник отдела кадров (спецотдела и др.), начальник отдела подготовки кадров, менеджер по персоналу, специалист по кадрам, инспектор по кадрам, инженер по подготовке кадровначальник отдела кадров (спецотдела и др.), начальник отдела подготовки кадров, менеджер по персоналу, специалист по кадрам, инспектор по кадрам, инженер по подготовке кадров, инструктор-дактилолог, профконсультант, юрисконсульт, табельщик
6.Начальник отдела социального развитияначальник отдела социального развития, начальник отдела кадров, начальник отдела подготовки кадров, начальник отдела организации и оплаты труда, начальник лаборатории (бюро) по организации труда и управления производством, начальник лаборатории (бюро) социологии труда, начальник отдела охраны труда, менеджер по персоналу, инженер по подготовке кадров, специалист по кадрам, инструктор-дактилолог, инспектор по кадрам, инженер по охране труда и технике безопасности, инженер по нормированию труда, инженер по организации и нормированию труда, инженер по организации труда, техник по труду, социолог
7.Профконсультантпрофконсультант, начальник отдела кадров, специалист по кадрам, инспектор по кадрам, менеджер по персоналу, психолог, социолог, инспектор центра занятости населения, инструктор-дактилолог
8.Начальник юридического отдела, юрисконсультначальник юридического отдела, юрисконсульт
9.Заведующий архивом, заведующий канцелярией, документовед, архивариус, делопроизводитель, инспектор по контролю за исполнением поручений, секретарь, секретарь-машинистка, секретарь-стенографистка, секретарь незрячего специалиста, секретарь руководителя, экспедиторзаведующий архивом, заведующий канцелярией, документовед, архивариус, делопроизводитель, инспектор по контролю за исполнением поручений, секретарь, секретарь-машинистка, секретарь-стенографистка, стенографистка, машинистка, секретарь незрячего специалиста, секретарь руководителя, паспортист, кодификатор, экспедитор
10.Заведующий машинописным бюро, заведующий копировально-множительным бюро, машинистказаведующий машинописным бюро, заведующий копировально-множительным бюро, машинистка, секретарь-машинистка, копировщик
11.Начальник отдела материально-технического снабжения, начальник хозяйственного отдела, заведующий складом, заведующий хозяйствомначальник отдела материально-технического снабжения, начальник хозяйственного отдела, заведующий складом, заведующий хозяйством, товаровед, агент, агент по закупкам, агент по снабжению, экономист по снабжению, товаровед, экспедитор по перевозке грузов
12.Заведующий общежитием, дежурный бюро пропусков, комендант, администраторзаведующий жилым корпусом пансионата (гостиницы), заведующий общежитием, заведующий бюро пропусков, заведующий комнатой отдыха, заведующий хозяйством, дежурный бюро пропусков, дежурный (по выдаче справок, залу, этажу гостиницы, комнате отдыха водителей автомобилей, общежитию и др.), комендант, администратор, заведующий камерой хранения
13.Начальник гаражаначальник гаража, начальник автоколонны, контролер пассажирского транспорта, оператор диспетчерской движения и погрузочно-разгрузочных работ, специалист по автотехнической экспертизе (эксперт-автотехник), эксперт дорожного хозяйства, водитель автотранспорта
14.Заведующий производством, заведующий столовойзаведующий производством, заведующий столовой, повар
15.Диспетчер, оператор диспетчерской службыдиспетчер, оператор диспетчерской службы, оператор диспетчерской движения и погрузочно-разгрузочных работ
16.Заведующий фотолабораториейзаведующий фотолабораторией, фотограф, художник-фотограф
17.Механик, инженер по ремонту, инженер-энергетик (энергетик)начальник ремонтного цеха, начальник (заведующий) мастерской, механик, инженер по ремонту, инженер-энергетик (энергетик), инженер
18.Инженер-программист (программист), техник-программист, математик, инспектор фонда, ассистент инспектора фонданачальник отдела автоматизированной системы управления производством, начальник отдела автоматизации и механизации производственных процессов, инженер-программист (программист), инженер по автоматизации и механизации производственных процессов, инженер по автоматизированным системам управления производством, инженер, математик, техник-программист, техник, инспектор фонда, ассистент инспектора фонда
19.Заведующий научно-технической библиотекой, начальник отдела информации, начальник отдела (лаборатории, сектора) по защите информации, инженер по научно-технической информации, инженер по защите информации, специалист по защите информации, техник по защите информациизаведующий научно-технической библиотекой, начальник отдела информации, начальник отдела научно-технической информации, начальник отдела (лаборатории, сектора) по защите информации, инженер по научно-технической информации, инженер по защите информации, инженер по патентной и изобретательской работе, инженер, специалист по защите информации, техник по защите информации, техник
20.Начальник лаборатории (бюро) технико-экономических исследований, начальник исследовательской лаборатории, начальник отдела информации, аналитикначальник лаборатории (бюро) технико-экономических исследований, начальник исследовательской лаборатории, начальник отдела информации, начальник отдела научно-технической информации, аналитик
21.Инженер-лаборант, техник-лаборант, лаборантначальник центральной заводской лаборатории, начальник производственной лаборатории (по контролю производства), инженер-лаборант, инженер, техник-лаборант, техник, лаборант
22.Техник по инструменту, техник-технологначальник производственного отдела, начальник технического отдела, начальник цеха опытного производства, начальник инструментального отдела, начальник отдела автоматизации и механизации производственных процессов, начальник отдела комплектации оборудования, начальник цеха (участка), мастер контрольный (участка, цеха), мастер участка, инженер, инженер по подготовке производства, инженер-технолог, инженер по автоматизации и механизации производственных процессов, инженер по инструменту, инженер по комплектации оборудования, инженер-конструктор (конструктор), инженер по организации управления производством, инженер по патентной и изобретательской работе, инженер по научно-технической информации, механик, техник, техник-конструктор, техник по инструменту, техник-технолог
23.Инженеринженер всех наименований, начальник производственного отдела, начальник технического отдела, начальник цеха опытного производства, начальник отдела автоматизации и механизации производственных процессов, начальник цеха (участка), начальник отдела капитального строительства, мастер участка, механик, техник, техник-конструктор, техник по инструменту, техник-технолог
24.Инженер-электроник (электроник), техник вычислительного (информационно-вычислительного) центраинженер-электроник (электроник), техник вычислительного (информационно-вычислительного) центра, инженер, инженер-программист (программист), техник-программист, техник
25.Копировщикчертежник, чертежник-конструктор, копировщик, художник
26.Психологпсихолог, медицинский психолог, педагог-психолог, профконсультант
27.Физиологфизиолог, биолог
28.Социологсоциолог, начальник лаборатории (бюро) социологии труда
29.Художникхудожники всех наименований, архитектор, чертежник
30.Архитекторхудожник-конструктор (дизайнер), чертежник-конструктор, чертежник
31.Переводчик-дактилолог, сурдопереводчикпереводчик-дактилолог, сурдопереводчик
32.Управляющий отделением (фермой, сельскохозяйственным участком)управляющий отделением (фермой, сельскохозяйственным участком), агроном, зоотехник
33.Директор (начальник, заведующий) филиала, другого обособленного структурного подразделениядолжности, отнесенные к профессиональным квалификационным группам должностей работников соответствующего вида экономической деятельности

4.6. Премиальные и иные поощрительные выплаты устанавливаются работникам за определенный период времени (месяц, квартал, год), а также единовременно в связи с юбилейными датами, получением знаков отличия, благодарственных писем, грамот, наград и по иным основаниям, установленным локальными актами и коллективными договорами образовательной организации Республики Татарстан.

4.6.1. Размеры, порядок и условия осуществления премиальных и иных поощрительных выплат определяются локальными актами образовательных организаций Республики Татарстан и коллективными договорами.

4.6.2. Рекомендуемый размер фонда оплаты труда, предусмотренного на премиальные выплаты работникам профессиональных квалификационных групп общеотраслевых профессий рабочих, рабочих культуры, искусства и кинематографии, общеотраслевых должностей руководителей, специалистов и служащих, составляет не менее 2 процентов фонда оплаты труда, предусмотренного на выплату окладов (ставок заработной платы, должностных окладов) и иных выплат стимулирующего характера работникам по основной должности и основному месту работы.

V. Выплаты компенсационного характера

5.1. К выплатам компенсационного характера в образовательных организациях Республики Татарстан относятся:

выплаты компенсационного характера работникам, занятым на работах с вредными и (или) опасными условиями труда;

выплаты компенсационного характера за работу в условиях, отклоняющихся от нормальных (при выполнении работ различной квалификации, совмещении профессий (должностей), сверхурочной работе, работе в ночное время и при выполнении работ в других условиях, отклоняющихся от нормальных).

5.2. Выплаты компенсационного характера работникам, занятым на работах с вредными и (или) опасными условиями труда, и за работу в условиях, отклоняющихся от нормальных (совмещение профессий (должностей), сверхурочная работа, работа в ночное время, расширение зон обслуживания, увеличение объема работы или исполнение обязанностей временно отсутствующего работника без освобождения от работы, определенной трудовым договором, работа в выходные и нерабочие праздничные дни), устанавливаются в соответствии с законодательством и в пределах утвержденного фонда оплаты труда образовательных организаций Республики Татарстан на соответствующий финансовый год.

Выплаты компенсационного характера, размеры и условия их осуществления устанавливаются коллективными договорами, соглашениями, локальными нормативными актами в соответствии с трудовым законодательством и иными нормативными правовыми актами, содержащими нормы трудового права, настоящим Положением.

5.2.1. Выплаты компенсационного характера работникам, занятым на работах с вредными и (или) опасными условиями труда (Bkh) рассчитываются по формуле:

,

где:

О - размер базового оклада работников профессиональных квалификационных групп общеотраслевых профессий рабочих, рабочих культуры, искусства и кинематографии, общеотраслевых должностей руководителей, специалистов и служащих образовательных организаций Республики Татарстан, принимаемый в соответствии с разделом II настоящего Положения;

Dkh - размер надбавки за выплату компенсационного характера, занятым на работах с вредными и (или) опасными условиями труда, определяемый в соответствии с Трудовым кодексом Российской Федерации.

Hfk - фактически отработанное время, по которому законодательством предусмотрены выплаты компенсационного характера;

HN - норма часов за ставку заработной платы (базовый оклад) общеотраслевых профессий рабочих, рабочих культуры, искусства и кинематографии, общеотраслевых должностей руководителей, специалистов и служащих, принимаемая в соответствии с Трудовым кодексом Российской Федерации.

Оплата труда работников, занятых на работах с вредными и (или) опасными условиями труда, устанавливается в повышенном размере по сравнению с окладами (должностными окладами), установленными для различных видов работ с нормальными условиями труда, на основании специальной оценки условий труда в размере 4 процентов.

5.3. Выплаты компенсационного характера за работу в условиях, отклоняющихся от нормальных, устанавливаются в следующих размерах:

каждый час работы в ночное время оплачивается в повышенном размере по сравнению с работой в нормальных условиях, но не ниже размеров, установленных трудовым законодательством и иными нормативными правовыми актами, содержащими нормы трудового права;

в случае привлечения работника к работе в установленный ему графиком выходной день или нерабочий праздничный день работа оплачивается не менее чем в двойном размере;

работникам, получающим должностной оклад, в размере не менее одинарной дневной или часовой базовой ставки сверх оклада, если работа в выходной и нерабочий праздничный день производилась в пределах месячной нормы рабочего времени, и в размере не менее двойной дневной или часовой ставки сверх базового оклада, если работа производилась сверх месячной нормы;

по желанию работника, работавшего в выходной или нерабочий праздничный день, ему может быть предоставлен другой день отдыха. В этом случае работа в нерабочий праздничный день оплачивается в одинарном размере, а день отдыха оплате не подлежит;

при совмещении профессий (должностей), расширении зон обслуживания, увеличении объема работы или исполнении обязанностей временно отсутствующего работника без освобождения от работы, определенной трудовым договором, работнику производится доплата, размер которой устанавливается по соглашению сторон трудового договора с учетом содержания и (или) объема дополнительной работы.

Приложение
к Положению
об условиях оплаты труда работников
профессиональных квалификационных групп
общеотраслевых профессий рабочих,
рабочих культуры, искусства
и кинематографии, общеотраслевых
должностей руководителей, специалистов
и служащих образовательных организаций
Республики Татарстан

ПЕРЕЧЕНЬ ПОЧЕТНЫХ ЗВАНИЙ РОССИЙСКОЙ ФЕДЕРАЦИИ, РЕСПУБЛИКИ ТАТАРСТАН, СОЮЗА СОВЕТСКИХ СОЦИАЛИСТИЧЕСКИХ РЕСПУБЛИК, СОЮЗНЫХ И АВТОНОМНЫХ РЕСПУБЛИК В СОСТАВЕ СОЮЗА СОВЕТСКИХ СОЦИАЛИСТИЧЕСКИХ РЕСПУБЛИК, ПО КОТОРЫМ ПРЕДОСТАВЛЯЮТСЯ ВЫПЛАТЫ СТИМУЛИРУЮЩЕГО ХАРАКТЕРА

(в ред. Постановления Кабинета министров Республики Татарстан от 24.06.2024 N 454)

N п/пНаименование почетного звания
12
1.Почетные звания Российской Федерации
1.1.Народный артист Российской Федерации
1.2.Народный художник Российской Федерации
1.3.Заслуженный агроном Российской Федерации
1.4.Заслуженный артист Российской Федерации
1.5.Заслуженный архитектор Российской Федерации
1.6.Заслуженный ветеринарный врач Российской Федерации
1.7.Заслуженный врач Российской Федерации
1.8.Заслуженный геолог Российской Федерации
1.9.Заслуженный деятель искусств Российской Федерации
1.10.Заслуженный деятель науки Российской Федерации
1.11.Заслуженный землеустроитель Российской Федерации
1.12.Заслуженный зоотехник Российской Федерации
1.13.Заслуженный изобретатель Российской Федерации
1.14.Заслуженный конструктор Российской Федерации
1.15.Заслуженный лесовод Российской Федерации
1.16.Заслуженный мастер производственного обучения Российской Федерации
1.17.Заслуженный машиностроитель Российской Федерации
1.18.Заслуженный мелиоратор Российской Федерации
1.19.Заслуженный металлург Российской Федерации
1.20.Заслуженный метеоролог Российской Федерации
1.21.Заслуженный метролог Российской Федерации
1.22.Заслуженный механизатор сельского хозяйства Российской Федерации
1.23.Заслуженный пилот Российской Федерации
1.24.Заслуженный работник бытового обслуживания населения Российской Федерации
1.25.Заслуженный работник высшей школы Российской Федерации
1.26.Заслуженный работник геодезии и картографии Российской Федерации
1.27.Заслуженный работник дипломатической службы Российской Федерации
1.28.Заслуженный работник жилищно-коммунального хозяйства Российской Федерации
1.29.Заслуженный работник здравоохранения Российской Федерации
1.30.Заслуженный работник культуры Российской Федерации
1.31.Заслуженный работник лесной промышленности Российской Федерации
1.32.Заслуженный работник нефтяной и газовой промышленности Российской Федерации
1.33.Заслуженный работник пищевой индустрии Российской Федерации
1.34.Заслуженный работник рыбного хозяйства Российской Федерации
1.35.Заслуженный работник связи Российской Федерации
1.36.Заслуженный работник сельского хозяйства Российской Федерации
1.37.Заслуженный работник социальной защиты населения Российской Федерации
1.38.Заслуженный работник текстильной и легкой промышленности Российской Федерации
1.39.Заслуженный работник торговли Российской Федерации
1.40.Заслуженный работник транспорта Российской Федерации
1.41.Заслуженный работник физической культуры Российской Федерации
1.42.Заслуженный рационализатор Российской Федерации
1.43.Заслуженный сотрудник органов внутренних дел Российской Федерации
1.44.Заслуженный спасатель Российской Федерации
1.45.Заслуженный строитель Российской Федерации
1.46.Заслуженный учитель Российской Федерации
1.47.Заслуженный химик Российской Федерации
1.48.Заслуженный художник Российской Федерации
1.49.Заслуженный шахтер Российской Федерации
1.50.Заслуженный штурман Российской Федерации
1.51.Заслуженный штурман-испытатель Российской Федерации
1.52.Заслуженный эколог Российской Федерации
1.53.Заслуженный экономист Российской Федерации
1.54.Заслуженный энергетик Российской Федерации
1.55.Заслуженный юрист Российской Федерации
2.Государственные награды Республики Татарстан
2.1.Почетная грамота Республики Татарстан
2.2.Народный артист Республики Татарстан
2.3.Народный писатель Республики Татарстан
2.4.Народный поэт Республики Татарстан
2.5.Народный учитель Республики Татарстан
2.6.Народный художник Республики Татарстан
2.7.Заслуженный агроном Республики Татарстан
2.8.Заслуженный артист Республики Татарстан
2.9.Заслуженный архитектор Республики Татарстан
2.10.Заслуженный ветеринарный врач Республики Татарстан
2.11.Заслуженный врач Республики Татарстан
2.12.Заслуженный геолог Республики Татарстан
2.13.Заслуженный деятель искусств Республики Татарстан
2.14.Заслуженный деятель науки Республики Татарстан
2.15.Заслуженный животновод Республики Татарстан
2.16.Заслуженный землеустроитель Республики Татарстан
2.17.Заслуженный зоотехник Республики Татарстан
2.18.Заслуженный изобретатель Республики Татарстан
2.19.Заслуженный лесовод Республики Татарстан
2.20.Заслуженный машиностроитель Республики Татарстан
2.21.Заслуженный мелиоратор Республики Татарстан
2.22.Заслуженный механизатор сельского хозяйства Республики Татарстан
2.23.Заслуженный нефтяник Республики Татарстан
2.24.Заслуженный работник высшей школы Республики Татарстан
2.25.Заслуженный работник жилищно-коммунального хозяйства Республики Татарстан
2.26.Заслуженный работник культуры Республики Татарстан
2.27.Заслуженный работник здравоохранения Республики Татарстан
2.28.Заслуженный работник легкой промышленности Республики Татарстан
2.29.Заслуженный работник пищевой промышленности Республики Татарстан
2.30.Заслуженный работник связи Республики Татарстан
2.31.Заслуженный работник сельского хозяйства Республики Татарстан
2.32.Заслуженный работник социальной защиты населения Республики Татарстан
2.33.Заслуженный работник сферы обслуживания населения Республики Татарстан
2.34.Заслуженный работник транспорта Республики Татарстан
2.35.Заслуженный работник физической культуры Республики Татарстан
2.36.Заслуженный рационализатор Республики Татарстан
2.37.Заслуженный сотрудник органов внутренних дел Республики Татарстан
2.38.Заслуженный спасатель Республики Татарстан
2.39.Заслуженный строитель Республики Татарстан
2.40.Заслуженный учитель Республики Татарстан
2.41.Заслуженный химик Республики Татарстан
2.42.Заслуженный эколог Республики Татарстан
2.43.Заслуженный экономист Республики Татарстан
2.44.Заслуженный энергетик Республики Татарстан
2.45.Заслуженный юрист Республики Татарстан
3.Почетные звания Союза Советских Социалистических Республик
3.1.Народный артист СССР
3.2.Народный художник СССР
3.3.Народный архитектор СССР
3.4.Заслуженный летчик-испытатель СССР
3.5.Заслуженный штурман-испытатель СССР
3.6.Народный врач СССР
3.7.Народный учитель СССР
3.8.Заслуженный мастер спорта СССР
3.9.Заслуженный тренер СССР
3.10.Заслуженный изобретатель СССР
3.11.Заслуженный работник сельского хозяйства СССР
3.12.Заслуженный работник промышленности СССР
3.13.Заслуженный строитель СССР
3.14.Заслуженный работник транспорта СССР
3.15.Заслуженный работник связи СССР
3.16.Заслуженный специалист Вооруженных Сил СССР
4.Почетные звания союзных республик в составе Союза Советских Социалистических Республик
4.1.Заслуженный работник промышленности
4.2.Заслуженный энергетик
4.3.Заслуженный нефтяник
4.4.Мастер нефти
4.5.Заслуженный работник газовой промышленности
4.6.Заслуженный работник нефтяной и газовой промышленности
4.7.Заслуженный шахтер
4.8.Заслуженный химик
4.9.Заслуженный машиностроитель
4.10.Заслуженный работник лесной промышленности
4.11.Заслуженный работник пищевой индустрии
4.12.Заслуженный работник рыбного хозяйства
4.13.Заслуженный рыбак
4.14.Заслуженный рыбовод
4.15.Заслуженный полиграфист
4.16.Заслуженный работник сельского хозяйства
4.17.Заслуженный мастер земледелия
4.18.Заслуженный агроном
4.19.Заслуженный инженер сельского хозяйства
4.20.Заслуженный зоотехник
4.21.Заслуженный работник животноводства
4.22.Заслуженный животновод
4.23.Заслуженный мастер животноводства
4.24.Мастер животноводства
4.25.Заслуженный землеустроитель
4.26.Заслуженный механизатор сельского хозяйства
4.27.Заслуженный механизатор
4.28.Мастер машинной уборки хлеба
4.29.Заслуженный ирригатор
4.30.Заслуженный мелиоратор
4.31.Заслуженный гидротехник
4.32.Заслуженный ветеринарный врач
4.33.Заслуженный лесовод
4.34.Заслуженный работник охраны природы
4.35.Заслуженный работник транспорта
4.36.Заслуженный работник автотранспорта
4.37.Заслуженный связист
4.38.Заслуженный работник связи
4.39.Заслуженный строитель
4.40.Заслуженный работник торговли и общественного питания
4.41.Заслуженный работник торговли
4.42.Заслуженный работник торговли и бытового обслуживания
4.43.Заслуженный работник бытового обслуживания населения
4.44.Заслуженный работник службы быта
4.45.Заслуженный работник коммунального хозяйства
4.46.Заслуженный работник жилищно-коммунального хозяйства
4.47.Заслуженный работник коммунального и бытового обслуживания населения
4.48.Заслуженный работник коммунально-бытовой службы
4.49.Народный врач
4.50.Заслуженный работник здравоохранения
4.51.Заслуженный врач
4.52.Заслуженный провизор
4.53.Заслуженный фармацевт
4.54.Заслуженный деятель физкультуры и спорта
4.55.Заслуженный деятель спорта
4.56.Заслуженный деятель физической культуры
4.57.Заслуженный работник физической культуры и спорта
4.58.Заслуженный тренер
4.59.Заслуженный работник социального обеспечения
4.60.Заслуженный учитель школы
4.61.Заслуженный учитель
4.62.Заслуженный учитель профессионально-технического образования
4.63.Заслуженный мастер профессионально-технического образования
4.64.Заслуженный работник профессионально-технического образования
4.65.Заслуженный преподаватель
4.66.Заслуженный работник высшей школы
4.67.Заслуженный работник народного образования
4.68.Заслуженный деятель высшей школы
4.69.Заслуженный пропагандист
4.70.Народный артист
4.71.Заслуженный артист
4.72.Заслуженный деятель искусств
4.73.Народный художник
4.74.Заслуженный художник
4.75.Народный писатель
4.76.Заслуженный писатель
4.77.Народный поэт
4.78.Народный певец
4.79.Народный акын
4.80.Заслуженный журналист
4.81.Заслуженный деятель культуры
4.82.Заслуженный работник культурно-просветительной работы
4.83.Заслуженный работник культуры
4.84.Заслуженный архитектор
4.85.Заслуженный библиотекарь
4.86.Заслуженная ковровщица
4.87.Мастер прикладного искусства
4.88.Заслуженный мастер народного творчества
4.89.Заслуженный деятель науки и техники
4.90.Заслуженный деятель науки
4.91.Заслуженный геолог
4.92.Заслуженный геолог-разведчик
4.93.Заслуженный работник геологии
4.94.Заслуженный работник геологической службы
4.95.Заслуженный работник геодезии и картографии
4.96.Заслуженный юрист
4.97.Заслуженный инженер
4.98.Заслуженный изобретатель
4.99.Заслуженный рационализатор
4.100.Заслуженный мастер
4.101.Заслуженный экономист
4.102.Заслуженный бухгалтер
4.103.Заслуженный наставник (работающей, рабочей) молодежи
5.Почетные звания автономных республик в составе Союза Советских Социалистических Республик
5.1.Заслуженный работник промышленности
5.2.Заслуженный химик
5.3.Заслуженный машиностроитель
5.4.Заслуженный работник целлюлозно-бумажной и деревообрабатывающей промышленности
5.5.Заслуженный работник лесной промышленности
5.6.Заслуженный работник медицинской промышленности
5.7.Заслуженный медицинский работник
5.8.Заслуженный работник сельского хозяйства
5.9.Заслуженный агроном
5.10.Заслуженный полевод
5.11.Заслуженный зоотехник
5.12.Заслуженный животновод
5.13.Заслуженный землеустроитель
5.14.Заслуженный механизатор сельского хозяйства
5.15.Заслуженный механизатор
5.16.Мастер машинной уборки хлеба
5.17.Заслуженный мелиоратор
5.18.Заслуженный ветеринарный врач
5.19.Заслуженный лесовод
5.20.Заслуженный работник транспорта
5.21.Заслуженный шофер
5.22.Заслуженный водитель
5.23.Заслуженный связист
5.24.Заслуженный работник связи
5.25.Заслуженный строитель
5.26.Заслуженный работник торговли и общественного питания
5.27.Заслуженный работник торговли
5.28.Заслуженный работник бытового обслуживания населения
5.29.Заслуженный работник службы быта
5.30.Заслуженный работник жилищно-коммунального хозяйства
5.31.Заслуженный работник здравоохранения
5.32.Заслуженный врач
5.33.Заслуженный провизор
5.34.Заслуженный деятель физкультуры и спорта
5.35.Заслуженный работник физической культуры и спорта
5.36.Заслуженный деятель школы
5.37.Заслуженный учитель школы
5.38.Заслуженный учитель профессионально-технического образования
5.39.Заслуженный мастер профессионально-технического образования
5.40.Заслуженный работник профессионально-технического образования
5.41.Заслуженный работник высшей школы
5.42.Народный артист
5.43.Заслуженный артист
5.44.Заслуженный деятель искусств
5.45.Народный художник
5.46.Заслуженный художник
5.47.Народный писатель
5.48.Заслуженный писатель
5.49.Народный поэт
5.50.Заслуженный журналист
5.51.Заслуженный работник культуры
5.52.Заслуженный библиотекарь
5.53.Заслуженный деятель науки и культуры
5.54.Заслуженный деятель науки и техники
5.55.Заслуженный деятель науки
5.56.Заслуженный геолог
5.57.Заслуженный юрист
5.58.Заслуженный работник милиции
5.59.Заслуженный техник
5.60.Заслуженный инженер
5.61.Заслуженный изобретатель
5.62.Заслуженный рационализатор
5.63.Заслуженный экономист
5.64.Заслуженный бухгалтер
5.65.Заслуженный работник народного хозяйства
5.66.Заслуженный рационализатор и изобретатель

УТВЕРЖДЕНО
постановлением
Кабинета Министров
Республики Татарстан
от 31.05.2018 N 412

ПОЛОЖЕНИЕ ОБ УСЛОВИЯХ ОПЛАТЫ ТРУДА РАБОТНИКОВ ГОСУДАРСТВЕННЫХ ОБРАЗОВАТЕЛЬНЫХ ОРГАНИЗАЦИЙ ВЫСШЕГО ОБРАЗОВАНИЯ, ОСУЩЕСТВЛЯЮЩИХ ОБРАЗОВАТЕЛЬНУЮ ДЕЯТЕЛЬНОСТЬ ПО РЕАЛИЗАЦИИ ОБРАЗОВАТЕЛЬНЫХ ПРОГРАММ ВЫСШЕГО ОБРАЗОВАНИЯ - ПРОГРАММ БАКАЛАВРИАТА, ПРОГРАММ СПЕЦИАЛИТЕТА, ПРОГРАММ МАГИСТРАТУРЫ, И ОРГАНИЗАЦИЙ ДОПОЛНИТЕЛЬНОГО ПРОФЕССИОНАЛЬНОГО ОБРАЗОВАНИЯ РЕСПУБЛИКИ ТАТАРСТАН

(в ред. Постановлений Кабинета министров Республики Татарстан от 24.06.2024 N 454, от 25.09.2024 N 830, от 21.04.2025 N 252)

I. Общие положения

1.1. Настоящее Положение определяет порядок формирования окладов работников государственных образовательных организаций высшего образования, осуществляющих образовательную деятельность по реализации образовательных программ высшего образования - программ бакалавриата, программ специалитета, программ магистратуры, и организаций дополнительного профессионального образования Республики Татарстан (далее - организации высшего и дополнительного профессионального образования), условия и размеры выплат компенсационного и стимулирующего характера, а также критерии их установления.

1.2. В настоящем Положении используются следующие основные понятия:

система оплаты труда - совокупность норм, определяющих условия и размеры оплаты труда работников, включая размеры базовых (должностных окладов), а также выплаты компенсационного и стимулирующего характера, установленные в соответствии с федеральным законодательством и законодательством Республики Татарстан;

базовый оклад - оклад работника организации высшего и дополнительного профессионального образования, установленные ему за исполнение трудовых (должностных) обязанностей за календарный месяц либо за норму труда (норму часов педагогической работы в неделю (в год) за ставку заработной платы) в зависимости от сложности выполняемых работ без учета выплат стимулирующего и компенсационного характера;

должностной оклад - фиксированный размер оплаты труда работника за исполнение трудовых (должностных) обязанностей определенной сложности за календарный месяц за фактически отработанное время без учета выплат компенсационного и стимулирующего характера;

заработная плата (оплата труда работника) - вознаграждение за труд в зависимости от квалификации работника, сложности, количества, качества и условий выполняемой работы, а также выплат компенсационного и стимулирующего характера;

выплаты компенсационного характера - доплаты и надбавки компенсационного характера, в том числе за работу в условиях, отклоняющихся от нормальных, и иные выплаты компенсационного характера;

выплаты стимулирующего характера - доплаты и надбавки стимулирующего характера, премии и иные поощрительные выплаты.

1.3. Заработная плата (оплата труда работника) работников профессиональных квалификационных групп должностей работников высшего и дополнительного профессионального образования, профессиональных квалификационных групп должностей работников сферы научных исследований и разработок, профессиональных квалификационных групп должностей работников культуры, искусства и кинематографии (далее - работники высшего образования, научные работники, работники культуры) организаций высшего и дополнительного профессионального образования определяется исходя из:

должностных окладов;

выплат стимулирующего характера;

выплат компенсационного характера.

1.4. При наступлении у работника права на изменение размера оплаты труда в связи с увеличением стажа работы по профилю, с присвоением квалификационной категории, с присвоением почетного звания, награждением ведомственными знаками отличия, присуждением ученой степени доктора наук или кандидата наук, в период пребывания в ежегодном или ином отпуске, в период его временной нетрудоспособности, а также в другие периоды, в течение которых за ним сохраняется средняя заработная плата, изменения размера оплаты его труда осуществляются по окончании указанных периодов.

1.5. Руководители организаций высшего и дополнительного профессионального образования:

проверяют документы об образовании и стаже педагогической работы (работы по специальности в определенной должности) на соответствие квалификационным характеристикам, которые определены приказом Министерства здравоохранения и социального развития Российской Федерации от 26 августа 2010 г. N 761н "Об утверждении Единого квалификационного справочника должностей руководителей, специалистов и служащих, раздел "Квалификационные характеристики должностей работников образования";

ежегодно составляют и утверждают на работников организаций высшего и дополнительного профессионального образования тарификационные списки;

несут ответственность за своевременное и правильное определение размеров заработной платы работников организаций высшего и дополнительного профессионального образования.

II. Определение базовых окладов работников организаций высшего и дополнительного профессионального образования (в ред. Постановления Кабинета министров Республики Татарстан от 21.04.2025 N 252)

2.1. Базовые оклады работников профессиональных квалификационных групп должностей работников высшего и дополнительного профессионального образования устанавливаются в следующих размерах:

Квалификационный уровеньНаименование должностиРазмер базового оклада в месяц, рублей
123
Профессиональная квалификационная группа должностей работников административно-хозяйственного и учебно-вспомогательного персонала
Первый квалификационный уровеньДиспетчер факультета29 910
Специалист по учебно-методической работе
Учебный мастер
Второй квалификационный уровеньСпециалист по учебно-методической работе II категории30 510
Старший диспетчер факультета
Учебный мастер II категории
Третий квалификационный уровеньСпециалист по учебно-методической работе I категории31 510
Тьютор
Учебный мастер I категории
Профессиональная квалификационная группа должностей профессорско-преподавательского состава и руководителей структурных подразделений
Профессорско-преподавательский состав
Первый квалификационный уровеньАссистент38 200
Преподаватель
Второй квалификационный уровеньСтарший преподаватель38 250
Третий квалификационный уровеньДоцент43 850
Четвертый квалификационный уровеньПрофессор58 500
Пятый квалификационный уровеньЗаведующий кафедрой58 900
Шестой квалификационный уровеньДекан факультета59 200
Руководители структурных подразделений
Первый квалификационный уровеньНачальник (директор, заведующий, руководитель): кабинета, лаборатории, отдела, отделения, питомника, подготовительных курсов (отделения), студенческого бюро, учебного вивария, учебной (учебно-производственной) мастерской, учебной станции (базы) и других подразделений (кроме должностей руководителей структурных подразделений, отнесенных ко второму - пятому квалификационным уровням)38 200
Помощник проректора
Помощник ректора
Руководитель (заведующий) учебной (производственной, учебно-производственной) практики
Ученый секретарь совета факультета (института)
Второй квалификационный уровеньНачальник (директор, заведующий, руководитель): второго управления, межкафедральной (межфакультетной) учебной лаборатории, структурного подразделения, реализующего общеобразовательные программы, студенческого дворца культуры, студенческого общежития, управления безопасности, управления охраны труда и техники безопасности38 250
Начальник (заведующий) отдела: аспирантуры (адъюнктуры), докторантуры, интернатуры, магистратуры, ординатуры, учебного (учебно-методического, методического), международных связей
Третий квалификационный уровеньНачальник (директор, заведующий, руководитель): издательства учебной литературы и учебно-методических пособий для студентов, лесхоза, структурного подразделения, реализующего образовательные программы начального профессионального и (или) среднего профессионального образования, учебного ботанического сада (дендрария), учебно-методического (учебно-производственного, учебно-научного, экспериментального) центра, учебной обсерватории, учебно-опытного поля, учебной типографии, учебной художественной мастерской, учебной теле-, фото-, киностудии и других учебных подразделений43 850
Начальник управления: аспирантуры (адъюнктуры), докторантуры, интернатуры, кадров, магистратуры, международных связей, ординатуры, учебного (учебно-методического), экономического (финансово-экономического, финансового), юридического (правового)
Начальник управления охраны труда и техники безопасности (при наличии в образовательной организации высшего образования объектов производственной инфраструктуры и (или) научно-исследовательских подразделений, вычислительного центра)
Советник при ректорате
Ученый секретарь совета учреждения
Четвертый квалификационный уровеньНачальник управления образовательной организации высшего образования, имеющего в своем составе институт и (или) научно-исследовательский институт, опытно-производственные (экспериментальные) подразделения: экономическое, финансово-экономическое, финансовое, юридическое (правовое)58 500
Пятый квалификационный уровеньДиректор (руководитель) обособленного структурного подразделения58 900
Шестой квалификационный уровеньДиректор (руководитель): филиала, института, являющегося структурным подразделением образовательной организации59 200

2.2. Базовые оклады работников профессиональных квалификационных групп должностей работников сферы научных исследований и разработок устанавливаются в следующих размерах:

Квалификационный уровеньНаименование должностиРазмер базового оклада в месяц, рублей
123
Профессиональная квалификационная группа должностей научных работников сферы научных исследований и руководителей структурных подразделений
Первый квалификационный уровеньМладший научный сотрудник25 400
Научный сотрудник
Второй квалификационный уровеньСтарший научный сотрудник26 100
Третий квалификационный уровеньВедущий научный сотрудник26 800
Четвертый квалификационный уровеньГлавный научный сотрудник, заведующий (начальник) научно-исследовательским (конструкторским), экспертным отделом (лабораторией, отделением, сектором); ученый секретарь27 500

2.3. Базовые оклады работников профессиональных квалификационных групп должностей работников культуры, искусства и кинематографии устанавливаются в следующих размерах:

Наименование должностиРазмер базового оклада в месяц, рублей
Профессиональная квалификационная группа "Должности работников культуры, искусства и кинематографии ведущего звена"
Библиотекарь25 450
Ведущий библиотекарь
Главный библиотекарь
Профессиональная квалификационная группа "Должности руководящего состава учреждений культуры, искусства и кинематографии"
Заведующий отделом (сектором) библиотеки26 650

III. Норма часов за ставку заработной платы работников организаций высшего и дополнительного профессионального образования

3.1. Норма часов педагогической (преподавательской) работы за ставку заработной платы либо продолжительность рабочего времени определена приказом Министерства образования и науки Российской Федерации от 22 декабря 2014 г. N 1601 "О продолжительности рабочего времени (нормах часов педагогической работы за ставку заработной платы) педагогических работников и о Порядке определения учебной нагрузки педагогических работников, оговариваемой в трудовом договоре".

Продолжительность рабочего времени (нормы часов работы за ставку заработной платы) работников профессиональных квалификационных групп должностей работников культуры, искусства и кинематографии определяется Трудовым кодексом Российской Федерации.

IV. Порядок формирования должностных окладов работников организаций высшего и дополнительного профессионального образования

4.1. Должностной оклад работников организаций высшего и дополнительного профессионального образования (Od) рассчитывается по формуле:

,

где:

Ob - размер базового оклада, принимаемый в соответствии с разделом II настоящего Положения;

Hf- фактическое количество часов работы в организациях высшего и дополнительного профессионального образования;

HN - норма часов за ставку заработной платы работников организаций высшего и дополнительного профессионального образования, установленная разделом III настоящего Положения;

К - повышающий коэффициент приоритета отрасли для работников государственных образовательных организаций высшего образования, осуществляющих образовательную деятельность по реализации образовательных программ высшего образования - программ бакалавриата, программ специалитета, программ магистратуры, входящих в профессиональную квалификационную группу должностей работников административно-хозяйственного и учебно-вспомогательного персонала, профессорско-преподавательского состава и руководителей структурных подразделений, принимаемый равным 1,5, в профессиональные квалификационные группы должностей работников культуры, искусства и кинематографии, принимаемый равным 1,25, для работников государственного образовательного учреждения дополнительного профессионального образования "Институт развития образования Республики Татарстан", входящих в профессиональные квалификационные группы должностей работников сферы научных исследований и разработок, принимаемый равным 2;

Р - компенсация на обеспечение книгоиздательской продукцией и периодическими изданиями в размере 150 рублей устанавливается работникам должностей профессорско-преподавательского состава профессиональной квалификационной группы должностей профессорско-преподавательского состава и руководителей структурных подразделений пропорционально фактически отработанному времени (ставке), но не более чем на одну ставку по основному месту работы и основной должности;

N - надбавка за наличие ученой степени устанавливается пропорционально фактически отработанному времени (ставке), но не более чем на одну ставку.

Надбавка за наличие ученой степени предоставляется работникам должностей профессорско-преподавательского состава профессиональной квалификационной группы должностей профессорско-преподавательского состава и руководителей структурных подразделений, должностей научных работников профессиональной квалификационной группы должностей работников сферы научных исследований и разработок и составляет:

для работников, имеющих ученую степень кандидата наук по отрасли науки, согласно номенклатуре специальностей научных работников - 3 000 рублей;

для работников, имеющих ученую степень доктора наук по отрасли науки, согласно номенклатуре специальностей научных работников - 7 000 рублей.

V. Выплаты стимулирующего характера

5.1. К выплатам стимулирующего характера относятся выплаты, направленные на стимулирование работника к эффективному результату труда, а также на поощрение за выполненную работу.

Выплаты стимулирующего характера включают в себя:

выплаты за квалификационную категорию;

выплаты за наличие почетных званий, ведомственных наград;

выплаты за стаж работы по профилю;

выплаты за качество выполняемых работ;

премиальные и иные поощрительные выплаты.

5.2. Размеры и порядок установления выплат стимулирующего характера работникам профессиональных квалификационных групп должностей работников высшего и дополнительного профессионального образования, должностей работников сферы научных исследований и разработок организаций высшего и дополнительного профессионального образования:

5.2.1. Выплаты за квалификационную категорию (Bkk) предоставляются работникам профессиональных квалификационных групп должностей работников учебно-вспомогательного персонала при наличии у них действующей квалификационной категории в пределах срока действия квалификационной категории и рассчитываются по формуле:

,

где:

Od - должностной оклад работников организаций высшего и дополнительного профессионального образования, принимаемый в соответствии с разделом IV настоящего Положения;

Dkk - размер надбавки за квалификационную категорию.

Размеры надбавок за квалификационную категорию приведены в таблице 1.

Таблица 1

Размеры надбавок за квалификационную категорию работникам профессиональной квалификационной группы должностей работников учебно-вспомогательного персонала

Квалификационный уровеньКвалификационная категорияРазмер надбавки, процентов
22-я квалификационная категория4,5
1-я квалификационная категория7,5
32-я квалификационная категория6,0
1 -я квалификационная категория8,5

Установление (изменение) выплат за квалификационную категорию производится согласно приказу органа (организации), при котором (которой) создана аттестационная комиссия, со дня вынесения решения аттестационной комиссией.

5.2.2. Выплаты за наличие почетных званий, ведомственных наград (Bpz) предоставляются работникам профессиональных квалификационных групп должностей работников высшего и дополнительного профессионального образования, должностей работников сферы научных исследований и разработок и рассчитываются по формуле:

,

где:

Od - должностной оклад работников организаций высшего и дополнительного профессионального образования, принимаемый в соответствии с разделом IV настоящего Положения;

Dpz - размер надбавки за наличие почетных званий, ведомственных наград.

Размер надбавки за наличие почетных званий Республики Татарстан, почетных званий автономных республик в составе Союза Советских Социалистических Республик составляет 6 процентов.

Размер надбавки за наличие почетных званий Российской Федерации, почетных званий Союза Советских Социалистических Республик, почетных званий союзных республик в составе Союза Советских Социалистических Республик составляет 7 процентов.

Размер надбавки за наличие ведомственных наград Российской Федерации, ведомственных наград Союза Советских Социалистических Республик, ведомственных наград Российской Советской Федеративной Социалистической Республики составляет 4 процента.

Перечень почетных званий, ведомственных наград Российской Федерации, Республики Татарстан, Союза Советских Социалистических Республик, союзных и автономных республик в составе Союза Советских Социалистических Республик, за наличие которых работникам профессиональных квалификационных групп должностей

работников высшего и дополнительного профессионального образования, должностей работников сферы научных исследований и разработок предоставляются выплаты, приведен в приложении к настоящему Положению.

Установление размеров выплат за наличие почетных званий, ведомственных наград производится со дня присвоения почетных званий, ведомственных наград. Работникам, имеющим два и более почетных звания и (или) две и более ведомственные награды, выплата устанавливается по одному из оснований по выбору работника.

5.2.3. Выплаты за стаж работы по профилю (Bs) устанавливаются по профессиональным квалификационным группам в зависимости от продолжительности работы по профилю и рассчитываются по формуле:

,

где:

Od - должностной оклад работников организаций высшего и дополнительного профессионального образования, принимаемый в соответствии с разделом IV настоящего Положения;

Ds - размер надбавки за стаж работы по профилю.

Размеры надбавок за стаж работы в организации высшего и дополнительного профессионального образования приведены в таблице 2.

Таблица 2

Размеры надбавок за стаж работы по профилю

Наименование профессиональной квалификационной группыСтажевая группаРазмер надбавки, процентов
Профессиональная квалификационная группа должностей работников административно-хозяйственного и учебно-вспомогательного персоналаот 2 до 6 лет3,0
от 6 до 10 лет4,5
от 10 до 15 лет5,5
свыше 15 лет6,5

Установление (изменение) размеров выплат за стаж работы по профилю при изменении стажа работы производится со дня достижения стажа, дающего право на увеличение размера выплаты за стаж работы по профилю, если документы, подтверждающие стаж, находятся в организации высшего и дополнительного профессионального образования, или со дня представления необходимого документа, подтверждающего стаж.

5.3. Размеры и порядок установления выплат стимулирующего характера работников профессиональных квалификационных групп должностей работников культуры, искусства и кинематографии организаций высшего и дополнительного профессионального образования:

5.3.1. Выплаты за квалификационную категорию (Bkk) предоставляются работникам, занятым по специальностям, предусматривающим в соответствии с тарифно-квалификационными характеристиками присвоение квалификационных категорий по итогам аттестации в разрезе профессионально-квалификационных групп. Выплаты за квалификационную категорию рассчитываются по формуле:

,

где:

Od - должностной оклад работников организаций высшего и дополнительного профессионального образования, принимаемый в соответствии с разделом IV настоящего Положения;

Dkk - размер надбавки за квалификационную категорию, который приведен в таблице 3.

Изменение (установление) выплат за квалификационную категорию производится согласно дате приказа органа (организации), при котором создана аттестационная комиссия.

Таблица 3

Размеры надбавок за квалификационную категорию

Квалификационная категорияРазмер надбавки, процентов
Профессиональная квалификационная группа "Должности работников культуры, искусства и кинематографии ведущего звена"
Первая квалификационная категория7,5
Высшая квалификационная категория12,5

5.3.2. Выплаты за наличие почетных званий, ведомственных наград предоставляются работникам культуры, входящим в профессиональные квалификационные группы должностей работников культуры, искусства и кинематографии (Bpz), и рассчитываются по формуле:

,

где:

Od - должностной оклад работников организаций высшего и дополнительного профессионального образования, принимаемый в соответствии с разделом IV настоящего Положения;

Dpz - размер надбавки за наличие почетных званий, ведомственных наград.

Размер надбавки за наличие почетных званий Республики Татарстан, почетных званий автономных республик в составе Союза Советских Социалистических Республик составляет 6 процентов.

Размер надбавки за наличие почетных званий Российской Федерации, почетных званий Союза Советских Социалистических Республик, почетных званий союзных республик в составе Союза Советских Социалистических Республик составляет 7 процентов.

Размер надбавки за наличие ведомственных наград Российской Федерации, ведомственных наград Союза Советских Социалистических Республик, ведомственных наград Российской Советской Федеративной Социалистической Республики составляет 4 процента.

Перечень почетных званий, ведомственных наград, за наличие которых работникам культуры, искусства и кинематографии предоставляются выплаты, приведен в приложении к настоящему Положению.

Установление размеров выплат за наличие почетных званий, ведомственных наград производится со дня присвоения почетных званий, ведомственных наград. Работникам, имеющим два и более почетных звания и (или) две и более ведомственные награды, выплата устанавливается по одному из оснований по выбору работника.

5.3.3. Выплаты за стаж работы по профилю (Bs) устанавливаются по группам по стажу в разрезе профессиональных квалификационных групп в зависимости от продолжительности работы по профилю и рассчитываются по формуле:

,

где:

Od - должностной оклад работников организаций высшего и дополнительного профессионального образования, принимаемый в соответствии с разделом IV настоящего Положения;

Ds - размер надбавки за стаж работы по профилю, который приведен в таблице 4.

Таблица 4

Размеры надбавок за стаж работы по профилю

Наименование профессиональных квалификационной группыГруппа по стажуРазмер надбавки, процентов
Профессиональная квалификационная группа должностей работников культуры, искусства и кинематографии ведущего звенаот 3 до 6 лет1,5
от 6 до 10 лет3,5
от 10 до 15 лет5,0
свыше 15 лет6,5

Установление (изменение) размеров выплат за стаж работы по профилю при изменении стажа работы производится со дня достижения стажа, дающего право на увеличение размера выплат за стаж работы по профилю, если документы, подтверждающие стаж, находятся в организации, или со дня представления необходимого документа, подтверждающего стаж.

5.4. Премиальные и иные поощрительные выплаты устанавливаются организаций высшего и дополнительного профессионального образования по основному месту работы и основной должности единовременно за определенный период времени (месяц, квартал, год) в связи с юбилейными датами, получением знаков отличия, благодарственных писем, грамот, наград, званий, ведомственных наград и по иным основаниям, установленным локальными нормативными актами и коллективными договорами организации высшего и дополнительного профессионального образования.

Размеры, порядок и условия осуществления премиальных и иных поощрительных выплат по итогам работы определяются локальными нормативными актами организации высшего и дополнительного профессионального образования и коллективными договорами.

Размер фонда оплаты труда, предусмотренного на премиальные выплаты работникам организаций высшего и дополнительного профессионального образования, составляет не менее 2 процентов фонда оплаты труда, предусмотренного на выплату окладов (ставок заработной платы, должностных окладов), выплат стимулирующего характера и выплаты за заведование факультетом (филиалом, институтом, являющимся структурным подразделением образовательной организации), кафедрой, отделом (лабораторией, иным структурным подразделением), работникам по основному месту работы и основной должности.

5.4.1. В целях повышения эффективности деятельности работников организаций высшего и дополнительного профессионального образования и сохранения достигнутого уровня целевых показателей, установленных Указом Президента Российской Федерации от 7 мая 2012 года N 597 "О мероприятиях по реализации государственной социальной политики", работникам, занимающим профессиональные квалификационные группы должностей профессорско-преподавательского состава, по основному месту работы и основной должности при наличии средств производится единовременная поощрительная выплата. Порядок, условия и конкретный размер выплаты в указанных целях устанавливаются локальными нормативными актами организаций высшего и дополнительного профессионального образования.

5.5. Размеры и порядок установления выплат за качество выполняемых работ работникам организаций высшего и дополнительного профессионального образования:

5.5.1. Выплаты за качество выполняемых работ устанавливаются работникам организаций высшего и дополнительного профессионального образования по основному месту работы по результатам труда за определенный период времени. Основным критерием, влияющим на размер выплат за качество выполняемых работ, является достижение пороговых значений критериев оценки эффективности деятельности работников организации высшего и дополнительного профессионального образования.

5.5.2. Критерии оценки эффективности деятельности работников организации высшего и дополнительного профессионального образования утверждаются ее руководителем по согласованию с органом, обеспечивающим государственно-общественный характер управления организацией высшего и дополнительного профессионального образования. Конкретные значения критериев оценки эффективности деятельности работников организации и условия осуществления выплат определяются ежегодно исходя из задач, стоящих перед организацией высшего и дополнительного профессионального образования.

5.5.3. Размеры, порядок и условия осуществления выплат за качество выполняемых работ определяются локальными нормативными актами организации и коллективными договорами.

5.5.4. Выплаты за качество выполняемых работ () рассчитываются по формуле:

,

где:

FOTk - фонд оплаты труда, предусмотренный на выплаты за качество выполняемых работ;

Iij - отнормированный i-й критерий оценки эффективности деятельности по j-му работнику;

Ki - весовой коэффициент i-ro критерия оценки эффективности деятельности;

n - количество критериев оценки эффективности деятельности;

m - численность работников организаций высшего и дополнительного профессионального образования.

5.5.5. Нормирование критериев эффективности деятельности обеспечивает сопоставимость критериев эффективности различной размерности. Нормирование заключается в выборе диапазона значений критерия эффективности деятельности (наилучшее и наихудшее), одно из которых соответствует нулевому значению отнормированного критерия, другое - единичному. При нахождении фактического значения критерия эффективности в пределах диапазона значений критерия эффективности деятельности отнормированный критерий эффективности деятельности принимает значения от 0 до 1. При фактическом значении критерия эффективности ниже наихудшего значения значение отнормированного критерия принимается равным О, при значении критерия эффективности выше наилучшего - 1.

5.5.6. Зависимость значения отнормированного критерия эффективности деятельности от значения критерия эффективности деятельности может быть прямой (положительная динамика определяется увеличением значения критерия) и обратной (положительная динамика определяется уменьшением значения критерия).

5.5.7. Отнормированный критерий при прямой зависимости его значения от значения критерия (Ii) рассчитывается по формуле:

,

где:

FIi - фактическое значение критерия эффективности деятельности;

Li - наихудшее значение критерия эффективности деятельности;

Mi - наилучшее значение критерия эффективности деятельности.

5.5.8. Отнормированный критерий эффективности деятельности при обратной зависимости его значения от значения критерия (Ii) рассчитывается по формуле:

,

где:

FIi - фактическое значение критерия эффективности деятельности;

Mi - наилучшее значение критерия эффективности деятельности;

Li - наихудшее значение критерия эффективности деятельности.

5.5.9. Весовыми коэффициентами определяется степень приоритетности критерия эффективности деятельности. Наиболее приоритетному критерию присваивается наибольший коэффициент. Весовой коэффициент (Ki) рассчитывается по формуле:

,

где:

VKi - весовой коэффициент i-ro критерия оценки эффективности деятельности.

5.5.10. Предельный совокупный размер весовых коэффициентов по критериям эффективности деятельности работников приведен в таблицах 5,6.

Таблица 5

Предельный совокупный размер весовых коэффициентов по критериям эффективности деятельности работников профессиональных квалификационных групп должностей работников высшего и дополнительного профессионального образования, групп должностей работников сферы научных исследований и разработок организаций высшего и дополнительного профессионального образования

N п/пНаименование должностиПредельный совокупный размер весовых коэффициентов
123
Профессиональная квалификационная группа должностей работников административно-хозяйственного и учебно-вспомогательного персонала
Первый квалификационный уровень
1.1.Диспетчер факультета40
1.2.Специалист по учебно-методической работе40
1.3.Учебный мастер40
Второй квалификационный уровень
2.1.Специалист по учебно-методической работе II категории45
2.2.Старший диспетчер факультета45
2.3.Учебный мастер II категории45
Третий квалификационный уровень
3.1.Специалист по учебно-методической работе I категории50
3.2.Тьютор50
3.3.Учебный мастер I категории50
Профессиональная квалификационная группа должностей профессорско-преподавательского состава и руководителей структурных подразделений, должностей научных работников
Профессорско-преподавательский состав, научные работники
Первый квалификационный уровень
1.1.Ассистент60
1.2.Преподаватель65
1.3.Младший научный сотрудник65
1.4.Научный сотрудник65
Второй квалификационный уровень
2.1.Старший преподаватель70
2.2.Старший научный сотрудник70
Третий квалификационный уровень
3.1.Доцент75
3.2.Ведущий научный сотрудник75
Четвертый квалификационный уровень
4.1.Профессор80
4.2.Главный научный сотрудник80
4.3.Заведующий (начальник) научно-исследовательским (конструкторским), экспертным отделом (лабораторией, отделением, сектором)80
4.4.Ученый секретарь80
Пятый квалификационный уровень
5.1.Заведующий кафедрой85
Шестой квалификационный уровень
6.1.Декан факультета90
Руководители структурных подразделений
Первый квалификационный уровень
1.1.Начальник (директор, заведующий, руководитель): кабинета, лаборатории, отдела, отделения, питомника, подготовительных курсов (отделения), студенческого бюро, учебного вивария, учебной (учебно-производственной) мастерской, учебной станции (базы) и других подразделений (кроме должностей руководителей структурных подразделений, отнесенных ко 2 - 5 квалификационным уровням)70
1.2.Помощник проректора65
1.3.Помощник ректора70
1.4.Руководитель (заведующий) учебной (производственной, учебно-производственной) практики70
1.5.Ученый секретарь совета факультета (института)70
Второй квалификационный уровень
2.1.Начальник (директор, заведующий, руководитель): второго управления, межкафедральной (межфакультетной) учебной лаборатории, структурного подразделения, реализующего общеобразовательные программы, студенческого дворца культуры, студенческого общежития, управления безопасности, управления охраны труда и техники безопасности75
2.2.Начальник (заведующий) отдела: аспирантуры (адъюнктуры), докторантуры, интернатуры, магистратуры, ординатуры, учебного (учебно-методического, методического), международных связей75
Третий квалификационный уровень
3.1.Начальник (директор, заведующий, руководитель): издательства учебной литературы и учебно-методических пособий для студентов, лесхоза, структурных подразделений, реализующих образовательные программы начального профессионального и (или) среднего профессионального образования, учебного ботанического сада (дендрария), учебно-методического (учебно-производственного, учебно-научного, экспериментального) центра, учебной обсерватории, учебно-опытного поля, учебной типографии, учебной художественной мастерской, учебной теле-, фото-, киностудии и других учебных подразделений80
3.2.Начальник управления: аспирантуры (адъюнктуры), докторантуры, интернатуры, кадров, магистратуры, международных связей, ординатуры, учебного (учебно-методического), экономического (финансово-экономического, финансового), юридического (правового)80
3.3.Начальник управления охраны труда и техники безопасности (при наличии в учреждениях высшего профессионального образования объектов производственной инфраструктуры и (или) научно-исследовательских подразделений, вычислительного центра)80
3.4.Советник при ректорате80
3.5.Ученый секретарь совета учреждения80
Четвертый квалификационный уровень
4.1.Начальник управления образовательного учреждения высшего профессионального образования, имеющего в своем составе институт и (или) научно-исследовательский институт, опытно-производственные (экспериментальные) подразделения: экономические, финансово-экономические, финансовые, юридические (правовые)85
Пятый квалификационный уровень
5.1.Директор (руководитель) обособленного структурного подразделения90
Шестой квалификационный уровень
6.1.Директор (руководитель): филиала, института, являющегося структурным подразделением образовательного учреждения100

Таблица 6

Предельный совокупный размер весовых коэффициентов по критериям эффективности деятельности работников профессиональных квалификационных должностей работников культуры, искусства и кинематографии организаций высшего и дополнительного профессионального образования

N п/пНаименование должностиПредельный совокупный размер весовых коэффициентов
1. Профессиональная квалификационная группа должностей работников культуры ведущего звена
1.1.Библиотекарь40
1.2.Ведущий библиотекарь42
1.3.Главный библиотекарь45
2. Профессиональная квалификационная группа должностей руководящего состава учреждений культуры
2.1.Заведующий отделом (сектором) библиотеки50

5.5.11. В организациях высшего и дополнительного профессионального образования формируется фонд выплат за качество выполняемых работ (FOTk), объем которого рассчитывается по формуле:

,

где:

FOTdo - фонд оплаты труда работников организаций высшего и дополнительного профессионального образования по должностным окладам работников по основному месту работы;

Dk - доля фонда оплаты труда на выплаты за качество выполняемых работ.

Рекомендуемая доля фонда оплаты труда на выплаты за качество выполняемых работ для работников организаций высшего и дополнительного профессионального образования принимается в размере 20 процентов.

VI. Выплаты компенсационного характера

6.1. К выплатам компенсационного характера в организациях высшего и дополнительного профессионального образования относятся:

выплаты компенсационного характера за заведование факультетом (филиалом, институтом, являющимся структурным подразделением организации высшего и дополнительного профессионального образования), кафедрой, отделом (лабораторией, иным структурным подразделением);

выплаты компенсационного характера работникам, занятым на работах с вредными и (или) опасными условиями труда;

выплаты компенсационного характера за работу в условиях, отклоняющихся от нормальных (при выполнении работ различной квалификации, совмещении профессий (должностей), при сверхурочной работе, работе в ночное время, в выходные и нерабочие праздничные дни, и при выполнении работ в других условиях, отклоняющихся от нормальных).

6.2. Выплаты компенсационного характера, размеры и условия их осуществления устанавливаются коллективными договорами, соглашениями, локальными нормативными актами в соответствии с трудовым законодательством и иными нормативными правовыми актами, содержащими нормы трудового права.

6.3. Выплаты компенсационного характера за заведование факультетом (филиалом, институтом, являющимся структурным подразделением организации высшего и дополнительного профессионального образования), кафедрой, отделом (лабораторией, иным структурным подразделением) (Bysp), предоставляются по должностям профессорско-преподавательского состава профессиональной квалификационной группы должностей профессорско-преподавательского состава и руководителей структурных подразделений и должностям научных работников профессиональной квалификационной группы должностей работников сферы научных исследований и разработок и рассчитываются по формуле:

,

где:

Od - должностной оклад работников организаций высшего и дополнительного профессионального образования, принимаемый в соответствии с разделом IV настоящего Положения;

Dysp - размер надбавки за заведование факультетом (филиалом, институтом, являющимся структурным подразделением организации высшего и дополнительного профессионального образования), кафедрой, отделом (лабораторией, иным структурным подразделением).

Размеры надбавок за заведование факультетом (филиалом, институтом, являющимся структурным подразделением организации высшего и дополнительного профессионального образования), кафедрой, отделом (лабораторией, иным структурным подразделением) приведены в таблице 7.

Таблица 7

Размеры надбавок за заведование факультетом (филиалом, институтом, являющимся структурным подразделением организации высшего и дополнительного профессионального образования), кафедрой, отделом (лабораторией, иным структурным подразделением)

Наименование профессиональной квалификационной группыРазмер надбавки за заведование, процентов
факультетом (филиалом, институтом, являющимся структурным подразделением организации высшего и дополнительного профессионального образования)кафедройотделом (лабораторией, иным структурным подразделением)
Должности профессорско-преподавательского состава профессиональной квалификационной группы должностей профессорско-преподавательского состава и руководителей структурных подразделений и должности научных работников профессиональной квалификационной группы должностей работников сферы научных исследований и разработок531,5

6.4. Выплаты компенсационного характера работникам, занятым на работах с вредными и (или) опасными условиями труда, устанавливаются в соответствии с законодательством и в пределах утвержденного фонда оплаты труда организаций высшего и дополнительного профессионального образования на соответствующий финансовый год (Bkh) и рассчитываются по формуле:

,

где:

Оь - размер базового оклада работников организаций высшего и дополнительного профессионального образования, принимаемый в соответствии с разделом II настоящего Положения;

Hfk- фактически отработанное время, по которому законодательством предусмотрена выплата компенсационного характера;

HN - норма часов за ставку заработной платы работников организаций высшего и дополнительного профессионального образования, установленная разделом III настоящего Положения;

Р - компенсация на обеспечение книгоиздательской продукцией и периодическими изданиями в размере 100 рублей устанавливается педагогическим работникам пропорционально учебной нагрузке, но не более чем на одну ставку по основному месту работы;

Dkh - размер надбавки за выплату компенсационного характера, определяемый в соответствии с Трудовым кодексом Российской Федерации.

Выплаты компенсационного характера работникам, занятым на работах с вредными и (или) опасными условиями труда, устанавливаются на основании специальной оценки условий труда в размере 4 процентов.

7. Выплаты компенсационного характера за работу в условиях, отклоняющихся от нормальных (при выполнении работ различной квалификации, совмещении профессий (должностей), сверхурочной работе, работе в ночное время и при выполнении работ в других условиях, отклоняющихся от нормальных), устанавливаются за каждый час работы в ночное время в повышенном размере по сравнению с работой в нормальных условиях, но не ниже размеров, определенных законами и иными нормативными правовыми актами.

В случае привлечения работника к работе в установленный ему графиком выходной день или нерабочий праздничный день работа оплачивается не менее чем в двойном размере, при этом работникам, получающим должностной оклад, - в размере не менее одинарной дневной или часовой базовой ставки сверх оклада, если работа в выходной и нерабочий праздничный день производилась в пределах месячной нормы рабочего времени, и в размере не менее двойной часовой или дневной ставки сверх базового оклада, если работа производилась сверх месячной нормы.

7.1. По желанию работника, работавшего в выходной или нерабочий праздничный день, ему может быть предоставлен другой день отдыха. В этом случае работа в нерабочий праздничный день оплачивается в одинарном размере, а день отдыха оплате не подлежит.

VII. Порядок определения заработной платы руководителя организаций высшего и дополнительного профессионального образования, заместителей руководителя организаций, главного бухгалтера

7.1. Заработная плата руководителя организаций высшего и дополнительного профессионального образования, заместителей руководителя организаций высшего и дополнительного профессионального образования, главного бухгалтера состоит из должностных окладов, выплат компенсационного и стимулирующего характера.

7.2. Должностной оклад руководителя организаций высшего и дополнительного профессионального образования (Odr) устанавливается Министерством образования и науки Республики Татарстан и рассчитывается по формуле:

,

где:

Ob - размер базового оклада руководителя организаций высшего и дополнительного профессионального образования;

Hf - фактическое количество часов работы в организациях высшего и дополнительного профессионального образования;

HN - норма часов за ставку заработной платы работников организаций высшего и дополнительного профессионального образования, установленная разделом III настоящего Положения.

7.3. Должностные оклады заместителей руководителей и главных бухгалтеров организаций высшего и дополнительного профессионального образования устанавливаются на 20 процентов ниже должностных окладов руководителей этих организаций высшего и дополнительного профессионального образования.

7.4. Выплаты стимулирующего характера за качество выполняемых работ руководителю организации высшего и дополнительного профессионального образования устанавливаются учредителем организации высшего и дополнительного профессионального образования с учетом результатов деятельности, определенных на основании критериев эффективности их деятельности. Выплаты стимулирующего характера за качество выполняемых работ руководителю организации высшего и дополнительного профессионального образования могут осуществляться ежемесячно, по итогам работы за год, за выполнение важных и особо важных заданий.

Выплаты стимулирующего характера за качество выполняемых работ заместителям руководителя, главному бухгалтеру организации высшего и дополнительного профессионального образования устанавливаются руководителем организации высшего и дополнительного профессионального образования с учетом результатов деятельности, определенных на основании критериев эффективности их деятельности, установленных локальными нормативными актами. Выплаты стимулирующего характера за качество выполняемых работ заместителям руководителя, главному бухгалтеру могут осуществляться ежемесячно, ежеквартально, по итогам работы за год, за выполнение важных и особо важных заданий. Предельный уровень выплат стимулирующего характера за качество выполняемых работ заместителям руководителя, главному бухгалтеру устанавливается на уровне 70 процентов выплат стимулирующего характера за качество выполняемых работ руководителя организации высшего и дополнительного профессионального образования.

7.5. Базовые оклады и выплаты стимулирующего характера за качество выполняемых работ руководителя организаций высшего и дополнительного профессионального образования представлены в таблице 8.

Таблица 8

Базовые оклады и выплаты стимулирующего характера руководителя организаций высшего и дополнительного профессионального образования

(в ред. Постановления Кабинета министров Республики Татарстан от 21.04.2025 N 252)

Наименование организации высшего и дополнительного профессионального образованияБазовый оклад, рублейВыплаты стимулирующего характера за качество выполняемых работ, рублей
123
Государственное автономное образовательное учреждение дополнительного профессионального образования "Институт развития образования Республики Татарстан"66 00013 000
Государственное бюджетное образовательное учреждение высшего образования "Альметьевский государственный технологический университет "Высшая школа нефти"11800025 000".

7.6. Типовые критерии эффективности деятельности руководителей, заместителей руководителей, главных бухгалтеров организаций высшего и дополнительного профессионального образования и их весовые коэффициенты утверждаются учредителем.

7.7. Выплаты стимулирующего характера за качество выполняемых работ (Вк) рассчитываются по формуле:

,

где:

Вк - размер выплат стимулирующего характера за качество выполняемых работ, который приведен в таблице 8;

Kvk - коэффициент выполнения критериев качества.

7.8. Выплаты компенсационного характера устанавливаются для руководителя, его заместителей, главного бухгалтера организаций высшего и дополнительного профессионального образования в соответствии с Трудовым кодексом Российской Федерации.

VIII. Порядок формирования фонда оплаты труда организаций высшего и дополнительного профессионального образования

8.1. Формирование фонда оплаты труда организаций высшего и дополнительного профессионального образования осуществляется в пределах объема средств на текущий финансовый год, определенного в соответствии с нормативными затратами, количеством объемных показателей, и отражается в плане финансово-хозяйственной деятельности организаций высшего и дополнительного профессионального образования.

8.2. Начисления должностных окладов, выплат компенсационного и стимулирующего характера, установленных настоящим Положением, осуществляются работникам организаций высшего и дополнительного профессионального образования (включая работников профессиональных квалификационных групп общеотраслевых профессий рабочих, рабочих культуры, искусства и кинематографии, общеотраслевых должностей руководителей, специалистов и служащих) за счет средств, предусмотренных в плане финансово-хозяйственной деятельности организаций высшего и дополнительного профессионального образования на оплату труда на текущий финансовый год.

8.3. Экономия фонда оплаты труда, сложившаяся в ходе исполнения плана финансово-хозяйственной деятельности организаций высшего и дополнительного профессионального образования за счет всех источников финансового обеспечения, включая доходы, полученные от оказания платных услуг, за соответствующий период (месяц, квартал, год) может направляться на поощрительные выплаты в соответствии с локальными нормативными актами организаций высшего и дополнительного профессионального образования, принятыми с учетом норм настоящего Положения.

При наличии экономии фонда оплаты труда поощрительные выплаты производятся работникам той профессиональной квалификационной группы должностей, по которой экономия фонда оплаты труда образовалась (включая работников профессиональных квалификационных групп общеотраслевых профессий рабочих, рабочих культуры, искусства и кинематографии, общеотраслевых должностей руководителей, специалистов и служащих).

Размер поощрительной выплаты, произведенной за счет экономии фонда оплаты труда за соответствующий период работнику организаций высшего и дополнительного профессионального образования с учетом отработанной за этот период нормы рабочего времени, выполнившему нормы труда (трудовые обязанности), не может превышать трехкратного минимального размера оплаты труда, установленного Федеральным законом от 19 июня 2000 года N 82-ФЗ "О минимальном размере оплаты труда" на 1 января текущего года (за исключением работников, занимающих профессиональные квалификационные группы должностей профессорско-преподавательского состава, руководителя организаций высшего и дополнительного профессионального образования).

Размер поощрительной выплаты за счет экономии фонда оплаты труда руководителю организации высшего и дополнительного профессионального образования определяется учредителем организации высшего и дополнительного профессионального образования.

Ответственность за использование экономии фонда оплаты труда, образовавшейся в ходе исполнения плана финансово-хозяйственной деятельности организации высшего и дополнительного профессионального образования за счет всех источников финансового обеспечения, включая доходы, полученные от оказания платных услуг, возлагается на руководителя организации высшего и дополнительного профессионального образования.

Приложение
к Положению
об условиях оплаты труда работников
государственных образовательных
организаций высшего образования,
осуществляющих образовательную
деятельность по реализации
образовательных программ высшего
образования - программ бакалавриата,
программ специалитета, программ
магистратуры, и организаций
дополнительного профессионального
образования Республики Татарстан

ПЕРЕЧЕНЬ ПОЧЕТНЫХ ЗВАНИЙ И ВЕДОМСТВЕННЫХ НАГРАД РОССИЙСКОЙ ФЕДЕРАЦИИ, РЕСПУБЛИКИ ТАТАРСТАН, СОЮЗА СОВЕТСКИХ СОЦИАЛИСТИЧЕСКИХ РЕСПУБЛИК, СОЮЗНЫХ И АВТОНОМНЫХ РЕСПУБЛИК В СОСТАВЕ СОЮЗА СОВЕТСКИХ СОЦИАЛИСТИЧЕСКИХ РЕСПУБЛИК, ЗА НАЛИЧИЕ КОТОРЫХ РАБОТНИКАМ ГОСУДАРСТВЕННЫХ ОБРАЗОВАТЕЛЬНЫХ ОРГАНИЗАЦИЙ ВЫСШЕГО ОБРАЗОВАНИЯ, ОСУЩЕСТВЛЯЮЩИХ ОБРАЗОВАТЕЛЬНУЮ ДЕЯТЕЛЬНОСТЬ ПО РЕАЛИЗАЦИИ ОБРАЗОВАТЕЛЬНЫХ ПРОГРАММ ВЫСШЕГО ОБРАЗОВАНИЯ - ПРОГРАММ БАКАЛАВРИАТА, ПРОГРАММ СПЕЦИАЛИТЕТА, ПРОГРАММ МАГИСТРАТУРЫ, И ОРГАНИЗАЦИЙ ДОПОЛНИТЕЛЬНОГО ПРОФЕССИОНАЛЬНОГО ОБРАЗОВАНИЯ РЕСПУБЛИКИ ТАТАРСТАН ПРЕДОСТАВЛЯЮТСЯ ВЫПЛАТЫ СТИМУЛИРУЮЩЕГО ХАРАКТЕРА

(в ред. Постановления Кабинета министров Республики Татарстан от 24.06.2024 N 454)

N п/пНаименование почетного звания, ведомственной награды
12
Почетных званий Российской Федерации, Республики Татарстан, Союза Советских Социалистических Республик, союзных и автономных республик в составе Союза Советских Социалистических Республик
1. Почетные звания Российской Федерации
1.1.Народный учитель Российской Федерации
1.2.Заслуженный деятель науки Российской Федерации
1.3.Заслуженный мастер производственного обучения Российской Федерации
1.4.Заслуженный работник высшей школы Российской Федерации
1.5.Заслуженный учитель Российской Федерации
1.6.Заслуженный художник Российской Федерации
2. Почетные звания Республики Татарстан
2.1.Народный учитель Республики Татарстан
2.2.Заслуженный деятель науки Республики Татарстан
2.3.Заслуженный работник высшей школы Республики Татарстан
2.4.Заслуженный работник физической культуры Республики Татарстан
2.5.Заслуженный учитель Республики Татарстан
2.6.Заслуженный экономист Республики Татарстан
2.7.Заслуженный деятель искусств Республики Татарстан
2.8.Заслуженный работник культуры Республики Татарстан
3. Почетные звания Союза Советских Социалистических Республик
3.1.Народный учитель СССР
4. Почетные звания союзных республик в составе Союза Советских Социалистических Республик
4.1.Заслуженный деятель физкультуры и спорта
4.2.Заслуженный деятель спорта
4.3.Заслуженный деятель физической культуры
4.4.Заслуженный работник физической культуры и спорта
4.5.Заслуженный тренер
4.6.Заслуженный учитель школы
4.7.Заслуженный учитель
4.8.Заслуженный учитель профессионально-технического образования
4.9.Заслуженный мастер профессионально-технического образования
4.10.Заслуженный работник профессионально-технического образования
4.11.Заслуженный преподаватель
4.12.Заслуженный работник высшей школы
4.13.Заслуженный работник народного образования
4.14.Заслуженный деятель высшей школы
4.15.Заслуженный деятель науки и техники
4.16.Заслуженный деятель науки
5. Почетные звания автономных республик в составе Союза Советских Социалистических Республик
5.1.Заслуженный деятель физкультуры и спорта
5.2.Заслуженный работник физической культуры и спорта
5.3.Заслуженный деятель школы
5.4.Заслуженный учитель школы
5.5.Заслуженный учитель профессионально-технического образования
5.6.Заслуженный мастер профессионально-технического образования
5.7.Заслуженный работник профессионально-технического образования
5.8.Заслуженный работник высшей школы
5.9.Заслуженный деятель науки и культуры
5.10.Заслуженный деятель науки и техники
5.11.Заслуженный деятель науки
Ведомственные награды Российской Федерации, Республики Татарстан (Союза Советских Социалистических Республик, Российской Советской Федеративной Социалистической Республики)
1. Министерство просвещения Российской Федерации (Министерство образования и науки Российской Федерации, Министерство образования Российской Федерации)
1.1.Почетный работник общего образования Российской Федерации
1.2.Почетный работник начального профессионального образования Российской Федерации
1.3.Почетный работник среднего профессионального образования Российской Федерации
1.4.Почетный работник высшего профессионального образования Российской Федерации
1.5.Почетный работник науки и техники Российской Федерации
1.6.Почетный работник сферы молодежной политики Российской Федерации
1.7.За развитие научно-исследовательской работы студентов
1.8.Почетный работник сферы образования Российской Федерации
1.9.Почетный работник сферы воспитания детей и молодежи Российской Федерации
1.10.Отличник просвещения
1.11.Почетный работник воспитания и просвещения Российской Федерации
1.12.Почетный работник науки и высоких технологий Российской Федерации
1.13.Ветеран сферы воспитания и образования
1.14.Медаль Л.С. Выготского
1.15.Медаль К.Д. Ушинского
1.16.Значок "Отличник профессионально-технического образования Российской Федерации"
2. Министерство народного образования, Министерство просвещения СССР (РСФСР)
2.1.Значок "Отличник просвещения СССР"
2.2.Значок "Отличник народного просвещения"
2.3.Значок "Отличник профтехобразования СССР"
2.4.Значок "Отличник профессионально-технического образования РСФСР"