Постановление Правительства РФ от 21.04.2010 N 269

"О проведении конкурсов инвестиционных проектов по формированию перспективного технологического резерва мощностей по производству электрической энергии и внесении изменений в некоторые акты Правительства Российской Федерации"
Редакция от 04.09.2015 — Документ утратил силу, см. «Постановление Правительства РФ от 26.08.2020 N 1290»
Показать изменения

ПРАВИТЕЛЬСТВО РОССИЙСКОЙ ФЕДЕРАЦИИ

ПОСТАНОВЛЕНИЕ
от 21 апреля 2010 г. N 269

О ПРОВЕДЕНИИ КОНКУРСОВ ИНВЕСТИЦИОННЫХ ПРОЕКТОВ ПО ФОРМИРОВАНИЮ ПЕРСПЕКТИВНОГО ТЕХНОЛОГИЧЕСКОГО РЕЗЕРВА МОЩНОСТЕЙ ПО ПРОИЗВОДСТВУ ЭЛЕКТРИЧЕСКОЙ ЭНЕРГИИ И ВНЕСЕНИИ ИЗМЕНЕНИЙ В НЕКОТОРЫЕ АКТЫ ПРАВИТЕЛЬСТВА РОССИЙСКОЙ ФЕДЕРАЦИИ

(в ред. Постановлений Правительства РФ от 27.12.2010 N 1172, от 04.09.2015 N 941)

Правительство Российской Федерации постановляет:

1. Утвердить прилагаемые:

Правила проведения конкурсов инвестиционных проектов по формированию перспективного технологического резерва мощностей по производству электрической энергии;

изменения, которые вносятся в акты Правительства Российской Федерации.

2. Федеральной службе по тарифам по согласованию с Министерством энергетики Российской Федерации и Министерством экономического развития Российской Федерации утвердить в месячный срок единый для всех инвестиционных проектов по формированию перспективного технологического резерва мощностей по производству электрической энергии показатель доходности капитала, используемого при производстве электрической энергии, соответствующий среднемесячной стоимости краткосрочного капитала, привлекаемого в целях пополнения оборотных средств, необходимых для приобретения топлива.

3. Установить, что реализация полномочий, предусмотренных настоящим постановлением, осуществляется федеральными органами исполнительной власти в пределах установленных Правительством Российской Федерации предельной численности и фонда оплаты труда работников центральных аппаратов соответствующих федеральных органов исполнительной власти и их территориальных органов.

Председатель Правительства
Российской Федерации
В.ПУТИН

УТВЕРЖДЕНЫ
постановлением Правительства
Российской Федерации
от 21 апреля 2010 г. N 269

ПРАВИЛА
ПРОВЕДЕНИЯ КОНКУРСОВ ИНВЕСТИЦИОННЫХ ПРОЕКТОВ ПО ФОРМИРОВАНИЮ ПЕРСПЕКТИВНОГО ТЕХНОЛОГИЧЕСКОГО РЕЗЕРВА МОЩНОСТЕЙ ПО ПРОИЗВОДСТВУ ЭЛЕКТРИЧЕСКОЙ ЭНЕРГИИ

(в ред. Постановления Правительства РФ от 04.09.2015 N 941)

1. Настоящие Правила определяют порядок организации и проведения открытых конкурсов инвестиционных проектов по формированию перспективного технологического резерва мощностей по производству электрической энергии (далее соответственно - конкурс, инвестиционный проект, перспективный технологический резерв).

2. Организация и проведение конкурса осуществляются системным оператором или соответствующим субъектом оперативно-диспетчерского управления в технологически изолированной территориальной электроэнергетической системе (далее - организатор конкурса).

3. Организатор конкурса в течение месяца со дня принятия Министерством энергетики Российской Федерации по согласованию с Министерством экономического развития Российской Федерации, Федеральной антимонопольной службой и с учетом предложений органов исполнительной власти субъектов Российской Федерации решения, определяющего величину необходимой установленной генерирующей мощности генерирующего объекта, вводимого в эксплуатацию по результатам конкурса (далее - генерирующий объект), его территориальное расположение и срок его ввода в эксплуатацию, принимает решение о сроках проведения конкурса. (в ред. Постановления Правительства РФ от 04.09.2015 N 941)

4. Организатор конкурса в течение 20 рабочих дней со дня принятия решения о сроках проведения конкурса формирует конкурсную комиссию, состоящую из 9 человек, включая по 2 представителя от организатора конкурса, Министерства энергетики Российской Федерации, Министерства экономического развития Российской Федерации, Федеральной антимонопольной службы и председателя конкурсной комиссии, который является представителем организатора конкурса. Для формирования конкурсной комиссии организатор конкурса направляет письменные запросы в указанные федеральные органы исполнительной власти. (в ред. Постановления Правительства РФ от 04.09.2015 N 941)

Федеральные органы исполнительной власти не позднее 5 рабочих дней со дня получения письменного запроса направляют организатору конкурса предложения об участии 2 уполномоченных представителей в составе конкурсной комиссии.

Представители Федеральной антимонопольной службы и представители органов исполнительной власти субъектов Российской Федерации, на территории которых предполагается создание генерирующего объекта, участвуют в работе конкурсной комиссии с правом совещательного голоса.

Организатор конкурса привлекает экспертов для подготовки и проведения конкурса. На заседаниях конкурсной комиссии эксперты обладают правом совещательного голоса.

5. Председатель конкурсной комиссии утверждает регламент работы конкурсной комиссии.

Организационно-техническое обеспечение деятельности конкурсной комиссии осуществляется организатором конкурса.

6. Заседание конкурсной комиссии является правомочным, если в нем принимают участие не менее двух третей общего числа членов конкурсной комиссии. Решение принимается большинством голосов членов конкурсной комиссии, участвующих в заседании. Решение может быть принято путем проведения заочного голосования. В этом случае решение принимается двумя третями голосов общего количества членов конкурсной комиссии.

Решение конкурсной комиссии оформляется протоколом и подписывается всеми присутствующими членами конкурсной комиссии с указанием сведений о решении каждого члена комиссии.

В случае если решение принято путем проведения заочного голосования, к протоколу заседания конкурсной комиссии прилагаются мнения членов комиссии, изложенные в письменной форме.

7. Организатор конкурса обеспечивает подготовку извещения о проведении конкурса, конкурсной документации, технико-экономического обоснования, необходимого для расчета предельной стоимости инвестиционного проекта и материалов инженерных изысканий, а также осуществляет анализ рисков инвестиционного проекта.

Министерство экономического развития Российской Федерации для проведения конкурса предоставляет организатору конкурса прогнозы цен (тарифов) на 20-летний период на газ, уголь, электрическую энергию, ядерное топливо, а также на услуги по транспортировке газа по магистральным газопроводам организации - собственника Единой системы газоснабжения и на перевозки угля железнодорожным транспортом.

8. Организатор конкурса не позднее 15 рабочих дней до дня начала проведения конкурса, указанного в решении о сроках проведения конкурса, представляет на утверждение конкурсной комиссии проекты извещения о проведении конкурса и конкурсной документации.

9. В извещении о проведении конкурса указываются:

а) наименование, место нахождения, почтовый адрес, адрес электронной почты и контактный телефон организатора конкурса;

б) предмет конкурса (с указанием предельных величин установленной мощности генерирующих объектов, вводимых в эксплуатацию по результатам конкурса, их территориального расположения и сроков ввода их в эксплуатацию);

в) условия и порядок проведения конкурса, включая срок приема заявок на участие в конкурсе;

г) размер и порядок внесения и возврата задатка, обеспечивающего исполнение обязательств, связанных с участием в конкурсе;

д) размер, срок и порядок предоставления обеспечения исполнения обязательств, связанных с реализацией инвестиционного проекта;

е) условия признания конкурса несостоявшимся;

ж) срок, место и порядок предоставления конкурсной документации, официальный сайт организатора конкурса в сети Интернет, на котором размещена конкурсная документация;

з) место, день и время вскрытия конвертов с заявками на участие в конкурсе и конвертов с инвестиционными проектами;

и) срок, в течение которого победитель конкурса должен подписать договор об оказании услуг по формированию перспективного технологического резерва (далее - договор), заключаемый по итогам конкурса.

10. Конкурсная документация содержит следующие сведения:

а) условия и порядок проведения конкурса, включая срок окончания приема заявок на участие в конкурсе;

б) сведения о возможности и порядке изменения организатором конкурса предусмотренных конкурсной документацией условий конкурса, в том числе порядок отказа организатора конкурса от проведения конкурса;

в) формы, порядок и сроки предоставления претендентам на участие в конкурсе (далее - претендент) разъяснений положений конкурсной документации;

г) порядок и срок размещения на официальном сайте организатора конкурса в сети Интернет изменений, внесенных в извещение о проведении конкурса и конкурсную документацию;

д) требования к содержанию, составу и оформлению заявки на участие в конкурсе и инструкция по ее заполнению;

е) порядок внесения изменений в заявки и порядок отзыва заявок на участие в конкурсе;

ж) место, день и время вскрытия конвертов с заявками на участие в конкурсе и конвертов с инвестиционными проектами;

з) требования к оформлению документов, подтверждающих соответствие претендента установленным требованиям;

и) порядок отбора претендентов;

к) требования к описанию, содержанию и оформлению инвестиционного проекта (технического и финансового предложения);

л) порядок рассмотрения и оценки технических и финансовых предложений;

м) проект договора, заключаемого по итогам конкурса;

н) требования, предъявляемые к претендентам, включая:

отсутствие проведения процедуры ликвидации, банкротства или реорганизации путем разделения или слияния;

отсутствие приостановления деятельности в установленном порядке;

отсутствие задолженности по уплате налогов, сборов и иных обязательных платежей в бюджеты бюджетной системы Российской Федерации за прошедший календарный год, размер которой превышает 25 процентов балансовой стоимости активов претендента по данным бухгалтерской отчетности за последний отчетный период;

размер уставного капитала и чистых активов;

наличие документов, подтверждающих возможность предоставления обеспечения исполнения обязательств, связанных с реализацией инвестиционного проекта;

наличие документов, подтверждающих полномочия на участие в конкурсе и на заключение по его итогам договора (в частности, решение о назначении или об избрании либо приказа о назначении физического лица на должность, в соответствии с которыми такое физическое лицо обладает правом действовать от имени участника конкурса, доверенность на осуществление действий от имени участника конкурса, решение об одобрении или о совершении крупной сделки и (или) сделки с заинтересованностью);

наличие документов, необходимых для проверки соответствия претендента требованиям, предъявляемым к участникам конкурса (в частности, выписка из Единого государственного реестра юридических лиц, документы о государственной регистрации юридического лица в соответствии с законодательством соответствующего государства (для иностранных лиц), а также копии учредительных документов);

о) требования к генерирующему объекту, вводимому в эксплуатацию по результатам конкурса, согласно приложению N 1;

п) критерий выбора победителя конкурса - наименьшая стоимость инвестиционного проекта, определяемая как результат деления суммы прогнозной валовой выручки от оказания услуг по формированию перспективного технологического резерва и от продажи электрической энергии и мощности на прогнозный совокупный объем произведенной электрической энергии на отобранном генерирующем объекте, рассчитанная на срок оплаты услуг по формированию перспективного технологического резерва с учетом определенной Министерством энергетики Российской Федерации по согласованию с Министерством экономического развития Российской Федерации ставки дисконтирования;

р) предельная стоимость инвестиционного проекта, определенная конкурсной комиссией, при превышении которой инвестиционный проект не может быть отобран по результатам конкурса;

с) предельный размер оплаты услуг по формированию перспективного технологического резерва, а также порядок оплаты услуг по формированию перспективного технологического резерва;

т) условия оплаты электрической энергии и мощности, производимые с использованием генерирующего объекта.

11. Конкурсная комиссия в течение 5 рабочих дней со дня получения проектов извещения о проведении конкурса и конкурсной документации, представленных организатором конкурса в соответствии с пунктом 8 настоящих Правил, рассматривает эти проекты и принимает решение об их утверждении либо направляет организатору конкурса мотивированные замечания к указанным документам в письменной форме.

Организатор конкурса в течение 20 рабочих дней со дня получения проектов извещения о проведении конкурса и конкурсной документации дорабатывает эти проекты и повторно вносит их на рассмотрение конкурсной комиссии.

Конкурсная комиссия рассматривает доработанные документы в течение 5 рабочих дней со дня их получения.

12. Конкурсная комиссия в соответствии с настоящими Правилами на основании технико-экономического обоснования, подготовленного организатором конкурса, устанавливает предельную стоимость инвестиционного проекта, соответствующую рыночной стоимости аналогичных инвестиционных проектов при сопоставимом уровне рисков, а также величину параметров, используемых в формуле определения стоимости инвестиционного проекта и в формулах расчета тарифов на электрическую энергию, применяемых для определения стоимости электрической энергии, при производстве которой в качестве основного топлива используется газ, уголь, электрическая энергия или ядерное топливо (за исключением параметров, величина которых указывается участником конкурса в инвестиционном проекте или для которых Правительством Российской Федерации предусмотрен иной порядок их определения).

13. Организатор конкурса публикует на своем официальном сайте в сети Интернет извещение о проведении конкурса и конкурсную документацию не менее чем за 130 рабочих дней до дня окончания приема заявок на участие в конкурсе. Кроме того, организатор конкурса может опубликовать извещение о проведении конкурса в средствах массовой информации.

День опубликования извещения о проведении конкурса и конкурсной документации является днем начала приема заявок на участие в конкурсе.

14. Организатор конкурса вправе давать разъяснения положений конкурсной документации, в том числе проводить конференции для лиц, заинтересованных в участии в конкурсе.

Разъяснение положений конкурсной документации также размещается на официальном сайте организатора конкурса в сети Интернет.

15. Конкурсная комиссия до дня окончания приема заявок на участие в конкурсе, установленного в извещении о проведении конкурса, вправе принять решение о продлении срока приема заявок на участие в конкурсе и внести соответствующие изменения в извещение о проведении конкурса и конкурсную документацию.

Решение о продлении срока приема заявок на участие в конкурсе может быть принято комиссией не более 3 раз в отношении одного конкурса.

В случае если не было подано ни одной заявки на участие в конкурсе, конкурсная комиссия вправе до дня окончания приема заявок на участие в конкурсе, установленного в извещении о проведении конкурса, внести изменения в извещение о проведении конкурса и (или) конкурсную документацию не позднее 60 рабочих дней до дня окончания приема заявок на участие в конкурсе. При этом срок подачи заявок на участие в конкурсе продлевается так, чтобы срок приема заявок со дня опубликования изменений в извещение о проведении конкурса и (или) конкурсную документацию до дня окончания приема заявок на участие в конкурсе составлял не менее чем 50 дней.

Решения конкурсной комиссии о внесении изменений в извещение о проведении конкурса и (или) конкурсную документацию публикуются организатором конкурса на его официальном сайте в сети Интернет не позднее 2 рабочих дней со дня принятия указанного решения.

Уведомление об изменении срока приема заявок на участие в конкурсе и уведомление о внесении иных изменений в извещение о проведении конкурса и (или) конкурсную документацию направляются организатором конкурса претендентам не позднее 2 рабочих дней со дня принятия конкурсной комиссией соответствующих решений.

16. Конкурсная комиссия по предложению организатора конкурса вправе принять решение об отказе от проведения конкурса не позднее чем за 30 рабочих дней до дня окончания приема заявок на участие в конкурсе.

Указанное решение публикуется организатором конкурса на его официальном сайте в сети Интернет и направляется претендентам не позднее 2 рабочих дней со дня принятия решения конкурсной комиссией.

17. Для участия в конкурсе заинтересованное лицо подает организатору конкурса заявку на участие в конкурсе, состоящую из следующих документов:

а) заявление, содержащее согласие заявителя соблюдать правила и порядок проведения конкурса и требования, установленные конкурсной документацией, а также в случае признания его победителем конкурса обязательство заключить договор на условиях, которые установлены конкурсной документацией, и договор купли-продажи (поставки) мощности;

б) инвестиционный проект, включающий:

техническое предложение в отношении характеристик генерирующего объекта, соответствующих параметрам и требованиям, установленным конкурсной документацией, и порядка реализации инвестиционного проекта (далее - техническое предложение), составленное в соответствии с требованиями, установленными настоящими Правилами и конкурсной документацией;

финансовое предложение, составленное в соответствии с требованиями, установленными настоящими Правилами и конкурсной документацией;

в) документы, необходимые для проверки соответствия претендента требованиям, предъявляемым к участникам конкурса, в том числе копии учредительных документов и финансовые отчеты, проверенные аудиторами (годовые и за последний промежуточный отчетный период).

18. Техническое предложение содержит:

а) сведения о расположении генерирующего объекта;

б) установленную мощность генерирующего объекта, а также каждой из отдельных установок по производству электрической энергии (энергоблоков), входящих в состав генерирующего объекта;

в) информацию о планируемых сроках проведения инженерных изысканий, подготовки проектно-сметной документации и выполнения работ по строительству и вводу в эксплуатацию генерирующего объекта;

г) технические и функциональные характеристики генерирующего объекта, в том числе используемые технологии, изобретения, полезные модели, промышленные образцы, товарные знаки, сертификаты качества, применяемое оборудование и используемое топливо;

д) предложения по схеме выдачи мощности генерирующего объекта;

е) предложения по технологическому присоединению генерирующего объекта к объектам электросетевого хозяйства и иным сетям инженерно-технического обеспечения.

19. Финансовое предложение содержит:

а) величину ежегодного размера платы за оказание услуг по формированию перспективного технологического резерва на весь срок действия договора, заключаемого по итогам конкурса, и ее обоснование;

б) величину предлагаемых заявителем параметров соответствующей формулы расчета тарифа на электрическую энергию, производимую генерирующим объектом, если в качестве основного топлива при производстве электрической энергии используется газ, уголь, электрическая энергия или ядерное топливо, с указанием на использование прогноза цены на соответствующее основное топливо (газ, уголь, электрическую энергию или ядерное топливо), представленного Министерством экономического развития Российской Федерации, в случае если в предлагаемых участником конкурса параметрах формулы расчета тарифа на электрическую энергию использовался такой прогноз. Эта величина указывается раздельно для любых 3 режимов загрузки генерирующего объекта, предусматривающих различные диапазоны использования установленной генерирующей мощности указанного объекта для производства электрической энергии;

в) величину ежегодного размера платы за мощность генерирующего объекта на весь срок действия договора, заключаемого по итогам конкурса, и ее обоснование.

20. При оформлении инвестиционного проекта техническое предложение и финансовое предложение запечатываются в отдельные конверты и помещаются в конверт с пометкой "инвестиционный проект".

Заявление на участие в конкурсе, прилагаемые документы, предусмотренные подпунктом "в" пункта 17 настоящих Правил, и конверт с пометкой "инвестиционный проект" помещаются в один общий конверт.

21. Отсутствие проведения в отношении претендента процедуры ликвидации, банкротства или реорганизации путем разделения и слияния и приостановления деятельности декларируется в заявке на участие в конкурсе.

22. Каждый заявитель вправе подать не более одной заявки на участие в конкурсе, которая может включать в себя не более одного инвестиционного проекта.

23. Заявки на участие в конкурсе принимаются организатором конкурса до дня, указанного в извещении о проведении конкурса, в порядке, предусмотренном конкурсной документацией.

День окончания приема заявок не должен более чем на 5 дней предшествовать дню вскрытия конвертов с заявками на участие в конкурсе.

Заявки на участие в конкурсе, полученные после окончания срока приема заявок, указанного в извещении о проведении конкурса, не рассматриваются и не возвращаются.

24. При проведении конкурса не рассматриваются заявки на участие в конкурсе, предусматривающие строительство генерирующих объектов, в отношении которых на момент проведения конкурса заключены договоры купли-продажи (поставки) мощности.

25. Заявитель вправе изменить или отозвать свою заявку на участие в конкурсе в следующих случаях:

а) если заявление об изменении заявки поступило организатору конкурса до истечения срока приема заявок на участие в конкурсе;

б) если заявление об отзыве заявки поступило организатору конкурса до момента вскрытия конкурсной комиссией конвертов с заявками на участие в конкурсе.

26. Вскрытие конвертов с заявками на участие в конкурсе осуществляется конкурсной комиссией публично во время и в месте, указанных в извещении о проведении конкурса.

Вскрытие конвертов производится в течение 1 дня.

Претенденты (их уполномоченные представители) вправе присутствовать при вскрытии конвертов с заявками на участие в конкурсе.

Лица, присутствующие при проведении процедуры вскрытия конвертов с заявками на участие в конкурсе, вправе вести аудио- и видеозапись процедуры вскрытия конвертов.

Организатор конкурса производит аудио- и видеозапись процедуры вскрытия конвертов.

27. Результаты вскрытия конвертов с заявками на участие в конкурсе оформляются протоколом вскрытия конвертов с заявками на участие в конкурсе, который должен содержать, в частности, следующую информацию:

общее количество поступивших заявок на участие в конкурсе;

общее количество представленных инвестиционных проектов и перечень участников конкурса, представивших инвестиционные проекты.

Организатор конкурса не позднее 2 рабочих дней со дня подписания протокола вскрытия конвертов с заявками на участие в конкурсе направляет копию указанного протокола каждому претенденту.

28. Конкурсная комиссия принимает решение о допуске претендента к участию в конкурсе (признании его участником конкурса) в течение 7 рабочих дней со дня вскрытия конвертов с заявками на участие в конкурсе. В целях принятия решения о допуске претендента к участию в конкурсе (признании его участником конкурса) конкурсная комиссия осуществляет:

а) рассмотрение заявок на участие в конкурсе (за исключением документов, находящихся в конвертах с инвестиционными проектами) на предмет соответствия их состава и оформления требованиям, установленным конкурсной документацией;

б) проверку достоверности сведений в составе заявок на участие в конкурсе (за исключением документов и материалов, находящихся в конвертах с инвестиционными проектами);

в) проверку соответствия претендентов требованиям конкурсной документации.

29. По результатам рассмотрения заявок на участие в конкурсе и проверок, предусмотренных пунктом 28 настоящих Правил, конкурсная комиссия принимает решение:

о соответствии заявки на участие в конкурсе требованиям, установленным конкурсной документацией, в том числе требованиям к ее оформлению, и допуске претендента к участию в конкурсе (признании его участником конкурса);

о несоответствии заявки на участие в конкурсе требованиям, установленным конкурсной документацией, в том числе требованиям к ее оформлению, и об отказе в допуске претендента к участию в конкурсе (признании его участником конкурса).

Претенденту отказывается в допуске к участию в конкурсе и признании участником конкурса в случае:

несоответствия заявки на участие в конкурсе требованиям, установленным конкурсной документацией, в том числе требованиям к ее оформлению;

непредставления определенных конкурсной документацией документов, входящих в состав заявки на участие в конкурсе;

наличия в документах (за исключением инвестиционного проекта), представленных в составе заявки на участие в конкурсе или приложенных к ней, недостоверных сведений;

несоответствия претендента требованиям конкурсной документации.

30. Результаты рассмотрения конкурсной комиссией заявок на участие в конкурсе и проверок, предусмотренных пунктом 28 настоящих Правил, оформляются протоколом рассмотрения заявок на участие в конкурсе, который содержит, в частности, следующую информацию:

а) общее количество поступивших заявок на участие в конкурсе;

б) перечень претендентов, допущенных к участию в конкурсе и признанных участниками конкурса;

в) перечень претендентов, которым отказано в допуске к участию в конкурсе, с указанием причин такого решения;

г) время и место вскрытия конвертов с инвестиционными проектами.

31. Организатор конкурса не позднее 2 рабочих дней со дня подписания протокола рассмотрения заявок на участие в конкурсе направляет копию этого протокола каждому претенденту, а также размещает его на своем официальном сайте в сети Интернет.

32. Организатор конкурса принимает меры по обеспечению сохранности заявок на участие в конкурсе и представленных в их составе инвестиционных проектов.

33. Конкурс включает в себя:

а) рассмотрение и оценку технических предложений;

б) рассмотрение и сопоставление финансовых предложений.

34. Организатор конкурса и конкурсная комиссия вправе запрашивать у участников конкурса разъяснения по представленным документам.

35. Вскрытие конвертов с инвестиционными проектами, в частности с техническими и финансовыми предложениями, осуществляется конкурсной комиссией публично во время и в месте, указанных в протоколе рассмотрения заявок на участие в конкурсе.

Участники конкурса (их уполномоченные представители) вправе присутствовать при вскрытии конвертов с инвестиционными проектами, в частности с техническими и финансовыми предложениями.

При вскрытии конвертов с финансовыми предложениями оглашается следующая информация:

величина ежегодного размера платы за оказание услуг по формированию перспективного технологического резерва;

расход условного топлива на производство 1 киловатт-часа электрической энергии для 3 режимов загрузки оборудования с указанием мощности загрузки для каждого режима в случае использования газа или угля в качестве основного топлива;

коэффициент полезного действия оборудования в насосном и генераторном режимах, дифференцированный в зависимости от режима загрузки генерирующего объекта (для 3 режимов загрузки оборудования с указанием мощности загрузки для каждого режима) в случае использования электрической энергии в качестве основного топлива;

величина ежегодного размера платы за мощность генерирующего объекта.

Лица, присутствующие при проведении процедуры вскрытия конвертов с инвестиционными проектами, в частности с техническими и финансовыми предложениями, вправе вести аудио- и видеозапись процедуры вскрытия конвертов.

Организатор конкурса производит аудио- и видеозапись процедуры вскрытия конвертов с инвестиционными проектами, в частности с техническими и финансовыми предложениями.

36. Результаты вскрытия конвертов с инвестиционными проектами, в частности с техническими и финансовыми предложениями, оформляются конкурсной комиссией протоколом вскрытия конвертов с инвестиционными проектами, который содержит следующую информацию:

а) общее количество представленных инвестиционных проектов;

б) перечень участников конкурса, представивших инвестиционные проекты;

в) общее количество представленных технических предложений и перечень участников конкурса, представивших технические предложения;

г) общее количество представленных финансовых предложений и перечень участников конкурса, представивших финансовые предложения;

д) информацию, подлежащую оглашению в ходе вскрытия конвертов с финансовыми предложениями, в соответствии с пунктом 35 настоящих Правил;

е) время и место оглашения результатов рассмотрения и оценки технических предложений.

37. Организатор конкурса не позднее 2 рабочих дней со дня подписания протокола вскрытия конвертов с инвестиционными проектами, в частности с техническими и финансовыми предложениями, направляет копию этого протокола каждому участнику конкурса, а также размещает его на своем официальном сайте в сети Интернет.

38. В течение 30 рабочих дней со дня подписания протокола вскрытия конвертов с инвестиционными проектами, в частности техническими и финансовыми предложениями, конкурсная комиссия осуществляет рассмотрение и оценку технических предложений участников конкурса на соответствие требованиям настоящих Правил и конкурсной документации, включая их экспертизу. Рассмотрение и оценка технических предложений может быть продлена по решению конкурсной комиссии на срок не более 15 рабочих дней. Организатор конкурса в письменном виде уведомляет участников конкурса о продлении срока рассмотрения технических предложений. На основании рассмотрения и оценки технических предложений участников конкурса конкурсная комиссия принимает решение:

а) о соответствии технических предложений участника конкурса требованиям настоящих Правил и конкурсной документации и допуске участника конкурса к рассмотрению и сопоставлению финансовых предложений;

б) о несоответствии технических предложений участника конкурса требованиям настоящих Правил и (или) конкурсной документации и об отказе в допуске участника конкурса к рассмотрению и сопоставлению финансовых предложений.

39. Результаты рассмотрения конкурсной комиссией технических предложений оформляются протоколом о результатах отбора технических предложений, который содержит следующие сведения:

а) список поданных технических предложений;

б) перечень участников конкурса, технические предложения которых признаны соответствующими требованиям конкурсной документации и которые допущены к рассмотрению и сопоставлению финансовых предложений;

в) перечень участников конкурса, технические предложения которых признаны не соответствующими требованиям конкурсной документации с указанием оснований принятия такого решения;

г) время и место оглашения результатов рассмотрения и оценки финансовых предложений.

40. Оглашение результатов рассмотрения технических предложений осуществляется конкурсной комиссией публично во время и в месте, указанных в протоколе вскрытия конвертов с инвестиционными проектами, в частности с техническими и финансовыми предложениями, если сроки рассмотрения технических предложений не были увеличены конкурсной комиссией в соответствии с настоящими Правилами.

Участники конкурса (их уполномоченные представители) вправе присутствовать при оглашении результатов рассмотрения технических предложений.

Лица, присутствующие при оглашении результатов рассмотрения технических предложений, вправе вести аудио- и видеозапись процедуры.

Организатор конкурса производит аудио- и видеозапись процедуры оглашения результатов рассмотрения технических предложений.

41. Организатор конкурса в течение 2 рабочих дней со дня подписания протокола о результатах отбора технических предложений направляет копию этого протокола каждому участнику конкурса, а также размещает его на своем официальном сайте в сети Интернет.

42. В течение 10 рабочих дней со дня оглашения результатов рассмотрения технических предложений конкурсная комиссия осуществляет рассмотрение, сопоставление финансовых предложений участников конкурса и выбор победителя конкурса.

Конкурсная комиссия на основании параметров, предложенных участником конкурса в финансовом предложении, и параметров, указанных в конкурсной документации, определяет стоимость инвестиционного проекта каждого участника конкурса, инвестиционный проект которого не отклонен по результатам проверки финансовых предложений, по методике согласно приложению N 2.

Конкурсная комиссия признает победителем конкурса участника конкурса, у которого стоимость инвестиционного проекта, определенная на основе представленного им финансового предложения, является наименьшей и не превышает предельной стоимости инвестиционных проектов, указанной в извещении о проведении конкурса и конкурсной документации.

43. Результаты рассмотрения и сопоставления конкурсной комиссией финансовых предложений оформляются протоколом о результатах проведения конкурса, содержащим следующую информацию:

а) список финансовых предложений;

б) перечень участников конкурса, финансовые предложения которых признаны соответствующими требованиям конкурсной документации;

в) перечень участников конкурса, финансовые предложения которых признаны не соответствующими требованиям конкурсной документации с указанием оснований принятия решения;

г) стоимость каждого инвестиционного проекта, определенная конкурсной комиссией в соответствии с настоящими Правилами;

д) перечень инвестиционных проектов (с указанием представивших их участников конкурса) в порядке увеличения стоимости инвестиционных проектов, сформированный по результатам рассмотрения и сопоставления финансовых предложений;

е) сведения о признании соответствующего участника конкурса победителем конкурса.

44. Оглашение результатов рассмотрения финансовых предложений и объявление победителя конкурса осуществляются конкурсной комиссией публично во время и в месте, указанных в протоколе о результатах отбора технических предложений.

Участники конкурса (их уполномоченные представители) вправе присутствовать при оглашении результатов рассмотрения финансовых предложений и объявлении победителя конкурса.

Лица, присутствующие при оглашении результатов рассмотрения финансовых предложений и объявлении победителя конкурса, вправе вести аудио- и видеозапись процедуры.

Организатор конкурса производит аудио- и видеозапись процедуры оглашения результатов рассмотрения финансовых предложений и объявления победителя конкурса.

45. Организатор конкурса не позднее 2 рабочих дней со дня подписания протокола о результатах проведения конкурса направляет копию этого протокола каждому участнику конкурса, а также размещает его на своем официальном сайте в сети Интернет.

46. Заявки на участие в конкурсе и инвестиционные проекты заявителей, которым отказано в допуске к участию в конкурсе, а также заявки на участие в конкурсе и инвестиционные проекты участников конкурса, чьи технические и (или) финансовые предложения признаны не соответствующими требованиям конкурсной документации, участникам конкурса не возвращаются.

47. Организатор конкурса хранит заявки участников конкурса, конкурсную документацию, протоколы конкурсной комиссии, а также аудио- и видеозаписи процедуры вскрытия конвертов и иные документы, представленные участниками конкурса, не менее 5 лет.

48. Решения конкурсной комиссии могут быть обжалованы в федеральном антимонопольном органе и суде в установленном порядке.

49. Участник конкурса, признанный победителем конкурса, заключает договор с организатором конкурса не позднее 20 дней со дня подписания протокола о результатах проведения конкурса, если иной срок не указан в извещении о проведении конкурса.

Указанный договор заключается после предоставления участниками конкурса безотзывной банковской гарантии или передачи в залог денежных средств, в том числе в форме вклада (депозита) в размере обеспечения исполнения договора, указанном в конкурсной документации. Неподписание победителем конкурса этого договора в течение указанного срока по причинам, не относящимся к действиям непреодолимой силы, рассматривается как отказ победителя от заключения договора.

50. Конкурс признается конкурсной комиссией несостоявшимся по следующим основаниям:

а) не было подано ни одной заявки на участие в конкурсе в установленный в извещении о проведении конкурса срок либо была подана только одна заявка, соответствующая требованиям, установленным конкурсной документацией;

б) ни одна из поданных заявок на участие в конкурсе не соответствует требованиям, установленным конкурсной документацией;

в) ни один из претендентов по результатам проверки их соответствия требованиям настоящих Правил и конкурсной документации не был допущен к участию в конкурсе (признан участником конкурса) либо к участию в конкурсе был допущен только один претендент;

г) по результатам рассмотрения и оценки технических предложений ни одно техническое предложение не было признано соответствующим требованиям настоящих Правил и (или) конкурсной документации либо только одно техническое предложение признано соответствующим требованиям настоящих Правил и конкурсной документации;

д) по результатам рассмотрения и сопоставления финансовых предложений ни одно финансовое предложение не было признано соответствующим требованиям настоящих Правил и (или) конкурсной документации либо только одно финансовое предложение признано соответствующим требованиям настоящих Правил и конкурсной документации;

е) при отказе победителя конкурса от подписания договора, заключаемого по итогам конкурса в установленные для заключения такого договора сроки, в случае, если конкурсной комиссией не принято решение о заключении договора с новым победителем конкурса в порядке, установленном пунктом 51 настоящих Правил.

51. Если победитель конкурса отказывается от заключения по итогам конкурса договора, в том числе нарушает срок, установленный на заключение договора, то конкурсная комиссия объявляет нового победителя конкурса.

Новым победителем конкурса признается участник, финансовое предложение которого соответствует наименьшей стоимости инвестиционного проекта из всех финансовых предложений, представленных участниками конкурса, которые допущены к отбору инвестиционных проектов и чьи технические предложения признаны отвечающими требованиям настоящих Правил и конкурсной документации, за исключением финансового предложения того участника конкурса, который отказался от заключения договора, и не превышает предельной стоимости инвестиционных проектов.

52. Организатор конкурса публикует на своем официальном сайте в сети Интернет объявление о результатах проведения конкурса в течение 5 рабочих дней после подписания протокола о результатах проведения конкурса или принятия решения о признании конкурса несостоявшимся.

Объявление о результатах проведения конкурса содержит следующую информацию:

перечень участников конкурса, допущенных к участию в отборе инвестиционных проектов;

результаты отбора инвестиционных проектов;

наименование победителя конкурса, если победитель определен, или причины, по которым победитель конкурса не был определен.

В случае если конкурс был признан несостоявшимся, объявление о результатах проведения конкурса содержит указание на основание признания конкурса несостоявшимся.

53. Участники конкурса вправе направить запрос организатору конкурса о разъяснениях по результатам конкурса в срок не позднее 30 рабочих дней после опубликования организатором конкурса объявления о результатах проведения конкурса.

ПРИЛОЖЕНИЕ N 1
к Правилам проведения конкурсов
инвестиционных проектов по формированию
перспективного технологического резерва
мощностей по производству электрической энергии

ТРЕБОВАНИЯ
К ГЕНЕРИРУЮЩЕМУ ОБЪЕКТУ, ВВОДИМОМУ В ЭКСПЛУАТАЦИЮ ПО РЕЗУЛЬТАТАМ КОНКУРСА ИНВЕСТИЦИОННЫХ ПРОЕКТОВ

1. Требования к генерирующему объекту, вводимому в эксплуатацию по результатам конкурса (далее - генерирующий объект):

а) установленная мощность генерирующего объекта - в пределах указанного в конкурсной документации диапазона величин для данного объекта, определенных в установленном порядке;

б) срок введения в эксплуатацию генерирующего объекта - не позднее указанной в конкурсной документации даты, определенной в установленном порядке;

в) состав генерирующего объекта - количество и мощность отдельных установок по производству электрической энергии (далее - энергоблок), поэтапно вводимых в эксплуатацию, а также сроки введения в эксплуатацию каждого из энергоблоков;

г) территориальное расположение генерирующего объекта, соответствующее указанному в конкурсной документации, определенное в установленном порядке.

2. Технические характеристики функционирования генерирующего объекта (каждого энергоблока в составе генерирующего объекта), которые в инвестиционном проекте по формированию перспективного технологического резерва мощностей по производству электрической энергии могут быть указаны в виде их диапазона от минимального до максимального значения, - не хуже указанных в конкурсной документации следующих параметров и характеристик:

а) расход условного топлива на единицу производимой электрической энергии, указанный участником конкурса раздельно для любых 3 режимов загрузки объекта по производству электрической энергии, предусматривающих различные диапазоны использования установленной генерирующей мощности указанного объекта для производства электрической энергии;

б) параметры, характеризующие способность генерирующего объекта (каждого энергоблока в составе генерирующего объекта) участвовать в общем первичном регулировании частоты;

в) параметры, характеризующие способность генерирующего объекта (каждого энергоблока в составе генерирующего объекта) участвовать во вторичном и третичном регулировании частоты, в том числе максимальное (номинальная мощность) и минимальное (технический минимум) длительно допустимые значения вырабатываемой мощности при проектных условиях работы оборудования в соответствии с данными завода - производителя оборудования, а также диапазоны и скорости набора и сброса нагрузки;

г) минимальное время пуска из холодного и горячего состояния;

д) минимальное время между остановом и последующим пуском;

е) параметры, характеризующие способность участия в регулировании напряжения, включая параметры системы возбуждения генераторов;

ж) максимальное годовое число часов использования оборудования;

з) экологические характеристики генерирующего объекта, в том числе уровень предельно допустимых выбросов (сбросов) загрязняющих веществ в окружающую природную среду, в соответствии с законодательством Российской Федерации об охране окружающей среды;

и) наличие устройств релейной защиты, противоаварийной и режимной автоматики в соответствии с требованиями конкурсной документации, установленными организатором конкурса.

ПРИЛОЖЕНИЕ N 2
к Правилам проведения конкурсов
инвестиционных проектов по формированию
перспективного технологического резерва
мощностей по производству электрической энергии

МЕТОДИКА
РАСЧЕТА ТАРИФА НА ЭЛЕКТРИЧЕСКУЮ ЭНЕРГИЮ, ПРИМЕНЯЕМАЯ ДЛЯ ОПРЕДЕЛЕНИЯ СТОИМОСТИ ЭЛЕКТРИЧЕСКОЙ ЭНЕРГИИ, И ПОРЯДОК ОПРЕДЕЛЕНИЯ СТОИМОСТИ ИНВЕСТИЦИОННОГО ПРОЕКТА

(в ред. Постановления Правительства РФ от 04.09.2015 N 941)

1. Расчет тарифа на электрическую энергию, применяемый для определения стоимости электрической энергии, при производстве которой в качестве основного топлива используется газ или уголь, определяется по формуле:

где:

- тариф на электрическую энергию, применяемый для определения стоимости электрической энергии, при производстве которой в качестве основного топлива используется газ или уголь, для i-го режима загрузки энергетического оборудования на j-й год действия договора об оказании услуг по формированию перспективного технологического резерва мощностей (далее - договор) (рублей/кВт х ч), где i может принимать значения, равные 1, 2, 3;

- удельный расход условного топлива для i-го режима загрузки энергетического оборудования на j-й период действия договора, предложенный участником конкурса в финансовом предложении (г/кВт х ч);

- прогнозная цена газа или угля без транспортной составляющей на j-й год действия договора (рублей/1000 куб. м или рублей/тонна), предлагаемая участником конкурса или определяемая Министерством экономического развития Российской Федерации;

- прогнозная цена (тариф) на услуги по транспортировке газа по магистральным газопроводам организации - собственника Единой системы газоснабжения или цена (тариф) на перевозки угля железнодорожным транспортом (рублей/1000 куб. м или рублей/тонна) (далее - расчетный размер тарифа на транспортировку топлива);

- удельная теплота сгорания природного газа или угля, поставляемых в j-й период действия договора (ккал/куб. м или ккал/кг);

- размер платежей, вносимых в соответствии с договорами, необходимыми для осуществления деятельности в сфере электроэнергетики и участия в оптовом и розничных рынках электрической энергии (мощности) в соответствии с законодательством Российской Федерации об электроэнергетике, величина которых зависит от объема производства (потребления) и (или) поставки (покупки) электрической энергии, на j-й год действия договора (рублей/кВт х ч);

- единый для всех инвестиционных проектов показатель доходности капитала, используемого в производстве электрической энергии, соответствующий годовой стоимости краткосрочного заемного капитала, привлекаемого для пополнения оборотных средств (долей), необходимых для приобретения топлива.

2. Для целей проведения конкурса и определения цены (тарифа) на электрическую энергию при подаче исполнителем инвестиционного проекта заявок на продажу электрической энергии для участия в конкурентном отборе ценовых заявок на сутки вперед в соответствии с Правилами оптового рынка электрической энергии (мощности) переходного периода, утвержденными постановлением Правительства Российской Федерации от 24 октября 2003 г. N 643, прогнозная цена газа или угля и прогнозная цена (тариф) на услуги по транспортировке газа по магистральным газопроводам организации - собственника Единой системы газоснабжения или цена (тариф) на перевозки угля железнодорожным транспортом на j-й год действия договора устанавливаются в соответствии с прогнозом цены на газ или уголь и прогнозом цен (тарифов) на услуги по транспортировке газа по магистральным газопроводам организации - собственника Единой системы газоснабжения или цен (тарифов) на перевозки угля железнодорожным транспортом на соответствующий год, предложенными участником конкурса в представленном им на конкурс инвестиционном проекте.

В связи с утратой силы Постановления Правительства РФ от 24.10.2003 N 643, следует руководствоваться принятым взамен Постановлением Правительства РФ от 27.12.2010 N 1172

В случае если в предложенных участником конкурса параметрах формулы расчета тарифа на электрическую энергию использовался прогноз цены на газ или уголь Министерства экономического развития Российской Федерации, то при определении цены (тарифа) на электрическую энергию при подаче заявок на продажу электрической энергии для участия в конкурентном отборе ценовых заявок на сутки вперед учитываются отклонения фактического показателя цены на газ или уголь от прогноза цены на газ или уголь, указанного таким участником в представленном им на конкурс инвестиционном проекте. При этом особенности учета отклонений фактических показателей цен от прогноза цен определяются Федеральной антимонопольной службой. (в ред. Постановления Правительства РФ от 04.09.2015 N 941)

В случае если в параметрах формулы расчета тарифа на электрическую энергию, заявленных участником конкурса в представленном им на конкурс инвестиционном проекте, использовался прогноз цены на газ или уголь, предложенный участником конкурса, то отклонения фактических показателей цены на газ или уголь от прогнозного уровня цены учету не подлежат.

3. Расчет тарифа на электрическую энергию, применяемый в отношении гидроаккумулирующих электрических станций для определения стоимости электрической энергии, при производстве которой в качестве основного топлива используется электрическая энергия, определяется по формуле:

где:

- тариф на электрическую энергию, применяемый в отношении гидроаккумулирующих электрических станций для определения стоимости электрической энергии, при производстве которой в качестве основного топлива используется электрическая энергия, для i-го режима загрузки энергетического оборудования на j-й год действия договора (рублей/кВт х ч), где i может принимать значения, равные 1, 2, 3;

- прогнозная цена покупки электрической энергии в насосном режиме (рублей/кВт х ч);

- коэффициент полезного действия;

- удельные расходы за пользование водными ресурсами (в том числе водный налог) на единицу полезного отпуска электрической энергии (рублей/кВт х ч);

- единый для всех инвестиционных проектов показатель доходности капитала, используемого в производстве электрической энергии, соответствующий годовой стоимости краткосрочного заемного капитала, привлекаемого для пополнения оборотных средств (долей), необходимых для приобретения электрической энергии.

4. В случае если в предложенных участником конкурса параметрах формулы, предусмотренной пунктом 3 настоящей методики, использовался прогноз цены на электрическую энергию Министерства экономического развития Российской Федерации, то при определении цены (тарифа) на электрическую энергию при подаче заявок на продажу электрической энергии для участия в конкурентном отборе ценовых заявок на сутки вперед учитываются отклонения фактического показателя цены на электрическую энергию от прогноза цены на электрическую энергию, указанного таким участником в представленном им на конкурс инвестиционном проекте.

В случае если в предложенных участником конкурса параметрах формулы, предусмотренной пунктом 3 настоящей методики, использовался прогноз цены на электрическую энергию, предложенный этим участником конкурса, то отклонения фактических показателей цены на электрическую энергию от прогнозного уровня цены учету не подлежат.

5. Коэффициент полезного действия определяется по формуле:

где:

- плановый объем полезного отпуска электрической энергии в j-м году (рублей/кВт х ч);

- плановый объем потребления электрической энергии в насосном режиме (на производственные нужды) в j-м году (рублей/кВт х ч).

6. Расчет тарифа на электрическую энергию, применяемый для определения стоимости электрической энергии, при производстве которой используется ядерное топливо, определяется по формуле:

где:

- тариф на электрическую энергию, применяемый для определения стоимости электрической энергии, при производстве которой используется ядерное топливо, на j-й год действия договора (рублей/кВт х ч);

- затраты на свежее ядерное топливо, относимые на выработку электроэнергии в j-м году действия договора, которые определяются с учетом числа используемых типов тепловыделяющих сборок, стоимости сборки каждого типа, длительности в эффективных сутках кампании реактора в рассматриваемый период и период после последней по времени перегрузки топлива, удорожания ядерного топлива по сравнению со временем последней перегрузки и других показателей, учитываемых при определении ставки тарифа на электроэнергию для атомных электростанций, а также иных показателей, определенных в установленном порядке (рублей);

- цена работ по обращению с отработавшими тепловыделяющими сборками, осуществляемых специализированными организациями, отнесенная к единице массы ядерного топлива (рублей/кг);

- масса ядерного топлива в отработавших тепловыделяющих сборках, выгружаемых при перегрузке ядерного реактора в j-м году (кг);

- единый для всех инвестиционных проектов показатель доходности капитала, используемого в производстве электрической энергии, соответствующий годовой стоимости краткосрочного заемного капитала, привлекаемого для пополнения оборотных средств (долей), необходимых для приобретения ядерного топлива;

N - установленная мощность генерирующего оборудования, вводимого по результатам конкурса (кВт);

- прогнозируемая продолжительность времени, в течение которого предполагается использование генерирующего объекта (число часов использования установленной мощности) для i-го режима загрузки оборудования на j-й год действия договора, с использованием загрузки генерирующих мощностей на оптовом рынке электрической энергии (мощности), определяемой организатором конкурса в конкурсной документации (часов).

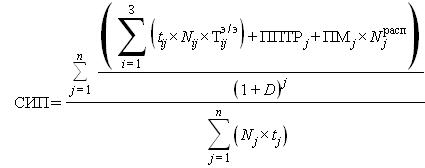
7. Стоимость инвестиционного проекта (рублей/кВт х ч) определяется по формуле:

где:

n - период действия договора (год);

- располагаемая мощность генерирующего объекта для i-го режима загрузки энергетического оборудования в j-й год действия договора (кВт);

- тариф на электрическую энергию, применяемый для определения стоимости электрической энергии, для i-го режима загрузки энергетического оборудования на j-й год действия договора (рублей/кВт х ч);

- ежегодная ставка платы за услуги по формированию перспективного технологического резерва (рублей), соответствующая средневзвешенной стоимости собственного и заемного капитала, привлекаемого в целях реализации инвестиционного проекта, до ввода генерирующего объекта в эксплуатацию, рассчитываемая в соответствии с методическими указаниями, утверждаемыми федеральным органом исполнительной власти в области государственного регулирования тарифов;

- ежегодная ставка платы за мощность, предлагаемая участником конкурса в финансовом предложении в j-й год действия договора купли-продажи (поставки) мощности (рублей);

- располагаемая мощность генерирующего объекта в j-й год действия договора (кВт);

D - ставка дисконтирования (долей);

- установленная мощность генерирующего объекта в j-й год действия договора (кВт);

-прогнозируемая на j-й год действия договора продолжительность периода времени, в течение которого предполагается использование генерирующего объекта (часов).

8. Продолжительность периода времени, в течение которого предполагается использование генерирующего объекта (часов), прогнозируемая на j-й год действия договора, определяется по формуле:

9. При определении стоимости инвестиционного проекта используются следующие параметры:

а) в случае использования газа или угля в качестве основного топлива при производстве электрической энергии генерирующим объектом - предложенная участником конкурса или прогнозируемая Министерством экономического развития Российской Федерации на весь срок действия договора, заключаемого по итогам конкурса, цена на газ или уголь, используемые в производстве электрической энергии (в зависимости от того, предложение об использовании какого из указанных прогнозов цен содержится в поданном участником конкурса финансовом предложении), а также прогнозная цена (тариф) на услуги по транспортировке газа по магистральным газопроводам организации - собственника Единой системы газоснабжения или цена (тариф) на перевозки угля железнодорожным транспортом, а также коэффициент перевода условного топлива в газ (уголь);

б) в случае использования электрической энергии в качестве основного топлива при производстве электрической энергии генерирующим объектом - предложенная участником конкурса или прогнозируемая Министерством экономического развития Российской Федерации на весь срок действия договора, заключаемого по итогам конкурса, цена на электрическую энергию;

в) в случае использования ядерного топлива в качестве основного топлива при производстве электрической энергии - предложенная участником конкурса или прогнозируемая Министерством экономического развития Российской Федерации на весь срок действия договора, заключаемого по итогам конкурса, цена на ядерное топливо, а также прогнозируемая величина расходов на обращение с отработавшим ядерным топливом;

г) в случае использования иного (за исключением газа, угля, электрической энергии или ядерного топлива) топлива, в частности мазута, гидроресурсов и иного источника первичной энергии, в качестве основного топлива при производстве электрической энергии - предложенный участником конкурса на весь срок действия договора, заключаемого по итогам конкурса, тариф на электрическую энергию;

д) прогнозируемый на весь срок действия договора, заключаемого по итогам конкурса, размер платежей, вносимых в соответствии с договорами, необходимыми для осуществления деятельности в сфере электроэнергетики и участия в оптовом и розничных рынках электрической энергии (мощности) в соответствии с законодательством Российской Федерации об электроэнергетике, величина которых зависит от объема производства (потребления) и (или) поставки (покупки) электрической энергии;

е) ставка дисконтирования, определенная Министерством энергетики Российской Федерации по согласованию с Министерством экономического развития Российской Федерации;

ж) единый для всех инвестиционных проектов показатель доходности капитала, используемого при производстве электрической энергии, соответствующий среднемесячной стоимости краткосрочного капитала, привлекаемого в целях пополнения оборотных средств, необходимых для приобретения соответствующего топлива, определенный Федеральной антимонопольной службой по согласованию с Министерством энергетики Российской Федерации и Министерством экономического развития Российской Федерации; (в ред. Постановления Правительства РФ от 04.09.2015 N 941)

з) величина ежегодной ставки платы за мощность, предложенная участником конкурса на весь срок действия договора, заключаемого по итогам конкурса;

и) прогнозируемая продолжительность периода использования генерирующего объекта (энергоблока) для производства электрической энергии, определяемая суммарно на весь срок действия договора, заключаемого по итогам конкурса;

к) сроки оплаты услуг по формированию перспективного технологического резерва и сроки оплаты мощности, производимой с использованием генерирующего объекта, предусмотренные условиями конкурса;

л) прогнозный совокупный объем произведенной электрической энергии, определяемый как произведение величины установленной генерирующей мощности генерирующего объекта (энергоблока), указанной в инвестиционном проекте, и устанавливаемой условиями конкурса прогнозируемой продолжительности периода времени, в течение которого предполагается использование генерирующего объекта (энергоблока) для производства электрической энергии (число часов использования установленной мощности);

м) прогнозная величина располагаемой генерирующей мощности генерирующего объекта (энергоблока), указанная в инвестиционном проекте.

10. В случае если условиями конкурса предусмотрено строительство генерирующего объекта, состоящего из энергоблоков, прогнозный совокупный объем произведенной генерирующим объектом электрической энергии определяется как сумма прогнозных совокупных объемов электрической энергии, произведенных входящими в его состав энергоблоками.

УТВЕРЖДЕНЫ
постановлением Правительства
Российской Федерации
от 21 апреля 2010 г. N 269

ИЗМЕНЕНИЯ, КОТОРЫЕ ВНОСЯТСЯ В АКТЫ ПРАВИТЕЛЬСТВА РОССИЙСКОЙ ФЕДЕРАЦИИ

(в ред. Постановления Правительства РФ от 27.12.2010 N 1172)

1. Пункт утратил силу. (в ред. Постановления Правительства РФ от 27.12.2010 N 1172)

2. В Правилах финансирования объектов по производству электрической энергии в целях предотвращения возникновения дефицита электрической мощности, утвержденных постановлением Правительства Российской Федерации от 7 декабря 2005 г. N 738 "О порядке формирования перспективного источника средств на оплату услуг по формированию технологического резерва мощностей по производству электрической энергии и финансирования объектов по производству электрической энергии в целях предотвращения возникновения дефицита электрической мощности" (Собрание законодательства Российской Федерации, 2005, N 51, ст. 5526; 2007, N 26, ст. 3192; 2009, N 32, ст. 4040):

в абзаце первом пункта 9 слова "правилами, утвержденными уполномоченным органом" заменить словами "Правилами проведения конкурсов инвестиционных проектов по формированию перспективного технологического резерва мощностей по производству электрической энергии, утвержденными постановлением Правительства Российской Федерации от 21 апреля 2010 г. N 269 "О проведении конкурсов инвестиционных проектов по формированию перспективного технологического резерва мощностей по производству электрической энергии и внесении изменений в некоторые акты Правительства Российской Федерации";

пункт 12 изложить в следующей редакции:

"12. С момента ввода в эксплуатацию предусмотренного инвестиционным проектом генерирующего объекта или первого из энергоблоков, составляющих в совокупности генерирующий объект, если условиями конкурса предусмотрено строительство генерирующего объекта, состоящего из энергоблоков, исполнитель инвестиционного проекта получает право на участие в торговле электрической энергией и мощностью на оптовом рынке электрической энергии (мощности) в установленном законодательством Российской Федерации порядке при условии выполнения им требований и условий, необходимых для участия в отношениях по купле-продаже электрической энергии и мощности на оптовом рынке электрической энергии (мощности).".