Приказ ФСТЭК РФ от 20.07.2012 N 90

"Об утверждении Административного регламента Федеральной службы по техническому и экспортному контролю по исполнению государственной функции по контролю за соблюдением лицензионных требований при осуществлении деятельности по разработке и производству средств защиты конфиденциальной информации"
Редакция от 20.05.2015 — Документ утратил силу, см. «Приказ ФСТЭК РФ от 01.06.2023 N 106»
Показать изменения

Зарегистрировано в Минюсте России 7 августа 2012 г. N 25138


ФЕДЕРАЛЬНАЯ СЛУЖБА ПО ТЕХНИЧЕСКОМУ И ЭКСПОРТНОМУ КОНТРОЛЮ

ПРИКАЗ
от 20 июля 2012 г. N 90

ОБ УТВЕРЖДЕНИИ АДМИНИСТРАТИВНОГО РЕГЛАМЕНТА ФЕДЕРАЛЬНОЙ СЛУЖБЫ ПО ТЕХНИЧЕСКОМУ И ЭКСПОРТНОМУ КОНТРОЛЮ ПО ИСПОЛНЕНИЮ ГОСУДАРСТВЕННОЙ ФУНКЦИИ ПО КОНТРОЛЮ ЗА СОБЛЮДЕНИЕМ ЛИЦЕНЗИОННЫХ ТРЕБОВАНИЙ ПРИ ОСУЩЕСТВЛЕНИИ ДЕЯТЕЛЬНОСТИ ПО РАЗРАБОТКЕ И ПРОИЗВОДСТВУ СРЕДСТВ ЗАЩИТЫ КОНФИДЕНЦИАЛЬНОЙ ИНФОРМАЦИИ

(в ред. Приказов ФСТЭК РФ от 02.12.2014 N 134, от 20.05.2015 N 60)

В соответствии с Положением о Федеральной службе по техническому и экспортному контролю, утвержденным Указом Президента Российской Федерации от 16 августа 2004 г. N 1085 (Собрание законодательства Российской Федерации, 2004, N 34, ст. 3541; 2005, N 13, ст. 1138; 2006, N 49, ст. 5192; 2008, N 43, ст. 4921; N 47, ст. 5431; 2012, N 7, ст. 818), постановлением Правительства Российской Федерации от 16 мая 2011 г. N 373 "О разработке и утверждении административных регламентов исполнения государственных функций и административных регламентов предоставления государственных услуг" (Собрание законодательства Российской Федерации, 2011, N 22, ст. 3169; N 35, ст. 5092; 2012, N 28, ст. 3908) приказываю:

Утвердить прилагаемый Административный регламент Федеральной службы по техническому и экспортному контролю по исполнению государственной функции по контролю за соблюдением лицензионных требований при осуществлении деятельности по разработке и производству средств защиты конфиденциальной информации.

Директор
Федеральной службы по техническому
и экспортному контролю
В.СЕЛИН

УТВЕРЖДЕН
приказом ФСТЭК России
от 20 июля 2012 г. N 90

АДМИНИСТРАТИВНЫЙ РЕГЛАМЕНТ
ФЕДЕРАЛЬНОЙ СЛУЖБЫ ПО ТЕХНИЧЕСКОМУ И ЭКСПОРТНОМУ КОНТРОЛЮ ПО ИСПОЛНЕНИЮ ГОСУДАРСТВЕННОЙ ФУНКЦИИ ПО КОНТРОЛЮ ЗА СОБЛЮДЕНИЕМ ЛИЦЕНЗИОННЫХ ТРЕБОВАНИЙ ПРИ ОСУЩЕСТВЛЕНИИ ДЕЯТЕЛЬНОСТИ ПО РАЗРАБОТКЕ И ПРОИЗВОДСТВУ СРЕДСТВ ЗАЩИТЫ КОНФИДЕНЦИАЛЬНОЙ ИНФОРМАЦИИ

(в ред. Приказов ФСТЭК РФ от 02.12.2014 N 134, от 20.05.2015 N 60)

I. Общие положения

Наименование государственной функции

1.1. Административный регламент Федеральной службы по техническому и экспортному контролю по исполнению государственной функции по контролю за соблюдением лицензионных требований при осуществлении деятельности по разработке и производству средств защиты конфиденциальной информации (далее - Регламент, государственная функция) определяет сроки и последовательность административных процедур (действий) при осуществлении полномочий по контролю за соблюдением лицензионных требований при осуществлении деятельности по разработке и производству средств защиты конфиденциальной информации.

Наименование федерального органа исполнительной власти, исполняющего государственную функцию

1.2. Государственная функция по контролю за соблюдением лицензионных требований при осуществлении деятельности по разработке и производству средств защиты конфиденциальной информации (далее - лицензионный контроль) осуществляется Федеральной службой по техническому и экспортному контролю (далее - ФСТЭК России) и управлениями ФСТЭК России по федеральным округам (далее - территориальные органы ФСТЭК России).

Перечень нормативных правовых актов, регулирующих исполнение государственной функции

1.3. Исполнение государственной функции осуществляется в соответствии со следующими нормативными правовыми актами:

Федеральным законом от 26 декабря 2008 г. N 294-ФЗ "О защите прав юридических лиц и индивидуальных предпринимателей при осуществлении государственного контроля (надзора) и муниципального контроля" (Собрание законодательства Российской Федерации, 2008, N 52, ст. 6249; 2009, N 18, ст. 2140; N 29, ст. 3601; N 48, ст. 5711; N 52, ст. 6441; 2010, N 17, ст. 1988; N 18, ст. 2142; N 31, ст. 4160, ст. 4193, ст. 4196; N 32, ст. 4298; 2011, N 1, ст. 20; N 17, ст. 2310; N 23, ст. 3263; N 27, ст. 3880; N 30, ст. 4590; N 48, ст. 6728; 2012, N 19, ст. 2281; N 26, ст. 3446);

Федеральным законом от 4 мая 2011 г. N 99-ФЗ "О лицензировании отдельных видов деятельности" (Собрание законодательства Российской Федерации, 2011, N 19, ст. 2716; N 30, ст. 4590; N 43, ст. 5971; N 48, ст. 6728);

Кодексом Российской Федерации об административных правонарушениях от 30 декабря 2001 г. N 195-ФЗ (Собрание законодательства Российской Федерации, 2002, N 1, ст. 1; N 18, ст. 1721; N 30, ст. 3029; N 44, ст. 4295, 4298; 2003, N 1, ст. 2; N 27, ст. 2700, 2708, 2717; N 46, ст. 4434, 4440; N 50, ст. 4847, 4855; N 52, ст. 5037; 2004, N 19, ст. 1838; N 30, ст. 3095; N 31, ст. 3229; N 34, ст. 3529, 3533; N 44, ст. 4266; 2005, N 1, ст. 9, 13, 37, 40, 45; N 10, ст. 762, 763; N 13, ст. 1077, 1079; N 17, ст. 1484; N 19, ст. 1752; N 25, ст. 2431; N 27, ст. 2719, 2721; N 30, ст. 3104, 3124, 3131; N 40, ст. 3986; N 50, ст. 5247; N 52, ст. 5574, 5596; 2006, N 1, ст. 4, 10; N 2, ст. 172, 175; N 6, ст. 636; N 10, ст. 1067; N 17, ст. 1776; N 18, ст. 1907; N 19, ст. 2066; N 23, ст. 2380, 2385; N 28, ст. 2975; N 30, ст. 3287; N 31, ст. 3420, 3432, 3433, 3438, 3452; N 43, ст. 4412; N 45, ст. 4633, 4634, 4641; N 50, ст. 5279, 5281; N 52, ст. 5498; 2007, N 1, ст. 21, 25, 29, 33; N 7, ст. 840; N 15, ст. 1743; N 16, ст. 1824, 1825; N 17, ст. 1930; N 20, ст. 2367; N 21, ст. 2456; N 26, ст. 3089; N 30, ст. 3755; N 31, ст. 4001, 4007, 4008, 4009, 4015; N 41, ст. 4845; N 43, ст. 5084; N 46, ст. 5553; N 49, ст. 6034, 6065; N 50, ст. 6246; 2008, N 10, ст. 896; N 18, ст. 1941; N 20, ст. 2259; N 29, ст. 3418; N 30, ст. 3582, 3601, 3604; N 45, ст. 5143; N 49, ст. 5738, 5745, 5748; N 52, ст. 6227, 6235, 6236, 6248; 2009, N 1, ст. 17; N 7, ст. 771, 777; N 19, ст. 2276; N 23, ст. 2759, 2767, 2776; N 26, ст. 3120, 3122, 3131, 3132; N 29, ст. 3597, 3599, 3635, 3642; N 30, ст. 3735, 3739; N 45, ст. 5265, 5267; N 48, ст. 5711, 5724, 5755; N 52, ст. 6406, 6412; 2010, N 1, ст. 1; N 11, ст. 1169, 1176; N 15, ст. 1743, ст. 1751; N 18, ст. 2145; N 19, ст. 2291; N 21, ст. 2524, 2525, 2526, 2530; N 23, ст. 2790; N 25, ст. 3070; N 27, ст. 3416, 3429; N 28, ст. 3553; N 30, ст. 4000, 4002, 4005, 4006, 4007; N 31, ст. 4155, 4158, 4164, 4191, 4192, 4193, 4195, 4198, 4206, 4207, 4208; N 32, ст. 4298; N 41, ст. 5192, 5193; N 46, ст. 5918; N 49, ст. 6409; N 50, ст. 6605; N 52, ст. 6984, 6995, 6996; 2011, N 1, ст. 10, 23, 29, 33, 47, 54; N 7, ст. 901, 905; N 15, ст. 2039, 2041; N 17, ст. 2310, 2312; N 19, ст. 2714, 2715, 2769; N 23, ст. 3260, 3267; N 27, ст. 3873, 3881; N 29, ст. 4284, 4289, 4290, 4291, 4298; N 30, ст. 4573, 4574, 3584, 4585, 4590, 4591, 4598, 4601, 4605; N 45, ст. 6325, 6326, 6334; N 46, ст. 6406; N 47, ст. 6601, 6602; N 48, ст. 6730, 6732; N 49, ст. 7025, 7042, 7056, 7061; N 50, ст. 7345, 7346, 7351, 7352, 7355, 7362, 7366; 2012, N 6, ст. 621; N 10, ст. 1166; N 15, ст. 1723, 1724; N 18, ст. 2126, 2128; N 19, ст. 2278; N 24, ст. 3068, 3069, 3082; N 25, ст. 3268; N 29, ст. 3996);

Указом Президента Российской Федерации от 16 августа 2004 г. N 1085 "Вопросы Федеральной службы по техническому и экспортному контролю" (Собрание законодательства Российской Федерации, 2004, N 34, ст. 3541; 2005, N 13, ст. 1138; 2006, N 49, ст. 5192; 2008, N 43, ст. 4921; N 47, ст. 5431; 2012, N 7, ст. 818);

постановлением Правительства Российской Федерации от 3 марта 2012 г. N 171 "О лицензировании деятельности по разработке и производству средств защиты конфиденциальной информации" (Собрание законодательства Российской Федерации, 2012, N 11, ст. 1297);

постановлением Правительства Российской Федерации от 21 ноября 2011 г. N 957 Об организации лицензирования отдельных видов деятельности" (Собрание законодательства Российской Федерации, 2011, N 48, ст. 6931; 2012, N 17, ст. 1965);

постановлением Правительства Российской Федерации от 16 мая 2011 г. N 373 "О разработке и утверждении административных регламентов исполнения государственных функций и административных регламентов предоставления государственных услуг" (Собрание законодательства Российской Федерации, 2011, N 22, ст. 3169; N 35, ст. 5092; 2012, N 28, ст. 3908);

постановлением Правительства Российской Федерации от 30 июня 2010 г. N 489 "Об утверждении Правил подготовки органами государственного контроля (надзора) и органами муниципального контроля ежегодных планов проведения плановых проверок юридических лиц и индивидуальных предпринимателей" (Собрание законодательства Российской Федерации, 2010, N 28, ст. 3706; 2012, N 2, ст. 301);

приказом Министерства экономического развития Российской Федерации от 30 апреля 2009 г. N 141 "О реализации положений Федерального закона "О защите прав юридических лиц и индивидуальных предпринимателей при осуществлении государственного контроля (надзора) и муниципального контроля" (зарегистрирован Министерством юстиции Российской Федерации 13 мая 2009 г., регистрационный N 13915), с изменениями, внесенными приказами Министерства экономического развития Российской Федерации от 24 мая 2010 г. N 199 (зарегистрирован Министерством юстиции Российской Федерации 6 июля 2010 г., регистрационный N 17702) и от 30 сентября 2011 г. N 532 (зарегистрирован Министерством юстиции Российской Федерации 10 ноября 2011 г., регистрационный N 22264);

приказом Федеральной службы по техническому и экспортному контролю от 11 апреля 2005 г. N 124 "Об утверждении Перечня должностных лиц Федеральной службы по техническому и экспортному контролю, уполномоченных составлять протоколы об административных правонарушениях" (зарегистрирован Министерством юстиции Российской Федерации 26 апреля 2005 г., регистрационный N 6546).

Предмет лицензионного контроля

1.4. Лицензионный контроль осуществляется в форме документарных проверок, плановых проверок и внеплановых выездных проверок юридических лиц и индивидуальных предпринимателей, имеющих лицензию на деятельность по разработке и производству средств защиты конфиденциальной информации (далее - лицензиаты).

1.5. Предметом указанных в пункте 1.4 Регламента проверок являются содержащиеся в документах лицензиата сведения о его деятельности, состоянии используемых при осуществлении лицензируемого вида деятельности помещений, зданий, сооружений, технических средств, оборудования, соответствие работников лицензиата лицензионным требованиям, выполняемые работы, оказываемые услуги, принимаемые лицензиатом меры по соблюдению лицензионных требований, исполнению предписаний об устранении выявленных нарушений лицензионных требований.

Права и обязанности должностных лиц при осуществлении лицензионного контроля

1.6. При осуществлении лицензионного контроля должностные лица ФСТЭК России (территориальных органов ФСТЭК России) обязаны:

1) своевременно и в полной мере исполнять предоставленные в соответствии с законодательством Российской Федерации полномочия по предупреждению, выявлению и пресечению нарушений лицензионных требований;

2) соблюдать законодательство Российской Федерации, права и законные интересы лицензиата, проверка которого проводится;

3) проводить проверку на основании приказа ФСТЭК России (территориального органа ФСТЭК России) о ее проведении в соответствии с ее назначением;

4) проводить проверку только во время исполнения служебных обязанностей, выездную проверку только при предъявлении служебных удостоверений, копии приказа ФСТЭК России (территориального органа ФСТЭК России);

5) не препятствовать руководителю лицензиата (иному уполномоченному им лицу) присутствовать при проведении проверки и давать разъяснения по вопросам, относящимся к предмету проверки;

6) предоставлять руководителю лицензиата (иному уполномоченному им лицу), присутствующему при проведении проверки, информацию и документы, относящиеся к предмету проверки;

7) знакомить руководителя лицензиата (иное уполномоченное им лицо) с результатами проверки;

8) учитывать при определении мер, принимаемых по фактам выявленных нарушений, соответствие указанных мер тяжести нарушений, их потенциальной опасности для безопасности государства, а также не допускать необоснованное ограничение прав и законных интересов лицензиата;

9) доказывать обоснованность своих действий при их обжаловании лицензиатами в порядке, установленном законодательством Российской Федерации;

10) соблюдать сроки проведения проверки, установленные Федеральным законом от 26 декабря 2008 г. N 294-ФЗ "О защите прав юридических лиц и индивидуальных предпринимателей при осуществлении государственного контроля (надзора) и муниципального контроля";

11) не требовать от лицензиата документы и иные сведения, представление которых не предусмотрено законодательством Российской Федерации;

12) перед началом проведения выездной проверки по просьбе руководителя лицензиата (иного уполномоченного им лица) ознакомить их с положениями Регламента;

13) осуществлять запись о проведенной проверке в журнале учета проверок.

1.7. При осуществлении лицензионного контроля должностные лица ФСТЭК России (территориальных органов ФСТЭК России) не вправе:

1) проверять выполнение обязательных требований, не относящихся к компетенции ФСТЭК России;

2) осуществлять плановую или внеплановую выездную проверку в случае отсутствия при ее проведении руководителя лицензиата (иного уполномоченного им лица);

3) требовать представления документов, информации, если они не являются объектами проверки и не относятся к предмету проверки, а также изымать оригиналы таких документов;

4) распространять информацию, полученную в результате проведения проверки и составляющую государственную, коммерческую, служебную, иную охраняемую законом тайну, за исключением случаев, предусмотренных законодательством Российской Федерации;

5) превышать установленные сроки проведения проверки;

6) осуществлять выдачу лицензиатам предписаний или предложений о проведении за их счет мероприятий по контролю.

1.7.1. При осуществлении лицензионного контроля должностные лица ФСТЭК России (территориальных органов ФСТЭК России) вправе истребовать документы и информацию, необходимую для осуществления указанной государственной функции.

Права и обязанности лицензиата, в отношении которого осуществляются мероприятия по лицензионному контролю

1.8. Руководитель лицензиата (иное уполномоченное им лицо) при проведении лицензионного контроля имеет право:

1) непосредственно присутствовать при проведении проверки, давать объяснения по вопросам, относящимся к предмету проверки;

2) получать от должностных лиц ФСТЭК России информацию, которая относится к предмету проверки и предоставление которой предусмотрено законодательством Российской Федерации;

3) знакомиться с результатами проверки и указывать в акте проверки о своем ознакомлении с результатами проверки, согласии или несогласии с ними, а также с отдельными действиями должностных лиц ФСТЭК России;

4) обжаловать действия (бездействие) должностных лиц ФСТЭК России, повлекшие за собой нарушение прав лицензиата при проведении проверки, в административном и (или) судебном порядке в соответствии с законодательством Российской Федерации.

1.9. Руководитель лицензиата (иное уполномоченное им лицо) при проведении проверки обязан:

1) предоставить должностным лицам ФСТЭК России (территориального органа ФСТЭК России), проводящим выездную проверку, возможность ознакомиться с документами, связанными с целями, задачами и предметом выездной проверки, в случае, если выездной проверке не предшествовало проведение документарной проверки;

2) обеспечить доступ проводящих выездную проверку должностных лиц и участвующих в выездной проверке экспертов, представителей экспертных организаций на территорию, в используемые лицензиатом при осуществлении деятельности здания, строения, сооружения, помещения, к используемому лицензиатом оборудованию.

Результат исполнения государственной функции

1.10. Результатом исполнения государственной функции является составление должностными лицами ФСТЭК России (территориального органа ФСТЭК России) акта проверки соблюдения лицензиатом лицензионных требований.

1.11. В случае выявления при проведении проверки нарушения лицензиатом лицензионных требований результатами исполнения государственной функции являются:

выдача предписания об устранении выявленных нарушений лицензионных требований руководителю лицензиата (иному уполномоченному им лицу);

возбуждение дела об административном правонарушении (при наличии оснований, предусмотренных Кодексом Российской Федерации об административных правонарушениях).

II. Требования к порядку исполнения государственной функции по контролю за соблюдением лицензионных требований при осуществлении деятельности по разработке и производству средств защиты конфиденциальной информации

Порядок информирования об исполнении государственной функции

2.1. Информация о порядке исполнения государственной функции предоставляется:

посредством размещения на информационных стендах в ФСТЭК России (территориальных органах ФСТЭК России);

посредством размещения в федеральной государственной информационной системе "Единый портал государственных и муниципальных услуг (функций)" (www.gosuslugi.ru) и на официальном сайте ФСТЭК России в информационно-телекоммуникационной сети Интернет: http://www.fstec.ru (далее - сайт ФСТЭК России);

посредством использования средств телефонной связи, в письменной форме, а также по электронной почте.

2.2. Место нахождения ФСТЭК России:

г. Москва, ул. Старая Басманная, д. 17.

Почтовый адрес для направления документов и обращений:

ул. Старая Басманная, д. 17, Москва, 105066, Федеральная служба по техническому и экспортному контролю. (в ред. Приказа ФСТЭК РФ от 02.12.2014 N 134)

Место нахождения экспедиции ФСТЭК России:

г. Москва, ул. Старая Басманная, д. 17. (в ред. Приказа ФСТЭК РФ от 02.12.2014 N 134)

Часы работы экспедиции: (в ред. Приказа ФСТЭК РФ от 02.12.2014 N 134)

Понедельник - четверг - 10.00 - 13.00 и 14.00 - 17.00
(в ред. Приказа ФСТЭК РФ от 02.12.2014 N 134)
Пятница - 10.00 - 13.00 и 14.00 - 15.45
(в ред. Приказа ФСТЭК РФ от 02.12.2014 N 134)
Суббота, воскресенье - выходные дни.
(в ред. Приказа ФСТЭК РФ от 02.12.2014 N 134)

Телефон экспедиции: (495) 696-74-06. (в ред. Приказа ФСТЭК РФ от 02.12.2014 N 134)

Электронный адрес для направления обращений: postin@fstec.ru.

Номера телефонов ФСТЭК России, по которым осуществляется информирование по вопросам исполнения государственной функции: (495) 632-14-48, 693-68-68, 693-68-70 (дежурный).

Сведения о территориальных органах ФСТЭК России приведены в приложении N 1 к Регламенту.

2.3. На сайте ФСТЭК России размещается следующая информация:

ежегодный план проведения плановых проверок юридических лиц и индивидуальных предпринимателей по вопросам экспортного и лицензионного контроля, утверждаемый директором ФСТЭК России;

информация о результатах проверок, проведенных ФСТЭК России (территориальным органом ФСТЭК России);

текст Регламента с приложениями;

нормативные правовые акты, регламентирующие исполнение государственной функции;

график работы ФСТЭК России;

почтовые адреса ФСТЭК России и территориальных органов ФСТЭК России;

адрес электронной почты ФСТЭК России;

номера телефонов, по которым осуществляется информирование по вопросам исполнения государственной функции;

порядок обжалования решений и действий (бездействия) должностных лиц ФСТЭК России (территориальных органов ФСТЭК России), исполняющих государственную функцию.

2.4. Посредством телефонной связи может предоставляться следующая информация:

о нормативных правовых актах, регламентирующих вопросы исполнения государственной функции;

о порядке исполнения государственной функции;

о сроках исполнения государственной функции;

о местонахождении и графике работы ФСТЭК России (территориальных органов ФСТЭК России);

об адресах сайта и электронной почты ФСТЭК России (территориальных органов ФСТЭК России);

о ходе исполнения государственной функции.

По иным вопросам информация предоставляется только на основании соответствующего письменного обращения.

Сведения о размере платы за услуги организации (организаций), участвующей (участвующих) в исполнении государственной функции, взимаемой с лицензиата, в отношении которого проводится лицензионный контроль

2.5. Государственная функция исполняется бесплатно. Какие-либо организации в исполнении государственной функции не участвуют.

Срок исполнения государственной функции

2.6. Продолжительность проверки (от даты начала проверки до даты составления акта по результатам проверки) не может превышать двадцать рабочих дней. В случае если лицензиат является субъектом малого предпринимательства, общий срок проведения плановых выездных проверок не может превышать пятидесяти часов для малого предприятия и пятнадцати часов для микропредприятия в год.

2.7. С учетом сложности проверки, количества и объема проверяемых сведений на основании мотивированных предложений должностных лиц ФСТЭК России (территориальных органов ФСТЭК России), проводящих выездную плановую проверку, срок проведения проверки может быть продлен директором ФСТЭК России, руководителем территориального органа ФСТЭК России, но не более чем на двадцать рабочих дней, а в отношении малых предприятий не более чем на пятьдесят часов, микропредприятий не более чем на пятнадцать часов. (в ред. Приказа ФСТЭК РФ от 20.05.2015 N 60)

2.8. Срок проведения проверки в отношении лицензиата, который осуществляет свою деятельность на территориях нескольких субъектов Российской Федерации, устанавливается отдельно по каждому филиалу, представительству, обособленному структурному подразделению лицензиата, при этом общий срок проведения проверки не может превышать шестьдесят рабочих дней.

III. Состав, последовательность и сроки выполнения административных процедур (действий), требования к порядку их выполнения, в том числе особенности выполнения административных процедур (действий) в электронной форме

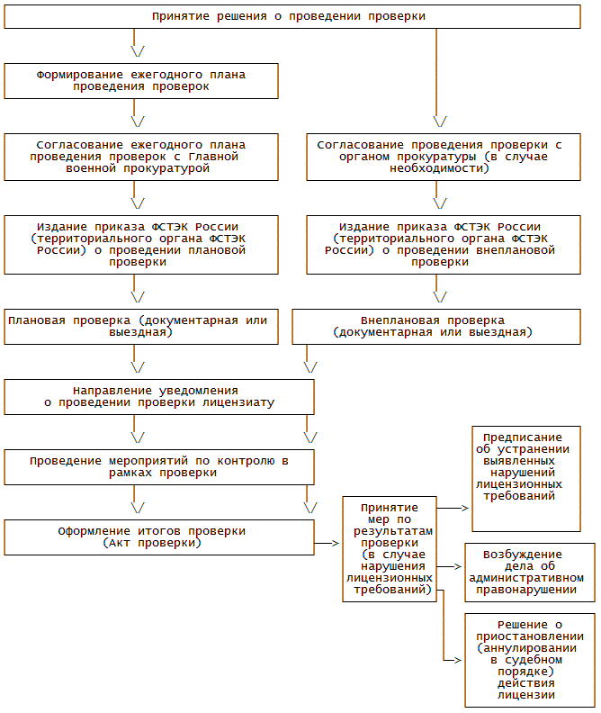
3.1. В рамках исполнении государственной функции выполняются следующие административные процедуры:

1) формирование ежегодного плана проведения проверок;

2) издание приказа ФСТЭК России (территориального органа ФСТЭК России) о проведении проверки;

3) направление уведомления о проведении проверки лицензиату;

4) проведение мероприятий по контролю в рамках проверки;

5) оформление итогов проверки;

6) принятие мер по результатам проверки.

3.2. Блок-схема исполнения государственной функции приведена в приложении N 2 к Регламенту.

3.3. Проверка проводится комиссией в составе двух и более работников ФСТЭК России (территориального органа ФСТЭК России) (далее - проверочная комиссия).

Формирование ежегодного плана проведения проверок

3.4. Плановые проверки проводятся на основании ежегодного плана проведения плановых проверок юридических лиц и индивидуальных предпринимателей по вопросам экспортного и лицензионного контроля (далее - ежегодный план), утверждаемого директором ФСТЭК России.

3.5. Основанием для включения проверки лицензиата в ежегодный план является:

истечение одного года со дня принятия решения о предоставлении лицензии или о переоформлении лицензии;

истечение трех лет со дня окончания проведения ФСТЭК России (территориальным органом ФСТЭК России) последней плановой проверки лицензиата.

3.6. В ежегодном плане указываются следующие сведения:

1) наименования лицензиатов - юридических лиц (их филиалов, представительств, обособленных структурных подразделений), фамилии, имена, отчества лицензиатов - индивидуальных предпринимателей, деятельность которых подлежит плановым проверкам, места нахождения лицензиатов - юридических лиц (их филиалов, представительств, обособленных структурных подразделений) или места фактического осуществления деятельности лицензиатами-индивидуальными предпринимателями; (в ред. Приказа ФСТЭК РФ от 20.05.2015 N 60)

2) цель и основание проведения каждой плановой проверки;

3) дата начала и сроки проведения каждой плановой проверки;

4) в случае проведения конкретной плановой проверки территориальным органом ФСТЭК России - наименование указанного территориального органа.

3.7. Территориальные органы ФСТЭК России в срок до 15 июля года, предшествующего году проведения плановых проверок, представляют в структурное подразделение ФСТЭК России, непосредственно осуществляющее государственную функцию (далее - Управление), предложения в проект ежегодного плана.

На основании предложений Управления и предложений, поступивших из территориальных органов ФСТЭК России, ответственный работник Управления готовит проект плана на соответствующий год (далее - проект плана).

Проект плана составляется в срок не позднее 31 июля года, предшествующего году проведения плановых проверок, в соответствии с типовой формой ежегодного плана проведения плановых проверок юридических лиц и индивидуальных предпринимателей (приложение к Правилам подготовки органами государственного контроля (надзора) и органами муниципального контроля ежегодных планов проведения плановых проверок юридических лиц и индивидуальных предпринимателей, утвержденным постановлением Правительства Российской Федерации от 30 июня 2010 г. N 489).

3.8. В срок не позднее 1 сентября года, предшествующего году проведения плановых проверок, проект плана направляется на согласование в Главную военную прокуратуру.

Главная военная прокуратура рассматривает проект ежегодного плана на предмет законности включения в него объектов государственного контроля (надзора) и в срок до 1 октября года, предшествующего году проведения плановых проверок, вносит предложения директору ФСТЭК России о проведении совместных плановых проверок.

В срок не позднее 6 октября года, предшествующего году проведения плановых проверок, полученные из Главной военной прокуратуры предложения о проведении совместных плановых проверок направляются ответственным работником Управления в территориальные органы ФСТЭК России на рассмотрение.

3.9. Территориальные органы ФСТЭК России до 15 октября года, предшествующего году проведения плановых проверок, представляют в ФСТЭК России уточненные предложения о проведении совместных плановых проверок для последующего включения в ежегодный план.

3.10. Утвержденный директором ФСТЭК России ежегодный план в срок до 1 ноября года, предшествующего году проведения плановых проверок, направляется в Главную военную прокуратуру на бумажном носителе (с приложением копии в электронном виде) заказным почтовым отправлением с уведомлением о вручении либо в форме электронного документа, подписанного электронной подписью.

Ежегодный план размещается на сайте ФСТЭК России, за исключением сведений, распространение которых ограничено или запрещено в соответствии с законодательством Российской Федерации.

3.11. Внесение изменений в ежегодный план допускается только в случае невозможности проведения плановой проверки лицензиата в связи с его ликвидацией или реорганизацией либо прекращением деятельности, подлежащей плановой проверке, а также с наступлением обстоятельств непреодолимой силы.

Сведения о внесенных в ежегодный план изменениях направляются в 10-дневный срок со дня их внесения в Главную военную прокуратуру на бумажном носителе (с приложением копии в электронном виде) заказным почтовым отправлением с уведомлением о вручении либо в форме электронного документа, подписанного электронной подписью, а также размещаются на сайте ФСТЭК России.

3.12. Проверка, не включенная в ежегодный план проверок, является внеплановой. Основаниями для проведения внеплановой проверки являются:

1) истечение срока исполнения лицензиатом ранее выданного ФСТЭК России (территориальным органом ФСТЭК России) предписания об устранении выявленного нарушения лицензионных требований;

2) поступление в ФСТЭК России (территориальный орган ФСТЭК России) обращений, заявлений граждан, в том числе индивидуальных предпринимателей, юридических лиц, информации от органов государственной власти, органов местного самоуправления, средств массовой информации о фактах грубых нарушений лицензиатом лицензионных требований;

3) приказ ФСТЭК России (территориального органа ФСТЭК России), изданный в соответствии с поручениями и указаниями Президента Российской Федерации и поручениями Правительства Российской Федерации;

4) наличие ходатайства лицензиата о проведении внеплановой выездной проверки в целях установления факта досрочного исполнения предписания ФСТЭК России (территориального органа ФСТЭК России);

5) требование прокурора о проведении внеплановой проверки в рамках надзора за исполнением законов по поступившим в органы прокуратуры материалам и обращениям.

3.13. Плановые и внеплановые проверки могут проводиться:

1) по месту нахождения ФСТЭК России (территориального органа ФСТЭК России) (далее - документарные проверки);

2) по месту осуществления деятельности лицензиатом (далее - выездные проверки).

3.14. Предметом документарной проверки являются содержащиеся в документах лицензиата сведения, относящиеся к осуществлению деятельности по разработке и производству средств защиты конфиденциальной информации.

3.15. Предметом выездной проверки является фактическая оценка на месте состояния помещений, зданий, технических средств, оборудования, иных объектов, которые предполагается использовать лицензиатом при выполнении работ при осуществлении деятельности по разработке и производству средств защиты конфиденциальной информации, соответствие работников лицензиата лицензионным требованиям, выполняемые работы, оказываемые услуги, принимаемые лицензиатом меры по соблюдению лицензионных требований, исполнению предписаний об устранении выявленных нарушений лицензионных требований.

3.16. Выездная проверка проводится в случае, если при документарной проверке не представляется возможным:

1) удостовериться в полноте и достоверности сведений, содержащихся в имеющихся в распоряжении ФСТЭК России (территориального органа ФСТЭК России) документах, представленных лицензиатом;

2) оценить соблюдение лицензиатом лицензионных требований без проведения соответствующих мероприятий по контролю.

Принятие решения о проведении проверки

3.17. Основанием для принятия решения о проведении проверки является:

наступление срока проведения проверки, включенной в ежегодный план;

наличие оснований, указанных в пункте 3.12 Регламента.

3.18. Обращения и заявления, не позволяющие установить лицо, обратившееся в ФСТЭК России (территориальный орган ФСТЭК России), а также обращения и заявления, не содержащие сведений о фактах грубого нарушения лицензиатом лицензионных требований, не могут служить основанием для проведения внеплановой проверки.

3.19. Проверки проводятся по решению директора ФСТЭК России или по решению руководителя территориального органа ФСТЭК России, согласованному с ФСТЭК России.

Решение о проведении проверки оформляется приказом ФСТЭК России (территориального органа ФСТЭК России) в соответствии с типовой формой распоряжения или приказа органа государственного контроля (надзора), органа муниципального контроля о проведении проверки юридического лица, индивидуального предпринимателя, утвержденной приказом Минэкономразвития России от 30 апреля 2009 г. N 141 "О реализации положений Федерального закона "О защите прав юридических лиц и индивидуальных предпринимателей при осуществлении государственного контроля (надзора) и муниципального контроля".

3.20. Внеплановая выездная проверка лицензиата по основанию, указанному в подпункте 2 пункта 3.12 Регламента, может быть проведена только после согласования с органом прокуратуры.

Заявление о согласовании проведения внеплановой выездной проверки с копией приказа ФСТЭК России (территориального органа ФСТЭК России) в день его подписания направляется в орган прокуратуры заказным почтовым отправлением с уведомлением о вручении или в форме электронного документа, подписанного электронной цифровой подписью. К заявлению прилагаются документы, которые содержат сведения, послужившие основанием для проведения проверки.

3.21. Если основанием для проведения внеплановой выездной проверки является причинение ущерба безопасности государства, ФСТЭК России (территориальный орган ФСТЭК России) вправе приступить к проведению внеплановой выездной проверки незамедлительно. В этом случае документы, указанные в пункте 3.20, направляются в органы прокуратуры в течение двадцати четырех часов.

3.22. При получении решения прокурора или его заместителя об отказе в согласовании проведения внеплановой выездной проверки директором ФСТЭК России или руководителем территориального органа ФСТЭК России принимается решение об отмене проверки и при необходимости - о направлении жалобы вышестоящему прокурору или в суд.

Направление уведомления о проведении проверки лицензиату

3.23. Ответственный работник ФСТЭК России (территориального органа ФСТЭК России) готовит проект уведомления о проведении проверки (далее - уведомление) и передает его на подпись начальнику Управления (руководителю (заместителю руководителя) территориального органа ФСТЭК России).

Подписанное уведомление направляется лицензиату:

1) при проведении плановой проверки - не позднее чем в течение трех рабочих дней до начала проведения проверки заказным почтовым отправлением с уведомлением о вручении или иным доступным способом;

2) при проведении внеплановой проверки - не менее чем за двадцать четыре часа до начала проведения проверки посредством факсимильной связи или электронной почты.

С уведомлением направляется заверенная печатью ФСТЭК России (территориального органа ФСТЭК России) копия приказа о проведении проверки.

3.24. ФСТЭК России (территориальный орган ФСТЭК России) вправе проводить внеплановую выездную проверку по основанию, указанному в подпункте 2 пункта 3.12 Регламента, без предварительного уведомления лицензиата.

Проведение мероприятий по контролю в рамках проверки

Порядок проведения выездной проверки

3.25. Основанием для начала проверки является приказ ФСТЭК России (территориального органа ФСТЭК России) о проведении плановой (внеплановой) выездной проверки.

3.26. Проведение проверки вправе осуществлять только те должностные лица ФСТЭК России (территориального органа ФСТЭК России), которые указаны в приказе ФСТЭК России (территориального органа ФСТЭК России) о проведении проверки.

3.27. По прибытии на место осуществления деятельности лицензиата члены проверочной комиссии предъявляют свои служебные удостоверения и вручают руководителю лицензиата (иному уполномоченному им лицу) заверенную печатью копию приказа ФСТЭК России (территориального органа ФСТЭК России) о проведении проверки.

3.28. Председатель проверочной комиссии знакомит подлежащих проверке лиц с целями, задачами, основаниями проведения выездной проверки, видами и объемом мероприятий по контролю, составом комиссии, со сроками и условиями проведения проверки.

По требованию подлежащих проверке лиц члены проверочной комиссии в целях подтверждения своих полномочий обязаны предоставить информацию о ФСТЭК России (территориальном органе ФСТЭК России) и ознакомить с Регламентом.

3.29. Председатель проверочной комиссии устанавливает время ежедневного пребывания членов проверочной комиссии в служебных помещениях лицензиата в течение срока проверки с учетом режима работы лицензиата.

Проведение проверок за рамками рабочего времени лицензиата не допускается без предварительного согласования с руководителем лицензиата (лицом, его замещающим).

3.30. В случае необоснованного препятствования лицензиата проведению проверки, уклонения лицензиата от проведения проверки проверочной комиссией составляется акт проверки в соответствии с Регламентом с указанием фактов необоснованного препятствования лицензиата проведению проверки, уклонения лицензиата от проведения проверки и принимается решение о возбуждении дела об административном правонарушении.

3.31. В качестве факта необоснованного препятствования лицензиата проведению проверки, уклонения лицензиата от проведения проверки является в том числе:

1) непринятие мер к обеспечению беспрепятственного доступа членов проверочной комиссии в здания и другие служебные помещения лицензиата;

2) непредставление документов или их копий на основании запроса (запросов) на предоставление документов, составленного председателем проверочной комиссии, в установленные сроки и в полном объеме при условии отсутствия письменного объяснения причин их непредоставления.

Порядок проведения документарной проверки

3.32. Основанием для начала проверки является приказ ФСТЭК России (территориального органа ФСТЭК России) о проведении плановой (внеплановой) документарной проверки.

3.33. Проведение проверки вправе осуществлять только те должностные лица ФСТЭК России (территориального органа ФСТЭК России), которые указаны в приказе ФСТЭК России (территориального органа ФСТЭК России) о проведении проверки.

3.34. Ответственное должностное лицо ФСТЭК России (территориального органа ФСТЭК России) формирует пакет документов о лицензиате из числа имеющихся в распоряжении ФСТЭК России (территориального органа ФСТЭК России) документов.

3.35. Члены проверочной комиссии рассматривают документы лицензиата, имеющиеся в распоряжении ФСТЭК России (территориального органа ФСТЭК России), в том числе акты предыдущих проверок, материалы рассмотрения дел об административных правонарушениях и иные документы о результатах мероприятий по контролю, осуществленных в отношении лицензиата.

3.36. В случае если достоверность сведений, содержащихся в документах, имеющихся в распоряжении ФСТЭК России (территориального органа ФСТЭК России), вызывает обоснованные сомнения либо эти сведения не позволяют оценить выполнение лицензиатом лицензионных требований, ФСТЭК России (территориальный орган ФСТЭК России) направляет в адрес лицензиата мотивированный запрос с требованием представить иные необходимые для рассмотрения в ходе проведения документарной проверки документы, относящиеся к предмету проверки. К запросу прилагается заверенная печатью копия приказа ФСТЭК России (территориального органа ФСТЭК России) о проведении плановой (внеплановой) документарной проверки.

3.37. Лицензиат обязан направить в ФСТЭК России (территориальный орган ФСТЭК России) указанные в запросе документы в течение 10 рабочих дней со дня получения мотивированного запроса.

Указанные в запросе документы представляются в виде копий, заверенных печатью лицензиата и подписью руководителя (или иного уполномоченного должностного лица) лицензиата.

В соответствии с пунктом 6 статьи 11 Федерального закона от 26 декабря 2008 г. N 294-ФЗ "О защите прав юридических лиц и индивидуальных предпринимателей при осуществлении государственного контроля (надзора) и муниципального контроля" лицензиат вправе представить указанные в запросе документы в форме электронных документов в порядке, определяемом Правительством Российской Федерации.

3.38. В случае если в ходе документарной проверки выявлены ошибки и (или) противоречия в представленных лицензиатом документах, либо несоответствие сведений, содержащихся в этих документах, сведениям, содержащимся в имеющихся у ФСТЭК России (территориального органа ФСТЭК России) документах и (или) полученных в ходе осуществления лицензионного контроля, член проверочной комиссии готовит лицензиату письмо с требованием дать необходимые пояснения в письменной форме в течение 10 рабочих дней.

3.39. Лицензиат, представляющий в ФСТЭК России (территориальный орган ФСТЭК России) пояснения относительно выявленных ошибок и (или) противоречий в представленных документах либо относительно несоответствия указанных в пункте 3.36 Регламента сведений, вправе представить дополнительно документы, подтверждающие достоверность ранее представленных документов.

3.40. Члены проверочной комиссии рассматривают полученные от лицензиата письменные пояснения и документы, подтверждающие достоверность ранее предоставленных документов, по существу выявленных несоответствий и противоречий.

3.41. При проведении документарной проверки члены проверочной комиссии не вправе требовать у лицензиата сведения и документы, не относящиеся к предмету документарной проверки, а также сведения и документы, которые могут быть получены ФСТЭК России (территориальным органом ФСТЭК России) от иных государственных органов.

Оформление итогов проверки

3.42. Акт проверки составляется в двух экземплярах, каждый из которых подписывается всеми членами проверочной комиссии, фактически осуществлявшими проверку.

В случае невозможности подписания акта проверки отдельными членами проверочной комиссии в акте проверки делается отметка о причине отсутствия соответствующей подписи.

В случае несогласия члена проверочной комиссии с содержанием акта проверки он излагает в письменной форме свое особое мнение, которое прилагается к акту проверки.

3.43. К акту проверки прилагаются протоколы или заключения проведенных исследований и экспертиз, объяснения работников лицензиата, на которых возлагается ответственность за нарушение обязательных требований, предписания об устранении выявленных нарушений и иные связанные с результатами проверки документы и их копии. К акту может прилагаться копия предписания об устранении выявленных нарушений.

3.44. Руководителем лицензиата (иным уполномоченным им лицом) на обоих экземплярах акта делается запись об ознакомлении либо об отказе в ознакомлении с актом проверки.

В случае отсутствия руководителя лицензиата (иного уполномоченного им лица), а также в случае отказа лицензиата дать расписку об ознакомлении либо об отказе в ознакомлении с актом проверки в обоих экземплярах акта делается соответствующая отметка об этом, которая удостоверяется подписями членов проверочной комиссии. В этом случае один экземпляр акта направляется заказным почтовым отправлением с уведомлением о вручении, которое приобщается к экземпляру акта проверки, хранящемуся в деле ФСТЭК России (территориального органа ФСТЭК России).

3.45. При проведении документарной проверки один экземпляр акта направляется лицензиату заказным почтовым отправлением с уведомлением о вручении в течение пяти дней со дня подписания акта.

3.46. В случае если для проведения внеплановой выездной проверки требовалось согласование ее проведения с органом прокуратуры, копия акта проверки направляется в орган прокуратуры, которым принято решение о согласовании проведения проверки, в течение пяти рабочих дней со дня составления акта проверки.

3.47. Результаты проверки, содержащие информацию ограниченного доступа, оформляются с соблюдением требований, предусмотренных законодательством Российской Федерации.

3.48. Лицензиат в случае несогласия с фактами, выводами, предложениями, изложенными в акте проверки, в течение 15 дней с даты получения акта проверки вправе представить в ФСТЭК России (территориальный орган ФСТЭК России) в письменной форме возражения в отношении акта проверки. При этом лицензиат вправе приложить к таким возражениям документы, подтверждающие обоснованность таких возражений, или их заверенные копии либо в согласованный срок передать их в ФСТЭК России (территориальный орган ФСТЭК России).

3.49. Председателем проверочной комиссии в журнале учета проверок осуществляется запись о проведенной проверке, содержащая сведения о датах начала и окончания проведения проверки, времени ее проведения, правовых основаниях, целях, задачах и предмете проверки, выявленных нарушениях и выданных предписаниях, а также указываются фамилии, имена, отчества и должности членов проверочной комиссии и их подписи.

При отсутствии журнала учета проверок в акте проверки делается соответствующая запись.

3.50. Акт проверки рассматривается лицом, назначившим проверку, в срок, не превышающий 10 рабочих дней от даты получения акта, подписанного руководителем лицензиата (иным уполномоченным им лицом).

3.51. По окончании проверки все материалы формируются в отдельное дело и подлежат хранению в ФСТЭК России (территориальном органе ФСТЭК России).

В случае проведения проверки территориальным органом ФСТЭК России копия акта в срок не позднее 10 дней от даты рассмотрения акта руководителем территориального органа ФСТЭК России направляется в ФСТЭК России.

Сведения о проведенной проверке вносятся в реестр лицензий на деятельность по разработке и производству средств защиты конфиденциальной информации работником ФСТЭК России, ответственным за ведение указанного реестра.

Принятие мер по результатам проверки

3.52. В случае выявления в результате проведения проверки нарушений лицензионных требований лицо, назначившее проверку, принимает в отношении лицензиата одно из следующих решений:

о выдаче руководителю лицензиата (иному уполномоченному им лицу) предписания об устранении выявленных нарушений лицензионных требований;

о возбуждении дела об административном правонарушении и рассмотрении его в рамках производства по делам об административных правонарушениях;

о передаче материалов по подведомственности, в том числе для решения вопроса о рассмотрении материалов в рамках производства по делам об административных правонарушениях.

Решение принимается в течение 10 дней и направляется лицензиату не позднее пяти рабочих дней со дня его принятия.

3.53. В случае принятия решения о выдаче предписания председатель проверочной комиссии составляет предписание в двух экземплярах.

В предписании указываются:

дата вынесения предписания;

наименование и место нахождения, места осуществления лицензируемой деятельности и сведения о государственной регистрации лицензиата;

ссылка на акт проверки, по результатам рассмотрения которого принято решение о вынесении предписания;

содержание нарушений, включая ссылки на положения нормативных правовых актов Российской Федерации, требования которых были нарушены;

сроки устранения нарушения;

способы извещения об устранении и подтверждения факта устранения нарушений.

Предписание подписывается председателем проверочной комиссии.

3.54. Предписание об устранении выявленных нарушений является неотъемлемым приложением к акту проверки и подлежит вручению руководителю лицензиата (иному уполномоченному им лицу) одновременно с вручением ему экземпляра акта проверки. Подготовка, оформление или вручение предписания об устранении нарушения после подписания и вручения акта проверки не допускаются.

3.55. Лицензиат обязан исполнить предписание в указанный в нем срок и представить в ФСТЭК России (территориальный орган ФСТЭК России - в случае проведения проверки комиссией территориального органа ФСТЭК России) уведомление об исполнении предписания.

К уведомлению прилагаются надлежащим образом оформленные (сшитые, пронумерованные, подписанные руководителем лицензиата или иным уполномоченным им лицом и скрепленные печатью лицензиата) копии документов, подтверждающих исполнение указанных в предписании требований.

3.56. Лицензиат вправе обжаловать предписание во внесудебном либо судебном порядке. Факт обжалования акта проверки или предписания об устранении нарушения не является самостоятельным основанием для приостановления или прекращения исполнения требований, указанных в таком предписании.

3.57. В случае непредставления лицензиатом в установленные сроки уведомления об исполнении предписания лицо, назначившее проверку:

уведомляет лицензиата о продлении сроков устранения нарушений (в случае наличия уважительных причин, не позволивших в установленные сроки устранить указанные нарушения) и направляет лицензиату повторное предписание;

рассматривает вопрос о приостановлении действия лицензии, о привлечении лицензиата к административной ответственности, о направлении в суд заявления об аннулировании лицензии.

3.58. Решение об аннулировании или приостановлении действия лицензии доводится до сведения лицензиата в письменной форме (с соответствующим обоснованием) в 10-дневный срок с даты его принятия.

3.59. В случае принятия решения о приостановлении действия лицензии устанавливается срок устранения лицензиатом обстоятельств, повлекших за собой приостановление действия лицензии. Указанное решение оформляется приказом ФСТЭК России.

Если в установленный срок лицензиат не устранит указанные обстоятельства, лицензия подлежит аннулированию в судебном порядке.

3.60. Решение о возобновлении действия лицензии в случае приостановления ее действия может быть принято после представления лицензиатом в ФСТЭК России документов, подтверждающих устранение обстоятельств, повлекших за собой приостановление действия лицензии.

Решение о возобновлении действия лицензии оформляется приказом ФСТЭК России и доводится до сведения лицензиата в 10-дневный срок от даты его подписания.

3.61. В случае если по результатам проверки в отношении лицензиата возбуждено дело об административном правонарушении, то дальнейшие действия членов проверочной комиссии осуществляются в соответствии с требованиями Кодекса Российской Федерации об административных правонарушениях.

3.62. В случае выявления при проведении проверки нарушений лицензиатом требований законодательства Российской Федерации, контроль за соблюдением которых не входит в компетенцию ФСТЭК России, материалы, полученные при проведении проверки, в срок не позднее 10 рабочих дней с даты выявления таких нарушений направляются в соответствующий контрольный (надзорный) орган.

IV. Порядок и формы контроля за исполнением государственной функции

4.1. Текущий контроль за соблюдением и исполнением должностными лицами ФСТЭК России (территориальных органов ФСТЭК России) положений Регламента и иных нормативных правовых актов, устанавливающих требования к исполнению государственной функции, осуществляется должностными лицами ФСТЭК России (территориальных органов ФСТЭК России), ответственными за организацию проверок.

4.2. Контроль за подготовкой, проведением и оформлением результатов проверок должностными лицами ФСТЭК России (территориальных органов ФСТЭК России) осуществляют:

1) заместитель руководителя территориального органа ФСТЭК России, на которого решением руководителя территориального органа ФСТЭК России возложена данная функция;

2) руководитель территориального органа ФСТЭК России;

3) начальник отдела в Управлении, непосредственно отвечающего за организацию, обеспечение и проведение проверок;

4) заместитель начальника Управления, на которого решением директора ФСТЭК России возложена данная обязанность;

5) начальник Управления;

6) заместитель директора ФСТЭК России, курирующий деятельность Управления;

7) директор ФСТЭК России.

4.3. Текущий контроль осуществляется путем проведения ответственным должностным лицом ФСТЭК России (территориального органа ФСТЭК России) проверок соблюдения и исполнения должностными лицами ФСТЭК России (территориального органа ФСТЭК России) положений Регламента, иных нормативных правовых актов Российской Федерации.

4.4. Периодичность осуществления текущего контроля устанавливается директором ФСТЭК России (руководителем территориального органа ФСТЭК России).

4.5. Контроль за полнотой и качеством организации и проведения проверки включает в себя проведение проверок полноты и качества организации проверок, выявление и устранение нарушений прав лицензиатов, рассмотрение, принятие решений и подготовку ответов на обращения лицензиатов, содержащих жалобы на решения, действия (бездействие) должностных лиц ФСТЭК России (территориальных органов ФСТЭК России).

4.6. Контроль полноты и качества организации и проведения проверок осуществляется центральным аппаратом ФСТЭК России в отношении территориальных органов ФСТЭК России в плановом и внеплановом порядке.

4.7. Плановый контроль организации и проведения проверок осуществляется в рамках контроля за деятельностью территориальных органов ФСТЭК России, в соответствии с годовыми планами работы ФСТЭК России, в форме выездных проверок.

4.8. Внеплановый контроль осуществляется в рамках рассмотрения жалоб на действия должностных лиц территориальных органов ФСТЭК России и может осуществляться в форме как выездных, так и документарных проверок.

4.9. Контроль в отношении действий должностных лиц центрального аппарата ФСТЭК России при организации и проведении проверок осуществляется в рамках рассмотрения жалоб на их действия.

4.10. По результатам проведенных проверок в случае выявления фактов нарушений прав лицензиатов виновные должностные лица ФСТЭК России (территориальных органов ФСТЭК России) подлежат привлечению к ответственности в соответствии с законодательством Российской Федерации.

4.11. Директор ФСТЭК России (руководитель территориального органа ФСТЭК России), его заместитель, принявшие решение о проведении проверки, несут персональную ответственность за правильность и обоснованность принятого решения.

4.12. Должностные лица ФСТЭК России (территориального органа ФСТЭК России), уполномоченные на проведение проверки, несут персональную ответственность за соблюдение срока и установленного порядка проведения проверки, соблюдение прав лицензиата.

4.13. Персональная ответственность должностных лиц ФСТЭК России (территориальных органов ФСТЭК России) закрепляется в их должностных регламентах в соответствии с требованиями законодательства Российской Федерации.

4.14. Для проведения проверки полноты и качества организации и проведения проверок формируется комиссия, в состав которой включаются должностные лица ФСТЭК России.

Результаты деятельности комиссии оформляются в виде справки, в которой отмечаются выявленные недостатки и предложения по их устранению.

Справка подписывается председателем комиссии по проверке.

4.15. Для начала внеплановой процедуры проверки полноты и качества организации и проведения проверок по заявлению лица такое лицо должно обратиться в ФСТЭК России (территориальный орган ФСТЭК России) с жалобой на действия (бездействие) должностного лица (лиц) ФСТЭК России (территориального органа ФСТЭК России).

4.16. Контроль за исполнением государственной функции ФСТЭК России (территориальным органом ФСТЭК России), их должностными лицами может осуществляться со стороны граждан, их объединений и организаций путем направления в адрес ФСТЭК России (территориального органа ФСТЭК России):

1) предложений о совершенствовании нормативных правовых актов, регламентирующих исполнение должностными лицами ФСТЭК России (территориального органа ФСТЭК России) государственной функции;

2) сообщений о нарушении положений нормативных правовых актов, недостатках в работе ФСТЭК России (территориального органа ФСТЭК России), их должностных лиц;

3) жалоб по фактам нарушения должностными лицами ФСТЭК России (территориального органа ФСТЭК России) прав и законных интересов граждан.

V. Досудебный (внесудебный) порядок обжалования решений и действий (бездействия) ФСТЭК России (территориальных органов ФСТЭК России), а также их должностных лиц при исполнении государственной функции

5.1. Решения и действия (бездействие) ФСТЭК России (территориального органа ФСТЭК России в случае проведения проверки комиссией территориального органа ФСТЭК России), а также их должностных лиц при исполнении государственной функции могут обжаловаться лицензиатом, проверка которого проводилась (далее - заявитель), в досудебном (внесудебном) порядке директору ФСТЭК России (руководителю территориального органа ФСТЭК России).

5.2. В жалобе указываются:

должность, фамилия, имя и отчество работника (при наличии информации), решение, действие (бездействие) которого обжалуется;

фамилия, имя, отчество заявителя или полное наименование организации;

почтовый адрес, по которому должен быть направлен ответ;

предмет жалобы;

личная подпись заявителя и дата.

Дополнительно в жалобе могут быть указаны:

обстоятельства, на основании которых заявитель считает, что нарушены его права, свободы и законные интересы, созданы препятствия к их реализации либо незаконно возложена какая-либо обязанность;

иные сведения, которые заявитель считает необходимым сообщить.

5.3. К жалобе могут быть приложены копии документов, подтверждающих изложенные в ней обстоятельства. В таком случае в жалобе приводится перечень прилагаемых к ней документов.

5.4. Жалоба, поступившая в форме электронного документа, должна содержать:

фамилию, имя, отчество заявителя или полное наименование организации, адрес электронной почты, если ответ должен быть направлен в форме электронного документа, и почтовый адрес, если ответ должен быть направлен в письменной форме. Заявитель вправе приложить к такому обращению необходимые документы и материалы в электронной форме либо направить указанные документы и материалы или их копии в письменной форме.

5.5. Основанием для досудебного (внесудебного) обжалования является поступление жалобы в ФСТЭК России (территориальный орган ФСТЭК России) в ходе личного приема заявителя (представителя заявителя), в форме электронного документа или в письменной форме.

5.6. Заявитель вправе запросить информацию и документы, необходимые для обоснования и рассмотрения его жалобы.

5.7. Если документы, имеющие существенное значение для рассмотрения жалобы, отсутствуют или не приложены к ней, заявитель в пятидневный срок с момента регистрации жалобы уведомляется (письменно, с использованием средств телефонной связи либо по электронной почте) о том, что рассмотрение жалобы и принятие решения будут осуществляться без учета доводов, в подтверждение которых документы не представлены.

5.8. Должностные лица ФСТЭК России (территориального органа ФСТЭК России):

обеспечивают объективное, всестороннее и своевременное рассмотрение обращения, в случае необходимости - с участием заявителя, направившего жалобу, или его законного представителя;

вправе запрашивать необходимые для рассмотрения жалобы документы и материалы в других государственных органах, органах местного самоуправления и у иных должностных лиц, за исключением судов, органов дознания и органов предварительного следствия;

по результатам рассмотрения жалобы принимают меры, направленные на восстановление или защиту нарушенных прав, свобод и законных интересов заявителя, дают письменный ответ по существу поставленных в жалобе вопросов.

5.9. Жалоба, поступившая в ФСТЭК России (территориальный орган ФСТЭК России), рассматривается в течение 30 дней со дня ее регистрации.

5.10. В исключительных случаях, предусмотренных законодательством Российской Федерации, директор ФСТЭК России (руководитель территориального органа ФСТЭК России) вправе продлить срок рассмотрения жалобы не более чем на 30 дней, уведомив о продлении срока ее рассмотрения заявителя, направившего жалобу.

5.11. В случае если в письменной жалобе не указаны фамилия заявителя, направившего жалобу, и (или) почтовый адрес, по которому должен быть направлен ответ, ответ на жалобу не дается.

5.12. При поступлении в ФСТЭК России (территориальный орган ФСТЭК России) жалобы, в которой содержатся нецензурные либо оскорбительные выражения, угрозы имуществу государственного органа, угрозы имуществу, жизни, здоровью должностного лица, а также членов его семьи, директор ФСТЭК России (руководитель территориального органа ФСТЭК России) вправе оставить жалобу без ответа по существу поставленных в ней вопросов и сообщить заявителю, направившему жалобу, о недопустимости злоупотребления правом.

5.13. В случае если текст жалобы не поддается прочтению, ответ на жалобу не дается, о чем сообщается заявителю, направившему жалобу, если его фамилия и почтовый адрес поддаются прочтению.

5.14. В случае если в жалобе содержится вопрос, на который многократно давались письменные ответы по существу в связи с ранее направляемыми жалобами, и при этом в жалобе не приводятся новые доводы или обстоятельства, директор ФСТЭК России (руководитель территориального органа ФСТЭК России) вправе принять решение о безосновательности очередной жалобы и прекращении переписки с заявителем по данному вопросу при условии, что указанная жалоба и ранее направляемые жалобы направлялись в один и тот же государственный орган. О данном решении уведомляется заявитель, направивший жалобу.

5.15. В случае если ответ по существу поставленного в жалобе вопроса не может быть дан без разглашения сведений, составляющих государственную или иную охраняемую федеральным законом тайну, заявителю, направившему жалобу, сообщается о невозможности дать ответ по существу поставленного в ней вопроса в связи с недопустимостью разглашения указанных сведений.

5.16. Ответ на жалобу подписывается директором ФСТЭК России (руководителем территориального органа ФСТЭК России).

5.17. Ответ на жалобу, поступившую в ФСТЭК России (территориальный орган ФСТЭК России), направляется по почтовому адресу, указанному в жалобе, или по адресу электронной почты, если ответ должен быть направлен в форме электронного документа.

5.18. В случае подтверждения фактов, изложенных в жалобе:

а) в отношении должностных лиц проводится служебная проверка, по итогам которой могут быть приняты меры дисциплинарного характера;

б) в отношении нарушения порядка проведения плановых и внеплановых проверок или оформления результатов плановых и внеплановых проверок акт проверки, предписание об устранении выявленного нарушения подлежат отмене.

Приложение N 1
к Регламенту

СВЕДЕНИЯ О ТЕРРИТОРИАЛЬНЫХ ОРГАНАХ ФСТЭК РОССИИ

Управление ФСТЭК России по Центральному федеральному округу 117342, г. Москва, Севастопольский проспект, д. 56/40, стр. 1, 8 (495) 334-16-21, cfo@fstec.ru
Управление ФСТЭК России по Северо-Западному федеральному округу 190000, г. Санкт-Петербург, Исаакиевская пл., д. 11 8 (812) 315-09-03, szfo@fstec.ru
Управление ФСТЭК России по Приволжскому федеральному округу 603104, г. Нижний Новгород, проспект Гагарина, д. 60, корп. 11, 8 (831) 439-68-76, pfo@fstec.ru
Управление ФСТЭК России по Южному и Северо-Кавказскому федеральным округам 344079, г. Ростов-на-Дону, ул. Я. Галана, д. 1-Е/25, 8 (863) 200-75-20, uzhfo@fstec.ru
Управление ФСТЭК России по Уральскому федеральному округу 620078, г. Екатеринбург, ул. Гагарина, д. 28-Б, 8 (343) 371-18-53, ufo@fstec.ru
Управление ФСТЭК России по Сибирскому федеральному округу 630091, г. Новосибирск, Красный проспект, д. 41, 8 (383) 203-54-06, sfo@fstec.ru
Управление ФСТЭК России по Дальневосточному федеральному округу 680030, г. Хабаровск, ул. Ленина, д. 37, 8 (4212) 91-10-45, dfo@fstec.ru

Приложение N 2
к Регламенту

БЛОК-СХЕМА
ИСПОЛНЕНИЯ ГОСУДАРСТВЕННОЙ ФУНКЦИИ ПО КОНТРОЛЮ ЗА СОБЛЮДЕНИЕМ ЛИЦЕНЗИОННЫХ ТРЕБОВАНИЙ ПРИ ОСУЩЕСТВЛЕНИИ ДЕЯТЕЛЬНОСТИ ПО РАЗРАБОТКЕ И ПРОИЗВОДСТВУ СРЕДСТВ ЗАЩИТЫ КОНФИДЕНЦИАЛЬНОЙ ИНФОРМАЦИИ