Постановление Правительства РФ от 05.05.2011 N 345

"О предоставлении и распределении субсидий из федерального бюджета бюджетам субъектов Российской Федерации на приобретение специализированной лесопожарной техники и оборудования в рамках подпрограммы "Охрана и защита лесов" государственной программы Российской Федерации "Развитие лесного хозяйства" на 2013 - 2020 годы"
Редакция от 25.05.2016 — Документ утратил силу, см. «Постановление Правительства РФ от 05.10.2016 N 1000»
Показать изменения

ПРАВИТЕЛЬСТВО РОССИЙСКОЙ ФЕДЕРАЦИИ

ПОСТАНОВЛЕНИЕ
от 5 мая 2011 г. N 345

О ПРЕДОСТАВЛЕНИИ И РАСПРЕДЕЛЕНИИ СУБСИДИЙ ИЗ ФЕДЕРАЛЬНОГО БЮДЖЕТА БЮДЖЕТАМ СУБЪЕКТОВ РОССИЙСКОЙ ФЕДЕРАЦИИ НА ПРИОБРЕТЕНИЕ СПЕЦИАЛИЗИРОВАННОЙ ЛЕСОПОЖАРНОЙ ТЕХНИКИ И ОБОРУДОВАНИЯ В РАМКАХ ПОДПРОГРАММЫ "ОХРАНА И ЗАЩИТА ЛЕСОВ" ГОСУДАРСТВЕННОЙ ПРОГРАММЫ РОССИЙСКОЙ ФЕДЕРАЦИИ "РАЗВИТИЕ ЛЕСНОГО ХОЗЯЙСТВА" НА 2013 - 2020 ГОДЫ

(в ред. Постановлений Правительства РФ от 05.10.2012 N 1016, от 01.11.2012 N 1128, от 28.05.2014 N 487, от 25.05.2016 N 464)

Правительство Российской Федерации постановляет:

Утвердить прилагаемые:

Правила предоставления и распределения субсидий из федерального бюджета бюджетам субъектов Российской Федерации на приобретение специализированной лесопожарной техники и оборудования;

распределение на 2011 год субсидий из федерального бюджета бюджетам субъектов Российской Федерации на приобретение специализированной лесопожарной техники и оборудования в рамках подпрограммы "Охрана и защита лесов" государственной программы Российской Федерации "Развитие лесного хозяйства" на 2013 - 2020 годы. (в ред. Постановления Правительства РФ от 28.05.2014 N 487)

Председатель Правительства
Российской Федерации
В.ПУТИН

УТВЕРЖДЕНЫ
Постановлением Правительства
Российской Федерации
от 5 мая 2011 г. N 345

ПРАВИЛА
ПРЕДОСТАВЛЕНИЯ И РАСПРЕДЕЛЕНИЯ СУБСИДИЙ ИЗ ФЕДЕРАЛЬНОГО БЮДЖЕТА БЮДЖЕТАМ СУБЪЕКТОВ РОССИЙСКОЙ ФЕДЕРАЦИИ НА ПРИОБРЕТЕНИЕ СПЕЦИАЛИЗИРОВАННОЙ ЛЕСОПОЖАРНОЙ ТЕХНИКИ И ОБОРУДОВАНИЯ В РАМКАХ ПОДПРОГРАММЫ "ОХРАНА И ЗАЩИТА ЛЕСОВ" ГОСУДАРСТВЕННОЙ ПРОГРАММЫ РОССИЙСКОЙ ФЕДЕРАЦИИ "РАЗВИТИЕ ЛЕСНОГО ХОЗЯЙСТВА" НА 2013 - 2020 ГОДЫ

(в ред. Постановлений Правительства РФ от 05.10.2012 N 1016, от 01.11.2012 N 1128, от 28.05.2014 N 487, от 25.05.2016 N 464)

1. Настоящие Правила устанавливают порядок предоставления и распределения субсидий из федерального бюджета бюджетам субъектов Российской Федерации на приобретение специализированной лесопожарной техники и оборудования в рамках подпрограммы "Охрана и защита лесов" государственной программы Российской Федерации "Развитие лесного хозяйства" на 2013 - 2020 годы (далее - субсидии). (в ред. Постановления Правительства РФ от 28.05.2014 N 487)

2. Субсидии предоставляются Федеральным агентством лесного хозяйства в целях софинансирования мероприятий по приобретению специализированной лесопожарной техники и оборудования для оснащения специализированных государственных учреждений, подведомственных органам исполнительной власти субъектов Российской Федерации, для выполнения работ по тушению лесных пожаров и осуществлению мер пожарной безопасности в лесах (далее соответственно - мероприятия, специализированные учреждения).

3. Условиями предоставления субсидии являются:

а) наличие в законе субъекта Российской Федерации о бюджете субъекта Российской Федерации бюджетных ассигнований на финансовое обеспечение приобретения специализированной лесопожарной техники и оборудования;

б) наличие утвержденных региональных (муниципальных) программ, предусматривающих приобретение специализированной лесопожарной техники и оборудования;

в) согласование с Федеральным агентством лесного хозяйства перечня закупаемой специализированной лесопожарной техники и оборудования;

г) обязательства субъекта Российской Федерации по обеспечению соответствия значений показателей, устанавливаемых региональными (муниципальными) программами, иными правовыми актами субъекта Российской Федерации и органов местного самоуправления, значениям показателей результативности предоставления субсидий, установленным соглашением между Федеральным агентством лесного хозяйства и высшим исполнительным органом государственной власти субъекта Российской Федерации о предоставлении субсидии (далее - соглашение).

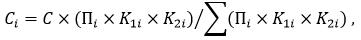
4. Распределение общего размера субсидий между субъектами Российской Федерации осуществляется по следующей формуле:

где:

- размер субсидии, предоставляемой бюджету i-го субъекта Российской Федерации;

- общий размер субсидий;

- сумма площадей земель лесного фонда, в отношении которых осуществляется мониторинг пожарной опасности в лесах и лесных пожаров на территории субъекта Российской Федерации (по информации субъектов Российской Федерации, полученной в результате сверки исходных данных по определению указанных площадей земель лесного фонда, осуществляемой Федеральным агентством лесного хозяйства до 20 августа года, предшествующего планируемому); (в ред. Постановления Правительства РФ от 28.05.2014 N 487)

- коэффициент природной пожарной опасности, отражающий оценку природной пожарной опасности лесов, расположенных на территории субъекта Российской Федерации, определяемый в соответствии с пунктом 8 методики распределения между субъектами Российской Федерации субвенций из Федерального фонда компенсаций для осуществления отдельных полномочий Российской Федерации в области лесных отношений, реализация которых передана органам государственной власти субъектов Российской Федерации, утвержденной постановлением Правительства Российской Федерации от 29 декабря 2006 г. N 838 "Об утверждении методики распределения между субъектами Российской Федерации субвенций из Федерального фонда компенсаций для осуществления отдельных полномочий Российской Федерации в области лесных отношений, реализация которых передана органам государственной власти субъектов Российской Федерации";

- коэффициент рекреационной нагрузки, отражающий влияние плотности населения в субъекте Российской Федерации на количество возникающих в этом субъекте пожаров, определяемый согласно приложению к указанной методике. (в ред. Постановления Правительства РФ от 05.10.2012 N 1016)

5. Пункт утратил силу. (в ред. Постановления Правительства РФ от 05.10.2012 N 1016)

6. Уровень софинансирования расходного обязательства субъекта Российской Федерации за счет субсидии определяется по следующей формуле:

где:

- уровень софинансирования расходного обязательства субъекта Российской Федерации;

0,95 - средний уровень софинансирования расходного обязательства субъекта Российской Федерации за счет субсидии;

- уровень расчетной бюджетной обеспеченности субъекта Российской Федерации после распределения дотаций на очередной финансовый год, рассчитанный в соответствии с методикой распределения дотаций на выравнивание бюджетной обеспеченности субъектов Российской Федерации, утвержденной постановлением Правительства Российской Федерации от 22 ноября 2004 г. N 670 "О распределении дотаций на выравнивание бюджетной обеспеченности субъектов Российской Федерации".

Уровень софинансирования расходного обязательства субъекта Российской Федерации не может быть установлен выше 95 процентов и ниже 5 процентов расходного обязательства.

7. Показателем результативности предоставления субсидии является уменьшение площади земель лесного фонда, которые были охвачены пожарами, на территории субъекта Российской Федерации.

Показатель результативности определяется как отношение площади земель лесного фонда, которые были охвачены пожарами в отчетном году, с районами применения наземных сил и средств пожаротушения к средней площади земель лесного фонда, которые были охвачены пожарами в предыдущие 5 лет, с районами применения наземных сил и средств пожаротушения. (в ред. Постановления Правительства РФ от 28.05.2014 N 487)

В случае если субъект Российской Федерации не достиг показателя результативности в отчетном году, размер субсидии на следующий год снижается не более чем на 10 процентов.

8. Орган, уполномоченный высшим исполнительным органом государственной власти субъекта Российской Федерации (далее - уполномоченный орган), имеющего право на получение субсидии, в месячный срок после опубликования распределения субсидий между субъектами Российской Федерации представляет в Федеральное агентство лесного хозяйства заявку на предоставление субсидии, в которой указываются необходимый объем средств в пределах предусмотренной субсидии, расходное обязательство на приобретение специализированной лесопожарной техники и оборудования и срок возникновения денежного обязательства субъекта Российской Федерации в целях исполнения указанного расходного обязательства.

Форма заявки на предоставление субсидии и порядок ее представления устанавливаются Министерством природных ресурсов и экологии Российской Федерации. (в ред. Постановления Правительства РФ от 01.11.2012 N 1128)

Вместе с заявкой представляется копия свидетельства о государственной регистрации специализированного учреждения.

9. В случае если уполномоченный орган не представил заявку на предоставление субсидии либо размер средств, предусмотренных в консолидированном бюджете субъекта Российской Федерации на финансирование мероприятий, указанных в пункте 2 настоящих Правил, не позволяет обеспечить установленный в соответствии с пунктом 6 настоящих Правил уровень софинансирования, размер субсидии, предоставляемой бюджету субъекта Российской Федерации, подлежит сокращению с целью обеспечения соответствующего уровня софинансирования, а высвобождающиеся средства перераспределяются Федеральным агентством лесного хозяйства между бюджетами других субъектов Российской Федерации (при наличии потребности), имеющих право на получение субсидий в соответствии с настоящими Правилами.

При отсутствии потребности высвободившиеся средства федерального бюджета по решению Федерального агентства лесного хозяйства могут быть перераспределены на приобретение специализированной лесопожарной техники и оборудования между бюджетами субъектов Российской Федерации, в которых возникали чрезвычайные ситуации с лесными пожарами (при представлении подтверждающих документов) и которые подтвердили необходимый уровень софинансирования за счет средств соответствующих бюджетов расходного обязательства, на исполнение которого предоставляется субсидия.

10. Субсидия предоставляется на основании соглашения, в котором предусматриваются следующие положения:

а) наличие нормативного правового акта субъекта Российской Федерации, устанавливающего расходное обязательство субъекта Российской Федерации, на исполнение которого предоставляется субсидия;

б) порядок осуществления контроля за соблюдением субъектом Российской Федерации условий соглашения;

в) сроки и порядок представления отчетности об осуществлении расходов бюджета субъекта Российской Федерации, источником финансового обеспечения которых является субсидия, а также отчетности о достижении установленных значений целевых показателей результативности предоставления субсидии по формам и в сроки, которые установлены Министерством природных ресурсов и экологии Российской Федерации; (в ред. Постановления Правительства РФ от 01.11.2012 N 1128)

г) размер предоставляемой субсидии, условия ее предоставления и расходования;

д) значения показателей результативности предоставления субсидии;

е) обязательство субъекта Российской Федерации о достижении значений показателей результативности предоставления субсидии;

ж) последствия недостижения субъектом Российской Федерации установленных значений показателей результативности предоставления субсидии;

з) перечень специализированной лесопожарной техники и оборудования, закупка которых осуществляется субъектом Российской Федерации с использованием субсидии;

и) обязательство субъекта Российской Федерации об использовании специализированной лесопожарной техники и оборудования в целях, предусмотренных пунктом 2 настоящих Правил;

к) график перечисления субсидии по форме и в сроки, которые предусмотрены соглашением.

11. Форма соглашения утверждается Министерством природных ресурсов и экологии Российской Федерации. (в ред. Постановления Правительства РФ от 01.11.2012 N 1128)

12. Уполномоченный орган ежеквартально, не позднее 15-го числа месяца, следующего за отчетным кварталом, представляет в Федеральное агентство лесного хозяйства отчет об осуществлении расходов бюджета субъекта Российской Федерации, источником финансового обеспечения которых является субсидия.

13. Субсидия предоставляется бюджету субъекта Российской Федерации в пределах бюджетных ассигнований, предусмотренных в федеральном законе о федеральном бюджете на соответствующий финансовый год и плановый период, и лимитов бюджетных обязательств, утвержденных Федеральному агентству лесного хозяйства на цели, указанные в пункте 2 настоящих Правил.

14. Операции по кассовым расходам бюджетов субъектов Российской Федерации, источником финансирования которых являются субсидии, в том числе их остатки, не использованные на 1 января текущего финансового года, осуществляются с учетом особенностей, установленных федеральным законом о федеральном бюджете на текущий финансовый год и плановый период.

Перечисление субсидий осуществляется с учетом положений соглашения.

Информация об объемах и сроках перечисления субсидий учитывается Федеральным агентством лесного хозяйства при формировании прогноза кассовых выплат федерального бюджета, необходимого для составления в установленном порядке кассового плана исполнения федерального бюджета.

Перечисление субсидий осуществляется на счета, открытые территориальным органам Федерального казначейства для учета поступлений и их распределения между бюджетами бюджетной системы Российской Федерации, для последующего перечисления в установленном порядке в бюджеты субъектов Российской Федерации.

15. Не использованные на 1 января текущего финансового года остатки субсидий подлежат возврату в федеральный бюджет органами государственной власти субъектов Российской Федерации, за которыми согласно законодательным и иным нормативным правовым актам закреплены источники доходов бюджетов субъектов Российской Федерации по возврату остатков субсидий, в соответствии с требованиями, установленными Бюджетным кодексом Российской Федерации и федеральным законом о федеральном бюджете на текущий финансовый год и плановый период.

В соответствии с решением Федерального агентства лесного хозяйства о наличии потребности в не использованных в текущем финансовом году остатках субсидий средства в объеме, не превышающем указанные остатки, подлежат перечислению в очередном финансовом году из федерального бюджета в бюджеты субъектов Российской Федерации в целях финансового обеспечения расходов бюджетов Российской Федерации, соответствующих условиям предоставления субсидий.

В случае если неиспользованные остатки субсидий не перечислены в доход федерального бюджета, указанные средства подлежат взысканию в доход федерального бюджета в порядке, установленном Министерством финансов Российской Федерации.

16. Уполномоченные органы несут ответственность за нецелевое использование субсидий и недостоверность отчетности, представляемой в соответствии с соглашениями в Федеральное агентство лесного хозяйства.

В случае нарушения субъектом Российской Федерации условий предоставления субсидии, а также несоблюдения установленного уровня софинансирования перечисление субсидии приостанавливается в порядке, установленном Министерством финансов Российской Федерации.

При этом Федеральное агентство лесного хозяйства сообщает в течение 10 рабочих дней в уполномоченный орган о приостановлении предоставления субсидии с указанием причин.

17. В случае нецелевого использования субсидии она подлежит взысканию в доход федерального бюджета в соответствии с бюджетным законодательством Российской Федерации.

18. Контроль за соблюдением субъектами Российской Федерации условий предоставления субсидий осуществляется Федеральным агентством лесного хозяйства и федеральным органом исполнительной власти, осуществляющим функции по контролю и надзору в финансово-бюджетной сфере. (в ред. Постановления Правительства РФ от 25.05.2016 N 464)

УТВЕРЖДЕНО
Постановлением Правительства
Российской Федерации
от 5 мая 2011 г. N 345

РАСПРЕДЕЛЕНИЕ НА 2011 ГОД СУБСИДИЙ ИЗ ФЕДЕРАЛЬНОГО БЮДЖЕТА БЮДЖЕТАМ СУБЪЕКТОВ РОССИЙСКОЙ ФЕДЕРАЦИИ НА ПРИОБРЕТЕНИЕ СПЕЦИАЛИЗИРОВАННОЙ ЛЕСОПОЖАРНОЙ ТЕХНИКИ И ОБОРУДОВАНИЯ

(тыс. рублей)

Наименование субъекта Российской Федерации Размер субсидии
Республика Алтай 139860
Республика Башкортостан 69930
Республика Бурятия 209790
Карачаево-Черкесская Республика 34532,1
Республика Карелия 174826
Республика Коми 104895
Республика Марий Эл 34970
Республика Саха (Якутия) 69930
Республика Татарстан (Татарстан) 109929,9
Республика Тыва 104895
Удмуртская Республика 104895
Республика Хакасия 69930
Алтайский край 104895
Забайкальский край 209790
Красноярский край 69930
Пермский край 75428,5
Приморский край 174826
Хабаровский край 209790
Амурская область 244755
Архангельская область 244755
Брянская область 69930
Владимирская область 69930
Волгоградская область 46035,6
Вологодская область 174826
Воронежская область 34970
Ивановская область 34970
Иркутская область 69930
Калининградская область 34970
Калужская область 131645,7
Кемеровская область 69930
Кировская область 104895
Костромская область 139860
Курганская область 102223,2
Ленинградская область 104895
Мурманская область 34970
Нижегородская область 69930
Новгородская область 104895
Оренбургская область 34970
Пензенская область 34970
Псковская область 112510,5
Рязанская область 86950,5
Самарская область 69930
Свердловская область 174826
Смоленская область 69930
Тамбовская область 34970
Тверская область 69930
Томская область 104895
Тюменская область 34970
Челябинская область 69930
Ярославская область 69930
Еврейская автономная область 69930
Итого 5000000