Зарегистрировано в Минюсте РФ 22 декабря 2008 г. N 12914
МИНИСТЕРСТВО ПРИРОДНЫХ РЕСУРСОВ И ЭКОЛОГИИ РОССИЙСКОЙ ФЕДЕРАЦИИ
ПРИКАЗ
от 30 сентября 2008 г. N 232
ОБ УТВЕРЖДЕНИИ МЕТОДИКИ ПО ОПРЕДЕЛЕНИЮ СТАРТОВОГО РАЗМЕРА РАЗОВОГО ПЛАТЕЖА ЗА ПОЛЬЗОВАНИЕ НЕДРАМИ
(в ред. Приказов Минприроды РФ от 14.05.2009 N 128, от 27.04.2011 N 240, от 22.06.2011 N 553, от 03.02.2012 N 20, от 30.12.2014 N 577, от 17.03.2015 N 106, от 29.12.2015 N 570, от 06.12.2017 N 650)
В соответствии со статьей 40 Закона Российской Федерации от 21 февраля 1992 г. N 2395-1 "О недрах" (Ведомости Съезда народных депутатов Российской Федерации и Верховного Совета Российской Федерации, 1992, N 16, ст. 834; Собрание законодательства Российской Федерации, 1995, N 10, ст. 823; 1999, N 7, ст. 879; 2000, N 2, ст. 141; 2001, N 21, ст. 2061; 2001, N 33, ст. 3429; 2002, N 22, ст. 2026; 2003, N 23, ст. 2174; 2004, N 27, ст. 2711; 2004, N 35, ст. 3607; 2006, N 17 (ч. I), ст. 1778; 2006, N 44, ст. 4538; 2007, N 27, ст. 3213; 2007, N 49, ст. 6056; 2008, N 18, ст. 1941; 2008, N 29 (ч. I), ст. 3418; 2008, N 29 (ч. I), ст. 3420) приказываю:
Утвердить прилагаемую Методику расчета минимального (стартового) размера разового платежа за пользование недрами.
УТВЕРЖДЕНА
Приказом Минприроды России
от 30 сентября 2008 г. N 232
МЕТОДИКА РАСЧЕТА МИНИМАЛЬНОГО (СТАРТОВОГО) РАЗМЕРА РАЗОВОГО ПЛАТЕЖА ЗА ПОЛЬЗОВАНИЕ НЕДРАМИ
(в ред. Приказов Минприроды РФ от 14.05.2009 N 128, от 27.04.2011 N 240, от 22.06.2011 N 553, от 03.02.2012 N 20, от 30.12.2014 N 577, от 17.03.2015 N 106, от 29.12.2015 N 570, от 06.12.2017 N 650)
I. Общие положения
1. Настоящая Методика расчета минимального (стартового) размера разового платежа за пользование недрами (далее - Методика) разработана в соответствии со статьями 13.1 и 40 Закона Российской Федерации от 21 февраля 1992 года N 2395-1 "О недрах" (Ведомости Съезда народных депутатов Российской Федерации и Верховного Совета Российской Федерации, 1992, N 16, ст. 834; Собрание законодательства Российской Федерации, 1995, N 10, ст. 823; 1999, N 7, ст. 879; 2000, N 2, ст. 141; 2001, N 21, ст. 2061; 2001, N 33, ст. 3429; 2002, N 22, ст. 2026; 2003, N 23, ст. 2174; 2004, N 27, ст. 2711; 2004, N 35, ст. 3607; 2006, N 17 (ч. I), ст. 1778; 2006, N 44, ст. 4538; 2007, N 27, ст. 3213; 2007, N 49, ст. 6056; 2008, N 18, ст. 1941; 2008, N 29 (ч. I), ст. 3418; 2008, N 29 (ч. I), ст. 3420); Постановлением Правительства Российской Федерации от 29 мая 2008 года N 404 "Об утверждении Положения о Министерстве природных ресурсов и экологии Российской Федерации" (Собрание законодательства Российской Федерации, 2008, N 22, ст. 2581); Постановлением Правительства Российской Федерации от 17 июня 2004 года N 293 "Об утверждении Положения о Федеральном агентстве по недропользованию" (Собрание законодательства Российской Федерации, 2004, N 26, ст. 2669; 2006, N 25, ст. 2723; 2008, N 22, ст. 2581).
2. Методика определяет принципы расчета минимального (стартового) размера разового платежа за пользование недрами при подготовке условий проведения конкурсов или аукционов на право пользования участками недр, содержащих полезные ископаемые (далее - стартового размера разового платежа за пользование недрами), и предназначена для использования Федеральным агентством по недропользованию, его территориальными органами и подведомственными организациями.
Принципы расчета минимального (стартового) размера разового платежа за пользование недрами, установленные настоящей Методикой, рекомендуются для использования органами государственной власти субъектов Российской Федерации при расчете минимального (стартового) размера разового платежа за пользование недрами при подготовке условий проведения аукционов на право пользования участками недр, содержащими месторождения общераспространенных полезных ископаемых. (в ред. Приказа Минприроды РФ от 14.05.2009 N 128)
3. Стартовый размер разового платежа за пользование недрами определяется по каждому участку недр, по которому организуется и проводится конкурс или аукцион (далее - участок недр).
II. Расчет стартового размера разового платежа за пользование недрами
4. Стартовый размер разового платежа за пользование недрами при подготовке условий проведения конкурсов или аукционов на право пользования участком недр определяется в соответствии со статьей 40 Закона Российской Федерации "О недрах" следующим образом:
1) в случае проведения конкурса или аукциона на право пользования участком недр федерального значения, содержащим месторождение полезных ископаемых, открытое в процессе геологического изучения юридическим лицом с участием иностранных инвесторов или иностранным инвестором, в отношении которых Правительством Российской Федерации принято решение об отказе в предоставлении права пользования данным участком недр для разведки и добычи полезных ископаемых в соответствии с частью пятой статьи 2.1 Закона Российской Федерации "О недрах", стартовый размер разового платежа за пользование недрами устанавливается как сумма расходов этого лица на поиск и оценку такого месторождения полезных ископаемых;
2) в остальных случаях стартовый размер разового платежа за пользование недрами рассчитывается по формуле: (в ред. Приказа Минприроды РФ от 30.12.2014 N 577)
(в ред. Приказа Минприроды РФ от 30.12.2014 N 577)
где:
- минимальный стартовый размер разового платежа за пользование недрами, тыс. руб.; (в ред. Приказа Минприроды РФ от 30.12.2014 N 577)
- величина суммы налога на добычу полезных ископаемых в расчете на среднегодовую мощность добывающей организации (далее - среднегодовая величина суммы налога на добычу полезных ископаемых), тыс. руб. (в ред. Приказа Минприроды РФ от 30.12.2014 N 577)
П - коэффициент, характеризующий процент от среднегодовой величины суммы налога на добычу полезных ископаемых. (в ред. Приказа Минприроды РФ от 30.12.2014 N 577)
П принимается равным: (в ред. Приказа Минприроды РФ от 30.12.2014 N 577)
0,05 - в отношении нефти и (или) газового конденсата, (в ред. Приказа Минприроды РФ от 30.12.2014 N 577)
0,1 - в отношении остальных видов полезных ископаемых. (в ред. Приказа Минприроды РФ от 30.12.2014 N 577)
В случае наличия на участке недр нескольких видов полезных ископаемых среднегодовая расчетная величина суммы налога на добычу полезных ископаемых рассчитывается по каждому виду полезного ископаемого, после чего полученные результаты суммируются. (в ред. Приказа Минприроды РФ от 30.12.2014 N 577)
5. Среднегодовая величина суммы налога на добычу полезных ископаемых определяется по формуле:
1) для полезных ископаемых, налоговая база при добыче которых определяется как количество добытых полезных ископаемых в натуральном выражении в соответствии со статьей 338 Налогового кодекса Российской Федерации <*>: (в ред. Приказа Минприроды РФ от 14.05.2009 N 128)
<*> Собрание законодательства Российской Федерации, 2000, N 32, ст. 3340; 2001, N 1, ст. 18; N 23, ст. 2289; N 33, ст. 3413, 3429; 2002, N 1, ст. 4; N 22, ст. 2026; N 30, ст. 3021, 3027, 3033; 2003, N 1, ст. 2, 6; N 21, ст. 1958; N 28, ст. 2886; N 52, ст. 5030; 2004, N 27, ст. 2711, 2715; N 30, ст. 3088; N 31, ст. 3220, 3231; N 34, ст. 3517, 3518, 3520, 3522, 3525; N 35, ст. 3607; N 41, ст. 3994; 2005, N 1, ст. 30, 38; N 24, ст. 2312; N 27, ст. 2710, 2717; N 30, ст. 3104, 3118, 3128, 3129, 3130; N 42, ст. 5581; 2006, N 3, ст. 280; N 23, ст. 2382; N 31, ст. 3436, 3443, 3450, 3452; N 45, ст. 4627; N 50, ст. 5279, 5286; N 52, ст. 5498; 2007, N 1, ст. 20, 31, 39; N 13, ст. 1465; N 21, ст. 2462; N 22, ст. 2563, 2564; N 23, ст. 2691; N 31, ст. 3991, 4013; N 45, ст. 5416; N 46, ст. 5557; N 49, ст. 6045, 6071; N 50, ст. 6237, 6245; 2008, N 18, ст. 1942; N 30, ст. 3614. (в ред. Приказа Минприроды РФ от 14.05.2009 N 128)
=
х
,
(руб.) - средняя величина ставки налога на добычу полезного ископаемого. (в ред. Приказа Минприроды РФ от 30.12.2014 N 577)
Расчет средней величины ставки налога на добычу полезных ископаемых осуществляется Федеральным агентством по недропользованию по данным Федеральной налоговой службы в соответствии с пунктом 5.1 настоящей Методики; (в ред. Приказа Минприроды РФ от 30.12.2014 N 577)
(тыс. тонн, тыс. куб. метров) - среднегодовая мощность добывающей организации (среднегодовая добыча полезного ископаемого).
рассчитывается для каждого вида полезного ископаемого отдельно в соответствии с пунктом 7 настоящей Методики; (в ред. Приказов Минприроды РФ от 14.05.2009 N 128, от 27.04.2011 N 240, от 30.12.2014 N 577)
2) для полезных ископаемых, налоговая база при добыче которых определяется как их стоимость в соответствии со статьей 338 Налогового кодекса Российской Федерации: (в ред. Приказа Минприроды РФ от 14.05.2009 N 128)
где:
(руб.) - стоимость единицы добытого полезного ископаемого. При этом добытое полезное ископаемое определяется в соответствии со статьей 337 Налогового кодекса Российской Федерации;
(тыс. тонн, тыс. куб. метров, грамм, карат, куб. метров в сутки, тонн в сутки) - среднегодовая мощность добывающей организации (среднегодовая добыча полезного ископаемого).
рассчитывается для каждого вида полезного ископаемого отдельно в соответствии с пунктом 7 настоящей Методики; (в ред. Приказа Минприроды РФ от 27.04.2011 N 240)
(%) - ставка налога на добычу полезных ископаемых, установленная налоговым законодательством, без учета условий применения налоговой ставки 0 процентов, установленных подпунктами 3, 6, 7, 17, 20 пункта 1 статьи 342 Налогового кодекса Российской Федерации. (в ред. Приказов Минприроды РФ от 27.04.2011 N 240, от 30.12.2014 N 577)
Расчет среднегодовой величины суммы налога на добычу полезных ископаемых осуществляется Федеральным агентством по недропользованию, его территориальными органами и подведомственными организациями исходя из стоимости единицы добытого полезного ископаемого (), определяемой по средней рыночной цене его реализации за период 6 месяцев, предшествующих дате объявления конкурса или аукциона. (в ред. Приказа Минприроды РФ от 14.05.2009 N 128)
Средняя цена реализации добытого полезного ископаемого определяется на основании сведений о ценах производителей добытого полезного ископаемого за период 6 месяцев, предоставляемых два раза в год по состоянию на 30 июня и 31 декабря Федеральной службой государственной статистики по запросу Федерального агентства по недропользованию (его территориальных органов), а в случае их отсутствия, либо несоответствия качественных характеристик (химического состава минерального сырья, типа и сорта руд, показателей, определяющих технологические свойства минерального сырья) добытого полезного ископаемого предоставленным Федеральной службой государственной статистики сведениям, средняя цена определяется Федеральным агентством по недропользованию (его территориальными органами) с учетом данных отчетов о работах, выполненных по государственным контрактам, заключенным ими в соответствии с Федеральным законом от 05.04.2013 N 44-ФЗ "О контрактной системе в сфере закупок товаров, работ, услуг для обеспечения государственных и муниципальных нужд" (Собрание законодательства Российской Федерации, 2013, N 14, ст. 1652, N 27, ст. 3480, N 52, ст. 6961; 2014, N 23, ст. 2925, N 30, ст. 4225, N 48, ст. 6637, N 49, ст. 6925; 2015, N 1, ст. 11, ст. 51, ст. 72, N 10, ст. 1393, ст. 1418, N 14, ст. 2022, N 27, ст. 3979, ст. 4001, N 29, ст. 4342, ст. 4346, ст. 4352, ст. 4353, ст. 4375; 2016, N 1, ст. 10, ст. 89, N 11, ст. 1493, N 15, ст. 2058, ст. 2066, N 23, ст. 3291, N 26, ст. 3872, ст. 3890, N 27, ст. 4199, ст. 4247, ст. 4253, ст. 4254, ст. 4298; 2017, N 1, ст. 15, ст. 30, ст. 41, N 9, ст. 1277, N 14, ст. 1995, ст. 2004, N 18, ст. 2660, N 24, ст. 3475, ст. 3477, N 31, ст. 4747, ст. 4760, ст. 4780) в целях определения указанной цены (далее - отчеты о выполненных работах). В случае отсутствия необходимых данных в отчетах о выполненных работах, либо несоответствия качественных характеристик (химического состава минерального сырья, типа и сорта руд, показателей, определяющих технологические свойства минерального сырья) добытого полезного ископаемого таким данным, средняя цена определяется Федеральным агентством по недропользованию (его территориальными органами) с учетом данных мониторинга цен реализации добытого полезного ископаемого, проводимого государственными казенными учреждениями, подведомственными Федеральному агентству по недропользованию. (в ред. Приказа Минприроды РФ от 06.12.2017 N 650)
<*> В случае применения настоящей Методики для расчета минимального (стартового) размера разового платежа за пользование недрами органами государственной власти субъектов Российской Федерации при подготовке условий проведения аукционов на право пользования участками недр, содержащими месторождения общераспространенных полезных ископаемых, средняя цена реализации добытого полезного ископаемого определяется на основании сведений о ценах производителей добытого полезного ископаемого, предоставленных Федеральной службой государственной статистики по запросу органа государственной власти соответствующего субъекта Российской Федерации, либо определяются с учетом данных отчетов о выполненных работах по государственным контрактам, заключенным им в соответствии с Федеральным законом от 05.04.2013 N 44-ФЗ "О контрактной системе в сфере закупок товаров, работ, услуг для обеспечения государственных и муниципальных нужд". (в ред. Приказов Минприроды РФ от 14.05.2009 N 128, от 06.12.2017 N 650)
Стоимость добытых полезных ископаемых определяется в соответствии со статьей 340 Налогового кодекса Российской Федерации.
5.1. В целях настоящей Методики средняя величина ставки налога на добычу полезного ископаемого () определяется в порядке, установленном подпунктами 1 - 3 настоящего пункта. (в ред. Приказа Минприроды РФ от 30.12.2014 N 577)
1) При определении значения не учитываются условия применения налоговой ставки 0 процентов (рублей), установленных подпунктами 8, 9, 13, 18 - 21 пункта 1 статьи 342 Налогового кодекса Российской Федерации, а также следующие коэффициенты и показатели: (в ред. Приказа Минприроды РФ от 30.12.2014 N 577)
коэффициент, характеризующий территорию добычи полезного ископаемого, определяемый в соответствии со статьей 342.3 Налогового кодекса Российской Федерации; (в ред. Приказа Минприроды РФ от 30.12.2014 N 577)
коэффициент, характеризующий степень сложности добычи газа и газового конденсата, определяемый в соответствии со статьей 342.4 Налогового кодекса Российской Федерации; (в ред. Приказа Минприроды РФ от 30.12.2014 N 577)
показатель, характеризующий расходы на транспортировку газа горючего природного, определяемый в соответствии со статьей 342.4 Налогового кодекса Российской Федерации; (в ред. Приказа Минприроды РФ от 30.12.2014 N 577)
показатель, характеризующий особенности добычи нефти, определяемый в соответствии со статьей 342.5 Налогового кодекса Российской Федерации. (в ред. Приказа Минприроды РФ от 30.12.2014 N 577)
2) Средняя величина ставки налога на добычу полезного ископаемого определяется исходя из среднего арифметического значения за 6 месяцев, предшествующих дате объявления конкурса или аукциона, базовой ставки налога на добычу полезного ископаемого, установленной пунктом 2 статьи 342 Налогового кодекса Российской Федерации. (в ред. Приказа Минприроды РФ от 30.12.2014 N 577)
При наличии запасов и(или) ресурсов нефти базовая ставка, указанная в абзаце первом настоящего подпункта, умножается на коэффициент, характеризующий динамику мировых цен на добытые полезные ископаемые, установленный в соответствии с пунктом 3 статьи 342 Налогового кодекса Российской Федерации. (в ред. Приказа Минприроды РФ от 30.12.2014 N 577)
При наличии запасов и(или) ресурсов газа горючего природного, а также запасов и (или) ресурсов газового конденсата базовая ставка, указанная в абзаце первом настоящего подпункта, умножается на базовое значение единицы условного топлива, установленное в соответствии со статьей 342.4 Налогового кодекса Российской Федерации. (в ред. Приказа Минприроды РФ от 30.12.2014 N 577)
3) В целях расчета значения : (в ред. Приказа Минприроды РФ от 30.12.2014 N 577)
при определении коэффициента, характеризующего динамику мировых цен на нефть, средней за истекший налоговый период цены нефти сорта "Юралс", средней оптовой цены на газ, поставляемый потребителям Российской Федерации, расчетной цены реализации газа за пределы территорий государств - участников Содружества Независимых Государств (установленных пунктом 2 статьи 342 и статьей 342.4 Налогового кодекса Российской Федерации) в качестве периода расчета принимается 6 месяцев, предшествующих дате объявления конкурса или аукциона; (в ред. Приказа Минприроды РФ от 30.12.2014 N 577)
при определении коэффициентов, характеризующих долю добычи отдельных видов полезных ископаемых, установленных статьей 342.4 Налогового кодекса Российской Федерации, в качестве количества добытого за истекший налоговый период на участке недр полезного ископаемого принимается частное от деления на 12 среднегодовой мощности добывающей организации по этому полезному ископаемому, определенной в соответствии с пунктом 7 настоящей Методики. (в ред. Приказа Минприроды РФ от 30.12.2014 N 577)
коэффициент, характеризующий долю реализации газа потребителям Российской Федерации в общем объеме реализованного организацией газа, установленный статьей 342.4 Налогового кодекса Российской Федерации принимается равным 1. (в ред. Приказа Минприроды РФ от 30.12.2014 N 577)
6. При расчете минимального стартового размера разового платежа за пользование недрами учитываются запасы полезных ископаемых всех категорий в соответствии с Государственным балансом запасов полезных ископаемых, а также прогнозные ресурсы полезных ископаемых, содержащиеся на участке недр. При этом перевод запасов и прогнозных ресурсов полезных ископаемых из низких в более высокие категории осуществляется с использованием формул, включающих в себя коэффициенты, характеризующие достоверность оценки запасов и прогнозных ресурсов полезных ископаемых.
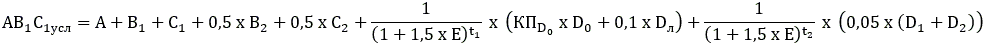
В целях настоящей Методики перевод запасов полезных ископаемых из низших в более высокие категории (промышленные категории) и прогнозных ресурсов полезных ископаемых из низких в более высокие категории осуществляется по формулам:
1) извлекаемые запасы нефти, природного газа, газового конденсата: (в ред. Приказа Минприроды РФ от 29.12.2015 N 570)
(в ред. Приказа Минприроды РФ от 29.12.2015 N 570)
где:
- поправочный коэффициент, учитывающий сроки проведения работ по геологическому изучению, необходимых для подтверждения и перевода запасов и ресурсов полезных ископаемых из низших в более высокие категории,
- принимается 5 лет;
- принимается 10 лет; (в ред. Приказа Минприроды РФ от 29.12.2015 N 570)
Е - коэффициент приведения планируемых денежных поступлений, равный ставке рефинансирования Центрального банка Российской Федерации на дату определения размера разового платежа (единиц); (в ред. Приказа Минприроды РФ от 29.12.2015 N 570)
А, ,
,
,
- объем запасов углеводородов соответствующих категорий в соответствии с данными государственного баланса запасов полезных ископаемых; (в ред. Приказа Минприроды РФ от 29.12.2015 N 570)
,
,
,
- объем ресурсов углеводородов соответствующих категорий, учтенных на участке недр; (в ред. Приказа Минприроды РФ от 29.12.2015 N 570)
- коэффициент подтверждаемости ресурсов категории
, учтенных на участке недр. Коэффициент
устанавливается в значениях, приведенных в приложении 4 к настоящей Методике. (в ред. Приказа Минприроды РФ от 29.12.2015 N 570)
2) запасы твердых полезных ископаемых, в том числе: (в ред. Приказа Минприроды РФ от 06.12.2017 N 650)
а) запасы твердых полезных ископаемых, за исключением попутных полезных ископаемых и попутных компонентов: (в ред. Приказа Минприроды РФ от 06.12.2017 N 650)
(в ред. Приказа Минприроды РФ от 06.12.2017 N 650)
б) запасы попутных полезных ископаемых и попутных компонентов: (в ред. Приказа Минприроды РФ от 06.12.2017 N 650)
(в ред. Приказа Минприроды РФ от 06.12.2017 N 650)
где:
А, В, ,
- объем балансовых запасов соответствующих категорий; (в ред. Приказа Минприроды РФ от 06.12.2017 N 650)
,
,
,
- объем забалансовых запасов соответствующих категорий; (в ред. Приказа Минприроды РФ от 06.12.2017 N 650)
,
,
, - объем прогнозных ресурсов соответствующих категорий; (в ред. Приказа Минприроды РФ от 06.12.2017 N 650)
(в ред. Приказа Минприроды РФ от 06.12.2017 N 650)
7. Среднегодовая мощность добывающей организации (среднегодовая добыча полезного ископаемого за срок разработки месторождения) V_ср определяется Федеральным агентством по недропользованию, его территориальными органами <*>.
<*> В случае применения настоящей Методики для расчета минимального (стартового) размера разового платежа за пользование недрами органами государственной власти субъектов Российской Федерации при подготовке условий проведения аукционов на право пользования участками недр, содержащими месторождения общераспространенных полезных ископаемых среднегодовая мощность добывающей организации определяется органом государственной власти соответствующего субъекта Российской Федерации.
Для участков недр с учтенными Государственным балансом запасами полезных ископаемых промышленных категорий среднегодовая мощность устанавливается по материалам технико-экономических обоснований (далее - ТЭО) коэффициента извлечения нефти, газа, конденсата и попутных компонентов, для твердых полезных ископаемых - по материалам ТЭО кондиций, прошедших государственную экспертизу и утвержденных в установленном порядке Федеральным агентством по недропользованию, как отношение объема извлекаемых запасов к сроку разработки месторождения.
В случае отсутствия ТЭО кондиций для участков недр, содержащих запасы твердых полезных ископаемых, среднегодовая мощность определяется в зависимости от величины запасов полезных ископаемых категории , определенных в соответствии с пунктом 6 настоящей Методики по формуле:
З - отношение запасов полезного ископаемого к содержанию полезного ископаемого в руде (тонн).
В случае отсутствия ТЭО коэффициента извлечения нефти для участков недр, содержащих извлекаемые запасы нефти, среднегодовая мощность определяется в процентном отношении от величины извлекаемых запасов, определенных в соответствии с пунктом 6 настоящей Методики в размере:
3,5% от величины извлекаемых запасов - для участков недр с извлекаемыми запасами более 30 млн. т;
5% от величины извлекаемых запасов - для участков недр с извлекаемыми запасами от 3 до 30 млн. т;
6,5% от величины извлекаемых запасов - для участков недр с извлекаемыми запасами до 3 млн. т.
В случае отсутствия ТЭО коэффициента извлечения газа для участков недр, содержащих запасы природного газа, среднегодовая мощность определяется в процентном отношении от величины запасов, определенных в соответствии с пунктом 6 настоящей Методики, в размере:
3% от величины извлекаемых запасов - для участков недр с извлекаемыми запасами более 500 млрд. м3;
5% от величины извлекаемых запасов - для участков недр с извлекаемыми запасами от 30 до 500 млрд. м3;
8% от величины извлекаемых запасов - для участков недр с извлекаемыми запасами до 30 млрд. м3.
В случае отсутствия ТЭО коэффициента извлечения газа для участков недр, содержащих запасы газового конденсата, среднегодовая мощность определяется в процентном отношении от величины запасов, определенных в соответствии с пунктом 6 настоящей Методики. Размер процентного отношения для газового конденсата принимается равным процентному отношению для газа.
Для участков недр, содержащих сверхвязкую нефть, соответствующая величина среднегодовой мощности умножается на 0,6. (в ред. Приказа Минприроды РФ от 03.02.2012 N 20)
Для участков недр, содержащих минеральные, термальные, промышленные подземные воды и лечебные грязи, среднегодовая мощность определяется по формуле: (в ред. Приказа Минприроды РФ от 27.04.2011 N 240)
, (в ред. Приказа Минприроды РФ от 27.04.2011 N 240)
где:
- среднегодовая добыча подземных вод, куб. метров в год (в виде пароводяной смеси - тонн в год), лечебных грязей, куб. метров в год (среднегодовая мощность добывающей организации); (в ред. Приказа Минприроды РФ от 27.04.2011 N 240)
- предельный годовой уровень добычи, установленный в соответствии с порядком и условиями проведения аукциона (конкурса), в отношении которого рассчитывается минимальный (стартовый) размер разового платежа за пользование участками недр, содержащими подземные воды, куб. метров в сутки (в виде пароводяной смеси - тонн в сутки), лечебные грязи куб. метров в сутки. (в ред. Приказа Минприроды РФ от 27.04.2011 N 240)
Примечание: предельный годовой уровень добычи в отношении подземных вод определяется как произведение предельного суточного уровня добычи на количество календарных дней в году. При этом количество календарных дней в году принимается равным 365. (в ред. Приказа Минприроды РФ от 27.04.2011 N 240)
8. Стартовый размер разового платежа за пользование недрами рассчитывается по формуле:
,
- минимальный стартовый размер разового платежа за пользование недрами, тыс. руб.;
- интегральный поправочный коэффициент, характеризующий рассматриваемый участок недр.
Для участков недр, содержащих запасы и (или) ресурсы твердых полезных ископаемых, интегральный поправочный коэффициент является произведением значений поправочных коэффициентов: (в ред. Приказа Минприроды РФ от 29.12.2015 N 570)
Для участков недр, содержащих запасы и (или) прогнозные ресурсы нефти, природного газа, газового конденсата, интегральный поправочный коэффициент является произведением значений поправочных коэффициентов:
,
(в ред. Приказа Минприроды РФ от 14.05.2009 N 128)
где:
- поправочный коэффициент, выражающий степень геологической изученности, порядок расчета которого приведен в приложении 1 к настоящей Методике.
- поправочный коэффициент, учитывающий состояние инфраструктуры района и основные географо-экономические факторы (близость магистральных трубопроводов, железнодорожных путей, иных видов транспорта и коммуникации, источников электроэнергии, состояние местной инфраструктуры), значения которого принимаются равными 1 для участков недр, содержащих только ресурсы, а для участков недр, содержащих запасы и ресурсы, значения
приведены в приложении 2 к настоящей Методике. (в ред. Приказа Минприроды РФ от 22.06.2011 N 553)
- поправочный коэффициент, характеризующий глубину залегания продуктивного пласта, определяется по формуле:
, (в ред. Приказа Минприроды РФ от 14.05.2009 N 128)
где
H - глубина залегания продуктивного горизонта, м. В случае глубины залегания от 6 000 м и более рассматриваемый коэффициент принимается равным 1. В случае, если на лицензионном участке присутствуют несколько продуктивных пластов, различающихся глубинами залегания, расчет коэффициента проводится для каждого продуктивного пласта отдельно. (в ред. Приказа Минприроды РФ от 27.04.2011 N 240)
- поправочный коэффициент, учитывающий размерность месторождения полезного ископаемого, значения которого приведены в приложении 3 к настоящей Методике. (в ред. Приказа Минприроды РФ от 14.05.2009 N 128)
Для участков недр, содержащих минеральные, термальные, промышленные подземные воды и лечебные грязи, значение интегрального поправочного коэффициента в зависимости от степени геологической изученности участка недр, предоставляемого в пользование, устанавливается в значениях, приведенных в приложении 5 к настоящей Методике. (в ред. Приказа Минприроды РФ от 27.04.2011 N 240)
Приложение 1
к Методике расчета минимального
(стартового) размера разового платежа
за пользование участками недр
ПОРЯДОК РАСЧЕТА 
(в ред. Приказа Минприроды РФ от 29.12.2015 N 570)
Расчет коэффициента для участков недр, содержащих запасы и (или) ресурсы нефти, природного газа, газового конденсата, производится по формуле:
Расчет коэффициента для участков недр, содержащих запасы и (или) прогнозные ресурсы твердых полезных ископаемых, производится по формуле:
- коэффициент для соответствующей категории запасов и прогнозных ресурсов и территории, на которой расположен участок недр, значения коэффициента
приведены ниже;
- ресурсная база соответствующей х-ой категории запасов и ресурсов;
- общая ресурсная база участка, определяется по формуле:
для углеводородного сырья:
;
для твердых полезных ископаемых:
Значения коэффициента для участков недр, содержащих запасы и (или) прогнозные ресурсы твердых полезных ископаемых
Значения коэффициента для участков недр, содержащих запасы и (или) ресурсы нефти, природного газа, газового конденсата
Приложение 2
к Методике расчета минимального
(стартового) размера разового платежа
за пользование участками недр
ЗНАЧЕНИЯ КОЭФФИЦИЕНТА 
(в ред. Приказов Минприроды РФ от 03.02.2012 N 20, от 30.12.2014 N 577, от 06.12.2017 N 650)
Для углеводородного сырья
| Субъект Российской Федерации | Значение коэффициента |
| 1. Московская область | 2 |
| 2. Краснодарский край | 2 |
| 3. Свердловская область | 1,5 |
| 4. Ростовская область | 2 |
| 5. Республика Башкортостан | 2 |
| 6. Республика Татарстан | 2 |
| 7. Челябинская область | 1,5 |
| 8. Тюменская область | 1,5 |
| 9. Нижегородская область | 2 |
| 10. Самарская область | 2 |
| 11. Республика Дагестан | 1,5 |
| (в ред. Приказа Минприроды РФ от 06.12.2017 N 650) | |
| 12. Красноярский край | 1 |
| 13. Ставропольский край | 2 |
| 14. Кемеровская область | 1,5 |
| 15. Новосибирская область | 1,5 |
| 16. Пермский край | 2 |
| 17. Волгоградская область | 2 |
| 18. Саратовская область | 2 |
| 19. Иркутская область | 2 |
| 20. Алтайский край | 1,5 |
| 21. Воронежская область | 2 |
| 22. Оренбургская область | 2 |
| 23. Омская область | 1,5 |
| 24. Приморский край | 1 |
| (в ред. Приказа Минприроды РФ от 06.12.2017 N 650) | |
| 25. Ленинградская область | 2 |
| 26. Тульская область | 2 |
| 27. Ханты-Мансийский автономный округ - Югра | 1,5 |
| 28. Белгородская область | 2 |
| 29. Удмуртская Республика | 2 |
| 30. Владимирская область | 2 |
| 31. Пензенская область | 2 |
| 32. Тверская область | 2 |
| 33. Хабаровский край | 1 |
| (в ред. Приказа Минприроды РФ от 06.12.2017 N 650) | |
| 34. Кировская область | 2 |
| 35. Ульяновская область | 2 |
| 36. Брянская область | 2 |
| 37. Чеченская Республика | 1,5 |
| (в ред. Приказа Минприроды РФ от 06.12.2017 N 650) | |
| 38. Ярославская область | 2 |
| 39. Чувашская Республика - Чувашия | 2 |
| 40. Архангельская область | 1,5 |
| 41. Вологодская область | 2 |
| 42. Липецкая область | 2 |
| 43. Рязанская область | 2 |
| 44. Курская область | 2 |
| 45. Забайкальский край | 1 |
| 46. Тамбовская область | 2 |
| 47. Ивановская область | 2 |
| 48. Томская область | 1,5 |
| 49. Астраханская область | 2 |
| 50. Калужская область | 2 |
| 51. Смоленская область | 2 |
| 52. Республика Бурятия | 1,5 |
| 53. Республика Саха (Якутия) | 1 |
| (в ред. Приказа Минприроды РФ от 06.12.2017 N 650) | |
| 54. Калининградская область | 2 |
| 55. Курганская область | 2 |
| 56. Республика Коми | 2 |
| 57. Кабардино-Балкарская Республика | 1,5 |
| (в ред. Приказа Минприроды РФ от 06.12.2017 N 650) | |
| 58. Республика Мордовия | 2 |
| 59. Амурская область | 1 |
| (в ред. Приказа Минприроды РФ от 06.12.2017 N 650) | |
| 60. Мурманская область | 1,5 |
| 61. Орловская область | 2 |
| 62. Республика Северная Осетия - Алания | 1,5 |
| (в ред. Приказа Минприроды РФ от 06.12.2017 N 650) | |
| 63. Республика Марий Эл | 2 |
| 64. Псковская область | 2 |
| 65. Костромская область | 2 |
| 66. Республика Карелия | 1,5 |
| 67. Новгородская область | 2 |
| 68. Республика Хакасия | 1,5 |
| 69. Ямало-Ненецкий автономный округ в том числе ЯНАО севернее 69° северной широты | 1,5 1 |
| 70. Сахалинская область | 1 |
| (в ред. Приказа Минприроды РФ от 06.12.2017 N 650) | |
| 71. Карачаево-Черкесская Республика | 1,5 |
| (в ред. Приказа Минприроды РФ от 06.12.2017 N 650) | |
| 72. Республика Адыгея | 2 |
| 73. Республика Ингушетия | 1,5 |
| (в ред. Приказа Минприроды РФ от 06.12.2017 N 650) | |
| 74. Камчатский край | 1 |
| (в ред. Приказа Минприроды РФ от 06.12.2017 N 650) | |
| 75. Республика Тыва | 1,5 |
| 76. Республика Калмыкия | 1 |
| 77. Республика Алтай | 1,5 |
| 78. Еврейская автономная область | 1 |
| (в ред. Приказа Минприроды РФ от 06.12.2017 N 650) | |
| 79. Магаданская область | 1 |
| 80. Чукотский автономный округ | 1 |
| 81. Ненецкий автономный округ | 1 |
| 82.Республика Крым | 2 |
| (в ред. Приказа Минприроды РФ от 30.12.2014 N 577) | |
Для твердых полезных ископаемых
| Субъект Российской Федерации | Значение коэффициента |
| 1. Московская область | 2 |
| 2. Краснодарский край | 2 |
| 3. Свердловская область | 1,5 |
| 4. Ростовская область | 2 |
| 5. Республика Башкортостан | 2 |
| 6. Республика Татарстан | 2 |
| 7. Челябинская область | 1,5 |
| 8. Тюменская область | 1,5 |
| 9. Нижегородская область | 2 |
| 10. Самарская область | 2 |
| 11. Республика Дагестан | 2 |
| 12. Красноярский край (севернее 60 параллели) | 1,5 1 |
| 13. Ставропольский край | 2 |
| 14. Кемеровская область | 2 |
| 15. Новосибирская область | 2 |
| 16. Пермский край | 2 |
| 17. Волгоградская область | 2 |
| 18. Саратовская область | 2 |
| 19. Иркутская область | 1,5 |
| 20. Алтайский край | 1,5 |
| 21. Воронежская область | 2 |
| 22. Оренбургская область | 2 |
| 23. Омская область | 2 |
| 24. Приморский край | 1,5 |
| 25. Ленинградская область | 2 |
| 26. Тульская область | 2 |
| 27. Ханты-Мансийский автономный округ - Югра | 1,5 |
| 28. Белгородская область | 2 |
| 29. Удмуртская Республика | 2 |
| 30. Владимирская область | 2 |
| 31. Пензенская область | 2 |
| 32. Тверская область | 2 |
| 33. Хабаровский край (севернее 60 параллели) | 1,5 1 |
| 34. Кировская область | 2 |
| 35. Ульяновская область | 2 |
| 36. Брянская область | 2 |
| 37. Чеченская Республика | 2 |
| 38. Ярославская область | 2 |
| 39. Чувашская Республика - Чувашия | 2 |
| 40. Архангельская область | 1,5 |
| 41. Вологодская область | 2 |
| 42. Липецкая область | 2 |
| 43. Рязанская область | 2 |
| 44. Курская область | 2 |
| 45. Забайкальский край | 1,5 |
| 46. Тамбовская область | 2 |
| 47. Ивановская область | 2 |
| 48. Томская область | 2 |
| 49. Астраханская область | 2 |
| 50. Калужская область | 2 |
| 51. Смоленская область | 2 |
| 52. Республика Бурятия | 1,5 |
| 53. Республика Саха (Якутия) (севернее 60 параллели) | 1,5 1 |
| 54. Калининградская область | 2 |
| 55. Курганская область | 2 |
| 56. Республика Коми | 1,5 |
| 57. Кабардино-Балкарская Республика | 2 |
| 58. Республика Мордовия | 2 |
| 59. Амурская область | 1,5 |
| 60. Мурманская область | 1,5 |
| 61. Орловская область | 2 |
| 62. Республика Северная Осетия - Алания | 2 |
| 63. Республика Марий Эл | 2 |
| 64. Псковская область | 2 |
| 65. Костромская область | 2 |
| 66. Республика Карелия | 1,5 |
| 67. Новгородская область | 2 |
| 68. Республика Хакасия | 1,5 |
| 69. Ямало-Ненецкий автономный округ | 1 |
| 70. Сахалинская область | 1,5 |
| 71. Карачаево-Черкесская Республика | 2 |
| 72. Республика Адыгея | 2 |
| 73. Республика Ингушетия | 2 |
| 74. Камчатский край (севернее 60 параллели) | 1,5 1 |
| 75. Республика Тыва | 1,5 |
| 76. Республика Калмыкия | 1,5 |
| 77. Республика Алтай | 1,5 |
| 78. Еврейская автономная область | 1,5 |
| 79. Магаданская область | 1 |
| 80. Чукотский автономный округ | 1 |
| 81. Ненецкий автономный округ | 1 |
| 82.Республика Крым | 2 |
| (в ред. Приказа Минприроды РФ от 30.12.2014 N 577) | |
Приложение 3
к Методике расчета минимального
(стартового) размера разового платежа за
пользование участками недр
ЗНАЧЕНИЯ КОЭФФИЦИЕНТА 
(в ред. Приказа Минприроды РФ от 29.12.2015 N 570)
Приложение 4
к Методике расчета минимального
(стартового) размера разового платежа
за пользование участками недр
ЗНАЧЕНИЯ КОЭФФИЦИЕНТА 
(в ред. Приказов Минприроды РФ от 30.12.2014 N 577, от 29.12.2015 N 570)
| Регион | Значение |
| (в ред. Приказа Минприроды РФ от 29.12.2015 N 570) | |
| Архангельская область, Астраханская область, Волгоградская область, Калининградская область, Карачаево-Черкесская Республика, Кировская область, Краснодарский край, Ненецкий автономный округ, Оренбургская область, Пензенская область, Пермский край, Республика Адыгея, Республика Башкортостан, Республика Дагестан, Республика Ингушетия, Республика Калмыкия, Республика Крым, Республика Марий Эл, Республика Северная Осетия, Республика Татарстан, Ростовская область, Самарская область, Саратовская область, Ставропольский край, Удмуртская республика, Ульяновская область, Чеченская Республика, Чувашская Республика. | 0,20 |
| Ямало-Ненецкий автономный округ, Ханты-Мансийский автономный округ, Республика Коми, Омская область, Свердловская область, Тюменская область, Томская область, Новосибирская область. | 0,20 |
| Республика Саха (Якутия), Амурская область, Красноярский край, Иркутская область, Таймырский (Долгано-Ненецкий) автономный округ, Корякский автономный округ, Камчатская область, Магаданская область, Приморский край, Сахалинская область, Еврейская автономная область, Чукотский автономный округ, Хабаровский край. | 0,15 |
| Континентальный шельф Российской Федерации, внутренние морские воды и территориальное море Российской Федерации, Азовское и Каспийское моря | 0,25 |
Приложение 5
к Методике расчета минимального
(стартового) размера разового платежа
за пользование участками недр
ЗНАЧЕНИЯ КОЭФФИЦИЕНТА 
(в ред. Приказа Минприроды РФ от 27.04.2011 N 240)