Приказ Минздрава РФ от 17.07.2015 N 454Н

"Об утверждении Административного регламента Федеральной службы по надзору в сфере здравоохранения по исполнению государственной функции по осуществлению лицензионного контроля медицинской деятельности (за исключением указанной деятельности, осуществляемой медицинскими организациями и другими организациями, входящими в частную систему здравоохранения, на территории инновационного центра "Сколково")"
Редакция от 17.07.2015 — Не действует Перейти в действующую
Показать изменения

Зарегистрировано в Минюсте России 27 августа 2015 г. N 38706


МИНИСТЕРСТВО ЗДРАВООХРАНЕНИЯ РОССИЙСКОЙ ФЕДЕРАЦИИ

ПРИКАЗ
от 17 июля 2015 г. N 454н

ОБ УТВЕРЖДЕНИИ АДМИНИСТРАТИВНОГО РЕГЛАМЕНТА ФЕДЕРАЛЬНОЙ СЛУЖБЫ ПО НАДЗОРУ В СФЕРЕ ЗДРАВООХРАНЕНИЯ ПО ИСПОЛНЕНИЮ ГОСУДАРСТВЕННОЙ ФУНКЦИИ ПО ОСУЩЕСТВЛЕНИЮ ЛИЦЕНЗИОННОГО КОНТРОЛЯ МЕДИЦИНСКОЙ ДЕЯТЕЛЬНОСТИ (ЗА ИСКЛЮЧЕНИЕМ УКАЗАННОЙ ДЕЯТЕЛЬНОСТИ, ОСУЩЕСТВЛЯЕМОЙ МЕДИЦИНСКИМИ ОРГАНИЗАЦИЯМИ И ДРУГИМИ ОРГАНИЗАЦИЯМИ, ВХОДЯЩИМИ В ЧАСТНУЮ СИСТЕМУ ЗДРАВООХРАНЕНИЯ, НА ТЕРРИТОРИИ ИННОВАЦИОННОГО ЦЕНТРА "СКОЛКОВО")

В соответствии с Федеральным законом от 27 июля 2010 г. N 210-ФЗ "Об организации предоставления государственных и муниципальных услуг" (Собрание законодательства Российской Федерации, 2010, N 31, ст. 4179; 2011, N 15, ст. 2038; N 27, ст. 3873, 3880; N 29, ст. 4291; N 30, ст. 4587; N 49, ст. 7061; 2012, N 31, ст. 4322; 2013, N 14, ст. 1651; N 27, ст. 3477, 3480; N 30, ст. 4084; N 51, ст. 6679; N 52, ст. 6952, 6961, 7009; 2014, N 26, ст. 3366; N 30, ст. 4264; N 49, ст. 6928; 2015, N 1, ст. 67, 72) и постановлением Правительства Российской Федерации от 16 мая 2011 г. N 373 "О разработке и утверждении административных регламентов исполнения государственных функций и административных регламентов предоставления государственных услуг" (Собрание законодательства Российской Федерации, 2011, N 22, ст. 3169; N 35, ст. 5092; 2012, N 28, ст. 3908; N 36, ст. 4903; N 50, ст. 7070; N 52, ст. 7507; 2014, N 5, ст. 506) приказываю:

Утвердить прилагаемый Административный регламент Федеральной службы по надзору в сфере здравоохранения по исполнению государственной функции по осуществлению лицензионного контроля медицинской деятельности (за исключением указанной деятельности, осуществляемой медицинскими организациями и другими организациями, входящими в частную систему здравоохранения, на территории инновационного центра "Сколково").

Министр
В.И. СКВОРЦОВА

УТВЕРЖДЕН
приказом Министерства здравоохранения
Российской Федерации
от 17 июля 2015 г. N 454н

АДМИНИСТРАТИВНЫЙ РЕГЛАМЕНТ ФЕДЕРАЛЬНОЙ СЛУЖБЫ ПО НАДЗОРУ В СФЕРЕ ЗДРАВООХРАНЕНИЯ ПО ИСПОЛНЕНИЮ ГОСУДАРСТВЕННОЙ ФУНКЦИИ ПО ОСУЩЕСТВЛЕНИЮ ЛИЦЕНЗИОННОГО КОНТРОЛЯ МЕДИЦИНСКОЙ ДЕЯТЕЛЬНОСТИ (ЗА ИСКЛЮЧЕНИЕМ УКАЗАННОЙ ДЕЯТЕЛЬНОСТИ, ОСУЩЕСТВЛЯЕМОЙ МЕДИЦИНСКИМИ ОРГАНИЗАЦИЯМИ И ДРУГИМИ ОРГАНИЗАЦИЯМИ, ВХОДЯЩИМИ В ЧАСТНУЮ СИСТЕМУ ЗДРАВООХРАНЕНИЯ, НА ТЕРРИТОРИИ ИННОВАЦИОННОГО ЦЕНТРА "СКОЛКОВО")

I. Общие положения

1. Административный регламент Федеральной службы по надзору в сфере здравоохранения по исполнению государственной функции по осуществлению лицензионного контроля медицинской деятельности (за исключением указанной деятельности, осуществляемой медицинскими организациями и другими организациями, входящими в частную систему здравоохранения, на территории инновационного центра "Сколково") (далее - Административный регламент), устанавливает сроки и последовательность административных процедур (административных действий) Федеральной службы по надзору в сфере здравоохранения, порядок взаимодействия между структурными подразделениями Федеральной службы по надзору в сфере здравоохранения и ее территориальных органов при исполнении государственной функции.

Наименование государственной функции

2. Государственной функцией, регулируемой настоящим Административным регламентом, является осуществление лицензионного контроля медицинской деятельности (за исключением указанной деятельности, осуществляемой медицинскими организациями и другими организациями, входящими в частную систему здравоохранения, на территории инновационного центра "Сколково") (далее соответственно - государственная функция, лицензионный контроль).

Наименование федерального органа исполнительной власти, исполняющего государственную функцию

3. Лицензионный контроль осуществляется Федеральной службой по надзору в сфере здравоохранения (далее - Росздравнадзор) и территориальными органами Федеральной службы по надзору в сфере здравоохранения (далее - территориальные органы), перечень которых приведен в приложении N 1 к Административному регламенту.

Перечень нормативных правовых актов, регулирующих исполнение государственной функции

4. Осуществление лицензионного контроля регулируется:

1) Кодексом Российской Федерации об административных правонарушениях от 30 декабря 2001 г. N 195-ФЗ (Собрание законодательства Российской Федерации, 2002, N 1, ст. 1; N 18, ст. 1721; N 30, ст. 3029; N 44, ст. 4295, 4298; 2003, N 1, ст. 2; N 27, ст. 2700, 2708, 2717; N 46, ст. 4434, 4440; N 50, ст. 4847, 4855; N 52, ст. 5037; 2004, N 19, ст. 1838; N 30, ст. 3095; N 31, ст. 3229; N 34, ст. 3529, 3533; N 44, ст. 4266; 2005, N 1, ст. 9, 13, 37, 40, 45; N 10, ст. 762, 763; N 13, ст. 1077, 1079; N 17, ст. 1484; N 19, ст. 1752; N 25, ст. 2431; N 27, ст. 2719, 2721; N 30, ст. 3104, 3124, 3131; N 40, ст. 3986; N 50, ст. 5247; N 52, ст. 5574, 5596; 2006, N 1, ст. 4, 10; N 2, ст. 172, 175; N 6, ст. 636; N 10, ст. 1067; N 12, ст. 1234; N 17, ст. 1776; N 18, ст. 1907; N 19, ст. 2066; N 23, ст. 2380, 2385; N 28, ст. 2975; N 30, ст. 3287; N 31, ст. 3420, 3432, 3433, 3438, 3452; N 43, ст. 4412; N 45, ст. 4633, 4634, 4641; N 50, ст. 5279, 5281; N 52, ст. 5498; 2007, N 1, ст. 21, 25, 29, 33; N 7, ст. 840; N 15, ст. 1743; N 16, ст. 1824, 1825; N 17, ст. 1930; N 20, ст. 2367; N 21, ст. 2456; N 26, ст. 3089; N 30, ст. 3755; N 31, ст. 4001, 4007, 4008, 4009; N 31, ст. 4015; N 41, ст. 4845; N 43, ст. 5084; N 46, ст. 5553; N 49, ст. 6034, 6065; N 50, ст. 6246; 2008, N 10, ст. 896; N 18, ст. 1941; N 20, ст. 2251, 2259; N 29, ст. 3418; N 30, ст. 3582, 3601, 3604; N 45, ст. 5143; N 49, ст. 5738, 5745, 5748; N 52, ст. 6227, 6235, 6236, 6248; 2009, N 1, ст. 17; N 7, ст. 771, 777; N 19, ст. 2276; N 23, ст. 2759, 2767, 2776; N 26, ст. 3120, 3122, 3131, 3132; N 29, ст. 3597, 3599, 3635, 3642; N 30, ст. 3735, 3739; N 45, ст. 5265, 5267; N 48, ст. 5711, 5724, 5755; N 52, ст. 6406, 6412; 2010, N 1, ст. 1; N 11, ст. 1169, 1176; N 15, 1743, 1751; N 18, ст. 2145; N 19, ст. 2291; N 21, ст. 2524, 2525, 2526, 2530; N 23, ст. 2790; N 25, ст. 3070; N 27, ст. 3416, 3429; N 28, ст. 3553; N 29, ст. 3983; N 30, ст. 4000, 4002, 4005, 4006, 4007; N 31, ст. 4155, 4158, 4164, 4191, 4192, 4193, 4195, 4198, 4206, 4207, 4208; N 32, ст. 4298; N 41, ст. 5192, 5193; N 46, ст. 5918; N 49, ст. 6409; N 50, ст. 6605; N 52, ст. 6984, 6995, 6996; 2011, N 1, ст. 10, 23, 29, 33, 47, 54; N 7, ст. 901, 905; N 15, ст. 2039, 2041; N 17, ст. 2310, 2312; N 19, ст. 2714, 2715, 2769; N 23, ст. 3260, 3267; N 27, ст. 3873, 3881; N 29, ст. 4284, 4289, 4290, 4291, 4298; N 30, ст. 4573, 4574, 4584, 4585, 4590, 4591, 4598, 4600, 4601, 4605; N 45, ст. 6325, 6326, 6334; N 46, ст. 6406; N 47, ст. 6601, 6602; N 48, ст. 6728, 6730, 6732; N 49, ст. 7025, 7042, 7056, 7061; N 50, ст. 7342, 7345, 7346, 7351, 7352, 7355, 7362, 7366; 2012, N 6, ст. 621; N 10, ст. 1166; N 15, ст. 1723; 1724; N 18, ст. 2126, 2128; N 19, ст. 2278, 2281; N 24, ст. 3068, 3069, 3082; N 25, ст. 3268; N 29, ст. 3996; N 31, ст. 4320, 4322, 4329, 4330; N 41, ст. 5523; N 47, ст. 6402, 6403, 6404, 6405; N 49, ст. 6752, 6757; N 50, ст. 6967; N 53, ст. 7577, 7580, 7602, 7639, 7640, 7641, 7643; 2013, N 8, ст. 717, 718, 719, 720; N 14, ст. 1641, 1642, 1651, 1657, 1658, 1666; N 17, ст. 2029; N 19, ст. 2307, 2318, 2319, 2323, 2325; N 23, ст. 2871, 2875; N 26, ст. 3207, 3208, 3209; N 27, ст. 3442, 3454, 3458, 3465, 3469, 3470, 3477, 3478; N 30, ст. 4025, 4026, 4027, 4028, 4029, 4030, 4031, 4032, 4033, 4034, 4035, 4036, 4040, 4044, 4059, 4078, 4081, 4082; N 31, ст. 4191; N 40, ст. 5032; N 43, ст. 5443, 5444, 5445, 5446, 5452; N 44, ст. 5624, 5633, 5643, 5644; N 48, ст. 6161, 6158, 6159, 6163, 6164, 6165; N 49, ст. 6327, 6341, 6342, 6343, 6344, 6345; N 51, ст. 6683, 6685, 6695, 6696; N 52, ст. 6948, 6953, 6961, 6980, 6981, 6986, 6994, 6995, 6999, 7002, 7010; 2014, N 6, ст. 557, 558, 559, 566; N 10, ст. 1087; N 11, ст. 1092, 1096, 1097, 1098; N 14, ст. 1553, 1561; N 16, ст. 1834, 1921; N 19, ст. 2317, 2324, 2325, 2326, 2327, 2330, 2333, 2335; N 23, ст. 2927, 2928; N 26, ст. 3366, 3368, 3377, 3379; N 30, ст. 4211, 4214, 4218, 4224, 4228, 4233, 4244, 4248, 4256, 4259, 4264, 4278, 5615; N 43, ст. 5801; N 45, ст. 6142; N 48, ст. 6636, 6638, 6642, 6651, 6653, 6654; N 52, ст. 7541, ст. 7545, 7547, 7549, 7550, 7557; 2015, N 1, ст. 29, 35, 37, 47, 67, 68, 74, 81, 83, 84, 85; 2015, N 6, ст. 885; N 7, ст. 1023; N 10, ст. 1405, 1411, 1416, 1427; N 13, ст. 1804, 1805, 1811; N 14, ст. 2011, 2021; N 18, ст. 2619, 2620, 2623; N 21, ст. 2981; N 24, ст. 3367, 3370);

2) Федеральным законом от 26 декабря 2008 г. N 294-ФЗ "О защите прав юридических лиц и индивидуальных предпринимателей при осуществлении государственного контроля (надзора) и муниципального контроля" (Собрание законодательства Российской Федерации, 2008, N 52, ст. 6249; 2009, N 18, ст. 2140; N 29, ст. 3601; N 48, ст. 5711; N 52, ст. 6441; 2010, N 17, ст. 1988; N 18, ст. 2142; N 31, ст. 4160, 4193, 4196; N 32, ст. 4298; 2011, N 1, ст. 20; N 17, ст. 2310; N 23, ст. 3263; N 27, ст. 3880; N 30, ст. 4590; N 48, ст. 6728; 2012, N 19, ст. 2281; N 26, ст. 3446; N 31, ст. 4320, 4322; N 47, ст. 6402; 2013, N 9, ст. 874; N 27, ст. 3477; N 30, ст. 4041, 4243; N 44, ст. 5633; N 48, ст. 6165; N 49, ст. 6338; N 52, ст. 6961, 6979, 6981; 2014, N 11, ст. 1092, 1098; N 26, ст. 3366; N 30, ст. 4220, 4235, 4243, 4256; N 42, ст. 5615; N 48, ст. 6659; 2015, N 1, ст. 53, 72, 85; N 14, ст. 2022);

3) Федеральным законом от 4 мая 2011 г. N 99-ФЗ "О лицензировании отдельных видов деятельности" (Собрание законодательства Российской Федерации, 2011, N 19, ст. 2716, N 30, ст. 4590; N 43, ст. 5971; N 48, ст. 6728; 2012, N 26, ст. 3446; N 31, ст. 4322; 2013, N 9, ст. 874; N 27, ст. 3477; 2014, N 30, ст. 4256, N 42, ст. 5615; 2015, N 1, ст. 72) (далее - Федеральный закон "О лицензировании отдельных видов деятельности");

4) Федеральным законом от 2 мая 2006 г. N 59-ФЗ "О порядке рассмотрения обращений граждан Российской Федерации" (Собрание законодательства Российской Федерации, 2006, N 19, ст. 2060; 2010, N 27, ст. 3410; N 31, ст. 4196; 2012, N 31, ст. 4470; 2013, N 19, ст. 2307; N 27, ст. 3474; 2014, N 48, ст. 6638) (далее - Федеральный закон "О порядке рассмотрения обращений граждан Российской Федерации");

5) постановлением Правительства Российской Федерации от 30 июня 2004 г. N 323 "Об утверждении Положения о Федеральной службе по надзору в сфере здравоохранения" (Собрание законодательства Российской Федерации, 2004, N 28, ст. 2900, N 33, ст. 3499; 2006, N 52, ст. 5587; 2007, N 12, ст. 1414, N 35, ст. 4310; 2008, N 46, ст. 5337; 2009, N 2, ст. 244, N 6, ст. 738, N 33, ст. 4081, 4086; 2010, N 26, ст. 3350, N 35, ст. 4574, N 45, ст. 5851; 2011, N 2, ст. 339, N 14, ст. 1935; 2012, N 1, ст. 171, N 20, ст. 2528, N 26, ст. 3531; 2013, N 20, ст. 2477; N 45, ст. 5822, 2014, N 37, ст. 4969; 2015, N 2, ст. 491);

6) постановлением Правительства Российской Федерации от 16 апреля 2012 г. N 291 "О лицензировании медицинской деятельности (за исключением указанной деятельности, осуществляемой медицинскими организациями и другими организациями, входящими в частную систему здравоохранения, на территории инновационного центра "Сколково")" (Собрание законодательства Российской Федерации, 2013, N 17, ст. 1965, N 37, ст. 5002; 2013, N 3, ст. 207, N 16, ст. 1970);

7) постановлением Правительства Российской Федерации от 12 ноября 2012 г. N 1152 "Об утверждении Положения о государственном контроле качества и безопасности медицинской деятельности" (Собрание законодательства Российской Федерации, 2012, N 47, ст. 6501);

8) постановлением Правительства Российской Федерации от 21 ноября 2011 г. N 957 "Об организации лицензирования отдельных видов деятельности" (Собрание законодательства Российской Федерации, 2011, N 48, ст. 6931; 2012, N 17, ст. 1965; N 36, ст. 4916; N 37, ст. 5002; N 39, ст. 5267; 2013, N 26, ст. 3014; N 44, ст. 5764; 2015, N 1, ст. 279; N 19, ст. 2820);

9) постановлением Правительства Российской Федерации от 16 мая 2011 г. N 373 "О разработке и утверждении административных регламентов исполнения государственных функций и административных регламентов предоставления государственных услуг" (Собрание законодательства Российской Федерации, 2011, N 22, ст. 3169; N 35, ст. 5092; 2012, N 28, ст. 3908, N 36, ст. 4903; N 50, ст. 7070; N 52, ст. 7507; 2014, N 5, ст. 506);

10) постановлением Правительства Российской Федерации от 30 июня 2010 г. N 489 "Об утверждении Правил подготовки органами государственного контроля (надзора) и органами муниципального контроля ежегодных планов проведения плановых проверок юридических лиц и индивидуальных предпринимателей" (Собрание законодательства Российской Федерации, 2010, N 28, ст. 3706; 2012, N 2, ст. 301; N 53, ст. 7958);

11) постановлением Правительства Российской Федерации от 10 июля 2014 г. N 636 "Об аттестации экспертов, привлекаемых органами, уполномоченными на осуществление государственного контроля (надзора), органами муниципального контроля, к проведению мероприятий по контролю" (Собрание законодательства Российской Федерации, 2014, N 29, ст. 4142);

12) приказом Министерства экономического развития Российской Федерации от 30 апреля 2009 г. N 141 "О реализации положений Федерального закона "О защите прав юридических лиц и индивидуальных предпринимателей при осуществлении государственного контроля (надзора) и муниципального контроля" (зарегистрирован Министерством юстиции Российской Федерации 13 мая 2009 г., регистрационный N 13915) с изменениями, внесенными приказами Министерства экономического развития Российской Федерации от 24 мая 2010 г. N 199 (зарегистрирован Министерством юстиции Российской Федерации 6 июля 2010 г., регистрационный N 17702) и от 30 сентября 2011 г. N 532 (зарегистрирован Министерством юстиции Российской Федерации 10 ноября 2011 г., регистрационный N 22264) (далее - приказ Минэкономразвития России N 141).

Предмет лицензионного контроля

5. Предметом лицензионного контроля является соблюдение юридическими лицами, индивидуальными предпринимателями, осуществляющими медицинскую деятельность (за исключением указанной деятельности, осуществляемой медицинскими организациями и другими организациями, входящими в частную систему здравоохранения, на территории инновационного центра "Сколково") (далее - лицензиат), требований, установленных Положением о лицензировании медицинской деятельности (за исключением указанной деятельности, осуществляемой медицинскими организациями и другими организациями, входящими в частную систему здравоохранения, на территории инновационного центра "Сколково")", утвержденным постановлением Правительства Российской Федерации от 16 апреля 2012 г. N 291 (далее - лицензионные требования), посредством организации и проведения проверок.

Права и обязанности должностных лиц при осуществлении лицензионного контроля

6. При осуществлении лицензионного контроля должностные лица Росздравнадзора (территориального органа) обязаны:

1) своевременно и в полной мере исполнять предоставленные в соответствии с законодательством Российской Федерации полномочия по предупреждению, выявлению и пресечению нарушений лицензионных требований;

2) соблюдать законодательство Российской Федерации, права и законные интересы лицензиата, в отношении которого проводится проверка;

3) проводить проверку на основании приказа Росздравнадзора о ее проведении в соответствии с ее назначением;

4) проводить проверку только во время исполнения служебных обязанностей, выездную проверку только при предъявлении служебных удостоверений, копии приказа Росздравнадзора (территориального органа), а в случаях, когда проведение проверки необходимо согласовать с органами прокуратуры, предъявление копии документа о согласовании проведения проверки с органом прокуратуры;

5) не препятствовать лицензиату (его руководителю, иному должностному лицу или уполномоченному лицу) присутствовать при проведении проверки и давать разъяснения по вопросам, относящимся к предмету проверки;

6) предоставлять лицензиату (его руководителю, иному должностному лицу или уполномоченному лицу), присутствующему при проведении проверки, информацию и документы, относящиеся к предмету проверки;

7) знакомить лицензиата (его руководителя, иное должностное лицо или уполномоченное лицо) с результатами проверки;

8) учитывать при определении мер, принимаемых по фактам выявленных нарушений, соответствие указанных мер тяжести нарушений, их потенциальной опасности для жизни, здоровья людей, для животных, растений, окружающей среды, объектов культурного наследия (памятников истории и культуры) народов Российской Федерации, безопасности государства, для возникновения чрезвычайных ситуаций природного и техногенного характера, а также не допускать необоснованное ограничение прав и законных интересов граждан, в том числе индивидуальных предпринимателей, юридических лиц;

9) доказывать обоснованность своих действий при их обжаловании лицензиатом в порядке, установленном законодательством Российской Федерации;

10) соблюдать сроки проведения проверки;

11) не требовать от лицензиата документы и иные сведения, представление которых не предусмотрено законодательством Российской Федерации;

12) по просьбе лицензиата (его руководителя, иного должностного лица или уполномоченного лица) ознакомить их с положениями Административного регламента и порядком проведения проверки на объектах, используемых при осуществлении лицензиатом медицинской деятельности (за исключением указанной деятельности, осуществляемой медицинскими организациями и другими организациями, входящими в частную систему здравоохранения, на территории инновационного центра "Сколково");

13) осуществлять запись о проведенной проверке в журнале учета проверок.

7. При осуществлении лицензионного контроля должностные лица Росздравнадзора (территориального органа) не вправе:

1) проверять выполнение требований, не относящихся к полномочиям Росздравнадзора (территориального органа);

2) осуществлять плановую или внеплановую выездную проверку в случае отсутствия при ее проведении руководителя, иного должностного лица или уполномоченного представителя лицензиата;

3) требовать представления документов, информации, если они не относятся к предмету проверки, а также изымать оригиналы таких документов;

4) распространять информацию, полученную в результате проведения проверки и составляющую государственную, коммерческую, служебную, иную охраняемую законом тайну, за исключением случаев, предусмотренных законодательством Российской Федерации;

5) превышать установленные сроки проведения проверки;

6) осуществлять выдачу лицензиату предписаний или предложений о проведении за его счет мероприятий по контролю.

8. При осуществлении лицензионного контроля должностные лица Росздравнадзора (территориального органа) вправе истребовать документы и информацию, необходимые для осуществления указанной государственной функции и представление которых предусмотрено законодательством Российской Федерации.

9. Росздравнадзор (территориальный орган) привлекает к проведению выездной проверки экспертов, экспертные организации, не состоящие в гражданско-правовых и трудовых отношениях с лицензиатом, в отношении которого проводится проверка, и не являющиеся аффилированными лицами проверяемого лица.

Права и обязанности лиц, в отношении которых осуществляются мероприятия по лицензионному контролю

10. Руководитель, иное должностное лицо или уполномоченное лицо лицензиата при осуществлении лицензионного контроля имеет право:

1) непосредственно присутствовать при проведении проверки, давать объяснения по вопросам, относящимся к предмету проверки;

2) получать от должностных лиц Росздравнадзора (территориального органа) информацию, которая относится к предмету проверки;

3) знакомиться с результатами проверки и указывать в акте проверки о своем ознакомлении с результатами проверки, согласии или несогласии с ними, а также с отдельными действиями должностных лиц Росздравнадзора;

4) обжаловать действия (бездействие) должностных лиц Росздравнадзора (территориального органа), повлекшие за собой нарушение прав лицензиата при проведении проверки, в административном и (или) судебном порядке в соответствии с законодательством Российской Федерации;

5) привлекать Уполномоченного при Президенте Российской Федерации по защите прав предпринимателей либо уполномоченного по защите прав предпринимателей в субъекте Российской Федерации к участию в проверке.

11. Лицензиат при осуществлении лицензионного контроля обязан:

1) обеспечить присутствие руководителя, иного должностного лица или уполномоченного представителя, ответственных за организацию и проведение мероприятий по выполнению лицензионных требований;

2) предоставить должностным лицам Росздравнадзора (территориального органа), проводящим выездную проверку, возможность ознакомиться с документами, связанными с целями, задачами и предметом выездной проверки, в случае, если выездной проверке не предшествовало проведение документарной проверки;

3) обеспечить доступ проводящих выездную проверку должностных лиц и участвующих в выездной проверке экспертов, представителей экспертных организаций на территорию, в используемые лицензиатом при осуществлении деятельности здания, строения, сооружения, помещения, к используемому лицензиатом оборудованию.

Описание результата исполнения государственной функции

12. Результатом исполнения государственной функции является:

1) составление акта проверки;

2) выдача предписания об устранении выявленных нарушений лицензионных требований с указанием сроков их устранения;

3) принятие мер, предусмотренных законодательством Российской Федерации.

II. Требования к порядку исполнения государственной функции

Порядок информирования об исполнении государственной функции

13. Информация об исполнении государственной функции предоставляется:

1) посредством размещения на информационных стендах в Росздравнадзоре, его территориальных органах;

2) посредством размещения в федеральной государственной информационной системе "Единый портал государственных и муниципальных услуг (функций)" (www.gosuslugi.ru) (далее - Единый портал);

3) на официальном сайте Росздравнадзора в информационно-телекоммуникационной сети "Интернет" http://www.roszdravnadzor.ru (далее - сайт Росздравнадзора), его территориальных органов;

4) посредством использования средств телефонной связи, в письменной форме, а также по электронной почте info@roszdravnadzor.ru;

5) посредством личного обращения лицензиата.

14. Информирование о порядке исполнения государственной функции Росздравнадзором осуществляется по адресу:

Российская Федерация, 109074, Москва, Славянская площадь, д. 4, стр. 1.

График работы:

понедельник, вторник, среда, четверг - с 9:00 часов до 18:00 часов;

пятница - с 9:00 часов до 16:45;

обеденный перерыв с 13:00 часов до 13:45;

суббота - воскресенье - выходные дни.

Номера телефонов Росздравнадзора, по которым осуществляется информирование по вопросам исполнения государственной функции:

(499) 578-01-24;

(499) 578-01-84;

(499) 578-01-62.

Необходимую справочную информацию можно также получить в рабочее время по телефону справочной Росздравнадзора (499) 578-02-30, а также по телефону автоинформатора (495) 698-45-38.

Режим работы территориальных органов устанавливается с учетом особенностей режима работы органов исполнительной власти субъектов Российской Федерации. Адреса, телефоны для справок территориальных органов указаны в приложении N 1 к Административному регламенту.

15. На сайте Росздравнадзора (территориального органа) размещается следующая информация:

1) почтовый адрес, график работы Росздравнадзора (территориального органа);

2) нормативные правовые акты, регламентирующие исполнение государственной функции, в том числе текст Административного регламента;

3) номера телефонов, по которым осуществляется информирование по вопросам исполнения государственной функции;

4) ежегодный план проведения Росздравнадзором (территориальным органом) плановых проверок юридических лиц и индивидуальных предпринимателей (далее - план проверок);

5) информация о результатах проверок, проведенных Росздравнадзором (территориальным органом);

6) порядок обжалования решений и действий (бездействия) должностных лиц Росздравнадзора (территориального органа), исполняющих государственную функцию.

16. Посредством телефонной связи может предоставляться следующая информация:

1) о местонахождении и графике работы Росздравнадзора (территориального органа);

2) о нормативных правовых актах, регламентирующих вопросы исполнения государственной функции;

3) о порядке исполнения государственной функции;

4) о сроках исполнения государственной функции;

5) об адресах сайта Росздравнадзора (территориального органа).

По иным вопросам информация предоставляется только на основании соответствующего письменного обращения.

Сведения о размере платы за услуги организации (организаций), участвующей (участвующих) в исполнении государственной функции, взимаемой с лица, в отношении которого проводятся мероприятия по контролю

17. Исполнение государственной функции осуществляется бесплатно.

Срок исполнения государственной функции

18. Продолжительность проверки не может превышать 20 (двадцать) рабочих дней.

19. В случае если лицензиат является субъектом малого предпринимательства, общий срок проведения плановых выездных проверок не может превышать 50 (пятьдесят) часов для малого предприятия и 15 (пятнадцать) часов для микропредприятия в год.

20. С учетом сложности проверки, количества и объема проверяемых сведений на основании мотивированных предложений должностных лиц Росздравнадзора (территориального органа), проводящих выездную плановую проверку, срок проведения выездной плановой проверки может быть продлен, но не более чем на 20 (двадцать) рабочих дней, в отношении малых предприятий, микропредприятий не более чем на 15 (пятнадцать) часов.

21. Срок проведения проверки в отношении лицензиата, который осуществляет свою деятельность на территориях нескольких субъектов Российской Федерации, устанавливается отдельно по каждому филиалу, представительству, обособленному структурному подразделению лицензиата, при этом общий срок проведения проверки не может превышать 60 (шестьдесят) рабочих дней.

III. Состав, последовательность и сроки выполнения административных процедур (действий), требования к порядку их выполнения, в том числе особенности выполнения административных процедур в электронной форме

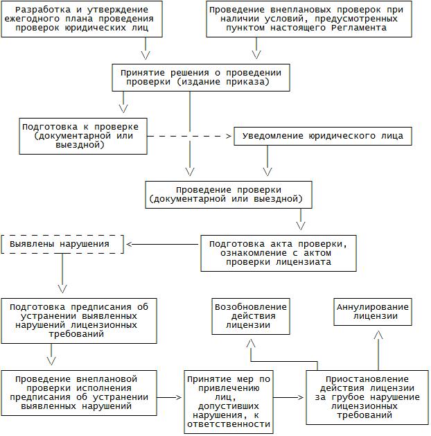
22. Исполнение государственной функции включает в себя следующие административные процедуры:

1) принятие решения о проведении проверки и подготовка к проведению проверки;

2) проведение проверки;

3) подготовка акта проверки, ознакомление лицензиата с актом проверки;

4) принятие мер, предусмотренных законодательством Российской Федерации, в случае выявления нарушения лицензионных требований.

23. Блок-схема исполнения государственной функции представлена в приложении N 2 к Административному регламенту.

Принятие решения о проведении проверки и подготовка к проведению проверки

24. Основаниями для принятия решения о проведении проверки являются:

1) наступление срока проверки, включенной в ежегодный план проверок в соответствии с частью 9 статьи 19 Федерального закона "О лицензировании отдельных видов деятельности";

2) истечение срока исполнения лицензиатом ранее выданного Росздравнадзором (территориальным органом) предписания об устранении выявленного нарушения лицензионных требований;

3) поступление в Росздравнадзор (территориальный орган) обращений и заявлений граждан, в том числе индивидуальных предпринимателей, юридических лиц, информации от органов государственной власти, органов местного самоуправления, средств массовой информации о фактах грубых нарушений лицензиатом лицензионных требований;

4) истечение срока, на который было приостановлено действие лицензии в соответствии с частями 2 и 3 статьи 20 Федерального закона "О лицензировании отдельных видов деятельности";

5) наличие ходатайства лицензиата о проведении внеплановой выездной проверки в целях установления факта досрочного исполнения предписания Росздравнадзора (территориального органа);

6) наличие приказа Росздравнадзора (территориального органа), изданного в соответствии с поручением Президента Российской Федерации или Правительства Российской Федерации.

25. Решение о проведении проверки оформляется приказом Росздравнадзора (территориального органа) в соответствии с типовой формой распоряжения (приказа) органа государственного контроля (надзора), органа муниципального контроля о проведении проверки юридического лица, индивидуального предпринимателя, утвержденной приказом Минэкономразвития России N 141.

26. Проверка проводится должностными лицами Росздравнадзора (территориального органа) в составе комиссии, состоящей из гражданских служащих Росздравнадзора (территориального органа), а также привлекаемых к проведению проверки экспертов, представителей экспертных организаций (далее - комиссия по проверке).

27. В приказе о проведении проверки назначается председатель комиссии по проверке.

Проведение проверки

28. Проверки могут быть плановыми и внеплановыми, осуществляться в форме документарных и выездных проверок.

29. Плановые проверки проводятся в соответствии с планом проверок.

30. Внеплановые проверки проводятся по основаниям, указанным в подпунктах 2 - 6 пункта 24 Административного регламента.

31. При проведении внеплановых выездных проверок по основанию, предусмотренному подпунктом 3 пункта 24 Административного регламента, внеплановая выездная проверка подлежит согласованию в установленном порядке с органом прокуратуры.

32. О проведении плановой проверки лицензиат уведомляется не позднее чем в течение 3 (трех) рабочих дней до начала ее проведения посредством направления копии приказа Росздравнадзора (территориального органа) о проведении плановой проверке заказным почтовым отправлением с уведомлением о вручении или иным доступным способом.

33. О проведении внеплановой проверки соискатель лицензии или лицензиат уведомляется не менее чем за 24 часа до начала проведения проверки любым доступным способом.

34. Росздравнадзор (территориальный орган) вправе проводить внеплановую выездную проверку по основанию, указанному в подпункте 3 пункта 24 Административного регламента, без направления предварительного уведомления лицензиата.

35. Основанием для начала документарной проверки является приказ Росздравнадзора (территориального органа) о проведении документарной проверки.

36. Предметом документарной проверки являются содержащиеся в документах лицензиата сведения о его деятельности, состоянии используемых при осуществлении лицензируемого вида деятельности помещений, зданий, сооружений, технических средств, оборудования, иных объектов, соответствие работников лицензиата лицензионным требованиям, выполняемые работы, оказываемые услуги, принимаемые лицензиатом меры по соблюдению лицензионных требований, исполнению предписаний об устранении выявленных нарушений лицензионных требований.

37. Комиссия по проверке формирует пакет документов о лицензиате из числа имеющихся в распоряжении Росздравнадзора (территориального органа).

38. При проведении документарной проверки в случае, если достоверность сведений, содержащихся в документах, имеющихся в распоряжении Росздравнадзора (территориального органа), вызывает обоснованные сомнения либо эти сведения не позволяют оценить исполнение лицензиатом лицензионных требований, в адрес лицензиата направляется мотивированный запрос с требованием представить иные необходимые для рассмотрения в ходе проведения документарной проверки документы, относящиеся к предмету проверки. К запросу прилагается заверенная печатью копия приказа Росздравнадзора (территориального органа) о проведении документарной проверки.

39. В течение 10 (десяти) рабочих дней со дня получения мотивированного запроса лицензиат обязан направить в Росздравнадзор (территориальный орган) указанные в запросе документы.

Указанные в запросе документы предоставляются в виде копий, заверенных печатью лицензиата (при ее наличии) и подписью руководителя (или иного уполномоченного лица).

40. Лицензиат вправе представить указанные в запросе документы в форме электронных документов в порядке, определяемом Правительством Российской Федерации.

41. В случае, если в ходе документарной проверки выявлены ошибки и (или) противоречия в представленных лицензиатом документах либо несоответствие сведений, содержащихся в этих документах, сведениям, содержащимся в имеющихся у Росздравнадзора (территориального органа) документах и (или) полученным в ходе осуществления лицензионного контроля, лицензиату направляется письменный запрос с требованием представить в течение 10 (десяти) рабочих дней необходимые пояснения в письменной форме.

42. Лицензиат, представляющий в Росздравнадзор (территориальный орган) пояснения относительно выявленных ошибок и (или) противоречий в представленных документах, вправе представить дополнительно документы, подтверждающие достоверность ранее представленных документов.

43. Члены комиссии по проверке рассматривают полученные от лицензиата письменные пояснения и документы, подтверждающие достоверность ранее представленных документов, по существу выявленных несоответствий и противоречий.

44. Если в ходе рассмотрения представленных пояснений и документов (или при отсутствии пояснений) установлены признаки нарушения лицензионных требований, в отношении лицензиата может быть проведена выездная проверка.

45. Основанием для начала внеплановой выездной проверки является приказ Росздравнадзора (территориального органа) о проведении внеплановой выездной проверки.

46. Предметом внеплановой выездной проверки являются содержащиеся в документах лицензиата сведения, а также соответствие его работников лицензионным требованиям, состояние используемых при осуществлении деятельности зданий, строений, сооружений, помещений, оборудования, технических средств, иных объектов лицензионным требованиям и принимаемые лицензиатом меры по соблюдению лицензионных требований, исполнению предписаний об устранении выявленных нарушений лицензионных требований.

47. Выездная проверка начинается с предъявления служебного удостоверения членами комиссии по проверке, обязательного ознакомления лицензиата (его руководителя, иного должностного лица или уполномоченного лица) с приказом Росздравнадзора (территориального органа) о назначении выездной проверки и с полномочиями проводящих выездную проверку лиц, а также с целями, задачами, основаниями проведения выездной проверки, составом экспертов, представителями экспертных организаций, привлекаемых к выездной проверке, со сроками и с условиями ее проведения.

48. Проведение проверок в нерабочее время лицензиата не допускается без предварительного согласования с лицензиатом (его руководителем, иным должностным лицом или уполномоченным лицом).

Подготовка акта проверки, ознакомление лицензиата с актом проверки

49. Акт проверки оформляется непосредственно после ее завершения в двух экземплярах, один из которых с копиями приложений вручается лицензиату (его руководителю, иному должностному лицу или уполномоченному лицу) под расписку об ознакомлении либо об отказе в ознакомлении с актом проверки.

50. Типовая форма акта проверки органом государственного контроля (надзора), органом муниципального контроля юридического лица, индивидуального предпринимателя утверждена приказом Минэкономразвития России N 141.

51. В случае отсутствия лицензиата (его руководителя, иного должностного лица или уполномоченного лица), а также в случае отказа лицензиата дать расписку об ознакомлении либо об отказе в ознакомлении с актом проверки акт направляется заказным почтовым отправлением с уведомлением о вручении, которое приобщается к экземпляру акта проверки, хранящемуся в Росздравнадзоре (территориальном органе).

52. В случае, если для проведения внеплановой выездной проверки требуется согласование ее проведения с органом прокуратуры, копия акта проверки направляется в орган прокуратуры, которым принято решение о согласовании проведения проверки, в течение 5 (пяти) рабочих дней со дня составления акта проверки.

53. К акту проверки прилагаются объяснения работников лицензиата, на которых возлагается ответственность за нарушение лицензионных требований.

54. В журнале учета проверок, который ведется лицензиатом по форме, установленной приказом Минэкономразвития России N 141, члены комиссии по проверке осуществляют запись о проведенной проверке, содержащую сведения о наименовании органа государственного контроля, датах начала и окончания проведения проверки, времени ее проведения, правовых основаниях, целях, задачах и предмете проверки, выявленных нарушениях и выданных предписаниях, а также указываются фамилии, имена и (в случае, если имеется) отчества и должности членов комиссии по проверке, привлекаемых к проведению проверки экспертов, представителей экспертных организаций и их подписи.

При отсутствии у лицензиата журнала учета проверок в акте проверки делается соответствующая запись.

55. Результаты проверки, содержащие информацию, составляющую государственную, коммерческую, служебную, иную тайну, оформляются с соблюдением требований, предусмотренных законодательством Российской Федерации.

Принятие мер, предусмотренных законодательством Российской Федерации, в случае выявления нарушения лицензионных требований

56. В случае выявления членами комиссии по проверке нарушений лицензионных требований лицензиату выдается предписание об устранении выявленных нарушений лицензионных требований (далее - предписание) с указанием сроков их устранения (приложение N 3 к Административному регламенту).

57. Предписание подлежит вручению руководителю лицензиата (иному уполномоченному лицу) одновременно с вручением ему экземпляра акта проверки.

58. Подготовка, оформление или вручение предписания до подписания и вручения акта проверки не допускаются.

59. Лицензиат в случае несогласия с фактами, выводами, предложениями, изложенными в акте проверки и (или) выданном предписании, в течение 15 (пятнадцати) дней с даты получения акта проверки вправе представить в Росздравнадзор (территориальный орган) в письменной форме возражения в отношении акта проверки и (или) предписания в целом или отдельных его положений. При этом лицензиат вправе приложить к таким возражениям документы, подтверждающие обоснованность таких возражений, или их заверенные копии либо в согласованный срок передать их в Росздравнадзор (территориальный орган).

60. Лицензиат исполняет предписание в указанный в нем срок и представляет в Росздравнадзор (территориальный орган) уведомление об исполнении предписания.

61. К уведомлению об устранении выявленных нарушений прилагаются надлежащим образом оформленные копии документов, подтверждающих исполнение указанных в предписании требований.

62. В случае непредставления или невыполнения лицензиатом в установленные сроки предписания уполномоченное лицо Росздравнадзора (территориального органа):

1) уведомляет лицензиата о продлении сроков устранения нарушений (в случае наличия уважительных причин, не позволивших в установленные сроки устранить указанные нарушения) и направляет лицензиату повторное предписание;

2) рассматривает вопрос о привлечении лицензиата к административной ответственности в установленном порядке и последующем приостановлении действия лицензии, о направлении в суд заявления об аннулировании лицензии.

63. Решение Росздравнадзора (территориального органа) о приостановлении действия лицензии оформляется в форме приказа в течение 1 (одного) рабочего дня со дня вступления в силу решения суда на срок исполнения предписания или административного приостановления деятельности лицензиата.

64. В случае принятия решения о приостановлении действия лицензии устанавливается срок устранения лицензиатом обстоятельств, повлекших за собой приостановление действия лицензии. Указанное решение оформляется приказом Росздравнадзора (территориального органа).

65. Решение о приостановлении действия лицензии вручается или направляется лицензиату заказным почтовым отправлением с уведомлением о вручении или любым иным способом в письменной форме (с соответствующим обоснованием) в течение 1 (одного) рабочего дня с даты его принятия.

66. Решение о возобновлении действия лицензии может быть принято после представления лицензиатом в Росздравнадзор (территориальный орган) документов, подтверждающих устранение нарушений лицензионных требований, повлекших за собой приостановление действия лицензии. Решение оформляется приказом Росздравнадзора (территориального органа) и доводится до сведения лицензиата в течение 1 (одного) рабочего дня с даты его подписания заказным почтовым отправлением с уведомлением о вручении или иным доступным способом.

IV. Порядок и формы контроля за исполнением государственной функции

Порядок осуществления текущего контроля за соблюдением и исполнением должностными лицами Росздравнадзора (территориального органа) положений Административного регламента и иных нормативных правовых актов, устанавливающих требования к исполнению государственной функции, а также за принятием ими решений

67. Текущий контроль за соблюдением и исполнением должностными лицами Росздравнадзора (территориального органа) положений Административного регламента и иных нормативных актов, устанавливающих требования к исполнению государственной функции, осуществляется должностными лицами Росздравнадзора (территориального органа), ответственными за организацию проведения проверок.

68. Контроль за подготовкой, проведением и оформлением результатов проверок должностными лицами Росздравнадзора (территориального органа) осуществляют:

1) заместитель руководителя Росздравнадзора, курирующий исполнение государственной функции;

2) руководитель территориального органа;

3) заместитель руководителя территориального органа, на которого возложена данная обязанность;

69. Текущий контроль осуществляется путем проведения ответственным должностным лицом Росздравнадзора (территориального органа) проверок соблюдения и исполнения должностными лицами Росздравнадзора (территориального органа) положений Административного регламента, иных нормативных правовых актов Российской Федерации.

70. Периодичность осуществления текущего контроля устанавливается руководителем Росздравнадзора (территориального органа).

Порядок и периодичность осуществления плановых и внеплановых проверок полноты и качества исполнения государственной функции, в том числе порядок и формы контроля за полнотой и качеством исполнения государственной функции

71. Контроль в отношении действий должностных лиц Росздравнадзора (территориального органа) при организации и проведении проверок осуществляется в рамках рассмотрения жалоб на их действия.

Контроль за полнотой и качеством организации и проведения проверки включает в себя проведение проверок полноты и качества организации проверок, выявление и устранение нарушений прав лицензиата, рассмотрение, принятие решений и подготовку ответов на обращения лицензиата, содержащих жалобы на решения, действия (бездействие) должностных лиц Росздравнадзора (территориального органа).

Ответственность должностных лиц Росздравнадзора (территориального органа) за решения и действия (бездействие), принимаемые (осуществляемые) ими в ходе исполнения государственной функции

72. В случае выявления по результатам проведенных проверок фактов нарушений прав лицензиата виновные должностные лица Росздравнадзора (территориального органа) подлежат привлечению к ответственности в соответствии с законодательством Российской Федерации.

73. Должностные лица Росздравнадзора (территориального органа), уполномоченные на проведение проверки, несут персональную ответственность за соблюдение сроков и установленного порядка исполнения государственной функции, соблюдение прав лицензиата.

74. Персональная ответственность должностных лиц Росздравнадзора (территориального органа) закрепляется в их должностных регламентах в соответствии с требованиями законодательства Российской Федерации.

Положения, характеризующие требования к порядку и формам контроля за исполнением государственной функции, в том числе со стороны граждан, их объединений и организаций

75. Контроль за исполнением Росздравнадзором (территориальным органом), его должностными лицами государственной функции может осуществляться со стороны граждан, их объединений и организаций путем направления в адрес Росздравнадзора (территориального органа):

1) предложений о совершенствовании нормативных правовых актов, регламентирующих исполнение Росздравнадзором (территориальным органом) государственной функции;

2) сообщений о нарушении положений нормативных правовых актов, недостатках в работе Росздравнадзора (территориального органа), их должностных лиц;

3) жалоб по фактам нарушения должностными лицами Росздравнадзора (территориального органа) прав и законных интересов граждан и юридических лиц.

V. Досудебный (внесудебный) порядок обжалования решений и действий (бездействия) Росздравнадзора (территориального органа) по исполнению государственной функции, а также их должностных лиц

Информация для заинтересованных лиц об их праве на досудебное (внесудебное) обжалование действий (бездействий) и решений, принятых (осуществляемых) в ходе исполнения государственной функции

76. Заинтересованные лица имеют право на досудебное обжалование действий (бездействий) и решений, осуществленных (принятых) должностными лицами Росздравнадзора (территориального органа) при исполнении государственной функции.

77. В жалобе указываются:

1) должность, фамилия, имя и отчество (при наличии) должностного лица (при наличии информации), решение, действие (бездействие) которого обжалуется;

2) фамилия, имя, отчество (при наличии) заявителя или полное наименование организации;

3) почтовый адрес, по которому должен быть направлен ответ;

4) предмет жалобы;

5) личная подпись заявителя и дата.

Дополнительно в жалобе могут быть указаны обстоятельства, на основании которых заявитель считает, что нарушены его права, свободы и законные интересы, созданы препятствия к их реализации либо незаконно возложена какая-либо обязанность, и иные сведения, которые заявитель считает необходимым сообщить.

78. К жалобе могут быть приложены копии документов, подтверждающих изложенные в ней обстоятельства.

79. Жалоба, поступившая в форме электронного документа, должна содержать:

1) фамилию, имя, отчество представителя заявителя или полное наименование организации,

2) адрес электронной почты, если ответ должен быть направлен в форме электронного документа,

3) почтовый адрес, если ответ должен быть направлен в письменной форме.

Заявитель вправе приложить к такому обращению необходимые документы и материалы в электронной форме либо направить указанные документы и материалы или их копии в письменной форме.

80. Должностные лица Росздравнадзора (территориального органа):

1) обеспечивают объективное, всестороннее и своевременное рассмотрение обращения, в случае необходимости - с участием заявителя, направившего жалобу, или его законного представителя;

2) запрашивают необходимые для рассмотрения жалобы документы и материалы в других государственных органах, органах местного самоуправления и у иных должностных лиц, за исключением судов, органов дознания и органов предварительного следствия (в случае необходимости);

3) по результатам рассмотрения жалобы принимают меры, направленные на восстановление или защиту нарушенных прав, свобод и законных интересов заявителя, дают письменный ответ по существу поставленных в жалобе вопросов.

Предмет досудебного (внесудебного) обжалования

81. Предметом досудебного (внесудебного) обжалования являются действия (бездействие) Росздравнадзора (территориального органа), его должностных лиц и принятые (осуществляемые) ими решения в ходе исполнения государственной функции.

Исчерпывающий перечень оснований для приостановления рассмотрения жалобы и случаев, в которых ответ на жалобу не дается

82. Приостановление рассмотрения жалобы не допускается.

83. Ответ на жалобу не дается в случаях, если:

1) в жалобе не указаны фамилия заявителя, направившего жалобу, почтовый адрес (анонимное обращение), по которому должен быть направлен ответ;

2) текст жалобы не поддается прочтению (при этом в течение 7 (семи) дней со дня регистрации жалоба возвращается заявителю, направившему жалобу, если его фамилия и почтовый адрес поддаются прочтению).

84. Должностное лицо Росздравнадзора (территориального органа) при получении жалобы, в которой содержатся нецензурные либо оскорбительные выражения, угрозы жизни, здоровью и имуществу должностного лица, а также членов его семьи, вправе оставить жалобу без ответа по существу поставленных в ней вопросов и сообщить гражданину, направившему жалобу, о недопустимости злоупотребления правом.

85. В случае, если ответ по существу поставленного в обращении вопроса не может быть дан без разглашения сведений, составляющих государственную или иную охраняемую законодательством Российской Федерации тайну, заявителю, направившему обращение, сообщается в течение 7 (семи) дней со дня регистрации жалобы о невозможности дать ответ по существу поставленного в нем вопроса в связи с недопустимостью разглашения указанных сведений.

86. Если в жалобе содержится вопрос, на который заявителю неоднократно давались письменные ответы по существу в связи с ранее направляемыми жалобами, и при этом в жалобе не приводятся новые доводы или обстоятельства, уполномоченное должностное лицо вправе принять решение о безосновательности очередной жалобы и прекращении переписки с заявителем по данному вопросу при условии, что указанная жалоба и ранее направляемые жалобы направлялись в один и тот же адрес или одному и тому же должностному лицу. О данном решении уведомляется заявитель, направивший жалобу.

87. Обращение, в котором обжалуется судебное решение, в течение 7 (семи) дней со дня регистрации возвращается заявителю, направившему жалобу, с разъяснением порядка обжалования данного судебного решения.

Основания для начала процедуры досудебного (внесудебного) обжалования

88. Основанием для досудебного (внесудебного) обжалования является поступление жалобы в Росздравнадзор (территориальный орган) в ходе личного приема, в форме электронного документа или в письменной форме.

Права заинтересованных лиц на получение информации и документов, необходимых для обоснования и рассмотрения жалобы

89. В случае необходимости заявитель, обратившийся в Росздравнадзор (территориальный орган) с жалобой на действия (бездействие) его должностных лиц, имеет право на получение копий документов и материалов, касающихся существа его жалобы, подтверждающих правоту и достоверность фактов, изложенных в его обращении и необходимых для обоснования и рассмотрения жалобы.

Органы государственной власти и должностные лица, которым может быть направлена жалоба заявителя в досудебном (внесудебном) порядке

90. Заявитель может обратиться в досудебном (внесудебном) порядке с обращением к:

1) руководителю территориального органа Росздравнадзора на решения и действия (бездействие) подчиненных ему специалистов;

2) руководителю Росздравнадзора на решения и действия (бездействие) руководителя территориального органа Росздравнадзора;

3) Министру здравоохранения Российской Федерации на решения и действия (бездействие) руководителя Росздравнадзора.

91. В случае обжалования действий (бездействий) должностного лица структурного подразделения Росздравнадзора жалоба подается на имя руководителя соответствующего структурного подразделения Росздравнадзора.

В случае обжалования действий (бездействия) руководителя структурного подразделения Росздравнадзора жалоба подается на имя заместителя руководителя Росздравнадзора, курирующего данное структурное подразделение в соответствии с распределением обязанностей, установленным приказом Росздравнадзора.

В случае обжалования действий (бездействия) заместителя руководителя Росздравнадзора жалоба подается на имя руководителя Росздравнадзора.

Сроки рассмотрения жалобы

92. Срок рассмотрения жалобы не должен превышать 30 (тридцать) дней со дня ее регистрации в Росздравнадзоре (территориальном органе).

93. В исключительных случаях, а также в случае направления запроса, предусмотренного частью 2 статьи 10 Федерального закона "О порядке рассмотрения обращений граждан Российской Федерации", срок рассмотрения жалобы может быть продлен не более чем на 30 (тридцать) дней, при этом Росздравнадзор уведомляет заявителя, направившего жалобу, о продлении срока ее рассмотрения.

Результат досудебного (внесудебного) обжалования

94. По результатам рассмотрения жалобы на действия (бездействие) и решения, осуществляемые (принимаемые) в ходе исполнения государственной функции, должностное лицо Росздравнадзора (территориального органа), на которое возложена обязанность рассмотрения жалобы заявителя:

1) признает правомерными действия (бездействие) и решения в ходе исполнения государственной функции;

2) признает действия (бездействие) и решения неправомерными и определяет меры, которые должны быть приняты с целью устранения допущенных нарушений.

95. Если в результате рассмотрения жалобы доводы заявителя признаны обоснованными, к должностным лицам применяются меры дисциплинарной ответственности, предусмотренные Федеральным законом от 27 июля 2004 г. N 79-ФЗ "О государственной гражданской службе Российской Федерации" <1>, о чем сообщается заявителю.

<1> Собрание законодательства Российской Федерации, 2004, N 31, ст. 3215; 2006, N 6, ст. 636; 2007, N 10, ст. 1151; N 16, ст. 1828; N 49, ст. 6070; 2008, N 13, ст. 1186; N 30, ст. 3616; N 52, ст. 6235; 2009, N 29, ст. 3597, 3624; N 48, ст. 5719; N 51, ст. 6150, 6159; 2010, N 5, ст. 459; N 7, ст. 704; N 49, ст. 6413; N 51, ст. 6810; 2011, N 1, ст. 31; N 27, ст. 3866; N 29, ст. 4295; N 48, ст. 6730; N 50, ст. 7337; 2012, N 53, ст. 7620, 7652; 2013, N 14, ст. 1665; N 19, ст. 2326, 2329; N 23, ст. 2874; N 27, ст. 3441, 3462, 3477; N 43, ст. 5454; N 48, ст. 6165; N 49, ст. 6351; N 52, ст. 6961; 2014, N 14, ст. 1545; N 49, ст. 6905; N 52, ст. 7542; 2015, N 1, ст. 62, 63, N 14, ст. 2008; N 24, ст. 3374.

96. По итогам рассмотрения жалобы заявителю в письменной форме и по желанию заявителя в электронной форме направляется мотивированный ответ, содержащий результаты рассмотрения жалобы, в том числе с указанием мер дисциплинарного воздействия, принятых в отношении должностных лиц, допустивших нарушения Административного регламента (в случае, если они были приняты).

97. Заинтересованные лица вправе обжаловать действия (бездействие) и решения, осуществляемые (принимаемые) должностными лицами Росздравнадзора (территориального органа) в ходе исполнения государственной функции, в судебном порядке в соответствии с подведомственностью дел, установленном процессуальным законодательством Российской Федерации.

Приложение N 1
к Административному регламенту
Федеральной службы по надзору
в сфере здравоохранения по исполнению
государственной функции
по осуществлению лицензионного
контроля медицинской деятельности
(за исключением указанной деятельности,
осуществляемой медицинскими
организациями и другими организациями,
входящими в частную систему
здравоохранения, на территории
инновационного центра "Сколково"),
утвержденному приказом Министерства
здравоохранения Российской Федерации
от 17 июля 2015 г. N 454н

СВЕДЕНИЯ О ТЕРРИТОРИАЛЬНЫХ ОРГАНАХ ФЕДЕРАЛЬНОЙ СЛУЖБЫ ПО НАДЗОРУ В СФЕРЕ ЗДРАВООХРАНЕНИЯ

1) территориальный орган Росздравнадзора по Алтайскому краю: тел. 8-3852-22-65-48, адрес: 656011, Алтайский край, г. Барнаул, пр-т Ленина, д. 145, E-mail: tva@reg22.roszdravnadzor.ru;

2) территориальный орган Росздравнадзора по Амурской области: тел. 8-4162-53-21-01, адрес: 675000, Амурская область, г. Благовещенск, ул. Мухина, д. 31, E-mail: info@reg28.roszdravnadzor.ru;

3) территориальный орган Росздравнадзора по Астраханской области: тел. 8-8512-61-29-61, адрес: 414040, Астраханская область, г. Астрахань, ул. Коммунистическая, д. 27, E-mail: roszdrav_n@astranet.ru;

4) территориальный орган Росздравнадзора по Архангельской области и Ненецкому автономному округу: тел. 8-8182-46-22-27, адрес: 163002, г. Архангельск, пр. Новгородский, д. 32, офис 17, E-mail: Varlamovaei@reg39.roszdravnadzor.ru;

5) территориальный орган Росздравнадзора по Белгородской области: тел. 8-4722-32-82-54, адрес: 308002, Белгородская область, г. Белгород, пр-т Богдана Хмельницкого, д. 62, E-mail: roszdravnadzor31@belnet.ru;

6) территориальный орган Росздравнадзора по Брянской области: тел: 8-4832-64-66-95, адрес: 241050, г. Брянск, ул. Трудовая, д. 1, E-mail: rmv@reg32.roszdravnadzor.ru;

7) территориальный орган Росздравнадзора по Владимирской области: тел, 8-4922-53-73-67, адрес: 600005, г. Владимир, ул. Горького, д. 58а, E-mail: 33@vladimirroszdravnadzor.ru;

8) территориальный орган Росздравнадзора по Волгоградской области: тел. 8-8442-33-09-45, адрес: 400131, г. Волгоград, ул. Краснознаменская, д. 12, E-mail: info@reg34.roszdravnadzor.ru;

9) территориальный орган Росздравнадзора по Вологодской области: тел. 8-8172-76-25-99, адрес: 160001, г. Вологда, пр-т Победы, д. 33, офис 421, E-mail: roszdrav35@vologda.ru;

10) территориальный орган Росздравнадзора по Воронежской области: тел. 8-4732-76-53-99, адрес: 394018, Воронежская область, г. Воронеж, ул. 9-ого января, д. 36, E-mail: info@reg36.roszdravnadzor.ru;

11) территориальный орган Росздравнадзора по г. Москве и Московской области: тел. 8-495-611-47-74, адрес: 127006, г. Москва, ул. Вучетича, д. 12а, E-mail: anisimovMV@reg50.roszdravnadzor.ru;

12) территориальный орган Росздравнадзора по г. Санкт-Петербургу и Ленинградской области: тел. 8-812-314-67-89, адрес: 190068, г. Санкт-Петербург, наб. кан. Грибоедова, д. 88-90, E-mail: info@roszdravnadzor.spb.ru;

13) территориальный орган Росздравнадзора по Еврейской автономной области: тел. 8-42622-35-6-76, адрес: 679017, Еврейская автономная область, г. Биробиджан, ул. Парковая, д. 4, E-mail: rznadzor_eao@mail.ru;

14) территориальный орган Росздравнадзора по Ивановской области: тел. 8-4932-41-36-50, адрес: 153012, г. Иваново, ул. Советская, д. 49, E-mail: info@reg37.roszdravnadzor.ru;

15) территориальный орган Росздравнадзора по Иркутской области: тел. 8-3952-24-14-40, адрес: 664011, г. Иркутск, ул. Горького, д. 36, E-mail: npl@reg38.roszdravnadzor.ru;

16) территориальный орган Росздравнадзора по Кабардино-Балкарской Республике: тел. 8-8662-44-12-75, адрес: 360006, Кабардино-Балкарская Республика, г. Нальчик, ул. Суворова, д. 127, E-mail: makhova.mad@yandex.ru;

17) территориальный орган Росздравнадзора по Калининградской области: тел. 8-4012-53-52-02, адрес: 236006, г. Калининград, ул. Кирпичная, д. 7-9, E-mail: eskim@reg39.roszdravnadzor.ru;

18) территориальный орган Росздравнадзора по Калужской области: тел. 8-4842-56-67-00, адрес: 248600, г. Калуга, ул. Вилонова, д. 46, E-mail: rzd@kaluga.net;

19) территориальный орган Росздравнадзора по Камчатскому краю: тел. 8-4152-49-01-10, адрес: 683023, Камчатский край, г. Петропавловск-Камчатский, пр-т Победы, д. 63, E-mail: roszdrav@mail.kamchatka.ru;

20) территориальный орган Росздравнадзора по Карачаево-Черкесской Республике: тел. 8-8782-226-16-06, адрес: 369000, Карачаево-Черкесская Республика, г. Черкесск, ул. Комсомольская, д. 31, E-mail: Albina@reg9.roszdravnadzor.ru;

21) территориальный орган Росздравнадзора по Кемеровской области: тел. 8-3842-44-10-91, адрес: 650060, г. Кемерово, ул. Сарыгина, д. 29; офис 305, E-mail: rzn42@reg42.roszdravnadzor.ru;

22) территориальный орган Росздравнадзора по Кировской области: тел. 8-8332-64-63-71, адрес: 610027, г. Киров, ул. Карла Маркса, д. 99, E-mail: pvg@reg43.roszdravnadzor.ru;

23) территориальный орган Росздравнадзора по Костромской области: тел. 8-4942-42-15-00, адрес: 156005, г. Кострома, ул. Советская, д. 107а, E-mail: info@reg44.roszdravnadzor.ru;

24) территориальный орган Росздравнадзора по Краснодарскому краю: тел. 8-8612-75-39-00, адрес: 350059, г. Краснодар, ул. Васнецова, д. 39, E-mail: director@rznkk.org;

25) территориальный орган Росздравнадзора по Красноярскому краю: тел. 8-3912-21-11-41, адрес: 660021, Красноярский край, г. Красноярск, пр-т Мира, д. 132, E-mail: melehov@reg24.roszdravnadzor.ru;

26) территориальный орган Росздравнадзора по Курганской области: тел. 8-3522-65-00-67, адрес: 640020, Курганская область, г. Курган, ул. Максима Горького, д. 40, E-mail: agaevnn@mail.ru;

27) территориальный орган Росздравнадзора по Курской области: тел. 8-4712-58-12-52, адрес: 305029, г. Курск, ул. Карла Маркса, д. 66б, E-mail: info@reg46.roszdravnadzor.ru;

28) территориальный орган Росздравнадзора по Липецкой области: тел. 8-4742-23-07-35, адрес: 398001, г. Липецк, ул. Ворошилова, д. 1, E-mail: roszdrav_tva@lipetsk.ru;

29) территориальный орган Росздравнадзора по Магаданской области: тел. 8-4132-63-98-93, адрес: 685000, г. Магадан, ул. Набережная реки Магаданки, д. 7, E-mail: sbb@reg49.roszdravnadzor.ru;

30) территориальный орган Росздравнадзора по Мурманской области: тел. 8-8152-24-44-55, адрес: 183008, г. Мурманск, ул. Зои Космодемьянской, д. 33, E-mail: FatkyllinaOV@bk.ru;

31) территориальный орган Росздравнадзора по Нижегородской области: тел. 8-831-419-92-04, адрес: 603006, г. Нижний Новгород, ул. Варварская, д. 32, E-mail: zdravnadzornnov@yandex.ru;

32) территориальный орган Росздравнадзора по Новгородской области: тел. 8-8162-77-21-73, адрес: 173001, Новгородская обл., г. Великий Новгород, ул. Яковлева, д. 13, офис 50, E-mail: roszdravnadzor.@novgorod.net;

33) территориальный орган Росздравнадзора по Новосибирской области: тел. 8-3832-10-01-02, адрес: 630007, г. Новосибирск, ул. Красный проспект, д. 11, E-mail: galagush@reg54.roszdravnadzor.ru;

34) территориальный орган Росздравнадзора по Омской области: тел. 8-3812-21-31-05, адрес: 644033, г. Омск, ул. Красный путь, д. 127, E-mail: priemnaya@reg55.roszdravnadzor.ru;

35) территориальный орган Росздравнадзора по Оренбургской области: тел. 8-3532-77-57-88, адрес: 460000, г. Оренбург, ул. Гая, д. 14, E-mail: rzn56r@bk.ru;

36) территориальный орган Росздравнадзора по Орловской области: тел. 8-4862-42-65-55, адрес: 302001, г. Орел, ул. Комсомольская, д. 33, E-mail: orel@reg57.roszdravnadzor.ru;

37) территориальный орган Росздравнадзора по Пензенской области: тел. 8-8412-44-74-93, адрес: 440047, г. Пенза, ул. Ульяновская, д. 1, E-mail: olga@reg58.roszdravnadzor.ru;

38) территориальный орган Росздравнадзора по Пермскому краю: тел. 8-3422-37-01-57, адрес: 614068, г. Пермь, ул. Петропавловская, д. 111, E-mail: roszdravnadzor_nus@perm.ru;

39) территориальный орган Росздравнадзора по Приморскому краю: тел. 8-4232-22-42-46, адрес: 690091, г. Владивосток, ул. Мордовцева, д. 3, E-mail: 406719@mail.ru;

40) территориальный орган Росздравнадзора по Псковской области: тел. 8-8112-56-60-60, адрес: 180007, г. Псков, ул. Розы Люксембург, д. 12, E-mail: info@reg60.roszdravnadzor.ru;

41) территориальный орган Росздравнадзора по Республике Адыгея: тел. 8-8772-57-17-52, адрес: 385000, Республика Адыгея, г. Майкоп, ул. Советская, д. 166, E-mail: rzn.01@yandex.ru;

42) территориальный орган Росздравнадзора по Республике Алтай: тел. 8-38822-2-72-60, адрес: 649000, Республика Алтай, г. Горно-Алтайск, ул. Улагашева, д. 13, E-mail: info@reg2.roszdravnadzor.ru;

43) территориальный орган Росздравнадзора по Республике Башкортостан: тел. 8-347-251-15-27, адрес: 450076, г. Уфа, ул. Аксакова, д. 62, E-mail: info@reg3.roszdravnadzor.ru;

44) территориальный орган Росздравнадзора по Республике Бурятия: тел. 8-3012-22-10-45, адрес: 670000, Республика Бурятия, г. Улан-Удэ, ул. Некрасова, д. 20, E-mail: khandashapovanv@reg4.roszdravnadzor.ru;

45) территориальный орган Росздравнадзора по Республике Дагестан: тел. 8-8722-56-11-18, адрес: 367027, Республика Дагестан, г. Махачкала, ул. Буганова, д. 176, E-mail: info@reg5.roszdravnadzor.ru;

46) территориальный орган Росздравнадзора по Республике Ингушетия: тел. 8-8732-22-16-04, адрес: 386101, Республика Ингушетия, г. Назрань, ул. Чеченская, д. 14, E-mail: rznri@mail.ru;

47) территориальный орган Росздравнадзора по Республике Калмыкия: тел. 8-84722-40-972, адрес: 358000, Республика Калмыкия, г. Элиста, ул. Ленина, д. 255, E-mail: roszdravnadzor@elista.ru;

48) территориальный орган Росздравнадзора по Республике Карелия: тел. 8-8142-78-54-02, адрес: 185035, Республика Карелия, г. Петрозаводск, ул. Анохина, д. 29а, E-mail: rznkarel@onego.ru;

49) территориальный орган Росздравнадзора по Республике Коми: тел. 8-8212-24-08-96, адрес: 167000, Республика Коми, г. Сыктывкар, ул. Куратова, д. 18, E-mail: roszn-komi@mail.ru;

50) территориальный орган Росздравнадзора по Республике Крым и городу федерального значения Севастополю: тел. 8-380652-540-460, адрес: 295024, Республика Крым, г. Симферополь, ул. 60 лет Октября, д. 30, roszdravkrimsev@yandex.ru;

51) территориальный орган Росздравнадзора по Республике Марий Эл: тел. 8-8362-42-67-04, адрес: 424000, Республика Марий Эл, г. Йошкар-Ола, Ленинский проспект, д. 24а, E-mail: rznrme@mail.ru;

52) территориальный орган Росздравнадзора по Республике Мордовия: тел. 8-8342-23-28-06, адрес: 430030, Республика Мордовия, г. Саранск, ул. Васенко, д. 13, E-mail: urpopm@mail.ru;

53) территориальный орган Росздравнадзора по Республике Саха (Якутия): тел. 8-4112-42-50-41, адрес: 677980, Республика Саха (Якутия), г. Якутск, ул. Короленко, д. 2, E-mail: reg14rzn.sakha@mail.ru;

54) территориальный орган Росздравнадзора по Республике Северная Осетия - Алания: тел. 8-8672-54-39-79, адрес: 362040, Республика Северная Осетия - Алания, г. Владикавказ, ул. Джанаева, д. 22, E-mail: roszdranadzor15@mail.ru;

55) территориальный орган Росздравнадзора по Республике Татарстан: тел. 8-843-292-54-37, адрес: 420021, Республика Татарстан, г. Казань, ул. Нариманова, д. 63, E-mail: info@reg16.roszdravnadzor.ru;

56) территориальный орган Росздравнадзора по Республике Тыва: тел. 8-39422-5-03-34, адрес: 667010, Республика Тыва, г. Кызыл, ул. Московская, д. 107, E-mail: tuva@reg17.roszdravnadzor.ru;

57) территориальный орган Росздравнадзора по Республике Хакасия: тел. 8-3902-34-77-45, адрес: 655017, Республика Хакасия, г. Абакан, ул. Крылова, д. 47а, E-mail: zdravkhak@mail.ru;

58) территориальный орган Росздравнадзора по Ростовской области: тел. 8-863-286-98-16, адрес: 344010, г. Ростов-на-Дону, ул. Соколова, д. 81, E-mail: rzn_ro@mail.ru;

59) территориальный орган Росздравнадзора по Рязанской области: тел. 8-4912-25-96-66, адрес: 390000, г. Рязань, Соборная пл., д. 13, E-mail: roszdrav@mail.ryazan.ru;

60) территориальный орган Росздравнадзора по Самарской области: тел. 8-8463-40-60-61, адрес: 443041, г. Самара, ул. Арцыбушевская, д. 13, E-mail: samra_zdravnadz@mail.ru;

61) территориальный орган Росздравнадзора по Саратовской области: тел. 8-8452-50-93-94, адрес: 410012, г. Саратов, ул. Рабочая, д. 145/155, E-mail: sarzdravn@renet.ru;

62) территориальный орган Росздравнадзора по Сахалинской области: тел. 8-4242-42-41-51, адрес: 693000, Сахалинская область, г. Южно-Сахалинск, ул. Дзержинского, д. 36, офис 303, E-mail: roszdravnadzor@sakhalin.ru;

63) территориальный орган Росздравнадзора по Свердловской области: тел. 8-3433-71-06-88, адрес: 620014, Свердловская область, г. Екатеринбург, ул. Попова, д. 30, E-mail: zdravnadzor@ru66.ru;

64) территориальный орган Росздравнадзора по Смоленской области: тел. 8-4812-27-91-19, адрес: 214012, г. Смоленск, ул. Кашена, д. 1, E-mail: nazarova@reg67.roszdravnadzor.ru;

65) территориальный орган Росздравнадзора по Ставропольскому краю: тел. 8-8652-29-60-27, адрес: 355012, г. Ставрополь, ул. Голенева, д. 67б, E-mail: roszdravnadzor26@mail.ru;

66) территориальный орган Росздравнадзора по Тамбовской области: тел. 8-4752-63-32-14, адрес: 392030, г. Тамбов, ул. Урожайная, д. 2ж, E-mail: tmb.zdravnadzor@mail.ru;

67) территориальный орган Росздравнадзора по Тверской области: тел. 8-4822-35-85-88, адрес: 170100, г. Тверь, Свободный переулок, д. 5, E-mail: rzn-tver@roszdravnadzor.ru;

68) территориальный орган Росздравнадзора по Томской области: тел. 8-3822-53-46-25, адрес: 634029, г. Томск, ул. Белинского, д. 19, E-mail: cmf@reg70.roszdravnadzor.ru;

69) территориальный орган Росздравнадзора по Тульской области: тел. 8-4872-25-15-37, адрес: 300028, г. Тула, ул. 9 Мая, д. 1, E-mail: rzn-tula@mail.ru;

70) территориальный орган Росздравнадзора по Тюменской области: тел. 8-3452-20-23-51, адрес: 625023, г. Тюмень, ул. Энергетиков, д. 26, E-mail: rzn_tmn@mail.ru;

71) территориальный орган Росздравнадзора по Ульяновской области: тел. 8-8422-27-89-55, адрес: 432063, г. Ульяновск, ул. Красноармейская, д. 38, E-mail: ulrzn73@yandex.ru;

72) территориальный орган Росздравнадзора по Удмуртской Республике: тел. 8-3412-40-27-47, адрес: 426039, Удмуртская Республика, г. Ижевск, ул. Дзержинского, д. 3, E-mail: info@reg18.roszdravnadzor.ru;

73) территориальный орган Росздравнадзора по Хабаровскому краю: тел. 8-4212-75-22-30, адрес: 680000, г. Хабаровск, ул. Петра Комарова, д. 6, E-mail: zam@reg27.roszdravnadzor.ru;

74) территориальный орган Росздравнадзора по Ханты-Мансийскому автономному округу и Ямало-Ненецкому автономному округу: тел. 8-34673-56-573, адрес: 628011, г. Ханты-Мансийск, ул. Карла Маркса, д. 18, E-mail: urznhm@r86.ru;

75) территориальный орган Росздравнадзора по Чеченской Республике: тел. 8-8712-22-61-65, адрес: 364024, Чеченская Республика, г. Грозный, пр. Исаева, д. 36, E-mail: chechzdravnadzor@mail.ru;

76) территориальный орган Росздравнадзора по Челябинской области: тел. 8-3512-63-21-22, адрес: 454091, Челябинская область, г. Челябинск, ул. площадь МОПРа, д. 8а, E-mail: info@reg74.roszdravnadzor.ru;

77) территориальный орган Росздравнадзора по Забайкальскому краю: тел. 8-3022-35-31-24, адрес: 672000, Забакальский край, г. Чита, ул. Костюшко-Григоровича, д. 4, E-mail: Vanchikovaag@reg75.roszdravnadzor.ru;

78) территориальный орган Росздравнадзора по Чувашской Республике: тел. 8-8352-58-21-10, адрес: 428018, Чувашская Республика, г. Чебоксары, Московский пр-т, д. 36, E-mail: terorgan21@cbx.ru;

79) территориальный орган Росздравнадзора по Чукотскому автономному округу: тел.: 8-4272-26-88-80, адрес: 689000, Чукотский автономный округ, г. Анадырь, ул. Отке, д. 11, E-mail: markivbil@yandex.ru;

80) территориальный орган Росздравнадзора по Ярославской области: тел. 8-4852-31-48-07, адрес: 150002, г. Ярославль, ул. Калмыковых, д. 20, E-mail: info@reg76.rqszdxavnadzor.ru.

Приложение N 2
к Административному регламенту
Федеральной службы по надзору
в сфере здравоохранения по исполнению
государственной функции
по осуществлению лицензионного
контроля медицинской деятельности
(за исключением указанной деятельности,
осуществляемой медицинскими
организациями и другими организациями,
входящими в частную систему
здравоохранения, на территории
инновационного центра "Сколково"),
утвержденному приказом Министерства
здравоохранения Российской Федерации
от 17 июля 2015 г. N 454н

БЛОК-СХЕМА ИСПОЛНЕНИЯ ГОСУДАРСТВЕННОЙ ФУНКЦИИ ПО ОСУЩЕСТВЛЕНИЮ ЛИЦЕНЗИОННОГО КОНТРОЛЯ МЕДИЦИНСКОЙ ДЕЯТЕЛЬНОСТИ (ЗА ИСКЛЮЧЕНИЕМ УКАЗАННОЙ ДЕЯТЕЛЬНОСТИ, ОСУЩЕСТВЛЯЕМОЙ МЕДИЦИНСКИМИ ОРГАНИЗАЦИЯМИ И ДРУГИМИ ОРГАНИЗАЦИЯМИ, ВХОДЯЩИМИ В ЧАСТНУЮ СИСТЕМУ ЗДРАВООХРАНЕНИЯ, НА ТЕРРИТОРИИ ИННОВАЦИОННОГО ЦЕНТРА "СКОЛКОВО")

Приложение N 3
к Административному регламенту
Федеральной службы по надзору
в сфере здравоохранения по исполнению
государственной функции
по осуществлению лицензионного
контроля медицинской деятельности
(за исключением указанной деятельности,
осуществляемой медицинскими
организациями и другими организациями,
входящими в частную систему
здравоохранения, на территории
инновационного центра "Сколково"),
утвержденному приказом Министерства
здравоохранения Российской Федерации
от 17 июля 2015 г. N 454н

Бланк Федеральной службы по надзору в сфере здравоохранения      
 
                                          Наименование лицензиата,
                                                  его адрес
 
                           ПРЕДПИСАНИЕ
        об устранении выявленных нарушений лицензионных
     требований при осуществлении медицинской деятельности
    (за исключением указанной деятельности, осуществляемой
      медицинскими организациями и другими организациями,
          входящими в частную систему здравоохранения,
         на территории инновационного центра "Сколково")
 
По  результатам  проверки  соблюдения  лицензионных требований при
осуществлении медицинской деятельности, проведенной в период с ___
по  ___ на основании приказа Федеральной службы по надзору в сфере
здравоохранения от "__" ________ 20__ г. N ___, выявлены следующие
нарушения лицензионных требований:
__________________________________________________________________
                 (указываются конкретные нарушения)
__________________________________________________________________
грубые нарушения: ________________________________________________
                          (указываются конкретные нарушения)
__________________________________________________________________
 
С целью устранения выявленных нарушений предписываю:
__________________________________________________________________
   (полное и (в случае, если имеется) сокращенное, в том числе
__________________________________________________________________
    фирменное, наименование лицензиата для юридического лица,
                      адрес местонахождения)
__________________________________________________________________
 
ОГРН ____________________________________
ИНН _____________________________________
выполнить следующие мероприятия:
__________________________________________________________________
      (указываются обязательные для исполнения мероприятия)
в срок не позднее __ дней с даты получения настоящего предписания.
 
_____________________________ ___________ ________________________
(наименование должности лица,  (подпись)   (расшифровка подписи)
проводившего проверку)