Постановление Правительства РФ от 30.12.2016 N 1556

"О предоставлении и распределении субсидий из федерального бюджета бюджетам субъектов Российской Федерации на содействие достижению целевых показателей региональных программ развития агропромышленного комплекса"
Редакция от 30.12.2016 — Документ не действует

ПРАВИТЕЛЬСТВО РОССИЙСКОЙ ФЕДЕРАЦИИ

ПОСТАНОВЛЕНИЕ
от 30 декабря 2016 г. N 1556

О ПРЕДОСТАВЛЕНИИ И РАСПРЕДЕЛЕНИИ СУБСИДИЙ ИЗ ФЕДЕРАЛЬНОГО БЮДЖЕТА БЮДЖЕТАМ СУБЪЕКТОВ РОССИЙСКОЙ ФЕДЕРАЦИИ НА СОДЕЙСТВИЕ ДОСТИЖЕНИЮ ЦЕЛЕВЫХ ПОКАЗАТЕЛЕЙ РЕГИОНАЛЬНЫХ ПРОГРАММ РАЗВИТИЯ АГРОПРОМЫШЛЕННОГО КОМПЛЕКСА

Правительство Российской Федерации постановляет:

1. Утвердить прилагаемые Правила предоставления и распределения субсидий из федерального бюджета бюджетам субъектов Российской Федерации на содействие достижению целевых показателей региональных программ развития агропромышленного комплекса.

2. В абзаце втором пункта 23 Правил предоставления и распределения субсидий из федерального бюджета бюджетам субъектов Российской Федерации на возмещение части затрат на уплату процентов по кредитам, полученным в российских кредитных организациях, и займам, полученным в сельскохозяйственных кредитных потребительских кооперативах, утвержденных постановлением Правительства Российской Федерации от 28 декабря 2012 г. N 1460 "Об утверждении Правил предоставления и распределения субсидий из федерального бюджета бюджетам субъектов Российской Федерации на возмещение части затрат на уплату процентов по кредитам, полученным в российских кредитных организациях, и займам, полученным в сельскохозяйственных кредитных потребительских кооперативах" (Собрание законодательства Российской Федерации, 2013, N 1, ст. 56; 2015, N 5, ст. 833), слова "Министерством сельского хозяйства Российской Федерации" исключить.

3. Признать утратившими силу решения Правительства Российской Федерации по перечню согласно приложению.

4. Настоящее постановление вступает в силу с 1 января 2017 г.

Председатель Правительства
Российской Федерации
Д. МЕДВЕДЕВ

УТВЕРЖДЕНЫ
постановлением Правительства
Российской Федерации
от 30 декабря 2016 г. N 1556

ПРАВИЛА ПРЕДОСТАВЛЕНИЯ И РАСПРЕДЕЛЕНИЯ СУБСИДИЙ ИЗ ФЕДЕРАЛЬНОГО БЮДЖЕТА БЮДЖЕТАМ СУБЪЕКТОВ РОССИЙСКОЙ ФЕДЕРАЦИИ НА СОДЕЙСТВИЕ ДОСТИЖЕНИЮ ЦЕЛЕВЫХ ПОКАЗАТЕЛЕЙ РЕГИОНАЛЬНЫХ ПРОГРАММ РАЗВИТИЯ АГРОПРОМЫШЛЕННОГО КОМПЛЕКСА

1. Настоящие Правила устанавливают условия, цели и порядок предоставления и распределения субсидий из федерального бюджета бюджетам субъектов Российской Федерации на содействие достижению целевых показателей региональных программ развития агропромышленного комплекса (далее соответственно - целевые показатели региональных программ, субсидии).

Цели и задачи региональных программ должны обеспечивать достижение показателей (индикаторов) Государственной программы развития сельского хозяйства и регулирования рынков сельскохозяйственной продукции, сырья и продовольствия на 2013 - 2020 годы, утвержденной постановлением Правительства Российской Федерации от 14 июля 2012 г. N 717 "О Государственной программе развития сельского хозяйства и регулирования рынков сельскохозяйственной продукции, сырья и продовольствия на 2013 - 2020 годы".

2. Используемые в настоящих Правилах понятия означают следующее:

"малые формы хозяйствования" - крестьянские (фермерские) хозяйства, включая индивидуальных предпринимателей, сельскохозяйственные потребительские кооперативы и личные подсобные хозяйства;

"начинающий фермер" - гражданин Российской Федерации, являющийся главой крестьянского (фермерского) хозяйства, зарегистрированного на сельской территории субъекта Российской Федерации, продолжительность деятельности которого не превышает 24 месяцев со дня его регистрации;

"развитие материально-технической базы" - мероприятия, направленные на внедрение новых технологий и создание высокопроизводительных рабочих мест, строительство, реконструкцию, модернизацию или приобретение материально-технической базы сельскохозяйственных потребительских кооперативов, в том числе:

на строительство, реконструкцию или модернизацию производственных объектов по заготовке, хранению, подработке, переработке, сортировке, убою, первичной переработке, охлаждению молока, мяса сельскохозяйственных животных, птицы, рыбы и объектов аквакультуры, картофеля, грибов, овощей, плодов и ягод, в том числе дикорастущих, и подготовке к реализации сельскохозяйственной продукции и продуктов ее переработки;

на приобретение и монтаж оборудования и техники для производственных объектов, предназначенных для заготовки, хранения, подработки, переработки, сортировки, убоя, первичной переработки охлаждения молока, мяса сельскохозяйственных животных, птицы, рыбы и объектов аквакультуры, картофеля, грибов, овощей, плодов и ягод, в том числе дикорастущих, подготовки к реализации, погрузки, разгрузки сельскохозяйственной продукции и продуктов ее переработки, оснащения лабораторий производственного контроля качества и безопасности выпускаемой (производимой и перерабатываемой) продукции и проведения государственной ветеринарно-санитарной экспертизы (приобретение оборудования для лабораторного анализа качества сельскохозяйственной продукции). Перечень указанных оборудования и техники утверждается Министерством сельского хозяйства Российской Федерации;

на приобретение специализированного транспорта, фургонов, прицепов, полуприцепов, вагонов, контейнеров для транспортировки, обеспечения сохранности при перевозке и реализации сельскохозяйственной продукции и продуктов ее переработки. Перечень указанной техники утверждается Министерством сельского хозяйства Российской Федерации;

на уплату части взносов (не более 8 процентов общей стоимости предметов лизинга) по договорам лизинга оборудования и технических средств для хранения, подработки, переработки, сортировки, убоя, первичной переработки сельскохозяйственных животных, рыбы и аквакультуры, охлаждения молока, мяса, птицы, картофеля, грибов, овощей, плодов и ягод, в том числе дикорастущих, подготовки к реализации, погрузки, разгрузки и транспортировки сельскохозяйственной продукции и продуктов ее переработки;

"районы Крайнего Севера и приравненные к ним местности" - районы Крайнего Севера и приравненные к ним местности, утвержденные постановлением Совета Министров СССР от 3 января 1983 г. N 12 "О внесении изменений и дополнений в Перечень районов Крайнего Севера и местностей, приравненных к районам Крайнего Севера, утвержденный постановлением Совета Министров СССР от 10 ноября 1967 г. N 1029";

"региональная программа" - утвержденная субъектом Российской Федерации в установленном порядке государственная программа развития агропромышленного комплекса субъекта Российской Федерации и (или) муниципальная программа развития агропромышленного комплекса;

"семейная животноводческая ферма" - крестьянское (фермерское) хозяйство, зарегистрированное на сельской территории субъекта Российской Федерации, основанное на личном участии главы и членов хозяйства, состоящих в родстве (не менее 2-х, включая главу), и совместно осуществляющих деятельность по разведению и содержанию сельскохозяйственных животных и птицы, продолжительность деятельности которого превышает 24 месяца с даты регистрации;

"сельскохозяйственный потребительский кооператив" - сельскохозяйственный потребительский перерабатывающий и (или) сельскохозяйственный сбытовой кооператив, действующий не менее 12 месяцев с даты регистрации, осуществляющий деятельность по заготовке, хранению, подработке, переработке, сортировке, убою, первичной переработке, охлаждению молока, мяса сельскохозяйственных животных, птицы, рыбы и объектов аквакультуры, картофеля, грибов, овощей, плодов и ягод, в том числе дикорастущих, подготовке к реализации сельскохозяйственной продукции и продуктов ее переработки, объединяющий не менее 10 сельскохозяйственных товаропроизводителей на правах членов кооперативов (кроме ассоциированного членства), при этом не менее 70 процентов выручки сельскохозяйственного потребительского кооператива должно формироваться за счет осуществления перерабатывающей и (или) сбытовой деятельности, или потребительские общества, если 70 процентов их выручки формируется за счет осуществления видов деятельности, аналогичных таким видам деятельности сельскохозяйственных потребительских кооперативов, как заготовка, хранение, переработка и сбыт сельскохозяйственной продукции.

3. Субсидии предоставляются в целях софинансирования исполнения расходных обязательств субъектов Российской Федерации, связанных с реализацией региональных программ, в форме предоставления средств из бюджетов субъектов Российской Федерации (местных бюджетов) сельскохозяйственным товаропроизводителям, организациям и индивидуальным предпринимателям, осуществляющим первичную и (или) последующую (промышленную) переработку сельскохозяйственной продукции, и сельскохозяйственным потребительским кооперативам.

4. Средства из бюджетов субъектов Российской Федерации (местных бюджетов), источником финансового обеспечения которых являются субсидии, предоставляются по ставкам, определяемым органом, уполномоченным высшим исполнительным органом государственной власти субъекта Российской Федерации (далее - уполномоченный орган):

а) сельскохозяйственным товаропроизводителям, за исключением граждан, ведущих личное подсобное хозяйство:

по ставке на 1 голову сельскохозяйственного животного, за исключением племенных животных;

по ставке на 1 гектар площади под сельскохозяйственной культурой;

по ставке на единицу объема реализованной продукции растениеводства и (или) животноводства собственного производства;

в размере, рассчитанном в соответствии с подпунктами "а" и "б" пункта 6 Правил предоставления и распределения субсидий из федерального бюджета бюджетам субъектов Российской Федерации на возмещение части затрат на уплату процентов по кредитам, полученным в российских кредитных организациях, и займам, полученным в сельскохозяйственных кредитных потребительских кооперативах, утвержденных постановлением Правительства Российской Федерации от 28 декабря 2012 г. N 1460 "Об утверждении Правил предоставления и распределения субсидий из федерального бюджета бюджетам субъектов Российской Федерации на возмещение части затрат на уплату процентов по кредитам, полученным в российских кредитных организациях, и займам, полученным в сельскохозяйственных кредитных потребительских кооперативах" (далее - Правила предоставления и распределения субсидий на возмещение части затрат на уплату процентов по кредитам и займам), на уплату процентов по краткосрочным кредитам (займам), полученным до 31 декабря 2016 г., на цели развития подотраслей растениеводства, животноводства и молочного скотоводства в соответствии с перечнем, утверждаемым Министерством сельского хозяйства Российской Федерации;

в размере, рассчитанном в соответствии с пунктом 3 статьи 3 Федерального закона "О государственной поддержке в сфере сельскохозяйственного страхования и о внесении изменений в Федеральный закон "О развитии сельского хозяйства", на возмещение части затрат сельскохозяйственных товаропроизводителей на уплату страховых премий, начисленных по договорам сельскохозяйственного страхования в области растениеводства и (или) животноводства, с учетом установленных планом сельскохозяйственного страхования на соответствующий год ставок для расчета размера субсидии;

б) сельскохозяйственным товаропроизводителям, за исключением граждан, ведущих личное подсобное хозяйство, включенным в перечень сельскохозяйственных организаций и крестьянских фермерских хозяйств для предоставления субсидии из федерального бюджета бюджетам субъектов Российской Федерации на поддержку племенного животноводства, утверждаемый Министерством сельского хозяйства Российской Федерации по представлению высших исполнительных органов государственной власти субъектов Российской Федерации - на племенное маточное поголовье сельскохозяйственных животных по ставке на 1 условную голову, на племенных быков-производителей, оцененных по качеству потомства или находящихся в процессе оценки этого качества, по ставке на 1 голову;

в) организациям и индивидуальным предпринимателям, осуществляющим первичную и (или) последующую (промышленную) переработку сельскохозяйственной продукции в размере, рассчитанном в соответствии с подпунктами "а" и "б" пункта 6 Правил предоставления и распределения субсидий на возмещение части затрат на уплату процентов по кредитам и займам, на уплату процентов по краткосрочным кредитам (займам), полученным до 31 декабря 2016 г., на закупку сельскохозяйственного сырья для первичной и (или) последующей (промышленной) переработки продукции растениеводства, и (или) животноводства, и (или) молочного скотоводства в соответствии с перечнем, утверждаемым Министерством сельского хозяйства Российской Федерации;

г) крестьянским (фермерским) хозяйствам:

на поддержку одного начинающего фермера для разведения крупного рогатого скота мясного или молочного направлений в размере, не превышающем 3 млн. рублей, но не более 90 процентов затрат, для ведения иных видов деятельности - в размере, не превышающем 1,5 млн. рублей, но не более 90 процентов затрат, при этом срок использования средств государственной поддержки начинающим фермером составляет не более 18 месяцев с даты ее получения;

на развитие семейной животноводческой фермы для разведения крупного рогатого скота мясного или молочного направлений в расчете на одно крестьянское (фермерское) хозяйство в размере, не превышающем 30 млн. рублей, но не более 60 процентов затрат, для ведения иных видов деятельности в размере, не превышающем 21,6 млн. рублей, но не более 60 процентов затрат, при этом срок использования средств государственной поддержки семейной животноводческой фермой составляет не более 24 месяцев с даты ее получения. Планируемое таким хозяйством поголовье крупного рогатого скота молочного или мясного направлений не должно превышать 300 голов основного маточного стада, поголовье страусов, коз (овец) - 300 голов;

в размере, рассчитанном в соответствии с подпунктом "е" пункта 6 Правил предоставления и распределения субсидий на возмещение части затрат на уплату процентов по кредитам и займам, на уплату процентов по кредитам (займам), полученным до 31 декабря 2016 г.;

д) сельскохозяйственным потребительским кооперативам:

на развитие материально-технической базы сельскохозяйственного потребительского кооператива в сумме, не превышающей 70 млн. рублей, но не более 60 процентов затрат, при этом срок использования средств государственной поддержки сельскохозяйственным потребительским кооперативом составляет не более 18 месяцев с даты ее получения;

в размере, рассчитанном в соответствии с подпунктом "е" пункта 6 Правил предоставления и распределения субсидий на возмещение части затрат на уплату процентов по кредитам и займам, на уплату процентов по кредитам (займам), полученным до 31 декабря 2016 г.;

е) гражданам, ведущим личное подсобное хозяйство, в размере, рассчитанном в соответствии с подпунктом "е" пункта 6 Правил предоставления и распределения субсидий на возмещение части затрат на уплату процентов по кредитам и займам, на уплату процентов по кредитам (займам), полученным до 31 декабря 2016 г.

5. Условиями предоставления и расходования субсидий являются:

а) наличие региональной программы, предусматривающей перечень мероприятий, направленных на развитие агропромышленного комплекса, целевых индикаторов и показателей результативности использования субсидий, согласованной с Министерством сельского хозяйства Российской Федерации;

б) наличие в бюджете субъекта Российской Федерации (местном бюджете) бюджетных ассигнований на исполнение расходных обязательств субъекта Российской Федерации (муниципальных образований), связанных с предоставлением средств на поддержку сельскохозяйственного производства в рамках региональной программы;

в) возврат субъектом Российской Федерации средств в федеральный бюджет в случае невыполнения показателей результативности использования субсидий в порядке и на условиях, установленных пунктами 16 - 19 Правил формирования, предоставления и распределения субсидий из федерального бюджета бюджетам субъектов Российской Федерации, утвержденных постановлением Правительства Российской Федерации от 30 сентября 2014 г. N 999 "О формировании, предоставлении и распределении субсидий из федерального бюджета бюджетам субъектов Российской Федерации" (далее - Правила формирования, предоставления и распределения субсидий);

г) наличие нормативного правового акта субъекта Российской Федерации, устанавливающего:

порядок и условия предоставления средств из бюджета субъекта Российской Федерации на поддержку сельскохозяйственного производства, источником финансового обеспечения которых является субсидия;

критерии, предъявляемые к получателям средств, размеры ставок, перечень документов, необходимых для получения указанных средств, а также сроки их рассмотрения, не превышающие 15 рабочих дней;

порядок распределения средств между мероприятиями, направленными на развитие агропромышленного комплекса, источником финансового обеспечения которых является субсидия.

6. Для распределения субсидии между бюджетами субъектов Российской Федерации используются следующие показатели:

а) численность условного маточного поголовья племенных животных в субъектах Российской Федерации, имеющих племенные стада сельскохозяйственных животных, зарегистрированных в государственном племенном регистре, принадлежащих сельскохозяйственным товаропроизводителям, являющимся организациями по племенному животноводству;

б) численность маточного поголовья овец и коз в сельскохозяйственных организациях, крестьянских (фермерских) хозяйствах, включая индивидуальных предпринимателей, в субъектах Российской Федерации с численностью поголовья не менее 25 тыс. голов;

в) численность поголовья северных оленей в сельскохозяйственных организациях, крестьянских (фермерских) хозяйствах, включая индивидуальных предпринимателей, на территориях субъектов Российской Федерации, отнесенных к районам Крайнего Севера и приравненным к ним местностям;

г) численность поголовья маралов в сельскохозяйственных организациях, крестьянских (фермерских) хозяйствах, включая индивидуальных предпринимателей, в субъектах Российской Федерации с численностью поголовья не менее 10 тыс. голов;

д) численность поголовья мясных табунных лошадей в сельскохозяйственных организациях, крестьянских (фермерских) хозяйствах, включая индивидуальных предпринимателей, в субъектах Российской Федерации с численностью поголовья не менее 9 тыс. голов;

е) прирост численности товарного поголовья коров специализированных мясных пород в сельскохозяйственных организациях, крестьянских (фермерских) хозяйствах, включая индивидуальных предпринимателей;

ж) размер площадей под сельскохозяйственными культурами, засеваемых семенами в соответствии с перечнем, определяемым Министерством сельского хозяйства Российской Федерации (далее - перечень культур);

з) размер посевных площадей под кормовыми культурами на территории субъекта Российской Федерации, отнесенной к районам Крайнего Севера и приравненным к ним местностям;

и) размер площадей низкопродуктивной пашни (чистых паров), составляющих не менее 11 процентов общей площади пашни на территории субъекта Российской Федерации, отнесенной к районам Крайнего Севера и приравненным к ним местностям;

к) размер площадей многолетних плодовых и ягодных насаждений;

л) размер площадей виноградников и виноградных питомников;

м) количество крестьянских (фермерских) хозяйств и индивидуальных предпринимателей;

н) количество сельскохозяйственных потребительских кооперативов;

о) средняя стоимость валовой продукции растениеводства и животноводства, произведенной индивидуальными предпринимателями и крестьянскими (фермерскими) хозяйствами;

п) остаток ссудной задолженности по кредитам, взятым малыми формами хозяйствования;

р) средняя стоимость валовой продукции растениеводства, животноводства и пищевой продукции;

с) остаток ссудной задолженности по краткосрочным кредитам, полученным до 31 декабря 2016 г.

7. Предоставление субсидий осуществляется на основании соглашения о предоставлении субсидий, заключенного между Министерством сельского хозяйства Российской Федерации и высшим исполнительным органом государственной власти субъекта Российской Федерации (далее - соглашение о предоставлении субсидий), в соответствии с типовой формой, утверждаемой Министерством финансов Российской Федерации в установленном порядке.

Сроки заключения соглашений о предоставлении субсидий устанавливаются в соответствии с пунктом 23 Правил формирования, предоставления и распределения субсидий.

В соглашении о предоставлении субсидий при его заключении определяются приоритетные направления развития сельского хозяйства соответствующего субъекта Российской Федерации в соответствии с методикой, утверждаемой Министерством сельского хозяйства Российской Федерации.

В соглашении о предоставлении субсидий предусматривается наличие обязательств субъекта Российской Федерации по согласованию с Министерством сельского хозяйства Российской Федерации распределения средств субсидии между мероприятиями, направленными на развитие агропромышленного комплекса, источником финансового обеспечения которых является субсидия, а также перераспределения средств субсидии в случае изменения соответствующих значений целевых показателей региональной программы.

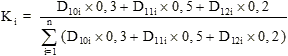
8. Размер субсидии, предоставляемой бюджету i-го субъекта Российской Федерации на содействие достижению целевых показателей региональных программ (), определяется по формуле:

,

где:

W - объем субсидии, предусмотренный в федеральном бюджете на соответствующий финансовый год на поддержку достижения целевых показателей региональных программ;

- доля i-го субъекта Российской Федерации в валовом объеме продукции растениеводства, животноводства и пищевой продукции и остатке ссудной задолженности по краткосрочным кредитам, полученным до 31 декабря 2016 г.;

- доля i-го субъекта Российской Федерации в численности и приросте поголовья сельскохозяйственных животных;

- доля i-го субъекта Российской Федерации в размере площадей под сельскохозяйственными культурами;

- доля i-го субъекта Российской Федерации в количестве крестьянских (фермерских) хозяйств, включая индивидуальных предпринимателей, и сельскохозяйственных потребительских кооперативов, объеме произведенной крестьянскими (фермерскими) хозяйствами и индивидуальными предпринимателями продукции, а также в остатке ссудной задолженности по кредитам, взятым малыми формами хозяйствования;

n - количество субъектов Российской Федерации, отвечающих условиям, указанным в пункте 5 настоящих Правил;

РБОi - уровень расчетной бюджетной обеспеченности i-го субъекта Российской Федерации на текущий финансовый год, рассчитанный в соответствии с методикой распределения дотаций на выравнивание бюджетной обеспеченности субъектов Российской Федерации, утвержденной постановлением Правительства Российской Федерации от 22 ноября 2004 г. N 670 "О распределении дотаций на выравнивание бюджетной обеспеченности субъектов Российской Федерации".

Доля субсидии, предоставляемая бюджету i-го субъекта Российской Федерации на очередной финансовый год, в общем размере субсидии не может отличаться от средней доли субсидии в общем размере субсидии, предоставленной бюджету i-го субъекта Российской Федерации за 3 года, предшествующих году предоставления субсидии, более чем на 15 процентов.

9. Доля i-го субъекта Российской Федерации в валовом объеме продукции растениеводства, животноводства и пищевой продукции и остатке ссудной задолженности по краткосрочным кредитам, полученным до 31 декабря 2016 года (), рассчитывается по формуле:

,

где:

- доля средней стоимости валовой продукции растениеводства, животноводства и пищевой продукции, произведенной в i-ом субъекте Российской Федерации за 3 года, предшествующих текущему финансовому году, в средней стоимости валовой продукции растениеводства, животноводства и пищевой продукции, произведенной в Российской Федерации за 3 года, предшествующих текущему финансовому году;

- доля остатка ссудной задолженности по краткосрочным кредитам, полученным до 31 декабря 2016 г., в i-ом субъекте Российской Федерации в общем объеме остатка ссудной задолженности по краткосрочным кредитам, полученным до 31 декабря 2016 г., в Российской Федерации.

10. Доля средней стоимости валовой продукции растениеводства, животноводства и пищевой продукции, произведенной в i-ом субъекте Российской Федерации за 3 года, предшествующих текущему финансовому году, в средней стоимости валовой продукции растениеводства, животноводства и пищевой продукции, произведенной в Российской Федерации за 3 года, предшествующих текущему финансовому году (), рассчитывается на основании данных Федеральной службы государственной статистики по формуле:

,

где:

- средняя стоимость валовой продукции растениеводства, животноводства и пищевой продукции, произведенной в i-ом субъекте Российской Федерации за 3 года, предшествующих текущему финансовому году;

k - коэффициент увеличения показателя i-го субъекта Российской Федерации. Для Республики Крым, г. Севастополя, субъектов Российской Федерации, входящих в состав Дальневосточного федерального округа, Республики Карелия, Республики Коми, Республики Марий Эл, Республики Мордовия, Удмуртской Республики, Чувашской Республики, Пермского края, Архангельской области, Брянской области, Владимирской области, Вологодской области, Ивановской области, Калининградской области, Калужской области, Кировской области, Костромской области, Ленинградской области, Московской области, Мурманской области, Нижегородской области, Новгородской области, Орловской области, Псковской области, Рязанской области, Свердловской области, Смоленской области, Тверской области, Тульской области, Ярославской области, Ненецкого автономного округа, значение коэффициента равно 1,2, для других субъектов Российской Федерации - 1.

11. Доля остатка ссудной задолженности по краткосрочным кредитам, полученным до 31 декабря 2016 г., в i-ом субъекте Российской Федерации в общем объеме остатка ссудной задолженности по краткосрочным кредитам, полученным до 31 декабря 2016 г., в Российской Федерации () рассчитывается на основании данных, представленных уполномоченным органом по состоянию на 1 июля текущего финансового года по форме, утвержденной Министерством сельского хозяйства Российской Федерации, по формуле:

,

где - остаток ссудной задолженности по краткосрочным кредитам, полученным до 31 декабря 2016 г., в i-ом субъекте Российской Федерации.

12. Доля i-го субъекта Российской Федерации в численности поголовья сельскохозяйственных животных (), рассчитывается по формуле:

,

где:

- доля численности условного маточного племенного поголовья сельскохозяйственных животных в i-ом субъекте Российской Федерации в общей численности условного маточного племенного поголовья сельскохозяйственных животных в Российской Федерации;

- доля численности маточного поголовья овец и коз, поголовья северных оленей, маралов и мясных табунных лошадей в сельскохозяйственных организациях, крестьянских (фермерских) хозяйствах, включая индивидуальных предпринимателей, в i-ом субъекте Российской Федерации в общей численности маточного поголовья овец и коз, поголовья северных оленей, маралов и мясных табунных лошадей в сельскохозяйственных организациях, крестьянских (фермерских) хозяйствах, включая индивидуальных предпринимателей, в Российской Федерации;

- доля прироста численности товарного поголовья коров специализированных мясных пород в сельскохозяйственных организациях, крестьянских (фермерских) хозяйствах, включая индивидуальных предпринимателей, в i-ом субъекте Российской Федерации в общем приросте численности товарного поголовья коров специализированных мясных пород в сельскохозяйственных организациях, крестьянских (фермерских) хозяйствах, включая индивидуальных предпринимателей, в Российской Федерации.

13. Доля численности условного маточного племенного поголовья сельскохозяйственных животных в i-ом субъекте Российской Федерации в общей численности условного маточного племенного поголовья сельскохозяйственных животных в субъектах Российской Федерации () рассчитывается на основании данных, представленных уполномоченным органом за отчетный финансовый год по форме, утвержденной Министерством сельского хозяйства Российской Федерации, по формуле:

,

где - численность условного маточного племенного поголовья сельскохозяйственных животных в i-ом субъекте Российской Федерации.

Коэффициенты для перевода племенного поголовья сельскохозяйственных животных в условные головы устанавливаются Министерством сельского хозяйства Российской Федерации.

14. Доля численности маточного поголовья овец и коз, поголовья северных оленей, маралов и мясных табунных лошадей в сельскохозяйственных организациях, крестьянских (фермерских) хозяйствах, включая индивидуальных предпринимателей, в i-ом субъекте Российской Федерации в общей численности маточного поголовья овец и коз, поголовья северных оленей, маралов и мясных табунных лошадей в сельскохозяйственных организациях, крестьянских (фермерских) хозяйствах, включая индивидуальных предпринимателей, в Российской Федерации () рассчитывается на основании данных Федеральной службы государственной статистики за отчетный финансовый год по формуле:

,

где - численность маточного поголовья овец и коз, поголовья северных оленей, маралов и мясных табунных лошадей в сельскохозяйственных организациях, крестьянских (фермерских) хозяйствах, включая индивидуальных предпринимателей, в i-ом субъекте Российской Федерации.

15. Доля прироста численности товарного поголовья коров специализированных мясных пород в сельскохозяйственных организациях, крестьянских (фермерских) хозяйствах, включая индивидуальных предпринимателей, в i-ом субъекте Российской Федерации в общем приросте численности товарного поголовья коров специализированных мясных пород в сельскохозяйственных организациях, крестьянских (фермерских) хозяйствах, включая индивидуальных предпринимателей, в Российской Федерации () рассчитывается на основании данных, представленных уполномоченным органом за отчетный финансовый год, по форме, утвержденной Министерством сельского хозяйства Российской Федерации, по формуле:

,

где - прирост численности товарного поголовья коров специализированных мясных пород в сельскохозяйственных организациях, крестьянских (фермерских) хозяйствах, включая индивидуальных предпринимателей, в i-ом субъекте Российской Федерации.

16. Доля i-го субъекта Российской Федерации в размере площадей под сельскохозяйственными культурами () рассчитывается по формуле:

,

где:

- доля площади, засеваемой элитными семенами в i-ом субъекте Российской Федерации, в общей площади, засеваемой элитными семенами в Российской Федерации;

- доля площади низкопродуктивной пашни (чистых паров) и посевной площади кормовых культур в районах Крайнего Севера и приравненных к ним местностях в i-ом субъекте Российской Федерации в общей площади низкопродуктивной пашни (чистых паров) и посевной площади кормовых культур в районах Крайнего Севера и приравненных к ним местностях в Российской Федерации;

- доля площади многолетних насаждений в i-ом субъекте Российской Федерации в общей площади многолетних насаждений в Российской Федерации;

- доля площади виноградников в i-ом субъекте Российской Федерации в общей площади виноградников в Российской Федерации.

17. Доля площади, засеваемой элитными семенами в i-ом субъекте Российской Федерации, в общей площади, засеваемой элитными семенами в Российской Федерации (), рассчитывается на основании данных, представленных уполномоченным органом по состоянию на 1 июля текущего финансового года, по форме, утвержденной Министерством сельского хозяйства Российской Федерации, по формуле:

,

где - площадь, засеваемая элитными семенами в соответствии с перечнем культур в i-ом субъекте Российской Федерации.

18. Доля площади низкопродуктивной пашни (чистых паров) и посевной площади кормовых культур в районах Крайнего Севера и приравненных к ним местностях в i-ом субъекте Российской Федерации в общей площади низкопродуктивной пашни (чистых паров) и посевной площади кормовых культур в районах Крайнего Севера и приравненных к ним местностях в Российской Федерации () рассчитывается на основании данных Федеральной службы государственной статистики за отчетный финансовый год по формуле:

,

где:

- площадь низкопродуктивной пашни (чистых паров) в i-ом субъекте Российской Федерации;

- посевная площадь кормовых культур в районах Крайнего Севера и приравненных к ним местностях в i-ом субъекте Российской Федерации.

19. Доля площади многолетних насаждений в i-ом субъекте Российской Федерации в общей площади многолетних насаждений в Российской Федерации () рассчитывается на основании данных Федеральной службы государственной статистики за отчетный финансовый год по формуле:

,

где - площадь многолетних насаждений в i-ом субъекте Российской Федерации.

20. Доля площади виноградников в i-ом субъекте Российской Федерации в общей площади виноградников в Российской Федерации () рассчитывается на основании данных Федеральной службы государственной статистики за отчетный финансовый год по формуле:

,

где - площадь виноградников в i-ом субъекте Российской Федерации.

21. Доля i-го субъекта Российской Федерации в количестве крестьянских (фермерских) хозяйств, индивидуальных предпринимателей и сельскохозяйственных потребительских кооперативов, объеме произведенной крестьянскими (фермерскими) хозяйствами и индивидуальными предпринимателями продукции, а также в остатке ссудной задолженности по кредитам, взятым малыми формами хозяйствования (), рассчитывается по формуле:

,

где:

- доля количества крестьянских (фермерских) хозяйств, индивидуальных предпринимателей и сельскохозяйственных потребительских кооперативов в i-ом субъекте Российской Федерации в общем количестве крестьянских (фермерских) хозяйств, индивидуальных предпринимателей и сельскохозяйственных потребительских кооперативов в Российской Федерации;

- доля средней стоимости валовой продукции растениеводства и животноводства, произведенной крестьянскими (фермерскими) хозяйствами и индивидуальными предпринимателями в i-ом субъекте Российской Федерации за 3 года, предшествующих текущему финансовому году, в средней стоимости валовой продукции растениеводства и животноводства, произведенной крестьянскими (фермерскими) хозяйствами и индивидуальными предпринимателями в Российской Федерации за 3 года, предшествующих текущему финансовому году;

- доля остатка ссудной задолженности по кредитам, взятым малыми формами хозяйствования, в i-ом субъекте Российской Федерации в общем объеме остатка ссудной задолженности по кредитам, взятым малыми формами хозяйствования в Российской Федерации.

22. Доля количества крестьянских (фермерских) хозяйств, индивидуальных предпринимателей и сельскохозяйственных потребительских кооперативов в i-ом субъекте Российской Федерации в общем количестве крестьянских (фермерских) хозяйств, индивидуальных предпринимателей и сельскохозяйственных потребительских кооперативов в Российской Федерации () рассчитывается на основании данных Федеральной службы государственной статистики на 1 октября отчетного финансового года по формуле:

,

где - количество крестьянских (фермерских) хозяйств, индивидуальных предпринимателей и сельскохозяйственных потребительских кооперативов в i-ом субъекте Российской Федерации.

23. Доля средней стоимости валовой продукции растениеводства и животноводства, произведенной крестьянскими (фермерскими) хозяйствами и индивидуальными предпринимателями в i-ом субъекте Российской Федерации за 3 года, предшествующих текущему финансовому году, в средней стоимости валовой продукции растениеводства и животноводства, произведенной крестьянскими (фермерскими) хозяйствами и индивидуальными предпринимателями в Российской Федерации за 3 года, предшествующих текущему финансовому году (), рассчитывается на основании данных Федеральной службы государственной статистики по формуле:

,

где - средняя стоимость валовой продукции растениеводства и животноводства, произведенной крестьянскими (фермерскими) хозяйствами и индивидуальными предпринимателями в i-ом субъекте Российской Федерации за 3 года, предшествующих году предоставления субсидии.

24. Доля остатка ссудной задолженности по кредитам, взятым малыми формами хозяйствования в i-ом субъекте Российской Федерации в общем объеме остатка ссудной задолженности по кредитам, взятым малыми формами хозяйствования в Российской Федерации (), рассчитывается на основании данных, представленных уполномоченным органом по состоянию на 1 июля текущего финансового года по форме, утвержденной Министерством сельского хозяйства Российской Федерации, по формуле:

,

где - остаток ссудной задолженности по кредитам, взятым малыми формами хозяйствования в i-ом субъекте Российской Федерации.

25. Распределение (перераспределение) субсидий бюджетам субъектов Российской Федерации устанавливается федеральным законом о федеральном бюджете на соответствующий финансовый год и плановый период и (или) принятым в соответствии с ним актом Правительства Российской Федерации.

В случае увеличения в текущем финансовом году бюджетных ассигнований на исполнение расходных обязательств, предусмотренных пунктом 3 настоящих Правил, расчет размера субсидии осуществляется на основании данных, применяемых при расчете размера субсидии на соответствующий финансовый год в соответствии с пунктами 8 - 24 настоящих Правил.

26. Предельный уровень софинансирования расходного обязательства субъекта Российской Федерации, источником финансового обеспечения которого является субсидия, определяется в соответствии с пунктом 13 Правил формирования, предоставления и распределения субсидий.

Уровень софинансирования по субъектам Российской Федерации в 2017 году () утверждается Министерством сельского хозяйства Российской Федерации и определяется по формуле:

,

где 0,9 - средний уровень софинансирования.

В 2017 году уровень софинансирования расходного обязательства субъекта Российской Федерации, источником финансового обеспечения которого является субсидия, не может быть установлен выше 95 процентов и ниже 90 процентов расходного обязательства.

27. Перечисление субсидий осуществляется в установленном порядке на счета территориальных органов Федерального казначейства, открытые для учета операций со средствами, поступающими в бюджеты субъектов Российской Федерации, в порядке, установленном Федеральным казначейством.

Перечисление субсидии в бюджет субъекта Российской Федерации осуществляется на основании заявки высшего исполнительного органа государственной власти субъекта Российской Федерации о перечислении субсидии, представляемой в Министерство сельского хозяйства Российской Федерации по форме и в срок, которые установлены Министерством.

28. Уполномоченный орган представляет в Министерство сельского хозяйства Российской Федерации следующие документы:

а) выписка из закона субъекта Российской Федерации о бюджете субъекта Российской Федерации и (или) из нормативных правовых актов муниципальных образований о местных бюджетах, подтверждающая наличие утвержденных в бюджете субъекта Российской Федерации (местном бюджете) бюджетных ассигнований на исполнение указанных в пункте 3 настоящих Правил расходных обязательств субъекта Российской Федерации (муниципальных образований), - в срок, устанавливаемый Министерством сельского хозяйства Российской Федерации;

б) отчет о расходах бюджета субъекта Российской Федерации (местного бюджета), источником финансового обеспечения которых является субсидия, - по форме и в срок, которые установлены Министерством сельского хозяйства Российской Федерации;

в) отчет о достижении значений показателей результативности использования субсидии, предусмотренных соглашением о предоставлении субсидий, - один раз в год, до 15 января, по форме, устанавливаемой Министерством сельского хозяйства Российской Федерации;

г) отчет о финансово-экономическом состоянии сельскохозяйственных товаропроизводителей - по форме и в срок, которые установлены Министерством сельского хозяйства Российской Федерации;

д) отчет об исполнении условий предоставления субсидий, направляемый почтовым отправлением, а также по электронной почте, - до 1 марта, по форме, устанавливаемой Министерством сельского хозяйства Российской Федерации.

29. Для оценки эффективности осуществления расходов бюджетов субъектов Российской Федерации, источником финансового обеспечения которых является субсидия, применяются следующие показатели результативности использования субсидии:

а) валовой сбор зерновых и зернобобовых в хозяйствах всех категорий, (тыс. тонн);

б) валовой сбор сахарной свеклы в хозяйствах всех категорий, (тыс. тонн);

в) валовой сбор льноволокна и пеньковолокна в хозяйствах всех категорий, (тыс. тонн);

г) валовой сбор картофеля в сельскохозяйственных организациях, крестьянских (фермерских) хозяйствах, включая индивидуальных предпринимателей, (тыс. тонн);

д) производство скота и птицы на убой в хозяйствах всех категорий (в живом весе), (тыс. тонн);

е) производство шерсти, полученной от тонкорунных и полутонкорунных пород овец в сельскохозяйственных организациях, крестьянских (фермерских) хозяйствах, включая индивидуальных предпринимателей, (тыс. тонн);

ж) численность товарного поголовья коров специализированных мясных пород в сельскохозяйственных организациях, крестьянских (фермерских) хозяйствах, включая индивидуальных предпринимателей, (тыс. голов);

з) поголовье северных оленей и маралов в сельскохозяйственных организациях, крестьянских (фермерских) хозяйствах, включая индивидуальных предпринимателей, (тыс. голов);

и) поголовье мясных табунных лошадей в сельскохозяйственных организациях, крестьянских (фермерских) хозяйствах, включая индивидуальных предпринимателей, (тыс. голов);

к) маточное поголовье овец и коз в сельскохозяйственных организациях, крестьянских (фермерских) хозяйствах, включая индивидуальных предпринимателей, (тыс. голов);

л) сохранность племенного условного маточного поголовья сельскохозяйственных животных к уровню предыдущего года, (процентов);

м) реализация племенного молодняка крупного рогатого скота молочных и мясных пород на 100 голов маток, (голов);

н) застрахованное поголовье сельскохозяйственных животных, (тыс. условных голов);

о) посевная площадь кормовых культур по сельскохозяйственным организациям, крестьянским (фермерским) хозяйствам, включая индивидуальных предпринимателей, в районах Крайнего Севера и приравненных к ним местностях, (тыс. гектаров);

п) площадь подготовки низкопродуктивной пашни (чистых паров), (тыс. гектаров);

р) доля площади, засеваемой элитными семенами, в общей площади посевов, (процентов);

с) площадь закладки многолетних насаждений, (тыс. гектаров);

т) площадь виноградных насаждений в плодоносящем возрасте, (тыс. гектаров);

у) размер застрахованной посевной площади, (тыс. гектаров);

ф) количество новых постоянных рабочих мест, созданных в крестьянских (фермерских) хозяйствах, осуществивших проекты создания и развития своих хозяйств с помощью средств государственной поддержки, (единиц);

х) прирост объема сельскохозяйственной продукции, произведенной индивидуальными предпринимателями и крестьянскими (фермерскими) хозяйствами, получившими средства государственной поддержки, к году, предшествующему году предоставления субсидии, (процентов);

ц) количество новых постоянных рабочих мест, созданных в сельскохозяйственных потребительских кооперативах, получивших средства государственной поддержки для развития материально-технической базы, (единиц);

ч) прирост объема сельскохозяйственной продукции, реализованной сельскохозяйственными потребительскими кооперативами, получившими средства государственной поддержки, (процентов).

30. Эффективность осуществления расходов бюджетов субъектов Российской Федерации, источником финансового обеспечения которых является субсидия, оценивается ежегодно Министерством сельского хозяйства Российской Федерации на основании интегральной оценки достижения показателей результативности использования субсидии, отраженных в соглашении о предоставлении субсидий, в соответствии с методикой, утверждаемой Министерством сельского хозяйства Российской Федерации.

31. В случае отсутствия в очередном финансовом году у субъекта Российской Федерации потребности в субсидии неиспользованная субсидия на основании письменного обращения уполномоченного органа, представленного до 1 августа текущего финансового года, перераспределяется между бюджетами других субъектов Российской Федерации, имеющих право на получение субсидии в соответствии с настоящими Правилами.

32. Положения, касающиеся порядка возврата средств субсидии субъектами Российской Федерации из бюджета субъекта Российской Федерации в федеральный бюджет в случае нарушения обязательств, предусмотренных соглашением о предоставлении субсидий, в части выполнения и (или) достижения значений показателей результативности использования субсидии, в том числе порядок расчета объема средств, подлежащих возврату, сроки возврата, основания для освобождения субъектов Российской Федерации от применения мер ответственности за нарушение обязательств, предусмотренных соглашением о предоставлении субсидий, а также порядка использования возвращенных средств Министерством сельского хозяйства Российской Федерации, применяются в соответствии с пунктами 16 - 19 Правил формирования, предоставления и распределения субсидий.

33. Операции по кассовым расходам бюджетов субъектов Российской Федерации (местных бюджетов), источником финансового обеспечения которых являются субсидии, в том числе их остатки, не использованные на 1 января текущего года, осуществляются с учетом особенностей, установленных федеральным законом о федеральном бюджете на текущий финансовый год и плановый период.

34. Не использованный на 1 января текущего финансового года остаток субсидий подлежит возврату в федеральный бюджет органами государственной власти субъектов Российской Федерации, за которыми в соответствии с законодательными и иными нормативными правовыми актами закреплены источники доходов бюджетов субъектов Российской Федерации по возврату остатков субсидий в соответствии с требованиями, установленными Бюджетным кодексом Российской Федерации и федеральным законом о федеральном бюджете на текущий финансовый год и плановый период, а также пунктом 20 Правил формирования, предоставления и распределения субсидий.

В случае если неиспользованный остаток субсидий не перечислен в доход федерального бюджета, указанные средства подлежат взысканию в доход федерального бюджета в порядке, установленном Министерством финансов Российской Федерации.

35. В случае несоблюдения уполномоченным органом условий предоставления субсидий соответствующая информация направляется Министерством сельского хозяйства Российской Федерации в Министерство финансов Российской Федерации с предложением о приостановлении предоставления субсидий для принятия соответствующего решения в порядке, установленном Министерством финансов Российской Федерации.

36. В случае нецелевого использования субсидии и (или) нарушения субъектом Российской Федерации условий ее предоставления к нему применяются бюджетные меры принуждения, предусмотренные бюджетным законодательством Российской Федерации.

Решения о приостановлении перечисления (сокращении объема) субсидии бюджету субъекта Российской Федерации не принимаются в случае, если условия предоставления субсидии были не выполнены в силу обстоятельств непреодолимой силы.

37. Ответственность за достоверность представляемых в Министерство сельского хозяйства Российской Федерации сведений и соблюдение условий, установленных настоящими Правилами и соглашением о предоставлении субсидий, возлагается на уполномоченный орган.

В случае несоблюдения условий, установленных настоящими Правилами и соглашением о предоставлении субсидий, соответствующие средства подлежат взысканию в доход федерального бюджета в соответствии с бюджетным законодательством Российской Федерации.

38. Контроль за соблюдением уполномоченным органом условий предоставления субсидий осуществляется Министерством сельского хозяйства Российской Федерации и федеральным органом исполнительной власти, осуществляющим функции по контролю и надзору в финансово-бюджетной сфере.

Приложение
к постановлению Правительства
Российской Федерации
от 30 декабря 2016 г. N 1556

ПЕРЕЧЕНЬ УТРАТИВШИХ СИЛУ РЕШЕНИЙ ПРАВИТЕЛЬСТВА РОССИЙСКОЙ ФЕДЕРАЦИИ

1. Постановление Правительства Российской Федерации от 17 декабря 2010 г. N 1042 "Об утверждении Правил распределения и предоставления субсидий из федерального бюджета бюджетам субъектов Российской Федерации на поддержку экономически значимых региональных программ развития сельского хозяйства субъектов Российской Федерации" (Собрание законодательства Российской Федерации, 2010, N 52, ст. 7102).

2. Постановление Правительства Российской Федерации от 28 июля 2011 г. N 628 "О внесении изменений в Правила распределения и предоставления субсидий из федерального бюджета бюджетам субъектов Российской Федерации на поддержку экономически значимых региональных программ развития сельского хозяйства субъектов Российской Федерации" (Собрание законодательства Российской Федерации, 2011, N 32, ст. 4829).

3. Постановление Правительства Российской Федерации от 22 февраля 2012 г. N 138 "О внесении изменений в Правила распределения и предоставления субсидий из федерального бюджета бюджетам субъектов Российской Федерации на поддержку экономически значимых региональных программ развития сельского хозяйства субъектов Российской Федерации" (Собрание законодательства Российской Федерации, 2012, N 10, ст. 1226).

4. Постановление Правительства Российской Федерации от 28 февраля 2012 г. N 165 "Об утверждении Правил предоставления и распределения субсидий из федерального бюджета бюджетам субъектов Российской Федерации на развитие семейных животноводческих ферм" (Собрание законодательства Российской Федерации, 2012, N 10, ст. 1250).

5. Постановление Правительства Российской Федерации от 28 февраля 2012 г. N 166 "Об утверждении Правил предоставления и распределения субсидий из федерального бюджета бюджетам субъектов Российской Федерации на поддержку начинающих фермеров" (Собрание законодательства Российской Федерации, 2012, N 10, ст. 1251).

6. Постановление Правительства Российской Федерации от 27 сентября 2012 г. N 990 "О внесении изменения в пункт 1 Правил предоставления и распределения субсидий из федерального бюджета бюджетам субъектов Российской Федерации на развитие семейных животноводческих ферм" (Собрание законодательства Российской Федерации, 2012, N 40, ст. 5469).

7. Постановление Правительства Российской Федерации от 27 сентября 2012 г. N 991 "О внесении изменения в пункт 1 Правил предоставления и распределения субсидий из федерального бюджета бюджетам субъектов Российской Федерации на поддержку начинающих фермеров" (Собрание законодательства Российской Федерации, 2012, N 40, ст. 5470).

8. Постановление Правительства Российской Федерации от 4 декабря 2012 г. N 1257 "О предоставлении и распределении субсидий из федерального бюджета бюджетам субъектов Российской Федерации на поддержку племенного животноводства" (Собрание законодательства Российской Федерации, 2012, N 50, ст. 7073).

9. Постановление Правительства Российской Федерации от 4 декабря 2012 г. N 1258 "О предоставлении и распределении субсидий из федерального бюджета бюджетам субъектов Российской Федерации на возмещение части затрат по наращиванию маточного поголовья овец и коз, поголовья северных оленей, маралов и мясных табунных лошадей" (Собрание законодательства Российской Федерации, 2012, N 50, ст. 7074).

10. Постановление Правительства Российской Федерации от 12 декабря 2012 г. N 1295 "Об утверждении Правил предоставления и распределения субсидий из федерального бюджета бюджетам субъектов Российской Федерации на поддержку отдельных подотраслей растениеводства" (Собрание законодательства Российской Федерации, 2012, N 51, ст. 7230).

11. Постановление Правительства Российской Федерации от 22 декабря 2012 г. N 1371 "Об утверждении Правил предоставления и распределения субсидий из федерального бюджета бюджетам субъектов Российской Федерации на возмещение части затрат сельскохозяйственных товаропроизводителей на уплату страховых премий по договорам сельскохозяйственного страхования" (Собрание законодательства Российской Федерации, 2012, N 53, ст. 7927).

12. Постановление Правительства Российской Федерации от 27 декабря 2012 г. N 1433 "О внесении изменений в Правила распределения и предоставления субсидий из федерального бюджета бюджетам субъектов Российской Федерации на поддержку экономически значимых региональных программ развития сельского хозяйства субъектов Российской Федерации" (Собрание законодательства Российской Федерации, 2013, N 1, ст. 30).

13. Пункты 6.1, 15, 15.1, 16, 16.1, 20, 20.4 - 20.6 Правил предоставления и распределения субсидий из федерального бюджета бюджетам субъектов Российской Федерации на возмещение части затрат на уплату процентов по кредитам, полученным в российских кредитных организациях, и займам, полученным в сельскохозяйственных кредитных потребительских кооперативах, утвержденных постановлением Правительства Российской Федерации от 28 декабря 2012 г. N 1460 "Об утверждении Правил предоставления и распределения субсидий из федерального бюджета бюджетам субъектов Российской Федерации на возмещение части затрат на уплату процентов по кредитам, полученным в российских кредитных организациях, и займам, полученным в сельскохозяйственных кредитных потребительских кооперативах" (Собрание законодательства Российской Федерации, 2013, N 1, ст. 56).

14. Постановление Правительства Российской Федерации от 30 апреля 2013 г. N 385 "О внесении изменения в Правила предоставления и распределения субсидий из федерального бюджета бюджетам субъектов Российской Федерации на развитие семейных животноводческих ферм" (Собрание законодательства Российской Федерации, 2013, N 20, ст. 2481).

15. Постановление Правительства Российской Федерации от 30 апреля 2013 г. N 386 "О внесении изменения в Правила предоставления и распределения субсидий из федерального бюджета бюджетам субъектов Российской Федерации на поддержку начинающих фермеров" (Собрание законодательства Российской Федерации, 2013, N 20, ст. 2482).

16. Постановление Правительства Российской Федерации от 21 мая 2013 г. N 427 "О внесении изменений в Правила предоставления и распределения субсидий из федерального бюджета бюджетам субъектов Российской Федерации на возмещение части затрат сельскохозяйственных товаропроизводителей на уплату страховых премий по договорам сельскохозяйственного страхования" (Собрание законодательства Российской Федерации, 2013, N 22, ст. 2811).

17. Пункт 46 изменений, которые вносятся в акты Правительства Российской Федерации, утвержденных постановлением Правительства Российской Федерации от 26 августа 2013 г. N 739 "Об отдельных вопросах государственного регулирования, контроля и надзора в сфере финансового рынка Российской Федерации" (Собрание законодательства Российской Федерации, 2013, N 36, ст. 4578).

18. Постановление Правительства Российской Федерации от 25 декабря 2013 г. N 1249 "О внесении изменения в Правила распределения и предоставления субсидий из федерального бюджета бюджетам субъектов Российской Федерации на поддержку экономически значимых региональных программ развития сельского хозяйства субъектов Российской Федерации" (Собрание законодательства Российской Федерации, 2013, N 52, ст. 7223).

19. Постановление Правительства Российской Федерации от 31 мая 2014 г. N 499 "О внесении изменений в Правила распределения и предоставления субсидий из федерального бюджета бюджетам субъектов Российской Федерации на поддержку экономически значимых региональных программ развития сельского хозяйства субъектов Российской Федерации" (Собрание законодательства Российской Федерации, 2014, N 23, ст. 2988).

20. Постановление Правительства Российской Федерации от 26 декабря 2014 г. N 1512 "О внесении изменений в некоторые акты Правительства Российской Федерации" (Собрание законодательства Российской Федерации, 2015, N 1, ст. 296).

21. Постановление Правительства Российской Федерации от 26 декабря 2014 г. N 1520 "О внесении изменений в Правила предоставления и распределения субсидий из федерального бюджета бюджетам субъектов Российской Федерации на возмещение части затрат сельскохозяйственных товаропроизводителей на уплату страховых премий по договорам сельскохозяйственного страхования" (Собрание законодательства Российской Федерации, 2015, N 1, ст. 302).

22. Постановление Правительства Российской Федерации от 17 января 2015 г. N 20 "О внесении изменений в Правила предоставления и распределения субсидий из федерального бюджета бюджетам субъектов Российской Федерации на поддержку отдельных подотраслей растениеводства" (Собрание законодательства Российской Федерации, 2015, N 4, ст. 662).

23. Постановление Правительства Российской Федерации от 17 января 2015 г. N 21 "О внесении изменений в Правила предоставления и распределения субсидий из федерального бюджета бюджетам субъектов Российской Федерации на возмещение части затрат по наращиванию маточного поголовья овец и коз, поголовья северных оленей, маралов и мясных табунных лошадей" (Собрание законодательства Российской Федерации, 2015, N 4, ст. 663).

24. Постановление Правительства Российской Федерации от 27 января 2015 г. N 50 "О внесении изменений в Правила предоставления и распределения субсидий из федерального бюджета бюджетам субъектов Российской Федерации на поддержку племенного животноводства" (Собрание законодательства Российской Федерации, 2015, N 5, ст. 830).

25. Пункты 5, 11, 12, 16 изменений, которые вносятся в Правила предоставления и распределения субсидий из федерального бюджета бюджетам субъектов Российской Федерации на возмещение части затрат на уплату процентов по кредитам, полученным в российских кредитных организациях, и займам, полученным в сельскохозяйственных кредитных потребительских кооперативах, утвержденных постановлением Правительства Российской Федерации от 27 января 2015 г. N 53 "О внесении изменений в Правила предоставления и распределения субсидий из федерального бюджета бюджетам субъектов Российской Федерации на возмещение части затрат на уплату процентов по кредитам, полученным в российских кредитных организациях, и займам, полученным в сельскохозяйственных кредитных потребительских кооперативах" (Собрание законодательства Российской Федерации, 2015, N 5, ст. 833).

26. Постановление Правительства Российской Федерации от 25 февраля 2015 г. N 167 "О внесении изменений в Правила распределения и предоставления субсидий из федерального бюджета бюджетам субъектов Российской Федерации на поддержку экономически значимых региональных программ развития сельского хозяйства субъектов Российской Федерации" (Собрание законодательства Российской Федерации, 2015, N 10, ст. 1528).

27. Постановление Правительства Российской Федерации от 24 июня 2015 г. N 623 "Об утверждении Правил предоставления и распределения субсидий из федерального бюджета бюджетам субъектов Российской Федерации на грантовую поддержку сельскохозяйственных потребительских кооперативов для развития материально-технической базы" (Собрание законодательства Российской Федерации, 2015, N 26, ст. 3911).

28. Постановление Правительства Российской Федерации от 2 июля 2015 г. N 667 "Об утверждении Правил предоставления и распределения субсидий из федерального бюджета бюджетам субъектов Российской Федерации на поддержку производства и реализации тонкорунной и полутонкорунной шерсти" (Собрание законодательства Российской Федерации, 2015, N 28, ст. 4234).

29. Пункты 6, 13, 14, 18 и абзацы восемьдесят девятый - сто сорок четвертый пункта 19 изменений, которые вносятся в Правила предоставления и распределения субсидий из федерального бюджета бюджетам субъектов Российской Федерации на возмещение части затрат на уплату процентов по кредитам, полученным в российских кредитных организациях, и займам, полученным в сельскохозяйственных кредитных потребительских кооперативах, утвержденных постановлением Правительства Российской Федерации от 28 июля 2015 г. N 766 "О внесении изменений в Правила предоставления и распределения субсидий из федерального бюджета бюджетам субъектов Российской Федерации на возмещение части затрат на уплату процентов по кредитам, полученным в российских кредитных организациях, и займам, полученным в сельскохозяйственных кредитных потребительских кооперативах" (Собрание законодательства Российской Федерации, 2015, N 32, ст. 4760).

30. Постановление Правительства Российской Федерации от 30 ноября 2015 г. N 1294 "О внесении изменений в Правила распределения и предоставления субсидий из федерального бюджета бюджетам субъектов Российской Федерации на поддержку экономически значимых региональных программ развития сельского хозяйства субъектов Российской Федерации" (Собрание законодательства Российской Федерации, 2015, N 49, ст. 6986).

31. Постановление Правительства Российской Федерации от 30 декабря 2015 г. N 1498 "О внесении изменений в Правила предоставления и распределения субсидий из федерального бюджета бюджетам субъектов Российской Федерации на поддержку отдельных подотраслей растениеводства" (Собрание законодательства Российской Федерации, 2016, N 2, ст. 372).

32. Постановление Правительства Российской Федерации от 17 февраля 2016 г. N 107 "О внесении изменений в Правила предоставления и распределения субсидий из федерального бюджета бюджетам субъектов Российской Федерации на возмещение части затрат сельскохозяйственных товаропроизводителей на уплату страховых премий по договорам сельскохозяйственного страхования" (Собрание законодательства Российской Федерации, 2016, N 8, ст. 1128).

33. Постановление Правительства Российской Федерации от 5 апреля 2016 г. N 274 "О внесении изменений в Правила предоставления и распределения субсидий из федерального бюджета бюджетам субъектов Российской Федерации на поддержку племенного животноводства" (Собрание законодательства Российской Федерации, 2016, N 15, ст. 2104).

34. Пункты 27, 40, 66, 135, 136, 148, 149, 157, 298 и 301 изменений, которые вносятся в акты Правительства Российской Федерации в связи с упразднением Федеральной службы финансово-бюджетного надзора, утвержденных постановлением Правительства Российской Федерации от 25 мая 2016 г. N 464 "О внесении изменений в некоторые акты Правительства Российской Федерации в связи с упразднением Федеральной службы финансово-бюджетного надзора" (Собрание законодательства Российской Федерации, 2016, N 24, ст. 3525).

35. Постановление Правительства Российской Федерации от 2 июня 2016 г. N 499 "О внесении изменений в Правила распределения и предоставления субсидий из федерального бюджета бюджетам субъектов Российской Федерации на поддержку экономически значимых региональных программ развития сельского хозяйства субъектов Российской Федерации" (Собрание законодательства Российской Федерации, 2016, N 24, ст. 3538).

36. Постановление Правительства Российской Федерации от 2 августа 2016 г. N 741 "Об утверждении Правил предоставления и распределения субсидий из федерального бюджета бюджетам субъектов Российской Федерации на содержание товарного маточного поголовья крупного рогатого скота мясных пород и их помесей" (Собрание законодательства Российской Федерации, 2016, N 32, ст. 5121).