Письмо ФФОМС от 21.02.2020 N 2493/26-1/И

"О направлении Инструкции по группировке случаев, в том числе правила учета классификационных критериев, и подходам к оплате медицинской помощи в амбулаторных условиях"

ФЕДЕРАЛЬНЫЙ ФОНД ОБЯЗАТЕЛЬНОГО МЕДИЦИНСКОГО СТРАХОВАНИЯ

ПИСЬМО
от 21 февраля 2020 г. N 2493/26-1/и

Федеральный фонд обязательного медицинского страхования в дополнение к Методическим рекомендациям по способам оплаты медицинской помощи за счет средств обязательного медицинского страхования (совместное письмо от 12.12.2019 Министерства здравоохранения Российской Федерации N 11-7/И/2-11779 и Федерального фонда обязательного медицинского страхования N 17033/26-2/и) направляет в электронном виде:

Расшифровку клинико-статистических групп для медицинской помощи, оказанной в стационарных условиях;

Расшифровка клинико-статистических групп для медицинской помощи, оказанной в стационарных условиях, не приводится.

Расшифровку клинико-статистических групп для медицинской помощи, оказанной в условиях дневного стационара;

Расшифровка клинико-статистических групп для медицинской помощи, оказанной в условиях дневного стационара, не приводится.

Инструкцию по группировке случаев, в том числе правила учета классификационных критериев, и подходам к оплате медицинской помощи в амбулаторных условиях.

Председатель
Н.Н. СТАДЧЕНКО

ИНСТРУКЦИЯ ПО ГРУППИРОВКЕ СЛУЧАЕВ, В ТОМ ЧИСЛЕ ПРАВИЛА УЧЕТА КЛАССИФИКАЦИОННЫХ КРИТЕРИЕВ, И ПОДХОДАМ К ОПЛАТЕ МЕДИЦИНСКОЙ ПОМОЩИ В АМБУЛАТОРНЫХ УСЛОВИЯХ

(в дополнение к Методическим рекомендациям по способам оплаты медицинской помощи за счет средств обязательного медицинского страхования)

Введение

Настоящая Инструкция разработана в целях реализации методических рекомендаций по способам оплаты медицинской помощи за счет средств обязательного медицинского страхования (далее - Рекомендации), одобренных решением рабочей группы Министерства здравоохранения Российской Федерации по подготовке методических рекомендаций по реализации способов оплаты медицинской помощи в рамках программы государственных гарантий бесплатного оказания гражданам медицинской помощи и направленных в субъекты Российской Федерации совместным письмом от 12.12.2019 Министерства здравоохранения Российской Федерации N 11-7/И/2-11779 и Федерального фонда обязательного медицинского страхования N 17033/26-2/и.

Инструкция содержит описание алгоритмов формирования различных КСГ с учетом установленных критериев группировки, которые должны быть применены при разработке программного обеспечения, осуществляющего отнесение случаев к КСГ. Также в Инструкции отражены подходы к установлению поправочных коэффициентов, к оплате прерванных случаев лечения, к оплате по двум КСГ в рамках одного случая лечения, особенности формирования отдельных КСГ в условиях круглосуточного и дневного стационаров и ряд других вопросов, предусмотренных Рекомендациями.

I. ПОДХОДЫ К ОПЛАТЕ МЕДИЦИНСКОЙ ПОМОЩИ В УСЛОВИЯХ КРУГЛОСУТОЧНОГО И ДНЕВНОГО СТАЦИОНАРОВ

1. Основные подходы к группировке случаев

В качестве критериев группировки в данной модели КСГ используются:

- Диагноз (код диагноза в соответствии со справочником "Международная статистическая классификация болезней и проблем, связанных со здоровьем, 10-го пересмотра" (далее - МКБ 10));

- Хирургическая операция и (или) другая применяемая медицинская технология (код в соответствии с Номенклатурой медицинских услуг, утвержденной приказом Министерства здравоохранения Российской Федерации от 13.10.2017 N 804н (далее - Номенклатура)), а также, при необходимости, конкретизация медицинской услуги в зависимости от особенностей ее исполнения (иной классификационный критерий);

- Схема лекарственной терапии;

- МНН лекарственного препарата;

- Возрастная категория пациента;

- Сопутствующий диагноз и/или осложнения заболевания (код по МКБ 10);

- Оценка состояния пациента по шкалам: шкала оценки органной недостаточности у пациентов, находящихся на интенсивной терапии (Sequential Organ Failure Assessment, SOFA), шкала оценки органной недостаточности у пациентов детского возраста, находящихся на интенсивной терапии (Pediatric Sequential Organ Failure Assessment, pSOFA), шкала реабилитационной маршрутизации;

- Длительность непрерывного проведения ресурсоемких медицинских услуг (искусственной вентиляции легких, видео-ЭЭГ-мониторинга);

- Количество дней проведения лучевой терапии (фракций);

- Пол;

- Длительность лечения.

К настоящей Инструкции прилагается к Расшифровка групп в соответствии с МКБ 10 и Номенклатурой, представленная в виде файла "Расшифровка групп" формата MS Excel. Данная Расшифровка представлена отдельно для круглосуточного и дневного стационара (пометки "КС" и "ДС").

1.1. Справочники Расшифровки групп

Файл "Расшифровка групп" имеет одинаковую структуру для круглосуточного и дневного стационаров и состоит из следующих листов, содержащих соответствующие справочники:

- "КСГ" - перечень КСГ и соответствующих коэффициентов относительной затратоемкости, утвержденных Рекомендациями, с распределением КСГ по профилям медицинской помощи;

- "МКБ 10" - справочник кодов МКБ 10 с указанием для каждого кода, включенного в группировку, номеров КСГ, к которым может быть отнесен данный код диагноза;

- "Номенклатура" - справочник кодов Номенклатуры с указанием для каждого кода услуги, включенного в группировку, номеров КСГ к которым может быть отнесен данный код;

- "Схемы лекарственной терапии" - справочник схем лекарственной терапии при злокачественных новообразованиях (кроме лимфоидной и кроветворной тканей) с указанием для каждой схемы номера КСГ, к которой может быть отнесен случай госпитализации с применением данной схемы;

- "МНН ЛП в сочетании с ЛТ" - справочник МНН лекарственных препаратов (сочетания МНН лекарственных препаратов), применяемых в сочетании с лучевой терапией, с указанием для каждой позиции номеров КСГ, к которым может быть отнесен случай госпитализации с применением данного МНН лекарственного препарата (сочетания МНН лекарственных препаратов);

- "Группировщик" - таблица, определяющая однозначное отнесение каждого пролеченного случая к конкретной КСГ на основании всех возможных комбинаций классификационных критериев;

- "Группировщик детальный" - таблица, соответствующая листу "Группировщик", с расшифровкой кодов основных справочников;

- "Структура справочников" - таблица, определяющая названия столбцов всех листов файла, а также обозначения кодов, вводимых в файле в дополнение к кодам основных справочников.

1.1.1. Справочник КСГ

В файле MS Excel "Расшифровка групп" на листе "КСГ" содержится перечень КСГ и соответствующих коэффициентов затратоемкости, утвержденных Рекомендациями, с распределением КСГ по профилям медицинской помощи, в следующем формате:

Структура справочника "КСГ" (лист "КСГ" файла "Расшифровка групп"):

Наименование столбца Описание Примечание
КСГ Номер КСГ В соответствии с Рекомендациями
Наименование КСГ Наименование КСГ  
КЗ Коэффициент относительной затратоемкости КСГ  
Код профиля Код профиля Кодовое значение для столбца "Профиль"
Профиль Наименование профиля В соответствии с приказом Минздравсоцразвития России от 17.05.2012 N 555н "Об утверждении номенклатуры коечного фонда по профилям медицинской помощи"

1.1.2. Справочник МКБ 10

В файле MS Excel "Расшифровка групп" на листе "МКБ 10" содержится справочник МКБ 10, в котором каждому диагнозу соответствуют номера КСГ, в которые может быть отнесен случай госпитализации с данным диагнозом.

В справочнике МКБ 10 учтены изменения, направленные письмом Министерства здравоохранения Российской Федерации от 05.12.2014 N 13-2/1664.

Структура справочника "МКБ 10" (лист "МКБ 10" файла "Расшифровка групп"):

Наименование столбца Описание Примечание
Код по МКБ 10 Код диагноза в соответствии с МКБ 10  
Диагноз Наименование диагноза  
КСГ1..n Номера КСГ, к которым может быть отнесен диагноз  
Использовано в КСГ Признак использования кода в качестве критерия группировки КСГ "True/ИСТИНА" - код диагноза используется в группировке КСГ

Внимание: в ряде случаев, когда коды МКБ 10, одинаковые по трем первым знакам, могут попадать в разные КСГ в зависимости от знака после точки, ввод трехзначных кодов не допускается (данные коды исключены из группировки). Необходимо принять меры к использованию полного кода диагноза, включая знаки после точки.

1.1.3. Справочник Номенклатуры

В файле MS Excel "Расшифровка групп" на листе "Номенклатура" содержится справочник кодов Номенклатуры, с указанием для каждого кода услуги, включенной в группировку, номеров КСГ, к которым может быть отнесен данный код. Справочник Номенклатуры представлен разделом A16 в полном объеме, с некоторыми исключениями, а также отдельными кодами из других разделов.

Структура справочника "Номенклатура" (лист "Номенклатура" файла "Расшифровка групп"):

Наименование столбца Описание Примечание
Код услуги Код хирургической операции и/или другой применяемой медицинской технологии в соответствии с Номенклатурой  
Наименование услуги Наименование хирургической операции и/или другой применяемой медицинской технологии  
КСГ1..n Номера КСГ, к которым может быть отнесен диагноз  
Использовано в КСГ Признак использования кода в качестве критерия группировки КСГ "True/ИСТИНА" - код услуги используется в группировке КСГ

1.1.4. Справочник схем лекарственной терапии

В файле MS Excel "Расшифровка групп" на листе "Схемы лекарственной терапии" содержится справочник схем лекарственной терапии при злокачественных новообразованиях (кроме лимфоидной и кроветворной тканей), в котором каждой схеме соответствуют номера КСГ, к которым относятся случай госпитализации с применением данной схемы.

В таблице приведен перечень элементов и описание состава справочника "Схемы лекарственной терапии":

Таблица

Структура справочника "Схемы лекарственной терапии" (лист "Схемы лекарственной терапии" файла "Расшифровка групп")

N Наименование столбца Описание Примечание
1 Код схемы Код схемы лекарственной терапии Значения sh001 - sh904
2 МНН лекарственных препаратов МНН лекарственных препаратов, входящих в состав схемы  
3 Наименование и описание схемы Длительность цикла лекарственной терапии, режим дозирования и способ введения лекарственных препаратов  
4 Количество дней введения в тарифе Количество дней введения лекарственных препаратов, оплачиваемых по КСГ  
5 КСГ Номер КСГ, к которой может быть отнесена схема лекарственной терапии  
6 Признак не ЖНВЛП Признак использования в схеме лекарственного препарата, не входящего в актуальный перечень ЖНВЛП и назначаемого по решению врачебной комиссии Информация в ячейке носит справочный характер и не влияет на отнесение случая к КСГ
7 Примечание Дополнительные пояснения к схемам лекарственной терапии  
8 Использовано в КСГ Признак использования кода в качестве критерия группировки КСГ "True/ИСТИНА" - код услуги используется в группировке КСГ

В первом столбце справочника приведен код схемы лекарственной терапии, который используется в группировщике для отнесения случаев лечения с применением данной схемы к конкретным КСГ. Перечень схем лекарственной терапии, включенных в группировщик, сформирован путем извлечения данных из соответствующих разделов клинических рекомендаций, размещенных в рубрикаторе Минздрава России.

Во втором столбце приведены лекарственные препараты, входящие в состав лекарственной терапии злокачественных новообразований, применение которых оплачивается в рамках одной КСГ. Часть схем включает монотерапию (применение одного лекарственного препарата), а часть - комбинированную терапию (применение двух и более препаратов). Лекарственные препараты, входящие в состав комбинированных схем терапии, приведены перечислением через знак "+".

Например:

- схема sh001 "абиратерон" - подразумевает применение одного препарата (монотерапия);

- схема sh179 "трастузумаб" - подразумевает применение одного препарата (монотерапия);

- схема sh086 "иринотекан + кальция фолинат + фторурацил" - подразумевает комбинированную терапию (препаратами, входящими в состав схемы FOLFIRI3);

- схема sh143: "паклитаксел + карбоплатин" - подразумевает комбинированную терапию препаратами, входящими в состав схемы, не имеющей общепринятой аббревиатуры.

Также через "+" приведены препараты, не входящие в состав одной схемы лекарственной терапии, но применяющиеся одновременно.

Например:

- схема sh002: "абиратерон + бусерелин";

- схема sh169: "тамоксифен + бусерелин".

В третьем столбце приведено краткое описание схемы.

В целях настоящей инструкции под циклом химиотерапии понимается введение химиотерапевтических препаратов в рамках определенной схемы химиотерапии. В цикле присутствуют "дни введения" и "дни отдыха". Под курсом химиотерапии понимается последовательное неоднократное применение циклов. При этом первый день последующего цикла начинается сразу после последнего дня предыдущего.

Краткое описание схемы приведено с целью идентификации и правильного кодирования схемы лекарственной терапии ЗНО с последующим отнесением каждого случая лечения с применением данной схемы к конкретной КСГ.

Соответственно, в описание всех схем включены доза лекарственного препарата, длительность цикла и дни введения. В описание некоторых схем включено указание пути введения. Эти признаки позволяют, в частности, дифференцировать схемы, включающие одни и те же лекарственные препараты, но в разных дозах, или с разным путем введения, или с разной длительностью цикла.

При снижении дозы химиотерапевтических препаратов и/или изменении дней введения (увеличение интервала между введениями) по сравнению с указанными в столбце "Наименование и описание схемы" кодируется схема, указанная в группировщике, при соблюдении следующих условий, отраженных в первичной медицинской документации:

- снижение дозы произведено в соответствии с инструкцией к химиотерапевтическому препарату в связи усилением токсических реакций или с тяжестью состояния пациента;

- изменение дней введения (увеличение интервала между введениями) произведено в связи с медицинскими противопоказаниями к введению препаратов в день, указанный в описании схемы.

При соблюдении вышеуказанных условий снижение дозы и/или увеличение интервала между введениями оплачивается по коду основной схемы лекарственной терапии.

Также в описание включено принятое сокращенное название схемы - при наличии.

Например:

Схема sh018

Наименование схемы: "блеомицин + этопозид + цисплатин".

Описание схемы: "ВЕР: Блеомицин 30 мг в 1-й, 3-й, 5-й дни + этопозид 100 мг/м2 в 1 - 5-й дни + цисплатин 20 мг/м2 в 1 - 5-й дни; цикл 21 день". В описании указаны:

- сокращенное наименование схемы (ВЕР),

- доза препаратов и дни, в которые производится введение (блеомицин 30 мг в 1-й, 3-й, 5-й дни; этопозид 100 мг/м2 в 1 - 5-й дни; цисплатин 20 мг/м2 в 1 - 5-й дни);

- длительность цикла - 21 день.

Описание схем в справочнике не может служить заменой сведениям, изложенным в клинических рекомендациях и инструкциям к лекарственным препаратам, и предназначено не для информирования медицинских работников о возможных вариантах лечения, а для идентификации проведенного лечения в целях его корректного кодирования.

В четвертом столбце приводится количество дней введения лекарственных препаратов, включенных в тариф, то есть в один законченный случай лечения.

Количество дней введения определено на основе режима дозирования схемы, указанной в столбце "Описание схемы".

Например:

Схема sh018 "блеомицин + этопозид + цисплатин".

Описание схемы: "ВЕР: Блеомицин 30 мг в 1-й, 3-й, 5-й дни + этопозид 100 мг/м2 в 1 - 5-й дни + цисплатин 20 мг/м2 в 1 - 5-й дни; цикл 21 день".

Как следует из описания схемы, лекарственные препараты вводятся с первого по пятый дни каждые 21 день, соответственно, количество дней введения - 5.

Количество дней введения не равно длительности госпитализации: больной может находится в стационаре как до введения лекарственных препаратов, так и после него, например, в связи с развитием нежелательных явлений на фоне лечения.

В справочнике схем лекарственной терапии ряд схем имеют одинаковое описание, но разное количество дней введения в тарифе.

Например:

Схема sh026 "винорелбин + карбоплатин". Описание схемы: Винорелбин 25 мг/м2 в 1-й, 8-й дни + карбоплатин AUC 5 - 6 в 1-й день; цикл 21 день. Количество дней введения в тарифе - 1;

Схема sh026.1 "винорелбин + карбоплатин". Описание схемы: Винорелбин 25 мг/м2 в 1-й, 8-й дни + карбоплатин AUC 5 - 6 в 1-й день; цикл 21 день. Количество дней введения в тарифе - 2.

Из различий в количестве дней введения в тарифе следует, что стоимость схемы sh026 рассчитана исходя из одного введения лекарственных средств в рамках одной госпитализации, а стоимость схемы sh026.1 включает стоимость всех введений лекарственных препаратов, включенных в цикл, в рамках одной госпитализации. Таким образом, предусмотрено два варианта оплаты одной схемы лечения - за введение и за весь цикл.

При этом наличие возможности оплаты за весь цикл (выделение схем с точкой в коде) предусмотрено только для схем, предусматривающих перерыв между введениями лекарственных препаратов, во время которого пациент может нуждаться в круглосуточном либо в ежедневном наблюдении.

В пятом столбце указан номер КСГ, к которому относится случай с применением каждой схемы.

В шестом столбце приведена пометка "не ЖНВЛП", которая относится к схемам лекарственной терапии, в состав которых входят препараты, не включенные в перечень жизненно необходимых и важнейших лекарственных препаратов и назначаемые по жизненным показаниям или в случае индивидуальной непереносимости по решению врачебной комиссии.

В седьмом столбце даны примечания к отдельным схемам.

1.1.5. Справочник МНН лекарственных препаратов

В файле MS Excel "Расшифровка групп" на листе "МНН ЛП в сочетании с ЛТ" содержится справочник МНН лекарственных препаратов (сочетаний МНН лекарственных препаратов), для которых в сочетании с проведением лучевой терапии предусмотрена оплата по отдельным КСГ для лучевой терапии в сочетании с лекарственной терапией. В справочнике каждой позиции соответствуют номера КСГ, к которым может быть отнесен случай проведения лучевой терапии в сочетании с лекарственной терапией.

В таблице приведен перечень элементов и описание состава справочника "МНН ЛП в сочетании с ЛТ".

Таблица

Структура справочника "МНН ЛП в сочетании с ЛТ" (лист "МНН ЛП в сочетании с ЛТ" файла "Расшифровка групп"):

Наименование столбца Описание Примечание
Код МНН Код МНН лекарственных препаратов (сочетания МНН лекарственных препаратов) Значения mt001 - mt017
МНН лекарственных препаратов Международное непатентованное наименование лекарственных препаратов, применяемых в сочетании с лучевой терапией  
Признак не ЖНВЛП Признак использования в схеме лекарственного препарата, не входящего в актуальный перечень ЖНВЛП и назначаемого по решению врачебной комиссии Информация в ячейке носит справочный характер и не влияет на отнесение случая к КСГ
Примечание Дополнительные пояснения к схемам лекарственной терапии  
КСГ1..n Номера КСГ, к которым может быть отнесена схема лекарственной терапии  
Использовано в КСГ Признак использования кода в качестве критерия группировки КСГ "True/ИСТИНА" - код услуги используется в группировке КСГ

1.2. Описание логической схемы группировщика КСГ

1.2.1. Таблицы "Группировщик" и "Группировщик детальный"

Процесс отнесения случая к КСГ регламентируется таблицами "Группировщик" и "Группировщик детальный" (таблицы идентичны, за исключением того, что "Группировщик детальный" содержит расшифровки кодов МКБ 10, Номенклатуры и КСГ).

"Группировщик" позволяет каждый случай в реестре пролеченных больных, оплата которого производится в рамках системы КСГ, отнести к определенной группе на основании классификационных критериев, которые соответствуют этому случаю. С помощью данной таблицы осуществляется отнесение случаев ко всем КСГ, кроме КСГ st29.007 "Тяжелая множественная и сочетанная травма (политравма)", алгоритм формирования которой описан в разделе "Особенности формирования отдельных КСГ".

Таблица "Группировщик" состоит из столбцов, каждый из которых содержит значение, соответствующее одному классификационному критерию.

Структура таблицы "Группировщик" (лист "Группировщик" файла "Расшифровка групп"):

Наименование столбца Описание Источник данных и связь с другими справочниками
Код по МКБ 10 Код основного диагноза по МКБ 10 Столбец "Код по МКБ 10" справочника МКБ 10
Код по МКБ 10 (2) Код дополнительного диагноза по МКБ 10 Столбец "Код по МКБ 10" справочника МКБ 10
Код по МКБ 10 (3) Код диагноза осложнения по МКБ 10 Столбец "Код по МКБ 10" справочника МКБ 10
Код услуги Код хирургической операции и/или другой применяемой медицинской технологии в соответствии с Номенклатурой Столбец "Код услуги" справочника Номенклатура
Возраст Возрастная категория пациента Справочник возрастных категорий (приведен далее)
Пол Пол пациента 1 - мужской, 2 - женский
Длительность Длительность пребывания, дней 1 - пребывание до 3 дней включительно
Диапазон фракций Диапазон количества дней проведения лучевой терапии (количества фракций) fr01-05 - количество фракций от I до 5 включительно;
fr06-07 - количество фракций от 6 до 7 включительно;
fr08-10 - количество фракций от 8 до 10 включительно;
fr11-20 - количество фракций от 11 до 20 включительно;
fr21-29 - количество фракций от 21 до 29 включительно;
fr30-32 - количество фракций от 30 до 32 включительно;
fr33-99 - количество фракций от 33 включительно и более
Иной классификационный критерий Оценка состояния пациента по шкалам или схема лечения, или длительность оказания ресурсоемких медицинских услуг (искусственной вентиляции легких, видео-ЭЭГ-мониторинга) it1 - SOFA не менее 5 и непрерывное проведение искусственной вентиляции легких в течение 72 часов и более, pSOFA не менее 4 и непрерывное проведение искусственной вентиляции легких в течение 72 часов и более;
it2 - Непрерывное проведение искусственной вентиляции легких в течение 480 часов и более;
sh001 - sh904 - Схема лекарственной терапии (001 - 688, 903, 904);
rb2 - 2 балла по шкале реабилитационной маршрутизации (ШРМ);
rb3 - 3 балла по шкале реабилитационной маршрутизации (ШРМ);
rb4 - 4 балла по шкале реабилитационной маршрутизации (ШРМ);
rb5 - 5 баллов по шкале реабилитационной маршрутизации (ШРМ);
rb6 - 6 баллов по шкале реабилитационной маршрутизации (ШРМ);
rbs - Обязательное сочетание 2-х медицинских услуг: B05.069.005 "Разработка индивидуальной программы дефектологической реабилитации", B05.069.006 "Разработка индивидуальной программы логопедической реабилитации";
mt001 - mt017 - код МНН лекарственных препаратов, применяемых в сочетании с лучевой терапией
ep1 - Обязательное выполнение магнитно-резонансной томографии с высоким разрешением (3 Тл) по программе эпилептического протокола и проведение продолженного видео-ЭЭГ мониторинга с включением сна (не менее 4 часов)
ep2 - Обязательное выполнение магнитно-резонансной томографии с высоким разрешением (3 Тл) по программе эпилептического протокола и проведение продолженного видео-ЭЭГ мониторинга с включением сна (не менее 4 часов) и терапевтического мониторинга противоэпилептических препаратов в крови с целью подбора противоэпилептической терапии
ep3 - Обязательное выполнение магнитно-резонансной томографии с высоким разрешением (3 Тл) по программе эпилептического протокола и проведение продолженного видео-ЭЭГ мониторинга с включением сна (не менее 24 часов) и терапевтического мониторинга противоэпилептических препаратов в крови с целью подбора противоэпилептической терапии и консультация врача-нейрохирурга
if - Назначение лекарственных препаратов пегилированных интерферонов для лечения хронического вирусного гепатита C
nif - Назначение лекарственных препаратов прямого противовирусного действия для лечения хронического вирусного гепатита C в том числе в сочетании с пегилированными интерферонами
pbt - Назначение других генно-инженерных препаратов и селективных иммунодепрессантов, включенных в перечень ЖНВЛП и имеющих соответствующие показания согласно инструкции по применению в соответствии с клиническими рекомендациями
mgi - Обязательное выполнение биопсии при подозрении на злокачественное новообразование и проведение диагностических молекулярно-генетических и/или иммуногистохимических исследований
КСГ Номер КСГ, к которой относится случай Столбец "КСГ" справочника КСГ

Внимание: если в таблице не содержится значения в соответствующем столбце, то данный классификационный критерий не влияет на группировку.

Пример из таблицы "Группировщик":

Код по МКБ 10 Код по МКБ 10 (2) Код по МКБ 10 (3) Код услуги по Номенклатуре Возраст Пол Длительность КСГ
P05.0 A16.19.010 2 st10.002
P05.2 A16.19.010 2 st10.002
P07.3 A16.19.010 2 st10.002
T24.2 T32.6 st33.004
T30.2 T32.1 st33.004
I25.8 A06.10.006 1 st25.004
I25.9 A06.10.006 1 st25.004
S30.2 2 st02.009
T19.8 1 st30.005
C00 - C80 A16.20.004.001 st19.002
C. D70 st19.037

1.2.2. Справочник категорий возраста (столбец "Возраст" группировщика)

Код Диапазон возраста
1 от 0 до 28 дней
2 от 29 до 90 дней
3 от 91 дня до 1 года
4 от 0 дней до 2 лет
5 от 0 дней до 18 лет
6 старше 18 лет

Категории возраста применяются в трех аспектах, не предполагающих одновременное (совместное) использование всех категорий возраста для классификации случаев в одни и те же КСГ.

1-й аспект применения: диапазоны 1 - 3 используются для классификации случаев в КСГ st10.001 "Детская хирургия (уровень 1)", КСГ st10.002 "Детская хирургия (уровень 2)" и st17.003 "Лечение новорожденных с тяжелой патологией с применением аппаратных методов поддержки или замещения витальных функций":

- при возрасте ребенка до 28 дней (код 1) случаи классифицируются в КСГ st10.002 или st17.003 по соответствующему коду Номенклатуры, независимо от кода диагноза.

- если ребенок родился маловесным, то по тем же кодам Номенклатуры случай классифицируется в КСГ st10.002 или st17.003 при возрасте до 90 дней (код 2). При этом признаком маловесности служит соответствующий код МКБ 10 (P05 - P07), который используется как дополнительный диагноз (Код по МКБ 10 (2)). В столбце "основной диагноз" может быть указан любой диагноз, который является основным поводом для госпитализации и проведения соответствующего хирургического вмешательства.

- при возрасте от 91 дня до 1 года (код 3), независимо от диагноза, случай классифицируется в КСГ st10.001 по коду Номенклатуры.

Также код возраста 1 в сочетании с определенными диагнозами МКБ 10 применяется для отнесения случаев лечения к КСГ st17.005 "Другие нарушения, возникшие в перинатальном периоде (уровень 1)", КСГ st17.006 "Другие нарушения, возникшие в перинатальном периоде (уровень 2)" и КСГ st17.007 "Другие нарушения, возникшие в перинатальном периоде (уровень 3)". Например, диагноз J20.6 "Острый бронхит, вызванный риновирусом" при отсутствии дополнительного кода возраста 1 (дети до 28 дней) относится к КСГ st27.010 "Бронхит необструктивный, симптомы и признаки, относящиеся к органам дыхания", при наличии кода 1 - к КСГ st17.007 "Другие нарушения, возникшие в перинатальном периоде (уровень 3)".

2-й аспект применения: диапазон возраста 4 используется для классификации случаев в КСГ st36.003 и ds36.004 "Лечение с применением генно-инженерных биологических препаратов и селективных иммунодепрессантов" дневного стационара при проведении иммунизации против респираторно-синцитиальной вирусной (РСВ) инфекции с применением иммуноглобулина специфического (паливизумаб) (A25.30.035). Дополнительным критерием отнесения в эту КСГ является возраст до 2 лет включительно.

3-й аспект применения: диапазоны возраста 5 - 6 используются для классификации случаев в большое количество "детских" и "взрослых" групп. При этом, если случай хирургического вмешательства ребенку до одного года может быть классифицирован в КСГ st10.001 или КСГ st10.002 (приоритет), он классифицируется в эти группы. Во всех остальных случаях классификация осуществляется в соответствующие КСГ с применением кодов возраста 5 - 6.

1.2.3. Справочник иных классификационных критериев (столбец "Иной классификационный критерий" группировщика)

Код Значение
it1 Оценка по шкале SOFA не менее 5 и непрерывное проведение искусственной вентиляции легких в течение 72 часов и более или оценка по шкале pSOFA не менее 4 и непрерывное проведение искусственной вентиляции легких в течение 72 часов
it2 Непрерывное проведение искусственной вентиляции легких в течение 480 часов и более
sh001 - sh688, sh903, sh904 Номер схемы лекарственной терапии при злокачественных новообразованиях (кроме лимфоидной и кроветворной тканей) в соответствии со справочником "Схемы лекарственной терапии"
rb2 Оценка состояния пациента - 2 балла по ШРМ
rb3 Оценка состояния пациента - 3 балла по ШРМ
rb4 Оценка состояния пациента - 4 балла по ШРМ
rb5 Оценка состояния пациента - 5 балла по ШРМ
rb6 Оценка состояния пациента - 6 балла по ШРМ
rbs Обязательное сочетание 2-х медицинских услуг: B05.069.005 "Разработка индивидуальной программы дефектологической реабилитации", B05.069.006 "Разработка индивидуальной программы логопедической реабилитации".
mt001 - mt017 Код МНН лекарственных препаратов (сочетаний МНН лекарственных препаратов), применяемых в сочетании с лучевой терапией, в соответствии со справочником "МНН ЛП в сочетании с ЛТ"
ep1 Обязательное выполнение магнитно-резонансной томографии с высоким разрешением (3 Тл) по программе эпилептического протокола и проведение продолженного видео-ЭЭГ мониторинга с включением сна (не менее 4 часов)
ep2 Обязательное выполнение магнитно-резонансной томографии с высоким разрешением (3 Тл) по программе эпилептического протокола и проведение продолженного видео-ЭЭГ мониторинга с включением сна (не менее 4 часов) и терапевтического мониторинга противоэпилептических препаратов в крови с целью подбора противоэпилептической терапии
ep3 Обязательное выполнение магнитно-резонансной томографии с высоким разрешением (3 Тл) по программе эпилептического протокола и проведение продолженного видео-ЭЭГ мониторинга с включением сна (не менее 24 часов) и терапевтического мониторинга противоэпилептических препаратов в крови с целью подбора противоэпилептической терапии и консультация врача-нейрохирурга
if Назначение лекарственных препаратов пегилированных интерферонов для лечения хронического вирусного гепатита C
nif Назначение лекарственных препаратов прямого противовирусного действия для лечения хронического вирусного гепатита C в том числе в сочетании с пегилированными интерферонами
pbt Назначение других генно-инженерных препаратов и селективных иммунодепрессантов, включенных в перечень ЖНВЛП и имеющих соответствующие показания согласно инструкции по применению в соответствии с клиническими рекомендациями <*>
mgi Обязательное выполнение биопсии при подозрении на злокачественное новообразование и проведение диагностических молекулярно-генетических и/или иммуногистохимических исследований

<*> Иной классификационный критерий "pbt" применяется для случаев назначения лекарственных препаратов, не имеющих соответствующих кодов Номенклатуры медицинских услуг с учетом анатомо-терапевтическо-химической классификации (АТХ).

1.2.4. Особенности использования неполного кода МКБ 10

В Группировщике используется обозначение неполного кода МКБ 10 со знаком "." (C., I.), это означает, что могут использоваться любые знаки после точки. Так, запись C. в КСГ st36.012 "Злокачественное новообразование без специального противоопухолевого лечения" означает, что при любом диагнозе класса "C" в отсутствие иных классификационных критериев случай относится к указанной КСГ. Аналогичным образом в КСГ st25.004 "Диагностическое обследование сердечно-сосудистой системы" запись I. означает, что случай лечения с любым диагнозом соответствующего класса МКБ 10 при проведении инструментальных диагностических исследований и при длительности госпитализации менее 3 дней включительно относится к данной КСГ.

1.2.5. Особенности использования диапазона кодов МКБ 10

В Группировщике используется обозначение диапазона кодов МКБ 10 со знаком "-" (в частности, C00 - C80, D00 - D09, Q20 - Q28), это означает, что могут использоваться любые коды МКБ 10, входящие в указанный диапазон кодов. Например, следующая запись означает, что схема лекарственной терапии sh024 классифицируется в КСГ st19.027 в комбинации с любым диагнозом класса "C", входящим в диапазон C00 - C80:

Код по МКБ 10           Возраст     Иной классификационный критерий КСГ
C00 - C80           6     sh024 st19.027

1.2.6. Описание алгоритма группировки с применением таблицы "Группировщик"

По каждому случаю в реестре пролеченных пациентов классификационные критерии КСГ и их комбинации анализируются с помощью таблицы "Группировщик" по следующему алгоритму:

На первом этапе необходимо собрать все параметры, которые относятся к случаю оказания медицинской помощи. В таблице представлен полный перечень классификационных критериев в рамках случая оказания медицинской помощи.

Классификационный критерий Примечание
Код основного диагноза по МКБ 10 (основной диагноз) В рамках случая является обязательным параметром.
Код дополнительного диагноза по МКБ 10 (2) Возможные варианты значений: один код диагноза по МКБ 10, несколько кодов диагноза по МКБ 10, отсутствует (пустое значение)
Код диагноза осложнения по МКБ 10 (3) Возможные варианты значений: один код диагноза по МКБ 10, несколько кодов диагноза по МКБ 10, отсутствует (пустое значение)
Код услуги (код хирургической операции и/или другой применяемой медицинской технологии в соответствии с Номенклатурой) Указывается код услуги в соответствии с Номенклатурой медицинских услуг. Возможные варианты значений: один код услуги, несколько кодов услуг, отсутствует (пустое значение)
Иной классификационный критерий Указывается код иного классификационного критерия, который определен в справочнике "группировщик" в соответствующем поле. Возможные варианты значений: один код, несколько кодов, отсутствует (пустое значение). Пример всех значений справочника: it1, it2, sh001 - sh904, rb2, rb3, rb4, rb5, rb6, rbs, mt001 - mt017, ep1, ep2, ep3, if, nif, pbt, mgi.
Диапазон фракций (диапазон количества дней проведения лучевой терапии) Указывается код диапазона из справочника, соответствующий фактически оказанному количеству фракций. Возможные варианты значений: один код диапазона (пример: "fr01-05", "fr06-07", "fr08-10", "fr11-20", "fr21-29", "fr30-32", "fr33-99"), отсутствует значение (пустое значение)
Код пола пациента Указывается код пола пациента из справочника (мужской - "1", женский - "2")
Диапазон возраста пациента Диапазон определяется на дату начала госпитализации в круглосуточном и дневном стационаре. Указывается диапазон возраста пациента в соответствии с установленными значениями. Список диапазонов:
"от 0 до 28 дней",
"от 29 до 90 дней",
"от 91 дня до 1 года",
"от 1 года включительно до 2 лет",
"от 2 лет включительно до 18 лет",
"от 18 лет включительно".
Случай всегда относится только к одному диапазону возраста.
Длительность случая Длительность пребывания в стационаре в днях. Используется для определения признака длительности случая.

На втором этапе создается пустая "временная таблица", аналогичная таблице "Группировщик", но с двумя дополнительными полями "Приоритет" и "Коэффициент затратоемкости КСГ". Поле "Приоритет" по умолчанию имеет значение равное "0", соответствующее обычному приоритету при сравнении групп. Поле "Коэффициент затратоемкости КСГ" необходимо для сохранения значения коэффициента затратоемкости конкретной строчки таблицы, отнесенной к конкретной КСГ. Структура и описание полей представлены в таблице.

N п/п Наименование поля Примечание
1 N Порядковый номер строки
2 Код по МКБ 10 (основной диагноз)
3 Код по МКБ 10 (2)
4 Код по МКБ 10 (3)
5 Код услуги
6 Возраст
7 Пол
8 Длительность
9 Иной классификационный критерий
10 Диапазон фракций
11 КСГ Код КСГ в соответствии с группировщиком
12 Приоритет Поле с вариантами значений "0" - обычный приоритет, "1" - высокий приоритет, "-1" - низкий приоритет
13 Коэффициент затратоемкости КСГ Числовое поле с двумя знаками после запятой

На третьем этапе осуществляется фильтрация основной таблицы "Группировщик" и заполнение временной таблицы значениями. Под фильтрацией подразумевается отбор подходящих под заданные критерии данных, осуществляемый программными средствами. Таблицу "Группировщик" необходимо отфильтровать одновременно по всем классификационным критериям, учитывая особенности каждого параметра:

a) В фильтр по полю "Код по МКБ 10" входят пустое значение и значение основного диагноза случая. Если для основного диагноза существуют расширительные диапазоны (C00 - C80, D00 - D09, Q20 - Q28, C., I.), то эти расширительные диапазоны также включаются в фильтр.

b) В фильтр по полю "Код по МКБ 10 (2)" обязательно входит пустое значение. Если в случае присутствуют дополнительные диагнозы (один или несколько), фильтр дополняется всеми значениями дополнительных диагнозов; если для дополнительного диагноза существуют расширительные диапазоны (C00 - C80, D00 - D09, Q20 - Q28, C., I.), то эти расширительные диапазоны также включаются в фильтр.

c) В фильтр по полю "Код по МКБ 10 (3)" обязательно входит пустое значение. Если в случае присутствуют диагнозы осложнения (один или несколько), фильтр дополняется всеми значениями диагнозов осложнения; если для диагноза осложнения существуют расширительные диапазоны (C00 - C80, D00 - D09, Q20 - Q28, C., I.), то эти расширительные диапазоны также включаются в фильтр.

d) В фильтр по полю "Код услуги" обязательно входит пустое значение. Если в случае присутствуют коды услуг (один или несколько), фильтр дополняется всеми значениями кодов услуг. Примечание: если исходный случай содержит несколько кодов услуг, то выборку необходимо осуществлять дополнительно по каждому коду услуги.

e) В фильтр по полю "Возраст" обязательно входит пустое значение. Кроме пустого значения фильтр в зависимости от возраста пациента содержит следующие значения:

- Для диапазона возраста от 0 до 28 дней - значение справочника категорий возраста включает значения "1", "4", "5";

- Для диапазона возраста от 29 до 90 дней - значение справочника категорий возраста включает значения "2", "4", "5";

- Для диапазона возраста от 91 дня до 1 года - значение справочника категорий возраста включает значения "3", "4", "5";

- Для диапазона возраста от 1 года включительно до 2 лет - значение справочника категорий возраста включает значения "4", "5";

- Для диапазона возраста от 2 лет включительно до 17 лет - значение справочника категорий возраста включает значения "5";

- Для диапазона возраста от 18 лет включительно - значение справочника категорий возраста включает значения "6".

f) В фильтр по полю "Пол" обязательно входит пустое значение, а также значение из справочника согласно полу пациента (пациент мужского пола - значение кода "1", пациент женского пола - значение кода "2").

g) В фильтр по полю "Длительность" обязательно входит пустое значение, а для тех случаев, длительность которых составляет 3 дня и менее - значение 1.

h) В фильтр по полю "Иной классификационный критерий" обязательно входит пустое значение. Если в случае присутствуют иные классификационные критерии (один или несколько), фильтр дополняется всеми значениями иных классификационных критериев. Примеры значений: it1, it2, sh001 - sh904, rb2, rb3, rb4, rb5, rb6, rbs, mt001 - mt017, ep1, ep2, ep3, if, nif, pbt, mgi.

i) В фильтр по полю "Диапазон фракций" обязательно входит пустое значение. Если в случае присутствует код диапазона фракций (может быть только один), фильтр дополняется этим кодом.

Отфильтрованные записи из таблицы "Группировщик" копируются в описанную на втором этапе "временную таблицу" в соответствии с названиями полей. Для каждой записи во временной таблице в поле "Приоритет" проставляется значение "0", а в поле "Коэффициент затратоемкости КСГ" проставляется значение коэффициента затратоемкости (значения из "Справочника КСГ" с учетом регионального управленческого коэффициента) для каждой КСГ в соответствии с полем "КСГ".

На четвертом этапе необходимо проверить данные из "временной таблицы" на наличие исключений и установки приоритетов по строчкам. Во временной таблице в поле "Приоритет" меняем значения на "1" для следующих записей:

- Если поле "Иной классификационный критерий" содержит код иного классификационного критерия, используемого для формирования КСГ по профилю "Медицинской реабилитации" (такие как rb2, rb3, rb4, rb5, rb6, rbs);

- Если поле "Длительность" содержит значение "1";

- Если поле "Код по МКБ 10" основной диагноз содержит коды МКБ 10 из списка L08.0; L26; L27.0, L27.2 и поле "Возраст" содержит значение "1".

Если во "временной таблице" одновременно присутствуют строчки, относящиеся к двум КСГ из списка:

- st02.010 - Операции на женских половых органах (уровень 1) и st02.008 - Доброкачественные новообразования, новообразования in situ, неопределенного и неизвестного характера женских половых органов;

- st02.011 - Операции на женских половых органах (уровень 2) и st02.008 - Доброкачественные новообразования, новообразования in situ, неопределенного и неизвестного характера женских половых органов;

- st02.010 - Операции на женских половых органах (уровень 1) и st02.009 - Другие болезни, врожденные аномалии, повреждения женских половых органов;

- st14.001 - Операции на кишечнике и анальной области (уровень 1) и st04.002 - Воспалительные заболевания кишечника;

- st14.002 - Операции на кишечнике и анальной области (уровень 2) и st04.002 - Воспалительные заболевания кишечника;

- st21.001 - Операции на органе зрения (уровень 1) и st21.007 - Болезни глаза;

- st34.002 - Операции на органах полости рта (уровень 1) и st34.001 - Болезни полости рта, слюнных желез и челюстей, врожденные аномалии лица и шеи, взрослые;

- st34.002 - Операции на органах полости рта (уровень 1) и st26.001 - Болезни полости рта, слюнных желез и челюстей, врожденные аномалии лица и шеи, дети, необходимо для строчки, закодированной только кодом МКБ 10 по группам КСГ (st02.008, st02.009, st04.002, st21.007, st34.001, st26.001), установить значение в поле "Приоритет" равное "-1" (тем самым отдать приоритет в пользу КСГ, закодированной через услугу в Номенклатуре). Список КСГ и их комбинаций указан в пункте 1.2.7 в таблице "Перечень КСГ, в которых не предусмотрена возможность выбора между критерием диагноза и услуги".

Если во "временной таблице" одновременно присутствуют строчки, относящиеся к КСГ ds19.028 "Установка, замена порт системы (катетера) для лекарственной терапии злокачественных новообразований" и ds25.002 "Операции на сосудах (уровень 1)" (ситуация возможна при основном диагнозе "C." или "D00 - D09" и коде услуги "A11.12.001.002 - Имплантация подкожной венозной порт системы"), необходимо для строчки с КСГ ds25.002 установить значение в поле "Приоритет" равное "-1" (тем самым отдать приоритет в пользу КСГ ds19.028).

На пятом этапе производится окончательное определение КСГ для случая оказания медицинской помощи. Для окончательного определения КСГ путем сравнения коэффициентов затратоемкости групп с учетом приоритетов необходимо провести сортировку "временной таблицы" одновременно по полю "Приоритет" в порядке убывания (сверху окажутся максимальные значения) и по полю "Коэффициент затратоемкости КСГ" в порядке убывания (сверху окажутся максимальные значения). В результате сортировки самая верхняя строчка "временной таблицы" будет содержать в поле "КСГ" код искомой КСГ для данного случая.

Примечание: особенности формирования КСГ st29.007 "Тяжелая множественная и сочетанная травма (политравма)" представлены в пункте 8.11.

1.2.7. Перечень КСГ, в которых не предусмотрена возможность выбора между критерием диагноза и услуги

Однозначный выбор при оказании услуги, входящей в КСГ Однозначный выбор в отсутствие оказанной услуги
N Наименование КСГ, сформированной по услуге КЗ N Наименование КСГ, сформированной по диагнозу КЗ
st02.010 Операции на женских половых органах (уровень 1) 0,39 st02.008 Доброкачественные новообразования, новообразования in situ, неопределенного и неизвестного характера женских половых органов 0,89
st02.011 Операции на женских половых органах (уровень 2) 0,58 st02.008 Доброкачественные новообразования, новообразования in situ, неопределенного и неизвестного характера женских половых органов 0,89
st02.010 Операции на женских половых органах (уровень 1) 0,39 st02.009 Другие болезни, врожденные аномалии, повреждения женских половых органов 0,46
st14.001 Операции на кишечнике и анальной области (уровень 1) 0,84 st04.002 Воспалительные заболевания кишечника 2,01
st14.002 Операции на кишечнике и анальной области (уровень 2) 1,74 st04.002 Воспалительные заболевания кишечника 2,01
st21.001 Операции на органе зрения (уровень 1) 0,49 st21.007 Болезни глаза 0,51
st34.002 Операции на органах полости рта (уровень 1) 0,74 st34.001 Болезни полости рта, слюнных желез и челюстей, врожденные аномалии лица и шеи, взрослые 0,89
st34.002 Операции на органах полости рта (уровень 1) 0,74 st26.001 Болезни полости рта, слюнных желез и челюстей, врожденные аномалии лица и шеи, дети 0,79

1.2.8. Влияние кода диагноза по МКБ 10 на группировку

Случаи, при которых диагноз является критерием группировки для хирургической операции (комбинированные группы), определены Группировщиком таким образом, что в одной строке Группировщика приведен код Номенклатуры и код диагноза.

Пример:

Код по МКБ 10 Код по МКБ 10 (2) Код по МКБ 10 (3) Код услуги по Номенклатуре Возраст Пол Длительность КСГ Комментарий
A16.20.002.001 st02.012 Диагноз не влияет на группировку, и случай относится к КСГ st02.012 независимо от диагноза
C00 - C80 A16.20.002.001 st19.001 Случай относится к КСГ st19.001 при комбинации кода услуги и любого диагноза, входящего в диапазон "C00 - C80"

2. Правила выделения и применения подгрупп

Рекомендациями предусмотрено выделение подгрупп в составе стандартных КСГ.

Настоящие правила регламентируют подходы к выделению подгрупп в структуре клинико-статистических групп (КСГ) и их применению для оплаты медицинской помощи.

Выделение подгрупп рекомендуется проводить после всестороннего анализа информации, проведения моделирования и экономических расчетов, подтверждающих целесообразность такого шага.

Увеличение количества групп должно осуществляться только через выделение подгрупп в структуре стандартного перечня КСГ. При этом необходимо придерживаться следующих правил:

- номер подгруппы формируется из номера базовой КСГ, точки и порядкового номера подгруппы в группе;

- наименование подгруппы совпадает с наименованием базовой КСГ либо содержит наименование базовой КСГ со смысловым дополнением.

Пример:

Базовая КСГ:

N КСГ Наименование КСГ КЗ
st05.003 Нарушения свертываемости крови 4,50

После разделения на подгруппы:

КСГ Наименование КСГ КЗ
st05.003.1 Нарушения свертываемости крови, уровень 1 3,15
st05.003.2 Нарушения свертываемости крови, уровень 2 6,52

Формирование подгрупп может осуществляться следующими основными способами:

1-й способ: выделение подгрупп с использованием справочников МКБ 10 и Номенклатуры.

Данный способ предполагает, что базовая КСГ делится на подгруппы через разнесение кодов основных классификационных справочников (МКБ 10 и Номенклатура), используемых при формировании базовой КСГ.

Внимание: формирование подгрупп из кодов МКБ 10 и Номенклатуры, входящих в разные базовые КСГ, не допускается.

2-й способ: выделение подгрупп с использованием схемы лекарственной терапии или МНН лекарственных препаратов.

В рамках данного способа базовая КСГ делится на подгруппы на основании схем лекарственной терапии или кодов МНН, как в случае их использования в базовой КСГ, так и при отсутствии схемы/МНН в базовой КСГ. В случае отсутствия схемы/МНН в базовой КСГ предполагается формирование соответствующего перечня возможных к применению в рамках указанной КСГ лекарственных препаратов строго в соответствии с клиническими рекомендациями. Данный способ выделения подгрупп целесообразно применять в случае отсутствия соответствующих услуг по назначению лекарственных препаратов в Номенклатуре, но необходимости назначения соответствующего лечения согласно клиническим рекомендациям.

3-й способ: выделение подгрупп через введение дополнительно установленных классификационных критериев.

Введение дополнительно установленных классификационных критериев приводит к созданию новых, как позитивных, так и негативных экономических стимулов, для медицинских организаций. Поэтому данный способ может применяться исключительно в тех случаях, когда классификационный критерий отвечает следующим основным требованиям:

- основания к применению данного критерия должны быть четко регламентированы нормативными документами (например, в клинических протоколах, стандартах медицинской помощи);

- применение дополнительно установленного классификационного критерия легко проконтролировать.

Классификационный критерий должен быть включен в реестр счетов на оплату медицинской помощи.

Примеры дополнительно установленных классификационных критериев:

- длительное пребывание на профильной койке (реанимационные, реанимационные для новорожденных, интенсивной терапии, интенсивной терапии для новорожденных) или использование дорогостоящих реанимационных технологий;

- тяжесть состояния больных, характеризующаяся однозначными клиническими критериями;

- осложнение, серьезное сопутствующее заболевание.

Внимание: формирование подгрупп целесообразно предусматривать, если количество случаев, которые планируется выделить в подгруппу статистически репрезентативно, и их большая затратоемкость внутри действующей КСГ, является закономерным (систематически встречающимся) явлением. Оплату отдельных, редко встречающихся, затратных случаев целесообразно осуществлять с применением коэффициента сложности лечения пациента (КСЛП).

По мере внедрения системы КСГ необходимо постоянно осуществлять мониторинг объемных показателей и количества случаев в разрезе подгрупп, прежде всего, имеющих повышенный коэффициент затратоемкости (по сравнению с базовой КСГ). При возникновении чрезмерного роста таких случаев необходимо пересмотреть подходы к формированию подгрупп, а также регулярно проводить медико-экономическую экспертизу и экспертизу качества медицинской помощи по указанным случаям.

Расчет весовых коэффициентов подгрупп

Основным условием расчета весовых коэффициентов подгрупп является необходимость сохранить принцип бюджетной нейтральности и обеспечить, чтобы средневзвешенный КЗ подгрупп (СКЗ) равнялся коэффициенту затратоемкости базовой группы.

При этом, при необходимости, коэффициент затратоемкости базовой группы может быть скорректирован управленческим коэффициентом, в соответствии с Рекомендациями.

СКЗ рассчитывается по формуле:

, где:

- весовой коэффициент затратоемкости подгруппы i;

- количество случаев, пролеченных по подгруппе i;

КС - количество случаев в целом по группе.

Количество случаев по каждой подгруппе планируется в соответствии с количеством случаев за предыдущий год, с учетом запланированной динамики на текущий год.

1 этап: Расчет КЗ "приоритетной группы"

Как правило, выделение подгрупп предполагает определение группы случаев в структуре базовой КСГ, которые предполагается оплачивать по более высокому тарифу, чем остальные случаи в группе.

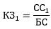
Средняя стоимость таких случаев рассчитывается в соответствии с действующими нормативными актами (методологией расчета тарифов). Далее, рассчитывается КЗ выделяемой подгруппы по формуле:

, где:

- коэффициент затратоемкости подгруппы 1;

- средняя стоимость случая, входящего в подгруппу 1;

БС - базовая ставка финансирования, утвержденная тарифным соглашением.

2 этап: Определяется КЗ "оставшейся" подгруппы

Расчетный коэффициент затратоемкости оставшейся подгруппы определяется по формуле:

, где:

- коэффициент затратоемкости подгруппы 2;

КЗ - коэффициент затратоемкости основной группы;

КС - количество случаев, планируемых по группе в целом;

- коэффициент затратоемкости подгруппы 1;

КС1 - количество случаев, планируемых по подгруппе 1;

- количество случаев, планируемых по подгруппе 2.

Необходимо учитывать, что выделение подгрупп может внести существенные искажения в систему финансирования. Например, если количество случаев в "дорогой" подгруппе будет большим, и расчетная средняя стоимость в этой подгруппе существенно превышает стоимость случая в других подгруппах, то более "дешевые" подгруппы могут получить крайне низкий КЗ. Для обеспечения баланса в системе финансирования необходимо использовать, при необходимости, другие инструменты коррекции рисков (управленческий коэффициент (КУ), коэффициент уровня оказания медицинской помощи (КУС) и др.).

3. Правила применения поправочных коэффициентов

В настоящей модели КСГ предусмотрена возможность использования поправочных коэффициентов (КУС и КУ), устанавливая разные правила их применения в зависимости от конкретной КСГ. К КСГ по профилю "Онкология" и "Детская онкология" КУ не применяется (устанавливается в значении 1).

При этом субъектам Российской Федерации рекомендуется определить три основных аспекта:

- Группы, к которым не применяется КУС. Это группы, медицинская помощь по которым оказывается преимущественно на одном уровне либо имеющие высокую степень стандартизации медицинских технологий, и предусматривающие (в большинстве случаев) одинаковое применение методов диагностики и лечения в различных уровнях оказания помощи (например, аппендэктомия), за исключением КСГ, относящихся к профилю "Детская онкология" и "Онкология", в том числе в условиях дневного стационара.

N КСГ Наименование КСГ
st01.001 Беременность без патологии, дородовая госпитализация в отделение сестринского ухода
st02.002 Беременность, закончившаяся абортивным исходом
st02.006 Послеродовой сепсис
st02.012 Операции на женских половых органах (уровень 3)
st03.002 Ангионевротический отек, анафилактический шок
st04.001 Язва желудка и двенадцатиперстной кишки
st06.003 Легкие дерматозы
st09.003 Операции на мужских половых органах, дети (уровень 3)
st09.004 Операции на мужских половых органах, дети (уровень 4)
st09.008 Операции на почке и мочевыделительной системе, дети (уровень 4)
st09.009 Операции на почке и мочевыделительной системе, дети (уровень 5)
st09.010 Операции на почке и мочевыделительной системе, дети (уровень 6)
st10.003 Аппендэктомия, дети (уровень 1)
st10.005 Операции по поводу грыж, дети (уровень 1)
st14.001 Операции на кишечнике и анальной области (уровень 1)
st15.005 Эпилепсия, судороги (уровень 1)
st15.008 Неврологические заболевания, лечение с применением ботулотоксина (уровень 1)
st15.009 Неврологические заболевания, лечение с применением ботулотоксина (уровень 2)
st16.003 Дорсопатии, спондилопатии, остеопатии
st16.005 Сотрясение головного мозга
st16.010 Операции на периферической нервной системе (уровень 2)
st16.011 Операции на периферической нервной системе (уровень 3)
st20.008 Операции на органе слуха, придаточных пазухах носа и верхних дыхательных путях (уровень 4)
st20.009 Операции на органе слуха, придаточных пазухах носа и верхних дыхательных путях (уровень 5)
st20.010 Замена речевого процессора
st21.004 Операции на органе зрения (уровень 4)
st21.005 Операции на органе зрения (уровень 5)
st21.006 Операции на органе зрения (уровень 6)
st27.001 Болезни пищевода, гастрит, дуоденит, другие болезни желудка и двенадцатиперстной кишки
st27.003 Болезни желчного пузыря
st27.005 Гипертоническая болезнь в стадии обострения
st27.006 Стенокардия (кроме нестабильной), хроническая ишемическая болезнь сердца (уровень 1)
st27.010 Бронхит необструктивный, симптомы и признаки, относящиеся к органам дыхания
st28.004 Операции на нижних дыхательных путях и легочной ткани, органах средостения (уровень 3)
st28.005 Операции на нижних дыхательных путях и легочной ткани, органах средостения (уровень 4)
st29.002 Переломы шейки бедра и костей таза
st29.003 Переломы бедренной кости, другие травмы области бедра и тазобедренного сустава
st29.004 Переломы, вывихи, растяжения области грудной клетки, верхней конечности и стопы
st29.005 Переломы, вывихи, растяжения области колена и голени
st29.012 Операции на костно-мышечной системе и суставах (уровень 4)
st29.013 Операции на костно-мышечной системе и суставах (уровень 5)
st30.004 Болезни предстательной железы
st30.008 Операции на мужских половых органах, взрослые (уровень 3)
st30.009 Операции на мужских половых органах, взрослые (уровень 4)
st30.015 Операции на почке и мочевыделительной системе, взрослые (уровень 6)
st31.002 Операции на коже, подкожной клетчатке, придатках кожи (уровень 1)
st31.009 Операции на эндокринных железах кроме гипофиза (уровень 1)
st31.010 Операции на эндокринных железах кроме гипофиза (уровень 2)
st31.012 Артрозы, другие поражения суставов, болезни мягких тканей
st31.018 Открытые раны, поверхностные, другие и неуточненные травмы
st32.004 Операции на желчном пузыре и желчевыводящих путях (уровень 4)
st32.010 Операции на пищеводе, желудке, двенадцатиперстной кишке (уровень 3)
st32.011 Аппендэктомия, взрослые (уровень 1)
st32.012 Аппендэктомия, взрослые (уровень 2)
st32.013 Операции по поводу грыж, взрослые (уровень 1)
st32.014 Операции по поводу грыж, взрослые (уровень 2)
st32.015 Операции по поводу грыж, взрослые (уровень 3)
st36.001 Комплексное лечение с применением препаратов иммуноглобулина
st36.003 Лечение с применением генно-инженерных биологических препаратов и селективных иммунодепрессантов
st36.007 Установка, замена, заправка помп для лекарственных препаратов
st36.009 Реинфузия аутокрови
st36.010 Баллонная внутриаортальная контрпульсация
st36.011 Экстракорпоральная мембранная оксигенация
st37.004 Медицинская реабилитация пациентов с заболеваниями центральной нервной системы (6 баллов по ШРМ)

Указанный перечень является исчерпывающим. Субъект Российской Федерации вправе самостоятельно определять подобный перечень для КСГ в дневном стационаре, за исключением КСГ, относящихся к профилю "Детская онкология" и "Онкология" (для данных КСГ обязательно применение КУС в случае использования КУС в условиях дневного стационара).

- Группы, к которым не применяются понижающие КУ. Это группы, с применением сложных медицинских технологий, в том числе при заболеваниях, являющихся основными причинами смертности, а также группы с высокой долей расходов на медикаменты и расходные материалы.

N КСГ Наименование КСГ
КСГ круглосуточного стационара
st13.002 Нестабильная стенокардия, инфаркт миокарда, легочная эмболия (уровень 2)
st13.003 Инфаркт миокарда, легочная эмболия, лечение с применением тромболитической терапии
st13.005 Нарушения ритма и проводимости (уровень 2)
st13.007 Эндокардит, миокардит, перикардит, кардиомиопатии (уровень 2)
st15.015 Инфаркт мозга (уровень 2)
st15.016 Инфаркт мозга (уровень 3)
st17.001 Малая масса тела при рождении, недоношенность
st17.002 Крайне малая масса тела при рождении, крайняя незрелость
st17.003 Лечение новорожденных с тяжелой патологией с применением аппаратных методов поддержки или замещения витальных функций

Субъект Российской Федерации вправе самостоятельно определять подобный перечень для КСГ в дневном стационаре.

- Группы, к которым не применяются повышающие КУ. Это группы, лечение по которым может быть в подавляющем случае выполнено с применением стационарозамещающих технологий либо амбулаторно.

N КСГ Наименование КСГ
st04.001 Язва желудка и двенадцатиперстной кишки
st06.003 Легкие дерматозы
st12.001 Кишечные инфекции, взрослые
st16.003 Дорсопатии, спондилопатии, остеопатии
st27.001 Болезни пищевода, гастрит, дуоденит, другие болезни желудка и двенадцатиперстной кишки
st27.003 Болезни желчного пузыря
st27.005 Гипертоническая болезнь в стадии обострения
st27.006 Стенокардия (кроме нестабильной), хроническая ишемическая болезнь сердца (уровень 1)
st27.010 Бронхит необструктивный, симптомы и признаки, относящиеся к органам дыхания
st30.004 Болезни предстательной железы
st31.002 Операции на коже, подкожной клетчатке, придатках кожи (уровень 1)
st31.012 Артрозы, другие поражения суставов, болезни мягких тканей
st31.018 Открытые раны, поверхностные, другие и неуточненные травмы

Субъект Российской Федерации вправе самостоятельно определять подобный перечень для КСГ в дневном стационаре.

4. Регламентация применения КСЛП

При расчете окончательной стоимости случая лечения в целях применения КСЛП учитывается возраст пациента на дату начала госпитализации.

Расчеты суммарного значения КСЛП () при наличии нескольких критериев выполняются по формуле:

При этом в соответствии с Рекомендациями суммарное значение КСЛП при наличии нескольких критериев не может превышать 1,8 за исключением случаев сверхдлительной госпитализации.

В случае сочетания факта сверхдлительной госпитализации с другими критериями, рассчитанное суммарное значение КСЛП, исходя из длительности госпитализации, прибавляется по аналогичной формуле без ограничения итогового значения.

В то же время перечень КСЛП, установленный в Приложении 3 к Рекомендациям, не является исчерпывающим и может быть расширен для отдельных случаев применения ресурсоемких медицинских технологий, а также для случаев проведения специализированного противоопухолевого лечения по поводу злокачественных новообразований с применением лекарственных препаратов, включенных в перечень ЖНВЛП и имеющих соответствующие показания согласно инструкции по применению в соответствии с клиническими рекомендациями.

Рекомендациями предлагается устанавливать коэффициент сложности лечения пациента (КСЛП), в частности, в следующих случаях:

4.1. Случаи лечения пациента при наличии у него старческой астении

Для применения соответствующего КСЛП необходимо выполнение следующих условий:

1. Основной диагноз пациента не включен в перечень диагнозов, определенных КСГ st38.001 "Соматические заболевания, осложненные старческой астенией";

2. Дополнительный диагноз пациента - старческая астения (R54);

3. Лечение осуществляется на геронтологической профильной койке.

4.2. Наличие у пациентов тяжелой сопутствующей патологии, осложнений заболеваний, влияющих на сложность лечения пациента

К данной патологии целесообразно относить:

- Сахарный диабет типа 1 и 2;

- Наличие заболеваний, включая редкие (орфанные) заболевания, требующих систематического дорогостоящего лекарственного лечения:

- Гемофилия (D66; D67; D68.0);

- Муковисцидоз (E84);

- Гипофизарный нанизм (E23.0);

- Рассеянный склероз (G35);

- Болезнь Гоше (E75.5);

- Злокачественные новообразования лимфоидной, кроветворной и родственных им тканей (C92.1; C88.0; C90.0; C82; C83.0; C83.1; C83.3; C83.4; C83.8; C83.9; C84.5; C85; C91.1);

- Состояния после трансплантации органов и (или) тканей (Z94.0; Z94.1; Z94.4; Z94.8);

- Гемолитико-уремический синдром (D59.3);

- Пароксизмальная ночная гемоглобинурия (Маркиафавы-Микели) (D59.5);

- Апластическая анемия неуточненная (D61.9);

- Наследственный дефицит факторов II (фибриногена), VII (лабильного), X (Стюарта-Прауэра) (D68.2);

- Идиопатическая тромбоцитопеническая пурпура (синдром Эванса) (D69.3);

- Дефект в системе комплемента (D84.1);

- Преждевременная половая зрелость центрального происхождения (E22.8);

- Нарушения обмена ароматических аминокислот (классическая фенилкетонурия, другие виды гиперфенилаланинемии) (E70.0; E70.1);

- Тирозинемия (E70.2);

- Болезнь "кленового сиропа" (E71.0);

- Другие виды нарушений обмена аминокислот с разветвленной цепью (изовалериановая ацидемия, метилмалоновая ацидемия, пропионовая ацидемия) (E71.1);

- Нарушения обмена жирных кислот (E71.3);

- Гомоцистинурия (E72.1);

- Глютарикацидурия (E72.3);

- Галактоземия (E74.2);

- Другие сфинголипидозы: болезнь Фабри (Фабри-Андерсона), Нимана-Пика (E75.2);

- Мукополисахаридоз, тип I (E76.0);

- Мукополисахаридоз, тип II (E76.1);

- Мукополисахаридоз, тип VI (E76.2);

- Острая перемежающая (печеночная) порфирия (E80.2);

- Нарушения обмена меди (болезнь Вильсона) (E83.0);

- Незавершенный остеогенез (Q78.0);

- Легочная (артериальная) гипертензия (идиопатическая) (первичная) (I27.0);

- Юношеский артрит с системным началом (M08.2);

- Детский церебральный паралич (G80);

- ВИЧ/СПИД, стадии 4Б и 4В, взрослые (B20 - B24);

- Перинатальный контакт по ВИЧ-инфекции, дети (Z20.6).

4.3. Проведение в рамках одной госпитализации в полном объеме нескольких видов противоопухолевого лечения, относящихся к различным КСГ

1) Сочетание любой схемы лекарственной терапии с любым кодом лучевой терапии, в том числе в сочетании с лекарственной терапией;

2) Сочетание любой схемы лекарственной терапии с любым кодом хирургического лечения при злокачественном новообразовании;

3) Сочетание любого кода лучевой терапии, в том числе в сочетании с лекарственной терапией, с любым кодом хирургического лечения при злокачественном новообразовании;

4) Сочетание любой схемы лекарственной терапии с любым кодом лучевой терапии, в том числе в сочетании с лекарственной терапией, и с любым кодом хирургического лечения;

5) Выполнение в рамках одной госпитализации двух и более схем лекарственной терапии.

4.4. Случаи сверхдлительного пребывания

Оплата случаев обоснованной сверхдлительной госпитализации осуществляется с применением КСЛП. При этом критерием отнесения случая к сверхдлительному является госпитализация на срок свыше 30 дней, кроме следующих КСГ, которые считаются сверхдлительными при сроке пребывания более 45 дней:

N КСГ Наименование КСГ
st10.001 Детская хирургия (уровень 1)
st10.002 Детская хирургия (уровень 2)
st17.002 Крайне малая масса тела при рождении, крайняя незрелость
st17.003 Лечение новорожденных с тяжелой патологией с применением аппаратных методов поддержки или замещения витальных функций
st29.007 Тяжелая множественная и сочетанная травма (политравма)
st32.006 Операции на печени и поджелудочной железе (уровень 2)
st32.007 Панкреатит, хирургическое лечение
st33.007 Ожоги (уровень 5)

Правила отнесения случаев к сверхдлительным не распространяются на КСГ, объединяющие случаи проведения лучевой терапии, в том числе в сочетании с лекарственной терапией (st19.039 - st19.055, ds19.001 - ds19.015), т.е. указанные случаи не могут считаться сверхдлительными и оплачиваться с применением соответствующего КСЛП.

Значение КСЛП определяется в зависимости от фактического количества проведенных койко-дней. Стоимость койко-дня для оплаты случаев сверхдлительного пребывания определяется с учетом компенсаций расходов на медикаменты и расходные материалы в профильном отделении.

, где:

КСЛП - коэффициент сложности лечения пациента;

- коэффициент длительности, учитывающий расходы на медикаменты, питание и частично на другие статьи расходов. Рекомендуемое значение - 0,25 для обычных отделений, 0,4 - для реанимационных отделений. Конкретный размер устанавливается в тарифном соглашении;

ФКД - фактическое количество койко-дней;

НКД - нормативное количество койко-дней (30 дней, за исключением КСГ, для которых установлен срок 45 дней).

4.5. Проведение сочетанных хирургических вмешательств

Перечень сочетанных (симультанных) хирургических вмешательств, выполняемых во время одной госпитализации, представлен в таблице:

Операция 1 Операция 2
A16.12.009 Тромбэндартерэктомия A06.12.015 Ангиография бедренной артерии прямая, обеих сторон
A16.12.009.001 Тромбоэктомия из сосудистого протеза A06.12.015 Ангиография бедренной артерии прямая, обеих сторон
A16.12.038.006 Бедренно-подколенное шунтирование A06.12.015 Ангиография бедренной артерии прямая, обеих сторон
A16.12.009.001 Тромбоэктомия из сосудистого протеза A16.12.026.018 Баллонная ангиопластика подвздошной артерии
A16.12.009.001 Тромбоэктомия из сосудистого протеза A16.12.028 Установка стента в сосуд
A16.12.038.006 Бедренно-подколенное шунтирование A16.12.026.018 Баллонная ангиопластика подвздошной артерии
A16.12.019.001 Ревизия бедренных артерий A16.12.026.018 Баллонная ангиопластика подвздошной артерии
A16.12.019.001 Ревизия бедренных артерий A16.12.028 Установка стента в сосуд
A16.12.019.001 Ревизия бедренных артерий A16.12.026 Баллонная вазодилатация
A16.12.011.008 Пластика глубокой бедренной артерии A16.12.026.018 Баллонная ангиопластика подвздошной артерии
A16.12.011.008 Пластика глубокой бедренной артерии A16.12.028 Установка стента в сосуд
A16.12.011.008 Пластика глубокой бедренной артерии A16.12.026 Баллонная вазодилатация
A16.12.008.001 Эндартерэктомия каротидная A06.12.005 Ангиография внутренней сонной артерии
A16.12.038.008 Сонно-подключичное шунтирование A06.12.007 Ангиография артерий верхней конечности прямая
A16.12.009 Тромбэндартерэктомия A16.12.026.018 Баллонная ангиопластика подвздошной артерии
A16.12.009 Тромбэндартерэктомия A16.12.028 Установка стента в сосуд
A16.12.038.006 Бедренно-подколенное шунтирование A16.12.026.002 Баллонная ангиопластика подколенной артерии и магистральных артерий голени
A16.12.038.006 Бедренно-подколенное шунтирование A16.12.026.004 Баллонная ангиопластика со стентированием подколенной артерии и магистральных артерий голени
A16.12.006.001 Удаление поверхностных вен нижней конечности A16.30.001 Оперативное лечение пахово-бедренной грыжи
A16.12.006.001 Удаление поверхностных вен нижней конечности A16.30.001.001 Оперативное лечение пахово-бедренной грыжи с использованием видеоэндоскопических технологий
A16.12.006.001 Удаление поверхностных вен нижней конечности A16.30.001.002 Оперативное лечение пахово-бедренной грыжи с использованием сетчатых имплантов
A16.14.009 Холецистэктомия A16.30.002 Оперативное лечение пупочной грыжи
A16.14.009 Холецистэктомия A16.30.002.001 Оперативное лечение пупочной грыжи с использованием видеоэндоскопических технологий
A16.14.009 Холецистэктомия A16.30.002.002 Оперативное лечение пупочной грыжи с использованием сетчатых имплантов
A16.14.009 Холецистэктомия A16.30.003 Оперативное лечение околопупочной грыжи
A16.14.009 Холецистэктомия A16.30.004 Оперативное лечение грыжи передней брюшной стенки
A16.14.009 Холецистэктомия A16.30.004.011 Оперативное лечение грыжи передней брюшной стенки с использованием сетчатых имплантов
A16.14.009.002 Холецистэктомия лапароскопическая A16.30.002 Оперативное лечение пупочной грыжи
A16.14.009.002 Холецистэктомия лапароскопическая A16.30.002.001 Оперативное лечение пупочной грыжи с использованием видеоэндоскопических технологий
A16.14.009.002 Холецистэктомия лапароскопическая A16.30.002.002 Оперативное лечение пупочной грыжи с использованием сетчатых имплантов
A16.14.009.002 Холецистэктомия лапароскопическая A16.30.003 Оперативное лечение околопупочной грыжи
A16.14.009.002 Холецистэктомия лапароскопическая A16.30.004 Оперативное лечение грыжи передней брюшной стенки
A16.14.009.002 Холецистэктомия лапароскопическая A16.30.004.011 Оперативное лечение грыжи передней брюшной стенки с использованием сетчатых имплантов
A16.14.009.001 Холецистэктомия малоинвазивная A16.30.002 Оперативное лечение пупочной грыжи
A16.14.009.001 Холецистэктомия малоинвазивная A16.30.002.001 Оперативное лечение пупочной грыжи с использованием видеоэндоскопических технологий
A16.14.009.001 Холецистэктомия малоинвазивная A16.30.002.002 Оперативное лечение пупочной грыжи с использованием сетчатых имплантов
A16.14.009.001 Холецистэктомия малоинвазивная A16.30.003 Оперативное лечение околопупочной грыжи
A16.14.009.001 Холецистэктомия малоинвазивная A16.30.004 Оперативное лечение грыжи передней брюшной стенки
A16.14.009.001 Холецистэктомия малоинвазивная A16.30.004.011 Оперативное лечение грыжи передней брюшной стенки с использованием сетчатых имплантов
A16.30.004.011 Оперативное лечение грыжи передней брюшной стенки с использованием сетчатых имплантов A16.30.001.002 Оперативное лечение пахово-бедренной грыжи с использованием сетчатых имплантов
A16.30.004.011 Оперативное лечение грыжи передней брюшной стенки с использованием сетчатых имплантов A16.30.001.001 Оперативное лечение пахово-бедренной грыжи с использованием видеоэндоскопических технологий
A16.30.002.001 Оперативное лечение пупочной грыжи с использованием видеоэндоскопических технологий A16.30.001.002 Оперативное лечение пахово-бедренной грыжи с использованием сетчатых имплантов
A16.30.002.001 Оперативное лечение пупочной грыжи с использованием видеоэндоскопических технологий A16.30.001.001 Оперативное лечение пахово-бедренной грыжи с использованием видеоэндоскопических технологий
A16.30.002.002 Оперативное лечение пупочной грыжи с использованием сетчатых имплантов A16.30.001.002 Оперативное лечение пахово-бедренной грыжи с использованием сетчатых имплантов
A16.30.002.002 Оперативное лечение пупочной грыжи с использованием сетчатых имплантов A16.30.001.001 Оперативное лечение пахово-бедренной грыжи с использованием видеоэндоскопических технологий
A16.30.003 Оперативное лечение околопупочной грыжи A16.30.001.002 Оперативное лечение пахово-бедренной грыжи с использованием сетчатых имплантов
A16.30.002 Оперативное лечение пупочной грыжи A16.30.001 Оперативное лечение пахово-бедренной грыжи
A16.30.002 Оперативное лечение пупочной грыжи A16.30.001.002 Оперативное лечение пахово-бедренной грыжи с использованием сетчатых имплантов
A16.30.004 Оперативное лечение грыжи передней брюшной стенки A16.30.001 Оперативное лечение пахово-бедренной грыжи
A16.30.004 Оперативное лечение грыжи передней брюшной стенки A16.30.001.002 Оперативное лечение пахово-бедренной грыжи с использованием сетчатых имплантов
A16.30.002 Оперативное лечение пупочной грыжи A16.16.033.001 Фундопликация лапароскопическая
A16.30.002 Оперативное лечение пупочной грыжи A16.09.026.004 Пластика диафрагмы с использованием видеоэндоскопических технологий
A16.09.026.004 Пластика диафрагмы с использованием видеоэндоскопических технологий A16.16.006.001 Бужирование пищевода эндоскопическое
A16.09.026.004 Пластика диафрагмы с использованием видеоэндоскопических технологий A16.16.032.002 Эндоскопическая кардиодилятация пищевода баллонным кардиодилятатором
A16.30.005.003 Устранение грыжи пищеводного отверстия диафрагмы с использованием видеоэндоскопических технологий A16.16.046.002 Лапароскопическая диафрагмокрурорафия
A16.30.005.003 Устранение грыжи пищеводного отверстия диафрагмы с использованием видеоэндоскопических технологий A16.16.033.001 Фундопликация лапароскопическая
A16.30.005.003 Устранение грыжи пищеводного отверстия диафрагмы с использованием видеоэндоскопических технологий A16.30.005.001 Пластика диафрагмы с использованием импланта
A16.01.031 Устранение рубцовой деформации A16.01.018 Удаление доброкачественных новообразований подкожно-жировой клетчатки
A16.01.031 Устранение рубцовой деформации A16.01.017.001 Удаление доброкачественных новообразований кожи методом электрокоагуляции
A16.01.031 Устранение рубцовой деформации A16.01.017 Удаление доброкачественных новообразований кожи
A16.01.013 Удаление сосудистой мальформации A16.01.018 Удаление доброкачественных новообразований подкожно-жировой клетчатки
A16.01.013 Удаление сосудистой мальформации A16.01.017 Удаление доброкачественных новообразований кожи
A16.01.013 Удаление сосудистой мальформации A16.01.017.001 Удаление доброкачественных новообразований кожи методом электрокоагуляции
A16.22.001 Гемитиреоидэктомия A16.14.009.002 Холецистэктомия лапароскопическая
A16.22.001 Гемитиреоидэктомия A16.30.001 Оперативное лечение пахово-бедренной грыжи
A16.22.001 Гемитиреоидэктомия A16.30.001.001 Оперативное лечение пахово-бедренной грыжи с использованием видеоэндоскопических технологий
A16.22.001 Гемитиреоидэктомия A16.30.001.002 Оперативное лечение пахово-бедренной грыжи с использованием сетчатых имплантов
A16.22.001 Гемитиреоидэктомия A16.30.002 Оперативное лечение пупочной грыжи
A16.22.001 Гемитиреоидэктомия A16.30.002.001 Оперативное лечение пупочной грыжи с использованием видеоэндоскопических технологий
A16.22.001 Гемитиреоидэктомия A16.30.002.002 Оперативное лечение пупочной грыжи с использованием сетчатых имплантов
A16.22.001 Гемитиреоидэктомия A16.30.004 Оперативное лечение грыжи передней брюшной стенки
A16.20.032 Резекция молочной железы A16.20.004 Сальпингэктомия лапаротомическая
A16.20.032 Резекция молочной железы A16.20.017 Удаление параовариальной кисты лапаротомическое
A16.20.032 Резекция молочной железы A16.20.061 Резекция яичника лапаротомическая
A16.20.043 Мастэктомия A16.20.011.002 Тотальная гистерэктомия (экстирпация матки) с придатками лапаротомическая
A16.18.016 Гемиколэктомия правосторонняя A16.14.030 Резекция печени атипичная
A16.20.005 Кесарево сечение A16.20.035 Миомэктомия (энуклеация миоматозных узлов) лапаротомическая
A16.20.005 Кесарево сечение A16.20.001 Удаление кисты яичника
A16.20.005 Кесарево сечение A16.20.061 Резекция яичника лапаротомическая
A16.20.005 Кесарево сечение A16.20.041 Стерилизация маточных труб лапаротомическая
A16.20.005 Кесарево сечение A16.20.039 Метропластика лапаротомическая
A16.20.005 Кесарево сечение A16.20.075 Перевязка маточных артерий
A16.20.014 Влагалищная тотальная гистерэктомия (экстирпация матки) с придатками A16.20.042.001 Слинговые операции при недержании мочи
A16.20.063.001 Влагалищная экстирпация матки с придатками с использованием видеоэндоскопических технологий A16.20.083 Кольпоперинеоррафия и леваторопластика
A16.20.063.001 Влагалищная экстирпация матки с придатками с использованием видеоэндоскопических технологий A16.20.042.001 Слинговые операции при недержании мочи
A16.20.083 Кольпоперинеоррафия и леваторопластика A16.20.042.001 Слинговые операции при недержании мочи
A16.16.033.001 Фундопликация лапароскопическая A16.14.009.002 Холецистэктомия лапароскопическая
A16.14.009.002 Холецистэктомия лапароскопическая A16.20.063.001 Влагалищная экстирпация матки с придатками с использованием видеоэндоскопических технологий
A16.18.009.001 Аппендэктомия с использованием видеоэндоскопических технологий A16.20.061.001 Резекция яичника с использованием видеоэндоскопических технологий
A16.18.009 Аппендэктомия A16.20.061 Резекция яичника лапаротомическая
A16.18.027 Эндоскопическое электрохирургическое удаление новообразования толстой кишки A16.19.017 Удаление полипа анального канала и прямой кишки
A16.18.027 Эндоскопическое электрохирургическое удаление новообразования толстой кишки A16.19.003.001 Иссечение анальной трещины
A16.18.027 Эндоскопическое электрохирургическое удаление новообразования толстой кишки A16.19.013 Удаление геморроидальных узлов
A16.19.013 Удаление геморроидальных узлов A16.19.003.001 Иссечение анальной трещины
A16.28.071.001 Иссечение кисты почки лапароскопическое A16.20.001.001 Удаление кисты яичника с использованием видеоэндоскопических технологий
A16.28.054 Трансуретральная уретеролитоэкстракция A16.28.003.001 Лапароскопическая резекция почки
A16.28.004.001 Лапароскопическая нефрэктомия A16.21.002 Трансуретральная резекция простаты
A16.21.002 Трансуретральная резекция простаты A16.28.085 Трансуретральная эндоскопическая цистолитотрипсия
A16.08.013.001 Пластика носовой перегородки с использованием видеоэндоскопических технологий A16.08.017.001 Гайморотомия с использованием видеоэндоскопических технологий
A16.26.093 Факоэмульсификация без интраокулярной линзы. Факофрагментация, факоаспирация A16.26.069 Трабекулотомия
A16.26.093 Факоэмульсификация без интраокулярной линзы. Факофрагментация, факоаспирация A16.26.073.003 Проникающая склерэктомия
A16.26.093 Факоэмульсификация без интраокулярной линзы. Факофрагментация, факоаспирация A16.26.115 Удаление силиконового масла (или иного высокомолекулярного соединения) из витреальной полости
A16.26.093 Факоэмульсификация без интраокулярной линзы. Факофрагментация, факоаспирация A16.26.146 Реконструкция угла передней камеры глаза
A16.26.093 Факоэмульсификация без интраокулярной линзы. Факофрагментация, факоаспирация A16.26.049 Кератопластика (трансплантация роговицы)
A16.26.093 Факоэмульсификация без интраокулярной линзы. Факофрагментация, факоаспирация A16.26.087 Замещение стекловидного тела
A16.26.093.002 Факоэмульсификация с имплантацией интраокулярной линзы A16.26.070 Модифицированная синустрабекулэктомия
A16.26.093.001 Факоэмульсификация с использованием фемтосекундного лазера A16.26.070 Модифицированная синустрабекулэктомия
A16.26.093.002 Факоэмульсификация с имплантацией интраокулярной линзы A16.26.049.005 Неавтоматизированная эндотекатопластика
A16.26.093.001 Факоэмульсификация с использованием фемтосекундного лазера A16.26.049.005 Неавтоматизированная эндотекатопластика
A16.26.049.008 Сквозная кератопластика A16.26.092 Экстракапсулярная экстракция катаракты с имплантацией ИОЛ
A16.26.049.004 Послойная кератопластика A16.26.093.002 Факоэмульсификация с имплантацией интраокулярной линзы
A16.26.049.004 Послойная кератопластика A16.26.093.001 Факоэмульсификация с использованием фемтосекундного лазера
A16.26.098 Энуклеация глазного яблока A16.26.041.001 Пластика конъюнктивальной полости с использованием свободного лоскута слизистой со щеки
A16.26.099 Эвисцерация глазного яблока A16.26.041.001 Пластика конъюнктивальной полости с использованием свободного лоскута слизистой со щеки
A16.26.106 Удаление инородного тела, новообразования из глазницы A16.26.111 Пластика века (блефаропластика) без и с пересадкой тканей
A16.26.111.001 Пластика верхних век без пересадки тканей чрескожным доступом A16.26.041.001 Пластика конъюнктивальной полости с использованием свободного лоскута слизистой со щеки
A16.26.145 Пластика опорнодвигательной культи при анофтальме A16.26.041.001 Пластика конъюнктивальной полости с использованием свободного лоскута слизистой со щеки
A07.26.001 Брахитерапия A22.26.015 Термотерапия новообразований сетчатки
A07.26.001 Брахитерапия A16.26.075.001 Склеропластика с использованием трансплантатов
A16.26.089.002 Витреоэктомия задняя субтотальная закрытая A16.26.093.001 Факоэмульсификация с использованием фемтосекундного лазера
A16.26.089.002 Витреоэктомия задняя субтотальная закрытая A16.26.093.002 Факоэмульсификация с имплантацией интраокулярной линзы
A16.26.089.002 Витреоэктомия задняя субтотальная закрытая A16.26.094 Имплантация интраокулярной линзы
A16.26.089.002 Витреоэктомия задняя субтотальная закрытая A16.26.082 Круговое эпиклеральное пломбирование
A16.26.115 Удаление силиконового масла (или иного высокомолекулярного соединения) из витреальной полости A16.26.093.002 Факоэмульсификация с имплантацией интраокулярной линзы
A16.26.115 Удаление силиконового масла (или иного высокомолекулярного соединения) из витреальной полости A16.26.094 Имплантация интраокулярной линзы
A16.26.094 Имплантация интраокулярной линзы A16.26.086.001 Интравитреальное введение лекарственных препаратов
A16.07.061.001 Хейлоринопластика (устранение врожденной расщелины верхней губы) A16.07.042 Пластика уздечки верхней губы
A16.07.061.001 Хейлоринопластика (устранение врожденной расщелины верхней губы) A16.07.044 Пластика уздечки языка
A16.07.016 Цистотомия или цистэктомия A16.07.042 Пластика уздечки верхней губы
A16.07.016 Цистотомия или цистэктомия A16.07.043 Пластика уздечки нижней губы
A16.07.066 Уранопластика (устранение врожденной расщелины твердого и мягкого неба) A16.07.042 Пластика уздечки верхней губы
A16.07.066 Уранопластика (устранение врожденной расщелины твердого и мягкого неба) A16.07.044 Пластика уздечки языка
A16.30.014 Экстирпация срединных кист и свищей шеи A16.01.018 Удаление доброкачественных новообразований подкожно-жировой клетчатки
A16.30.014 Экстирпация срединных кист и свищей шеи A16.01.017 Удаление доброкачественных новообразований кожи
A16.30.015 Экстирпация боковых свищей шеи A16.01.018 Удаление доброкачественных новообразований подкожно-жировой клетчатки
A16.30.015 Экстирпация боковых свищей шеи A16.01.017 Удаление доброкачественных новообразований кожи
A16.07.016 Цистотомия или цистэктомия A16.01.018 Удаление доброкачественных новообразований подкожно-жировой клетчатки

4.6. Проведение однотипных операций на парных органах

К данным операциям целесообразно относить операции на парных органах/частях тела, при выполнении которых необходимы, в том числе дорогостоящие расходные материалы. Перечень хирургических вмешательств, при проведении которых одновременно на двух парных органах может быть применен КСЛП, представлен в таблице:

Код услуги по Номенклатуре Наименование
A16.03.022.002 Остеосинтез титановой пластиной
A16.03.022.004 Интрамедуллярный стержневой остеосинтез
A16.03.022.005 Остеосинтез с использованием биодеградируемых материалов
A16.03.022.006 Интрамедуллярный блокируемый остеосинтез
A16.03.024.005 Реконструкция кости. Остеотомия кости с использованием комбинируемых методов фиксации
A16.03.024.007 Реконструкция кости. Корригирующая остеотомия при деформации стоп
A16.03.024.008 Реконструкция кости. Корригирующая остеотомия бедра
A16.03.024.009 Реконструкция кости. Корригирующая остеотомия голени
A16.03.024.010 Реконструкция кости при ложном суставе бедра
A16.03.033.002 Наложение наружных фиксирующих устройств с использованием компрессионно-дистракционного аппарата внешней фиксации
A16.04.014 Артропластика стопы и пальцев ноги
A16.12.006 Разрез, иссечение и закрытие вен нижней конечности
A16.12.006.001 Удаление поверхностных вен нижней конечности
A16.12.006.002 Подапоневротическая перевязка анастомозов между поверхностными и глубокими венами голени
A16.12.006.003 Диссекция перфорантных вен с использованием видеоэндоскопических технологий
A16.12.008.001 Эндартерэктомия каротидная
A16.12.008.002 Эндартерэктомия каротидная с пластикой
A16.12.012 Перевязка и обнажение варикозных вен
A16.20.032.007 Резекция молочной железы субтотальная с маммопластикой и эндопротезированием
A16.20.103 Отсроченная реконструкция молочной железы с использованием эндопротеза
A16.20.043.001 Мастэктомия подкожная с одномоментной алломаммопластикой
A16.20.043.002 Мастэктомия подкожная с одномоментной алломаммопластикой с различными вариантами кожно-мышечных лоскутов
A16.20.043.003 Мастэктомия радикальная с односторонней пластикой молочной железы с применением микрохирургической техники
A16.20.043.004 Мастэктомия расширенная модифицированная с пластическим закрытием дефекта грудной стенки
A16.20.045 Мастэктомия радикальная подкожная с алломаммопластикой
A16.20.047 Мастэктомия расширенная модифицированная с пластическим закрытием дефекта грудной стенки различными вариантами кожно-мышечных лоскутов
A16.20.048 Мастэктомия радикальная с реконструкцией TRAM-лоскутом
A16.20.049.001 Мастэктомия радикальная по Маддену с реконструкцией кожно-мышечным лоскутом и эндопротезированием
A16.26.007 Пластика слезных точек и слезных канальцев
A16.26.011 Зондирование слезных канальцев, активация слезных точек
A16.26.013 Удаление халязиона
A16.26.014 Удаление контагиозного моллюска, вскрытие малых ретенционных кист век и конъюнктивы, ячменя, абсцесса века
A16.26.018 Эпиляция ресниц
A16.26.019 Устранение эпикантуса
A16.26.020 Устранение энтропиона или эктропиона
A16.26.021 Коррекция блефароптоза
A16.26.021.001 Устранение птоза
A16.26.022 Коррекция блефарохалязиса
A16.26.023 Устранение блефароспазма
A16.26.025 Удаление новообразования век
A16.26.026 Ушивание раны века
A16.26.028 Миотомия, тенотомия глазной мышцы
A16.26.034 Удаление инородного тела конъюнктивы
A16.26.075 Склеропластика
A16.26.075.001 Склеропластика с использованием трансплантатов
A16.26.079 Реваскуляризация заднего сегмента глаза
A16.26.093.002 Факоэмульсификация с имплантацией интраокулярной линзы
A16.26.094 Имплантация интраокулярной линзы
A16.26.147 Ретросклеропломбирование
A22.26.004 Лазерная корепраксия, дисцизия задней капсулы хрусталика
A22.26.005 Лазерная иридэктомия
A22.26.006 Лазергониотрабекулопунктура
A22.26.007 Лазерный трабекулоспазис
A22.26.009 Фокальная лазерная коагуляция глазного дна
A22.26.010 Панретинальная лазерная коагуляция
A22.26.019 Лазерная гониодесцеметопунктура
A22.26.023 Лазерная трабекулопластика

Возможно применение КСЛП при одномоментном проведении диагностических и лечебных рентгенэндоваскулярных вмешательств в разных сосудистых бассейнах кровеносного русла, в том числе сочетание коронарографии и ангиографии.

Перечни сочетанных хирургических вмешательств и однотипных операций на парных органах могут быть дополнены в субъектах Российской Федерации (в том числе путем включения в него симультантных операций на различных органах) и должны быть утверждены тарифным соглашением.

Размер КСЛП для таких случаев рассчитывается таким образом, чтобы полностью компенсировать затраты на медикаменты и расходный материал, а также в отдельных случаях учесть необходимость более длительного пребывания в стационаре.

4.7. Случаи проведения антимикробной терапии инфекций, вызванных полирезистентными микроорганизмами

В случаях лечения пациентов в стационарных условиях при заболеваниях и их осложнениях, вызванных микроорганизмами с антибиотикорезистентностью, а также в случаях лечения по поводу инвазивных микозов применяется КСЛП в соответствии со всеми перечисленными критериями:

1) наличие инфекционного диагноза с кодом МКБ 10, вынесенного в клинический диагноз (столбец Расшифровки групп "Основной диагноз" или "Диагноз осложнения");

2) наличие результатов микробиологического исследования с определением чувствительности выделенных микроорганизмов к антибактериальным препаратам и/или детекции основных классов карбапенемаз (сериновые, металлобеталактамазы), подтверждающих обоснованность назначения схемы антибактериальной терапии (предполагается наличие результатов на момент завершения случая госпитализации, в том числе прерванного, при этом допускается назначение антимикробной терапии до получения результатов микробиологического исследования);

3) применение как минимум одного лекарственного препарата в парентеральной форме из перечня МНН в составе схем антибактериальной и/или антимикотической терапии в течение не менее чем 5 суток:

N п/п Перечень МНН МНН в перечне ЖНВЛП
1 Линезолид Да
2 Цефтаролина фосамил Да
3 Даптомицин Да
4 Телаванцин Да
5 Тедизолид Да
6 Далбаванцин Нет
7 Цефтазидим/авибактам Да
8 Цефтолозан/тазобактам Да
9 Тигециклин Да
10 Меропенем Да
11 Дорипенем Нет
12 Цефепим/сульбактам Нет
13 Фосфомицин (парентеральная форма) Да
15 Полимиксин В Нет
16 Азтреонам Нет
17 Вориконазол Да
18 Каспофунгин Да
19 Микафунгин Да
20 Флуконазол (парентеральная форма) Да
21 Липосомальный амфотерицин B Нет
22 Липидный комплекс амфотерицина B Нет
23 Анидулафунгин Нет

При этом в случае необходимости применения лекарственных препаратов, не входящих в перечень ЖНВЛП, решение об их назначении принимается врачебной комиссией.

Вопросы диагностики антибиотикорезистентности и назначения антимикробной терапии рассмотрены в методических рекомендациях, разработанных и принятых общественными организациями: Российская некоммерческая общественная организация "Ассоциация анестезиологов-реаниматологов", Межрегиональная общественная организация "Альянс клинических химиотерапевтов и микробиологов", Межрегиональная ассоциация по клинической микробиологии и антимикробной химиотерапии (МАКМАХ), общественная организация "Российский Сепсис Форум".

4.8. Случаи проведения иммунизации против респираторно-синцитиальной вирусной (РСВ) инфекции на фоне лечения нарушений, возникающих в перинатальном периоде

КСЛП применяется в случаях если сроки проведения первой иммунизации против респираторно-синцитиальной вирусной (РСВ) инфекции совпадают по времени с госпитализацией по поводу лечения нарушений, возникающих в перинатальном периоде, являющихся показанием к иммунизации.

4.9. Проведение молекулярно-генетического и/или иммуногистохимического исследования в целях диагностики злокачественных новообразований

КСЛП применяется при проведении молекулярно-генетического и/или иммуногистохимического исследования в ходе случаев диагностики злокачественных новообразований в стационарных условиях, в том числе в случаях госпитализации по поводу хирургического лечения. Применение КСЛП возможно как при проведении молекулярно-генетического или иммуногистохимического исследования по отдельности, так и при проведении обоих указанных исследований.

4.10. Случаи проведения отдельных этапов экстракорпорального оплодотворения (ЭКО)

В рамках проведения процедуры ЭКО в соответствии с порядком использования вспомогательных репродуктивных технологий выделяются следующие этапы:

1. Стимуляция суперовуляции;

2. Получение яйцеклетки;

3. Экстракорпоральное оплодотворение и культивирование эмбрионов;

4. Внутриматочное введение (перенос) эмбрионов.

Дополнительно в процессе проведения процедуры ЭКО возможно осуществление криоконсервации, полученных на III этапе, эмбрионов.

В случае проведения в рамках случая госпитализации всех четырех этапов ЭКО без осуществления криоконсервации эмбрионов, а также проведения первых трех этапов ЭКО с последующей криоконсервацией эмбрионов без переноса эмбрионов, оплата случая осуществляется по КСГ ds02.005 "Экстракорпоральное оплодотворение" без применения КСЛП.

В случае если базовая программа ЭКО была завершена по итогам I этапа (стимуляция суперовуляции), I - II этапов (получение яйцеклетки), I - III этапов (экстракорпоральное оплодотворение и культивирование эмбрионов) без последующей криоконсервации эмбрионов, к КСГ ds02.005 применяется КСЛП в размере 0,6.

В случае проведения в рамках одного случая всех этапов ЭКО с последующей криоконсервацией эмбрионов, к КСГ применяется повышающий КСЛП в размере 1,1.

При этом хранение криоконсервированных эмбрионов за счет средств обязательного медицинского страхования не осуществляется. В случае, если женщина повторно проходит процедуру ЭКО с применением ранее криоконсервированных эмбрионов, случай госпитализации оплачивается по КСГ ds02.005 с применением КСЛП в размере 0,19.

Субъектам Российской Федерации необходимо организовать учет проведенных этапов экстракорпорального оплодотворения аналогично учету иных КСЛП. Для этого в реестрах счетов на оплату медицинской помощи для данных случаев дополнительно вводится критерий, на основании которого определяется необходимый коэффициент КСЛП и рассчитывается стоимость случая по КСГ с учетом КСЛП.

Субъекты Российской Федерации также вправе применять принцип выделения подгрупп в рамках КСГ ds02.005 с установлением соответствующих коэффициентов относительной затратоемкости, рассчитанных исходя из значений КСЛП. В данном случае КСЛП к выделяемым подгруппам дополнительно не применяется.

5. Оплата прерванных случаев оказания медицинской помощи

К прерванным случаям оказания медицинской помощи относятся случаи при переводе пациента в другую медицинскую организацию, преждевременной выписке пациента из медицинской организации при его письменном отказе от дальнейшего лечения, летальном исходе, а также при проведении диагностических исследований.

К прерванным также относятся случаи, при которых длительность госпитализации составляет менее 3 дней включительно, за исключением законченных случаев, для которых длительность 3 дня и менее являются оптимальными сроками лечения. Перечень КСГ, по которым оплата медицинской помощи осуществляется в полном объеме при длительности госпитализации 3 дня и менее, представлен в таблице.

Таблица

N КСГ Наименование КСГ
Круглосуточный стационар
st02.001 Осложнения, связанные с беременностью
st02.002 Беременность, закончившаяся абортивным исходом
st02.003 Родоразрешение
st02.004 Кесарево сечение
st02.010 Операции на женских половых органах (уровень 1)
st02.011 Операции на женских половых органах (уровень 2)
st03.002 Ангионевротический отек, анафилактический шок
st05.008 Лекарственная терапия при доброкачественных заболеваниях крови и пузырном заносе <*>
st08.001 Лекарственная терапия при злокачественных новообразованиях других локализаций (кроме лимфоидной и кроветворной тканей), дети <*>
st08.002 Лекарственная терапия при остром лейкозе, дети <*>
st08.003 Лекарственная терапия при других злокачественных новообразованиях лимфоидной и кроветворной тканей, дети <*>
st12.010 Респираторные инфекции верхних дыхательных путей с осложнениями, взрослые
st12.011 Респираторные инфекции верхних дыхательных путей, дети
st14.002 Операции на кишечнике и анальной области (уровень 2)
st15.008 Неврологические заболевания, лечение с применением ботулотоксина (уровень 1) <*>
st15.009 Неврологические заболевания, лечение с применением ботулотоксина (уровень 2) <*>
st16.005 Сотрясение головного мозга
st19.007 Операции при злокачественных новообразованиях почки и мочевыделительной системы (уровень 2)
st19.027 Лекарственная терапия при злокачественных новообразованиях (кроме лимфоидной и кроветворной тканей), взрослые (уровень 1) <*>
st19.028 Лекарственная терапия при злокачественных новообразованиях (кроме лимфоидной и кроветворной тканей), взрослые (уровень 2) <*>
st19.029 Лекарственная терапия при злокачественных новообразованиях (кроме лимфоидной и кроветворной тканей), взрослые (уровень 3) <*>
st19.030 Лекарственная терапия при злокачественных новообразованиях (кроме лимфоидной и кроветворной тканей), взрослые (уровень 4) <*>
st19.031 Лекарственная терапия при злокачественных новообразованиях (кроме лимфоидной и кроветворной тканей), взрослые (уровень 5) <*>
st19.032 Лекарственная терапия при злокачественных новообразованиях (кроме лимфоидной и кроветворной тканей), взрослые (уровень 6) <*>
st19.033 Лекарственная терапия при злокачественных новообразованиях (кроме лимфоидной и кроветворной тканей), взрослые (уровень 7) <*>
st19.034 Лекарственная терапия при злокачественных новообразованиях (кроме лимфоидной и кроветворной тканей), взрослые (уровень 8) <*>
st19.035 Лекарственная терапия при злокачественных новообразованиях (кроме лимфоидной и кроветворной тканей), взрослые (уровень 9) <*>
st19.036 Лекарственная терапия при злокачественных новообразованиях (кроме лимфоидной и кроветворной тканей), взрослые (уровень 10) <*>
st19.056 Лекарственная терапия при злокачественных новообразованиях (кроме лимфоидной и кроветворной тканей), взрослые (уровень 11) <*>
st19.057 Лекарственная терапия при злокачественных новообразованиях (кроме лимфоидной и кроветворной тканей), взрослые (уровень 12) <*>
st19.058 Лекарственная терапия при злокачественных новообразованиях (кроме лимфоидной и кроветворной тканей), взрослые (уровень 13) <*>
st19.059 Лекарственная терапия при остром лейкозе, взрослые <*>
st19.060 Лекарственная терапия при других злокачественных новообразованиях лимфоидной и кроветворной тканей, взрослые <*>
st19.061 Лекарственная терапия злокачественных новообразований лимфоидной и кроветворной тканей с применением моноклональных антител, ингибиторов протеинкиназы <*>
st19.038 Установка, замена порт-системы (катетера) для лекарственной терапии злокачественных новообразований
st20.005 Операции на органе слуха, придаточных пазухах носа и верхних дыхательных путях (уровень 1)
st20.006 Операции на органе слуха, придаточных пазухах носа и верхних дыхательных путях (уровень 2)
st20.010 Замена речевого процессора
st21.001 Операции на органе зрения (уровень 1)
st21.002 Операции на органе зрения (уровень 2)
st21.003 Операции на органе зрения (уровень 3)
st21.004 Операции на органе зрения (уровень 4)
st21.005 Операции на органе зрения (уровень 5)
st21.006 Операции на органе зрения (уровень 6)
st25.004 Диагностическое обследование сердечно-сосудистой системы
st27.012 Отравления и другие воздействия внешних причин
st30.006 Операции на мужских половых органах, взрослые (уровень 1)
st30.010 Операции на почке и мочевыделительной системе, взрослые (уровень 1)
st30.011 Операции на почке и мочевыделительной системе, взрослые (уровень 2)
st30.012 Операции на почке и мочевыделительной системе, взрослые (уровень 3)
st30.014 Операции на почке и мочевыделительной системе, взрослые (уровень 5)
st31.017 Доброкачественные новообразования, новообразования in situ кожи, жировой ткани и другие болезни кожи
st32.002 Операции на желчном пузыре и желчевыводящих путях (уровень 2)
st32.012 Аппендэктомия, взрослые (уровень 2)
st32.016 Другие операции на органах брюшной полости (уровень 1)
st34.002 Операции на органах полости рта (уровень 1)
st36.001 Комплексное лечение с применением препаратов иммуноглобулина <*>
st36.003 Лечение с применением генно-инженерных биологических препаратов и селективных иммунодепрессантов <*>
st36.007 Установка, замена, заправка помп для лекарственных препаратов
st36.009 Реинфузия аутокрови
st36.010 Баллонная внутриаортальная контрпульсация
st36.011 Экстракорпоральная мембранная оксигенация
Дневной стационар
ds02.001 Осложнения беременности, родов, послеродового периода
ds02.006 Искусственное прерывание беременности (аборт)
ds02.007 Аборт медикаментозный
ds05.005 Лекарственная терапия при доброкачественных заболеваниях крови и пузырном заносе <*>
ds08.001 Лекарственная терапия при злокачественных новообразованиях других локализаций (кроме лимфоидной и кроветворной тканей), дети <*>
ds08.002 Лекарственная терапия при остром лейкозе, дети <*>
ds08.003 Лекарственная терапия при других злокачественных новообразованиях лимфоидной и кроветворной тканей, дети <*>
ds15.002 Неврологические заболевания, лечение с применением ботулотоксина (уровень 1) <*>
ds15.003 Неврологические заболевания, лечение с применением ботулотоксина (уровень 2) <*>
ds19.018 Лекарственная терапия при злокачественных новообразованиях (кроме лимфоидной и кроветворной тканей), взрослые (уровень 1) <*>
ds19.019 Лекарственная терапия при злокачественных новообразованиях (кроме лимфоидной и кроветворной тканей), взрослые (уровень 2) <*>
ds19.020 Лекарственная терапия при злокачественных новообразованиях (кроме лимфоидной и кроветворной тканей), взрослые (уровень 3) <*>
ds19.021 Лекарственная терапия при злокачественных новообразованиях (кроме лимфоидной и кроветворной тканей), взрослые (уровень 4) <*>
ds19.022 Лекарственная терапия при злокачественных новообразованиях (кроме лимфоидной и кроветворной тканей), взрослые (уровень 5) <*>
ds19.023 Лекарственная терапия при злокачественных новообразованиях (кроме лимфоидной и кроветворной тканей), взрослые (уровень 6) <*>
ds19.024 Лекарственная терапия при злокачественных новообразованиях (кроме лимфоидной и кроветворной тканей), взрослые (уровень 7) <*>
ds19.025 Лекарственная терапия при злокачественных новообразованиях (кроме лимфоидной и кроветворной тканей), взрослые (уровень 8) <*>
ds19.026 Лекарственная терапия при злокачественных новообразованиях (кроме лимфоидной и кроветворной тканей), взрослые (уровень 9) <*>
ds19.027 Лекарственная терапия при злокачественных новообразованиях (кроме лимфоидной и кроветворной тканей), взрослые (уровень 10) <*>
ds19.030 Лекарственная терапия при злокачественных новообразованиях (кроме лимфоидной и кроветворной тканей), взрослые (уровень 11) <*>
ds19.031 Лекарственная терапия при злокачественных новообразованиях (кроме лимфоидной и кроветворной тканей), взрослые (уровень 12) <*>
ds19.032 Лекарственная терапия при злокачественных новообразованиях (кроме лимфоидной и кроветворной тканей), взрослые (уровень 13) <*>
ds19.034 Лекарственная терапия при остром лейкозе, взрослые <*>
ds19.035 Лекарственная терапия при других злокачественных новообразованиях лимфоидной и кроветворной тканей, взрослые <*>
ds19.036 Лекарственная терапия злокачественных новообразований лимфоидной и кроветворной тканей с применением моноклональных антител, ингибиторов протеинкиназы <*>
ds19.028 Установка, замена порт-системы (катетера) для лекарственной терапии злокачественных новообразований
ds19.029 Госпитализация в диагностических целях с постановкой/подтверждением диагноза злокачественного новообразования с использованием ПЭТ КТ
ds19.033 Госпитализация в диагностических целях с проведением биопсии и последующим проведением молекулярно-генетического и/или иммуногистохимического исследования
ds20.002 Операции на органе слуха, придаточных пазухах носа и верхних дыхательных путях (уровень 1)
ds20.003 Операции на органе слуха, придаточных пазухах носа и верхних дыхательных путях (уровень 2)
ds20.006 Замена речевого процессора
ds21.002 Операции на органе зрения (уровень 1)
ds21.003 Операции на органе зрения (уровень 2)
ds21.004 Операции на органе зрения (уровень 3)
ds21.005 Операции на органе зрения (уровень 4)
ds21.006 Операции на органе зрения (уровень 5)
ds25.001 Диагностическое обследование сердечно-сосудистой системы
ds27.001 Отравления и другие воздействия внешних причин
ds34.002 Операции на органах полости рта (уровень 1)
ds36.001 Комплексное лечение с применением препаратов иммуноглобулина <*>
ds36.004 Лечение с применением генно-инженерных биологических препаратов и селективных иммунодепрессантов <*>

<*> При условии соблюдения режима введения лекарственных препаратов согласно инструкциям по применению лекарственных препаратов для медицинского применения.

Данный перечень групп, являющихся исключениями, может быть дополнен в субъекте Российской Федерации с учетом фактически сложившейся длительности лечения и мероприятий по оптимизации длительности лечения.

В случае если пациенту было выполнено хирургическое вмешательство и (или) проведена тромболитическая терапия, являющиеся классификационным критерием отнесения данного случая лечения к конкретной КСГ, случай оплачивается в размере:

- при длительности лечения 3 дня и менее - от 80 до 90% от стоимости КСГ или КПГ;

- при длительности лечения более 3-х дней - от 80 до 100% от стоимости КСГ или КПГ.

Если хирургическое вмешательство и (или) тромболитическая терапия не проводились, случай оплачивается в размере:

- при длительности лечения 3 дня и менее - не более 50% от стоимости КСГ или КПГ;

- при длительности лечения более 3-х дней - от 50 до 100% от стоимости КСГ или КПГ.

Конкретная доля оплаты данных случаев устанавливается в тарифном соглашении.

Перечень КСГ круглосуточно стационара, которые предполагают хирургическое вмешательство или тромболитическую терапию

N КСГ Наименование КСГ
st02.003 Родоразрешение
st02.004 Кесарево сечение
st02.010 Операции на женских половых органах (уровень 1)
st02.011 Операции на женских половых органах (уровень 2)
st02.012 Операции на женских половых органах (уровень 3)
st02.013 Операции на женских половых органах (уровень 4)
st09.001 Операции на мужских половых органах, дети (уровень 1)
st09.002 Операции на мужских половых органах, дети (уровень 2)
st09.003 Операции на мужских половых органах, дети (уровень 3)
st09.004 Операции на мужских половых органах, дети (уровень 4)
st09.005 Операции на почке и мочевыделительной системе, дети (уровень 1)
st09.006 Операции на почке и мочевыделительной системе, дети (уровень 2)
st09.007 Операции на почке и мочевыделительной системе, дети (уровень 3)
st09.008 Операции на почке и мочевыделительной системе, дети (уровень 4)
st09.009 Операции на почке и мочевыделительной системе, дети (уровень 5)
st09.010 Операции на почке и мочевыделительной системе, дети (уровень 6)
st10.001 Детская хирургия (уровень 1)
st10.002 Детская хирургия (уровень 2)
st10.003 Аппендэктомия, дети (уровень 1)
st10.004 Аппендэктомия, дети (уровень 2)
st10.005 Операции по поводу грыж, дети (уровень 1)
st10.006 Операции по поводу грыж, дети (уровень 2)
st10.007 Операции по поводу грыж, дети (уровень 3)
st13.002 Нестабильная стенокардия, инфаркт миокарда, легочная эмболия (уровень 2)
st13.003 Инфаркт миокарда, легочная эмболия, лечение с применением тромболитической терапии
st13.005 Нарушения ритма и проводимости (уровень 2)
st13.007 Эндокардит, миокардит, перикардит, кардиомиопатии (уровень 2)
st14.001 Операции на кишечнике и анальной области (уровень 1)
st14.002 Операции на кишечнике и анальной области (уровень 2)
st14.003 Операции на кишечнике и анальной области (уровень 3)
st15.015 Инфаркт мозга (уровень 2)
st15.016 Инфаркт мозга (уровень 3)
st16.007 Операции на центральной нервной системе и головном мозге (уровень 1)
st16.008 Операции на центральной нервной системе и головном мозге (уровень 2)
st16.009 Операции на периферической нервной системе (уровень 1)
st16.010 Операции на периферической нервной системе (уровень 2)
st16.011 Операции на периферической нервной системе (уровень 3)
st18.002 Формирование, имплантация, реконструкция, удаление, смена доступа для диализа
st19.001 Операции на женских половых органах при злокачественных новообразованиях (уровень 1)
st19.002 Операции на женских половых органах при злокачественных новообразованиях (уровень 2)
st19.003 Операции на женских половых органах при злокачественных новообразованиях (уровень 3)
st19.004 Операции на кишечнике и анальной области при злокачественных новообразованиях (уровень 1)
st19.005 Операции на кишечнике и анальной области при злокачественных новообразованиях (уровень 2)
st19.006 Операции при злокачественных новообразованиях почки и мочевыделительной системы (уровень 1)
st19.007 Операции при злокачественных новообразованиях почки и мочевыделительной системы (уровень 2)
st19.008 Операции при злокачественных новообразованиях почки и мочевыделительной системы (уровень 3)
st19.009 Операции при злокачественных новообразованиях кожи (уровень 1)
st19.010 Операции при злокачественных новообразованиях кожи (уровень 2)
st19.011 Операции при злокачественных новообразованиях кожи (уровень 3)
st19.012 Операции при злокачественном новообразовании щитовидной железы (уровень 1)
st19.013 Операции при злокачественном новообразовании щитовидной железы (уровень 2)
st19.014 Мастэктомия, другие операции при злокачественном новообразовании молочной железы (уровень 1)
st19.015 Мастэктомия, другие операции при злокачественном новообразовании молочной железы (уровень 2)
st19.016 Операции при злокачественном новообразовании желчного пузыря, желчных протоков (уровень 1)
st19.017 Операции при злокачественном новообразовании желчного пузыря, желчных протоков (уровень 2)
st19.018 Операции при злокачественном новообразовании пищевода, желудка (уровень 1)
st19.019 Операции при злокачественном новообразовании пищевода, желудка (уровень 2)
st19.020 Операции при злокачественном новообразовании пищевода, желудка (уровень 3)
st19.021 Другие операции при злокачественном новообразовании брюшной полости
st19.022 Операции на органе слуха, придаточных пазухах носа и верхних дыхательных путях при злокачественных новообразованиях
st19.023 Операции на нижних дыхательных путях и легочной ткани при злокачественных новообразованиях (уровень 1)
st19.024 Операции на нижних дыхательных путях и легочной ткани при злокачественных новообразованиях (уровень 2)
st19.025 Операции при злокачественных новообразованиях мужских половых органов (уровень 1)
st19.026 Операции при злокачественных новообразованиях мужских половых органов (уровень 2)
st19.038 Установка, замена порт-системы (катетера) для лекарственной терапии злокачественных новообразований
st20.005 Операции на органе слуха, придаточных пазухах носа и верхних дыхательных путях (уровень 1)
st20.006 Операции на органе слуха, придаточных пазухах носа и верхних дыхательных путях (уровень 2)
st20.007 Операции на органе слуха, придаточных пазухах носа и верхних дыхательных путях (уровень 3)
st20.008 Операции на органе слуха, придаточных пазухах носа и верхних дыхательных путях (уровень 4)
st20.009 Операции на органе слуха, придаточных пазухах носа и верхних дыхательных путях (уровень 5)
st20.010 Замена речевого процессора
st21.001 Операции на органе зрения (уровень 1)
st21.002 Операции на органе зрения (уровень 2)
st21.003 Операции на органе зрения (уровень 3)
st21.004 Операции на органе зрения (уровень 4)
st21.005 Операции на органе зрения (уровень 5)
st21.006 Операции на органе зрения (уровень 6)
st24.004 Ревматические болезни сердца (уровень 2)
st25.004 Диагностическое обследование сердечно-сосудистой системы
st25.005 Операции на сердце и коронарных сосудах (уровень 1)
st25.006 Операции на сердце и коронарных сосудах (уровень 2)
st25.007 Операции на сердце и коронарных сосудах (уровень 3)
st25.008 Операции на сосудах (уровень 1)
st25.009 Операции на сосудах (уровень 2)
st25.010 Операции на сосудах (уровень 3)
st25.011 Операции на сосудах (уровень 4)
st25.012 Операции на сосудах (уровень 5)
st27.007 Стенокардия (кроме нестабильной), хроническая ишемическая болезнь сердца (уровень 2)
st27.009 Другие болезни сердца (уровень 2)
st28.002 Операции на нижних дыхательных путях и легочной ткани, органах средостения (уровень 1)
st28.003 Операции на нижних дыхательных путях и легочной ткани, органах средостения (уровень 2)
st28.004 Операции на нижних дыхательных путях и легочной ткани, органах средостения (уровень 3)
st28.005 Операции на нижних дыхательных путях и легочной ткани, органах средостения (уровень 4)
st29.008 Эндопротезирование суставов
st29.009 Операции на костно-мышечной системе и суставах (уровень 1)
st29.010 Операции на костно-мышечной системе и суставах (уровень 2)
st29.011 Операции на костно-мышечной системе и суставах (уровень 3)
st29.012 Операции на костно-мышечной системе и суставах (уровень 4)
st29.013 Операции на костно-мышечной системе и суставах (уровень 5)
st30.006 Операции на мужских половых органах, взрослые (уровень 1)
st30.007 Операции на мужских половых органах, взрослые (уровень 2)
st30.008 Операции на мужских половых органах, взрослые (уровень 3)
st30.009 Операции на мужских половых органах, взрослые (уровень 4)
st30.010 Операции на почке и мочевыделительной системе, взрослые (уровень 1)
st30.011 Операции на почке и мочевыделительной системе, взрослые (уровень 2)
st30.012 Операции на почке и мочевыделительной системе, взрослые (уровень 3)
st30.013 Операции на почке и мочевыделительной системе, взрослые (уровень 4)
st30.014 Операции на почке и мочевыделительной системе, взрослые (уровень 5)
st30.015 Операции на почке и мочевыделительной системе, взрослые (уровень 6)
st31.002 Операции на коже, подкожной клетчатке, придатках кожи (уровень 1)
st31.003 Операции на коже, подкожной клетчатке, придатках кожи (уровень 2)
st31.004 Операции на коже, подкожной клетчатке, придатках кожи (уровень 3)
st31.005 Операции на коже, подкожной клетчатке, придатках кожи (уровень 4)
st31.006 Операции на органах кроветворения и иммунной системы (уровень 1)
st31.007 Операции на органах кроветворения и иммунной системы (уровень 2)
st31.008 Операции на органах кроветворения и иммунной системы (уровень 3)
st31.009 Операции на эндокринных железах кроме гипофиза (уровень 1)
st31.010 Операции на эндокринных железах кроме гипофиза (уровень 2)
st31.015 Остеомиелит (уровень 3)
st31.019 Операции на молочной железе (кроме злокачественных новообразований)
st32.001 Операции на желчном пузыре и желчевыводящих путях (уровень 1)
st32.002 Операции на желчном пузыре и желчевыводящих путях (уровень 2)
st32.003 Операции на желчном пузыре и желчевыводящих путях (уровень 3)
st32.004 Операции на желчном пузыре и желчевыводящих путях (уровень 4)
st32.005 Операции на печени и поджелудочной железе (уровень 1)
st32.006 Операции на печени и поджелудочной железе (уровень 2)
st32.007 Панкреатит, хирургическое лечение
st32.008 Операции на пищеводе, желудке, двенадцатиперстной кишке (уровень 1)
st32.009 Операции на пищеводе, желудке, двенадцатиперстной кишке (уровень 2)
st32.010 Операции на пищеводе, желудке, двенадцатиперстной кишке (уровень 3)
st32.011 Аппендэктомия, взрослые (уровень 1)
st32.012 Аппендэктомия, взрослые (уровень 2)
st32.013 Операции по поводу грыж, взрослые (уровень 1)
st32.014 Операции по поводу грыж, взрослые (уровень 2)
st32.015 Операции по поводу грыж, взрослые (уровень 3)
st32.016 Другие операции на органах брюшной полости (уровень 1)
st32.017 Другие операции на органах брюшной полости (уровень 2)
st32.018 Другие операции на органах брюшной полости (уровень 3)
st34.002 Операции на органах полости рта (уровень 1)
st34.003 Операции на органах полости рта (уровень 2)
st34.004 Операции на органах полости рта (уровень 3)
st34.005 Операции на органах полости рта (уровень 4)
st36.009 Реинфузия аутокрови
st36.010 Баллонная внутриаортальная контрпульсация
st36.011 Экстракорпоральная мембранная оксигенация

Перечень КСГ дневного стационара, которые предполагают хирургическое вмешательство или тромболитическую терапию

N КСГ Наименование КСГ
ds02.006 Искусственное прерывание беременности (аборт)
ds02.003 Операции на женских половых органах (уровень 1)
ds02.004 Операции на женских половых органах (уровень 2)
ds09.001 Операции на мужских половых органах, дети
ds09.002 Операции на почке и мочевыделительной системе, дети
ds10.001 Операции по поводу грыж, дети
ds13.002 Болезни системы кровообращения с применением инвазивных методов
ds14.001 Операции на кишечнике и анальной области (уровень 1)
ds14.002 Операции на кишечнике и анальной области (уровень 2)
ds16.002 Операции на периферической нервной системе
ds18.003 Формирование, имплантация, удаление, смена доступа для диализа
ds19.016 Операции при злокачественных новообразованиях кожи (уровень 1)
ds19.017 Операции при злокачественных новообразованиях кожи (уровень 2)
ds19.028 Установка, замена порт-системы (катетера) для лекарственной терапии злокачественных новообразований
ds20.002 Операции на органе слуха, придаточных пазухах носа и верхних дыхательных путях (уровень 1)
ds20.003 Операции на органе слуха, придаточных пазухах носа и верхних дыхательных путях (уровень 2)
ds20.004 Операции на органе слуха, придаточных пазухах носа и верхних дыхательных путях (уровень 3)
ds20.005 Операции на органе слуха, придаточных пазухах носа и верхних дыхательных путях (уровень 4)
ds20.006 Замена речевого процессора
ds21.002 Операции на органе зрения (уровень 1)
ds21.003 Операции на органе зрения (уровень 2)
ds21.004 Операции на органе зрения (уровень 3)
ds21.005 Операции на органе зрения (уровень 4)
ds21.006 Операции на органе зрения (уровень 5)
ds25.001 Диагностическое обследование сердечно-сосудистой системы
ds25.002 Операции на сосудах (уровень 1)
ds25.003 Операции на сосудах (уровень 2)
ds28.001 Операции на нижних дыхательных путях и легочной ткани, органах средостения
ds29.001 Операции на костно-мышечной системе и суставах (уровень 1)
ds29.002 Операции на костно-мышечной системе и суставах (уровень 2)
ds29.003 Операции на костно-мышечной системе и суставах (уровень 3)
ds30.002 Операции на мужских половых органах, взрослые (уровень 1)
ds30.003 Операции на мужских половых органах, взрослые (уровень 2)
ds30.004 Операции на почке и мочевыделительной системе, взрослые (уровень 1)
ds30.005 Операции на почке и мочевыделительной системе, взрослые (уровень 2)
ds30.006 Операции на почке и мочевыделительной системе, взрослые (уровень 3)
ds31.002 Операции на коже, подкожной клетчатке, придатках кожи (уровень 1)
ds31.003 Операции на коже, подкожной клетчатке, придатках кожи (уровень 2)
ds31.004 Операции на коже, подкожной клетчатке, придатках кожи (уровень 3)
ds31.005 Операции на органах кроветворения и иммунной системы
ds31.006 Операции на молочной железе
ds32.001 Операции на пищеводе, желудке, двенадцатиперстной кишке (уровень 1)
ds32.002 Операции на пищеводе, желудке, двенадцатиперстной кишке (уровень 2)
ds32.003 Операции по поводу грыж, взрослые (уровень 1)
ds32.004 Операции по поводу грыж, взрослые (уровень 2)
ds32.005 Операции по поводу грыж, взрослые (уровень 3)
ds32.006 Операции на желчном пузыре и желчевыводящих путях
ds32.007 Другие операции на органах брюшной полости (уровень 1)
ds32.008 Другие операции на органах брюшной полости (уровень 2)
ds34.002 Операции на органах полости рта (уровень 1)
ds34.003 Операции на органах полости рта (уровень 2)

5.1. Особенности оплаты прерванных случаев проведения лекарственной терапии при злокачественных новообразованиях

В случае, если фактическое количество дней введения в рамках прерванного случая соответствует количеству дней введения в тарифе, предусмотренному в описании схемы лекарственной терапии, оплата случаев лечения осуществляется в полном объеме по соответствующей КСГ.

В случае, если фактическое количество дней введения меньше предусмотренного в описании схемы лекарственной терапии, оплата осуществляется аналогично случаям лечения, когда хирургическое вмешательство и (или) тромболитическая терапия не проводились.

5.2. Особенности оплаты прерванных случаев проведения лучевой терапии, в том числе в сочетании с лекарственной терапией

Учитывая, что проведение лучевой терапии предусмотрено начиная с одной фракции, оплата случаев лечения осуществляется путем отнесения случая к соответствующей КСГ исходя из фактически проведенного количества дней облучения (фракций).

Прерванные случаи проведения лучевой терапии в сочетании с лекарственной терапией подлежат оплате аналогично случаям лечения, когда хирургическое лечение и (или) тромболитическая терапия не проводились.

6. Оплата по двум КСГ в рамках одного пролеченного случая

Оплата больных, переведенных в пределах стационара из одного отделения в другое, производится в рамках одного случая лечения по КСГ с наибольшим размером оплаты, за исключением случаев перевода пациента из отделения в отделение медицинской организации, обусловленного возникновением нового заболевания или состояния, входящего в другой класс МКБ 10 и не являющегося следствием закономерного прогрессирования основного заболевания, внутрибольничной инфекции или осложнением основного заболевания. Такие случаи целесообразно оплачивать по двум КСГ. Например, при выполнении новорожденным оперативных вмешательств из КСГ st10.001 "Детская хирургия (уровень 1)" в период пребывания в стационаре в связи с низкой и крайне низкой массой тела предполагается оплата по двум КСГ.

Оплата одного пролеченного случая по двум КСГ: st02.001 "Осложнения, связанные с беременностью" и st02.003 "Родоразрешение", st02.001 "Осложнения, связанные с беременностью" и st02.004 "Кесарево сечение" возможна при дородовой госпитализации пациентки в отделение патологии беременности в случае пребывания в отделении патологии беременности в течение 6 дней и более с последующим родоразрешением.

При этом оплата по 2 КСГ возможна в случае пребывания в отделении патологии беременности не менее 2 дней при оказании медицинской помощи по следующим МКБ 10:

O14.1 Тяжелая преэклампсия.

O34.2 Послеоперационный рубец матки, требующий предоставления медицинской помощи матери.

O36.3 Признаки внутриутробной гипоксии плода, требующие предоставления медицинской помощи матери.

O36.4 Внутриутробная гибель плода, требующая предоставления медицинской помощи матери.

O42.2 Преждевременный разрыв плодных оболочек, задержка родов, связанная с проводимой терапией.

Оплата по двум КСГ осуществляется также в следующих случаях лечения в одной медицинской организации по заболеваниям, относящимся к одному классу МКБ 10:

- проведение медицинской реабилитации пациента после завершения лечения в той же медицинской организации по поводу заболевания, по которому осуществлялось лечение;

- случаи оказания медицинской помощи, связанные с установкой, заменой порт-системы (катетера) для лекарственной терапии злокачественных новообразований с последующим проведением лекарственной терапии или после хирургического лечения в рамках одной госпитализации;

- этапное хирургическое лечение при злокачественных новообразованиях, не предусматривающее выписку пациента из стационара (например: удаление первичной опухоли кишечника с формированием колостомы (операция 1) и закрытие ранее сформированной колостомы (операция 2));

- проведение реинфузии аутокрови, или баллонной внутриаортальной контрпульсации, или экстракорпоральной мембранной оксигенации на фоне лечения основного заболевания.

При этом если один из двух случаев лечения является прерванным, его оплата осуществляется в соответствии с установленными правилами.

По каждому указанному случаю должна быть проведена медико-экономическая экспертиза и, при необходимости, экспертиза качества медицинской помощи.

7. Особенности группировки случаев в условиях дневного стационара

Общие правила формирования различных КСГ в дневном стационаре те же, что и в круглосуточном.

Из-за высокого разнообразия подходов к организации медицинской помощи в дневных стационарах в разных субъектах Российской Федерации справочник кодов МКБ 10 для дневного стационара содержит практически все болезни и проблемы, связанные со здоровьем, оплата лечения которых осуществляется за счет средств ОМС. Лечение многих болезней на интенсивном этапе в дневном стационаре не может проводиться, однако, это не исключает долечивания в условиях дневного стационара.

Аналогично ряд услуг (малоинвазивных оперативных вмешательств) в одних субъектах предоставляется в амбулаторных условиях, а в других - в условиях дневного стационара.

В то же время при организации хирургической медицинской помощи в условиях дневного стационара необходимо учитывать объективные особенности и риски возникновения осложнений оперативных вмешательств, проводимых в стационаре одного дня. Исходя из этого, целесообразно выполнение оперативных вмешательств только в дневных стационарах, созданных в многопрофильных медицинских организациях, имеющих в своем составе подразделение анестезиолого-реаниматологического профиля и возможности оказания хирургической медицинской помощи в условиях круглосуточного стационара.

В связи с вышесказанным, субъекты Российской Федерации могут ограничивать использование ряда кодов МКБ 10 или услуг для условий дневного стационара в соответствии со сложившейся маршрутизацией пациентов.

8. Особенности формирования отдельных КСГ

В данном разделе более подробно описаны алгоритмы формирования отдельных групп, имеющих определенные особенности.

При этом базовый алгоритм отнесения для всех КСГ определяется таблицей "Группировщик".

8.1. Группы, формируемые с учетом возраста

КСГ st10.001 "Детская хирургия (уровень 1)";

КСГ st10.002 "Детская хирургия (уровень 2)".

Классификационным критерием группировки также является возраст.

Алгоритм формирования групп:

  Критерии группировки       Алгоритм группировки     Итог группировки
                           
              > > 1 года   > Соответ. хирург. КСГ
                 
                           
                           
                > < 28 дней   > КСГ st10.002
  > Код операции   > Возраст      
                /\
                           
                  от 28 до 90 дней с диагнозами P05.0, P05.1, P05.2, P05.9, P07.0, P07.1, P07.2, P07.3        
                         
                           
                > от 91 дня до 1 года   > КСГ st10.001
                 
                           
                           

При отнесении случая к КСГ st10.002, для доношенных детей критерием новорожденности является возраст не более 28 дней. Для недоношенных детей (недоношенность обозначается кодами МКБ 10 дополнительного диагноза P05.0, P05.1, P05.2, P05.9, P07.0, P07.1, P07.2, P07.3) отнесение к данной группе может производиться в период не более 90 дней со дня рождения.

Дети возрастом от 90 дней до года классифицируются по тем же операциям в КСГ st10.001.

КСГ st17.003 "Лечение новорожденных с тяжелой патологией с применением аппаратных методов поддержки или замещения витальных функций"

Классификационным критерием группировки также является возраст.

Формирование данной группы осуществляется с применением кодов Номенклатуры:

Код услуги по Номенклатуре Наименование услуги
A16.09.011.002 Неинвазивная искусственная вентиляция легких
A16.09.011.003 Высокочастотная искусственная вентиляция легких
A16.09.011.004 Синхронизированная перемежающаяся принудительная вентиляция легких

Отнесение к данной КСГ производится в следующих случаях:

- если новорожденный ребенок характеризуется нормальной массой тела при рождении, но страдает заболеванием, требующем использования искусственной вентиляции легких. В этом случае критерием новорожденности является возраст не более 28 дней;

- если ребенок имел при рождении низкую массу тела, но госпитализируется по поводу другого заболевания, требующего использования искусственной вентиляции легких. В этом случае отнесение к данной группе может производиться в период не более 90 дней со дня рождения; должен быть указан основной диагноз (являющийся поводом к госпитализации) и дополнительный диагноз - недоношенность (обозначается кодами МКБ 10 диагноза P05.0, P05.1, P05.2, P05.9, P07.0, P07.1, P07.2, P07.3).

Алгоритм формирования группы:

  Критерии группировки       Алгоритм группировки     Итог группировки
                           
                > A16.09.011.002, A16.09.011.003, A16.09.011.004 + возраст <= 28 дней   > КСГ st17.003
  > Код Номенклатуры   > Возраст      
                /\
                           
                > < 90 дней с диагнозами P05.0, P05.1, P05.2, P05.9, P07.0, P07.1, P07.2, P07.3        
                       

Также с учетом возраста формируется ряд других КСГ, классификационным критерием группировки также является возраст - менее 18 лет (код 5).

Внимание: на листе "Группировщик" возраст до 18 лет кодируется кодом 5 в столбец "Возраст". Для "взрослых" КСГ код возраста установлен 6. Для КСГ, не имеющих отметки о возрасте в Группировщике, отнесение осуществляется без учета возраста.

Универсальный алгоритм формирования группы с учетом возраста:

  Критерии группировки       Алгоритм группировки     Итог группировки
                           
                > > 18 лет   > Взрослая КСГ
  > Диагноз МКБ 10 или код услуги   > Возраст      
                   
                           
                > <= 18 лет   > Детская КСГ
                 

8.2. Группы, формируемые с учетом пола

Формирование КСГ в зависимости от пола осуществляется применительно к следующим КСГ:

N КСГ Наименование КСГ
st02.009 Другие болезни, врожденные аномалии, повреждения женских половых органов
st30.005 Другие болезни, врожденные аномалии, повреждения мочевой системы и мужских половых органов

Классификационным критерием группировки также является пол (мужской, женский).

Алгоритм формирования групп с учетом пола:

  Критерии группировки       Алгоритм группировки     Итог группировки
                           
                > S38.0, S38.2, T19.9, T19.8, S30.2 + 1 (Ж)   > КСГ st02.009
  > Диагноз МКБ 10   > Пол      
                   
                           
                > S30.2, S38.2, T19.8, T19.9 + 2 (М)   > КСГ st30.005
                 

8.3. Особенности формирования КСГ акушерско-гинекологического профиля

Отнесение к КСГ st02.003 "Родоразрешение" при любом основном диагнозе класса XV. Беременность, роды и послеродовой период (O00 - O99), включенном в данную КСГ, производится при комбинации с любой из трех услуг:

Код услуги по Номенклатуре Наименование услуги
B01.001.006 Ведение патологических родов врачом-акушером-гинекологом
B01.001.009 Ведение физиологических родов врачом-акушером-гинекологом
B02.001.002 Ведение физиологических родов акушеркой

Если при наличии диагноза класса XV. Беременность, роды и послеродовой период (O00 - O99) нет закодированных услуг, соответствующих родоразрешению, случай относится к КСГ st02.001 "Осложнения, связанные с беременностью".

Большинство услуг, представляющих собой акушерские манипуляции, операции, не используется в группировке в связи с нецелесообразностью их использования как основного критерия отнесения к конкретной КСГ. Это, например, следующие услуги:

Код услуги по Номенклатуре Наименование услуги
A16.20.005.001 Расширение шеечного канала
A16.20.070 Наложение акушерских щипцов
A16.20.071 Вакуум-экстракция плода
A16.20.071.001 Экстракция плода за тазовый конец
A16.20.073 Ручное пособие при тазовом предлежании плода (по Цовьянову)
A16.20.073.001 Поворот плода за ножку
A16.20.073.002 Классическое ручное пособие при тазовом предлежании плода
A16.20.076 Наложение гемостатических компрессионных швов (B-lunch)
A16.20.076.001 Наложение клемм по Бакшееву
A16.20.076.002 Наложение клемм по Генкелю-Тиканадзе
A16.20.077 Установка внутриматочного баллона
A16.20.073.003 Ручное отделение плаценты и выделение последа

Такой подход в полной мере соответствует заранее заложенному в основу формирования КСГ принципу и ни в коей мере не означает, что проведение таких операций при родоразрешении или искусственном аборте не финансируется системой ОМС. Он означает, что их проведение уже учтено при расчете коэффициента относительной затратоемкости случаев в соответствующей КСГ.

При выполнении операции кесарева сечения (A16.20.005 "Кесарево сечение") случай относится к КСГ st02.004 вне зависимости от диагноза.

С целью снижения стимулов к искажению статистики и перевода пациентов в более затратные категории, в группировщике предусмотрено однозначное отнесение к КСГ st02.003 "Родоразрешение" комбинаций диагнозов, входящих в КСГ st02.003, и следующих услуг:

- A16.20.007 "Пластика шейки матки";

- A16.20.015 "Восстановление тазового дна";

- A16.20.023 "Восстановление влагалищной стенки";

- A16.20.024 "Реконструкция влагалища";

- A16.20.030 "Восстановление вульвы и промежности".

Если в ходе оказания медицинской помощи роженице выполнялась операция, входящая в КСГ st02.012 или st02.013 (операции на женских половых органах уровней 3 и 4), например, субтотальная или тотальная гистерэктомия, отнесение случая производится к КСГ по коду операции.

Как указывалось ранее, при дородовой госпитализации пациентки в отделение патологии беременности с последующим родоразрешением оплата по двум КСГ (st02.001 "Осложнения, связанные с беременностью" и st02.003 "Родоразрешение" или st02.001 "Осложнения, связанные с беременностью" и st02.004 "Кесарево сечение" возможна в случае пребывания в отделении патологии беременности в течение 6 дней и более.

При этом оплата по 2 КСГ возможна в случае пребывания в отделении патологии беременности не менее 2 дней при оказании медицинской помощи по следующим МКБ 10:

O14.1 Тяжелая преэклампсия.

O34.2 Послеоперационный рубец матки, требующий предоставления медицинской помощи матери.

O36.3 Признаки внутриутробной гипоксии плода, требующие предоставления медицинской помощи матери.

O36.4 Внутриутробная гибель плода, требующая предоставления медицинской помощи матери.

O42.2 Преждевременный разрыв плодных оболочек, задержка родов, связанная с проводимой терапией.

КСГ st01.001 "Беременность без патологии, дородовая госпитализация в отделение сестринского ухода" может быть подана на оплату только медицинскими организациями, имеющими в структуре соответствующее отделение или выделенные койки сестринского ухода.

8.19 Особенности формирования КСГ для оплаты случаев лечения сепсиса

В электронном документе нумерация подпунктов соответствует официальному источнику.

Отнесение к КСГ, применяемым для оплаты случаев лечения сепсиса (st12.005, st12.006, st12.007) осуществляется по сочетанию кода диагноза МКБ 10 и возрастной категории пациента и/или иного классификационного критерия "it1". Необходимо учитывать, что сепсис может являться как основным поводом для госпитализации, так и осложнением в ходе продолжающегося лечения основного заболевания. Таким образом, при кодировании случаев лечения сепсиса соответствующий диагноз необходимо указывать либо в столбце "Основной диагноз", либо в столбце "Диагноз осложнения". При этом отнесение к указанным КСГ с учетом возрастной категории и/или критерия "it1" сохраняется вне зависимости от того, в каком столбце указан код диагноза.

В случае возникновения септических осложнений в ходе госпитализации по поводу ожогов, в целях корректного кодирования случая лечения диагноз септического осложнения также необходимо указывать в столбце "Диагноз осложнения". При этом порядок кодирования по классификационным критериям КСГ профиля "Комбустиология" не изменяется (см. раздел "Особенности формирования КСГ по профилю "Комбустиология").

8.4. Особенности формирования КСГ st12.012 "Грипп, вирус гриппа идентифицирован"

Отнесение к данной КСГ производится по комбинации кода МКБ 10 и кодов Номенклатуры. При идентификации вируса гриппа другими методами (закодированными как услуги, не являющиеся классификационными критериями отнесения случая к КСГ st12.012) и при неидентифицированном вирусе гриппа случай классифицируется в КСГ st12.010 "Респираторные инфекции верхних дыхательных путей с осложнениями, взрослые" или КСГ st12.011 "Респираторные инфекции верхних дыхательных путей, дети" в зависимости от возраста пациента.

8.5. Особенности формирования КСГ для оплаты лекарственной терапии при хроническом вирусном гепатите C в дневном стационаре

С 2020 года оплата случаев лекарственной терапии по поводу хронического вирусного гепатита C осуществляется в соответствии с режимом терапии - с применением пегилированных интерферонов или препаратов прямого противовирусного действия. Учитывая, что в настоящее время для лекарственной терапии применяются в том числе пангенотипные лекарственные препараты, при назначении которых не учитывается генотип вируса гепатита C, отнесение случая лечения к КСГ на основании генотипа нецелесообразно.

Отнесение к КСГ случаев лекарственной терапии хронического вирусного гепатита C осуществляется только по сочетанию кода диагноза по МКБ 10 и иного классификационного критерия "if" или "nif", отражающего применение лекарственных препаратов для противовирусной терапии. Детальное описание группировки указанных КСГ представлено в таблице.

КСГ Код диагноза МКБ 10 Иной классификационный критерий Описание классификационного критерия
ds12.010 "Лечение хронического вирусного гепатита C (уровень 1)" B18.2 if Назначение лекарственных препаратов пегилированных интерферонов для лечения хронического вирусного гепатита C
ds12.011 "Лечение хронического вирусного гепатита C (уровень 2)" B18.2 nif Назначение лекарственных препаратов прямого противовирусного действия для лечения хронического вирусного гепатита C в том числе в сочетании с пегилированными интерферонами

В целях кодирования случая лечения указание иного классификационного критерия "if" необходимо при проведении лекарственной терапии с применением препаратов пегилированных интерферонов за исключением препаратов прямого противовирусного действия. В то же время, к случаям лечения требующим указания критерия "nif" относится применение любой схемы лекарственной терапии, содержащей препараты прямого противовирусного действия в соответствии с анатомо-терапевтическо-химической классификацией (АТХ), в том числе применение комбинации лекарственных препаратов прямого противовирусного действия и пегилированных интерферонов.

Коэффициент относительной затратоемкости для указанных КСГ приведен в расчете на усредненные затраты на 1 месяц терапии. При этом длительность терапии определяется инструкцией к лекарственному препарату и клиническими рекомендациями по вопросам оказания медицинской помощи.

8.6. Особенности формирования КСГ для оплаты случаев оказания медицинской помощи при эпилепсии

Оплата случаев лечения по поводу эпилепсии в круглосуточном стационаре осуществляется по четырем КСГ профиля "Неврология", при этом КСГ st15.005 "Эпилепсия, судороги (уровень 1)" формируется только по коду диагноза по МКБ 10, а КСГ st15.018, st15.019 и st15.020 формируются по сочетанию кода диагноза и иного классификационного критерия "ep1", "ep2" или "ep3" соответственно, с учетом объема проведенных лечебно-диагностических мероприятий. Детальное описание группировки указанных КСГ представлено в таблице.

КСГ Коды диагноза МКБ 10 Иной классификационный критерий Описание классификационного критерия
st15.005 "Эпилепсия, судороги (уровень 1)" G40, G40.0, G40.1, G40.2, G40.3, G40.4, G40.6, G40.7, G40.8, G40.9, G41, G41.0, G41.1, G41.2, G41.8, G41.9, R56, R56.0, R56.8 нет -
st15.018 "Эпилепсия, судороги (уровень 2)" G40.0, G40.1, G40.2, G40.3, G40.4, G40.5, G40.6, G40.7, G40.8, G40.9, R56, R56.0, R56.8 ep1 Обязательное выполнение магнитно-резонансной томографии с высоким разрешением (3 Тл) по программе эпилептического протокола и проведение продолженного видео-ЭЭГ мониторинга с включением сна (не менее 4 часов)
st15.019 "Эпилепсия (уровень 3)" G40.0, G40.1, G40.2, G40.3, G40.4, G40.5, G40.6, G40.7, G40.8, G40.9 ep2 Обязательное выполнение магнитно-резонансной томографии с высоким разрешением (3 Тл) по программе эпилептического протокола и проведение продолженного видео-ЭЭГ мониторинга с включением сна (не менее 4 часов) и терапевтического мониторинга противоэпилептических препаратов в крови с целью подбора противоэпилептической терапии
st15.020 "Эпилепсия (уровень 4)" G40.1, G40.2, G40.3, G40.4, G40.5, G40.8, G40.9 ep3 Обязательное выполнение магнитно-резонансной томографии с высоким разрешением (3 Тл) по программе эпилептического протокола и проведение продолженного видео-ЭЭГ мониторинга с включением сна (не менее 24 часов) и терапевтического мониторинга противоэпилептических препаратов в крови с целью подбора противоэпилептической терапии и консультация врача-нейрохирурга

8.7. Особенности формирования КСГ для случаев лечения неврологических заболеваний с применением ботулотоксина

Отнесение к КСГ st15.008 и st15.009 (в дневном стационаре - ds15.002 и ds15.003) производится по комбинации кода МКБ 10 (диагноза) и кода Номенклатуры A25.24.001.002 "Назначение ботулинического токсина при заболеваниях периферической нервной системы".

Перечень диагнозов, являющихся классификационным критерием отнесения к КСГ "Неврологические заболевания, лечение с применением ботулотоксина (уровень 1)" (st15.008 и ds15.002)

Код МКБ 10 Диагноз
G20 Болезнь Паркинсона
G23.0 Болезнь Геллервордена-Шпатца
G24 Дистония
G24.0 Дистония, вызванная лекарственными средствами
G24.1 Идиопатическая семейная дистония
G24.2 Идиопатическая несемейная дистония
G24.3 Спастическая кривошея
G24.4 Идиопатическая рото-лицевая дистония
G24.5 Блефароспазм
G24.8 Прочие дистонии
G24.9 Дистония неуточненная
G35 Рассеянный склероз
G43 Мигрень
G43.0 Мигрень без ауры [простая мигрень]
G43.1 Мигрень с аурой [классическая мигрень]
G43.2 Мигренозный статус
G43.3 Осложненная мигрень
G43.8 Другая мигрень
G43.9 Мигрень неуточненная
G44 Другие синдромы головной боли
G44.0 Синдром "гистаминовой" головной боли
G44.1 Сосудистая головная боль, не классифицированная в других рубриках
G44.2 Головная боль напряженного типа
G44.3 Хроническая посттравматическая головная боль
G44.4 Головная боль, вызванная применением лекарственных средств, не классифицированная в других рубриках
G44.8 Другой уточненный синдром головной боли
G51.3 Клонический гемифациальный спазм
G80 Детский церебральный паралич
G80.0 Спастический церебральный паралич
G80.1 Спастическая диплегия
G80.2 Детская гемиплегия
G80.3 Дискинетический церебральный паралич
G80.4 Атактический церебральный паралич
G80.8 Другой вид детского церебрального паралича
G80.9 Детский церебральный паралич неуточненный
G81.9 Гемиплегия неуточненная
G82.5 Тетраплегия неуточненная

Перечень диагнозов, являющихся классификационным критерием отнесения к КСГ "Неврологические заболевания, лечение с применением ботулотоксина (уровень 2)" (st15.009 и ds15.003)

Код МКБ 10 Диагноз
G81.1 Спастическая гемиплегия
G82.1 Спастическая параплегия
G82.4 Спастическая тетраплегия

8.8. Особенности формирования отдельных КСГ, объединяющих случаи лечения болезней системы кровообращения

Отнесение к большинству КСГ кардиологического (а также ревматологического или терапевтического) профиля производится путем комбинации двух классификационных критериев: терапевтического диагноза и услуги. Это следующие КСГ:

N КСГ Наименование КСГ
Круглосуточный стационар
st13.002 Нестабильная стенокардия, инфаркт миокарда, легочная эмболия (уровень 2)
st13.003 Инфаркт миокарда, легочная эмболия, лечение с применением тромболитической терапии
st13.005 Нарушения ритма и проводимости (уровень 2)
st13.007 Эндокардит, миокардит, перикардит, кардиомиопатии (уровень 2)
st24.004 Ревматические болезни сердца (уровень 2)
st27.007 Стенокардия (кроме нестабильной), хроническая ишемическая болезнь сердца (уровень 2)
st27.009 Другие болезни сердца (уровень 2)
Дневной стационар
ds13.002 Болезни системы кровообращения с применением инвазивных методов

Соответственно, если предусмотренные для отнесения к этим КСГ услуги не оказывались, случай классифицируется по диагнозу в соответствии с кодом МКБ 10.

Аналогичный подход применяется при классификации госпитализаций при инфаркте мозга: при проведении тромболитической терапии и/или ряда диагностических манипуляций случай относится к одной из двух КСГ:

N КСГ Наименование КСГ КЗ
st15.015 Инфаркт мозга (уровень 2) 3,12
st15.016 Инфаркт мозга (уровень 3) 4,51

Если никаких услуг, являющихся классификационными критериями, больным не оказывалось, случай должен относиться к КСГ st15.014 "Инфаркт мозга (уровень 1)".

Классификационные критерии отнесения к КСГ st15.015 и st15.016:

Код услуги по Номенклатуре Наименование услуги N КСГ
A06.12.031.001 Церебральная ангиография тотальная селективная st15.016
A05.12.006 Магнитно-резонансная ангиография с контрастированием (одна область) st15.016
A06.12.056 Компьютерно-томографическая ангиография сосудов головного мозга st15.016
A25.30.036.002 Назначение ферментных фибринолитических лекарственных препаратов для внутривенного введения при инсульте st15.015
A06.12.031 Церебральная ангиография st15.016
A25.30.036.003 Назначение ферментных фибринолитических лекарственных препаратов для внутриартериального введения при инсульте st15.016

КСГ st25.004 "Диагностическое обследование сердечно-сосудистой системы" (ds25.001 "Диагностическое обследование сердечно-сосудистой системы")

Данные КСГ предназначены для оплаты краткосрочных (не более трех дней) случаев госпитализации, целью которых является затратоемкое диагностическое обследование при болезнях системы кровообращения.

Отнесение к данным КСГ производится по комбинации критериев: услуга, представляющая собой метод диагностического обследования, и терапевтический диагноз, в том числе относящийся к диапазонам "I." и Q20 - Q28 по МКБ 10 для болезней системы кровообращения.

Алгоритм формирования группы:

              > Больше 3 дней   > Другая КСГ
                 
                       
  > Код Номенклатуры
КС: A06.10.006, A06.10.008, A06.12.003 и другие
ДС: A06.10.006, A06.10.006.002
  > Диагноз I. и другие      
                 
                           
                > Меньше 3 дней (код 1)   > КСГ st25.004 (ds25.001)
                 

8.9. Особенности формирования КСГ, классифицирующих случаи диагностики и лечения злокачественных опухолей

Лекарственная терапия злокачественных новообразований (КСГ st08.001 - st08.003, st19.027 - st19.036, st19.056 - st19.061, ds08.001 - ds08.003, ds19.018 - ds19.027, ds19.030 - ds19.032, ds19.034 - ds19.036)

Отнесение случаев к группам st19.027 - st19.036, st19.056 - st19.058, ds19.018 - ds19.027 и ds19.030 - ds19.032, охватывающим случаи лекарственного лечения злокачественных новообразований у взрослых (кроме ЗНО кроветворной и лимфоидной ткани), осуществляется на основе комбинации соответствующего кода терапевтического диагноза класса "C" (C00 - C80, C97, D00 - D09) и кода схемы лекарственной терапии (sh001 - sh688, sh903, sh904).

При этом указание в реестре счетов на оплату медицинской помощи услуги A25.30.033 "Назначение лекарственных препаратов при онкологическом заболевании у взрослых" аналогично другим услугам, в том числе не являющимся тарифообразующими, возможно в соответствии с Общими принципами построения и функционирования информационных систем и порядком информационного взаимодействия в сфере обязательного медицинского страхования, утвержденными приказом Федерального фонда обязательного медицинского страхования от 07.04.2011 N 79.

За законченный случай принимается госпитализация для осуществления одному больному определенного числа дней введения лекарственных препаратов, указанному в столбце "Количество дней введения в тарифе" листа "Схемы лекарственной терапии".

Количество дней введения не равно числу введений, так как в один день больной может получать несколько лекарственных препаратов. Также количество дней введения не равно длительности госпитализации.

Пример 1: схема sh024 - винорелбин 25 - 30 мг/м2 в 1-й, 8-й дни; цикл 21 день

Количество дней введения в тарифе - 1.

В один законченный случай входит один день введения винорелбина одному больному, соответственно, за каждый 21-дневный цикл у каждого больного предусмотрено 2 госпитализации: первая для введения винорелбина в 1-й день, вторая - для введения винорелбина в 8-й день.

Схема sh024.1 - винорелбин 25 - 30 мг/м2 в 1-й, 8-й дни; цикл 21 день

Количество дней введения в тарифе - 2.

В один законченный случай входит два дня введения винорелбина одному больному, соответственно, за каждый 21-дневный цикл у каждого больного предусмотрена 1 госпитализация для введения винорелбина в 1-й и в 8-й день.

Пример 2: схема sh193 - фторурацил 425 мг/м2 в 1 - 5-й дни + кальция фолинат 20 мг/м2 в 1 - 5-й дни; цикл 28 дней

Количество дней введения в тарифе - 5.

В один законченный случай входит пять последовательных дней введения лекарственных препаратов одному больному; соответственно, за каждый 28-дневный цикл у одного больного предусмотрена одна госпитализация. При применении данной схемы в каждый день введения больной получает 2 лекарственных препарата.

Оплата случая в рамках КСГ рассчитана исходя из определенного количества дней введения. При этом количество дней госпитализации может превышать количество дней введения с учетом периода наблюдения пациента до и после введения лекарственных препаратов. В случае включения в тариф 1 дня введения лекарственных препаратов из нескольких дней, составляющих цикл, предполагается, что между госпитализациями с целью введения лекарственных препаратов (в том числе в рамках одного цикла) пациенту не показано пребывание в условиях круглосуточного и дневного стационара.

В случае применения многокомпонентной схемы, в которой в первое введение вводится несколько препаратов, а в последующие введения вводится один препарат, стоимость КСГ рассчитана по принципу усреднения затрат и распределена равномерно между введениями в рамках цикла. В указанных случаях для всех введений должен использоваться одинаковый код схемы.

Например:

Пациенту проводится химиотерапия в режиме винорелбин 25 мг/м2 в 1-й, 8-й дни + трастузумаб 6 мг/кг (нагрузочная доза 8 мг/кг) в 1-й день; цикл 21 день.

Корректная кодировка для первого и второго введения: Схема sh027 "винорелбин + трастузумаб" - подразумевает введение винорелбина и трастузумаба в 1-й день цикла и введение винорелбина в 8-й день цикла.

При расчете стоимости случаев лекарственной терапии учтены при необходимости в том числе нагрузочные дозы (начальная доза больше поддерживающей) в соответствии с инструкциями по применению лекарственных препаратов для медицинского применения (отдельно схемы лекарственной терапии для нагрузочных доз не выделяются), а также учтена сопутствующая терапия для коррекции нежелательных явлений (например, противорвотные препараты, препараты, влияющие на структуру и минерализацию костей и др.) и для лечения и профилактики осложнений основного заболевания.

Нагрузочные дозы отражены в названии и описании схемы, например: Схема sh218 цетуксимаб (описание схемы - Цетуксимаб 250 мг/м2 (нагрузочная доза 400 мг/м2) в 1-й день; цикл 7 дней) - подразумевает нагрузочную дозу цетуксимаба 400 мг/м2.

В расчете стоимости случаев лекарственной терапии с применением схем лекарственной терапии, включающих "трастузумаб" с режимом дозирования "6 мг/кг (нагрузочная доза 8 мг/кг) в 1-й день; цикл 21 день", учтена возможность изменения режима дозирования на "600 мг" в соответствии с клиническими рекомендациями и инструкциями к лекарственным препаратам.

Отнесение случаев лекарственного лечения с применением схем, не включенных в справочник в качестве классификационного критерия, производится по кодам sh903 или sh904 по следующему правилу:

sh903 Прочие схемы лекарственной терапии при злокачественных новообразованиях: C00, C07, C08, C09, C10, C11, C12, C13, C15, C16, C18, C19, C20, C21, C22, C22.0, C22.1, C23, C24, C25, C30, C31, C32, C33, C34, C37, C38, C40, C41, C43, C44, C45, C45.0, C48, C49, C50, C51, C52, C53, C54, C56, C57, C58, C60, C61, C62, C64, C65, C66, C67, C70, C71, C72, C73, C74.0, D00 - D07, D09.1, D09.3 - D09.9
sh904 Прочие схемы лекарственной терапии при иных злокачественных новообразованиях (кроме лимфоидной и кроветворной тканей): C01, C02, C03, C04, C05, C06, C14, C17, C22.2 - C22.9, C26, C39, C45.1 - C45.9, C46, C47, C55, C63, C68, C69, C74.1 - C74.9, C75, C76, C77, C78, C79, C80, C97, D09.2

В случаях применения sh903 и sh904 обязательно проведение экспертизы качества медицинской помощи.

Учитывая значительную дифференциацию схем лекарственной терапии внутри КСГ st19.058 и ds19.032, а также возможное относительно небольшое количество случаев лечения с применением определенных схем лекарственной терапии в субъектах Российской Федерации, может наблюдаться существенное отклонение фактических затрат от стоимости КСГ с учетом установленного на федеральном уровне коэффициента относительной затратоемкости. В указанных случаях возможно нарушение принципа "бюджетной нейтральности" в случае выделения подгрупп в рамках указанных КСГ. Однако необходимо обеспечить сохранение принципа "бюджетной нейтральности" для системы КСГ в целом.

Отнесение случаев к группам, st08.001 - st08.003, st19.059 - st19.061, ds08.001 - ds08.003, ds19.034 - ds19.036, охватывающим случаи лекарственного лечения злокачественных новообразований у детей и злокачественных новообразований лимфоидной и кроветворной тканей у взрослых, производится на основе комбинации соответствующего кода терапевтического диагноза класса "C", кодов Номенклатуры и возраста - менее 18 лет или 18 лет и более.

Отнесение к КСГ st08.001 - st08.003, st19.059, st19.060, ds08.001 - ds08.003, ds19.034, ds19.035 производится по кодам Номенклатуры:

A25.30.014 Назначение лекарственных препаратов при онкологическом заболевании у детей;

A25.30.033 Назначение лекарственных препаратов при онкологическом заболевании у взрослых.

Отнесение к КСГ st19.061 и ds19.036 "Лекарственная терапия злокачественных новообразований лимфоидной и кроветворной тканей с применением моноклональных антител, ингибиторов протеинкиназы" производится путем комбинации кодов C81 - C96 и кодов Номенклатуры:

Код услуги по Номенклатуре Наименование услуги
A25.30.033.001 Назначение биотерапии с применением моноклональных антител при онкологическом заболевании у взрослых
A25.30.033.002 Назначение лекарственных препаратов группы ингибиторов протеинкиназы при злокачественном новообразовании у взрослых

Название услуги включает наименование группы лекарственного препарата согласно анатомо-терапевтическо-химической (АТХ) классификации. В медицинской организации при назначении конкретного лекарственного препарата определяется его принадлежность к АТХ-группе и выбирается соответствующая услуга для кодирования.

Например, применение препарата, который согласно АТХ-классификации относится к моноклональным антителам, кодируется услугой A25.30.033.001 Назначение биотерапии с применением моноклональных антител при онкологическом заболевании у взрослых.

КСГ st19.037 "Фебрильная нейтропения, агранулоцитоз вследствие проведения лекарственной терапии злокачественных новообразований"

Данная КСГ применяется в случаях, когда фебрильная нейтропения, агранулоцитоз являются основным поводом для госпитализации после перенесенного специализированного противоопухолевого лечения. В случаях, когда фебрильная нейтропения, агранулоцитоз развивается у больного в ходе госпитализации с целью проведения специализированного противоопухолевого лечения, оплата производится по КСГ с наибольшим размером оплаты.

Отнесение случаев лечения к КСГ st19.037 осуществляется по сочетанию двух кодов МКБ 10 (C. и D70 Агранулоцитоз). Учитывая, что кодирование фебрильной нейтропении, агранулоцитоза по КСГ st19.037 осуществляется в случаях госпитализации по поводу осложнений специализированного противоопухолевого лечения, в столбце "Основной диагноз" необходимо указать диагноз, соответствующий злокачественному заболеванию, а код D70 необходимо указать в столбце "Диагноз осложнения". В случае если код D70 указан в столбце "Основной диагноз", случай лечения будет отнесен к другой КСГ, не связанной с лечением злокачественного новообразования.

КСГ st19.038 (ds19.028) "Установка, замена порт-системы (катетера) для лекарственной терапии злокачественных новообразований"

Данная КСГ применяется в случаях, когда установка, замена порт-системы являются основным поводом для госпитализации. Если больному в рамках одной госпитализации устанавливают, меняют порт-систему (катетер) для лекарственной терапии злокачественных новообразований с последующим проведением лекарственной терапии или после хирургического лечения, оплата осуществляется по двум КСГ.

Отнесение случая к КСГ st19.038 (ds19.028) осуществляется по кодам МКБ 10 (C., D00 - D09) и коду Номенклатуры A11.12.001.002 "Имплантация подкожной венозной порт-системы". При этом по коду данной услуги также допустимо кодирование установки и замены периферического венозного катетера - ПИК-катетера (ввиду отсутствия соответствующей услуги в Номенклатуре).

Лучевая терапия (КСГ st19.039 - st19.048 и ds19.001 - ds19.010)

Отнесение к соответствующей КСГ случаев лучевой терапии осуществляется на основании кода медицинской услуги в соответствии с Номенклатурой и количества дней проведения лучевой терапии (числа фракций).

Справочник диапазонов числа фракций (столбец "Диапазон фракций" листа "Группировщик")

Диапазон фракций Расшифровка
fr01 - 05 Количество фракций от 1 до 5 включительно
fr06 - 07 Количество фракций от 6 до 7 включительно
fr08 - 10 Количество фракций от 8 до 10 включительно
fr11 - 20 Количество фракций от 11 до 20 включительно
fr21 - 29 Количество фракций от 21 до 29 включительно
fr30 - 32 Количество фракций от 30 до 32 включительно
fr33 - 99 Количество фракций от 33 включительно и более

Лучевая терапия в сочетании с лекарственной терапией (КСГ st19.049 - st19.055 и ds19.011 - ds19.015)

Для оплаты случаев лучевой терапии в сочетании с лекарственной терапией и лекарственными препаратами предусмотрены соответствующие КСГ. Отнесение к группам осуществляется по коду медицинской услуги в соответствии с Номенклатурой с учетом количества дней проведения лучевой терапии (числа фракций), а также кода МНН лекарственных препаратов.

Перечень кодов МНН лекарственных препаратов, для которых предусмотрена оплата по КСГ для случаев проведения лучевой терапии в сочетании с лекарственной терапией, с расшифровкой содержится на вкладке "МНН ЛП в сочетании с ЛТ" файла "Расшифровка групп".

В случае применения лекарственных препаратов, не относящихся к перечню МНН лекарственных препаратов на вкладке "МНН ЛП в сочетании с ЛТ" файла "Расшифровка групп", оплата случая осуществляется по соответствующей КСГ для случаев проведения лучевой терапии.

Хирургическая онкология

Отнесение к КСГ производится при комбинации диагнозов C00 - C80, C97 и D00 - D09 и услуг, обозначающих выполнение оперативного вмешательства.

К таким КСГ относятся:

st19.001 Операции на женских половых органах при злокачественных новообразованиях (уровень 1)
st19.002 Операции на женских половых органах при злокачественных новообразованиях (уровень 2)
st19.003 Операции на женских половых органах при злокачественных новообразованиях (уровень 3)
st19.004 Операции на кишечнике и анальной области при злокачественных новообразованиях (уровень 1)
st19.005 Операции на кишечнике и анальной области при злокачественных новообразованиях (уровень 2)
st19.006 Операции при злокачественных новообразованиях почки и мочевыделительной системы (уровень 1)
st19.007 Операции при злокачественных новообразованиях почки и мочевыделительной системы (уровень 2)
st19.008 Операции при злокачественных новообразованиях почки и мочевыделительной системы (уровень 3)
st19.009 Операции при злокачественных новообразованиях кожи (уровень 1)
st19.010 Операции при злокачественных новообразованиях кожи (уровень 2)
st19.011 Операции при злокачественных новообразованиях кожи (уровень 3)
st19.012 Операции при злокачественном новообразовании щитовидной железы (уровень 1)
st19.013 Операции при злокачественном новообразовании щитовидной железы (уровень 2)
st19.014 Мастэктомия, другие операции при злокачественном новообразовании молочной железы (уровень 1)
st19.015 Мастэктомия, другие операции при злокачественном новообразовании молочной железы (уровень 2)
st19.016 Операции при злокачественном новообразовании желчного пузыря, желчных протоков (уровень 1)
st19.017 Операции при злокачественном новообразовании желчного пузыря, желчных протоков (уровень 2)
st19.018 Операции при злокачественном новообразовании пищевода, желудка (уровень 1)
st19.019 Операции при злокачественном новообразовании пищевода, желудка (уровень 2)
st19.020 Операции при злокачественном новообразовании пищевода, желудка (уровень 3)
st19.021 Другие операции при злокачественном новообразовании брюшной полости
st19.022 Операции на органе слуха, придаточных пазухах носа и верхних дыхательных путях при злокачественных новообразованиях
st19.023 Операции на нижних дыхательных путях и легочной ткани при злокачественных новообразованиях (уровень 1)
st19.024 Операции на нижних дыхательных путях и легочной ткани при злокачественных новообразованиях (уровень 2)
st19.025 Операции при злокачественных новообразованиях мужских половых органов (уровень 1)
st19.026 Операции при злокачественных новообразованиях мужских половых органов (уровень 2)
ds19.016 Операции при злокачественных новообразованиях кожи (уровень 1)
ds19.017 Операции при злокачественных новообразованиях кожи (уровень 2)

Если больному со злокачественным новообразованием выполнялось оперативное вмешательство, не являющееся классификационным критерием для онкологических хирургических групп, то отнесение такого случая к КСГ производится по общим правилам, то есть к КСГ, формируемой по коду выполненного хирургического вмешательства.

В случае если злокачественное новообразование выявлено в результате госпитализации с целью оперативного лечения по поводу неонкологического заболевания (доброкачественное новообразование, кишечная непроходимость и др.) отнесение к КСГ и оплата осуществляются в соответствии с классификационными критериями по коду медицинской услуги без учета кода диагноза злокачественного новообразования. При формировании реестров счетов в указанных случаях рекомендуется установление соответствующей отметки, при этом процесс кодирования случая по соответствующей КСГ осуществляется на уровне субъекта РФ.

КСГ st36.012 и ds36.006 "Злокачественное новообразование без специального противоопухолевого лечения"

Отнесение к данной КСГ производится, если диагноз относится к классу C, при этом больному не оказывалось услуг, являющихся классификационным критерием (химиотерапии, лучевой терапии, хирургической операции). Данная группа может применяться в случае необходимости проведения поддерживающей терапии и симптоматического лечения.

При экспертизе качества медицинской помощи целесообразно обращать внимание на обоснованность подобных госпитализаций.

КСГ st27.014 "Госпитализация в диагностических целях с постановкой/подтверждением диагноза злокачественного новообразования"

Отнесение случая к этой группе осуществляется с применением соответствующего кода номенклатуры из раздела "B". Данная группа предназначена в основном для оплаты случаев госпитализаций в отделения/медицинские организации неонкологического профиля, когда в ходе обследования выявлено злокачественное новообразование с последующим переводом (выпиской) больного для лечения в профильной организации.

КСГ ds19.029 "Госпитализация в диагностических целях с постановкой/подтверждением диагноза злокачественного новообразования с использованием ПЭТ КТ"

Отнесение к КСГ ds19.029 осуществляется по коду МКБ 10 (C., D00 - D09) в сочетании со следующими кодами Номенклатуры:

- A07.23.008.001 "Позитронная эмиссионная томография, совмещенная с компьютерной томографией головного мозга с введением контрастного вещества";

- A07.30.043 "Позитронная эмиссионная томография, совмещенная с компьютерной томографией с туморотропными РФП";

- A07.30.043.001 "Позитронная эмиссионная томография, совмещенная с компьютерной томографией с туморотропными РФП с контрастированием".

КСГ ds19.033 "Госпитализация в диагностических целях с проведением биопсии и последующим проведением молекулярно-генетического и/или иммуногистохимического исследования"

С 2020 года диагностика злокачественных новообразований методами молекулярно-генетических и иммуногистохимических исследований при проведении в условиях дневного стационара оплачивается по отдельной КСГ. Отнесение к КСГ ds19.033 осуществляется в соответствии с иным классификационным критерием "mgi", применяемым для кодирования случаев госпитализации с обязательным выполнением биопсии при подозрении на злокачественное новообразование и проведением диагностических молекулярно-генетических и/или иммуногистохимических исследований.

В случае если в условиях дневного стационара пациенту выполнена биопсия, являющаяся классификационным критерием КСГ с коэффициентом затратоемкости, превышающим коэффициент затратоемкости КСГ ds19.033, оплата такой госпитализации осуществляется по КСГ с наибольшим коэффициентом затратоемкости.

8.10. Особенности формирования КСГ по профилю "Офтальмология"

Выполнение косметических процедур за счет средств обязательного медицинского страхования не осуществляется. В связи с этим оплата по КСГ услуги A16.26.046.001 "Эксимерлазерная фототерапевтическая кератэктомия" осуществляется только при лечении эрозии, язвы роговицы, кератита, помутнения роговицы, возникшего вследствие воспалительного заболевания или травмы роговицы и в случае невозможности компенсации вызванной ими иррегулярности роговицы с помощью очковой или контактной коррекции, услуг A16.26.046.002 "Эксимерлазерная фоторефракционная кератэктомия" и A16.26.047 "Кератомилез" - при коррекции астигматизма или иррегулярности роговицы, возникших вследствие воспалительного заболевания или травмы роговицы и в случае невозможности их компенсации с помощью очковой или контактной коррекции. Аналогичные принципы применяются для медицинской услуги A16.26.046 "Кератэктомия".

Кодирование медицинского вмешательства по коду услуги A16.26.093 "Факоэмульсификация без интраокулярной линзы. Факофрагментация, факоаспирация" возможно только при наличии противопоказаний к имплантации интраокулярной линзы, отраженных в первичной медицинской документации.

Выявление данных случаев необходимо осуществлять в рамках проведения контроля объемов, сроков, качества и условий предоставления медицинской помощи в системе обязательного медицинского страхования.

8.11. Особенности формирования КСГ st29.007 "Тяжелая множественная и сочетанная травма (политравма)"

Критерии отнесения: комбинация диагнозов плюс диагноз, характеризующий тяжесть состояния.

В эту группу относятся травмы в 2 и более анатомических областях (голова/шея, позвоночник, грудная клетка, живот, таз, конечности - минимум 2 кода МКБ 10) или один диагноз множественной травмы и травмы в нескольких областях тела + как минимум один из нижеследующих диагнозов: J94.2, J94.8, J94.9, J93, J93.0, J93.1, J93.8, J93.9, J96.0, N17, T79.4, R57.1, R57.8.

Распределение кодов МКБ 10, которые участвуют в формировании группы st29.007 "Тяжелая множественная и сочетанная травма (политравма)", по анатомическим областям приведено в следующей таблице. Для удобства восприятия, каждой анатомической области присвоен код (столбец "Код анатомич. области").

Код анатомич. области Анатомическая область Коды МКБ 10
T1 Голова/шея S02.0, S02.1, S04.0, S05.7, S06.1, S06.2, S06.3, S06.4, S06.5, S06.6, S06.7, S07.0, S07.1, S07.8, S09.0, S11.0, S11.1, S11.2, S11.7, S15.0, S15.1, S15.2, S15.3, S15.7, S15.8, S15.9, S17.0, S17.8, S18
T2 Позвоночник S12.0, S12.9, S13.0, S13.1, S13.3, S14.0, S14.3, S22.0, S23.0, S23.1, S24.0, S32.0, S32.1, S33.0, S33.1, S33.2, S33.4, S34.0, S34.3, S34.4
T3 Грудная клетка S22.2, S22.4, S22.5, S25.0, S25.1, S25.2, S25.3, S25.4, S25.5, S25.7, S25.8, S25.9, S26.0, S27.0, S27.1, S27.2, S27.4, S27.5, S27.6, S27.8, S28.0, S28.1
T4 Живот S35.0, S35.1, S35.2, S35.3, S35.4, S35.5, S35.7, S35.8, S35.9, S36.0, S36.1, S36.2, S36.3, S36.4, S36.5, S36.8, S36.9, S37.0, S38.3
T5 Таз S32.3, S32.4, S32.5, S36.6, S37.1, S37.2, S37.4, S37.5, S37.6, S37.8, S38.0, S38.2
T6 Конечности S42.2, S42.3, S42.4, S42.8, S45.0, S45.1, S45.2, S45.7, S45.8, S47, S48.0, S48.1, S48.9, S52.7, S55.0, S55.1, S55.7, S55.8, S57.0, S57.8, S57.9, S58.0, S58.1, S58.9, S68.4, S71.7, S72.0, S72.1, S72.2, S72.3, S72.4, S72.7, S75.0, S75.1, S75.2, S75.7, S75.8, S77.0, S77.1, S77.2, S78.0, S78.1, S78.9, S79.7, S82.1, S82.2, S82.3, S82.7, S85.0, S85.1, S85.5, S85.7, S87.0, S87.8, S88.0, S88.1, S88.9, S95.7, S95.8, S95.9, S97.0, S97.8, S98.0
T7 Множественная травма и травма в нескольких областях тела S02.7, S12.7, S22.1, S27.7, S29.7, S31.7, S32.7, S36.7, S38.1, S39.6, S39.7, S37.7, S42.7, S49.7, T01.1, T01.8, T01.9, T02.0, T02.1, T02.2, T02.3, T02.4, T02.5, T02.6, T02.7, T02.8, T02.9, T04.0, T04.1, T04.2, T04.3, T04.4, T04.7, T04.8, T04.9, T05.0, T05.1, T05.2, T05.3, T05.4, T05.5, T05.6, T05.8, T05.9, T06.0, T06.1, T06.2, T06.3, T06.4, T06.5, T06.8, T07

Алгоритм формирования группы:

  Критерии группировки       Алгоритм группировки       Итог группировки      
                                     
                > T1 - T6 + T1 - T6              
                             
                              J94.2, J94.8, J94.9, J93, J93.0, J93.1, J93.8, J93.9, J96.0, N17, T79.4, R57.1, R57.8      
  > Код диагноза   > Доп. диагнозы               + >   > КСГ st29.007
                     
                                   
                > T7              
                             

В этом алгоритме T1 - T7 - коды анатомической области. Комбинация кодов, определяющих политравму (T1 - T6), должна быть из разных анатомических областей.

8.12. Особенности формирования КСГ по профилю "Комбустиология"

Критерии отнесения: комбинация диагнозов.

КСГ по профилю "Комбустиология" (ожоговые группы) формируются методом комбинации двух диагнозов, один из которых характеризует степень ожога, а другой площадь ожога. Логика формирования групп приведена далее и интегрирована в Группировщике.

N КСГ Наименование КСГ Комментарий (модель) Коды МКБ 10 Дополнительные коды МКБ 10
st33.001 Отморожения (уровень 1) Лечение пострадавших с поверхностными отморожениями T33.0 - T33.9, T35.0
st33.002 Отморожения (уровень 2) Лечение пострадавших с отморожением, некрозом ткани T34, T34.0 - T34.9, T35.1 - T35.7
st33.003 Ожоги (уровень 1) Лечение пострадавших с поверхностными ожогами 1 - 2 ст. (площадью менее 10%) T20.1, T20.2, T20.5, T20.6, T21.1, T21.2, T21.5, T21.6, T22.1, T22.2, T22.5, T22.6, T23.1, T23.2, T23.5, T23.6, T24.1, T24.2, T24.5, T24.6, T25.1, T25.2, T25.5, T25.6, T29.1, T29.2, T29.5, T29.6, T30.0, T30.1, T30.2, T30.4, T30.5 T31.0, T32.0
st33.004 Ожоги (уровень 2) Лечение пострадавших с поверхностными ожогами 1 - 2 ст. (площадью 10% и более) T20.1, T20.2, T20.5, T20.6, T21.1, T21.2, T21.5, T21.6, T22.1, T22.2, T22.5, T22.6, T23.1, T23.2, T23.5, T23.6, T24.1, T24.2, T24.5, T24.6, T25.1, T25.2, T25.5, T25.6, T29.1, T29.2, T29.5, T29.6, T30.0, T30.1, T30.2, T30.4, T30.5, T30.6 T31.1 - T31.9, T32.1 - T32.7
st33.005 Ожоги (уровень 3) Лечение пострадавших с глубокими ожогами 3 ст. (площадью менее 10%) T20.0, T20.3, T20.4, T20.7, T21.0, T21.3, T21.4, T21.7, T22.0, T22.3, T22.4, T22.7, T23.0, T23.3, T23.4, T23.7, T24.0, T24.3, T24.4, T24.7, T25.0, T25.3, T25.4, T25.7, T29.0, T29.3, T29.4, T29.7, T30.3, T30.7 T31.0, T32.0
st33.006 Ожоги (уровень 4) Лечение пострадавших с глубокими ожогами 3 ст. (площадью 10% - 29%) T20.0, T20.3, T20.4, T20.7, T21.0, T21.3, T21.4, T21.7, T22.0, T22.3, T22.4, T22.7, T23.0, T23.3, T23.4, T23.7, T24.0, T24.3, T24.4, T24.7, T25.0, T25.3, T25.4, T25.7, T29.0, T29.3, T29.4, T29.7, T30.3, T30.7 T31.1, T31.2, T32.1, T32.2
Термические и химические ожоги внутренних органов T27.0, T27.1, T27.2, T27.3 T27.4, T27.5, T27.6, T27.7
st33.007 Ожоги (уровень 5) Лечение пострадавших с глубокими ожогами 3 ст. (площадью более 30%) T20.0, T20.3, T20.4, T20.7, T21.0, T21.3, T21.4, T21.7, T22.0, T22.3, T22.4, T22.7, T23.0, T23.3, T23.4, T23.7, T24.0, T24.3, T24.4, T24.7, T25.0, T25.3, T25.4, T25.7, T29.0, T29.3, T29.4, T29.7, T30.3, T30.7 T31.3, T31.4, T31.5, T31.6, T31.7, T31.8, T31.9, T32.3, T32.4, T32.5, T32.6, T32.7, T32.8, T32.9

Исключением являются ожоги дыхательной системы (коды МКБ 10), при наличии которых случай относится к КСГ st33.006 "Ожоги (уровень 4)" независимо от степени и площади ожога туловища.

Ожоги других внутренних органов относятся к КСГ иных профилей, например:

T28.5 Химический ожог рта и глотки st27.004 Другие болезни органов пищеварения, взрослые
T28.5 Химический ожог рта и глотки st22.002 Другие болезни органов пищеварения, дети
T28.0 Термический ожог рта и глотки st27.004 Другие болезни органов пищеварения, взрослые
T28.0 Термический ожог рта и глотки st22.002 Другие болезни органов пищеварения, дети

8.13. Особенности формирования КСГ st36.003 и ds36.004 "Лечение с применением генно-инженерных биологических препаратов и селективных иммунодепрессантов"

Отнесение к данным КСГ производится по комбинации кода МКБ 10 (диагноза) и кодов Номенклатуры, обозначающих услуги по назначению лекарственных препаратов, а также по комбинации кода МКБ 10 (диагноза) и иного классификационного критерия "pbt", отражающего назначение других генно-инженерных препаратов и селективных иммунодепрессантов, включенных в перечень ЖНВЛП и имеющих соответствующие показания согласно инструкции по применению лекарственных препаратов в соответствии с клиническими рекомендациями.

В случае если иммунизация против респираторно-синцитиальной вирусной (РСВ) инфекции является основным поводом для госпитализации, для отнесения к КСГ st36.003 и ds36.004 случай следует кодировать по коду МКБ 10 Z25.8 "Необходимость иммунизации против другой уточненной одной вирусной болезни". При комбинации кода МКБ 10 (диагноза) и кода Номенклатуры A25.30.035 "Иммунизация против респираторно-синцитиальной вирусной (РСВ) инфекции с применением иммуноглобулина специфического (паливизумаб)" классификационным критерием также является возраст: до двух лет.

Название услуги включает наименование группы лекарственного препарата согласно АТХ-классификации и диагноз. В медицинской организации при назначении конкретного лекарственного препарата определяется его принадлежность к АТХ-группе и выбирается соответствующая услуга для кодирования. Закодированная услуга в дальнейшем в комбинации с диагнозом служит критерием отнесения к КСГ st36.003 и ds36.004.

Например, применение препарата, который согласно АТХ-классификации относится к группе "Ингибиторы фактора некроза опухоли альфа", кодируется услугами:

- A25.01.001.001 "Назначение лекарственных препаратов группы ингибиторов фактора некроза опухоли альфа при заболеваниях кожи";

- A25.04.001.001 "Назначение лекарственных препаратов группы ингибиторов фактора некроза опухоли альфа при артропатиях, спондилопатиях";

- A25.17.001.001 "Назначение лекарственных препаратов группы ингибиторов фактора некроза опухоли альфа при заболеваниях тонкой кишки";

- A25.18.001.001 "Назначение лекарственных препаратов группы ингибиторов фактора некроза опухоли альфа при заболеваниях толстой кишки".

При этом количество случаев госпитализации одного пациента по КСГ st36.003 и ds36.004 определяется инструкцией к лекарственному препарату и клиническими рекомендациями по соответствующей нозологии.

Комбинация кода диагноза по МКБ 10 и иного классификационного критерия "pbt" используется для кодирования случаев лечения с применением лекарственных препаратов, включенных в перечень ЖНВЛП и имеющих соответствующие показания согласно инструкции по применению в соответствии с клиническими рекомендациями. При этом отнесение случая к КСГ st36.003 и ds36.004 с учетом критерия "pbt" не требует указания медицинских услуг по назначению лекарственных препаратов.

8.14. Оплата медицинской помощи в случае отторжения, отмирания трансплантата органов и тканей

После операции, при дисфункции трансплантированного органа, ведением реципиентов трансплантата занимаются врачи специализированных отделений центров трансплантации в стационаре, а врачи-специалисты наблюдают больных в позднем посттрансплантационном периоде, при поздней дисфункции трансплантата в условиях стационара и дневного стационара.

Учитывая особенности оказания проводимого лечения в стационарных условиях и дневном стационаре необходимо к законченному случаю относить лечение в течение всего периода нахождения пациента (2 - 3 недели). Отнесение случая к данным группам осуществляется по коду МКБ 10. При этом в период лечения, как в круглосуточном, так и в дневном стационаре, пациент должен обеспечиваться всеми необходимыми лекарственными препаратами.

Пример в условиях стационара:

КСГ st36.006 "Отторжение, отмирание трансплантата органов и тканей"

При этом при расчете стоимости необходимо учитывать поправочные коэффициенты (коэффициент сложности лечения пациентов (в том числе обусловленный наличием трансплантируемого органа), уровень оказания помощи).

Пример в условиях дневного стационара:

КСГ ds36.005 "Отторжение, отмирание трансплантата органов и тканей"

При этом при расчете стоимости необходимо учитывать поправочные коэффициенты (коэффициент сложности лечения пациентов (в том числе обусловленный наличием трансплантируемого органа), уровень оказания помощи).

При проведении экспертизы качества медицинской помощи необходимо оценивать обязательность проводимого лечения в полном объеме.

8.15. Особенности формирования КСГ st36.007 "Установка, замена, заправка помп для лекарственных препаратов"

Отнесение случая к данной КСГ производится по кодам услуг Номенклатуры:

- A11.17.003 "Установка интестинальной помпы";

- A11.17.003.001 "Замена интестинальной помпы";

- A11.23.007.001 "Заправка баклофеновой помпы".

8.16. Особенности формирования реанимационных КСГ

Отнесение к КСГ st36.009 "Реинфузия аутокрови", КСГ st36.010 "Баллонная внутриаортальная контрпульсация" и КСГ st3 6.011 "Экстракорпоральная мембранная оксигенация" осуществляется соответственно по следующим кодам услуг Номенклатуры:

Код услуги по Номенклатуре Наименование услуги
A16.20.078 Реинфузия аутокрови (с использованием аппарата cell-saver)
A16.12.030 Баллонная внутриаортальная контрпульсация
A16.10.021.001 Экстракорпоральная мембранная оксигенация

Оплата случаев лечения с применением данных медицинских услуг с 2020 года осуществляется по двум КСГ - по сочетанию КСГ для оплаты лечения основного заболевания, являющегося поводом для госпитализации, и одной из вышеуказанных КСГ.

Отнесение случаев лечения пациентов с органной дисфункцией к КСГ st04.006 "Панкреатит с синдромом органной дисфункции", КСГ st12.007 "Сепсис с синдромом органной дисфункции", КСГ st12.013 "Грипп и пневмония с синдромом органной дисфункции", КСГ st27.013 "Отравления и другие воздействия внешних причин с синдромом органной дисфункции", и КСГ st33.008 "Ожоги (уровень 4,5) с синдромом органной дисфункции" осуществляется с учетом в том числе классификационного критерия - "оценка состояния пациента" с кодом "it1".

При этом необходимыми условиями кодирования случаев лечения пациентов с органной дисфункцией являются:

1. Непрерывное проведение искусственной вентиляции легких в течение 72 часов и более;

2. Оценка по шкале органной недостаточности у пациентов, находящихся на интенсивной терапии (Sequential Organ Failure Assessment, SOFA) не менее 5 или оценка по шкале оценки органной недостаточности у пациентов детского возраста, находящихся на интенсивной терапии (Pediatric Sequential Organ Failure Assessment, pSOFA) не менее 4.

Для кодирования признака "it1" должны выполняться одновременно оба условия. За основу берется оценка по шкале SOFA или pSOFA (для лиц младше 18 лет) в наиболее критическом за период госпитализации состоянии пациента.

Оценка состояния пациента по шкале SOFA осуществляется на основе оценки дисфункции шести органных систем (дыхательная, коагуляционная, печеночная, сердечно-сосудистая, неврологическая, почечная). Оценка каждого параметра в 0 баллов соответствует легкой дисфункции, оценка в 4 балла соответствует тяжелой недостаточности.

Градации оценок по шкале SOFA:

Оценка Показатель 0 балл 1 балл 2 балла 3 балла 4 балла
Дыхание PaO2/FiO2, мм рт.ст. 400 < 400 < 300 < 200 < 100
Сердечно-сосудистая система Среднее АД, мм рт.ст. или вазопрессоры, мкг/кг/мин 70 < 70 Дофамин < 5 или добутамин (любая доза) Дофамин 5 - 15 или адреналин < 0,1 норадреналин < 0,1 Дофамин > 15 или адреналин > 0,1 или норадреналин > 0,1
Коагуляция Тромбоциты, /мкл 150 < 150 < 100 < 50 < 20
Печень Билирубин, ммоль/л, мг/дл < 20 20 - 32 33 - 101 102 - 201 > 204
< 1,2 1.2 - 1.9 2.0 - 5.9 6.0 - 11.9 12.0
Почки Креатинин, мкмоль/л, мг/дл < 110 110 - 170 171 - 299 300 - 440 > 440
< 1,2 1,2 - 1,9 2,0 - 3,4 3,5 - 4,9 > 4,9
ЦНС Шкала Глазго, баллы 15 13 - 14 10 - 12 6 - 9 < 6

Примечания:

- Дисфункция каждого органа оценивается отдельно в динамике.

- PaO2 в mm Hg и FIO2 в % 0.21 - 1.00.

- Адренергические препараты назначены как минимум на 1 час в дозе мкг на кг в минуту.

- Среднее АД в mm Hg = ((систолическое АД в mm Hg) + (2 * (диастолическое АД в mm Hg))) / 3.

- 0 баллов - норма; 4 балла - наибольшее отклонение от нормального значения

- Общий балл SOFA = Сумма баллов всех 6 параметров.

Интерпретация:

- минимальный общий балл: 0

- максимальный общий балл: 24

- чем выше балл, тем больше дисфункция органа.

- чем больше общий балл, тем сильнее мультиорганная дисфункция.

Шкала комы Глазго, используемая для оценки дисфункции центральной нервной системы, представлена ниже:

Клинический признак Балл
Открывание глаз
отсутствует 1
в ответ на болевой стимул 2
в ответ на обращенную речь 3
произвольное 4
Вербальный ответ
отсутствует 1
нечленораздельные звуки 2
неадекватные слова или выражения 3
спутанная, дезориентированная речь 4
ориентированный ответ 5
Двигательный ответ
отсутствует 1
тоническое разгибание конечности в ответ на болевой стимул (децеребрация) 2
тоническое сгибание конечности в ответ на болевой стимул (декортикация) 3
отдергивание конечности в ответ на болевой стимул 4
целенаправленная реакция на болевой стимул 5
выполнение команд 6

Примечания:

15 баллов - сознание ясное;

10 - 14 баллов - умеренное и глубокое оглушение;

9 - 10 баллов - сопор;

7 - 8 баллов - кома 1-й степени;

5 - 6 баллов - кома 2-й степени;

3 - 4 балла - кома 3-й степени.

Для оценки состояния пациентов младше 18 лет используется модифицированная шкала pSOFA:

Оценка Показатель Баллы <a>
0 балл 1 балл 2 балла 3 балла 4 балла
Дыхание PaO2/FiO2 <b>, мм рт.ст. 400 300 - 399 200 - 299 100 - 199 с респираторной поддержкой < 100 с респираторной поддержкой
или SpO2/FiO2 <c> 292 264 - 291 221 - 264 148 - 220 с респираторной поддержкой < 148 с респираторной поддержкой
Сердечно-сосудистая система Среднее АД соответственно возрастной группе или инфузия вазоактивных препаратов, мм рт.ст. или мкг/кг/ми <d>
< 1 мес. жизни 46 < 46 Допамин гидрохлорид 5 или добутамин гидрохлорид (любой из препаратов) Допамин гидрохлорид > 5 или эпинефрин 0.1 или норэпинефрин битартрат 0.1 Допамин гидрохлорид > 15 или эпинефрин > 0.1 или норэпинефрин битартрат > 0.1
1 - 11 мес. 55 < 55
12 - 23 мес. 60 < 60
24 - 59 мес. 62 < 62
60 - 143 мес. 65 < 65
144 - 216 мес. <e> 67 < 67
Коагуляция Тромбоциты, /мкл 150 100 - 149 50 - 99 20 - 49 < 20
Печень Билирубин, мг/дл < 1.2 1.2 - 1.9 2.0 - 5.9 6.0 - 11.9 > 12.0
Почки Креатинин соответственно возрастной группе, мг/дл
< 1 мес. жизни < 0.8 0.8 - 0.9 1.1 - 1.0 1.2 - 1.5 1.6
1 - 11 мес. < 0.3 0.3 - 0.4 0.5 - 0.7 0.8 - 1.1 1.2
12 - 23 мес. < 0.4 0.4 - 0.5 0.6 - 1.0 1.1 - 1.4 1.5
24 - 59 мес. < 0.6 0.6 - 0.8 0.9 - 1.5 1.6 - 2.2 2.3
60 - 143 мес. < 0.7 0.7 - 1.0 1.1 - 1.7 1.8 - 2.5 2.6
144 - 216 мес. <e> < 1.0 1.0 - 1.6 1.7 - 2.8 2.9 - 4.1 4.2
ЦНС Шкала Глазго, Баллы <f> 15 13 - 14 10 - 12 6 - 9 < 6

Примечания:

<a> Оценка по шкале pSOFA производится каждые 24 часа. За 24-период берется худшее значение каждой из переменных для всех 6 систем органов. Если в течение 24-периода какая-либо из переменных не регистрировалась, то считается, что ее значение было 0 баллов, т.е. нормальное. Оценка по шкале pSOFA достигается суммированием оценок по 6 системам органов (от 0 до 24 баллов). Чем выше итоговое значение в баллах, тем хуже прогноз.

<b> PaO2 измеряется в миллиметрах ртутного столба.

<c> в расчете используется значение SpO2 97% и ниже.

<d> Среднее артериальное давление (САД, миллиметры ртутного столба) в случаях измерения имеет балльные оценки 0 или 1; в случаях назначения вазопрессорных медикаментов (измеряются в микрограммах на 1 килограмм массы тела в минуту) присваиваются балльные значения 2 или 4. Учитывается период назначение вазопрессоров как минимум в течение 1 часа.

<e> Точкой отсечения является возраст пациентов старше 18 лет (216 месяцев жизни), когда должна использоваться оригинальная шкала SOFA.

<f> Расчет производился по педиатрической модификации Шкалы Комы Глазго.

Модификация шкалы комы Глазго, используемой для оценки дисфункции центральной нервной системы у детей, представлена ниже:

Старше 1 года Младше 1 года Оценка
Открывание глаз Спонтанное Спонтанное 4
На вербальную команду На окрик 3
На боль На боль 2
Нет реакции Нет реакции 1
Двигательный ответ Правильно выполняет команду Спонтанный 6
Локализует боль Локализует боль 5
Сгибание-отдергивание Сгибание-отдергивание 4
Патологическое сгибание (декортикационная ригидность) Патологическое сгибание (декортикационная ригидность) 3
Разгибание (децеребрационная ригидность) Разгибание (децеребрационная ригидность) 2
Нет реакции Нет реакции 1
Вербальный ответ Старше 5 лет От 2 до 5 лет 0 - 23 месяца
Ориентирован Осмысленные слова и фразы Гулит/улыбается 5
Дезориентирован Бессмысленные слова Плач 4
Бессмысленные слова Продолжающийся плач и крик Продолжающийся неадекватный плач или крик 3
Нечленораздельные звуки Стоны (хрюканье) Стоны, ажитация, беспокойство 2
Отсутствует Отсутствует Отсутствует 1

При этом субъект Российской Федерации вправе дополнительно выделять в рамках КСГ, утвержденных на федеральном уровне, подгруппы для случаев органной дисфункции с учетом установленных критериев (оценка по шкале SOFA не менее 5 баллов и непрерывное проведение ИВЛ в течение 72 часов и более или оценка по шкале pSOFA не менее 4 баллов и непрерывное проведение ИВЛ в течение 72 часов и более). Перечень КСГ, для которых рекомендуется дополнительно выделять подгруппы для случаев лечения пациентов с органной дисфункцией:

N КСГ Наименование КСГ
st02.002 Беременность, закончившаяся абортивным исходом
st02.003 Родоразрешение
st02.004 Кесарево сечение
st12.003 Вирусный гепатит острый
st16.006 Переломы черепа, внутричерепная травма
st16.008 Операции на центральной нервной системе и головном мозге (уровень 2)
st29.007 Тяжелая множественная и сочетанная травма (политравма)

Отнесение к КСГ st36.008 "Интенсивная терапия пациентов с нейрогенными нарушениями жизненно важных функций, нуждающихся в их длительном искусственном замещении" по коду МКБ 10 (основное заболевание) и коду классификационного критерия "it2", означающего непрерывное проведение искусственной вентиляции легких в течение 480 часов и более.

8.17. Особенности формирования реабилитационных КСГ

Отнесение к КСГ, охватывающим случаи оказания реабилитационной помощи, производится по коду сложных и комплексных услуг Номенклатуры (раздел B) вне зависимости от диагноза. При этом для отнесения случая к КСГ st37.001 - st37.013 и к КСГ ds37.001 - ds37.008 также применяется классификационный критерий - оценка состояния пациента по Шкале Реабилитационной Маршрутизации (ШРМ):

Код Расшифровка классификационного критерия
rb2 2 балла по шкале реабилитационной маршрутизации
rb3 3 балла по шкале реабилитационной маршрутизации
rb4 4 балла по шкале реабилитационной маршрутизации
rb5 5 балла по шкале реабилитационной маршрутизации
rb6 6 балла по шкале реабилитационной маршрутизации

Например, для отнесения к КСГ st37.002 "Медицинская реабилитация пациентов с заболеваниями центральной нервной системы (4 балла по ШРМ)" необходимо наличие кода классификационного критерия "rb4" и должны быть использованы следующие медицинские услуги:

1. B05.024.003 "Услуги по реабилитации пациента, перенесшего черепно-мозговую травму";

2. B05.024.002 "Услуги по реабилитации пациента, перенесшего нейрохирургическую операцию";

3. B05.024.001 "Услуги по реабилитации пациента с переломом позвоночника";

4. B05.023.001 "Услуги по реабилитации пациента, перенесшего острое нарушение мозгового кровообращения".

Шкала реабилитационной маршрутизации (ШРМ), разработанная Союзом реабилитологов России, применима как для взрослых, так и детей. Градация оценки по ШРМ представлена ниже:

Градации оценки ШРМ Описание статуса
При заболеваниях и (или) состояниях центральной нервной системы При заболеваниях и (или) состояниях периферической нервной системы и опорно-двигательного аппарата При соматических (кардиологических) заболеваниях и (или) состояниях
0 Нет симптомов
1 Отсутствие значимых нарушений жизнедеятельности, несмотря на имеющиеся симптомы заболевания
а) может вернуться к прежнему образу жизни (работа, обучение), поддерживать прежний уровень активности и социальной жизни;
б) тратит столько же времени на выполнение дел, как и раньше до болезни
а) может вернуться к прежнему образу жизни (работа, обучение), поддерживать прежний уровень активности и социальной жизни;
б) тратит столько же времени на выполнение дел, как и раньше до болезни.
а) может вернуться к прежнему образу жизни (работа, обучение), поддерживать прежний уровень активности и социальной жизни;
б) тратит столько же времени на выполнение дел, как и раньше до болезни;
в) может выполнять физическую нагрузку выше обычной без слабости, сердцебиения, одышки.
2 Легкое ограничение жизнедеятельности
а) не может выполнять ту активность, которая была до заболевания (управление транспортным средством, чтение, письмо, танцы, работа и др.), но может справляться со своими делами без посторонней помощи;
б) может самостоятельно за собой ухаживать (сам одевается и раздевается, ходит в магазин, готовит простую еду, может совершать небольшие путешествия и переезды, самостоятельно передвигается);
в) не нуждается в наблюдении;
г) может проживать один дома от недели и более без помощи.
а) не способен выполнять ту активность, которая была до заболевания (управление транспортным средством, чтение, письмо, танцы, работа и др.), но может справляться со своими делами без посторонней помощи;
б) может самостоятельно за собой ухаживать (сам одевается и раздевается, ходит в магазин, готовит простую еду, может совершать небольшие путешествия и переезды, самостоятельно передвигается).
а) может справляться со своими делами без посторонней помощи;
б) обычная физическая нагрузка не вызывает выраженного утомления, слабости, одышки или сердцебиения. Стенокардия развивается при значительном, ускоренном или особо длительном напряжении (усилии). Тест шестиминутной ходьбы (ТШМ) > 425 м. Тесты с физической нагрузкой (велоэргометрия или спироэргометрия) 125 Вт/ 7 МЕ;
в) может самостоятельно за собой ухаживать (сам одевается и раздевается, ходит в магазин, готовит простую еду, может совершать небольшие путешествия и переезды, самостоятельно передвигается);
г) не нуждается в наблюдении;
д) может проживать один дома от недели и более без помощи.
3 Ограничение жизнедеятельности, умеренное по своей выраженности
а) может передвигаться самостоятельно без посторонней помощи;
б) самостоятельно одевается, раздевается, ходит в туалет, ест и выполняет другие виды повседневной активности;
в) нуждается в помощи при выполнении сложных видов активности: приготовление пищи, уборке дома, поход в магазин за покупками и другие;
г) нуждается в помощниках при ведении финансовых дел;
д) может проживать один дома без помощи от 1 суток до 1 недели.
а) может передвигаться самостоятельно без посторонней помощи или с помощью трости;
б) незначительное ограничение возможностей самообслуживания, самостоятельно одевается, раздевается, ходит в туалет, ест и выполняет др. виды повседневной активности;
в) нуждается в помощи при выполнении сложных видов активности: приготовление пищи, уборке дома, поход в магазин за покупками и другие;
г) умеренно выраженный болевой синдром во время ходьбы, незначительно выраженный болевой синдром в покое (1 - 3 балла по визуальной аналоговой шкале боли (ВАШ).
а) может передвигаться самостоятельно без посторонней помощи;
б) в покое какие-либо патологические симптомы отсутствуют, обычная физическая нагрузка вызывает слабость, утомляемость, сердцебиение, одышку, стенокардия развивается при ходьбе на расстояние > 500 м по ровной местности, при подъеме на > 1 пролет обычных ступенек, в нормальном темпе, при обычных условиях. ТШМ = 301 - 425 м. Тесты с физической нагрузкой (велоэргометрия/спироэргометрия) = 75 - 100 Вт/4 - 6,9 МЕ;
в) самостоятельно одевается, раздевается, ходит в туалет, ест и выполняет др. виды повседневной активности;
г) нуждается в помощи при выполнении сложных видов активности: приготовление пищи, уборке дома, поход в магазин за покупками;
д) может проживать один дома без помощи от 1 суток до 1 недели.
4 Выраженное ограничение жизнедеятельности
а) не может передвигаться самостоятельно без посторонней помощи;
б) нуждается в помощи при выполнении повседневных задач: одевание, раздевание, туалет, прием пищи и др.;
в) в обычной жизни нуждается в ухаживающем;
г) может проживать один
дома без помощи до 1 суток.
а) умеренно выраженное ограничение возможностей передвижения и нуждается в дополнительном средстве опоры - костыли;
б) умеренное ограничение возможностей самообслуживания и при выполнении всех повседневных задач: одевание, раздевание, туалет;
в) выраженный болевой синдром во время движений, умеренно выраженный болевой синдром в покое (4 - 7 баллов по ВАШ)
а) стенокардия возникает при ходьбе от 100 до 500 м по ровной местности, при подъеме на 1 пролет обычных ступенек, в нормальном темпе, при обычных условиях. ТШМ = 150 - 300 м, тесты с физической нагрузкой (велоэргометрия /спироэргометрия) = 25 - 50 Вт/23,9 МЕ;
б) самостоятельно одевается, раздевается, ходит в туалет, ест и выполняет др. виды повседневной активности;
в) в обычной жизни нуждается в ухаживающем;
г) может проживать один дома без помощи до 1 суток.
5 Грубое нарушение процессов жизнедеятельности
а) пациент прикован к постели;
б) не может передвигаться самостоятельно без посторонней помощи;
в) нуждается в постоянном внимании, помощи при выполнении всех повседневных задач: одевание, раздевание, туалет, прием пищи и др.;
г) нуждается в ухаживающем постоянно (и днем, и ночью);
д) не может быть оставлен один дома без посторонней помощи.
а) выраженное ограничение возможностей передвижения, нуждается в дополнительных средствах опоры - ходунки или самостоятельно передвигается в коляске. Перемещение ограничено пределами стационарного отделения. Не может ходить по лестнице;
б) выраженное ограничение возможностей самообслуживания и выполнении всех повседневных задач: одевание, раздевание, туалет;
в) выраженный болевой синдром в покое (8 - 10 баллов по ВАШ), усиливающийся при движении.
а) больной комфортно чувствует себя только в состоянии покоя, малейшие физические нагрузки приводят к появлению слабости, сердцебиения, одышки, болям в сердце. ТШМ < 150 м;
б) не может передвигаться самостоятельно без посторонней помощи;
в) нуждается в постоянном внимании, помощи при выполнении всех повседневных задач: одевание, раздевание, туалет, прием пищи и др.;
г) не может быть оставлен один дома без посторонней помощи.
6 Нарушение жизнедеятельности крайней степени тяжести
а) хроническое нарушение сознания: витальные функции стабильны; нейромышечные и коммуникативные функции глубоко нарушены; пациент может находиться в условиях специального ухода реанимационного отделения;
б) нейромышечная несостоятельность: психический статус в пределах нормы, однако глубокий двигательный дефицит (тетраплегия) и бульбарные нарушения вынуждают больного оставаться в специализированном реанимационном отделении.

Состояние пациента по ШРМ оценивается при поступлении в круглосуточный стационар или дневной стационар по максимально выраженному признаку.

При оценке 0 - 1 балла по ШРМ пациент не нуждается в медицинской реабилитации; при оценке 2 балла пациент получает медицинскую реабилитацию в условиях дневного стационара; при оценке 3 балла медицинская реабилитация оказывается пациенту в условиях дневного стационара или в стационарных условиях в зависимости от состояния пациента и в соответствии с маршрутизацией, установленной в субъекте Российской Федерации; при оценке 4 - 6 баллов медицинская реабилитация осуществляется в стационарных условиях, а также в рамках выездной реабилитации в домашних условиях и консультаций в телемедицинском режиме.

Медицинская реабилитация детей с нарушениями слуха без замены речевого процессора системы кохлеарной имплантации

Отнесение к КСГ "Медицинская реабилитация детей с нарушениями слуха без замены речевого процессора системы кохлеарной имплантации" (КСГ st37.015 и ds37.010) осуществляется по коду медицинской услуги B05.028.001 "Услуги по медицинской реабилитации пациента с заболеваниями органа слуха" или B05.046.001 "Слухо-речевая реабилитация глухих детей с кохлеарным имплантом" в сочетании с двумя классификационными критериями: возраст до 18 лет (код 5) и код классификационного критерия "rbs".

Классификационный критерий "rbs" означает обязательное сочетание 2-х медицинских услуг: B05.069.005 "Разработка индивидуальной программы дефектологической реабилитации", B05.069.006 "Разработка индивидуальной программы логопедической реабилитации".

8.18. Оплата случаев лечения соматических заболеваний, осложненных старческой астенией

КСГ st38.001 "Соматические заболевания, осложненные старческой астенией" формируется с учетом двух классификационных критериев - основного диагноза пациента (из установленного Расшифровкой групп перечня) и сопутствующего диагноза пациента (R54 Старческая астения).

Обязательным условием для оплаты медицинской помощи по данной КСГ также является лечение на геронтологической профильной койке.

9. Оплата медицинской помощи с применением методов диализа

Учитывая особенности оказания, пожизненный характер проводимого лечения и, соответственно, оплаты медицинской помощи при проведении услуг диализа, включающего различные методы, для оплаты указанных услуг, оказываемых в стационарных условиях и в условиях дневного стационара, применяется способ оплаты медицинской помощи за услугу.

При оказании медицинской помощи пациентам, получающим услуги диализа, оплата в амбулаторных условиях осуществляется за услугу диализа, в условиях дневного стационара - за услугу диализа и при необходимости в сочетании с КСГ, учитывающей основное (сопутствующее) заболевание, в условиях круглосуточного стационара - за услугу диализа только в сочетании с основной КСГ, являющейся поводом для госпитализации.

Тарифным соглашением устанавливаются базовые тарифы на оплату гемодиализа (код услуги A18.05.002 "Гемодиализ") и перитонеального диализа (код услуги A18.30.001 "Перитонеальный диализ"), рассчитанные в соответствии с Методикой расчета тарифов и включающий в себя расходы, определенные частью 7 статьи 35 Федерального закона от 29.11.2010 N 326-ФЗ "Об обязательном медицинском страховании в Российской Федерации". Для последующего расчета остальных услуг диализа, оказываемых на территории субъекта Российской Федерации, к базовому тарифу применяются рекомендуемые коэффициенты относительной затратоемкости, представленные в Приложении 4 к Рекомендациям.

Пример в условиях стационара:

КСГ st18.002 "Формирование, имплантация, реконструкция, удаление, смена доступа для диализа". Группа формируется исходя из соответствующих кодов МКБ 10 и кодов Номенклатуры, обозначающих выполнение услуг, обеспечивающих доступ для диализа.

При этом стоимость услуги, с учетом количества фактически выполненных услуг, прибавляется в рамках одного случая лечения. Перечень рекомендуемых коэффициентов относительной затратоемкости к базовым тарифам (A18.05.002 "Гемодиализ" и A18.30.001 "Перитонеальный диализ") для оплаты диализа (без учета коэффициента дифференциации), представлен в Приложении 4 к Рекомендациям. Поправочные коэффициенты: КУС, КСЛП, КУ распространяются только на КСГ. Применение поправочных коэффициентов к стоимости услуг недопустимо.

КСГ st18.001 "Почечная недостаточность".

Группа включает острое и устойчивое нарушение функции почек (острая почечная недостаточность и хронические болезни почек). При этом стоимость услуги с учетом количества фактически выполненных услуг прибавляется в рамках одного случая лечения. Перечень рекомендуемых коэффициентов относительной затратоемкости к базовым тарифам (A18.05.002 "Гемодиализ" и A18.30.001 "Перитонеальный диализ") для оплаты диализа (без учета коэффициента дифференциации), представлен в Приложении 4 к Рекомендациям. Поправочные коэффициенты: КУС, КСЛП, КУ распространяются только на КСГ. Применение поправочных коэффициентов к стоимости услуг недопустимо.

Пример в условиях дневного стационара:

КСГ ds18.002 "Лекарственная терапия у пациентов, получающих диализ".

Данная группа включает в себя затраты на лекарственные препараты для лечения и профилактики осложнений диализа (эритропоэз стимулирующие препараты, препараты железа, фосфат связывающие вещества, кальцимиметики, препараты витамина Д и др.).

При этом стоимость услуги, с учетом количества фактически выполненных услуг, прибавляется в рамках одного случая лечения.

Перечень рекомендуемых коэффициентов относительной затратоемкости к базовым тарифам (A18.05.002 "Гемодиализ" и A18.30.001 "Перитонеальный диализ") для оплаты диализа (без учета коэффициента дифференциации), представлен в Приложении 4 к Рекомендациям. Поправочные коэффициенты: КУС, КСЛП, КУ распространяются только на КСГ. Применение поправочных коэффициентов к стоимости услуг недопустимо.

КСГ ds18.003 "Формирование, имплантация, удаление, смена доступа для диализа"

Группа формируется исходя из соответствующих кодов МКБ 10 и кодов Номенклатуры, обозначающих выполнение услуг, обеспечивающих доступ для диализа. При этом стоимость услуги с учетом количества фактически выполненных услуг прибавляется в рамках одного случая лечения. Перечень рекомендуемых коэффициентов относительной затратоемкости к базовым тарифам (A18.05.002 "Гемодиализ" и A18.30.001 "Перитонеальный диализ") для оплаты диализа (без учета коэффициента дифференциации), представлен в Приложении 4 к Рекомендациям. Поправочные коэффициенты: КУС, КСЛП, КУ распространяются только на КСГ. Применение поправочных коэффициентов к стоимости услуг недопустимо.

Применение коэффициента дифференциации (при наличии) к стоимости услуги осуществляется с учетом доли расходов на заработную плату в составе тарифа на оплату медицинской помощи.

Рекомендуемое среднее значение доли заработной платы в услуге диализа по данным учета фактических затрат

N Код по Номенклатуре Услуга Условия оказания Единица оплаты Значение средней доли заработной платы, не менее, % Значение средней доли заработной платы, не более, %
1 A18.05.002; A18.05.002.002 Гемодиализ, Гемодиализ интермиттирующий низкопоточный стационарно, дневной стационар, амбулаторно услуга 20 40
2 A18.05.002.001 Гемодиализ интермиттирующий высокопоточный стационарно, дневной стационар, амбулаторно услуга 20 40
3 A18.05.011 Гемодиафильтрация стационарно, дневной стационар, амбулаторно услуга 20 40
4 A18.05.004 Ультрафильтрация крови стационарно услуга 20 40
5 A18.05.002.003 Гемодиализ интермиттирующий продленный стационарно услуга 20 40
6 A18.05.003 Гемофильтрация крови стационарно услуга 20 40
7 A18.05.004.001 Ультрафильтрация крови продленная стационарно услуга 20 40
8 A18.05.011.001 Гемодиафильтрация продленная стационарно услуга 20 40
9 A18.05.002.005 Гемодиализ продолжительный стационарно сутки 15 30
10 A18.05.003.002 Гемофильтрация крови продолжительная стационарно сутки 15 30
11 A18.05.011.002 Гемодиафильтрация продолжительная стационарно сутки 15 30
12 A18.30.001 Перитонеальный диализ стационарно, дневной стационар, амбулаторно день обмена 15 30
13 A18.30.001.001 Перитонеальный диализ проточный стационарно день обмена 15 30
14 A18.30.001.002 Перитонеальный диализ с использованием автоматизированных технологий стационарно, дневной стационар, амбулаторно день обмена 15 30
15 A18.30.001.003 Перитонеальный диализ при нарушении ультрафильтрации стационарно, дневной стационар, амбулаторно день обмена 15 30

Учитывая единственный, законодательно установленный, способ оплаты медицинской помощи, оказанной в условиях дневного стационара - законченный случай лечения заболевания, пожизненный характер проводимого лечения и постоянное количество услуг в месяц у подавляющего большинства пациентов, в целях учета выполненных объемов медицинской помощи в рамках реализации территориальной программы обязательного медицинского страхования за единицу объема в условиях дневного стационара принимается один месяц лечения.

В стационарных условиях необходимо к законченному случаю относить лечение в течение всего периода нахождения пациента в стационаре. При этом в период лечения, как в круглосуточном, так и в дневном стационаре, пациент должен обеспечиваться всеми необходимыми лекарственными препаратами, в том числе для профилактики осложнений.

Учитывая постоянный характер проводимого лечения, осуществляется ведение одной истории болезни стационарного больного (в связи с изданием Приказа Минздрава СССР от 05.10.1988 N 750 приказ N 1030 от 04.10.1980 утратил силу, однако в письме Минздравсоцразвития России от 30.11.2009 N 14-6/242888 сообщено, что до издания нового альбома образцов учетных форм учреждения здравоохранения по рекомендации Минздрава России используют в своей работе для учета деятельности бланки, утвержденные Приказом N 1030) в течение календарного года (в том числе и в случае ведения электронной истории болезни), несмотря на количество законченных случаев лечения по данной нозологии у конкретного пациента (с момента начала проведения диализа в текущем году до 31 декабря текущего года). При проведении экспертизы качества медицинской помощи необходимо оценивать обязательность проведения полном объеме услуг диализа, проводимого лечения в полном объеме, направленного на профилактику осложнений, помимо процедур диализа.

При проведении диализа в амбулаторных условиях оплата осуществляется за медицинскую услугу - одну услугу экстракорпорального диализа и один день перитонеального диализа. В целях учета объемов медицинской помощи целесообразно учитывать лечение в течение одного месяца как одно обращение (в среднем 13 услуг экстракорпорального диализа, 12 - 14 в зависимости от календарного месяца, или ежедневные обмены с эффективным объемом диализата при перитонеальном диализе в течение месяца). При проведении диализа в амбулаторных условиях обеспечение лекарственными препаратами для профилактики осложнений осуществляется за счет других источников.

Тарифы на услуги устанавливаются дифференцированно по методам диализа (гемодиализ, гемодиафильтрация, перитонеальный диализ). При этом, учитывая одинаковые затраты, абсолютная стоимость услуг диализа является одинаковой, независимо от условий и уровней его оказания. Применение поправочных коэффициентов к стоимости услуг недопустимо.

Применение коэффициента дифференциации (при наличии) к стоимости услуги осуществляется с учетом доли расходов на заработную плату в составе тарифа на оплату медицинской помощи. Учитывая постоянный характер проводимого лечения, рекомендуется ведение одной амбулаторной карты (учетная форма N 025/у) в течение календарного года (в том числе и в случае ведения электронной амбулаторной карты), несмотря на количество законченных случаев лечения по данной нозологии у конкретного пациента (с момента начала проведения диализа в текущем году до 31 декабря текущего года). При проведении экспертизы качества медицинской помощи необходимо оценивать обязательность проведения полном объеме услуг диализа, качества медицинской помощи оценивается на основе порядка оказания медицинской помощи, утвержденных Министерством здравоохранения Российской Федерации, клинических рекомендаций (протоколов лечения) по вопросам оказания медицинской помощи, разработанных и утвержденных медицинскими профессиональными некоммерческими организациями.

II. ПОДХОДЫ К ОПЛАТЕ МЕДИЦИНСКОЙ ПОМОЩИ В АМБУЛАТОРНЫХ УСЛОВИЯХ

1. Особенности применения Приложения 6 к Рекомендациям "Среднее количество УЕТ в одной медицинской услуге, применяемое для обоснования объема и стоимости посещений при оказании первичной медико-санитарной специализированной стоматологической помощи в амбулаторных условиях"

В целях реализации Рекомендаций за одну условную единицу трудоемкости (УЕТ) принимаются 10 минут. При этом для учета случаев лечения обязательно используется следующее правило: один визит пациента является одним посещением.

Субъект Российской Федерации вправе самостоятельно определять перечень медицинских услуг при оказании первичной медико-санитарной специализированной стоматологической помощи в амбулаторных условиях:

- расширять Приложение 6 медицинскими услугами, включенными в Номенклатуру;

- не использовать для оплаты медицинские услуги, включенные в Приложение 6, но не оказываемые в субъекте Российской Федерации.

Включение медицинских услуг в Приложение 6 не исключает возможности их оказания в стационарных условиях.