Приказ ФНС РФ от 08.12.2020 N КЧ-7-3/887@

"Об утверждении формы налоговой декларации по налогу на добычу полезных ископаемых, Порядка ее заполнения, а также формата представления налоговой декларации по налогу на добычу полезных ископаемых в электронной форме"
Редакция от 08.12.2020 — Документ утратил силу, см. «Приказ ФНС РФ от 20.09.2022 N ЕД-7-3/854@»

Зарегистрировано в Минюсте России 15 января 2021 г. N 62101


ФЕДЕРАЛЬНАЯ НАЛОГОВАЯ СЛУЖБА

ПРИКАЗ
от 8 декабря 2020 г. N КЧ-7-3/887@

ОБ УТВЕРЖДЕНИИ ФОРМЫ НАЛОГОВОЙ ДЕКЛАРАЦИИ ПО НАЛОГУ НА ДОБЫЧУ ПОЛЕЗНЫХ ИСКОПАЕМЫХ, ПОРЯДКА ЕЕ ЗАПОЛНЕНИЯ, А ТАКЖЕ ФОРМАТА ПРЕДСТАВЛЕНИЯ НАЛОГОВОЙ ДЕКЛАРАЦИИ ПО НАЛОГУ НА ДОБЫЧУ ПОЛЕЗНЫХ ИСКОПАЕМЫХ В ЭЛЕКТРОННОЙ ФОРМЕ

В соответствии с пунктом 4 статьи 31 и пунктом 7 статьи 80 части первой Налогового кодекса Российской Федерации (Собрание законодательства Российской Федерации, 1998, N 31, ст. 3824; 2020, N 5, ст. 492), а также подпунктом 5.9.36 пункта 5 Положения о Федеральной налоговой службе, утвержденного постановлением Правительства Российской Федерации от 30.09.2004 N 506 "Об утверждении Положения о Федеральной налоговой службе" (Собрание законодательства Российской Федерации, 2004, N 40, ст. 3961; 2015, N 15, ст. 2286), в целях реализации положений главы 26 "Налог на добычу полезных ископаемых" части второй Налогового кодекса Российской Федерации (Собрание законодательства Российской Федерации, 2000, N 32, ст. 3340; Собрание законодательства Российской Федерации, 2020, N 48, ст. 7627) в связи с принятием Федеральных законов от 30.07.2019 N 255-ФЗ "О внесении изменений в часть вторую Налогового кодекса Российской Федерации" (Собрание законодательства Российской Федерации, 2019, N 31, ст. 4414, N 39, ст. 5376), от 02.08.2019 N 284-ФЗ "О внесении изменений в часть вторую Налогового кодекса Российской Федерации и статью 2 Федерального закона "О внесении изменений в главы 23 и 26 части второй Налогового кодекса Российской Федерации" (Собрание законодательства Российской Федерации, 2019, N 31, ст. 4443), от 18.03.2020 N 65-ФЗ "О внесении изменений в часть вторую Налогового кодекса Российской Федерации" (Собрание законодательства Российской Федерации, 2020, N 12, ст. 1657), от 13.07.2020 N 195-ФЗ "О внесении изменений в часть вторую Налогового кодекса Российской Федерации в связи с принятием Федерального закона "О государственной поддержке предпринимательской деятельности в Арктической зоне Российской Федерации" (Собрание законодательства Российской Федерации, 2020, N 29, ст. 4505), от 15.10.2020 N 340-ФЗ "О внесении изменений в статью 343.2 части второй Налогового кодекса Российской Федерации" (Собрание законодательства Российской Федерации, 2020, N 42, ст. 6527), от 15.10.2020 N 342-ФЗ "О внесении изменений в главы 25.4 и 26 части второй Налогового кодекса Российской Федерации" (Собрание законодательства Российской Федерации, 2020, N 42, ст. 6529) и от 23.11.2020 N 374-ФЗ "О внесении изменений в части первую и вторую Налогового кодекса Российской Федерации и отдельные законодательные акты Российской Федерации" (Собрание законодательства Российской Федерации, 2020, N 48, ст. 7627) приказываю:

1. Утвердить:

форму налоговой декларации по налогу на добычу полезных ископаемых согласно приложению N 1 к настоящему приказу;

порядок заполнения налоговой декларации по налогу на добычу полезных ископаемых согласно приложению N 2 к настоящему приказу;

формат представления налоговой декларации по налогу на добычу полезных ископаемых в электронной форме согласно приложению N 3 к настоящему приказу.

2. Признать утратившим силу приказ Федеральной налоговой службы от 20.12.2018 N ММВ-7-3/827@ "Об утверждении формы налоговой декларации по налогу на добычу полезных ископаемых, порядка ее заполнения, а также формата представления налоговой декларации по налогу на добычу полезных ископаемых в электронной форме" (зарегистрирован Министерством юстиции Российской Федерации 24.12.2018, регистрационный номер 53108).

3. Установить, что настоящий приказ вступает в силу по истечении двух месяцев со дня его официального опубликования. Налоговая декларация представляется за налоговый период, следующий за месяцем вступления настоящего приказа в силу.

4. Руководителям (исполняющим обязанности руководителя) управлений Федеральной налоговой службы по субъектам Российской Федерации довести настоящий приказ до нижестоящих налоговых органов и обеспечить его применение.

5. Контроль за исполнением настоящего приказа возложить на заместителя руководителя Федеральной налоговой службы, координирующего вопросы методологического и организационного обеспечения работы налоговых органов по вопросам исчисления в соответствующий бюджет налогов и сборов, иных обязательных платежей (за исключением транспортного налога, налога на имущество организаций, налога на имущество физических лиц, земельного налога, налога на доходы физических лиц, страховых взносов).

Исполняющий обязанности
руководителя Федеральной
налоговой службы
К.Н. ЧЕКМЫШЕВ

Приложение N 1
к приказу ФНС России
от 08.12.2020 г. N КЧ-7-3/887@

                          ИНН          
                                                               
    0101   1012     КПП                   Стр. 0 0 1

Форма по КНД 1151054

НАЛОГОВАЯ ДЕКЛАРАЦИЯ ПО НАЛОГУ НА ДОБЫЧУ ПОЛЕЗНЫХ ИСКОПАЕМЫХ

Номер корректировки             Налоговый (отчетный) период (код)               Отчетный год        
                                                                               
Представляется в налоговый орган (код)                   по месту нахождения (учета) (код)          
                                                                             
                                                                             
                                                                               
                                                                             
                                                                               
                                                                             
                                                                               
                                                                             
(налогоплательщик)
                                                                               
Форма реорганизации (ликвидация) (код)           ИНН/КПП реорганизованной организации                       /                  
                                                   
                                                                             
Номер контактного телефона                                                            
                                                                             
На         страницах с приложением подтверждающих документов или их копий на         листах          
                                                                                 
Достоверность и полноту сведений, указанных в настоящей декларации, подтверждаю:     Заполняется работником налогового органа
    Сведения о представлении декларации
                                                                                   
    1 - налогоплательщик,     Данная декларация представлена (код)          
    2 - представитель налогоплательщика                                            
        на         страницах
                                                                                   
                                            с приложением подтверждающих документов      
                                                                                   
                                          или их копий на         листах          
                                                                                   
                                            Дата представления декларации       .     .        
(фамилия, имя, отчество <*> полностью)                            
                                                                                 
                                                                                 
                                                                                 
                                                                                 
                                                                                 
                                                                                 
                                                                                 
                                                                                 
                                                                                 
                                                                                 
                                                                                 
                                                                                 
                                                                                 
                                                                                 
                                                                                 
(наименование организации - представителя налогоплательщика)                                            
                                                                                   
Подпись _______________ Дата     .     .                                                    
                                                                                   
Наименование документа, подтверждающего полномочия представителя налогоплательщика                                            
                                                                                   
                                                                                 
                                            Фамилия, И.О. <*>   Подпись
                                                                                 
                                                                                   

<*> Отчество указывается при наличии.
                                                                                   
                                                                                   
                          ИНН          
                                                               
    0101   1029     КПП                   Стр.      

Раздел 1. Сумма налога, подлежащая уплате в бюджет

Показатели   Код строки   Значения показателей
                                                                           
1   2   3
                                                                           
Код бюджетной классификации   010                                          
                                                                           
Код по ОКТМО   020                                          
                                                                           
Сумма налога, подлежащая уплате в бюджет (в рублях)   030                                          
                                                 
                                                                           
Код бюджетной классификации   010                                          
                                                                           
Код по ОКТМО   020                                          
                                                                           
Сумма налога, подлежащая уплате в бюджет (в рублях)   030                                          
                                                 
                                                                           
Код бюджетной классификации   010                                          
                                                                           
Код по ОКТМО   020                                          
                                                                           
Сумма налога, подлежащая уплате в бюджет (в рублях)   030                                          
                                                 
                                                                           
Код бюджетной классификации   010                                          
                                                                           
Код по ОКТМО   020                                          
                                                                           
Сумма налога, подлежащая уплате в бюджет (в рублях)   030                                          
                                                 
                                                                           
Код бюджетной классификации   010                                          
                                                                           
Код по ОКТМО   020                                          
                                                                           
Сумма налога, подлежащая уплате в бюджет (в рублях)   030                                          
                                                 
                                                                           
Код бюджетной классификации   010                                          
                                                                           
Код по ОКТМО   020                                          
                                                                           
Сумма налога, подлежащая уплате в бюджет (в рублях)   030                                          
                                                 
                                                                           
Код бюджетной классификации   010                                          
                                                                           
Код по ОКТМО   020                                          
                                                                           
Сумма налога, подлежащая уплате в бюджет (в рублях)   030                                          
                                                 
                                                                           
Код бюджетной классификации   010                                          
                                                                           
Код по ОКТМО   020                                          
                                                                           
Сумма налога, подлежащая уплате в бюджет (в рублях)   030                                          
                                                 
                                                                           
Достоверность и полноту сведений, указанных на данной странице, подтверждаю:
                                                                           
                              подпись                 дата                  
                                                                           
                                                                           
                          ИНН          
                                                               
    0101   1036     КПП                   Стр.      

Раздел 2. Данные, служащие основанием для исчисления и уплаты налога, при добыче нефти обезвоженной, обессоленной и стабилизированной, за исключением добытой на новом морском месторождении углеводородного сырья и на участках недр, в отношении которой исчисляется налог на дополнительный доход от добычи углеводородного сырья

Показатели   Код строки   Значения показателей
                                                                             
1   2   3
                                                                             
Код вида добытого полезного ископаемого   010   0 3 1 0 0                              
                                                                             
Код бюджетной классификации   020                                          
                                                                             
Код единицы измерения количества добытого полезного ископаемого по ОКЕИ   030   1 6 8                                  
                                                 
                                                                           

2.1. Показатели (коэффициенты), используемые для расчета налога по участку недр

Код по ОКТМО   040                                          
                                                                             
Серия, номер и вид лицензии на пользование недрами   050                                          
                                                 
Ставка налога   055             .                            
                                                                             
Показатель, характеризующий особенности добычи нефти (Дм), для нефти, добытой из залежей, значение коэффициента Кд для которых равно 1   060                 .                        
                                                 
                                                 
                                                                             
Кндпи   070                                          
                                                                             
Коэффициент, характеризующий динамику мировых цен на нефть (Кц)   080       .                                  
                                                 
                                                                             
Коэффициент, характеризующий величину запасов участка недр (Кз)   110     .                                    
                                                 
                                                                             
Величина начальных извлекаемых запасов (Vз)   111     .                                    
                                                 
Коэффициент, характеризующий степень выработанности конкретной залежи углеводородного сырья (Кдв)   115     .                                    
                                                 
                                                                             
Коэффициент, характеризующий степень выработанности конкретной залежи углеводородного сырья (Кдв)   115     .                                    
                                                 
                                                 
Коэффициент, характеризующий регион добычи и свойства нефти (Ккан)   120                                          
                                                 
Коэффициент (Кабдт)             123               .                          
                                                                             
Значения коэффициентов:                                                            
                                                                             
                 
                            .                                   .          
                                                                             
       
                                            .                                
                                                                             
Коэффициент (Кман)                     125               .                          
                                                                             
Сумма исчисленного налога по участку недр (в рублях)   130                                          
                                                                         
Признак налогового вычета   135                                          
                                                                             
Сумма налогового вычета (в рублях)   140                                          
                                                                             
Предельная величина (Пванкор)   145                                          
                                                                             
Сумма налога к уплате (в рублях)   150                                          
                                                                             
                                                                             
                          ИНН          
                                                               
    0101   1043     КПП                   Стр.      

Продолжение Раздела 2

2.1.1. Данные о количестве нефти, добытой на участке недр, за исключением количества нефти, добытой из залежи (залежей) углеводородного сырья, которое отражается в подразделе 2.1.2

        Код основания налогообложения             Количество нефти, подлежащей налогообложению
                                                                               
          1             2
                                                                               
01                                                               .            
                                                                               
02                                                               .            
                                                                               
03                                                               .            

2.1.2. Данные о количестве нефти, добытой из залежи углеводородного сырья

Показатели   Код строки   Значения показателей
                                                                               
1   2   3
                                                                               
Наименование залежи   160                                      
                                                                               
                                                                             
                                                                               
                                                                             
                                                                             
Эффективная нефтенасыщенная толщина пласта   170       .                              
                                                                               
Проницаемость залежи   180     .                                
                                                                               
Глубина залегания продуктивной залежи углеводородного сырья   190                                      
                                                 
Плотность нефти   200       .                              
                                                                               
Ставка налога   205             .                        
                                                                               
Показатель, характеризующий особенности добычи нефти (Дм), для нефти, добытой из залежи   210                 .                    
                                                 
Степень выработанности запасов конкретной залежи углеводородного сырья   220     .                                
                                                 
Коэффициент, характеризующий степень сложности добычи нефти (Кд)   230     .                                
                                                 
Количество налоговых периодов применения коэффициента Кд<1   240                                      
                                                 
Коэффициент, характеризующий степень выработанности конкретной залежи углеводородного сырья (Кдв)   250     .                                
                                                 
Сумма исчисленного налога по нефти, добытой из залежи (в рублях)   260                                      
                                                 
                                                                             
          Код основания налогообложения             Количество добытой нефти, подлежащей налогообложению
                                                                               
          1             2
                                                                               
01                                                               .            
                                                                               
02                                                               .            
                                                                               
03                                                               .            
                                                                             
                                                                               
                          ИНН          
                                                               
    0101   1050     КПП                   Стр.      

Раздел 3. Данные, служащие основанием для исчисления и уплаты налога, при добыче газа горючего природного и газового конденсата, за исключением добычи на новом морском месторождении углеводородного сырья

Показатели   Код строки   Значения показателей
                                                                               
1   2   3
                                                                               
Код вида добытого полезного ископаемого   010                                          
                                                                               
Код бюджетной классификации   020                                          
                                                                               
Код единицы измерения количества добытого полезного ископаемого по ОКЕИ   030                                          
                                                 
Сумма исчисленного налога по газовому конденсату (в рублях)   040                                          
                                                 
Сумма налогового вычета по газовому конденсату (в рублях)   045                           .              
                                                                         
Сумма налога по газовому конденсату, подлежащая уплате (в рублях)   050                                          
                                                 
Коэффициент извлечения широкой фракции легких углеводородов при переработке газового конденсата (Кшфлу)   060     .                                    
                                                 
Количество добытого газового конденсата, переработанного для получения широкой фракции легких углеводородов (Мгк)   070                       .                  
                                                 
Ставка налогового вычета на одну тонну широкой фракции легких углеводородов, полученной из газового конденсата (В) (в рублях)   080                                          
                                                 
                                                 
Показатель, характеризующий расходы на доставку (транспортировку) газа горючего природного (Тг)   090                                          
                                                 
Цена газа горючего природного (Цг) (в рублях)   100               .                          
                                                                               
Коэффициент, характеризующий долю реализации газа потребителям Российской Федерации в общем объеме реализованного организацией газа (Ов)   110     .                                    
                                                 
                                                 
Коэффициент, характеризующий долю добытого газа горючего природного (за исключением попутного газа) в суммарном объеме добытого углеводородного сырья (Кгпн)   120     .                                    
                                                 
                                                 
Средняя по Единой системе газоснабжения расчетная цена на газ, поставляемый потребителям Российской Федерации (кроме населения) (Цв)   130                                          
                                                 
                                                 
Расчетная цена газа горючего природного при поставках за пределы территории государств - участников Содружества Независимых Государств (Цэ)   140               .                          
                                                 
                                                 
Цена газового конденсата (Цк)   150               .                          
                                                                               
Условная ставка вывозной таможенной пошлины на газовый конденсат (Пн)   160         .                                
                                                 
Коэффициент, характеризующий экспортную доходность единицы условного топлива (Кгп)   170     .                                    
                                                 
Корректирующий коэффициент (Ккм)   180     .                                    
                                                                               
Коэффициент (Кман)   185               .                          
                                                                               
Коэффициент, характеризующий количество добытого газового конденсата без учета широкой фракции легких углеводородов   187     .                                    
                                                 
                                                                               
                                                                               
                          ИНН          
                                                               
    0101   1067     КПП                   Стр.      

3.1. Показатели (коэффициенты), используемые для расчета налога по участку недр

Код по ОКТМО   190                                          
                                                                               
Серия, номер и вид лицензии на пользование недрами   200                                          
                                                                               
Сумма исчисленного налога по участку недр (в рублях)   210                                          
                                                                               
Сумма налогового вычета по газу горючему природному (в рублях)   215                         .                
                                                 
Сумма налога к уплате по участку недр (в рублях)   220                                          
                                                                               
Степень выработанности запасов газа горючего природного конкретного участка недр (Свг)   230     .                                    
                                                 
Базовое значение единицы условного топлива (Еут)   240           .                              
                                                                               
Коэффициент, характеризующий долю добытого газа горючего природного (за исключением попутного газа) в общем количестве газа горючего природного (за исключением попутного газа) и газового конденсата, добытых в истекшем налоговом периоде на участке недр, содержащем залежь углеводородного сырья (Дг)   250     .                                    
                                                 
                                                 
                                                 
                                                 

3.1.1. Данные о количестве полезного ископаемого, добытого из залежи углеводородного сырья

Наименование залежи   260                                          
                                                                               
                                                                             
                                                                               
                                                                             
                                                                               
Глубина залегания продуктивной залежи углеводородного сырья   270                                          
                                                 
Плотность залежи углеводородного сырья   280     .                                    
                                                                               
Ставка налога   285                                          
                                                                               
Значения коэффициентов:   290                                          
                                                                             
    Квг     Кр     Кгз     Кас     Корз
    .             .             .             .             .        
                                                                             
Коэффициент, характеризующий степень сложности добычи газа горючего природного и(или) газового конденсата из залежи углеводородного сырья (Кс)   300     .                                    
                                                 
                                                 
Сумма исчисленного налога по залежи углеводородного сырья (в рублях)   310                                          
                                                 
                                                                               
          Код основания налогообложения             Количество добытого из залежи полезного ископаемого, подлежащего налогообложению
                                                                               
          1             2
                                                                               
01                                                               .            
                                                                               
02                                                               .            
                                                                               
03                                                               .            
                                                                             
                                                                               
                          ИНН          
                                                               
    0101   1074     КПП                   Стр.      

Раздел 4. Данные, служащие основанием для исчисления и уплаты налога, при добыче углеводородного сырья на новом морском месторождении углеводородного сырья

Показатели   Код строки   Значения показателей
                                                                               
1   2   3
                                                                               
Код вида полезного ископаемого   010                                          
                                                                               
Код бюджетной классификации   020                                          
                                                                               
Код единицы измерения количества добытого полезного ископаемого по ОКЕИ   030                                          
                                                 
Код по ОКТМО   040                                          
                                                                               
Серия, номер и вид лицензии на пользование недрами   050                                          
                                                                               
Наименование нового морского месторождения   060                                          
                                                                               
                                                                             
                                                                               
                                                                             
                                                                               
Месяц и год начала промышленной добычи углеводородного сырья   070       .                                  
                                                 
                                                                               
          Код основания налогообложения         Количество полезного ископаемого, подлежащего налогообложению
                                                                               
          1             2
                                                                               
01                                                           .                
                                                                               
02                                                           .                
                                                                               
03                                                           .                
                                                                               
Стоимость единицы полезного ископаемого   080                                 .        
                                                                               
Минимальная стоимость единицы полезного ископаемого   090                                 .        
                                                                               
Количество реализованного добытого полезного ископаемого   100                         .                
                                                 
Выручка от реализации добытого полезного ископаемого   110                                 .        
                                                                               
Скорректированная выручка от реализации добытого полезного ископаемого на основании пункта 6 статьи 105.3 Налогового кодекса Российской Федерации   120                                 .        
                                                 
                                                 
Налоговая база   130                                 .        
                                                                               
Сумма исчисленного налога (в рублях)   140                                          
                                                                               
Скорректированная сумма налога на основании пункта 6 статьи 105.3 Налогового кодекса Российской Федерации (в рублях)   150                                          
                                                 
                                                 
Признак налогового вычета         155                                          
                                                                               
Сумма налогового вычета (в рублях)       160                                          
                                                                               
Сумма налога к уплате (в рублях)       170                                          
                                                                             
                                                                               
                          ИНН          
                                                               
    0101   1081     КПП                   Стр.      

Раздел 5. Данные, служащие основанием для исчисления и уплаты налога, за исключением углеводородного сырья (кроме попутного газа) и угля

Показатели   Код строки   Значения показателей
                                                                               
1   2   3
                                                                               
Код вида добытого полезного ископаемого   010                                          
                                                                               
Код бюджетной классификации   020                                          
                                                                               
Код единицы измерения количества добытого полезного ископаемого по ОКЕИ   030                                          
                                                 
Налоговая ставка               040         .                                
                                                                               
Рентный коэффициент         041     .                                    
                                                                               
Код субъекта Российской Федерации, на территории которого зарегистрирован участник регионального инвестиционного проекта   045                                          
                                                 
                                             

5.1. Данные о количестве полезного ископаемого по участкам недр и особенностях его налогообложения

Код по ОКТМО   050                                          
                                                                                         
Серия, номер и вид лицензии на пользование недрами   060                                          
                                                                                       
      Код основания налогообложения     Количество добытого полезного ископаемого, подлежащего налогообложению Значения коэффициентов Признак
            Кподз   Крм   Ктд   Ктд
      1     2   3   4   5   5
                                                                                         
01                                             .             .       .       .          
                                                                                         
02                                             .             .       .       .          
                                                                                         
03                                             .             .       .       .          
                                                                                         
04                                             .                                        
                                                                                         
Стоимость единицы добытого полезного ископаемого   070                                 .        
                                                                                         
Доля содержания химически чистого драгоценного металла в добытом полезном ископаемом   080     .                                    
                                                 
Количество реализованного добытого полезного ископаемого   090                         .                
                                                                                         
Выручка от реализации добытого полезного ископаемого   100                                 .        
                                                                                         
Первичная оценка драгоценных камней   105                                 .        
                                                 
Скорректированная выручка от реализации добытого полезного ископаемого на основании пункта 6 статьи 105.3 Налогового кодекса Российской Федерации   110                                 .        
                                                 
                                                 
Расходы налогоплательщика по доставке   120                                 .        
                                                                                         
Расходы налогоплательщика по аффинажу химически чистого драгоценного металла   130                                 .        
                                                 
Налоговая база   140                                 .        
                                                                                         
Сумма исчисленного налога (в рублях)   150                                          
                                                                                         
Скорректированная сумма исчисленного налога на основании пункта 6 статьи 105.3 Налогового кодекса Российской Федерации (в рублях)   160                                          
                                                 
Сумма налогового вычета (в рублях)   165                                          
                                                                                         
Сумма налога, подлежащая уплате (в рублях)           170                                          
                                                                                         
                                                                                         

                          ИНН          
                                                               
    0101   1098     КПП                   Стр.      

Раздел 6. Определение стоимости единицы добытого полезного ископаемого исходя из расчетной стоимости

6.1. Определение общей суммы расходов по добыче полезных ископаемых

Показатели   Код строки   Значения показателей
                                                                               
1   2   3
                                                                               
Прямые расходы по добыче полезных ископаемых, произведенные в налоговом периоде (в рублях)   010                                 .    
                                                 
Остаток незавершенного производства на начало налогового периода (в рублях)   020                                 .    
                                                 
Остаток незавершенного производства на конец налогового периода (в рублях)   030                                 .    
                                                 
Сумма прямых расходов, относящихся к добытым в налоговом периоде полезным ископаемым (в рублях) (стр. 010 + стр. 020 - стр. 030)   040                                 .    
                                                 
                                                 
Внереализационные расходы, относящиеся к добытым полезным ископаемым (в соответствии с подпунктами 6, 7 пункта 4 статьи 340 Налогового кодекса Российской Федерации) (в рублях)   050                                 .    
                                                 
                                                 
Косвенные расходы, относящиеся к добытым полезным ископаемым (в рублях)   060                                 .    
                                                 
Косвенные расходы, связанные с добычей полезных ископаемых и другими видами деятельности (в рублях)   070                                 .    
                                                 
                                                                               
Общая сумма прямых расходов, произведенных в течение налогового периода по всем видам деятельности (в рублях)   080                                 .    
                                                 
                                                                               
Сумма косвенных и иных расходов, относящаяся к добытым в налоговом периоде полезным ископаемым (в рублях) (стр. 050 + стр. 060 + стр. 070 х стр. 010 : стр. 080)   090                                 .    
                                                 
                                                 
                                                                               
Общая сумма расходов по добыче полезных ископаемых, произведенных в налоговом периоде (в рублях) (стр. 040 + стр. 090)   100                                 .    
                                                 
                                                 

6.2. Определение суммы расходов по отдельным добытым полезным ископаемым

Код единицы измерения количества по ОКЕИ   110                                          
                                                                                   
  Код добытого полезного ископаемого   Количество добытого полезного ископаемого   Доля добытого полезного ископаемого в общем количестве добытых полезных ископаемых   Сумма расходов по добыче полезного ископаемого (в рублях)
                                                                                   
    1   2   3   4
                                                                                   
01                               .           .                               .    
                                                                                   
02                               .           .                               .    
                                                                                   
03                               .           .                               .    
                                                                                   
04                               .           .                               .    
                                                                                   
05                               .           .                               .    
                                                                                   
06                               .           .                               .    
                                                                                   
07                               .           .                               .    
                                                                                 
                                                                                 
                          ИНН          
                                                               
    0101   1104     КПП                   Стр.      

Раздел 7. Данные, служащие основанием для исчисления и уплаты налога, при добыче угля по участку недр

Показатели   Код строки   Значения показателей
                                                                               
Код бюджетной классификации   010                                          
                                                                               
Серия, номер и вид лицензии на пользование недрами   020                                          
                                                                               
Код единицы измерения количества добытого полезного ископаемого по ОКЕИ   030                                          
                                                 
                                                                               
Код по ОКТМО   040                                          
                                                                               
Код субъекта Российской Федерации, на территории которого зарегистрирован участник регионального инвестиционного проекта   045                                          
                                                 
                                                 
Значение коэффициента Ктд   050     .                                    
                                                                               
Признак Ктд                         055                                          

7.1. Данные о количестве добытого полезного ископаемого по участку недр

    Код вида добытого полезного ископаемого     Код основания налогообложения   Количество добытого полезного ископаемого, подлежащего налогообложению
      1     2   3
                                                                               
01                                                                     .      
                                                                               
02                                                                     .      
                                                                               
03                                                                     .      
                                                                               
04                                                                     .      
                                                                               
05                                                                     .      
                                                                               
06                                                                     .      
                                                                               
07                                                                     .      
                                                                               
08                                                                     .      
                                                                               
09                                                                     .      
                                                                               
10                                                                     .      
                                                                               
11                                                                     .      
                                                                               
12                                                                     .      
                                                                               
13                                                                     .      
                                                                               
14                                                                     .      
                                                                               
15                                                                     .      
                                                                               
16                                                                     .      
                                                                               
17                                                                     .      
                                                                               
18                                                                     .      
                                                                               
                                                                             
                          ИНН          
                                                               
    0101   1111     КПП                   Стр.      

7.2. Расчет суммы налога, подлежащей уплате в бюджет, по участку недр

Показатели   Код строки   Значения показателей
                                                                               
1   2   3
                                                                               
Остаток неучтенных при определении налогового вычета расходов на начало налогового периода   060                                      
                                                 
Сумма расходов, осуществленных (понесенных) налогоплательщиком в налоговом периоде и связанных с обеспечением безопасных условий и охраны труда при добыче угля в текущем налоговом периоде всего (стр. 080 + стр. 090 + стр. 100)   070                                      
                                                 
                                                 
                                                 
в том числе:                                                                
                                                                               
материальные расходы   080                                 .    
                                                                               
расходы налогоплательщика на приобретение и (или) создание амортизируемого имущества   090                                 .    
                                                 
                                                                               
расходы, осуществленные (понесенные) налогоплательщиком в случаях достройки, дооборудования, реконструкции, модернизации, технического перевооружения объектов основных средств   100                                 .    
                                                 
                                                 
Сумма расходов, осуществленных (понесенных) налогоплательщиком и связанных с обеспечением безопасных условий и охраны труда при добыче угля, включаемых в налоговый вычет и уменьшающих сумму налога за налоговый период, не превышающая предельной величины налогового вычета (стр. 060 + стр. 070 стр. 140)   110                                      
                                                 
                                                 
                                                 
                                                 
Значение коэффициента Кт (Кт 0.3)   120     .                                
                                                                               
Сумма налога, исчисленного при добыче угля на участке недр за налоговый период без учета налогового вычета (в рублях)   130                                      
                                                 
Предельная величина налогового вычета (в рублях) (стр. 130 х стр. 120)   140                                      
                                                 
Сумма налога, исчисленного при добыче угля на участке недр за налоговый период с учетом налогового вычета, подлежащая уплате (в рублях) (стр. 130 - стр. 110)   150                                      
                                                 
                                                 
Остаток неучтенных при определении налогового вычета расходов, осуществленных (понесенных) налогоплательщиком и связанных с обеспечением безопасных условий и охраны труда при добыче угля, на конец налогового периода (стр. 060 + стр. 070 - стр. 110)   160                                      
                                                 
                                                 
                                                 
                                                                               
                                                                               
                          ИНН          
                                                               
    0101   1128     КПП                   Стр.      

7.3. Расчет суммы налоговых вычетов по участку недр

Показатели   Код строки   Значения показателей
                                                                           
1   2   3
                                                                           
Месяц и год возникновения права на налоговый вычет   170       .                          
                                                                           
Сумма налогового вычета, образовавшаяся на месяц и год, указанные в строке 170   180                                  
                                             
                                                                           
Сумма налогового вычета, использованная в предыдущие налоговые периоды   190                                  
                                             
                                                                           
Сумма налогового вычета, использованная в налоговом периоде   200                                  
                                             
Остаток суммы налогового вычета на конец налогового периода (стр. 180 - стр. 190 - стр. 200)   210                                  
                                             
                                                                           
Месяц и год окончания права на налоговый вычет   220       .                          
                                                                           
Месяц и год возникновения права на налоговый вычет   170       .                          
                                                                           
Сумма налогового вычета, образовавшаяся на месяц и год, указанные в строке 010   180                                  
                                             
                                                                           
Сумма налогового вычета, использованная в предыдущие налоговые периоды   190                                  
                                             
                                                                           
Сумма налогового вычета, использованная в налоговом периоде   200                                  
                                             
Остаток суммы налогового вычета на конец налогового периода (стр. 180 - стр. 190 - стр. 200)   210                                  
                                             
                                                                           
Месяц и год окончания права на налоговый вычет   220       .                          
                                                                           
Месяц и год возникновения права на налоговый вычет   170       .                          
                                                                           
Сумма налогового вычета, образовавшаяся на месяц и год, указанные в строке 010   180                                  
                                             
                                                                           
Сумма налогового вычета, использованная в предыдущие налоговые периоды   190                                  
                                             
                                                                           
Сумма налогового вычета, использованная в налоговом периоде   200                                  
                                             
Остаток суммы налогового вычета на конец налогового периода (стр. 180 - стр. 190 - стр. 200)   210                                  
                                             
                                                                           
Месяц и год окончания права на налоговый вычет   220       .                          
                                                                           
Месяц и год возникновения права на налоговый вычет   170       .                          
                                                                           
Сумма налогового вычета, образовавшаяся на месяц и год, указанные в строке 010   180                                  
                                             
                                                                           
Сумма налогового вычета, использованная в предыдущие налоговые периоды   190                                  
                                             
                                                                           
Сумма налогового вычета, использованная в налоговом периоде   200                                  
                                             
Остаток суммы налогового вычета на конец налогового периода (стр. 180 - стр. 190 - стр. 200)   210                                  
                                             
                                                                           
Месяц и год окончания права на налоговый вычет   220       .                          
                                                                           
                                                                           
                          ИНН          
                                                               
    0101   1135     КПП                   Стр.      

Раздел 8. Данные, служащие основанием для исчисления и уплаты налога, при добыче нефти обезвоженной, обессоленной и стабилизированной, в отношении которой исчисляется налог на дополнительный доход от добычи углеводородного сырья

Показатели Код Значения показателей строки
1 2 3
                                               
Код вида добытого полезного ископаемого 010 0 3 1 0 0                              
                                             
Код бюджетной классификации 020                                        
                                               
Код единицы измерения количества добытого полезного ископаемого по ОКЕИ 030 1 6 8                                  
                                             

8.1. Расчет налога по участку недр

Код по ОКТМО 040                                        
                                                                         
Серия, номер и вид лицензии на пользование недрами 050                                        
                                             
Год начала промышленной добычи нефти 060                                        
                                             
Коэффициент, характеризующий уровень налогообложения нефти, добываемой на участках недр, в отношении которой исчисляется налог на дополнительный доход от добычи углеводородного сырья (Кндд) 070                 .                      
                                             
                                             
                                             
Средний уровень цен нефти сорта "Юралс", выраженный в долларах США за баррель за налоговый период (Цнефть) 080       .                                
                                             
                                                                         
Среднее значение за налоговый период курса доллара США к рублю Российской Федерации (Р) 090       .                                
                                             
                                                                         
Признак коэффициента Кг 100                                        
                                                                         
Коэффициент, характеризующий период времени, прошедший с даты начала промышленной добычи нефти на участке недр (Кг) 110   .                                    
                                             
                                             
Ставка вывозной таможенной пошлины на нефть (ЭП) 120       .                                
                                                                         
Сумма исчисленного налога по участку недр (в рублях) 130                                        
                                                                         
Признак налогового вычета 133                                        
                                                                         
Сумма налогового вычета (в рублях) 135                                        
                                                                         
Предельная величина (Пванкор) 140                                        
                                                                         
Сумма налога к уплате (в рублях) 150                                        
                                                                         
          Код основания налогообложения               Количество нефти, подлежащей налогообложению
          1               2
01                                                                 .      
                                                                         
02                                                                 .      
                                                                         
03                                                                 .      
                                                                         

Приложение N 2
к приказу ФНС России
от 08.12.2020 N КЧ-7-3/887@

ПОРЯДОК
ЗАПОЛНЕНИЯ НАЛОГОВОЙ ДЕКЛАРАЦИИ ПО НАЛОГУ НА ДОБЫЧУ ПОЛЕЗНЫХ ИСКОПАЕМЫХ

I. Общие положения

1.1. Налоговая декларация по налогу на добычу полезных ископаемых (далее - Декларация), по установленной настоящим Приказом форме, заполняется налогоплательщиками, осуществляющими в соответствии с законодательством Российской Федерации добычу полезных ископаемых, указанных в пункте 2 статьи 337 Налогового кодекса Российской Федерации (далее - Кодекс).

1.2. Декларация состоит из:

Титульного листа;

Раздела 1 "Сумма налога, подлежащая уплате в бюджет";

Раздела 2 "Данные, служащие основанием для исчисления и уплаты налога, при добыче нефти обезвоженной, обессоленной и стабилизированной, за исключением добытой на новом морском месторождении углеводородного сырья и на участках недр, в отношении которой исчисляется налог на дополнительный доход от добычи углеводородного сырья";

Раздела 3 "Данные, служащие основанием для исчисления и уплаты налога, при добыче газа горючего природного и газового конденсата, за исключением добычи на новом морском месторождении углеводородного сырья";

Раздела 4 "Данные, служащие основанием для исчисления и уплаты налога, при добыче углеводородного сырья на новом морском месторождении углеводородного сырья";

Раздела 5 "Данные, служащие основанием для исчисления и уплаты налога, за исключением углеводородного сырья (кроме попутного газа) и угля";

Раздела 6 "Определение стоимости единицы добытого полезного ископаемого исходя из расчетной стоимости";

Раздела 7 "Данные, служащие основанием для исчисления и уплаты налога, при добыче угля по участку недр";

Раздела 8 "Данные, служащие основанием для исчисления и уплаты налога, при добыче нефти обезвоженной, обессоленной и стабилизированной, в отношении которой исчисляется налог на дополнительный доход от добычи углеводородного сырья".

1.3. Для заполнения Декларации применяются:

коды, определяющие налоговый период, коды места представления налоговой декларации в налоговый орган, коды форм реорганизации и код ликвидации организации, коды, определяющие способ представления налоговой декларации по налогу на добычу полезных ископаемых в налоговый орган, согласно приложению N 1 к настоящему Порядку;

коды видов добытых полезных ископаемых согласно приложению N 2 к настоящему Порядку;

коды оснований налогообложения добытых полезных ископаемых по налоговой ставке 0 процентов (рублей) и других особенностей исчисления и уплаты налога согласно приложению N 3 к настоящему Порядку;

коды единиц измерения количества добытого полезного ископаемого по Общероссийскому классификатору единиц измерения ОК 015-94 согласно приложению N 4 к настоящему Порядку;

коды субъектов Российской Федерации согласно приложению N 5 к настоящему Порядку.

1.4. Каждому показателю Декларации соответствует одно поле, состоящее из определенного количества знакомест. В каждом поле указывается только один показатель. Исключение составляют показатели, значениями которых являются дата, правильная или десятичная дробь.

Для указания даты используются по порядку три поля: день (поле из двух знакомест), месяц (поле из двух знакомест) и год (поле из четырех знакомест), разделенные знаком "." (точка), или два поля: месяц (поле из двух знакомест) и год (поле из четырех знакомест), разделенные знаком "." (точка).

Для правильной дроби используются два поля, разделенные знаком "/" (косая черта), первое поле соответствует числителю правильной дроби, второе поле - знаменателю правильной дроби.

Для десятичной дроби используются два поля, разделенные знаком "." (точка), первое поле соответствует целой части десятичной дроби, второе поле - дробной части десятичной дроби.

1.5. Страницы Декларации имеют сквозную нумерацию, начиная с Титульного листа, вне зависимости от наличия (отсутствия) и количества заполняемых разделов, листов. Порядковый номер страницы проставляется в определенном для нумерации поле слева направо, начиная с первого (левого) знакоместа, например, для первой страницы - "001"; для одиннадцатой - "011".

1.6. Заполнение полей Декларации значениями текстовых, числовых, кодовых показателей осуществляется слева направо, начиная с первого (левого) знакоместа.

При заполнении полей Декларации с использованием программного обеспечения значения числовых показателей выравниваются по правому (последнему) знакоместу.

Заполнение текстовых полей Декларации осуществляется заглавными печатными символами.

При заполнении полей Декларации, представляемой на бумажном носителе, используются чернила черного, фиолетового или синего цвета.

Не допускается исправление ошибок с помощью корректирующего или иного аналогичного средства.

Не допускается двусторонняя печать Декларации на бумажном носителе и скрепление листов Декларации, приводящее к порче бумажного носителя.

В случае отсутствия какого-либо показателя, во всех знакоместах соответствующего поля проставляется прочерк. Прочерк представляет собой прямую линию, проведенную посередине знакомест по всей длине поля.

Если для указания какого-либо показателя не требуется заполнения всех знакомест соответствующего поля, в незаполненных знакоместах в правой части поля проставляется прочерк. Например, в верхней части каждой страницы Декларации указывается идентификационный номер налогоплательщика (далее - ИНН) и КПП организации в порядке, определенном в Разделе II "Заполнение Титульного листа Декларации" настоящего Порядка. При указании десятизначного ИНН организации в поле из двенадцати знакомест показатель заполняется слева направо, начиная с первого знакоместа, в последних двух знакоместах ставится прочерк: ИНН 5024002119-.

Дробные числовые показатели заполняются аналогично правилам заполнения целых числовых показателей. В случае если знакомест для указания дробной части больше, чем цифр, то в свободных знакоместах соответствующего поля ставится прочерк. Например, количество добытого полезного ископаемого в Декларации заполняется по формату: 11 знакомест для целой части и 3 знакоместа для дробной части и, соответственно, при количестве в размере "1234356.233" они указываются как: 1234356-.233.

При подготовке Декларации с использованием программного обеспечения при распечатке на принтере допускается отсутствие обрамления знакомест и прочерков для незаполненных знакомест. Расположение и размеры значений реквизитов не должны изменяться. Печать знаков выполняется шрифтом Courier New высотой 16 - 18 пунктов.

Налогоплательщиком заполняются и представляются только необходимые разделы Декларации.

1.7. В поле показателя "Код по ОКТМО" указывается код муниципального образования в соответствии с Общероссийским классификатором территорий муниципальных образований ОК 033-2013 (далее - код по ОКТМО).

При заполнении показателя "Код по ОКТМО", под который отводится одиннадцать знакомест, свободные знакоместа справа от значения кода в случае, если код по ОКТМО конкретной территории муниципального образования имеет восемь знаков, не подлежат заполнению дополнительными символами (заполняются прочерками). Например, для восьмизначного кода по ОКТМО 12445698 в поле "Код по ОКТМО" указывается одиннадцатизначное значение "12445698-".

1.8. Уточненная Декларация включает те разделы Декларации и приложения к ней, которые ранее были представлены налогоплательщиком в налоговый орган, с учетом внесенных в них изменений, а также иные разделы Декларации и приложения к ним, в случае внесения в них изменений (дополнений).

Уточненная Декларация представляется по форме, действовавшей в налоговом периоде, за который вносятся соответствующие изменения.

1.9. При заполнении Декларации налогоплательщиками, являющимися крупнейшими налогоплательщиками, на Титульном листе в поле "по месту нахождения (учета)" указывается код "213", а в пятом и шестом знаке КПП указывается значение 50.

1.10. При представлении в налоговый орган по месту учета организацией-правопреемником Декларации за последний налоговый период и уточненных Деклараций за реорганизованную организацию (в форме присоединения к другому юридическому лицу, слияния нескольких юридических лиц, разделения юридического лица, преобразования одного юридического лица в другое) в Титульном листе (Листе 01) в поле "по месту нахождения (учета)" указывается код "215" или "216", а в верхней его части указываются ИНН и КПП организации-правопреемника. В реквизите "налогоплательщик" указывается наименование реорганизованной организации.

В реквизите "ИНН/КПП реорганизованной организации" указываются соответственно ИНН и КПП, которые были присвоены организации до реорганизации налоговым органом по месту ее нахождения (по налогоплательщикам, отнесенным к категории крупнейших, - налоговым органом по месту учета в качестве крупнейшего налогоплательщика).

В Разделе 1 Декларации указывается код по ОКТМО того муниципального образования, на территории которого реорганизованная организация была поставлена на учет в качестве налогоплательщика налога на добычу полезных ископаемых.

Коды форм реорганизации и код ликвидации организации приведены в приложении N 1 к настоящему Порядку.

II. Заполнение Титульного листа Декларации

2.1. Титульный лист Декларации заполняется налогоплательщиком, за исключением раздела "Заполняется работником налогового органа".

2.2. При заполнении Титульного листа необходимо указать:

2.2.1. Для организации - ИНН и КПП, которые присвоены организации при постановке на учет в налоговом органе.

В поле "ИНН" для российской организации указывается ИНН в соответствии со свидетельством о постановке на учет российской организации в налоговом органе по месту ее нахождения, для иностранной организации, осуществляющей деятельность на территории Российской Федерации, - в соответствии со свидетельством о постановке на учет иностранной организации в налоговом органе.

В поле "КПП" для российской организации указывается КПП в соответствии со свидетельством о постановке на учет российской организации в налоговом органе, для иностранной организации, осуществляющей деятельность на территории Российской Федерации, - в соответствии со свидетельством о постановке на учет иностранной организации в налоговом органе.

ИНН и КПП для крупнейших налогоплательщиков указываются на основании уведомления о постановке на учет в налоговом органе юридического лица в качестве крупнейшего налогоплательщика.

2.2.2. Для индивидуального предпринимателя ИНН указывается в соответствии со свидетельством о постановке на учет физического лица в налоговом органе.

Соответствующие ИНН и КПП указываются в верхней части каждой страницы, включенной в состав Декларации.

2.3. Номер корректировки.

При заполнении первичной Декларации и уточненных Деклараций за соответствующий налоговый период по показателю "номер корректировки" должна обеспечиваться сквозная нумерация, где "номер корректировки" для первичной Декларации принимает значение "0-", для уточненных Деклараций номер указывается последовательно ("1-", "2-", "3-" и так далее).

Не допускается заполнение номера корректировки по уточненной Декларации без ранее принятой первичной Декларации.

2.4. Налоговый период, за который представлена Декларация.

Поле "Налоговый (отчетный) период (код)" заполняется в соответствии с кодами, определяющими налоговый период, приведенными в приложении N 1 к настоящему Порядку.

2.5. Отчетный год, в котором представлена Декларация.

В поле "Отчетный год" указывается год, за налоговый период которого представлена декларация.

2.6. Код налогового органа, в который представляется Декларация.

В поле "Представляется в налоговый орган (код)" указывается код налогового органа, в который представляется Декларация.

2.7. Код представления Декларации по месту нахождения (учета) налогоплательщика.

В поле "по месту нахождения (учета) (код)" указывается код места представления налоговой декларации в налоговый орган согласно приложению N 1 к настоящему Порядку.

2.8. Наименование налогоплательщика.

В поле "налогоплательщик" указывается полное наименование организации, соответствующее наименованию, указанному в ее (его) учредительных документах (при наличии в наименовании латинской транскрипции таковая указывается); либо полное наименование обособленного подразделения иностранной организации, через которое она осуществляет деятельность на территории Российской Федерации; в случае представления декларации индивидуальным предпринимателем указываются его фамилия, имя, отчество <1> в соответствии с документом, удостоверяющим личность.

<1> Здесь и далее по тексту отчество указывается при наличии.

2.9. Код формы реорганизации (ликвидация).

В поле "Форма реорганизации (ликвидация) (код)" указывается код формы реорганизации (ликвидация) согласно приложению N 1 к настоящему Порядку.

2.10. ИНН/КПП реорганизованной организации.

Если Декларация не является налоговой декларацией за реорганизованную организацию, в поле "ИНН/КПП реорганизованной организации" проставляются прочерки.

2.11. Номер контактного телефона.

В поле "Номер контактного телефона" указывается номер контактного телефона налогоплательщика с указанием телефонного кода города, без пробелов, без скобок, без прочерков.

2.12. Количество страниц.

В поле "На ____ страницах с приложением подтверждающих документов или их копий на ____ листах" указывается количество страниц, на которых составлена Декларация, а также количество приложенных к Декларации листов подтверждающих документов и (или) их копий, в том числе количество листов документа, подтверждающего полномочия представителя налогоплательщика (в случае представления декларации представителем налогоплательщика).

2.13. В разделе Титульного листа "Достоверность и полноту сведений, указанных в настоящей декларации, подтверждаю":

1) в верхней части раздела проставляется:

1 - если достоверность и полнота сведений, указанных в Декларации, подтверждены руководителем организации-налогоплательщика или индивидуальным предпринимателем - налогоплательщиком;

2 - если достоверность и полнота сведений, указанных в Декларации, подтверждены представителем налогоплательщика;

2) в поле "фамилия, имя, отчество полностью" построчно указываются:

при представлении Декларации организацией - фамилия, имя, отчество руководителя организации полностью, проставляется его личная подпись (в месте, отведенном для подписи) и дата подписания;

при представлении Декларации индивидуальным предпринимателем - фамилия, имя, отчество индивидуального предпринимателя, проставляется его личная подпись и дата подписания;

при представлении Декларации представителем налогоплательщика - физическим лицом - фамилия, имя, отчество представителя налогоплательщика полностью, проставляется личная подпись представителя налогоплательщика и дата подписания;

при представлении Декларации представителем налогоплательщика - юридическим лицом фамилия, имя, отчество физического лица, уполномоченного в соответствии с документом, подтверждающим полномочия представителя налогоплательщика - юридического лица, удостоверять достоверность и полноту сведений, указанных в Декларации. При этом в поле "наименование организации - представителя налогоплательщика" указывается наименование юридического лица - представителя налогоплательщика, проставляется подпись лица, сведения о котором указаны в поле "фамилия, имя, отчество полностью", и дата подписания;

3) при представлении Декларации представителем налогоплательщика в поле "Наименование документа, подтверждающего полномочия представителя налогоплательщика" указываются наименование документа, подтверждающего полномочия представителя налогоплательщика, и его реквизиты. При этом к Декларации прилагается копия подтверждающего документа.

2.14. Раздел Титульного листа "Заполняется работником налогового органа" содержит сведения о представлении Декларации: код способа представления согласно приложению N 1 к настоящему Порядку; количество страниц Декларации; количество листов приложенных к Декларации подтверждающих документов или их копий; дату представления Декларации.

Все поля данного раздела заполняются работником налогового органа. Указываются фамилия и инициалы имени и отчества работника налогового органа, принявшего Декларацию, и ставится его подпись.

III. Заполнение Раздела 1 "Сумма налога, подлежащая уплате в бюджет" Декларации

3.1. По строкам 010 указывается код бюджетной классификации Российской Федерации (далее - КБК), в соответствии с которым должна осуществляться уплата соответствующей суммы налога.

Если по строке 010 Раздела 4 указан код 03401, по строке 010 Раздела 5 указан код 03400, то по строке 010 Раздела 1 проставляются нули.

3.2. По строкам 020 указывается код муниципального образования, межселенной территории, населенного пункта, входящего в состав муниципального образования, на территории которого мобилизуются денежные средства.

3.3. По строкам 030 указывается сумма налога, подлежащая уплате в бюджет, по данным налогоплательщика, исчисленная по участкам недр, в отношении которых уплата производится по коду по ОКТМО, указанному по строке 020, и по КБК, указанному по соответствующей строке 010 Раздела 1 Декларации.

3.4. Значения по строкам 030 равны:

3.4.1. Сумме значений по строке 150 Раздела 2 Декларации с соответствующим кодом по ОКТМО, указанным по строке 040;

3.4.2. Сумме значений по строке 050 Раздела 3 Декларации - при заполнении Раздела 3 Декларации по добытому газовому конденсату (код 03200 по строке 010 Раздела 3). При этом указанная сумма, исчисленная по всем участкам недр, находящимся в пользовании у налогоплательщика, делится между участками недр с разными кодами по ОКТМО пропорционально количеству газового конденсата, добытого на каждом участке недр, в общем количестве добытого за налоговый период газового конденсата (без учета количества, облагаемого по нулевой ставке налога).

3.4.3. Сумме значений по строке 220 Раздела 3 Декларации с соответствующим кодом по ОКТМО, указанным по строке 190 Раздела 3 - при заполнении Раздела 3 Декларации по добытому газу горючему природному (код 03300 по строке 010 Раздела 3).

3.4.4. Сумме значений по строке 170 Раздела 4 Декларации с соответствующим кодом по ОКТМО, указанным по строке 040 Раздела 4;

3.4.5. Сумме значений по строке 170 Раздела 5 Декларации с соответствующим кодом по ОКТМО - если по строке 010 Раздела 5 указаны коды добытых полезных ископаемых, отличные от вида 03400;

3.5. Если по строке 010 Разделов 4 и 5 указаны коды 03400 и 03401, то по строке 030 Раздела 1 проставляется ноль;

3.6. Сумма налога, исчисленного при добыче угля на участке недр за налоговый период без учета налогового вычета, будет равна сумме полученных значений по строке 130 подраздела 7.2 Декларации с соответствующим кодом по ОКТМО, указанным по строке 040 Раздела 7 Декларации;

3.6.1. Сумма налога, исчисленного при добыче угля на участке недр, за налоговый период с учетом налогового вычета будет равна сумме полученных значений по строке 150 подраздела 7.2 Декларации с соответствующим кодом по ОКТМО, указанным по строке 040 Раздела 7 Декларации;

3.7. Сумме значений строк 150 всех Разделов 8 Декларации с соответствующим кодом по ОКТМО, указанным по строке 040 Раздела 8 Декларации.

3.8. Сумма налога, подлежащая уплате по отдельному КБК и соответствующему коду по ОКТМО, будет равна сумме полученных значений.

3.9. В случае если полезное ископаемое добывается на основании одной лицензии на право пользования недрами на территории двух и более субъектов Российской Федерации, то сумма налога, подлежащая уплате по отдельному коду по ОКТМО, определяется пропорционально доле полезного ископаемого, добытого на данном участке недр, в отношении которого налог уплачивается по соответствующему коду по ОКТМО, в общем количестве добытого полезного ископаемого по формуле:

,

где:

- сумма налога по добытому полезному ископаемому, подлежащая уплате по соответствующему коду по ОКТМО;

- сумма налога, исчисленная по полезному ископаемому, добытому на данном участке недр;

- количество полезного ископаемого, добытого на участке недр, в отношении которого налог уплачивается по данному коду по ОКТМО, за исключением количества добытого полезного ископаемого, налогооблагаемого по ставке 0 процентов (рублей);

Q - общее количество добытого полезного ископаемого по участку недр, за исключением количества добытого полезного ископаемого, налогооблагаемого по ставке 0 процентов (рублей).

3.7. В случае недостатка строк Раздела 1 при заполнении Декларации на бумажном носителе дополнительно заполняется необходимое количество листов Раздела 1.

В электронном документе нумерация пунктов соответствует официальному источнику.

3.8. Сведения, указанные в Разделе 1 Декларации, в строке "Достоверность и полноту сведений, указанных на данной странице, подтверждаю" для организаций подтверждаются подписью руководителя организации или представителя, для индивидуальных предпринимателей - подписью индивидуального предпринимателя или представителя. При этом проставляется дата подписания.

IV. Заполнение Раздела 2 "Данные, служащие основанием для исчисления и уплаты налога, при добыче нефти обезвоженной, обессоленной и стабилизированной, за исключением добытой на новом морском месторождении углеводородного сырья и на участках недр, в отношении которой исчисляется налог на дополнительный доход от добычи углеводородного сырья" Декларации

4.1. Раздел 2 "Данные, служащие основанием для исчисления и уплаты налога, при добыче нефти обезвоженной, обессоленной и стабилизированной, за исключением добытой на новых морских месторождениях углеводородного сырья и на участках недр, в отношении которой исчисляется налог на дополнительный доход от добычи углеводородного сырья" заполняется налогоплательщиком отдельно по нефти, добытой на каждом участке недр, предоставленном налогоплательщику в пользование, за исключением новых морских месторождений углеводородного сырья и участков недр, по которым исчисляется налог на дополнительный доход от добычи углеводородного сырья.

4.2. По строке 010 указывается код вида добытого полезного ископаемого 03100 согласно приложению N 2 к настоящему Порядку.

4.3. По строке 020 указывается КБК, в соответствии с которым уплачивается налог в отношении данного добытого полезного ископаемого.

4.4. По строке 030 указывается код единицы измерения количества добытого полезного ископаемого "168" по Общероссийскому классификатору единиц измерения ОК 015-94 (далее - ОКЕИ) согласно приложению N 4 к настоящему Порядку.

4.5. В подразделе 2.1 "Показатели (коэффициенты), используемые для расчета налога по участку недр" налогоплательщик указывает значения показателей и коэффициентов, применяемых им при исчислении налога отдельно по каждой лицензии на право пользования недрами.

4.5.1. По строке 040 указывается код по ОКТМО, на территории которого осуществляется уплата налога по данному виду добытого полезного ископаемого.

4.5.2. По строке 050 указываются серия, номер и вид лицензии на пользование недрами. Например, "СТВ 12345 НЭ".

4.5.3. По строке 055 указывается значение ставки налога, рассчитанное в соответствии с подпунктом 9 пункта 2 статьи 342 Кодекса, с точностью до четвертого знака после запятой.

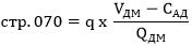
4.5.4. По строке 060 указывается значение показателя, характеризующего особенности добычи нефти (), определяемое в порядке, установленном статьей 342.5 Кодекса, для нефти, добытой из залежей, для которых значение коэффициента, характеризующего степень сложности добычи нефти (), равно 1.

Значение показателя указывается с точностью до второго знака после запятой, без округления.

4.5.5. По строке 070 указывается показатель , предусмотренный пунктом 1 статьи 342.5 Кодекса.

4.5.6. По строке 080 указывается значение коэффициента, характеризующего динамику мировых цен на нефть (), определяемое в соответствии с пунктом 3 статьи 342 Кодекса.

Значение коэффициента > 0 (нуля) округляется до четвертого знака после запятой.

4.5.7. По строке 110 указывается значение коэффициента, характеризующего величину запасов конкретного участка недр (), определяемое в соответствии с пунктом 3 статьи 342.5 Кодекса.

Значение коэффициента округляется до четвертого знака после запятой.

4.5.8. По строке 111 указывается значение величины начальных извлекаемых запасов нефти () в млн. тонн с точностью до третьего знака после запятой, в соответствии с пунктом 3 статьи 342.5 Кодекса.

4.5.9. По строке 115 указывается значение коэффициента, характеризующего степень выработанности конкретной залежи углеводородного сырья (), в соответствии с пунктом 3 статьи 342.2 Кодекса.

4.5.10. По строке 120 указывается значение коэффициента, характеризующего регион добычи и свойства нефти (), определяемое в соответствии с пунктом 4 статьи 342.5 Кодекса.

4.5.11. По строке 123 указывается значение коэффициента , определяемого в соответствии с пунктом 11 статьи 342.5 Кодекса;

Значение коэффициента указывается с точностью до четвертого знака после запятой, без округления.

4.5.12. По строкам 124 указываются значения коэффициентов, применяемых налогоплательщиком при расчете коэффициента - коэффициентов , и , , , и , определяемых в порядке, установленном пунктом 11 статьи 342.5 Кодекса.

Значения коэффициентов , и округляются до четвертого знака после запятой.

4.5.13. По строке 125 указывается значение коэффициента , определяемого в соответствии с пунктом 7 статьи 342.5 Кодекса.

Значение показателя отражается с точностью до четвертого знака после запятой, без округления.

4.5.14. По строке 130 указывается сумма налога, исчисленного при добыче нефти на участке недр, рассчитываемая следующим образом:

1) сумма налога рассчитывается как произведение налоговой ставки, указанной по строке 055 подраздела 2.1, и значения в графе 2 подраздела 2.1.1 с кодом 4000, 4002 - 4010 по графе 1;

2) сумма налога, рассчитанная на основании данных, указанных в подразделе 2.1.1, суммируется с показателем строки 260 всех подразделов 2.1.2 по всем залежам, относящимся к участку недр, реквизиты лицензии на право пользования которым указаны в строке 050 подраздела 2.1.

4.5.15. По строке 135 указывается признак применяемого налогового вычета:

00 - налоговый вычет не применяется;

01 - налоговый вычет, предусмотренный пунктом 3.1 статьи 343.2 Кодекса;

02 - налоговый вычет, предусмотренный пунктом 3.3 статьи 343.2 Кодекса;

03 - налоговый вычет, предусмотренный пунктом 3.4 статьи 343.2 Кодекса;

04 - налоговый вычет, предусмотренный пунктом 3.5 статьи 343.2 Кодекса;

05 - налоговый вычет, предусмотренный пунктом 3.6 статьи 343.2 Кодекса;

06 - налоговый вычет, предусмотренный статьей 343.5 Кодекса.

4.5.16. По строке 140 указывается сумма налогового вычета, применяемого в соответствии со статьей 343.2 или статьей 343.5 Кодекса.

В случае если по строке 135 указано значение "00", по строке 140 проставляется ноль.

При применении налогового вычета по основанию, установленному статьей 343.5 Кодекса, значение строки 140 не может превышать значения строки 145.

4.5.17. По строке 145 указывается значение предельной величины , рассчитываемой в соответствии с пунктом 7 статьи 343.5 Кодекса.

При применении вычета по основаниям, установленным статьей 343.2 Кодекса, по строке 145 ставится ноль.

4.5.18. По строке 150 указывается сумма налога, подлежащая уплате в бюджет, определяемая как разность строк 130 и 140.

4.6. Подраздел 2.1.1 "Данные о количестве нефти, добытой на участке недр, за исключением количества нефти, добытой из залежи (залежей) углеводородного сырья, которое указывается в подразделе 2.1.2" заполняется по залежам, относящимся к участку недр, реквизиты лицензии на право пользования которым указаны в строке 050 подраздела 2.1, для которых значение коэффициента равно 1, за исключением количества нефти, добытой из залежей, предусмотренных подпунктом 20 пункта 1 статьи 342 Кодекса.

4.6.1. В графе 1 проставляются коды основания налогообложения полезного ископаемого 1010, 1040, 1045, 4000, 4002 - 4003, 4005 - 4010 согласно приложению N 3 к настоящему Порядку.

4.6.2. В графе 2 указывается количество добытой нефти, подлежащее налогообложению по налоговой ставке, соответствующей коду основания налогообложения, проставленному в графе 1.

Количество добытого полезного ископаемого указывается с точностью до третьего знака после запятой.

В графе 2 подраздела 2.1.1 не указывается количество нефти, добытой из залежи:

для которой значение коэффициента < 1;

на участке недр, расположенном полностью в границах внутренних морских вод, территориального моря, на континентальном шельфе Российской Федерации или в российской части (российском секторе) дна Каспийского моря, при соблюдении хотя бы одного из условий, предусмотренных подпунктом 20 пункта 1 статьи 342 Кодекса;

отнесенной к баженовским, абалакским, хадумским или доманиковым продуктивным отложениям, при соблюдении условий, предусмотренных пунктом 3 статьи 342 Кодекса.

4.7. Подраздел 2.1.2 "Данные о количестве нефти, добытой из залежи углеводородного сырья" заполняется в случае добычи нефти из залежи углеводородного сырья, для которой значение коэффициента < 1 и значение коэффициента 1, из залежи на участке недр, расположенном полностью в границах внутренних морских вод, территориального моря, на континентальном шельфе Российской Федерации или в российской части (российском секторе) дна Каспийского моря, а также из залежи, отнесенной к баженовским, абалакским, хадумским или доманиковым продуктивным отложениям.

4.7.1. По строке 160 указывается наименование залежи углеводородного сырья в соответствии с данными государственного баланса запасов полезных ископаемых, утвержденного в году, предшествующем году налогового периода, либо по данным заключения государственной экспертизы запасов полезных ископаемых.

4.7.2. По строке 170 указывается эффективная нефтенасыщенная толщина пласта в метрах по данным государственного баланса запасов полезных ископаемых, утвержденного в году, предшествующем году налогового периода, либо по данным заключения государственной экспертизы запасов полезных ископаемых согласно пунктам 7 и 8 статьи 342.2 Кодекса, в случае применения значений коэффициента , предусмотренных подпунктами 2 и 3 пункта 1 статьи 342.2 Кодекса.

При добыче нефти из залежей, не указанных в подпунктах 2 и 3 пункта 1 статьи 342.2 Кодекса, по строке 170 ставится прочерк.

4.7.3. По строке 180 указывается показатель проницаемости залежи углеводородного сырья в мкм2 по данным государственного баланса запасов полезных ископаемых, утвержденного в году, предшествующем году налогового периода, либо по данным заключения государственной экспертизы запасов полезных ископаемых согласно пунктам 7 и 8 статьи 342.2 Кодекса в случае применения значений коэффициента , предусмотренных подпунктами 2 и 3 пункта 1 статьи 342.2 Кодекса.

При добыче нефти из залежей, не указанных в подпунктах 2 и 3 пункта 1 статьи 342.2 Кодекса, по строке 180 ставится прочерк.

4.7.4. По строке 190 указывается глубина залегания продуктивной залежи углеводородного сырья в метрах в соответствии с данными государственного баланса запасов полезных ископаемых, утвержденного в году, предшествующем году налогового периода, либо по данным заключения государственной экспертизы запасов полезных ископаемых. В случае, если в государственном балансе запасов полезных ископаемых установлен диапазон глубины залегания продуктивного пласта, то по строке 190 указывается минимальная глубина залегания залежи углеводородного сырья.

4.7.5. По строке 200 указывается плотность нефти в г/см3 (грамм на кубический сантиметр) в соответствии с данными государственного баланса запасов полезных ископаемых, утвержденного в году, предшествующем году налогового периода, либо по данным заключения государственной экспертизы запасов полезных ископаемых.

В случае установления в государственном балансе запасов полезных ископаемых либо в заключении государственной экспертизы запасов полезных ископаемых диапазона плотности нефти, по строке 200 указывается минимальное значение диапазона плотности нефти в г/см3.

4.7.6. По строке 205 указывается значение ставки налога, рассчитанное для нефти, добытой из залежи углеводородного сырья, в соответствии с подпунктом 9 пункта 2 статьи 342 Кодекса, с точностью до четвертого знака после запятой.

4.7.7. По строке 210 указывается значение показателя, характеризующего особенности добычи нефти (), определяемое в порядке, установленном статьей 342.5 Кодекса, для нефти, добытой из залежи.

Показатель определяется с точностью до второго знака после запятой.

При добыче нефти из залежи на участке недр, расположенном полностью в границах внутренних морских вод, территориального моря, на континентальном шельфе Российской Федерации или в российской части (российском секторе) дна Каспийского моря, по строке 210 ставится прочерк.

4.7.8. По строке 220 указывается степень выработанности запасов конкретной залежи углеводородного сырья, рассчитываемая в порядке, установленном пунктом 5 статьи 342.2 Кодекса, по данным государственного баланса запасов полезных ископаемых, утвержденного в году, предшествующем году налогового периода.

Показатель степени выработанности запасов залежи углеводородного сырья указывается с точностью до четвертого знака после запятой.

4.7.9. По строке 230 указывается значение коэффициента, характеризующего степень сложности добычи нефти (), определяемого в соответствии со статьей 342.2 Кодекса.

4.7.10. По строке 240 указывается количество налоговых периодов применения коэффициента < 1, начинающихся с 1 января года, установленного в пункте 2 статьи 342.2 Кодекса, для залежей углеводородного сырья.

При заполнении подраздела 2.1.2 по залежам, для которых коэффициент = 1, по строке 240 ставится прочерк.

4.7.11. По строке 250 указывается значение коэффициента, характеризующего степень выработанности конкретной залежи углеводородного сырья (), определяемое в соответствии со статьей 342.2 Кодекса.

Значение коэффициента округляется до четвертого знака после запятой.

При заполнении подраздела 2.1.2 по залежам, для которых коэффициент = 1, по строке 250 ставится прочерк.

4.7.12. По строке 260 указывается сумма исчисленного налога по нефти, добытой из залежи.

Сумма по указанной строке рассчитывается как произведение налоговой ставки, указанной по строке 205 подраздела 2.1.2, и значения в графе 2 подраздела 2.1.2 с кодом 4000, 4002 - 4010, 4300 по графе 1.

4.7.13. В графе 1 проставляются коды основания налогообложения добытых полезных ископаемых 1010, 1040, 1045, 1083, 4000, 4002, 4003, 4005 - 4010, 4300 согласно приложению N 3 к настоящему Порядку.

4.7.14. В графе 2 указывается количество нефти, добытой из залежи углеводородного сырья, подлежащее налогообложению по налоговой ставке, соответствующей коду основания налогообложения, проставленному в графе 1.

Количество добытого полезного ископаемого указывается с точностью до третьего знака после запятой.

4.8. В случае недостатка строк граф 1 и 2 при заполнении Декларации на бумажном носителе заполняется дополнительно необходимое количество листов Раздела 2 Декларации.

V. Заполнение Раздела 3 "Данные, служащие основанием для исчисления и уплаты налога, при добыче газа горючего природного и газового конденсата, за исключением добычи на новом морском месторождении углеводородного сырья" Декларации

5.1. Раздел 3 "Данные, служащие основанием для исчисления и уплаты налога, при добыче газа горючего природного и газового конденсата, за исключением добычи на новом морском месторождении углеводородного сырья" заполняется налогоплательщиком отдельно по КБК и отдельно по каждому виду полезного ископаемого, добытому на участке недр, предоставленном налогоплательщику в пользование.

5.2. По строке 010 указывается код вида добытого полезного ископаемого 03200 или 03300 согласно приложению N 2 к настоящему Порядку.

5.3. По строке 020 указывается КБК, в соответствии с которым уплачивается налог в отношении данного вида добытого полезного ископаемого.

5.4. По строке 030 указывается код единицы измерения количества добытого полезного ископаемого по ОКЕИ, согласно приложению N 4 к настоящему Порядку.

5.5. По строке 040 указывается сумма исчисленного налога по газовому конденсату, добытому на всех участках недр, предоставленных налогоплательщику в пользование, определяемая как сумма значений строки 210 всех подразделов 3.1.

При заполнении Раздела 3 в отношении газа горючего природного по строке 040 проставляется ноль.

5.6. По строке 045 указывается сумма налогового вычета, применяемого при исчислении налога по газовому конденсату (), рассчитанная в соответствии со статьей 343.4 Кодекса.

При заполнении Раздела 3 в отношении газа горючего природного по строке 045 проставляется ноль.

5.7. По строке 050 указывается сумма налога по газовому конденсату, подлежащая уплате в бюджет.

Значение строки 050 определяется как разность строк 040 и 045.

При заполнении Раздела 3 в отношении газа горючего природного строка 050 не заполняется.

5.8. По строке 060 указывается значение коэффициента извлечения широкой фракции легких углеводородов при переработке газового конденсата () с точностью до четвертого знака после запятой.

В случае, если налогоплательщик не имеет права на применение налогового вычета в отношении газового конденсата, предусмотренного статьей 343.4 Кодекса, либо в случае заполнения Раздела 3 в отношении газа горючего природного по строке 060 проставляется прочерк.

5.9. По строке 070 указывается количество добытого налогоплательщиком газового конденсата, переработанного на технологическом оборудовании по его переработке для получения широкой фракции легких углеводородов (в том числе третьими лицами) (), с точностью до четвертого знака после запятой.

В случае, если налогоплательщик не имеет права на применение налогового вычета в отношении газового конденсата, предусмотренного статьей 343.4 Кодекса, либо в случае заполнения Раздела 3 в отношении газа горючего природного по строке 070 проставляется прочерк.

5.10. По строке 080 указывается ставка налогового вычета в рублях на 1 тонну широкой фракции легких углеводородов, полученной из газового конденсата (В), рассчитанная налогоплательщиком в соответствии с пунктом 3 статьи 343.4 Кодекса.

В случае, если налогоплательщик не имеет права на применение налогового вычета в отношении газового конденсата, предусмотренного статьей 343.4 Кодекса, либо в случае заполнения Раздела 3 в отношении газа горючего природного по строке 080 проставляется прочерк.

5.11. По строке 090 указывается значение показателя, характеризующего расходы на транспортировку газа горючего природного (), определяемого в соответствии с пунктом 14 статьи 342.4 Кодекса.

Если показатель имеет отрицательное значение, то в строке 090 он указывается со знаком "минус".

При заполнении Раздела 3 в отношении газового конденсата по строке 090 проставляется прочерк.

5.12. По строке 100 указывается цена газа горючего природного (), рассчитанная налогоплательщиком в соответствии с пунктом 4 статьи 342.4 Кодекса, с точностью до четвертого знака после запятой.

5.13. По строке 110 указывается значение коэффициента, характеризующего долю реализации газа потребителям Российской Федерации в общем объеме реализованного организацией газа (), определяемого в соответствии с пунктом 5 статьи 342.4 Кодекса.

5.14. По строке 120 указывается значение коэффициента, характеризующего долю добытого газа горючего природного (за исключением попутного газа) в суммарном объеме добытого углеводородного сырья (), определяемого в соответствии с пунктом 6 статьи 342.4 Кодекса.

5.15. По строке 130 указывается средняя по Единой системе газоснабжения расчетная цена на газ, поставляемый потребителям Российской Федерации (кроме населения) (), применяемая согласно пункту 4 статьи 342.4 Кодекса.

5.16. По строке 140 указывается расчетная цена газа горючего природного при поставках за пределы территории государств участников Содружества Независимых Государств (), рассчитанная в соответствии с пунктом 4 статьи 342.4 Кодекса, с точностью до четвертого знака после запятой.

В случае, если налогоплательщик не осуществляет поставки газа горючего природного за пределы территории государств участников Содружества Независимых Государств, по строке 140 проставляется ноль.

5.17. По строке 150 указывается цена газового конденсата (), рассчитанная в соответствии с пунктом 2 статьи 342.4 Кодекса, с точностью до четвертого знака после запятой.

В случае, если налогоплательщик не осуществляет добычу газового конденсата, при заполнении Раздела 3 в отношении газа природного горючего по строке 150 проставляется ноль.

5.18. По строке 160 указывается условная ставка вывозной таможенной пошлины на газовый конденсат (), рассчитанная в соответствии с пунктом 16 статьи 342.4 Кодекса, с точностью до четвертого знака после запятой.

В случае, если налогоплательщик не осуществляет добычу газового конденсата, при заполнении Раздела 3 в отношении газа природного горючего по строке 160 проставляется ноль.

5.19. По строке 170 указывается коэффициент, характеризующий экспортную доходность единицы условного топлива (), определяемый в соответствии с пунктом 18 статьи 342.4 Кодекса.

5.20. По строке 180 указывается значение корректирующего коэффициента (), применяемого при исчислении ставки налога в отношении газового конденсата, в соответствии с подпунктом 10 пункта 2 статьи 342 Кодекса и пунктом 15 статьи 342.4 Кодекса.

При заполнении Раздела 3 в отношении газа горючего природного по строке 180 проставляется прочерк.

5.21. По строке 185 указывается значение коэффициента , определяемого в соответствии с пунктом 7 статьи 342.5 Кодекса.

Значение показателя указывается с точностью до четвертого знака после запятой, без округления.

5.22. По строке 187 указывается коэффициент, характеризующий количество добытого газового конденсата без учета широкой фракции легких углеводородов, согласно подпункту 10 пункта 2 статьи 342 Кодекса.

При заполнении Раздела 3 в отношении газа горючего природного по строке 187 проставляется прочерк.

5.23. В подразделе 3.1 "Показатели (коэффициенты), используемые для расчета налога по участку недр" налогоплательщик указывает количество добытого полезного ископаемого отдельно по каждой лицензии на право пользования недрами.

5.23.1. По строке 190 указывается код по ОКТМО, на территории которого осуществляется уплата налога по данному виду добытого полезного ископаемого.

5.23.2. По строке 200 указывается серия, номер и вид лицензии на пользование недрами. Например, "СТВ 12345 НЭ".

5.23.3. По строке 210 указывается исчисленная сумма налога по участку недр в рублях.

Значение строки 210 определяется как сумма строк 310 подраздела 3.1.1.

5.23.4. По строке 215 указывается сумма налогового вычета, применяемого при исчислении суммы налога в отношении газа горючего природного в соответствии со статьей 343.3 Кодекса.

При заполнении Раздела 3 в отношении газового конденсата по строке 215 проставляется ноль.

5.23.5. По строке 220 указывается сумма налога, подлежащая уплате в бюджет, рассчитанная по участку недр, реквизиты на право пользования которым указаны по строке 200 подраздела 3.1.

Значение строки 220 определяется как разность значений строк 210 и 215 подраздела 3.1.

При заполнении Раздела 3 в отношении газового конденсата значение строки 220 должно быть равно значению строки 210.

5.23.6. По строке 230 указывается значение степени выработанности запасов газа горючего природного конкретного участка недр (), определяемая в соответствии с пунктом 13 статьи 342.4 Кодекса.

Значение показателя Свг указывается с точностью до четвертого знака после запятой.

5.23.7. По строке 240 указывается базовое значение единицы условного топлива (), определяемое в соответствии с пунктом 1 статьи 342.4 Кодекса.

Значение показателя определяется с точностью до четвертого знака после запятой.

5.23.8. По строке 250 указывается значение коэффициента, характеризующего долю добытого газа горючего природного (за исключением попутного газа) в общем количестве газа горючего природного (за исключением попутного газа) и газового конденсата, добытых в истекшем налоговом периоде на участке недр, содержащем залежь углеводородного сырья (), рассчитанного в соответствии с пунктом 3 статьи 342.4 Кодекса.

Значение коэффициента определяется с точностью до четвертого знака после запятой.

5.24. Подраздел 3.1.1 "Данные о количестве полезного ископаемого, добытого из залежи углеводородного сырья" заполняется налогоплательщиком в отношении каждой отдельной залежи углеводородного сырья, из которой осуществляется добыча газа горючего природного и (или) газового конденсата, расположенной на участке недр, реквизиты лицензии на право пользования которым указаны в строке 200 подраздела 3.1.

5.24.1. По строке 260 указывается полное наименование конкретной залежи углеводородного сырья по данным государственного баланса запасов полезных ископаемых, утвержденного в году, предшествующем году налогового периода.

5.24.2. По строке 270 указывается глубина залегания продуктивной залежи углеводородного сырья по данным государственного баланса запасов полезных ископаемых, утвержденного в году, предшествующем году налогового периода.

В случае, если в государственном балансе запасов полезных ископаемых установлен диапазон глубины залегания продуктивного пласта, то по строке 270 указывается минимальная глубина залегания залежи углеводородного сырья.

5.24.3. По строке 280 указывается плотность в г/см3 (грамм на кубический сантиметр) для залежи газового конденсата, плотность газа по воздуху - для залежи газа горючего природного по данным государственного баланса запасов полезных ископаемых, утвержденного в году, предшествующем году налогового периода.

5.24.4. По строке 285 указывается соответствующее значение ставки налога по газовому конденсату или по газу горючему природному, рассчитанное в соответствии с подпунктом 10 или 11 пункта 2 статьи 342 Кодекса.

5.25.5. По строке 290 указываются значения коэффициентов , , , , для отдельной залежи газового конденсата или газа горючего природного, определяемые в соответствии с пунктами 8 - 12 статьи 342.4 Кодекса.

Коэффициенты , , , , указываются с точностью до четвертого знака после запятой.

5.24.6. По строке 300 указывается значение коэффициента, характеризующего степень сложности добычи газа горючего природного и (или) газового конденсата из залежи углеводородного сырья (), определяемого в соответствии с пунктом 7 статьи 342.4 Кодекса.

5.24.7. По строке 310 указывается сумма исчисленного налога по полезному ископаемому, добытому из залежи углеводородного сырья, определяемая как произведение налоговой ставки, указанной по строке 285 подраздела 3.1.1, и значения в графе 2 подраздела 3.1.1 с кодом 4000 по графе 1.

5.24.8. В графе 1 проставляется код основания налогообложения добытых полезных ископаемых 1010, 1080 - 1085, 4000 согласно приложению N 3 к настоящему Порядку.

5.24.9. В графе 2 указывается количество полезного ископаемого, добытого из залежи углеводородного сырья, подлежащего налогообложению по налоговой ставке, соответствующей коду основания налогообложения, проставленному в графе 1.

Количество добытого полезного ископаемого определяется с точностью до третьего знака после запятой.

VI. Заполнение Раздела 4 "Данные, служащие основанием для исчисления и уплаты налога, при добыче углеводородного сырья на новом морском месторождении углеводородного сырья" Декларации

6.1. Раздел 4 "Данные, служащие основанием для исчисления и уплаты налога, при добыче углеводородного сырья на новом морском месторождении углеводородного сырья" заполняется налогоплательщиком отдельно по каждому виду полезного ископаемого, добытого на каждом новом морском месторождении углеводородного сырья, предоставленном налогоплательщику в пользование.

6.2. По строке 010 указывается код вида добытого полезного ископаемого 03100, 03200, 03300 или 03401 согласно приложению N 2 к настоящему Порядку.

6.3. По строке 020 указывается КБК в соответствии с которым уплачивается налог в отношении данного добытого полезного ископаемого.

При заполнении раздела 4 по попутному газу (код вида полезного ископаемого 03401 согласно приложению N 2 к настоящему Порядку) по строке 020 проставляются нули.

6.4. По строке 030 указывается код единицы измерения количества добытого полезного ископаемого по ОКЕИ согласно приложению N 4 к настоящему Порядку.

6.5. По строке 040 указывается код по ОКТМО, на территории которого осуществляется уплата налога по данному виду добытого полезного ископаемого.

6.6. По строке 050 указываются серия, номер и вид лицензии на право пользования недрами, например: "ШБМ 12345 НЭ".

6.7. По строке 060 указывается наименование нового морского месторождения углеводородного сырья в соответствии с лицензией на право пользования недрами.

6.8. По строке 070 указывается месяц и год начала промышленной добычи углеводородного сырья, в соответствии с пунктом 6 статьи 338 Кодекса.

6.9. В графе 1 проставляется код основания налогообложения добытых полезных ископаемых 1010, 1083, 7000 - 7006 согласно приложению N 3 к настоящему Порядку.

6.10. В графе 2 указывается количество добытого полезного ископаемого, подлежащего налогообложению по налоговой ставке, соответствующей коду основания налогообложения, проставленному в графе 1.

Количество добытого полезного ископаемого определяется с точностью до третьего знака после запятой.

6.11. По строке 080 указывается стоимость единицы добытого полезного ископаемого, рассчитанная в соответствии со статьями 340 и 340.1 Кодекса.

Стоимость единицы добытого полезного ископаемого округляется до второго знака после запятой в соответствии с действующим порядком округления.

В случае отсутствия реализации в налоговом периоде углеводородного сырья, добытого на новом морском месторождении углеводородного сырья, по строке 080 ставится прочерк.

6.12. По строке 090 указывается минимальная предельная стоимость единицы углеводородного сырья, рассчитанная в порядке, предусмотренном статьей 340.1 Кодекса.

6.13. По строке 100 указывается количество реализованного добытого полезного ископаемого.

В случае отсутствия реализации добытого полезного ископаемого по строке 100 ставится прочерк.

6.14. По строке 110 указывается выручка от реализации добытого полезного ископаемого.

В случае отсутствия реализации добытого полезного ископаемого по строке 110 ставится прочерк.

6.15. По строке 120 указывается скорректированная выручка от реализации добытого полезного ископаемого на основании пункта 6 статьи 105.3 Кодекса.

В случае отсутствия выручки от реализации добытого полезного ископаемого, скорректированной на основании пункта 6 статьи 105.3 Кодекса, по строке 120 ставится прочерк.

6.16. По строке 130 указывается налоговая база по добытому полезному ископаемому.

Показатель по строке 130 определяется по каждому виду полезного ископаемого как произведение значений в графе 2 Раздела 4 (без учета количества полезного ископаемого, облагаемого по налоговой ставке 0 процентов (рублей)) и значения по строке 080 Раздела 4.

При этом показатель по строке 130 определяется по каждому виду полезного ископаемого как произведение значений в графе 2 Раздела 4 (без учета количества полезного ископаемого, облагаемого по налоговой ставке 0 процентов (рублей)) и значения по строке 090 Раздела 4 в следующих случаях:

1) если стоимость единицы добытого полезного ископаемого, определяемая в соответствии со статьей 340 Кодекса, за налоговый период меньше ее минимальной предельной стоимости, рассчитанной в соответствии со статьей 340.1 Кодекса;

2) если налогоплательщик на основании пункта 5 статьи 340.1 Кодекса определяет стоимость добытого полезного ископаемого исходя из минимальной предельной стоимости единицы добытого полезного ископаемого;

3) если отсутствует реализация налогоплательщиком в налоговом периоде углеводородного сырья, добытого на новом морском месторождении углеводородного сырья, на основании пункта 6 статьи 340.1 Кодекса.

При заполнении раздела 4 в отношении попутного газа (код вида полезного ископаемого 03401) по строке 130 ставится ноль.

6.17. По строке 140 указывается сумма исчисленного налога по добытому полезному ископаемому, рассчитываемая как произведение налоговой базы (строка 130 Раздела 4) и соответствующей налоговой ставки, установленной пунктом 2.1 статьи 342 Кодекса.

При заполнении раздела 4 в отношении попутного газа (код вида полезного ископаемого 03401) по строке 140 ставится ноль.

6.18. По строке 150 указывается скорректированная сумма исчисленного налога на основании пункта 6 статьи 105.3 Кодекса.

В случае отсутствия суммы исчисленного налога, скорректированной на основании пункта 6 статьи 105.3 Кодекса, по строке 150 ставится прочерк.

6.19. По строке 155 указывается признак применяемого налогового вычета:

00 - налоговый вычет не применяется;

03 - налоговый вычет, предусмотренный пунктом 3.4 статьи 343.2 Кодекса;

07 - налоговый вычет, предусмотренный статьей 343.4 Кодекса.

6.20. По строке 160 указывается сумма налогового вычета, применяемого в соответствии с пунктом 3.2 статьи 343.2 Кодекса или статьей 343.4 Кодекса.

В случае если по строке 155 указано значение "00", по строке 160 проставляется ноль.

6.21. По строке 170 указывается сумма налога, подлежащая уплате в бюджет, определяемая как разность строк 140 (или 150) и 160.

VII. Заполнение Раздела 5 "Данные, служащие основанием для исчисления и уплаты налога, за исключением углеводородного сырья (кроме попутного газа) и угля" Декларации

7.1. Раздел 5 "Данные, служащие основанием для исчисления и уплаты налога, за исключением углеводородного сырья (кроме попутного газа) и угля" заполняется налогоплательщиком отдельно по КБК и отдельно по каждому виду добытого полезного ископаемого, добытого на каждом участке недр, предоставленном налогоплательщику в пользование.

Раздел 5 не заполняется в отношении попутного газа, добытого на новых морских месторождениях углеводородного сырья (код вида полезного ископаемого 03401 согласно приложению N 2 к настоящему Порядку).

7.2. По строке 010 указывается код вида добытого полезного ископаемого, согласно приложению N 2 к настоящему Порядку.

7.3. По строке 020 указывается КБК, в соответствии с которым уплачивается налог в отношении данного добытого полезного ископаемого.

При заполнении раздела 5 в отношении попутного газа (код вида полезного ископаемого 03400 согласно приложению N 2 к настоящему Порядку) по строке 020 проставляются нули.

7.4. По строке 030 указывается код единицы измерения количества добытого полезного ископаемого по ОКЕИ согласно приложению N 4 к настоящему Порядку.

7.5. По строке 040 указывается величина налоговой ставки, установленной пунктом 2 статьи 342 Кодекса в отношении вида полезного ископаемого, код которого указан по строке 010 Раздела 5.

7.6. По строке 041 указывается значение рентного коэффициента , применяемого к ставке налога, в соответствии с пунктами 2 и 6 статьи 342 Кодекса - 3,5 или 1.

7.7. По строке 045 указывается код субъекта Российской Федерации, на территории которого зарегистрирован участник регионального инвестиционного проекта (на территории которого реализуется региональный инвестиционный проект), либо код субъекта Российской Федерации, на территории которого организация получила статус резидента территории опережающего социально-экономического развития.

По строке 045 указывается код субъекта Российской Федерации согласно приложению N 5 к настоящему Порядку.

Организациями, не являющимися участниками региональных инвестиционных проектов, а также организациями, не имеющими статус резидента территории опережающего социально-экономического развития, строка 045 не заполняется.

7.8. В подразделе 5.1 "Данные о количестве полезного ископаемого по участкам недр и особенностях его налогообложения" указывается количество полезного ископаемого по кодам по ОКТМО и лицензиям на право пользования недрами.

7.9. По строке 050 указывается код ОКТМО, на территории которого осуществляется уплата налога по данному виду добытого полезного ископаемого.

7.10. По строке 060 указываются серия, номер и вид лицензии на право пользования недрами, например: "ХАБ 12345 ТЭ".

7.11. По графе 1 проставляется код основания налогообложения добытых полезных ископаемых 1010, 1040, 1045, 1050, 1060, 1071 - 1074, 1090, 3000, 4000, 4100 согласно приложению N 3 к настоящему Порядку.

7.12. В графе 2 указывается количество добытого полезного ископаемого, подлежащего налогообложению по налоговой ставке, соответствующей коду основания налогообложения, проставленному в графе 1.

Количество добытого полезного ископаемого определяется с точностью до третьего знака после запятой.

7.13. При добыче кондиционных руд черных металлов (коды видов добытых полезных ископаемых 04101, 04102 и 04103 согласно приложению N 2 к настоящему Порядку) в графе 3 указывается значение коэффициента, характеризующего способ добычи кондиционных руд черных металлов (), применяемого в соответствии с подпунктом 3 пункта 2 статьи 342 и статьей 342.1 Кодекса.

7.14. При заполнении Раздела 5 в отношении руд редких металлов, образующих собственные месторождения, редких металлов, являющихся попутными компонентами в рудах других редких металлов, образующих собственные месторождения, рудах других полезных ископаемых, многокомпонентных комплексных рудах (коды видов добытых полезных ископаемых 04303, 04306, 04307, 04309, 04311, 04313, 04315, 04318 - 04332, 09008 - 09010 согласно приложению N 2 к настоящему Порядку), в графе 4 указывается значение коэффициента, характеризующего особенности добычи редких металлов (), применяемого в соответствии с подпунктом 3 пункта 2 статьи 342 и статьей 342.7 Кодекса.

7.15. При добыче налогоплательщиками, являющимися участниками региональных инвестиционных проектов, или налогоплательщиками, получившими статус резидента территории опережающего социально-экономического развития в соответствии с Федеральным законом от 29.12.2014 N 473-ФЗ "О территориях опережающего социально-экономического развития в Российской Федерации" (Собрание законодательства Российской Федерации, 2015, N 1, ст. 26; 2020, N 29, ст. 4504) (далее - Закон N 473-ФЗ), полезных ископаемых, облагаемых по ставкам, предусмотренным подпунктами 1 - 6, 8, 12 - 15 пункта 2 статьи 342 Кодекса, в графе 5 указывается значение коэффициента, характеризующего территорию добычи полезного ископаемого (), определяемого в соответствии со статьями 342.3 и 342.3-1 Кодекса.

7.16. В случае незаполнения граф 3, 4 и (или) 5 подраздела 5.1 в указанных графах ставится прочерк.

7.17. В графе 6 указывается признак применения коэффициента :

0 - налогоплательщик не является организацией, имеющей право на применение коэффициента ;

1 - налогоплательщик является участником регионального инвестиционного проекта, удовлетворяющего требованию, установленному подпунктом 1 пункта 1 статьи 25.8 Кодекса;

2 - налогоплательщик является организацией, получившей статус резидента территории опережающего социально-экономического развития в соответствии с Законом N 473-ФЗ;

3 - налогоплательщик является участником регионального инвестиционного проекта, указанным в подпункте 2 пункта 1 статьи 25.9 Кодекса.

В случае недостатка строк граф 1 - 6 при заполнении Декларации на бумажном носителе заполняется дополнительно необходимое количество листов.

7.18. По строке 070 указывается стоимость единицы добытого полезного ископаемого. Значение по строке 070 определяется следующим образом:

1) в случае оценки стоимости добытых полезных ископаемых исходя из цен реализации, включая уникальные драгоценные камни и уникальные самородки драгоценных металлов, не подлежащие переработке (за исключением драгоценных металлов и драгоценных камней):

,

где:

V - выручка от реализации добытого полезного ископаемого, определенная исходя из цен реализации без налога на добавленную стоимость (строка 100 или строка 110 подраздела 5.1);

- сумма расходов налогоплательщика по доставке в зависимости от условий поставки (строка 120 подраздела 5.1);

- количество реализованного налогоплательщиком в налоговом периоде добытого полезного ископаемого (строка 090 подраздела 5.1);

2) в случае оценки стоимости добытых драгоценных металлов, извлеченных из коренных (рудных), россыпных и техногенных месторождений:

,

где:

- выручка от реализации химически чистого металла, определенная исходя из цен реализации без налога на добавленную стоимость (строка 100 или строка 110 подраздела 5.1);

- сумма расходов по аффинажу (строка 130 подраздела 5.1) и расходов по доставке (перевозке) химически чистого металла до получателя (строка 120 подраздела 5.1);

- количество реализованного налогоплательщиком в налоговом периоде химически чистого металла (строка 090 подраздела 5.1);

q - доля содержания химически чистого металла в единице добытого полезного ископаемого (строка 080 подраздела 5.1);

3) в случае оценки стоимости добытых драгоценных камней:

,

где:

- стоимость добытых в налоговом периоде драгоценных камней исходя из их средневзвешенной цены реализации или исходя из их первичной оценки;

- количество добытых в налоговом периоде драгоценных камней;

4) в случае оценки стоимости единицы добытого полезного ископаемого исходя из расчетной стоимости - по данным Декларации как отношение суммы расходов по добыче полезного ископаемого (графа 4 соответствующей строки подраздела 6.2 "Определение суммы расходов по отдельным добытым полезным ископаемым") к количеству добытого полезного ископаемого (графа 2 подраздела 5.1).

Стоимость единицы добытого полезного ископаемого округляется до второго знака после запятой в соответствии с действующим порядком округления.

При оценке стоимости единицы полезного ископаемого в соответствии с пунктом 3 статьи 340 Кодекса исходя из стоимости полезного ископаемого, добытого на разных участках недр на основании нескольких лицензий на право пользования недрами, значение строки 070 всех подразделов 5.1 раздела 5 Декларации, заполненных по соответствующему виду полезного ископаемого, добытому на основании различных лицензий на право пользования недрами, одинаково.

7.19. По строке 080 указывается доля содержания химически чистого драгоценного металла в единице добытого полезного ископаемого.

При добыче полезных ископаемых, не относящихся к концентратам и другим полупродуктам, содержащим драгоценные металлы, по строке 080 ставится прочерк.

7.20. По строке 090 указывается количество реализованного добытого полезного ископаемого.

В случае заполнения раздела 5 Декларации в отношении одного вида добытого полезного ископаемого, добытого на нескольких участках недр, значение строки 090 всех подразделов 5.1 раздела 5 Декларации, заполненных по соответствующему виду полезного ископаемого, добытому на основании различных лицензий на право пользования недрами, одинаково.

В случае отсутствия реализации добытого полезного ископаемого по строке 090 ставится прочерк и заполняется Раздел 6.

В случае оценки стоимости полезного ископаемого исходя из его первичной оценки в соответствии с пунктом 6 статьи 340 Кодекса, по строке 090 ставится прочерк, при этом Раздел 6 не заполняется.

7.21. По строке 100 указывается выручка от реализации добытого полезного ископаемого.

В случае заполнения раздела 5 Декларации в отношении одного вида добытого полезного ископаемого, добытого на нескольких участках недр, значение строки 100 всех подразделов 5.1 раздела 5 Декларации, заполненных по соответствующему виду полезного ископаемого, добытому на основании различных лицензий на право пользования недрами, одинаково.

7.22. При заполнении Раздела 5 Декларации в отношении драгоценных камней по строке 105 указывается первичная оценка драгоценных камней, проводимая в соответствии с законодательством Российской Федерации о драгоценных металлах и драгоценных камнях.

При заполнении Раздела 5 Декларации по иным видам полезных ископаемых, по строке 105 ставится прочерк.

7.23. По строке 110 указывается скорректированная выручка от реализации добытого полезного ископаемого на основании пункта 6 статьи 105.3 Кодекса.

В случае заполнения раздела 5 Декларации в отношении одного вида добытого полезного ископаемого, добытого на нескольких участках недр, значение строки 110 всех подразделов 5.1 раздела 5 Декларации, заполненных по соответствующему виду полезного ископаемого, добытому на основании различных лицензий на право пользования недрами, одинаково.

В случае отсутствия выручки от реализации добытого полезного ископаемого, скорректированной на основании пункта 6 статьи 105.3 Кодекса, по строке 110 ставится прочерк.

7.24. По строке 120 указываются расходы налогоплательщика по доставке, предусмотренные пунктами 2 и 3 статьи 340 Кодекса.

При заполнении Раздела 5 по концентратам и другим полупродуктам, содержащим драгоценные металлы, по строке 120 указывается сумма расходов налогоплательщика по доставке (перевозке) химически чистого металла до получателя в соответствии с пунктом 5 статьи 340 Кодекса.

В случае заполнения раздела 5 Декларации в отношении одного вида добытого полезного ископаемого, добытого на нескольких участках недр, значение строки 120 всех подразделов 5.1 раздела 5 Декларации, заполненных по соответствующему виду полезного ископаемого, добытому на основании различных лицензий на право пользования недрами, одинаково.

7.25. При заполнении Раздела 5 в отношении концентратов и других полупродуктов, содержащих драгоценные металлы, по строке 130 указываются расходы налогоплательщика по аффинажу химически чистого драгоценного металла.

При добыче полезных ископаемых, не относящихся к концентратам и другим полупродуктам, содержащим драгоценные металлы, по строке 130 ставится прочерк.

В случае заполнения раздела 5 Декларации в отношении одного вида добытого полезного ископаемого, добытого на нескольких участках недр, значение строки 130 всех подразделов 5.1 раздела 5 Декларации, заполненных по соответствующему виду полезного ископаемого, добытому на основании различных лицензий на право пользования недрами, одинаково.

7.26. По строке 140 указывается налоговая база по добытому полезному ископаемому.

Показатель по строке 140 определяется по каждому виду полезного ископаемого как произведение суммы значений в графе 2 Раздела 5 (без учета количества полезного ископаемого, облагаемого по налоговой ставке 0 процентов (рублей)) и значения по строке 070 Раздела 5.

7.27. По строке 150 указывается сумма исчисленного налога по добытому полезному ископаемому, определяемая как произведение налоговой базы (строка 140 подраздела 5.1), налоговой ставки (строка 040 Раздела 5) и значения рентного коэффициента (строка 041 Раздела 5).

При добыче полезных ископаемых с кодами 04101, 04102 и 04103 значение строки 150 определяется как произведение строки 140 подраздела 5.1, строки 040 Раздела 5, строки 041 Раздела 5 и значения графы 3 подраздела 5.1. При добыче данных полезных ископаемых налогоплательщиком, являющимся в соответствии со статьей 342.3 или 342.3-1 Кодекса участником регионального инвестиционного проекта, указанное произведение дополнительно умножается на показатель графы 5 подраздела 5.1.

При добыче полезных ископаемых с кодами 04303, 04306, 04307, 04309, 04311, 04313, 04315, 04318 - 04332, 09008 - 09010 значение строки 150 определяется как произведение строки 140 подраздела 5.1, строки 040 Раздела 5, строки 041 Раздела 5 и значения графы 4 подраздела 5.1.

При добыче полезных ископаемых с кодами 05100 и 05200 значение строки 150 определяется как произведение значения графы 2 подраздела 5.1 с кодом 4000 в графе 1, строки 040 Раздела 5, строки 041 Раздела 5 и значения графы 5 подраздела 5.1.

При добыче полезных ископаемых налогоплательщиком, являющимся в соответствии со статьей 342.3 или 342.3-1 Кодекса участником регионального инвестиционного проекта, значение строки 150 определяется как произведение строки 140 Раздела 5, строки 040 Раздела 5, строки 041 Раздела 5 и значения графы 5 подраздела 5.1.

7.28. По строке 160 указывается скорректированная сумма исчисленного налога на основании пункта 6 статьи 105.3 Кодекса.

В случае отсутствия суммы исчисленного налога, скорректированной на основании пункта 6 статьи 105.3 Кодекса, по строке 160 ставится прочерк.

7.29. По строке 165 указывается сумма налогового вычета, применяемого в соответствии со статьей 343.6 Кодекса.

При отсутствии оснований для применения налогового вычета по строке 165 ставится ноль.

7.30. Значение строки 170 определяется как произведение строки 150 (или 160) подраздела 5.1 и коэффициента 0,6 в том случае, если в графе 2 подраздела 5.1 отражено количество добытого полезного ископаемого с кодом 4100 (если по участку недр налог подлежит уплате с применением коэффициента 0,6).

Если коэффициент 0,6, предусмотренный пунктом 2 статьи 342 Кодекса, при уплате налога по участку недр не применяются, то значение строки 170 должно быть равно значению строки 150 (или 160).

В случае применения налогоплательщиком налогового вычета, предусмотренного статьей 343.6 Кодекса, по строке 170 указывается сумма налога, подлежащая уплате в бюджет, определяемая как разность строк 150 (или 160) и 165.

7.31. Если добывается несколько видов полезных ископаемых, налог по которым зачисляется на один КБК и уплачивается по одному ОКТМО, то сумма строк 170 подраздела 5.1 Декларации должна соответствовать сумме, указанной в строке 030 Раздела 1 Декларации по соответствующему коду по ОКТМО и КБК.

VIII. Заполнение Раздела 6 "Определение стоимости единицы добытого полезного ископаемого исходя из расчетной стоимости" Декларации

8.1. Раздел 6 "Определение стоимости единицы добытого полезного ископаемого исходя из расчетной стоимости" заполняется в случае оценки стоимости какого-либо добытого полезного ископаемого в соответствии с пунктом 4 статьи 340 Кодекса исходя из расчетной стоимости и включается в состав Декларации в единственном экземпляре независимо от количества добытых полезных ископаемых, стоимость которых определяется указанным способом.

8.2. По строкам 010 - 040 указываются данные для расчета суммы прямых расходов, относящихся к добытым в налоговом периоде полезным ископаемым.

8.2.1. По строке 010 указывается сумма осуществленных налогоплательщиком в налоговом периоде прямых расходов по добыче полезных ископаемых, определяемых в соответствии со статьей 318 Кодекса.

8.2.2. По строкам 020 и 030 указывается стоимость остатков незавершенного производства по добыче полезных ископаемых соответственно на начало и на конец налогового периода, исчисленная в соответствии с пунктом 1 статьи 319 Кодекса.

8.2.3. По строке 040 указывается сумма прямых расходов, относящаяся к добытым в налоговом периоде полезным ископаемым, определяемая следующим образом:

строка 040 = строка 010 + строка 020 - строка 030.

8.3. По строкам 050 - 090 указываются данные для расчета суммы косвенных и иных расходов по добыче полезных ископаемых по участкам недр, предоставленным налогоплательщику в пользование.

8.3.1. По строке 050 указывается сумма внереализационных расходов, произведенных налогоплательщиком в течение налогового периода и относящихся к добытым полезным ископаемым, определяемых в соответствии с подпунктами 6 и 7 пункта 4 статьи 340 Кодекса.

8.3.2. По строке 060 указывается сумма косвенных расходов, произведенных налогоплательщиком в течение налогового периода и относящихся к добытым полезным ископаемым, определяемых в соответствии с подпунктами 1, 4, 5, 7 пункта 4 статьи 340 Кодекса.

8.3.3. По строке 070 указывается сумма косвенных расходов, связанных с добычей полезных ископаемых и другими видами деятельности, подлежащая распределению между затратами на добычу полезных ископаемых и затратами на иную деятельность налогоплательщика в соответствии с абзацем двенадцатым пункта 4 статьи 340 Кодекса.

8.3.4. По строке 080 указывается сумма прямых расходов по видам деятельности, произведенных налогоплательщиком в налоговом периоде.

8.3.5. По строке 090 указывается сумма косвенных и иных (внереализационных) расходов, относящаяся к добытым в налоговом периоде полезным ископаемым, определяемая следующим образом:

строка 090 = строка 050 + строка 060 + строка 070 x строка 010 / строка 080.

8.4. По строке 100 указывается общая сумма расходов по добыче полезных ископаемых, произведенных в налоговом периоде, по добыче полезных ископаемых, определяемая следующим образом:

строка 100 = строка 040 + строка 090.

8.5. В подразделе 6.2 "Определение суммы расходов по отдельным добытым полезным ископаемым" производится определение суммы расходов по добыче отдельных полезных ископаемых.

8.5.1. По строке 110 указывается код единицы измерения количества добытых полезных ископаемых по ОКЕИ (при заполнении Декларации следует иметь в виду, что все показатели количества добытого полезного ископаемого приводятся к общей единице измерения).

8.5.2. В графе 1 проставляется код добытого полезного ископаемого, согласно приложению N 2 к настоящему Порядку;

8.5.3. В графе 2 указывается количество добытого полезного ископаемого, код которого указан в графе 1;

8.5.4. В графе 3 указывается доля добытого полезного ископаемого в общем количестве добытых полезных ископаемых, определяемая как отношение значения в графе 2 для данного полезного ископаемого к сумме значений по всем строкам графы 2 (сумма значений в графе 3 должна равняться единице);

8.5.5. В графе 4 указывается сумма расходов по добыче полезного ископаемого, определяемая как произведение общей суммы расходов по добыче полезных ископаемых, произведенных в налоговом периоде (строка 100), и доли добытого полезного ископаемого в общем количестве добытых полезных ископаемых (графа 3).

IX. Заполнение Раздела 7 "Данные, служащие основанием для исчисления и уплаты налога, при добыче угля по участку недр" Декларации

9.1. Раздел 7 "Данные, служащие основанием для исчисления и уплаты налога, при добыче угля по участку недр" заполняется налогоплательщиком отдельно по соответствующему КБК и отдельно по каждому участку недр.

9.2. По строке 010 указывается КБК, в соответствии с которым уплачивается налог в отношении угля.

9.3. По строке 020 указываются серия, номер и вид лицензии на пользование недрами, например: "КЕМ 12345 ТЭ".

9.4. По строке 030 проставляется код единицы измерения количества добытого полезного ископаемого по ОКЕИ, согласно приложению N 4 к настоящему Порядку.

9.5. По строке 040 указывается код по ОКТМО, на территории которого осуществляется уплата налога по данному виду добытого полезного ископаемого.

9.6. По строке 045 указывается код субъекта Российской Федерации, на территории которого зарегистрирован участник регионального инвестиционного проекта (на территории которого реализуется региональный инвестиционный проект), либо код субъекта Российской Федерации, на территории которого организация получила статус резидента территории опережающего социально-экономического развития.

По строке 045 указывается код субъекта Российской Федерации согласно приложению N 5 к настоящему Порядку.

Организациями, не являющимися участниками региональных инвестиционных проектов, а также организациями, не имеющими статус резидента территории опережающего социально-экономического развития, строка 045 не заполняется.

9.7. По строке 050 указывается значение коэффициента, характеризующего территорию добычи полезного ископаемого (Ктд), определяемого в соответствии со статьей 342.3 или 342.3-1 Кодекса.

9.8. По строке 055 указывается признак применения коэффициента :

0 - налогоплательщик не является организацией, имеющей право на применение коэффициента ;

1 - налогоплательщик является участником регионального инвестиционного проекта, удовлетворяющего требованию, установленному подпунктом 1 пункта 1 статьи 25.8 Кодекса;

2 - налогоплательщик является организацией, получившей статус резидента территории опережающего социально-экономического развития в соответствии с Законом N 473-ФЗ;

3 - налогоплательщик является участником регионального инвестиционного проекта, указанным в подпункте 2 пункта 1 статьи 25.9 Кодекса.

9.9. В подразделе 7.1 "Данные о количестве добытого полезного ископаемого по участку недр" налогоплательщик указывает количество добытого угля отдельно по каждому виду угля.

9.9.1. В графе 1 указывается код вида добытого полезного ископаемого 01100, 01150, 01300 или 01350, согласно приложению N 2 к настоящему Порядку.

9.9.2. В графе 2 указываются коды основания налогообложения добытого угля 1010, 1040, 1045, 1050, 1060, 6000, 6001, 6100, 6101 по налоговым ставкам, установленным статьей 342 Кодекса, согласно приложению N 3 к настоящему Порядку.

9.9.3. В графе 3 указывается количество добытого угля, подлежащего налогообложению по соответствующей налоговой ставке, установленной статьей 342 Кодекса.

Количество добытого угля определяется с точностью до третьего знака после запятой.

9.10. Подраздел 7.2 "Расчет суммы налога, подлежащей уплате в бюджет, по участку недр" заполняется налогоплательщиком отдельно по каждому участку недр.

9.10.1. По строке 060 подраздела 7.2 указывается сумма расходов, не учтенных при определении налогового вычета на начало налогового периода, в соответствии с пунктом 4 статьи 343.1 Кодекса.

Показатель строки 060 подраздела 7.2 равен показателю строки 160 подраздела 7.2 Декларации за предыдущий налоговый период.

9.10.2. По строке 070 подраздела 7.2 указывается сумма расходов, осуществленных (понесенных) налогоплательщиком в налоговом периоде и связанных с обеспечением безопасных условий и охраны труда при добыче угля, в соответствии с перечнем видов расходов, связанных с обеспечением безопасных условий и охраны труда при добыче угля, принимаемых к вычету из суммы налога на добычу полезных ископаемых, утвержденным постановлением Правительства Российской Федерации от 10.06.2011 N 455 "Об утверждении перечня видов расходов, связанных с обеспечением безопасных условий и охраны труда при добыче угля, принимаемых к вычету из суммы налога на добычу полезных ископаемых" (Собрание законодательства Российской Федерации, 2011, N 25, ст. 3591), и пунктом 5 статьи 343.1 Кодекса, определяемая следующим образом:

строка 070 = строка 080 + строка 090 + строка 100.

9.10.3. По строкам 080 - 100 подраздела 7.2 указываются данные для расчета суммы расходов, осуществленных (понесенных) налогоплательщиком в налоговом периоде и связанных с обеспечением безопасных условий и охраны труда при добыче угля;

9.10.3.1. По строке 080 подраздела 7.2 указывается сумма материальных расходов налогоплательщика, определяемых в порядке, предусмотренном главой 25 Кодекса;

9.10.3.2. По строке 090 подраздела 7.2 указывается сумма расходов налогоплательщика на приобретение и (или) создание амортизируемого имущества;

9.10.3.3. По строке 100 подраздела 7.2 указывается сумма расходов, осуществленных (понесенных) налогоплательщиком в случаях достройки, дооборудования, реконструкции, модернизации, технического перевооружения объектов основных средств.

9.10.4. По строке 110 подраздела 7.2 указывается сумма расходов, осуществленных (понесенных) налогоплательщиком и связанных с обеспечением безопасных условий и охраны труда при добыче угля, включаемых в налоговый вычет и уменьшающих сумму налога за налоговый период, не превышающая предельной величины налогового вычета, определяемая следующим образом:

строка 060 + строка 070 строка 140.

9.10.5. По строке 120 подраздела 7.2 указывается значение коэффициента , определяемого в соответствии с пунктом 3 статьи 343.1 Кодекса для каждого участка недр и установленного в принятой налогоплательщиком учетной политике для целей налогообложения. Значение коэффициента не может превышать 0,3.

9.10.6. По строке 130 подраздела 7.2 указывается сумма налога, исчисленного при добыче угля без учета налогового вычета на каждом участке недр за налоговый период, определяемая следующим образом:

по кодам основания налогообложения добытых полезных ископаемых 6000 и 6100 (графа 2 подраздела 7.1) равна произведению значения в графе 3 подраздела 7.1, налоговой ставки, установленной пунктом 2 статьи 342 Кодекса, коэффициентов-дефляторов и коэффициента, характеризующего территорию добычи полезного ископаемого (строка 050 подраздела 7.1);

по кодам основания налогообложения добытых полезных ископаемых 6001 и 6101 (графа 2 подраздела 7.1) равна произведению значения в графе 3 подраздела 7.1, налоговой ставки, установленной пунктом 2 статьи 342 Кодекса, коэффициентов-дефляторов, коэффициента, характеризующего территорию добычи полезного ископаемого (строка 050 подраздела 7.1), и коэффициента 0,6;

9.10.7. По строке 140 подраздела 7.2 указывается предельная величина налогового вычета, определяемая следующим образом:

строка 140 = строка 130 x строка 120.

9.10.8. По строке 150 подраздела 7.2 указывается подлежащая уплате сумма налога по углю с учетом налогового вычета (коды основания налогообложения добытых полезных ископаемых 6000, 6001 согласно приложению N 3 к настоящему Порядку), исчисленная на участке недр за налоговый период, определяемая следующим образом:

строка 150 = строка 130 - строка 110.

При заполнении подраздела 7.2 при добыче угля без учета налогового вычета по строке 150 ставится прочерк.

9.10.9. По строке 160 подраздела 7.2 указывается сумма расходов, неучтенных при определении налогового вычета на конец налогового периода, в соответствии с пунктом 4 статьи 343.1 Кодекса, определяемая следующим образом:

строка 160 = строка 060 + строка 070 - строка 110.

Показатель строки 160 корреспондирует общей сумме строк 210 подраздела 7.3 и переносится в строку 060 подраздела 7.2 Декларации за следующий налоговый период, в случае если следующий налоговый период находится в пределах срока, установленного пунктом 4 статьи 343.1 Кодекса, для учета суммы превышения понесенных расходов при определении налогового вычета.

9.11. В подразделе 7.3 "Расчет суммы налоговых вычетов по участку недр" заполняется налогоплательщиком в случае, если фактическая сумма расходов, осуществленных (понесенных) налогоплательщиком в налоговом периоде и связанных с обеспечением безопасных условий и охраны труда при добыче угля, превышает предельную сумму налогового вычета, определенную в соответствии с пунктом 2 статьи 343.1 Кодекса, и при этом сумма такого превышения учитывается при определении налогового вычета в течение 36 налоговых периодов после налогового периода, в котором такие расходы были осуществлены (понесены) налогоплательщиком.

По строкам 170 - 220 подраздела 7.3 заполняются данные для расчета суммы одного налогового вычета, который возник в определенном налоговом периоде.

В случае если фактическая сумма расходов, осуществленных (понесенных) налогоплательщиком в налоговом периоде и связанных с обеспечением безопасных условий и охраны труда при добыче угля, превышает предельную сумму налогового вычета, то сумма такого превышения будет учитываться по строкам 170 - 220 подраздела 7.3 до полного ее использования, но не более чем в 36 налоговых периодах с даты (месяц и год) возникновения права на применение налогового вычета.

В случае недостатка строк в подразделе 7.3 при заполнении Декларации на бумажном носителе дополнительно заполняется необходимое количество листов подраздела 7.3.

9.11.1. По строке 170 подраздела 7.3 указываются месяц и год возникновения права на налоговый вычет.

9.11.2. По строке 180 подраздела 7.3 указывается сумма налогового вычета, определенная налогоплательщиком на дату (месяц и год) возникновения права на налоговый вычет, указанные по строке 170 этого подраздела, которая корреспондирует строке 070 подраздела 7.2.

9.11.3. По строке 190 подраздела 7.3 указывается сумма налогового вычета, использованная налогоплательщиком при исчислении суммы налога по углю в предыдущие налоговые периоды.

9.11.4. По строке 200 подраздела 7.3 указывается сумма налогового вычета, использованная налогоплательщиком при исчислении суммы налога по углю в текущем налоговом периоде, которая корреспондирует строке 110 подраздела

9.11.5. По строке 210 подраздела 7.3 указывается остаток суммы налогового вычета, определяемый следующим образом:

строка 210 = строка 180 - строка 190 - строка 200.

Показатель строки 210 подраздела 7.3 корреспондирует строке 160 подраздела 7.2.

9.11.6. По строке 220 указывается месяц и год окончания права на налоговый вычет.

X. Заполнение Раздела 8 "Данные, служащие основанием для исчисления и уплаты налога, при добыче нефти обезвоженной, обессоленной и стабилизированной, в отношении которой исчисляется налог на дополнительный доход от добычи углеводородного сырья" Декларации

10.1. Раздел 8 "Данные, служащие основанием для исчисления и уплаты налога, при добыче нефти обезвоженной, обессоленной и стабилизированной, в отношении которой исчисляется налог на дополнительный доход от добычи углеводородного сырья" заполняется налогоплательщиком отдельно в отношении нефти, добытой на каждом участке недр, предоставленном налогоплательщику в пользование.

10.2. По строке 010 указывается код вида добытого полезного ископаемого 03100, согласно приложению N 2 к настоящему Порядку.

10.3. По строке 020 указывается КБК, в соответствии с которым уплачивается налог в отношении данного добытого полезного ископаемого.

10.4. По строке 030 указывается код единицы измерения количества добытого полезного ископаемого 168 по ОКЕИ согласно приложению N 4 к настоящему Порядку.

10.5. В подразделе 8.1 "Расчет налога по участку недр" налогоплательщик указывает количество нефти отдельно по каждой лицензии на право пользования недрами.

10.5.1. По строке 040 указывается код по ОКТМО, на территории которого осуществляется уплата налога по данному виду добытого полезного ископаемого.

10.5.2. По строке 050 указываются серия, номер и вид лицензии на пользование недрами, например: "СТВ 12345 НЭ".

10.5.3. По строке 060 указывается год начала промышленной добычи нефти согласно пункту 3 статьи 342.6 Кодекса.

При отсутствии промышленной добычи нефти по строке 060 проставляются нули.

10.5.4. По строке 070 указывается значение коэффициента, характеризующего уровень налогообложения нефти, в отношении которой исчисляется налог на дополнительный доход от добычи углеводородного сырья (), определяемое в порядке, установленном статьей 342.6 Кодекса.

10.5.5. По строке 080 указывается показатель среднего за налоговый период уровня цен нефти сорта "Юралс", выраженный в долларах США за баррель (), определяемый в порядке, установленном пунктом 3 статьи 342 Кодекса.

10.5.6. По строке 090 указывается среднее за налоговый период значение курса доллара США к рублю Российской Федерации (Р), определяемое в порядке, установленном пунктом 3 статьи 342 Кодекса.

10.5.7. По строке 100 указывается признак коэффициента :

1 - для нефти обезвоженной, обессоленной и стабилизированной, добытой на участках недр, указанных в подпункте 1 пункта 1 статьи 333.45 Кодекса;

2 - для нефти обезвоженной, обессоленной и стабилизированной, добытой на участках недр, указанных в подпункте 2 пункта 1 статьи 333.45 Кодекса;

3 - для нефти обезвоженной, обессоленной и стабилизированной, добытой на участках недр, указанных в подпункте 3 пункта 1 статьи 333.45 Кодекса;

4 - для нефти обезвоженной, обессоленной и стабилизированной, добытой на участках недр, указанных в подпункте 4 пункта 1 статьи 333.45 Кодекса;

5 - для нефти обезвоженной, обессоленной и стабилизированной, добытой на участках недр, указанных в подпункте 5 пункта 1 статьи 333.45 Кодекса.

10.5.8. По строке 110 указывается значение коэффициента, характеризующего период времени, прошедший с даты начала промышленной добычи нефти на участке недр (), определяемый в соответствии с пунктом 2 статьи 342.6 Кодекса.

10.5.9. По строке 120 указывается значение ставки вывозной таможенной пошлины на нефть (ЭП), выраженной в долларах США за тонну нефти обезвоженной, обессоленной и стабилизированной, установленной на календарный месяц, соответствующий налоговому периоду, в отношении нефти, добытой на участке недр, в порядке, определенном Законом Российской Федерации от 21.05.1993 N 5003-1 "О таможенном тарифе" (Российская газета, 1993, N 107; 2020, N 38).

10.5.10. По строке 130 указывается сумма налога, исчисленного при добыче нефти на участке недр, рассчитываемая как произведение значения графы 2 с кодом 4050 по графе 1 подраздела 8.1, налоговой ставки, установленной подпунктом 9.1 пункта 2 статьи 342 Кодекса, и строки 070 подраздела 8.1.

10.5.11. По строке 133 указывается признак применяемого налогового вычета:

00 - налоговый вычет не применяется;

01 - налоговый вычет, предусмотренный пунктом 3.1 статьи 343.2 Кодекса;

02 - налоговый вычет, предусмотренный пунктом 3.3 статьи 343.2 Кодекса;

03 - налоговый вычет, предусмотренный пунктом 3.4 статьи 343.2 Кодекса;

04 - налоговый вычет, предусмотренный пунктом 3.5 статьи 343.2 Кодекса;

05 - налоговый вычет, предусмотренный пунктом 3.6 статьи 343.2 Кодекса;

06 - налоговый вычет, предусмотренный статьей 343.5 Кодекса.

10.5.12. По строке 135 указывается сумма налогового вычета, применяемого в соответствии со статьей 343.2 или 343.5 Кодекса.

При применении налогового вычета, предусмотренного статьей 343.5 Кодекса, значение строки 135 не может превышать значения строки 140.

При отсутствии оснований для применения налогового вычета по 135 ставится ноль.

10.5.13. По строке 140 указывается значение предельной величины , рассчитываемой в соответствии с пунктом 7 статьи 343.5 Кодекса.

10.5.14. По строке 150 указывается сумма налога, подлежащая уплате в бюджет, определяемая как разность строк 130 и 135.

10.5.15. В графе 1 проставляется код основания налогообложения добытых полезных ископаемых 1010, 1083, 4050 согласно приложению N 3 к настоящему Порядку.

10.5.16. В графе 2 указывается количество нефти, добытой на участке недр, подлежащее налогообложению по налоговой ставке, соответствующей коду основания налогообложения, проставленному в графе 1.

Количество добытого полезного ископаемого определяется с точностью до третьего знака после запятой.

10.6. В случае недостатка строк граф 1 и 2 при заполнении Декларации на бумажном носителе заполняется дополнительно необходимое количество листов.

Приложение N 1
к Порядку заполнения налоговой
декларации по налогу на добычу
полезных ископаемых, утвержденному
приказом ФНС России
от 08.12.2020 N КЧ-7-3/887@

КОДЫ, ОПРЕДЕЛЯЮЩИЕ НАЛОГОВЫЙ ПЕРИОД

Код Наименование
01 январь
02 февраль
03 март
04 апрель
05 май
06 июнь
07 июль
08 август
09 сентябрь
10 октябрь
11 ноябрь
12 декабрь
71 за январь при реорганизации (ликвидации) организации
72 за февраль при реорганизации (ликвидации) организации
73 за март при реорганизации (ликвидации) организации
74 за апрель при реорганизации (ликвидации) организации
75 за май при реорганизации (ликвидации) организации
76 за июнь при реорганизации (ликвидации) организации
77 за июль при реорганизации (ликвидации) организации
78 за август при реорганизации (ликвидации) организации
79 за сентябрь при реорганизации (ликвидации) организации
80 за октябрь при реорганизации (ликвидации) организации
81 за ноябрь при реорганизации (ликвидации) организации
82 за декабрь при реорганизации (ликвидации) организации

КОДЫ МЕСТА ПРЕДСТАВЛЕНИЯ НАЛОГОВОЙ ДЕКЛАРАЦИИ ПО НАЛОГУ НА ДОБЫЧУ ПОЛЕЗНЫХ ИСКОПАЕМЫХ В НАЛОГОВЫЙ ОРГАН

Код Наименование
120 По месту жительства индивидуального предпринимателя
213 По месту учета в качестве крупнейшего налогоплательщика
214 По месту нахождения российской организации, не являющейся крупнейшим налогоплательщиком
215 По месту нахождения правопреемника, не являющегося крупнейшим налогоплательщиком
216 По месту учета правопреемника, являющегося крупнейшим налогоплательщиком
331 По месту осуществления деятельности иностранной организации через отделение иностранной организации

КОДЫ ФОРМ РЕОРГАНИЗАЦИИ И КОД ЛИКВИДАЦИИ ОРГАНИЗАЦИИ

Код Наименование
1 Преобразование
2 Слияние
3 Разделение
5 Присоединение
6 Разделение с одновременным присоединением
0 Ликвидация

КОДЫ, ОПРЕДЕЛЯЮЩИЕ СПОСОБ ПРЕДСТАВЛЕНИЯ НАЛОГОВОЙ ДЕКЛАРАЦИИ ПО НАЛОГУ НА ДОБЫЧУ ПОЛЕЗНЫХ ИСКОПАЕМЫХ В НАЛОГОВЫЙ ОРГАН

Код Наименование
01 на бумажном носителе (по почте)
02 на бумажном носителе (лично)
03 на бумажном носителе с дублированием на съемном носителе (лично)
04 по телекоммуникационным каналам связи с электронной подписью
05 Другое
08 на бумажном носителе с дублированием на съемном носителе (по почте)
09 на бумажном носителе с использованием штрих-кода (лично)
10 на бумажном носителе с использованием штрих-кода (по почте)

Приложение N 2
к Порядку заполнения налоговой
декларации по налогу на добычу
полезных ископаемых, утвержденному
приказом ФНС России
от 08.12.2020 N КЧ-7-3/887@

КОДЫ ВИДОВ ДОБЫТЫХ ПОЛЕЗНЫХ ИСКОПАЕМЫХ

Код Наименование
Добытые полезные ископаемые
  угли
01100 антрацит
01150 уголь коксующийся
01300 уголь бурый
01350 уголь, за исключением антрацита, угля коксующегося и угля бурого
01400 горючие сланцы
02000 торф
  углеводородное сырье
03100 нефть обезвоженная, обессоленная и стабилизированная
03200 газовый конденсат из всех видов месторождений углеводородного сырья, прошедший технологию промысловой подготовки в соответствии с техническим проектом разработки месторождения, до направления на переработку
03300 газ горючий природный из всех видов месторождений углеводородного сырья, за исключением попутного газа
03400 попутный газ
03401 попутный газ, добытый на новых морских месторождениях углеводородного сырья
  товарные руды
  товарные (кондиционные) руды черных металлов
04101 железо
04102 марганец
04103 хром
  товарные (кондиционные) руды цветных металлов
04201 алюминий
04214 нефелины
04215 бокситы
04202 медь
04203 никель
04204 кобальт
04205 свинец
04206 цинк
04207 олово
04208 вольфрам
04209 молибден
04210 сурьма
04211 ртуть
04212 магний
04213 другие цветные металлы, не предусмотренные в других группировках
  товарные руды редких металлов, образующих собственные месторождения
04301 титан
04302 цирконий
04303 ниобий
04305 стронций
04306 литий
04307 бериллий
04308 ванадий
04309 германий
04310 цезий
04311 скандий
04312 селен
04313 тантал
04314 висмут
04315 рений
04316 рубидий
04317 кадмий
04318 иттрий
04319 лантан
04320 церий
04321 празеодим
04322 неодим
04323 самарий
04324 европий
04325 гадолиний
04326 тербий
04327 диспрозий
04328 гольмий
04329 эрбий
04330 туллий
04331 иттербий
04332 лютеций
04333 индий
04334 таллий
04335 галлий
04336 гафний
04337 теллур
05000 многокомпонентные комплексные руды
05001 полезные компоненты многокомпонентной комплексной руды, за исключением драгоценных и редких металлов
05100 многокомпонентная комплексная руда, содержащая медь, и (или) никель, и (или) металлы платиновой группы, добываемая на участках недр, расположенных полностью или частично на территории Красноярского края
05200 многокомпонентная комплексная руда, не содержащая медь, и (или) никель, и (или) металлы платиновой группы, добываемая на участках недр, расположенных полностью или частично на территории Красноярского края
  горно-химическое неметаллическое сырье
06101 апатит-нефелиновые руды
06118 апатитовые руды
06102 фосфоритовые руды
06103 калийные соли
06104 магниевые соли
06105 каменные соли
06106 борные руды
06107 сульфат натрия
06108 сера природная
06109 сера в газовых, серно-колчеданных и комплексных рудных месторождениях
06110 бариты
06111 асбест
06112 йод
06113 бром
06114 плавиковый шпат
06115 краски земляные (минеральные пигменты)
06116 карбонатные породы
06117 другие виды неметаллических полезных ископаемых для химической промышленности и производства минеральных удобрений
  горнорудное неметаллическое сырье
07001 абразивные породы
07002 жильный кварц (кроме особо чистого кварцевого и пьезооптического сырья)
07003 кварциты
07004 карбонатные породы для металлургии
07005 кварц-полешпатовое сырье
07006 кремнистое сырье
07007 стекольные пески
07008 графит природный
07009 тальк (стеатит)
07010 магнезит
07011 талько-магнезит
07012 пирофиллит
07013 слюда-московит
07014 слюда-флогопит
07015 вермикулит
07016 глины огнеупорные для производства буровых растворов
07018 сорбенты
07017 другие полезные ископаемые, не включенные в другие группы
08000 битуминозные породы, за исключением углеводородного сырья
  сырье редких металлов (рассеянных элементов)
09007 извлекаемые полезные компоненты, являющиеся попутными компонентами в рудах других полезных ископаемых
09008 редкие металлы (литий, бериллий, скандий, иттрий, лантан, церий, празеодим, неодим, самарий, европий, гадолиний, тербий, диспрозий, гольмий, эрбий, тулий, иттербий, лютеций, германий, ниобий, тантал, рений), являющиеся попутными компонентами в рудах других редких металлов, образующих собственные месторождения
09009 редкие металлы (литий, бериллий, скандий, иттрий, лантан, церий, празеодим, неодим, самарий, европий, гадолиний, тербий, диспрозий, гольмий, эрбий, тулий, иттербий, лютеций, германий, ниобий, тантал, рений), являющиеся попутными компонентами в рудах других полезных ископаемых
09010 редкие металлы (литий, бериллий, скандий, иттрий, лантан, церий, празеодим, неодим, самарий, европий, гадолиний, тербий, диспрозий, гольмий, эрбий, тулий, иттербий, лютеций, германий, ниобий, тантал, рений), являющиеся попутными компонентами в многокомпонентных комплексных рудах
  неметаллическое сырье, используемое в основном в строительной индустрии
10001 гипс
10002 ангидрид
10003 мел природный
10004 доломит
10005 флюс известняковый
10006 известняк
10007 известковый камень для изготовления извести и цемента
10008 песок природный строительный
10009 галька
10010 гравий
10011 песчано-гравийные смеси
10012 камень строительный
10013 облицовочные камни
10014 мергели
10015 глины
10016 другие неметаллические ископаемые, используемые в строительной индустрии
11100 кондиционный продукт пьезооптического сырья
11200 кондиционный продукт особо чистого кварцевого сырья
  кондиционный продукт камнесамоцветного сырья
11301 топаз
11302 нефрит
11303 жадеит
11304 родонит
11305 лазурит
11306 аметист
11307 бирюза
11308 агаты
11309 яшма
11310 другие
  природные алмазы, другие драгоценные камни из коренных, россыпных и техногенных месторождений, полудрагоценные камни
12001 природные алмазы
12002 изумруд
12003 рубин
12004 сапфир
12005 александрит
12006 янтарь
12007 полудрагоценные камни
12011 природные алмазы массой 10,80 и более карат
  концентраты и другие полупродукты, содержащие драгоценные металлы
13001 золото
13002 серебро
13003 платина
13004 палладий
13005 иридий
13006 родий
13007 рутений
13008 осмий
14100 соль природная
14200 чистый хлористый натрий
  подземные воды
15100 подземные воды, содержащие природные лечебные ресурсы (минеральные воды)
15200 термальные воды
15300 подземные воды, содержащие полезные ископаемые (промышленные воды)
15400 подземные воды, используемые исключительно в сельскохозяйственных целях
15500 лечебные грязи
  сырье радиоактивных металлов
16100 уран
16200 торий
16300 другие
17000 полезные ископаемые, не включенные в другие группировки

Приложение N 3
к Порядку заполнения налоговой
декларации по налогу на добычу
полезных ископаемых, утвержденному
приказом ФНС России
от 08.12.2020 N КЧ-7-3/887@

КОДЫ ОСНОВАНИЙ НАЛОГООБЛОЖЕНИЯ ДОБЫТЫХ ПОЛЕЗНЫХ ИСКОПАЕМЫХ ПО НАЛОГОВОЙ СТАВКЕ 0 ПРОЦЕНТОВ (РУБЛЕЙ) И ДРУГИХ ОСОБЕННОСТЕЙ ИСЧИСЛЕНИЯ И УПЛАТЫ НАЛОГА

Код Наименование основания Основание
Налогообложение по налоговой ставке 0 процентов (рублей) при добыче:
1010 полезных ископаемых в части нормативных потерь полезных ископаемых подпункт 1 пункта 1 статьи 342 Кодекса
1040 полезных ископаемых при разработке некондиционных запасов (остаточных запасов пониженного качества) (за исключением случаев ухудшения качества запасов полезных ископаемых в результате выборочной отработки месторождения) подпункт 4 пункта 1 статьи 342 Кодекса
1045 полезных ископаемых при разработке ранее списанных запасов полезных ископаемых (за исключением случаев ухудшения качества запасов полезных ископаемых в результате выборочной отработки месторождения) подпункт 4 пункта 1 статьи 342 Кодекса
1050 полезных ископаемых, остающихся во вскрышных, вмещающих (разубоживающих) породах, в отвалах или в отходах перерабатывающих производств в связи с отсутствием в Российской Федерации промышленной технологии их извлечения подпункт 5 пункта 1 статьи 342 Кодекса
1060 полезных ископаемых, добываемых из вскрышных и вмещающих (разубоживающих) пород, отходов горнодобывающего и связанных с ним перерабатывающих производств, в том числе в результате переработки нефтешламов, в пределах нормативов содержания полезных ископаемых в указанных породах и отходах подпункт 5 пункта 1 статьи 342 Кодекса
1071 попутного газа подпункт 2 пункта 1 статьи 342 Кодекса
1072 подземных вод, содержащих полезные ископаемые (промышленные воды) подпункт 3 пункта 1 статьи 342 Кодекса
1073 минеральных вод, используемых налогоплательщиком исключительно в лечебных и курортных целях без непосредственной реализации подпункт 6 пункта 1 статьи 342 Кодекса
1074 подземных вод, используемых налогоплательщиком исключительно в сельскохозяйственных целях, включая орошение земель сельскохозяйственного назначения, водоснабжение животноводческих ферм, животноводческих комплексов, птицефабрик, сельскохозяйственных кооперативов, садоводческих и огороднических некоммерческих товариществ подпункт 7 пункта 1 статьи 342 Кодекса
1080 газа горючего природного (за исключением попутного газа), закачанного в пласт для поддержания пластового давления при добыче газового конденсата в пределах одного или нескольких участков недр, права пользования которыми предоставлены налогоплательщику на основании лицензий, в соответствии с техническим проектом разработки месторождения, предусматривающим выполнение таких работ на указанных участках недр подпункт 13 пункта 1 статьи 342 Кодекса
1081 газа горючего природного на участках недр, расположенных полностью или частично на полуостровах Ямал и (или) Гыданский в Ямало-Ненецком автономном округе, используемого исключительно для производства сжиженного природного газа подпункт 18 пункта 1 статьи 342 Кодекса
1082 газового конденсата совместно с газом горючим природным, используемым исключительно для производства сжиженного природного газа, на участках недр, расположенных полностью или частично на полуостровах Ямал и (или) Гыданский в Ямало-Ненецком автономном округе подпункт 19 пункта 1 статьи 342 Кодекса
1083 углеводородного сырья, добытого из залежи углеводородного сырья на участке недр, расположенном полностью в границах внутренних морских вод, территориального моря, на континентальном шельфе Российской Федерации или в Российской части (российском секторе) дна Каспийского моря подпункт 20 пункта 1 статьи 342 Кодекса
1084 газа горючего природного, добытого на участках недр, расположенных полностью севернее Северного полярного круга, в границах Архангельской области, Ненецкого автономного округа, Республики Коми, Ямало-Ненецкого автономного округа, Красноярского края, Республики Саха (Якутия), Чукотского автономного округа, используемого исключительно для производства сжиженного природного газа и (или) в качестве сырья для производства товаров, являющихся продукцией нефтехимии подпункт 18.1 пункта 1 статьи 342 Кодекса
1085 газового конденсата совместно с газом горючим природным, используемого исключительно для производства сжиженного природного газа и (или) в качестве сырья для производства товаров, являющихся продукцией нефтехимии, добытого на участках недр, расположенных полностью севернее Северного полярного круга, в границах Архангельской области, Ненецкого автономного округа, Республики Коми, Ямало-Ненецкого автономного округа, Красноярского края, Республики Саха (Якутия), Чукотского автономного округа подпункт 19.1 пункта 1 статьи 342 Кодекса
1090 кондиционных руд олова, добываемых на участках недр, расположенных полностью или частично на территории Дальневосточного федерального округа подпункт 17 пункта 1 статьи 342 Кодекса (на период с 01.01.2013 по 31.12.2022 включительно)
Налогообложение по общеустановленной налоговой ставке
3000 освобождение от уплаты налога в соответствии с международными договорами Российской Федерации статья 7 Кодекса
4000 налогообложение по общеустановленной налоговой ставке пункт 2 (за исключением подпункта 9.1) статьи 342 Кодекса
4050 налогообложение нефти, добытой на участке недр, в отношении которой в течение всего налогового периода исчисляется налог на дополнительный доход от добычи углеводородного сырья подпункт 9.1 пункта 2 статьи 342 Кодекса
4100 с применением участниками Особой экономической зоны в Магаданской области коэффициента 0,6 абзац 51 пункта 2 статьи 342 Кодекса
4300 с применением коэффициента , равного нулю, в отношении нефти из конкретной залежи углеводородного сырья, отнесенной к баженовским, абалакским, хадумским или доманиковым продуктивным отложениям пункты 2 и 3 статьи 342 Кодекса
Налогообложение нефти по общеустановленной налоговой ставке с применением коэффициента равного нулю
4002 нефти на участках недр, расположенных полностью или частично в границах Республики Саха (Якутия), Иркутской области, Красноярского края подпункт 2 пункта 4 статьи 342.5 Кодекса
4003 нефти на участках недр, расположенных севернее Северного полярного круга полностью или частично в границах внутренних морских вод и территориального моря, на континентальном шельфе Российской Федерации подпункт 3 пункта 4 статьи 342.5 Кодекса
4005 нефти на участках недр, расположенных полностью или частично на территории Ненецкого автономного округа, полуострове Ямал в Ямало-Ненецком автономном округе подпункт 5 пункта 4 статьи 342.5 Кодекса
4006 нефти на участках недр, расположенных полностью или частично в Черном море подпункт 6 пункта 4 статьи 342.5 Кодекса
4007 нефти на участках недр, расположенных полностью или частично в Охотском море подпункт 7 пункта 4 статьи 342.5 Кодекса
4008 нефти на участках недр, расположенных полностью или частично севернее 65 градуса северной широты полностью или частично в границах Ямало-Ненецкого автономного округа, за исключением участков недр, расположенных полностью или частично на территории полуострова Ямал в границах Ямало-Ненецкого автономного округа подпункт 8 пункта 4 статьи 342.5 Кодекса
4009 нефти на участках недр, расположенных полностью или частично в Азовском море подпункт 4 пункта 4 статьи 342.5 Кодекса
4010 нефти на участках недр, расположенных полностью или частично в Каспийском море подпункт 9 пункта 4 статьи 342.5 Кодекса
Налогообложение угля по общеустановленной налоговой ставке
6000 с учетом налогового вычета, без применения коэффициента 0,6 пункт 2 статьи 342 Кодекса и пункт 1 статьи 343.1 Кодекса
6001 с учетом налогового вычета, с применением коэффициента 0,6
6100 без учета налогового вычета, без применения коэффициента 0,6
6101 без учета налогового вычета, с применением коэффициента 0,6
Налогообложение по налоговым ставкам в отношении углеводородного сырья, добытого на новом морском месторождении углеводородного сырья
7000 30% при добыче полезных ископаемых на месторождениях, расположенных полностью в Азовском море или на 50 и более процентов своей площади в Балтийском море подпункт 1 пункта 6 статьи 338 и подпункт 1 пункта 2.1 статьи 342 Кодекса
7001 15% при добыче полезных ископаемых на месторождениях, расположенных на 50 и более процентов своей площади в Черном море (глубина до 100 метров включительно), Японском море, в российской части (российском секторе) дна Каспийского моря, расположенных на 50 и более процентов своей площади в Белом море, Печорском море, южной части Охотского моря (южнее 55 градуса северной широты) подпункт 2 пункта 6 статьи 338 и подпункт 2 пункта 2.1 статьи 342 Кодекса
7002 10% при добыче полезных ископаемых (за исключением газа природного горючего) на месторождениях, расположенных на 50 и более процентов своей площади в Черном море (глубина более 100 метров), в северной части Охотского моря (на 55 градусе северной широты или севернее этой широты), южной части Баренцева моря (южнее 72 градуса северной широты) подпункт 3 пункта 6 статьи 338 и подпункт 3 пункта 2.1 статьи 342 Кодекса
7003 5% при добыче полезных ископаемых (за исключением газа природного горючего) на месторождениях, расположенных на 50 и более процентов своей площади в Карском море, северной части Баренцева моря (на 72 градусе северной широты или севернее этой широты), восточной Арктике (в море Лаптевых, Восточно-Сибирском море, Чукотском море и Беринговом море), на месторождениях, расположенных на 50 и более процентов своей площади в Белом море, Печорском море, Охотском море, южной части Баренцева моря (южнее 72 градуса северной широты) подпункт 4 пункта 6 статьи 338 и подпункт 4 пункта 2.1 статьи 342 Кодекса
7004 4,5% при добыче полезных ископаемых (за исключением газа природного горючего) на месторождениях, расположенных на 50 и более процентов своей площади в Карском море, северной части Баренцева моря (на 72 градусе северной широты или севернее этой широты), восточной Арктике (море Лаптевых, Восточно-Сибирском море, Чукотском море и Беринговом море), на месторождениях, расположенных на 50 и более процентов своей площади в Белом море, Печорском море, Охотском море, южной части Баренцева моря (южнее 72 градуса северной широты) организациями, не имеющими право на экспорт сжиженного природного газа, произведенного из газа природного горючего, добытого на новых морских месторождениях углеводородного сырья, на мировые рынки подпункт 4 пункта 6 статьи 338 и подпункт 4 пункта 2.1 статьи 342 Кодекса
7005 1,3% при добыче газа природного горючего на месторождениях, расположенных на 50 и более процентов своей площади в Черном море (глубина более 100 метров), северной части Охотского моря (на 55 градусе северной широты или севернее этой широты), южной части Баренцева моря (южнее 72 градуса северной широты) подпункт 3 пункта 6 статьи 338 и подпункт 5 пункта 2.1 статьи 342 Кодекса
7006 1% при добыче газа природного горючего на месторождениях, расположенных на 50 и более процентов своей площади в Карском море, северной части Баренцева моря (на 72 градусе северной широты или севернее этой широты), восточной Арктике (море Лаптевых, Восточно-Сибирском море, Чукотском море и Беринговом море), на месторождениях, расположенных на 50 и более процентов своей площади в Белом море, Печорском море, Охотском море, южной части Баренцева моря (южнее 72 градуса северной широты) подпункт 4 пункта 6 статьи 338 и подпункт 6 пункта 2.1 статьи 342 Кодекса

Приложение N 4
к Порядку заполнения налоговой
декларации по налогу на добычу
полезных ископаемых, утвержденному
приказом ФНС России
от 08.12.2020 N КЧ-7-3/887@

КОДЫ ЕДИНИЦ ИЗМЕРЕНИЯ КОЛИЧЕСТВА ДОБЫТОГО ПОЛЕЗНОГО ИСКОПАЕМОГО ПО ОБЩЕРОССИЙСКОМУ КЛАССИФИКАТОРУ ЕДИНИЦ ИЗМЕРЕНИЯ ОК 015-94

Код Наименование единицы измерения Условное обозначение
национальное международное
Единицы объема
112 Литр; л; I; L;
кубический дециметр дм3 3
113 Кубический метр м3 m3
114 Тысяча кубических метров тыс. м3 -
Единицы массы
163 Грамм г g
166 Килограмм кг kg
168 Тонна;
метрическая тонна (1000 кг)
т t

Приложение N 5
к Порядку заполнения налоговой
декларации по налогу на добычу
полезных ископаемых, утвержденному
приказом ФНС России
от 08.12.2020 N КЧ-7-3/887@

КОДЫ СУБЪЕКТОВ РОССИЙСКОЙ ФЕДЕРАЦИИ

Код Наименование
01 Республика Адыгея (Адыгея)
02 Республика Башкортостан
03 Республика Бурятия
04 Республика Алтай
05 Республика Дагестан
06 Республика Ингушетия
07 Кабардино-Балкарская Республика
08 Республика Калмыкия
09 Карачаево-Черкесская Республика
10 Республика Карелия
11 Республика Коми
12 Республика Марий Эл
13 Республика Мордовия
14 Республика Саха (Якутия)
15 Республика Северная Осетия - Алания
16 Республика Татарстан (Татарстан)
17 Республика Тыва
18 Удмуртская Республика
19 Республика Хакасия
20 Чеченская Республика
21 Чувашская Республика - Чувашия
22 Алтайский край
23 Краснодарский край
24 Красноярский край
25 Приморский край
26 Ставропольский край
27 Хабаровский край
28 Амурская область
29 Архангельская область
30 Астраханская область
31 Белгородская область
32 Брянская область
33 Владимирская область
34 Волгоградская область
35 Вологодская область
36 Воронежская область
37 Ивановская область
38 Иркутская область
39 Калининградская область
40 Калужская область
41 Камчатский край
42 Кемеровская область - Кузбасс
43 Кировская область
44 Костромская область
45 Курганская область
46 Курская область
47 Ленинградская область
48 Липецкая область
49 Магаданская область
50 Московская область
51 Мурманская область
52 Нижегородская область
53 Новгородская область
54 Новосибирская область
55 Омская область
56 Оренбургская область
57 Орловская область
58 Пензенская область
59 Пермский край
60 Псковская область
61 Ростовская область
62 Рязанская область
63 Самарская область
64 Саратовская область
65 Сахалинская область
66 Свердловская область
67 Смоленская область
68 Тамбовская область
69 Тверская область
70 Томская область
71 Тульская область
72 Тюменская область
73 Ульяновская область
74 Челябинская область
75 Забайкальский край
76 Ярославская область
77 г. Москва
78 г. Санкт-Петербург
79 Еврейская автономная область
83 Ненецкий автономный округ
86 Ханты-Мансийский автономный округ - Югра
87 Чукотский автономный округ
89 Ямало-Ненецкий автономный округ
91 Республика Крым
92 г. Севастополь
99 Иные территории, включая город и космодром Байконур

Приложение N 3
к приказу ФНС России
от 8 декабря 2020 г. N КЧ-7-3/887@

ФОРМАТ
ПРЕДСТАВЛЕНИЯ НАЛОГОВОЙ ДЕКЛАРАЦИИ ПО НАЛОГУ НА ДОБЫЧУ ПОЛЕЗНЫХ ИСКОПАЕМЫХ В ЭЛЕКТРОННОЙ ФОРМЕ

I. ОБЩИЕ СВЕДЕНИЯ

1. Настоящий формат описывает требования к XML файлам (далее - файл обмена) передачи в электронной форме налоговой декларации по налогу на добычу полезных ископаемых в налоговые органы.

2. Номер версии настоящего формата 5.07, часть X.

II. ОПИСАНИЕ ФАЙЛА ОБМЕНА

3. Имя файла обмена должно иметь следующий вид:

R_T_A_K_O_GGGGMMDD_N, где:

R_T - префикс, принимающий значение NO_NDPI;

A_K - идентификатор получателя информации, где: A - идентификатор получателя, которому направляется файл обмена, K - идентификатор конечного получателя, для которого предназначена информация из данного файла обмена. Передача файла от отправителя к конечному получателю (K) может осуществляться в несколько этапов через другие налоговые органы, осуществляющие передачу файла на промежуточных этапах, которые обозначаются идентификатором A. В случае передачи файла от отправителя к конечному получателю при отсутствии налоговых органов, осуществляющих передачу на промежуточных этапах, значения идентификаторов A и K совпадают. Каждый из идентификаторов (A и K) имеет вид для налоговых органов - четырехразрядный код налогового органа;

O - идентификатор отправителя информации, имеет вид:

для организаций - девятнадцатиразрядный код (идентификационный номер налогоплательщика (далее - ИНН) и код причины постановки на учет (далее - КПП) организации (обособленного подразделения);

для физических лиц - двенадцатиразрядный код (ИНН физического лица, при наличии. При отсутствии ИНН - последовательность из двенадцати нулей).

GGGG - год формирования передаваемого файла, MM - месяц, DD - день;

N - идентификационный номер файла. (Длина - от 1 до 36 знаков. Идентификационный номер файла должен обеспечивать уникальность файла).

Расширение имени файла - xml. Расширение имени файла может указываться как строчными, так и прописными буквами.

Параметры первой строки файла обмена

Первая строка XML файла должна иметь следующий вид:

<?xml version ="1.0" encoding ="windows-1251"?>

Имя файла, содержащего XML схему файла обмена, должно иметь следующий вид:

NO_NDPI_1_010_00_05_07_xx, где xx - номер версии схемы.

Расширение имени файла - xsd.

XML схема файла обмена приводится отдельным файлом и размещается на официальном сайте Федеральной налоговой службы.

4. Логическая модель файла обмена представлена в виде диаграммы структуры файла обмена на рисунке 1 настоящего формата. Элементами логической модели файла обмена являются элементы и атрибуты XML файла. Перечень структурных элементов логической модели файла обмена и сведения о них приведены в таблицах 4.1 - 4.40 настоящего формата.

Для каждого структурного элемента логической модели файла обмена приводятся следующие сведения:

наименование элемента. Приводится полное наименование элемента. В строке таблицы могут быть описаны несколько элементов, наименования которых разделены символом "|". Такая форма записи применяется при наличии в файле обмена только одного элемента из описанных в этой строке;

сокращенное наименование (код) элемента. Приводится сокращенное наименование элемента. Синтаксис сокращенного наименования должен удовлетворять спецификации XML;

признак типа элемента. Может принимать следующие значения: "С" - сложный элемент логической модели (содержит вложенные элементы), "П" - простой элемент логической модели, реализованный в виде элемента XML файла, "А" - простой элемент логической модели, реализованный в виде атрибута элемента XML файла. Простой элемент логической модели не содержит вложенные элементы;

формат элемента. Формат элемента представляется следующими условными обозначениями: T - символьная строка; N - числовое значение (целое или дробное).

Формат символьной строки указывается в виде T(n-k) или T(=k), где: n - минимальное количество знаков, k - максимальное количество знаков, символ "-" - разделитель, символ "=" означает фиксированное количество знаков в строке. В случае, если минимальное количество знаков равно 0, формат имеет вид T(0-k). В случае, если максимальное количество знаков не ограничено, формат имеет вид T(n-).

Формат числового значения указывается в виде N(m.k), где: m - максимальное количество знаков в числе, включая целую и дробную часть числа без разделяющей десятичной точки и знака (для отрицательного числа), k - максимальное число знаков дробной части числа. Если число знаков дробной части числа равно 0 (то есть число целое), то формат числового значения имеет вид N(m).

Для простых элементов, являющихся базовыми в XML, например, элемент с типом "date", поле "Формат элемента" не заполняется. Для таких элементов в поле "Дополнительная информация" указывается тип базового элемента;

признак обязательности элемента определяет обязательность наличия элемента (совокупности наименования элемента и его значения) в файле обмена. Признак обязательности элемента может принимать следующие значения: "О" - наличие элемента в файле обмена обязательно; "Н" - наличие элемента в файле обмена необязательно, то есть элемент может отсутствовать. Если элемент принимает ограниченный перечень значений (по классификатору, кодовому словарю и тому подобному), то признак обязательности элемента дополняется символом "К". Например, "ОК". В случае, если количество реализаций элемента может быть более одной, то признак обязательности элемента дополняется символом "М". Например, "НМ" или "ОКМ".

К вышеперечисленным признакам обязательности элемента может добавляться значение "У" в случае описания в XML схеме условий, предъявляемых к элементу в файле обмена, описанных в графе "Дополнительная информация". Например, "НУ" или "ОКУ";

дополнительная информация содержит, при необходимости, требования к элементу файла обмена, не указанные ранее. Для сложных элементов указывается ссылка на таблицу, в которой описывается состав данного элемента. Для элементов, принимающих ограниченный перечень значений из классификатора (кодового словаря и тому подобного), указывается соответствующее наименование классификатора (кодового словаря и тому подобного) или приводится перечень возможных значений. Для классификатора (кодового словаря и тому подобного) может указываться ссылка на его местонахождение. Для элементов, использующих пользовательский тип данных, указывается наименование типового элемента.

Рисунок 1. Диаграмма структуры файла обмена

Таблица 4.1

Файл обмена (Файл)

Наименование элемента Сокращенное наименование (код) элемента Признак типа элемента Формат элемента Признак обязательности элемента Дополнительная информация
Идентификатор файла ИдФайл А T(1-255) ОУ Содержит (повторяет) имя сформированного файла (без расширения)
Версия программы, с помощью которой сформирован файл ВерсПрог А T(1-40) О  
Версия формата ВерсФорм А T(1-5) О Принимает значение: 5.07
Состав и структура документа Документ С   О Состав элемента представлен в таблице 4.2

Таблица 4.2

Состав и структура документа (Документ)

Наименование элемента Сокращенное наименование (код) элемента Признак типа элемента Формат элемента Признак обязательности элемента Дополнительная информация
Код формы отчетности по КНД КНД А T(=7) ОК Типовой элемент <КНДТип>.
Принимает значение: 1151054
Дата формирования документа ДатаДок А T(=10) О Типовой элемент <ДатаТип>.
Дата в формате ДД.ММ.ГГГГ
Налоговый период Период А T(=2) ОК Принимает значение в соответствии с кодами, определяющими налоговый период, согласно Приложению N 1 к Порядку заполнения налоговой декларации по налогу на добычу полезных ископаемых (далее - Порядок заполнения):
01 - январь |
02 - февраль |
03 - март |
04 - апрель |
05 - май |
06 - июнь |
07 - июль |
08 - август |
09 - сентябрь |
10 - октябрь |
11 - ноябрь |
12 - декабрь |
          71 - за январь при реорганизации (ликвидации) организации |
72 - за февраль при реорганизации (ликвидации) организации |
73 - за март при реорганизации (ликвидации) организации |
74 - за апрель при реорганизации (ликвидации) организации |
75 - за май при реорганизации (ликвидации) организации |
76 - за июнь при реорганизации (ликвидации) организации |
77 - за июль при реорганизации (ликвидации) организации |
78 - за август при реорганизации (ликвидации) ликвидации организации |
79 - за сентябрь при реорганизации (ликвидации) организации |
80 - за октябрь при реорганизации (ликвидации) организации |
81 - за ноябрь при реорганизации (ликвидации) организации |
82 - за декабрь при реорганизации (ликвидации) организации
Отчетный год ОтчетГод А   О Типовой элемент <xs:gYear>.
Год в формате ГГГГ
Код налогового органа КодНО А T(=4) ОК Типовой элемент <СОНОТип>
Номер корректировки НомКорр А N(3) О Принимает значение:
0 - первичный документ,
1, 2, 3 и так далее - уточненный документ. Для уточненного документа значение должно быть на 1 больше ранее принятого налоговым органом документа
Код места, по которому представляется документ ПоМесту А T(=3) ОКУ Принимает значение в соответствии с кодами места представления налоговой декларации по налогу на добычу полезных ископаемых в налоговый орган согласно Приложению N 1 к Порядку заполнения:
120 - по месту жительства индивидуального предпринимателя |
213 - по месту учета в качестве крупнейшего налогоплательщика |
214 - по месту нахождения российской организации, не являющейся крупнейшим налогоплательщиком |
215 - по месту нахождения правопреемника, не являющегося крупнейшим налогоплательщиком |
216 - по месту учета правопреемника, являющегося крупнейшим налогоплательщиком |
331 - по месту осуществления деятельности иностранной организации через отделение иностранной организации
Элемент должен принимать значение "213", если 5 и 6 знаки элемента <КПП> (из таблицы 4.4) принимают значение "50"
Сведения о налогоплательщике СвНП С   О Состав элемента представлен в таблице 4.3
Сведения о лице, подписавшем документ Подписант С   О Состав элемента представлен в таблице 4.7
Налоговая декларация по налогу на добычу полезных ископаемых НДПИ С   О Состав элемента представлен в таблице 4.9

Таблица 4.3

Сведения о налогоплательщике (СвНП)

Наименование элемента Сокращенное наименование (код) элемента Признак типа элемента Формат элемента Признак обязательности элемента Дополнительная информация
Номер контактного телефона Тлф А T(1-20) Н  
Налогоплательщик - организация | НПЮЛ С   О Состав элемента представлен в таблице 4.4
Налогоплательщик - физическое лицо НПФЛ С   О Состав элемента представлен в таблице 4.6

Таблица 4.4

Налогоплательщик - организация (НПЮЛ)

Наименование элемента Сокращенное наименование (код) элемента Признак типа элемента Формат элемента Признак обязательности элемента Дополнительная информация
Наименование организации НаимОрг А T(1-1000) О  
ИНН организации ИННЮЛ А T(=10) О Типовой элемент <ИННЮЛТип>
КПП КПП А T(=9) О Типовой элемент <КППТип>
Сведения о реорганизованной (ликвидированной) организации СвРеоргЮЛ С   Н Состав элемента представлен в таблице 4.5

Таблица 4.5

Сведения о реорганизованной (ликвидированной) организации (СвРеоргЮЛ)

Наименование элемента Сокращенное наименование (код) элемента Признак типа элемента Формат элемента Признак обязательности элемента Дополнительная информация
Код формы реорганизации (ликвидация) ФормРеорг А T(=1) ОК Принимает значение в соответствии с кодами форм реорганизации и кодом ликвидации организации согласно Приложению N 1 к Порядку заполнения:
0 - ликвидация |
1 - преобразование |
2 - слияние |
3 - разделение |
5 - присоединение |
6 - разделение с одновременным присоединением
ИНН организации ИННЮЛ А T(=10) НУ Типовой элемент <ИННЮЛТип>. Элемент обязателен при <ФормРеорг> = 1 | 2 | 3 | 5 | 6
КПП КПП А T(=9) НУ Типовой элемент <КППТип>. Элемент обязателен при <ФормРеорг> = 1 | 2 | 3 | 5 | 6

Таблица 4.6

Налогоплательщик - физическое лицо (НПФЛ)

Наименование элемента Сокращенное наименование (код) элемента Признак типа элемента Формат элемента Признак обязательности элемента Дополнительная информация
ИНН физического лица ИННФЛ А T(=12) О Типовой элемент <ИННФЛТип>
Фамилия, имя, отчество физического лица ФИО С   О Типовой элемент <ФИОТип>.
Состав элемента представлен в таблице 4.40

Таблица 4.7

Сведения о лице, подписавшем документ (Подписант)

Наименование элемента Сокращенное наименование (кол) элемента Признак типа элемента Формат элемента Признак обязательности элемента Дополнительная информация
Признак лица, подписавшего документ ПрПодп А T(=1) ОК Принимает значение:
1 - налогоплательщик |
2 - представитель налогоплательщика
Фамилия, имя, отчество ФИО С   НУ Типовой элемент <ФИОТип>.
Состав элемента представлен в таблице 4.40.
Элемент обязателен при выполнении одного из условий:
- <ПрПодп> = 2 |
- <ПрПодп> = 1 и наличие <НПЮЛ>
Сведения о представителе налогоплательщика СвПред С   НУ Состав элемента представлен в таблице 4.8. Элемент обязателен при <ПрПодп> = 2

Таблица 4.8

Сведения о представителе налогоплательщика (СвПред)

Наименование элемента Сокращенное наименование (код) элемента Признак типа элемента Формат элемента Признак обязательности элемента Дополнительная информация
Наименование документа, подтверждающего полномочия представителя налогоплательщика НаимДок А T(1-120) О  
Наименование организации - представителя налогоплательщика НаимОрг А T(1-1000) Н  

Таблица 4.9

Налоговая декларация по налогу на добычу полезных ископаемых (НДПИ)

Наименование элемента Сокращенное наименование (код) элемента Признак типа элемента Формат элемента Признак обязательности элемента Дополнительная информация
Сумма налога, подлежащая уплате в бюджет СумНалПУ С   О Состав элемента представлен в таблице 4.10
Данные, служащие основанием для исчисления и уплаты налога, при добыче нефти обезвоженной, обессоленной и стабилизированной, за исключением добытой на новом морском месторождении углеводородного сырья и на участках недр, в отношении которой исчисляется налог на дополнительный доход от добычи углеводородного сырья ИсчНалНефт С   НМ Состав элемента представлен в таблице 4.12
Данные, служащие основанием для исчисления и уплаты налога, при добыче газа горючего природного и газового конденсата, за исключением добычи на новом морском месторождении углеводородного сырья ИсчНалГаз С   НМ Состав элемента представлен в таблице 4.17
Данные, служащие основанием для исчисления и уплаты налога, при добыче углеводородного сырья на новом морском месторождении углеводородного сырья ИсчУплНалНов С   НМ Состав элемента представлен в таблице 4.21
Данные, служащие основанием для исчисления и уплаты налога, за исключением углеводородного сырья (кроме попутного газа) и угля ИсчУплНалИскл С   НМ Состав элемента представлен в таблице 4.23
Определение стоимости единицы добытого полезного ископаемого исходя из расчетной стоимости СтоимЕдДПИ С   Н Состав элемента представлен в таблице 4.26
Данные, служащие основанием для исчисления и уплаты налога, при добыче угля по участку недр ИсчУплНалУг С   НМ Состав элемента представлен в таблице 4.30
Данные, служащие основанием для исчисления и уплаты налога, при добыче нефти обезвоженной, обессоленной и стабилизированной, в отношении которой исчисляется налог на дополнительный доход от добычи углеводородного сырья ИсчНалНефтНДД С   НМ Состав элемента представлен в таблице 4.37

Таблица 4.10

Сумма налога, подлежащая уплате в бюджет (СумНалПУ)

Наименование элемента Сокращенное наименование (код) элемента Признак типа элемента Формат элемента Признак обязательности элемента Дополнительная информация
Сумма налога, подлежащая уплате в бюджет (по КБК и ОКТМО) СумПУ С   ОМ Состав элемента представлен в таблице 4.11

Таблица 4.11

Сумма налога, подлежащая уплате в бюджет (по КБК и ОКТМО) (СумПУ)

Наименование элемента Сокращенное наименование (код) элемента Признак типа элемента Формат элемента Признак обязательности элемента Дополнительная информация
Код бюджетной классификации КБК А T(=20) ОК Типовой элемент <КБКТип>
Код по ОКТМО ОКТМО А T(=8) | T(=11) ОК Типовой элемент <ОКТМОТип>.
Принимает значение в соответствии с Общероссийским классификатором территорий муниципальных образований
Сумма налога, подлежащая уплате в бюджет (в рублях) НалПУ А N(15) О  

Таблица 4.12

Данные, служащие основанием для исчисления и уплаты налога, при добыче нефти обезвоженной, обессоленной и стабилизированной, за исключением добытой на новом морском месторождении углеводородного сырья и на участках недр, в отношении которой исчисляется налог на дополнительный доход от добычи углеводородного сырья (ИсчНалНефт)

Наименование элемента Сокращенное наименование (код) элемента Признак типа элемента Формат элемента Признак обязательности элемента Дополнительная информация
Код вида добытого полезного ископаемого КодДПИ А T(=5) ОК Типовой элемент <СДПИТип>.
Принимает значение в соответствии с кодами видов добытых полезных ископаемых согласно Приложению N 2 к Порядку заполнения: 03100
Код бюджетной классификации КБК А T(=20) ОК Типовой элемент <КБКТип>
Код единицы измерения количества добытого полезного ископаемого по ОКЕИ ОКЕИ А T(=3) ОК Типовой элемент <ОКЕИТип>.
Принимает значение в соответствии с кодами единиц измерения количества добытого полезного ископаемого по общероссийскому классификатору единиц измерения ОК 015-94 согласно Приложению N 4 к Порядку заполнения: 168
Показатели (коэффициенты), используемые для расчета налога по участку недр ПокРасчНал С   ОМ Состав элемента представлен в таблице 4.13

Таблица 4.13

Показатели (коэффициенты), используемые для расчета налога по участку недр (ПокРасчНал)

Наименование элемента Сокращенное наименование (код) элемента Признак типа элемента Формат элемента Признак обязательности элемента Дополнительная информация
Код по ОКТМО ОКТМО А T(=8) | T(=11) ОК Типовой элемент <ОКТМОТип>.
Принимает значение в соответствии с Общероссийским классификатором территорий муниципальных образований
Серия лицензии на пользование недрами СерЛицНедр А T(=3) О  
Номер лицензии на пользование недрами НомЛицНедр А T(=5) О  
Вид лицензии на пользование недрами ВидЛицНедр А T(=2) О  
Ставка налога СтавНал А N(9.4) О  
Показатель, характеризующий особенности добычи нефти (Дм), для нефти, добытой из залежей, значение коэффициента Кд для которых равно 1 ПоказДм А N(9.2) О  
Кндпи Кндпи А N(4) О  
Коэффициент, характеризующий динамику мировых цен на нефть (Кц) КоэфКц А N(6.4) О  
Коэффициент, характеризующий величину запасов участка недр (Кз) КоэфКз А N(5.4) О  
Величина начальных извлекаемых запасов (Уз) ВелНачЗап А N(4.3) Н  
Коэффициент, характеризующий степень выработанности конкретной залежи углеводородного сырья (Кдв) КоэфКдв А N(5.4) О  
Коэффициент, характеризующий регион добычи и свойства нефти (Ккан) КоэфКкан А N(1) О  
Коэффициент (Кабдт) КоэфКабдт А N(10.4) О  
Коэффициент (Иаб) КоэфИаб А N(1) О  
Коэффициент (Идт) КоэфИдт А N(1) О  
Коэффициент (Нбуг) КоэфНбуг А N(8.4) О  
Коэффициент (Нклемп) КоэфНкдемп А N(14.4) О  
Коэффициент (Дцв_аб) КоэфДдваб А N(10) О  
Коэффициент (Ск_демп) КоэфСкдемп А N(14.4) О  
Коэффициент (Дцв_дт) КоэфДдвдт А N(10) О  
Коэффициент (Кман) КоэфКман А N(10.4) О  
Сумма исчисленного налога по участку недр (в рублях) НалИсчисл А N(15) О  
Признак налогового вычета ПрВычет А T(=2) ОК Принимает значение:
00 - налоговый вычет не применяется |
01 - налоговый вычет, предусмотренный пунктом 3.1 статьи 343.2 Кодекса |
02 - налоговый вычет, предусмотренный пунктом 3.3 статьи 343.2 Кодекса |
03 - налоговый вычет, предусмотренный пунктом 3.4 статьи 343.2 Кодекса |
04 - налоговый вычет, предусмотренный пунктом 3.5 статьи 343.2 Кодекса |
05 - налоговый вычет, предусмотренный пунктом 3.6 статьи 343.2 Кодекса |
06 - налоговый вычет, предусмотренный статьей 343.5 Кодекса
Сумма налогового вычета (в рублях) НалВыч А N(15) О  
Предельная величина (Пванкор) Пванкор А N(15) О  
Сумма налога к уплате (в рублях) НалУпл А N(15) О  
Данные о количестве нефти, добытой на участке недр, за исключением количества нефти, добытой из залежи (залежей) углеводородного сырья, которое отражается в подразделе 2.1.2 ДобНефтУчНедр С   НМ Состав элемента представлен в таблице 4.14
Данные о количестве нефти, добытой из залежи углеводородного сырья ДобНефтЗалеж С   НМ Состав элемента представлен в таблице 4.15

Таблица 4.14

Данные о количестве нефти, добытой на участке недр, за исключением количества нефти, добытой из залежи (залежей) углеводородного сырья, которое отражается в подразделе 2.1.2 (ДобНефтУчНедр)

Наименование элемента Сокращенное наименование (код) элемента Признак типа элемента Формат элемента Признак обязательности элемента Дополнительная информация
Код основания налогообложения КодОснов А T(=4) ОК Принимает значение в соответствии с кодами оснований налогообложения добытых полезных ископаемых по налоговой ставке 0 процентов (рублей) и других особенностей исчисления и уплаты налога согласно Приложению N 3 к Порядку заполнения
Количество нефти, подлежащей налогообложению КолНефтПН А N(14.3) О  

Таблица 4.15

Данные о количестве нефти, добытой из залежи углеводородного сырья (ДобНефтЗалеж)

Наименование элемента Сокращенное наименование (код) элемента Признак типа элемента Формат элемента Признак обязательности элемента Дополнительная информация
Наименование залежи НаимЗлж А T(1-100) О  
Эффективная нефтенасыщенная толщина пласта ЭфТолщПласт А N(6.4) Н  
Проницаемость залежи ПроницЗлж А N(8.7) Н  
Глубина залегания продуктивной залежи углеводородного сырья ГлубПласт А N(4) О  
Плотность нефти ПлотнНефт А N(5.3) О  
Ставка налога СтавНал А N(9.4) О  
Показатель, характеризующий особенности добычи нефти (Дм), для нефти, добытой из залежи ПоказатДм А N(9.2) О  
Степень выработанности запасов конкретной залежи углеводородного сырья СтепеньСвз А N(5.4) О  
Коэффициент, характеризующий степень сложности добычи нефти (Кд) КоэфКд А N(2.1) О  
Количество налоговых периодов применения коэффициента Кд < 1 КолНалПер А N(3) О  
Коэффициент, характеризующий степень выработанности конкретной залежи углеводородного сырья (Кдв) КоэфКдв А N(5.4) О  
Сумма исчисленного налога по нефти, добытой из залежи (в рублях) НалИсчислЗлж А N(15) О  
Данные о количестве добытой нефти, подлежащей налогообложению, по коду основания налогообложения КолНефтОсн С   ОМ Состав элемента представлен в таблице 4.16

Таблица 4.16

Данные о количестве добытой нефти, подлежащей налогообложению, по коду основания налогообложения (КолНефтОсн)

Наименование элемента Сокращенное наименование (код) элемента Признак типа элемента Формат элемента Признак обязательности элемента Дополнительная информация
Код основания налогообложения КодОснов А T(=4) ОК Принимает значение в соответствии с кодами оснований налогообложения добытых полезных ископаемых по налоговой ставке 0 процентов (рублей) и других особенностей исчисления и уплаты налога согласно Приложению N 3 к Порядку заполнения
Количество добытой нефти, подлежащей налогообложению КолНефтПН А N(14.3) О  

Таблица 4.17

Данные, служащие основанием для исчисления и уплаты налога, при добыче газа горючего природного и газового конденсата, за исключением добычи на новом морском месторождении углеводородного сырья (ИсчНалГаз)

Наименование элемента Сокращенное наименование (код) элемента Признак типа элемента Формат элемента Признак обязательности элемента Дополнительная информация
Код вида добытого полезного ископаемого КодЦПИ А T(=5) ОК Типовой элемент <СДПИТип>.
Принимает значение в соответствии с кодами видов добытых полезных ископаемых согласно Приложению N 2 к Порядку заполнения:
03200 | 03300
Код бюджетной классификации КБК А T(=20) ОК Типовой элемент <КБКТип>
Код единицы измерения количества добытого полезного ископаемого по ОКЕИ ОКЕИ А T(=3) ОК Типовой элемент <ОКЕИТип>.
Принимает значение в соответствии с кодами единиц измерения количества добытого полезного ископаемого по общероссийскому классификатору единиц измерения ОК 015-94 согласно Приложению N 4 к Порядку заполнения
Сумма исчисленного налога по газовому конденсату (в рублях) СумИсчНал А N(15) О  
Сумма налогового вычета по газовому конденсату (в рублях) СумНалВыч А N(14.2) Н  
Сумма налога по газовому конденсату, подлежащая уплате (в рублях) СумНалУпл А N(12) О  
Коэффициент извлечения широкой фракции легких углеводородов при переработке газового конденсата (Кшфлу) КоэфКшфлу А N(5.4) Н  
Количество добытого газового конденсата, переработанного для получения широкой фракции легких углеводородов (Мгк) КолМгк А N(14.4) Н  
Ставка налогового вычета на одну тонну широкой фракции легких углеводородов, полученной из газового конденсата (В) (в рублях) СтавкаВ А N(4) Н  
Показатель, характеризующий расходы на доставку (транспортировку) газа горючего природного (Тг) ПоказатТг А N(11) Н  
Цена газа горючего природного (Цг) (в рублях) ЦенаЦг А N(10.4) Н  
Коэффициент, характеризующий долю реализации газа потребителям Российской Федерации в общем объеме реализованного организацией газа (Ов) КоэфОв А N(3.2) О  
Коэффициент, характеризующий долю добытого газа горючего природного (за исключением попутного газа) в суммарном объеме добытого углеводородного сырья (Кгпн) КоэфКгпн А N(3.2) О  
Средняя по Единой системе газоснабжения расчетная цена на газ, поставляемый потребителям Российской Федерации (кроме населения) (Цв) СрЦенаЦв А N(6) Н  
Расчетная цена газа горючего природного при поставках за пределы территории государств - участников Содружества Независимых Государств (Цэ) РасчЦенаЦэ А N(10.4) Н  
Цена газового конденсата (Цк) ЦенаЦк А N(10.4) Н  
Условная ставка вывозной таможенной пошлины на газовый конденсат (Пн) УслСтавПн А N(7.4) Н  
Коэффициент, характеризующий экспортную доходность единицы условного топлива (Кгп) КоэфКгп А N(5.4) Н  
Корректирующий коэффициент (Ккм) КоэфКкм А N(9.8) Н  
Коэффициент (Кман) КоэфКман А N(10.4) О  
Коэффициент, характеризующий количество добытого газового конденсата без учета широкой фракции легких углеводородов КоэфКолДоб А N(3.2) О  
Показатели (коэффициенты), используемые для расчета налога по участку недр ПокРасчНал С   ОМ Состав элемента представлен в таблице 4.18

Таблица 4.18

Показатели (коэффициенты), используемые для расчета налога по участку недр (ПокРасчНал)

Наименование элемента Сокращенное наименование (код) элемента Признак типа элемента Формат элемента Признак обязательности элемента Дополнительная информация
Код по ОКТМО ОКТМО А T(=8) | T(=11) ОК Типовой элемент <ОКТМОТип>.
Принимает значение в соответствии с Общероссийским классификатором территорий муниципальных образований
Серия лицензии на пользование недрами СерЛицНедр А T(=3) О  
Номер лицензии на пользование недрами НомЛицНедр А T(=5) О  
Вид лицензии на пользование недрами ВидЛицНедр А T(=2) О  
Сумма исчисленного налога по участку недр (в рублях) СумИсчНал А N(15) О  
Сумма налогового вычета по газу горючему природному (в рублях) СумНалВыч А N(13.2) Н  
Сумма налога к уплате по участку недр (в рублях) СумНалУпл А N(12) О  
Степень выработанности запасов газа горючего природного конкретного участка недр (Свг) СтепеньСвг А N(5.4) О  
Базовое значение единицы условного топлива (Еут) ЗначенЕут А N(8.4) О  
Коэффициент, характеризующий долю добытого газа горючего природного (за исключением попутного газа) в общем количестве газа горючего природного (за исключением попутного газа) и газового конденсата, добытых в истекшем налоговом периоде на участке недр, содержащем залежь углеводородного сырья (Дг) КоэфДг А N(5.4) О  
Данные о количестве полезного ископаемого, добытого из залежи углеводородного сырья КолДПИЗал С   ОМ Состав элемента представлен в таблице 4.19

Таблица 4.19

Данные о количестве полезного ископаемого, добытого из залежи углеводородного сырья (КолДПИЗал)

Наименование элемента Сокращенное наименование (код) элемента Признак типа элемента Формат элемента Признак обязательности элемента Дополнительная информация
Наименование залежи НаимЗлж А T(1-100) О  
Глубина залегания продуктивной залежи углеводородного сырья ГлубПласт А N(4) О  
Плотность залежи углеводородного сырья ПлотнУВСырья А N(4.3) О  
Ставка налога СтавНал А N(5) О  
Значение коэффициента Квг ЗначениеКвг А N(5.4) О  
Значение коэффициента Кр ЗначениеКр А N(5.4) О  
Значение коэффициента Кгз ЗначениеКгз А N(5.4) О  
Значение коэффициента Кас ЗначениеКас А N(5.4) О  
Значение коэффициента Корз ЗначениеКорз А N(5.4) О  
Коэффициент, характеризующий степень сложности добычи газа горючего природного и (или) газового конденсата из залежи углеводородного сырья (Кс) КоэфКс А N(5.4) О  
Сумма исчисленного налога по залежи углеводородного сырья (в рублях) НалИсчислЗлж А N(15) О  
Данные о количестве добытого из залежи полезного ископаемого, подлежащего налогообложению, по коду основания налогообложения КолДПИЗалОсн С   ОМ Состав элемента представлен в таблице 4.20

Таблица 4.20

Данные о количестве добытого из залежи полезного ископаемого, подлежащего налогообложению, по коду основания налогообложения (КолДПИЗалОсн)

Наименование элемента Сокращенное наименование (код) элемента Признак типа элемента Формат элемента Признак обязательности элемента Дополнительная информация
Код основания налогообложения КодОснов А T(=4) ОК Принимает значение в соответствии с кодами оснований налогообложения добытых полезных ископаемых по налоговой ставке 0 процентов (рублей) и других особенностей исчисления и уплаты налога согласно Приложению N 3 к Порядку заполнения
Количество добытого из залежи полезного ископаемого, подлежащего налогообложению КолДПИ А N(14.3) О  

Таблица 4.21

Данные, служащие основанием для исчисления и уплаты налога, при добыче углеводородного сырья на новом морском месторождении углеводородного сырья (ИсчУплНалНов)

Наименование элемента Сокращенное наименование (код) элемента Признак типа элемента Формат элемента Признак обязательности элемента Дополнительная информация
Код вида полезного ископаемого КодДПИ А T(=5) ОК Типовой элемент <СДПИТип>.
Принимает значение в соответствии с кодами видов добытых полезных ископаемых согласно Приложению N 2 к Порядку заполнения:
03100 | 03200 | 03300 | 03401
Код бюджетной классификации КБК А T(=20) ОК Типовой элемент <КБКТип>
Код единицы измерения количества добытого полезного ископаемого по ОКЕИ ОКЕИ А T(=3) ОК Типовой элемент <ОКЕИТип>.
Принимает значение в соответствии с кодами единиц измерения количества добытого полезного ископаемого по общероссийскому классификатору единиц измерения ОК 015-94 согласно Приложению N 4 к Порядку заполнения
Код по ОКТМО ОКТМО А T(=8) | T(=11) ОК Типовой элемент <ОКТМОТип>.
Принимает значение в соответствии с Общероссийским классификатором территорий муниципальных образований
Серия лицензии на пользование недрами СерЛицНедр А T(=3) О  
Номер лицензии на пользование недрами НомЛицНедр А T(=5) О  
Вид лицензии на пользование недрами ВидЛицНедр А T(=2) О  
Наименование нового морского месторождения НаимМест А T(1-100) О  
Месяц и год начала промышленной добычи углеводородного сырья НачДобУВС А T(=7) О Типовой элемент <ДатаМГТип>.
Дата в формате ММ.ГГГГ
Стоимость единицы полезного ископаемого СтоимЕдПИ А N(17.2) Н  
Минимальная стоимость единицы полезного ископаемого СтоимЕдПИМин А N(17.2) О  
Количество реализованного добытого полезного ископаемого КолРеалДПИ А N(14.3) Н  
Выручка от реализации добытого полезного ископаемого ВырРеалДПИ А N(17.2) Н  
Скорректированная выручка от реализации добытого полезного ископаемого на основании пункта 6 статьи 105.3 Налогового кодекса Российской Федерации ВырРеалДПИ105.3 А N(17.2) Н  
Налоговая база НалБаза А N(17.2) О  
Сумма исчисленного налога (в рублях) НалИсчисл А N(15) О  
Скорректированная сумма налога на основании пункта 6 статьи 105.3 Налогового кодекса Российской Федерации (в рублях) НалИсчисл105.3 А N(15) Н  
Признак налогового вычета ПрВычет А T(=2) ОК Принимает значение:
00 - налоговый вычет не применяется |
03 - налоговый вычет, предусмотренный пунктом 3.4 статьи 343.2 Кодекса |
07 - налоговый вычет, предусмотренный статьей 343.4 Кодекса
Сумма налогового вычета (в рублях) СумНалВыч А N(15) Н  
Сумма налога к уплате (в рублях) СумНалУпл А N(15) О  
Данные о количестве полезного ископаемого, подлежащего налогообложению, по коду основания налогообложения КолПИНалОсн С   ОМ Состав элемента представлен в таблице 4.22

Таблица 4.22

Данные о количестве полезного ископаемого, подлежащего налогообложению, по коду основания налогообложения (КолПИНалОсн)

Наименование элемента Сокращенное наименование (код) элемента Признак типа элемента Формат элемента Признак обязательности элемента Дополнительная информация
Код основания налогообложения КодОснов А T(=4) ОК Принимает значение в соответствии с кодами оснований налогообложения добытых полезных ископаемых по налоговой ставке 0 процентов (рублей) и других особенностей исчисления и уплаты налога согласно Приложению N 3 к Порядку заполнения
Количество полезного ископаемого, подлежащего налогообложению КолПИНал А N(14.3) О  

Таблица 4.23

Данные, служащие основанием для исчисления и уплаты налога, за исключением углеводородного сырья (кроме попутного газа) и угля (ИсчУплНалИскл)

Наименование элемента Сокращенное наименование (код) элемента Признак типа элемента Формат элемента Признак обязательности элемента Дополнительная информация
Код вида добытого полезного ископаемого КодДПИ А T(=5) ОК Типовой элемент <СДПИТип>.
Принимает значение в соответствии с кодами видов добытых полезных ископаемых согласно Приложению N 2 к Порядку заполнения
Код бюджетной классификации КБК А T(=20) ОК Типовой элемент <КБКТип>
Код единицы измерения количества добытого полезного ископаемого по ОКЕИ ОКЕИ А T(=3) ОК Типовой элемент <ОКЕИТип>.
Принимает значение в соответствии с кодами единиц измерения количества добытого полезного ископаемого по общероссийскому классификатору единиц измерения ОК 015-94 согласно Приложению N 4 к Порядку заполнения
Налоговая ставка НалСтавка А N(4.1) О  
Рентный коэффициент Крента Крента А N(2.1) О Принимает значение: 1 | 3.5
Код субъекта Российской Федерации, на территории которого зарегистрирован участник регионального инвестиционного проекта КодСуб А T(=2) НК Типовой элемент <ССРФТип>.
Принимает значение в соответствии с кодами субъектов Российской Федерации согласно Приложению N 5 к Порядку заполнения
Данные о количестве полезного ископаемого по участкам недр и особенностях его налогообложения КолПИУчНал С   ОМ Состав элемента представлен в таблице 4.24

Таблица 4.24

Данные о количестве полезного ископаемого по участкам недр и особенностях его налогообложения (КолПИУчНал)

Наименование элемента Сокращенное наименование (код) элемента Признак типа элемента Формат элемента Признак обязательности элемента Дополнительная информация
Код по ОКТМО ОКТМО А T(=8) | T(=11) ОК Типовой элемент <ОКТМОТип>.
Принимает значение в соответствии с Общероссийским классификатором территорий муниципальных образований
Серия лицензии на пользование недрами СерЛицНедр А T(3-4) О  
Номер лицензии на пользование недрами НомЛицНедр А T(=5) О  
Вид лицензии на пользование недрами ВидЛицНедр А T(=2) О  
Стоимость единицы добытого полезного ископаемого СтоимЕдПИ А N(17.2) О  
Доля содержания химически чистого драгоценного металла в добытом полезном ископаемом ДоляДрМетДПИ А N(11.10) Н  
Количество реализованного добытого полезного ископаемого КолРеалДПИ А N(14.3) Н  
Выручка от реализации добытого полезного ископаемого ВырРеалДПИ А N(17.2) НУ Элемент обязателен при наличии элемента <КолРеалДПИ> и не применяется при отсутствии элемента <КолРеалДПИ>
Первичная оценка драгоценных камней ПервОцДраг А N(17.2) Н  
Скорректированная выручка от реализации добытого полезного ископаемого на основании пункта 6 статьи 105.3 Налогового кодекса Российской Федерации ВырРеалДПИ105.3 А N(17.2) Н  
Расходы налогоплательщика по доставке РасхНПДост А N(17.2) Н  
Расходы налогоплательщика по аффинажу химически чистого драгоценного металла РасхНПАфнж А N(17.2) Н  
Налоговая база НалБаза А N(17.2) О  
Сумма исчисленного налога (в рублях) НалИсчисл А N(15) О  
Скорректированная сумма исчисленного налога на основании пункта 6 статьи 105.3 Налогового кодекса Российской Федерации (в рублях) НалИсчисл105.3 А N(15) Н  
Сумма налогового вычета (в рублях) СумНалВыч А N(15) Н  
Сумма налога, подлежащая уплате (в рублях) СумНалУпл А N(15) О  
Данные о количестве добытого полезного ископаемого, подлежащего налогообложению, по коду основания налогообложения КолПИНалОсн С   ОМ Состав элемента представлен в таблице 4.25

Таблица 4.25

Данные о количестве добытого полезного ископаемого, подлежащего налогообложению, по коду основания налогообложения (КолПИНалОсн)

Наименование элемента Сокращенное наименование (код) элемента Признак типа элемента Формат элемента Признак обязательности элемента Дополнительная информация
Код основания налогообложения КодОснов А T(=4) ОК Принимает значение в соответствии с кодами оснований налогообложения добытых полезных ископаемых по налоговой ставке 0 процентов (рублей) и других особенностей исчисления и уплаты налога согласно Приложению N 3 к Порядку заполнения
Количество добытого полезного ископаемого, подлежащего налогообложению КолПИНал А N(14.3) О  
Значение коэффициента Кподз КоэфКподз А N(2.1) Н  
Значение коэффициента Крм КоэфКрм А N(2.1) Н  
Значение коэффициента Ктд КоэфКтд А N(2.1) Н  
Признак Ктд ПризнКтд А T(=1) ОК Принимает значение:
0 - налогоплательщик не является организацией, имеющей право на применение коэффициента Ктд |
1 - налогоплательщик является участником регионального инвестиционного проекта, удовлетворяющего требованию, установленному подпунктом 1 пункта 1 статьи 25.8 Кодекса |
2 - налогоплательщик является организацией, получившей статус резидента территории опережающего социально-экономического развития в соответствии с Федеральным законом "О территориях опережающего социально-экономического развития в Российской Федерации" |
3 - налогоплательщик является участником регионального инвестиционного проекта, указанным в подпункте 2 пункта 1 статьи 25.9 Кодекса

Таблица 4.26

Определение стоимости единицы добытого полезного ископаемого исходя из расчетной стоимости (СтоимЕдДПИ)

Наименование элемента Сокращенное наименование (код) элемента Признак типа элемента Формат элемента Признак обязательности элемента Дополнительная информация
Определение общей суммы расходов по добыче полезных ископаемых СумРасхДПИОбщ С   О Состав элемента представлен в таблице 4.27
Определение суммы расходов по отдельным добытым полезным ископаемым СумРасхДПИОтд С   О Состав элемента представлен в таблице 4.28

Таблица 4.27

Определение общей суммы расходов по добыче полезных ископаемых (СумРасхДПИОбщ)

Наименование элемента Сокращенное наименование (код) элемента Признак типа элемента Формат элемента Признак обязательности элемента Дополнительная информация
Прямые расходы по добыче полезных ископаемых, произведенные в налоговом периоде (в рублях) ПрРасхДобПер А N(17.2) О  
Остаток незавершенного производства на начало налогового периода (в рублях) ОстНПНачПер А N(17.2) О  
Остаток незавершенного производства на конец налогового периода (в рублях) ОстНПКонПер А N(17.2) О  
Сумма прямых расходов, относящихся к добытым в налоговом периоде полезным ископаемым (в рублях) ПрРасхДПИПер А N(17.2) О  
Внереализационные расходы, относящиеся к добытым полезным ископаемым (в соответствии с подпунктами 6, 7 пункта 4 статьи 340 Налогового кодекса Российской Федерации) (в рублях) ВнереалРасхДПИ А N(17.2) О  
Косвенные расходы, относящиеся к добытым полезным ископаемым (в рублях) КосвРасхДПИ А N(17.2) О  
Косвенные расходы, связанные с добычей полезных ископаемых и другими видами деятельности (в рублях) КосвРасхДр А N(17.2) О  
Общая сумма прямых расходов, произведенных в течение налогового периода по всем видам деятельности (в рублях) ПрРасхПерОбщ А N(17.2) О  
Сумма косвенных и иных расходов, относящаяся к добытым в налоговом периоде полезным ископаемым (в рублях) КосвИнРасхПер А N(17.2) О  
Общая сумма расходов по добыче полезных ископаемых, произведенных в налоговом периоде (в рублях) РасхОбщДобПер А N(17.2) О  

Таблица 4.28

Определение суммы расходов по отдельным добытым полезным ископаемым (СумРасхДПИОтд)

Наименование элемента Сокращенное наименование (код) элемента Признак типа элемента Формат элемента Признак обязательности элемента Дополнительная информация
Код единицы измерения количества по ОКЕИ ОКЕИ А T(=3) ОК Типовой элемент <ОКЕИТип>.
Принимает значение в соответствии с кодами единиц измерения количества добытого полезного ископаемого по общероссийскому классификатору единиц измерения ОК 015-94 согласно Приложению N 4 к Порядку заполнения
Определение суммы расходов по добыче полезного ископаемого по коду добытого полезного ископаемого СумРасхДПИКод С   ОМ Состав элемента представлен в таблице 4.29

Таблица 4.29

Определение суммы расходов по добыче полезного ископаемого по коду добытого полезного ископаемого (СумРасхДПИКод)

Наименование элемента Сокращенное наименование (кол) элемента Признак типа элемента Формат элемента Признак обязательности элемента Дополнительная информация
Код добытого полезного ископаемого КодДПИ А T(=5) ОК Типовой элемент <СДПИТип>.
Принимает значение в соответствии с кодами видов добытых полезных ископаемых согласно Приложению N 2 к Порядку заполнения
Количество добытого полезного ископаемого КоличДПИ А N(12.3) О  
Доля добытого полезного ископаемого в общем количестве добытых полезных ископаемых ДоляДПИОбщКол А N(8.7) О  
Сумма расходов по добыче полезного ископаемого (в рублях) СумРасхДобПИ А N(14.2) Н  

Таблица 4.30

Данные, служащие основанием для исчисления и уплаты налога, при добыче угля по участку недр (ИсчУплНалУг)

Наименование элемента Сокращенное наименование (код) элемента Признак типа элемента Формат элемента Признак обязательности элемента Дополнительная информация
Код бюджетной классификации КБК А T(=20) ОК Типовой элемент <КБКТип>
Серия лицензии на пользование недрами СерЛицНедр А T(=3) О  
Номер лицензии на пользование недрами НомЛицНедр А T(=5) О  
Вид лицензии на пользование недрами ВидЛицНедр А T(=2) О  
Код единицы измерения количества добытого полезного ископаемого по ОКЕИ ОКЕИ А T(=3) ОК Типовой элемент <ОКЕИТип>.
Принимает значение в соответствии с кодами единиц измерения количества добытого полезного ископаемого по общероссийскому классификатору единиц измерения ОК 015-94 согласно Приложению N 4 к Порядку заполнения
Код по ОКТМО ОКТМО А T(=8) | T(=11) ОК Типовой элемент <ОКТМОТип>.
Принимает значение в соответствии с Общероссийским классификатором территорий муниципальных образований
Код субъекта Российской Федерации, на территории которого зарегистрирован участник регионального инвестиционного проекта КодСуб А T(=2) НК Типовой элемент <ССРФТип>.
Принимает значение в соответствии с кодами субъектов Российской Федерации согласно Приложению N 5 к Порядку заполнения
Значение коэффициента Ктд Ктд А N(2.1) Н  
Признак Ктд ПризнКтд А T(=1) ОК Принимает значение:
0 - налогоплательщик не является организацией, имеющей право на применение коэффициента Ктд |
1 - налогоплательщик является участником регионального инвестиционного проекта, удовлетворяющего требованию, установленному подпунктом 1 пункта 1 статьи 25.8 Кодекса |
2 - налогоплательщик является организацией, получившей статус резидента территории опережающего социально-экономического развития в соответствии с Федеральным законом "О территориях опережающего социально-экономического развития в Российской Федерации" |
3 - налогоплательщик является участником регионального инвестиционного проекта, указанным в подпункте 2 пункта 1 статьи 25.9 Кодекса
Данные о количестве добытого полезного ископаемого по участку недр ДанДПИУг С   О Состав элемента представлен в таблице 4.31
Расчет суммы налога, подлежащей уплате в бюджет, по участку недр РасчНалУпл С   О Состав элемента представлен в таблице 4.33
Расчет суммы налоговых вычетов по участку недр РасчНалВыч С   Н Состав элемента представлен в таблице 4.35

Таблица 4.31

Данные о количестве добытого полезного ископаемого по участку недр (ДанДПИУг)

Наименование элемента Сокращенное наименование (кол) элемента Признак типа элемента Формат элемента Признак обязательности элемента Дополнительная информация
Данные о количестве добытого полезного ископаемого, подлежащего налогообложению, по коду вида добытого полезного ископаемого ДанДПИУгУч С   ОМ Состав элемента представлен в таблице 4.32

Таблица 4.32

Данные о количестве добытого полезного ископаемого, подлежащего налогообложению, по коду вида добытого полезного ископаемого (ДанДПИУгУч)

Наименование элемента Сокращенное наименование (код) элемента Признак типа элемента Формат элемента Признак обязательности элемента Дополнительная информация
Код вида добытого полезного ископаемого КодДПИ А T(=5) ОК Типовой элемент <СДПИТип>.
Принимает значение в соответствии с кодами видов добытых полезных ископаемых согласно Приложению N 2 к Порядку заполнения:
01100 | 01150 | 01300 | 01350
Код основания налогообложения КодОснов А T(=4) ОК Принимает значение в соответствии с кодами оснований налогообложения добытых полезных ископаемых по налоговой ставке 0 процентов (рублей) и других особенностей исчисления и уплаты налога согласно Приложению N 3 к Порядку заполнения:
1010 | 1040 | 1045 | 1050 | 1060 | 6000 | 6001 | 6100 | 6101
Количество добытого полезного ископаемого, подлежащего налогообложению КолДПИ А N(14.3) О  

Таблица 4.33

Расчет суммы налога, подлежащей уплате в бюджет, по участку недр (РасчНалУпл)

Наименование элемента Сокращенное наименование (код) элемента Признак типа элемента Формат элемента Признак обязательности элемента Дополнительная информация
Остаток неучтенных при определении налогового вычета расходов на начало налогового периода ОстНачПер А N(15) Н  
Сумма расходов, осуществленных (понесенных) налогоплательщиком и связанных с обеспечением безопасных условий и охраны труда при добыче угля, включаемых в налоговый вычет и уменьшающих сумму налога за налоговый период, не превышающая предельной величины налогового вычета РасхОТВыч А N(15) Н  
Значение коэффициента Кт КоэфКт А N(5.4) Н Принимает значение не более 0,3
Сумма налога, исчисленного при добыче угля на участке недр за налоговый период без учета налогового вычета (в рублях) ИсчислУчУг А N(15) О  
Предельная величина налогового вычета (в рублях) НалВычПред А N(15) Н  
Сумма налога, исчисленного при добыче угля на участке недр за налоговый период с учетом налогового вычета, подлежащая уплате (в рублях) ИсчислПерУпл А N(15) Н  
Остаток неучтенных при определении налогового вычета расходов, осуществленных (понесенных) налогоплательщиком и связанных с обеспечением безопасных условий и охраны труда при добыче угля, на конец налогового периода ОстКонПер А N(15) Н  
Сумма расходов, осуществленных (понесенных) налогоплательщиком в налоговом периоде и связанных с обеспечением безопасных условий и охраны труда при добыче угля в текущем налоговом периоде РасхОТПер С   Н Состав элемента представлен в таблице 4.34

Таблица 4.34

Сумма расходов, осуществленных (понесенных) налогоплательщиком в налоговом периоде и связанных с обеспечением безопасных условий и охраны труда при добыче угля в текущем налоговом периоде (РасхОТПер)

Наименование элемента Сокращенное наименование (код) элемента Признак типа элемента Формат элемента Признак обязательности элемента Дополнительная информация
Сумма расходов, осуществленных (понесенных) налогоплательщиком в налоговом периоде и связанных с обеспечением безопасных условий и охраны труда при добыче угля в текущем налоговом периоде всего РасхОТПерВс А N(15) О  
Материальные расходы МатРасх А N(17.2) Н  
Расходы налогоплательщика на приобретение и (или) создание амортизируемого имущества РасхАмИмущ А N(17.2) Н  
Расходы, осуществленные (понесенные) налогоплательщиком в случаях достройки, дооборудования, реконструкции, модернизации, технического перевооружения объектов основных средств РасхРекон А N(17.2) Н  

Таблица 4.35

Расчет суммы налоговых вычетов по участку недр (РасчНалВыч)

Наименование элемента Сокращенное наименование (код) элемента Признак типа элемента Формат элемента Признак обязательности элемента Дополнительная информация
Расчет суммы налоговых вычетов по участку недр по месяцу и году возникновения (окончания) права на налоговый вычет РасчНалВычПер С   ОМ Состав элемента представлен в таблице 4.36.
Признак множественности элемента М может принимать значение от 1 до 36

Таблица 4.36

Расчет суммы налоговых вычетов по участку недр по месяцу и году возникновения (окончания) права на налоговый вычет (РасчНалВычПер)

Наименование элемента Сокращенное наименование (код) элемента Признак типа элемента Формат элемента Признак обязательности элемента Дополнительная информация
Месяц и год возникновения права на налоговый вычет НачПравНалВыч А T(=7) О Типовой элемент <ДатаМГТип>.
Дата в формате ММ.ГГГГ
Сумма налогового вычета, образовавшаяся на месяц и год возникновения права на налоговый вычет НалВычНач А N(15) О  
Сумма налогового вычета, использованная в предыдущие налоговые периоды НалВычПред А N(15) Н  
Сумма налогового вычета, использованная в налоговом периоде НалВычТек А N(15) Н  
Остаток суммы налогового вычета на конец налогового периода ОстНалВычКон А N(15) Н  
Месяц и год окончания права на налоговый вычет КонПравНалВыч А T(=7) О Типовой элемент <ДатаМГТип>.
Дата в формате ММ.ГГГГ

Таблица 4.37

Данные, служащие основанием для исчисления и уплаты налога, при добыче нефти обезвоженной, обессоленной и стабилизированной, в отношении которой исчисляется налог на дополнительный доход от добычи углеводородного сырья (ИсчНалНефтНДД)

Наименование элемента Сокращенное наименование (код) элемента Признак типа элемента Формат элемента Признак обязательности элемента Дополнительная информация
Код вида добытого полезного ископаемого КодДПИ А T(=5) ОК Типовой элемент <СДПИТип>.
Принимает значение в соответствии с кодами видов добытых полезных ископаемых согласно Приложению N 2 к Порядку заполнения: 03100
Код бюджетной классификации КБК А T(=20) ОК Типовой элемент <КБКТип>
Код единицы измерения количества добытого полезного ископаемого по ОКЕИ ОКЕИ А T(=3) ОК Типовой элемент <ОКЕИТип>.
Принимает значение в соответствии с кодами единиц измерения количества добытого полезного ископаемого по общероссийскому классификатору единиц измерения ОК 015-94 согласно Приложению N 4 к Порядку заполнения: 168
Расчет налога по участку недр РасчНалУч С   ОМ Состав элемента представлен в таблице 4.38

Таблица 4.38

Расчет налога по участку недр (РасчНалУч)

Наименование элемента Сокращенное наименование (код) элемента Признак типа элемента Формат элемента Признак обязательности элемента Дополнительная информация
Код по ОКТМО ОКТМО А T(=8) | T(=11) ОК Типовой элемент <ОКТМОТип>.
Принимает значение в соответствии с Общероссийским классификатором территорий муниципальных образований
Серия лицензии на пользование недрами СерЛицНедр А T(=3) О  
Номер лицензии на пользование недрами НомЛицНедр А T(=5) О  
Вид лицензии на пользование недрами ВидЛицНедр А T(=2) О  
Год начала промышленной добычи нефти ГодНачДоб А T(=4) О  
Коэффициент, характеризующий уровень налогообложения нефти, добываемой на участках недр, в отношении которой исчисляется налог на дополнительный доход от добычи углеводородного сырья (Кндд) КоэфКндц А N(12.4) О  
Средний уровень цен нефти сорта "Юралс", выраженный в долларах США за баррель за налоговый период (Цнефть) СрУрЦен А N(5.2) О  
Среднее значение за налоговый период курса доллара США к рублю Российской Федерации (Р) СрЗначКурс А N(7.4) О  
Признак коэффициента Кг ПризнКг А T(=1) ОК Принимает значение:
1 - для нефти обезвоженной, обессоленной и стабилизированной, добытой на участках недр, указанных в подпункте 1 пункта 1 статьи 333.45 Кодекса |
2 - для нефти обезвоженной, обессоленной и стабилизированной, добытой на участках недр, указанных в подпункте 2 пункта 1 статьи 333.45 Кодекса |
3 - для нефти обезвоженной, обессоленной и стабилизированной, добытой на участках недр, указанных в подпункте 3 пункта 1 статьи 333.45 Кодекса |
4 - для нефти обезвоженной, обессоленной и стабилизированной, добытой на участках недр, указанных в подпункте 4 пункта 1 статьи 333.45 Кодекса |
5 - для нефти обезвоженной, обессоленной и стабилизированной, добытой на участках недр, указанных в подпункте 5 пункта 1 статьи 333.45 Кодекса
Коэффициент, характеризующий период времени, прошедший с даты начала промышленной добычи нефти на участке недр (Кг) КоэфКг А N(3.2) О  
Ставка вывозной таможенной пошлины на нефть (ЭП) СтавЭП А N(4.1) О  
Сумма исчисленного налога по участку недр (в рублях) СумИсчНал А N(11) О  
Признак налогового вычета ПрВычет А T(=2) ОК Принимает значение:
00 - налоговый вычет не применяется |
01 - налоговый вычет, предусмотренный пунктом 3.1 статьи 343.2 Кодекса |
02 - налоговый вычет, предусмотренный пунктом 3.3 статьи 343.2 Кодекса |
03 - налоговый вычет, предусмотренный пунктом 3.4 статьи 343.2 Кодекса |
04 - налоговый вычет, предусмотренный пунктом 3.5 статьи 343.2 Кодекса |
05 - налоговый вычет, предусмотренный пунктом 3.6 статьи 343.2 Кодекса |
06 - налоговый вычет, предусмотренный статьей 343.5 Кодекса
Сумма налогового вычета (в рублях) НалВыч А N(11) О  
Предельная величина (Пванкор) Пванкор А N(11) О  
Сумма налога к уплате (в рублях) НалУпл А N(11) О  
Данные о количестве нефти, подлежащей налогообложению, по коду основания налогообложения КолНефтНалОсн С   ОМ Состав элемента представлен в таблице 4.39

Таблица 4.39

Данные о количестве нефти, подлежащей налогообложению, по коду основания налогообложения (КолНефтНалОсн)

Наименование элемента Сокращенное наименование (код) элемента Признак типа элемента Формат элемента Признак обязательности элемента Дополнительная информация
Код основания налогообложения КодОснов А T(=4) ОК Принимает значение в соответствии с кодами оснований налогообложения добытых полезных ископаемых по налоговой ставке 0 процентов (рублей) и других особенностей исчисления и уплаты налога согласно Приложению N 3 к Порядку заполнения
Количество нефти, подлежащей налогообложению КолНефтНал А N(14.3) О  

Таблица 4.40

Фамилия, Имя, Отчество (ФИОТип)

Наименование элемента Сокращенное наименование (код) элемента Признак типа элемента Формат элемента Признак обязательности элемента Дополнительная информация
Фамилия Фамилия А T(1-60) О  
Имя Имя А T(1-60) О  
Отчество Отчество А T(1-60) Н