Приказ Минсельхоза РФ от 29.10.2021 N 733

"Об утверждении Методики расчета предельных уровней минимальных и максимальных цен на сельскохозяйственную продукцию в целях проведения государственных закупочных и товарных интервенций"
Редакция от 29.10.2021 — Не действует Перейти в действующую
Показать изменения

Зарегистрировано в Минюсте России 22 декабря 2021 г. N 66499


МИНИСТЕРСТВО СЕЛЬСКОГО ХОЗЯЙСТВА РОССИЙСКОЙ ФЕДЕРАЦИИ

ПРИКАЗ
от 29 октября 2021 г. N 733

ОБ УТВЕРЖДЕНИИ МЕТОДИКИ РАСЧЕТА ПРЕДЕЛЬНЫХ УРОВНЕЙ МИНИМАЛЬНЫХ И МАКСИМАЛЬНЫХ ЦЕН НА СЕЛЬСКОХОЗЯЙСТВЕННУЮ ПРОДУКЦИЮ В ЦЕЛЯХ ПРОВЕДЕНИЯ ГОСУДАРСТВЕННЫХ ЗАКУПОЧНЫХ И ТОВАРНЫХ ИНТЕРВЕНЦИЙ

На основании части пятой статьи 14 Федерального закона от 29 декабря 2006 г. N 264-ФЗ "О развитии сельского хозяйства" (Собрание законодательства Российской Федерации, 2007, N 1, ст. 27; 2008, N 49, ст. 5748) и пункта 9 Правил приобретения сельскохозяйственной продукции у сельскохозяйственных товаропроизводителей и (или) организаций и индивидуальных предпринимателей, осуществляющих первичную и (или) последующую (промышленную) переработку сельскохозяйственной продукции, произведенной сельскохозяйственными товаропроизводителями на территории Российской Федерации, в процессе проведения государственных закупочных интервенций и ее реализации, утвержденных постановлением Правительства Российской Федерации от 5 октября 2016 г. N 1003 (Собрание законодательства Российской Федерации, 2016, N 41, ст. 5842), приказываю:

1. Утвердить Методику расчета предельных уровней минимальных и максимальных цен на сельскохозяйственную продукцию в целях проведения государственных закупочных и товарных интервенций согласно приложению к настоящему приказу.

2. Признать утратившими силу:

приказ Минсельхоза России от 19 апреля 2017 г. N 185 "Об утверждении Методики расчета предельных уровней минимальных и максимальных цен на зерно, молоко сухое и масло сливочное в целях проведения государственных закупочных и товарных интервенций" (зарегистрирован Минюстом России 31 июля 2017 г., регистрационный N 47597);

приказ Минсельхоза России от 6 сентября 2019 г. N 531 "О внесении изменений в Методику расчета предельных уровней минимальных и максимальных цен на зерно, молоко сухое и масло сливочное в целях проведения государственных закупочных и товарных интервенций, утвержденную приказом Минсельхоза России от 19 апреля 2017 г. N 185" (зарегистрирован Минюстом России 31 октября 2019 г., регистрационный N 56381).

Министр
Д.Н. ПАТРУШЕВ

Приложение
к приказу Минсельхоза России
от 29.10. 2021 г. N 733

МЕТОДИКА РАСЧЕТА ПРЕДЕЛЬНЫХ УРОВНЕЙ МИНИМАЛЬНЫХ И МАКСИМАЛЬНЫХ ЦЕН НА СЕЛЬСКОХОЗЯЙСТВЕННУЮ ПРОДУКЦИЮ В ЦЕЛЯХ ПРОВЕДЕНИЯ ГОСУДАРСТВЕННЫХ ЗАКУПОЧНЫХ И ТОВАРНЫХ ИНТЕРВЕНЦИЙ

Настоящая Методика устанавливает порядок расчета предельных уровней минимальных и максимальных цен на сельскохозяйственную продукцию в целях проведения государственных закупочных и товарных интервенций.

I. Расчет предельных уровней минимальных цен на зерно в целях проведения государственных закупочных интервенций

1.1. Расчет предельных уровней минимальных цен на зерно (), при достижении которых проводятся закупочные интервенции, осуществляется по формуле:

,

где:

- средние рыночные цены на зерно за предшествующие три года с учетом инфляции;

- средняя себестоимость зерна с учетом инфляции.

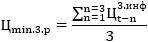
1.2. Расчет средних рыночных цен на зерно за предшествующие три года с учетом инфляции () осуществляется по формуле:

,

где:

t - текущий год;

n - порядковый номер года, предшествующего текущему году;

- средняя среднегодовая цена на зерно в году t-n с учетом инфляции.

1.3. Расчет средней среднегодовой цены на зерно в году t-n с учетом инфляции осуществляется по формуле:

,

где:

- средняя среднегодовая цена на зерно в году t-n. Определение средней цены зерна заданного вида осуществляется как расчет средневзвешенной средней цены зерна субъектов Российской Федерации - основных производителей товарной продукции данного вида с объемом производства более 1 млн тонн по пшенице, 50 тыс. тонн по ржи и кукурузе, 300 тыс. тонн по ячменю - с учетом информации о товарных и потребительских свойствах зерна. Цена на зерно определяется исходя из ценовых индексов, рассчитанных на основании информации о заключенных не на организованных торгах договорах, обязательства по которым предусматривают переход права собственности на товар, в отношении пшеницы, ячменя и кукурузы, предоставляемой на биржу в соответствии с Положением о предоставлении информации о заключенных сторонами не на организованных торгах договорах, обязательства по которым предусматривают переход права собственности на товар, допущенный к организованным торгам, а также о ведении реестра таких договоров и предоставлении информации из указанного реестра, утвержденным постановлением Правительства Российской Федерации от 23 июля 2013 г. N 623 <1> (далее - информация о внебиржевых договорах), на условиях отгрузки товара покупателю со склада производителя и (или) с элеватора без учета затрат на доставку. В случае отсутствия информации о таких внебиржевых договорах за соответствующие 3 года в объеме 20 процентов и более от объема производства продукции данного вида, по данным Федеральной службы статистики (далее - Росстат), цена на зерно определяется как цена производителей, по данным Росстата;

<1> Собрание законодательства Российской Федерации, 2013, N 31, ст. 4219; 2021, N 7, ст. 1110.

- индекс потребительских цен на товары и услуги (уровень инфляции) за год t-i, по данным Росстата;

i - порядковый номер года, предшествующего текущему году;

- уровень инфляции (индекс), установленный в федеральном законе о федеральном бюджете на текущий финансовый год (при i = 0).

1.4. Расчет средней себестоимости зерна с учетом инфляции () осуществляется по формуле:

,

где:

- средняя себестоимость реализованного зерна за год t-2;

- индекс цен производителей продукции растениеводства по Российской Федерации за год t-1 (на основании данных Росстата).

Определение средней себестоимости реализованного зерна заданного вида осуществляется как расчет (на основании ведомственной отчетности) средневзвешенной средней себестоимости зерна субъектов Российской Федерации - основных производителей товарной продукции данного вида с объемом производства более 1 млн тонн по пшенице, 50 тыс. тонн по ржи и кукурузе, 300 тыс. тонн по ячменю - с учетом информации о товарных и потребительских свойствах зерна.

II. Расчет предельных уровней максимальных цен на зерно в целях проведения государственных товарных интервенций

2. Расчет предельных уровней максимальных цен на зерно (), при достижении которых проводятся товарные интервенции, осуществляется по формуле:

где:

- коэффициент, при равный 10 процентам, при равный средней рентабельности реализации зерна сельхозпроизводителями за последние 5 лет, включая год t-1.

III. Расчет предельных уровней минимальных цен на сахар в целях проведения государственных закупочных интервенций

3.1. Расчет предельных уровней минимальных цен на сахар (), при достижении которых проводятся закупочные интервенции, осуществляется по формуле:

,

где:

- средние рыночные цены на сахар за предшествующие пять лет с учетом инфляции;

- средняя себестоимость сахара с учетом инфляции.

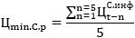
3.2. Расчет средних рыночных цен на сахар за предшествующие пять лет с учетом инфляции (+_+) осуществляется по формуле:

,

где:

- Среднегодовая средняя цена на сахар в году t-n с учетом инфляции.

3.3. Расчет среднегодовой средней цены на сахар в году t-n с учетом инфляции осуществляется по формуле:

,

где:

- среднегодовая средняя цена на сахар в году t-n, по данным информации о внебиржевых договорах, заключенных на условиях отгрузки товара покупателю со склада производителя без учета затрат на доставку. В случае отсутствия информации о таких внебиржевых договорах за соответствующие 5 лет в объеме 30 процентов и более от объема производства сахара, по данным Росстата, цена на сахар определяется как цена производителей, по данным Росстата.

3.4. Расчет средней себестоимости сахара с учетом инфляции () осуществляется по формуле:

,

где:

- средняя себестоимость реализованного сахара за год t-2;

- индекс цен производителей пищевых продуктов на внутреннем рынке по Российской Федерации за год t-1 (на основании данных Росстата).

Определение средней себестоимости реализованного сахара осуществляется как расчет (на основании ведомственной отчетности) средневзвешенной средней себестоимости сахара субъектов Российской Федерации - основных производителей с объемом производства сахара более 10 тыс. тонн - с учетом информации о товарных и потребительских свойствах сахара.

IV. Расчет предельных уровней максимальных цен на сахар в целях проведения государственных товарных интервенций

4. Расчет предельных уровней максимальных цен на сахар (), при достижении которых проводятся товарные интервенции, осуществляется по формуле:

,

где:

- коэффициент, при равный 10 процентам, при равный средней рентабельности реализации сахара сельхозпроизводителями за последние 5 лет, включая год t-1.

V. Расчет предельных уровней минимальных цен на молоко сухое и масло сливочное в целях проведения государственных закупочных интервенций

5.1. Цена закупки переработчиком сырого молока () определяется как максимальное значение цены за период с июня по август предшествующего года среди субъектов Российской Федерации, отобранных для участия в закупочных интервенциях на рынке молока, по формуле:

,

где:

- максимальная среднемесячная в предшествующем году цена производителя сырого молока в июне, июле, августе в субъектах Российской Федерации, в которых планируется проведение закупочных интервенций;

- коэффициент инфляции, установленный в федеральном законе о федеральном бюджете на соответствующий финансовый год.

Затраты на транспортировку продукции до места переработки и хранения, на погрузочно-разгрузочные работы, анализ качества, оформление документов в состав цены не включаются.

5.2. Расчет предельного уровня минимальной цены масла сливочного осуществляется () по формуле:

,

где:

- минимальное значение цены на масло сливочное в Российской Федерации за предшествующий год;

- корректирующий коэффициент на масло сливочное.

Коэффициент перевода сырого молока в молочные продукты определяется на основе фактических данных предприятий-переработчиков как среднее значение коэффициентов предприятий - потенциальных участников государственных закупочных интервенций или в соответствии с рекомендацией Коллегии Евразийской экономической комиссии от 6 сентября 2016 г. N 15 "О Методологии расчета прогнозных балансов спроса и предложения государств - членов Евразийского экономического союза по сельскохозяйственной продукции, продовольствию, льноволокну, кожевенному сырью, хлопковолокну и шерсти" <2>.

<2> Официальный сайт Евразийского экономического союза: http://eaeunion.org/, 7 сентября 2016 г.

5.3. Расчет корректирующего коэффициента осуществляется по формуле:

для масла сливочного ():

,

для молока сухого обезжиренного ():

,

где:

- общий корректирующий коэффициент для масла сливочного и молока сухого обезжиренного;

- индекс перераспределения цены для масла сливочного;

- индекс перераспределения цены для молока сухого обезжиренного;

- коэффициент перевода сырого молока в молоко сухое обезжиренное.

5.4. Расчет индекса перераспределения цены для масла сливочного () осуществляется по формуле:

,

где:

- минимальное за предшествующий год значение цены на масло сливочное, по данным Росстата, по Российской Федерации;

- минимальное за предшествующий год значение цены на молоко сухое обезжиренное по Российской Федерации.

Индекс перераспределения цены для масла сливочного и молока сухого обезжиренного корректируется в случае возникновения дисбаланса на рынке в момент определения предельного уровня минимальных цен.

5.5. Расчет общего корректирующего коэффициента для масла сливочного и молока сухого обезжиренного () осуществляется по формуле:

,

где:

- цена производства масла сливочного и молока сухого обезжиренного;

- цена на масло сливочное и молоко сухое обезжиренное по ценам прошлого года к текущему периоду времени с учетом коэффициента инфляции.

5.6. Расчет цены производства масла сливочного и молока сухого обезжиренного () осуществляется по формуле:

,

где:

- объем используемого сырого молока при производстве единицы масла;

- уровень цены на сырое молоко, по которой переработчики закупают сырое молоко у производителей при проведении закупочных интервенций;

- затраты на переработку сырого молока в масло, включая затраты на транспортировку и приемку сырого молока и транспортировку масла до склада дистрибьютора;

- норма прибыли переработчика при производстве масла и молока сухого обезжиренного, которая определяется с учетом данных Росстата.

5.7. Расчет цены на масло сливочное и молоко сухое обезжиренное по ценам прошлого года к текущему периоду времени с учетом коэффициента инфляции () осуществляется по формуле:

,

где:

- минимальное значение цены на масло сливочное в Российской Федерации за предшествующий год;

- минимальное значение цены на молоко сухое обезжиренное в Российской Федерации за предшествующий год.

5.8. Расчет предельного уровня минимальной цены молока сухого обезжиренного () осуществляется по формуле:

,

5.9. Расчет предельного уровня минимальной цены на молоко сухое цельное () осуществляется по формуле:

,

где:

- объем используемого сырого молока при производстве единицы молока сухого цельного;

- затраты на переработку сырого молока в молоко сухое цельное, включая затраты на транспортировку и приемку сырого молока;

- норма прибыли переработчика при производстве молока сухого цельного, которая определяется с учетом данных Росстата.

5.10. Для соблюдения баланса интересов участников отечественного рынка молока и молочной продукции расчетные значения предельных уровней минимальных цен в целях проведения государственных закупочных интервенций корректируются по следующим формулам:

5.11. Корректировка расчетных значений предельных уровней минимальных цен на масло сливочное ():

,

где:

- минимальная среднегодовая себестоимость реализованного масла сливочного;

П - прибыль;

- затраты на транспортировку продукции до места хранения, на погрузочно-разгрузочные работы, оформление документов, приемку.

5.12. Корректировка расчетных значений предельных уровней минимальных цен на молоко сухое обезжиренное ():

,

где:

- минимальная среднегодовая себестоимость реализованного молока сухого обезжиренного.

5.13. Корректировка расчетных значений предельных уровней минимальных цен на молоко сухое цельное ():

,

где:

- минимальная среднегодовая себестоимость реализованного молока сухого цельного.

5.14. Определение минимальной среднегодовой себестоимости реализованного молока сухого и масла сливочного рекомендуется производить как расчет средневзвешенной минимальной себестоимости в субъектах Российской Федерации, в которых планируется проведение закупочных интервенций.

VI. Расчет предельных уровней максимальных цен на молоко сухое и масло сливочное в целях проведения государственных товарных интервенций

6.1. Расчет предельного уровня максимальной цены масла сливочного () для проведения товарных интервенций осуществляется по формуле:

,

где:

- максимальная среднемесячная цена производителя масла сливочного в период с сентября по октябрь предшествующего года.

6.2. Расчет предельного уровня максимальной цены на молоко сухое обезжиренное () для проведения товарных интервенций осуществляется по формуле:

,

где:

- максимальная среднемесячная цена производителя молока сухого обезжиренного в период с сентября по октябрь предшествующего года.

6.3. Расчет предельного уровня максимальной цены молока сухого цельного () осуществляется по формуле:

,

где:

- максимальная среднемесячная цена производителя молока сухого цельного в период с сентября по октябрь предшествующего года.