Постановление Правительства РФ от 13.09.2022 N 1598

"О внесении изменений в постановление Правительства Российской Федерации от 23 мая 2006 г. N 306 и признании утратившими силу отдельных положений некоторых актов Правительства Российской Федерации"
Редакция от 13.09.2022 — Действует с 01.03.2023

ПРАВИТЕЛЬСТВО РОССИЙСКОЙ ФЕДЕРАЦИИ

ПОСТАНОВЛЕНИЕ
от 13 сентября 2022 г. N 1598

О ВНЕСЕНИИ ИЗМЕНЕНИЙ В ПОСТАНОВЛЕНИЕ ПРАВИТЕЛЬСТВА РОССИЙСКОЙ ФЕДЕРАЦИИ ОТ 23 МАЯ 2006 Г. N 306 И ПРИЗНАНИИ УТРАТИВШИМИ СИЛУ ОТДЕЛЬНЫХ ПОЛОЖЕНИЙ НЕКОТОРЫХ АКТОВ ПРАВИТЕЛЬСТВА РОССИЙСКОЙ ФЕДЕРАЦИИ

Правительство Российской Федерации постановляет:

1. Утвердить прилагаемые изменения, которые вносятся в постановление Правительства Российской Федерации от 23 мая 2006 г. N 306 "Об утверждении Правил установления и определения нормативов потребления коммунальных услуг и нормативов потребления коммунальных ресурсов в целях содержания общего имущества в многоквартирном доме" (Собрание законодательства Российской Федерации, 2006, N 22, ст. 2338; 2011, N 22, ст. 3168; 2012, N 15, ст. 1783; 2013, N 16, ст. 1972; 2014, N 52, ст. 7773; 2015, N 9, ст. 1316; 2017, N 2, ст. 338; N 11, ст. 1557; N41, ст. 5965).

2. Признать утратившими силу:

подпункт "л" пункта 1 изменений, которые вносятся в акты Правительства Российской Федерации по вопросам установления и определения нормативов потребления коммунальных услуг, утвержденных постановлением Правительства Российской Федерации от 17 декабря 2014 г. N 1380 "О вопросах установления и определения нормативов потребления коммунальных услуг" (Собрание законодательства Российской Федерации, 2014, N 52, ст. 7773);

абзацы сорок второй и сорок третий подпункта 4 пункта 1 изменений, которые вносятся в акты Правительства Российской Федерации по вопросам предоставления коммунальных услуг и содержания общего имущества в многоквартирном доме, утвержденных постановлением Правительства Российской Федерации от 26 декабря 2016 г. N 1498 "О вопросах предоставления коммунальных услуг и содержания общего имущества в многоквартирном доме" (Собрание законодательства Российской Федерации, 2017, N 2, ст. 338).

3. Настоящее постановление вступает в силу с 1 марта 2023 г.

Председатель Правительства
Российской Федерации
М. МИШУСТИН

УТВЕРЖДЕНЫ
постановлением Правительства
Российской Федерации
от 13 сентября 2022 г. N 1598

ИЗМЕНЕНИЯ, КОТОРЫЕ ВНОСЯТСЯ В ПОСТАНОВЛЕНИЕ ПРАВИТЕЛЬСТВА РОССИЙСКОЙ ФЕДЕРАЦИИ ОТ 23 МАЯ 2006 Г. N 306

1. В наименовании и пункте 1 слова "в целях содержания общего имущества в многоквартирном доме" заменить словами ", потребляемых при использовании и содержании общего имущества в многоквартирном доме".

2. Дополнить пунктом 5 следующего содержания:

"5. Настоящее постановление действует до 1 марта 2029 г.".

3. В Правилах установления и определения нормативов потребления коммунальных услуг и нормативов потребления коммунальных ресурсов в целях содержания общего имущества в многоквартирном доме, утвержденных указанным постановлением:

1) наименование изложить в следующей редакции:

"ПРАВИЛА УСТАНОВЛЕНИЯ И ОПРЕДЕЛЕНИЯ НОРМАТИВОВ ПОТРЕБЛЕНИЯ КОММУНАЛЬНЫХ УСЛУГ И НОРМАТИВОВ ПОТРЕБЛЕНИЯ КОММУНАЛЬНЫХ РЕСУРСОВ, ПОТРЕБЛЯЕМЫХ ПРИ ИСПОЛЬЗОВАНИИ И СОДЕРЖАНИИ ОБЩЕГО ИМУЩЕСТВА В МНОГОКВАРТИРНОМ ДОМЕ";

2) в пункте 1 слова "в целях содержания общего имущества в многоквартирном доме" заменить словами ", потребляемых при использовании и содержании общего имущества в многоквартирном доме,";

3) в пункте 2:

абзац второй изложить в следующей редакции:

"климатические условия" - показатели, используемые для определения нормативов потребления коммунальных услуг (средняя температура наружного воздуха за отопительный период, средняя температура наружного воздуха за месяц отопительного периода, расчетная температура наружного воздуха в целях проектирования систем отопления, продолжительность отопительного периода);";

после абзаца второго дополнить абзацем следующего содержания:

"коммунальные ресурсы, потребляемые при использовании и содержании общего имущества в многоквартирном доме" - холодная вода, горячая вода, электрическая энергия, потребляемые при использовании и содержании общего имущества в многоквартирном доме, отведение сточных вод в целях содержания общего имущества в многоквартирном доме;";

абзац шестой изложить в следующей редакции:

"норматив потребления коммунального ресурса, потребляемого при использовании и содержании общего имущества в многоквартирном доме" - определяемый в соответствии с настоящими Правилами количественный показатель объема потребления коммунального ресурса, применяемый для расчета размера расходов потребителей в составе платы за содержание жилого помещения в многоквартирном доме на оплату коммунальных ресурсов, потребляемых при использовании и содержании общего имущества в многоквартирном доме, а также для расчета размера платы за коммунальные услуги в части платы за коммунальные ресурсы, потребляемые при использовании и содержании общего имущества в многоквартирном доме, в случаях, установленных Правилами предоставления коммунальных услуг;";

после абзаца седьмого дополнить абзацем следующего содержания:

"норматив расхода тепловой энергии на подогрев воды" - количественный показатель объема тепловой энергии, используемой на подогрев холодной воды в целях предоставления коммунальной услуги по горячему водоснабжению в соответствии с требованиями к качеству указанной коммунальной услуги, установленными Правилами предоставления коммунальных услуг, который применяется при расчете размера платы за коммунальную услугу по горячему водоснабжению и размера расходов потребителей в составе платы за содержание жилого помещения в многоквартирном доме на оплату горячей воды, потребляемой при использовании и содержании общего имущества в многоквартирном доме, а также используется при определении однокомпонентного тарифа на горячую воду в соответствии с Основами ценообразования в сфере водоснабжения и водоотведения, утвержденными постановлением Правительства Российской Федерации от 13 мая 2013 г. N 406 "О государственном регулировании тарифов в сфере водоснабжения и водоотведения";";

4) в пункте 3:

в предложении первом слова "в целях содержания общего имущества в многоквартирном доме" заменить словами ", потребляемых при использовании и содержании общего имущества в многоквартирном доме,";

предложение второе изложить в следующей редакции: "Контроль за соблюдением уполномоченными органами требований к составу нормативов потребления коммунальных услуг и нормативов потребления коммунальных ресурсов, потребляемых при использовании и содержании общего имущества в многоквартирном доме, условиям и методам установления нормативов потребления коммунальных услуг и нормативов потребления коммунальных ресурсов, потребляемых при использовании и содержании общего имущества в многоквартирном доме, а также обоснованности размера установленного норматива потребления коммунальных услуг и норматива потребления коммунального ресурса, потребляемого при использовании и содержании общего имущества в многоквартирном доме, осуществляется органами государственного жилищного надзора субъектов Российской Федерации.";

5) в абзаце первом пункта 4(1), пункте 5 и абзаце первом пункта 7(1) слова "в целях содержания общего имущества в многоквартирном доме" заменить словами ", потребляемых при использовании и содержании общего имущества в многоквартирном доме,";

6) наименование раздела II дополнить словами "и нормативов потребления коммунальных ресурсов, потребляемых при использовании и содержании общего имущества в многоквартирном доме";

7) в пункте 9:

в абзаце первом:

слова "в целях содержания общего имущества в многоквартирном доме" заменить словами ", потребляемых при использовании и содержании общего имущества в многоквартирном доме,";

дополнить словами "и сетевых организаций в отношении нормативов потребления коммунальных услуг по электроснабжению и нормативов потребления электрической энергии, потребляемой при использовании и содержании общего имущества в многоквартирном доме";

в абзаце втором слова "в целях содержания общего имущества в многоквартирном доме" заменить словами ", потребляемых при использовании и содержании общего имущества в многоквартирном доме,";

8) пункт 9(1) после слов "управляющая организация" дополнить словами ", сетевая организация";

9) в абзаце третьем пункта 10:

слова "в целях содержания" заменить словами "при использовании и содержании";

слова "(за исключением тепловой энергии)" и слова ", а также наличием ресурсопотребляющего оборудования и устройств, включенных в состав общего имущества" исключить;

10) в абзаце первом пункта 11 слова "в целях содержания общего имущества в многоквартирном доме" заменить словами ", потребляемых при использовании и содержании общего имущества в многоквартирном доме,";

11) в пункте 11(1):

слова "(руководителя высшего исполнительного органа государственной власти субъекта Российской Федерации)" исключить;

слова "в целях содержания общего имущества в многоквартирном доме" заменить словами ", потребляемых при использовании и содержании общего имущества в многоквартирном доме,";

12) в пункте 12 слова "в целях содержания общего имущества в многоквартирном доме" заменить словами ", потребляемых при использовании и содержании общего имущества в многоквартирном доме,";

13) в пункте 13:

абзац первый изложить в следующей редакции:

"13. Нормативы потребления коммунальных услуг и нормативы потребления коммунальных ресурсов, потребляемых при использовании и содержании общего имущества в многоквартирном доме, определяются с применением метода аналогов либо расчетного метода с использованием формул согласно приложению N 1.";

абзац второй признать утратившим силу;

14) в пунктах 14 и 15 слова "в целях содержания общего имущества в многоквартирном доме" заменить словами ", потребляемых при использовании и содержании общего имущества в многоквартирном доме,";

15) в пункте 16:

в абзаце первом слова "в целях содержания общего имущества в многоквартирном доме" заменить словами ", потребляемых при использовании и содержании общего имущества в многоквартирном доме,";

в подпункте "б" слова "в целях содержания общего имущества в многоквартирном доме" заменить словами ", потребляемых при использовании и содержании общего имущества в многоквартирном доме";

подпункт "в" после слов "коммунальных услуг" дополнить словами ", норматив потребления коммунальных ресурсов, потребляемых при использовании и содержании общего имущества в многоквартирном доме,";

дополнить подпунктом "д" следующего содержания:

"д) вступление в законную силу решения суда, которым установлено, что нормативы потребления коммунальных услуг и нормативы потребления коммунальных ресурсов, потребляемых при использовании и содержании общего имущества в многоквартирном доме, предусмотренные пунктом 18 настоящих Правил, были установлены с нарушением предусмотренного настоящими Правилами порядка их установления, вынесенного по результатам обжалования решения уполномоченного органа об установлении соответствующих нормативов.";

16) в пункте 17 слова "в целях содержания общего имущества в многоквартирном доме" заменить словами ", потребляемых при использовании и содержании общего имущества в многоквартирном доме";

17) пункт 17(1) изложить в следующей редакции:

"17(1). В решении уполномоченного органа об установлении нормативов потребления коммунальной услуги по отоплению указывается информация о продолжительности отопительного периода (количество и наименование календарных месяцев, в том числе неполных), определенного для установления нормативов потребления коммунальной услуги по отоплению, утвержденных на отопительный период.";

18) в пункте 18 слова "в целях содержания общего имущества в многоквартирном доме" заменить словами ", потребляемых при использовании и содержании общего имущества в многоквартирном доме,";

19) в наименовании раздела III слова "в целях содержания общего имущества в многоквартирном доме" заменить словами ", потребляемых при использовании и содержании общего имущества в многоквартирном доме";

20) пункт 19 изложить в следующей редакции:

"19. Нормативы потребления коммунальных услуг в жилых помещениях и нормативы потребления коммунальных ресурсов, потребляемых при использовании и содержании общего имущества в многоквартирном доме, устанавливаются с применением метода аналогов или расчетного метода.";

21) в пункте 21:

в абзаце первом:

предложение первое после слов "коммунальных услуг" дополнить словами "и коммунальных ресурсов";

предложение третье после слов "в жилых помещениях" дополнить словами "и нормативы потребления коммунальных ресурсов, потребляемых при использовании и содержании общего имущества в многоквартирном доме,";

в абзаце втором слова "Правилам пользования жилыми помещениями, утвержденным постановлением Правительства Российской Федерации от 21 января 2006 г. N 25 "Об утверждении Правил пользования жилыми помещениями", и" исключить;

22) пункт 22 изложить в следующей редакции:

"22. Расчетный метод применяется в случае невозможности применения метода аналогов по причине отсутствия или недостаточности данных приборного учета потребления коммунальных услуг или недостаточного количества отвечающих условиям представительности выборки для проведения необходимых измерений многоквартирных домов или жилых домов, оснащенных общедомовыми и (или) индивидуальными приборами учета потребления коммунальных услуг (коммунальных ресурсов).";

23) в пункте 23 слова "в целях содержания общего имущества в многоквартирном доме" заменить словами ", потребляемых при использовании и содержании общего имущества в многоквартирном доме,";

24) в наименовании раздела IV слова "в целях содержания общего имущества в многоквартирном доме" заменить словами ", потребляемых при использовании и содержании общего имущества в многоквартирном доме";

25) в абзаце втором пункта 24 слова "холодной воды для предоставления коммунальной услуги по горячему водоснабжению" заменить словом "воды";

26) в пункте 29:

в абзаце первом слова "в целях содержания общего имущества в многоквартирном доме" заменить словами ", потребляемых при использовании и содержании общего имущества в многоквартирном доме,";

в абзаце втором:

слова "в целях содержания общего имущества в многоквартирном доме" заменить словами ", потребляемых при использовании и содержании общего имущества в многоквартирном доме,";

слова ", Правил пользования жилыми помещениями, утвержденных постановлением Правительства Российской Федерации от 21 января 2006 г. N 25 "Об утверждении Правил пользования жилыми помещениями", и" исключить;

в абзаце третьем слова "коммунальных ресурсов холодной и горячей воды в целях содержания общего имущества в многоквартирном доме" заменить словами "холодной воды и горячей воды, потребляемых при использовании и содержании общего имущества в многоквартирном доме";

27) наименование раздела V после слов "в жилых помещениях" дополнить словами "и нормативов потребления коммунальных ресурсов, потребляемых при использовании и содержании общего имущества в многоквартирном доме,";

28) пункт 31 изложить в следующей редакции:

"31. Определение нормативов потребления коммунальных услуг в жилых помещениях и нормативов потребления коммунальных ресурсов, потребляемых при использовании и содержании общего имущества в многоквартирном доме, с применением метода аналогов производится на основе выборочного наблюдения потребления коммунальных услуг в многоквартирных домах или жилых домах и коммунальных ресурсов, потребляемых при использовании и содержании общего имущества в многоквартирном доме.";

29) абзац первый пункта 32(1) изложить в следующей редакции:

"32(1). Уполномоченный орган устанавливает норматив расхода тепловой энергии на подогрев воды с учетом вида системы теплоснабжения (открытая, закрытая), типа системы горячего водоснабжения (централизованная, нецентрализованная (при которой производство коммунальной услуги по горячему водоснабжению осуществляется исполнителями коммунальных услуг самостоятельно с использованием оборудования, входящего в состав общего имущества в многоквартирном доме), а также следующих конструктивных особенностей многоквартирного дома или жилого дома:";

30) в пункте 33:

абзац второй дополнить словами "(за исключением выборки для определения норматива потребления коммунальной услуги по отоплению)";

абзац третий признать утратившим силу;

31) в пункте 35:

абзац первый изложить в следующей редакции:

"35. Для определения нормативов потребления коммунальных услуг в жилых помещениях и нормативов потребления коммунальных ресурсов, потребляемых при использовании и содержании общего имущества в многоквартирном доме, используются данные об объеме (количестве) потребления коммунальных ресурсов, полученные с использованием приборов учета с непрерывным периодом работы либо с перерывами, не превышающими продолжительность, соответствующую требованиям к качеству коммунальных услуг, установленным Правилами предоставления коммунальных услуг, в течение всего срока снятия показаний, используемых для расчета нормативов потребления коммунальных услуг, в многоквартирных домах или жилых домах, имеющих аналогичные конструктивные и технические параметры, степень благоустройства многоквартирного дома или жилого дома и расположенных в аналогичных климатических условиях.";

дополнить абзацем следующего содержания:

"При определении нормативов потребления коммунальной услуги по отоплению к объему (количеству) потребления тепловой энергии, определенному с использованием приборов учета, применяется коэффициент поправки с учетом температурных параметров, используемых при проектировании систем отопления, в соответствии с формулой 5(1), предусмотренной приложением N 1 к настоящим Правилам.";

32) в пункте 37:

в подпунктах "а" и "б" слова "первого и последнего числа" заменить словами "на установленные Правилами предоставления коммунальных услуг даты снятия показаний за первый и последний месяцы";

в подпункте "в" слова "1 и 30 июня, 1 и 30 ноября" заменить словами "на установленные Правилами предоставления коммунальных услуг даты снятия показаний за июнь и ноябрь, а для установления нормативов потребления электрической энергии, потребляемой при использовании и содержании общего имущества в многоквартирном доме, - на установленные Правилами предоставления коммунальных услуг даты снятия показаний за март, июнь и декабрь";

дополнить подпунктом "д" следующего содержания:

"д) для определения норматива расхода тепловой энергии на подогрев воды для случаев, при которых производство коммунальной услуги по горячему водоснабжению осуществляется исполнителями коммунальных услуг самостоятельно с использованием тепловой энергии при централизованном теплоснабжении и использованием оборудования, входящего в состав общего имущества в многоквартирном доме, - первого и последнего числа межотопительного периода.";

33) пункт 40 после слов "в жилых помещениях" дополнить словами "и нормативов потребления коммунальных ресурсов, потребляемых при использовании и содержании общего имущества в многоквартирном доме,";

34) пункт 42 после слов "в жилых помещениях" дополнить словами "и нормативы потребления коммунальных ресурсов, потребляемых при использовании и содержании общего имущества в многоквартирном доме,";

35) в наименовании раздела VI слова "в целях содержания общего имущества в многоквартирном доме" заменить словами ", потребляемых при использовании и содержании общего имущества в многоквартирном доме,";

36) в пункте 43 слова "в целях содержания общего имущества в многоквартирном доме" заменить словами ", потребляемых при использовании и содержании общего имущества в многоквартирном доме,";

37) в абзаце втором пункта 44 слово "Среднесуточная" заменить словом "Средняя";

38) пункт 45(1) изложить в следующей редакции:

"45(1). Норматив расхода тепловой энергии на подогрев воды определяется с учетом положений, установленных пунктами 32 - 32(2) настоящих Правил.";

39) в приложении N 1 к указанным Правилам:

в нумерационном заголовке слова "в целях содержания общего имущества в многоквартирном доме" заменить словами ", потребляемых при использовании и содержании общего имущества в многоквартирном доме";

наименование изложить в следующей редакции:

"ФОРМУЛЫ, ИСПОЛЬЗУЕМЫЕ ДЛЯ ОПРЕДЕЛЕНИЯ НОРМАТИВОВ ПОТРЕБЛЕНИЯ КОММУНАЛЬНЫХ УСЛУГ В ЖИЛЫХ ПОМЕЩЕНИЯХ И НОРМАТИВОВ ПОТРЕБЛЕНИЯ КОММУНАЛЬНЫХ РЕСУРСОВ, ПОТРЕБЛЯЕМЫХ ПРИ ИСПОЛЬЗОВАНИИ И СОДЕРЖАНИИ ОБЩЕГО ИМУЩЕСТВА В МНОГОКВАРТИРНОМ ДОМЕ";

наименование раздела I после слов "в жилых помещениях" дополнить словами "и нормативов потребления коммунальных ресурсов, потребляемых при использовании и содержании общего имущества в многоквартирном доме,";

пункты 1 и 2 изложить в следующей редакции:

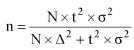
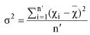
"1. Объем выборки определяется по следующей формуле:

, (формула 1)

где:

N - объем генеральной совокупности (количество многоквартирных домов или жилых домов с аналогичными конструктивными и техническими параметрами, степенью благоустройства многоквартирного дома или жилого дома по каждой группе домов);

t - величина, определяемая уровнем надежности (заданной вероятностью Р) того, что отклонение выборочной средней не превзойдет по абсолютной величине предельной ошибки выборки . Величина t принимается в зависимости от заданной вероятности в соответствии с таблицей 1;

- предельная ошибка выборки (допустимая абсолютная величина отклонения выборочной средней от генеральной средней). Предельную ошибку выборки рекомендуется принимать равной 5 процентам среднего арифметического предварительной выборки . Предельная ошибка выборки является ошибкой репрезентативности (представительности) выборки и показывает предел, который не превосходит действительная ошибка выборки;

- дисперсия выборочной совокупности, рассчитываемая как среднее арифметическое квадратов отклонений отдельных элементов выборочной совокупности от их средней арифметической.

Таблица 1

Зависимость значения t от заданной вероятности Р

р 0,95 0,954 0,997
t 1,96 2 3

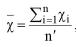
2. Объем выборки определяется на основе предварительной выборки в следующем порядке:

а) производится предварительный отбор многоквартирных домов или жилых домов, в отношении которых дисперсия выборочной совокупности определяется по следующей формуле:

, (формула 2)

где:

- количество предварительно отобранных многоквартирных домов или жилых домов. Объем предварительной выборки должен быть не менее 10 домов;

- месячный (среднемесячный) расход коммунальных ресурсов в отдельном i-м многоквартирном доме или жилом доме за наблюдаемый период в расчете на единицу измерения, определенный по показаниям коллективных (общедомовых) приборов учета в многоквартирных домах или индивидуальных приборов учета в жилых домах;

- среднее арифметическое предварительной выборки;

б) среднее арифметическое предварительной выборки рассчитывается по следующей формуле:

, (формула 3)

где:

- месячный (среднемесячный) расход коммунальных ресурсов в отдельном i-м многоквартирном доме или жилом доме за наблюдаемый период в расчете на единицу измерения, определенный по показаниям коллективных (общедомовых) приборов учета в многоквартирных домах или индивидуальных приборов учета в жилых домах;

- количество предварительно отобранных многоквартирных домов или жилых домов. Объем предварительной выборки должен быть не менее 10 домов;

в) в случае если , объем выборки считается достаточным и норматив потребления коммунальных услуг или норматив потребления коммунальных ресурсов, потребляемых при использовании и содержании общего имущества в многоквартирном доме, определяется методом аналогов на основе выборки из многоквартирных домов или жилых домов.

Термины и понятия, используемые в настоящем документе, применяются с учетом их значений, используемых в Правилах установления и определения нормативов потребления коммунальных услуг и нормативов потребления коммунальных ресурсов, потребляемых при использовании и содержании общего имущества в многоквартирном доме, утвержденных постановлением Правительства Российской Федерации от 23 мая 2006 г. N 306 "Об утверждении Правил установления и определения нормативов потребления коммунальных услуг и нормативов потребления коммунальных ресурсов, потребляемых при использовании и содержании общего имущества в многоквартирном доме" (далее - Правила).";

пункт 3 изложить в следующей редакции:

"3. Норматив потребления коммунальной услуги по отоплению в жилых помещениях (Гкал в месяц отопительного периода на 1 кв. м общей площади всех жилых и нежилых помещений в многоквартирном доме или жилого дома) определяется по следующей формуле:

, (формула 5)

где:

- суммарный за отопительный период расход тепловой энергии на отопление многоквартирных домов или жилых домов, определенный по показаниям коллективных (общедомовых) приборов учета в многоквартирных домах или индивидуальных приборов учета в жилых домах (Гкал). В случае если коллективные (общедомовые) приборы учета в многоквартирных домах учитывают общий объем тепловой энергии, потребленной на нужды отопления и горячего водоснабжения, объем тепловой энергии на отопление определяется с учетом требований Правил предоставления коммунальных услуг собственникам и пользователям помещений в многоквартирных домах и жилых домов, утвержденных постановлением Правительства Российской Федерации от 6 мая 2011 г. N 354 "О предоставлении коммунальных услуг собственникам и пользователям помещений в многоквартирных домах и жилых домов" (далее - Правила предоставления коммунальных услуг);

- общая площадь всех жилых и нежилых помещений в многоквартирных домах, жилых домов (кв. м);

- период, равный продолжительности отопительного периода (количество календарных месяцев, в том числе неполных, в отопительном периоде);

k - коэффициент поправки на температурные параметры, используемые в целях проектирования системы отопления, который определяется по следующей формуле:

, (формула 5(1))

где:

- учитываемая при проектировании системы отопления продолжительность отопительного периода (суток в году), характеризующегося средней температурой наружного воздуха 8°С и ниже (таблица 3.1 СП 131.13330.2020 "СНиП 23-01-99* Строительная климатология");

- температура внутреннего воздуха отапливаемых жилых помещений многоквартирного дома или жилого дома, принимаемая в соответствии с требованиями Правил предоставления коммунальных услуг (°С);

- средняя температура наружного воздуха в отопительный период по проектным данным, учитываемая при проектировании системы отопления (таблица 3.1 СП 131.13330.2020 "СНиП 23-01-99* Строительная климатология") (°С);

- фактическая продолжительность отопительного периода (суток);

- фактическая средняя температура наружного воздуха в отопительный период (°С).";

пункт 5 изложить в следующей редакции:

"5. Норматив потребления коммунальной услуги по холодному водоснабжению, норматив потребления коммунальной услуги по горячему водоснабжению или норматив потребления горячей воды в жилых помещениях (куб. м в месяц на 1 человека) определяется по следующей формуле:

, (формула 6)

где:

- средний фактический расход холодной воды, горячей воды в многоквартирном доме или жилом доме (куб. м в месяц на 1 человека), определяемый по формуле 7;

- норматив потребления холодной воды, потребляемой при использовании и содержании общего имущества в многоквартирном доме, и норматив потребления горячей воды, потребляемой при использовании и содержании общего имущества в многоквартирном доме (куб. м в месяц на 1 кв. м общей площади помещений, входящих в состав общего имущества в многоквартирном доме), определяемый по формуле 8;

- общая площадь помещений, входящих в состав общего имущества в многоквартирном доме (кв. м). Общая площадь помещений, входящих в состав общего имущества в многоквартирном доме, определяется как суммарная площадь помещений в многоквартирном доме, не являющихся частями квартир многоквартирного дома и предназначенных для обслуживания более одного помещения в многоквартирном доме (согласно сведениям, указанным в технической документации многоквартирного дома), - межквартирных лестничных площадок, лестниц, коридоров, тамбуров, холлов, вестибюлей, колясочных, помещений охраны (консьержа) в этом многоквартирном доме, не принадлежащих отдельным собственникам;

К - численность жителей, проживающих в многоквартирных домах, в отношении которых определяется норматив.";

наименование подраздела "Формула определения норматива расхода тепловой энергии, используемой на подогрев холодной воды для предоставления коммунальной услуги по горячему водоснабжению" изложить в следующей редакции:

"Формула определения норматива расхода тепловой энергии на подогрев воды";

абзац первый пункта 6(1) изложить в следующей редакции:

"6(1). Норматив расхода тепловой энергии на подогрев воды (Гкал на 1 куб. м) при применении метода аналогов в соответствии с пунктами 32 - 32(2) Правил определяется по следующей формуле:";

после подраздела "Формула определения норматива расхода тепловой энергии, используемой на подогрев холодной воды для предоставления коммунальной услуги по горячему водоснабжению" дополнить подразделом следующего содержания:

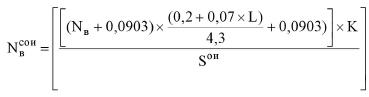
"Формула определения норматива потребления холодной воды, потребляемой при использовании и содержании общего имущества в многоквартирном доме, и норматива потребления горячей воды, потребляемой при использовании и содержании общего имущества в многоквартирном доме

6(2). Норматив потребления холодной воды, потребляемой при использовании и содержании общего имущества в многоквартирном доме, и норматив потребления горячей воды, потребляемой при использовании и содержании общего имущества в многоквартирном доме, при наличии данных по коллективным (общедомовым) приборам учета (куб. м в месяц на 1 кв. м общей площади помещений, входящих в состав общего имущества в многоквартирном доме) определяется по следующей формуле:

, (формула 8)

где:

- средний фактический расход холодной воды, горячей воды в многоквартирном доме или жилом доме (куб. м в месяц на 1 человека), определяемый по формуле 7;

L - количество этажей в многоквартирных домах, в отношении которых определяется норматив, определяемое по следующей формуле:

, (формула 8(1))

где:

- сумма этажей в группе многоквартирных домов;

m - количество многоквартирных домов в группе;

- доля нормативных технологических потерь холодной воды, горячей воды во внутридомовых инженерных системах в величине среднего фактического расхода холодной воды, горячей воды на вводе в многоквартирный дом;

0,0903 - расход холодной воды, горячей воды, потребляемых при использовании и содержании общего имущества в многоквартирном доме (куб. м в месяц на 1 человека);

К - численность жителей, проживающих в многоквартирных домах, в отношении которых определяется норматив;

- общая площадь помещений, входящих в состав общего имущества в многоквартирных домах (кв. м).

Общая площадь помещений, входящих в состав общего имущества в многоквартирном доме, определяется как суммарная площадь помещений в многоквартирном доме, не являющихся частями квартир многоквартирного дома и предназначенных для обслуживания более одного помещения в многоквартирном доме (согласно сведениям, указанным в технической документации многоквартирного дома), - межквартирных лестничных площадок, лестниц, коридоров, тамбуров, холлов, вестибюлей, колясочных, помещений охраны (консьержа) в этом многоквартирном доме, не принадлежащих отдельным собственникам.";

после подраздела "Формула определения норматива потребления коммунальной услуги по электроснабжению в жилых помещениях" дополнить подразделом следующего содержания:

"Формула определения норматива потребления электрической энергии, потребляемой при использовании и содержании общего имущества в многоквартирном доме

8(2). Норматив потребления электрической энергии, потребляемой при использовании и содержании общего имущества в многоквартирном доме с использованием показаний приборов учета электрической энергии (кВт ч в месяц на 1 кв. м общей площади помещений, входящих в состав общего имущества в многоквартирном доме), определяется по следующей формуле:

, (формула 10)

где:

n - количество многоквартирных домов;

- суммарный расход электрической энергии по показаниям коллективного (общедомового) прибора учета (кВт/ч) за март, июнь и декабрь в i-м многоквартирном доме за вычетом суммарного расхода электрической энергии в нежилых помещениях, потребление в которых учитывается в показаниях коллективного (общедомового) прибора учета;

m - количество жилых помещений в i-м многоквартирном доме;

- расход электрической энергии по показаниям индивидуального прибора учета за март, июнь и декабрь в 1-м жилом помещении;

3 - количество месяцев, используемых для снятия показаний приборов учета (март, июнь и декабрь);

- общая площадь помещений, входящих в состав общего имущества в многоквартирных домах (кв. м).";

в наименовании раздела II слова ", нормативов потребления коммунальных услуг на общедомовые нужды" заменить словами "и нормативов потребления коммунальных ресурсов, потребляемых при использовании и содержании общего имущества в многоквартирном доме,";

пункт 18 изложить в следующей редакции:

"18. Норматив потребления коммунальной услуги по отоплению в жилых помещениях (Гкал на 1 кв. м общей площади всех жилых и нежилых помещений в многоквартирном доме или жилого дома в месяц отопительного периода) определяется по следующей формуле:

, (формула 18)

где:

- количество тепловой энергии, потребляемой за один отопительный период многоквартирными домами, не оборудованными коллективными (общедомовыми) приборами учета тепловой энергии, или жилыми домами, не оборудованными индивидуальными приборами учета тепловой энергии (Гкал), определяемое по формуле 19;

- общая площадь всех жилых и нежилых помещений в многоквартирных домах, жилых домов (кв. м);

- период, равный продолжительности отопительного периода (количество календарных месяцев, в том числе неполных, в отопительном периоде).";

в пункте 19:

в абзаце седьмом слово "среднесуточная" заменить словом "средняя";

в абзаце девятом слово "среднесуточной" заменить словом "средней";

в абзаце двенадцатом слова "установления и определения нормативов потребления коммунальных услуг, утвержденных постановлением Правительства Российской Федерации от 23 мая 2006 г. N 306 (в редакции постановления Правительства Российской Федерации от 28 марта 2012 г. N 258)" исключить;

в предложении втором абзаца первого пункта 20 слова "паспортам домов" заменить словами "сведениям, указанным в технической документации многоквартирного дома";

в последнем абзаце пункта 23 слова "законодательством Российской Федерации" заменить словами "приложением N 3 к Правилам холодного водоснабжения и водоотведения, утвержденным постановлением Правительства Российской Федерации от 29 июля 2013 г. N 644 "Об утверждении Правил холодного водоснабжения и водоотведения и о внесении изменений в некоторые акты Правительства Российской Федерации";

в пункте 24:

абзац седьмой изложить в следующей редакции:

" - температура горячей воды в местах водоразбора (°С), которая принимается к расчету, если она не ниже минимальной температуры горячей воды в местах водоразбора (60°С), предусмотренной требованиями санитарно-эпидемиологических правил и норм (СанПиН 2.1.3684-21);";

в пункте 24(1):

в абзаце первом слова "В случае установления двухкомпонентных тарифов на горячую воду норматив расхода тепловой энергии, используемой на подогрев воды в целях предоставления коммунальной услуги по горячему водоснабжению (Гкал на 1 куб. м)," заменить словами "Норматив расхода тепловой энергии на подогрев воды (Гкал на 1 куб. м)";

в абзаце шестом слова ", определяемая в соответствии с таблицей 5(1)" заменить словами "(983,13 кг на 1 куб. м)";

таблицу 5(1) исключить;

в абзаце первом после таблицы 5(1) слова "поступающей потребителям из систем централизованного горячего водоснабжения (°С), определяемая в соответствии с санитарно-эпидемиологическими правилами и нормами (СанПиН 2.1.4.2496-09)" заменить словами "которая принимается к расчету, если она не ниже минимальной температуры горячей воды в местах водоразбора (60°С), предусмотренной требованиями санитарно- эпидемиологических правил и норм (СанПиН 2.1.3684-21)";

в головке таблицы 5(2):

слова "с наружной сетью горячего водоснабжения" заменить словами "централизованная система горячего водоснабжения";

слова "без наружной сети горячего водоснабжения" заменить словами "нецентрализованная система горячего водоснабжения";

дополнить абзацами следующего содержания:

"В случае установления на едином уровне норматива расхода тепловой энергии на подогрев воды в целях предоставления коммунальной услуги по горячему водоснабжению с использованием закрытой системы водоснабжения при установлении однокомпонентного тарифа на горячую воду коэффициент, учитывающий нормативные потери тепла трубопроводами систем горячего водоснабжения, определяется по следующей формуле:

, (формула 23(2))

где:

- количество многоквартирных домов с неизолированными стояками и полотенцесушителями;

- коэффициент для систем горячего водоснабжения с неизолированными стояками и полотенцесушителями, который равен 0,35;

- количество многоквартирных домов с изолированными стояками и полотенцесушителями;

- коэффициент для систем горячего водоснабжения с изолированными стояками и полотенцесушителями, который равен 0,25;

- количество многоквартирных домов с неизолированными стояками и без полотенцесушителей;

- коэффициент для систем горячего водоснабжения с неизолированными стояками и без полотенцесушителей, который равен 0,25;

- количество многоквартирных домов с изолированными стояками и без полотенцесушителей;

- коэффициент для систем горячего водоснабжения с изолированными стояками и без полотенцесушителей, который равен 0,15;

N - количество многоквартирных домов с системами горячего водоснабжения.";

наименование подраздела "Формула расчета норматива потребления коммунальных услуг по холодному водоснабжению и норматива потребления коммунальной услуги по горячему водоснабжению или норматива потребления горячей воды на общедомовые нужды" изложить в следующей редакции:

"Формула расчета норматива потребления холодной воды, потребляемой при использовании и содержании общего имущества в многоквартирном доме, и норматива потребления горячей воды, потребляемой при использовании и содержании общего имущества в многоквартирном доме";

пункт 27 изложить в следующей редакции:

"27. Норматив потребления холодной воды, потребляемой при использовании и содержании общего имущества в многоквартирном доме, и норматив потребления горячей воды, потребляемой при использовании и содержании общего имущества в многоквартирном доме (куб. м в месяц на 1 кв. м общей площади помещений, входящих в состав общего имущества в многоквартирном доме), определяются по следующей формуле:

, (формула 26)

где:

- норматив потребления коммунальной услуги по холодному или горячему водоснабжению (куб. м в месяц на 1 человека), определяемый в соответствии с пунктами 23 - 26 настоящего документа;

0,0903 - расход холодной воды, горячей воды, потребляемых при использовании и содержании общего имущества в многоквартирном доме (куб. м в месяц на 1 человека);

- доля нормативных технологических потерь холодной воды, горячей воды во внутридомовых инженерных системах в суммарной величине норматива потребления коммунальной услуги по холодному водоснабжению и расхода холодной воды, потребляемой при использовании и содержании общего имущества в многоквартирном доме, или в суммарной величине норматива потребления коммунальной услуги по горячему водоснабжению и расхода горячей воды, потребляемой при использовании и содержании общего имущества в многоквартирном доме;

L - количество этажей в многоквартирных домах, в отношении которых определяется норматив, определяемое по формуле 8(1);

К - численность жителей, проживающих в многоквартирных домах, в отношении которых определяется норматив;

- общая площадь помещений, входящих в состав общего имущества в многоквартирных домах (кв. м).";

в абзаце восьмом пункта 34 слово "правилами" заменить словом "Правилами";

в наименовании подраздела "Формула расчета норматива потребления электрической энергии в целях содержания общего имущества в многоквартирном доме" слова "в целях содержания общего имущества в многоквартирном доме" заменить словами ", потребляемой при использовании и содержании общего имущества в многоквартирном доме";

в пункте 37:

в абзаце первом слова "в целях содержания общего имущества в многоквартирном доме" заменить словами ", потребляемой при использовании и содержании общего имущества в многоквартирном доме,";

абзац пятый изложить в следующей редакции:

"Величина норматива потребления электрической энергии, потребляемой при использовании и содержании общего имущества в многоквартирном доме (кВт ч в месяц на 1 кв. м общей площади помещений, входящих в состав общего имущества в многоквартирном доме), определяется по следующей формуле:";

40) в приложении N 2 к указанным Правилам:

в нумерационном заголовке слова "в целях содержания общего имущества в многоквартирном доме" заменить словами ", потребляемых при использовании и содержании общего имущества в многоквартирном доме";

таблицу 2 изложить в следующей редакции:

"Таблица 2

ФОРМА для установления норматива потребления холодной воды, потребляемой при использовании и содержании общего имущества в многоквартирном доме, норматива потребления горячей воды, потребляемой при использовании и содержании общего имущества в многоквартирном доме, и норматива отведения сточных вод в целях содержания общего имущества в многоквартирном доме

Категория жилых помещений Единица измерения Этажность Норматив потребления холодной воды, потребляемой при использовании и содержании общего имущества в многоквартирном доме Норматив потребления горячей воды, потребляемой при использовании и содержании общего имущества в многоквартирном доме Норматив отведения сточных вод в целях содержания общего имущества в многоквартирном доме <*>
1. Многоквартирные дома с централизованным холодным и горячим водоснабжением, водоотведением, а также многоквартирные дома, в которых коммунальная услуга по горячему водоснабжению производится с использованием оборудования, входящего в состав общего имущества в многоквартирном доме куб. метров в месяц на 1 кв. метр общей площади от 1 до 5      
  от 6 до 9
  от 10 до 16
  более 16
2. Многоквартирные дома с централизованным холодным водоснабжением, водонагревателями, водоотведением куб. метров в месяц на 1 кв. метр общей площади от 1 до 5      
  от 6 до 9      
  от 10 до 16      
   
3. Многоквартирные дома без водонагревателей с централизованным холодным водоснабжением и водоотведением, оборудованные раковинами, мойками и унитазами куб. метров в месяц на 1 кв. метр общей площади от 1 до 5      
  от 6 до 9      
  от 10 до 16      
  более 16      
4. Многоквартирные дома с централизованным холодным водоснабжением без централизованного водоотведения куб. метров в месяц на 1 кв. метр общей площади        

<*> Норматив отведения сточных вод в целях содержания общего имущества в многоквартирном доме определяется путем суммирования нормативов потребления коммунальных ресурсов (холодной воды и горячей воды, потребляемых при использовании и содержании общего имущества в многоквартирном доме (в соответствии с пунктом 29 Правил установления и определения нормативов потребления коммунальных услуг и нормативов потребления коммунальных ресурсов, потребляемых при использовании и содержании общего имущества в многоквартирном доме, утвержденных постановлением Правительства Российской Федерации от 23 мая 2006 г. N 306 "Об утверждении Правил установления и определения нормативов потребления коммунальных услуг и нормативов потребления коммунальных ресурсов, потребляемых при использовании и содержании общего имущества в многоквартирном доме").";

в наименовании таблицы 10 слова "в целях содержания общего имущества в многоквартирном доме" заменить словами ", потребляемой при использовании и содержании общего имущества в многоквартирном доме".