Постановление Правительства РФ от 18.05.2022 N 895

"Об утверждении Правил предоставления субсидий из федерального бюджета кредитным организациям на возмещение недополученных доходов по кредитам, выданным на приобретение приоритетной для импорта продукции"
Редакция от 08.08.2023 — Действует с 18.08.2023
Показать изменения

ПРАВИТЕЛЬСТВО РОССИЙСКОЙ ФЕДЕРАЦИИ

ПОСТАНОВЛЕНИЕ
от 18 мая 2022 г. N 895

ОБ УТВЕРЖДЕНИИ ПРАВИЛ ПРЕДОСТАВЛЕНИЯ СУБСИДИЙ ИЗ ФЕДЕРАЛЬНОГО БЮДЖЕТА КРЕДИТНЫМ ОРГАНИЗАЦИЯМ НА ВОЗМЕЩЕНИЕ НЕДОПОЛУЧЕННЫХ ДОХОДОВ ПО КРЕДИТАМ, ВЫДАННЫМ НА ПРИОБРЕТЕНИЕ ПРИОРИТЕТНОЙ ДЛЯ ИМПОРТА ПРОДУКЦИИ

(в ред. Постановлений Правительства РФ от 25.06.2022 N 1142, от 07.10.2022 N 1781, от 20.12.2022 N 2354, от 08.08.2023 N 1295)

Правительство Российской Федерации постановляет:

1. Утвердить прилагаемые Правила предоставления субсидий из федерального бюджета кредитным организациям на возмещение недополученных доходов по кредитам, выданным на приобретение приоритетной для импорта продукции.

2. Настоящее постановление вступает в силу со дня его официального опубликования.

Председатель Правительства
Российской Федерации
М. МИШУСТИН

УТВЕРЖДЕНЫ
постановлением Правительства
Российской Федерации
от 18 мая 2022 г. N 895

ПРАВИЛА ПРЕДОСТАВЛЕНИЯ СУБСИДИЙ ИЗ ФЕДЕРАЛЬНОГО БЮДЖЕТА КРЕДИТНЫМ ОРГАНИЗАЦИЯМ НА ВОЗМЕЩЕНИЕ НЕДОПОЛУЧЕННЫХ ДОХОДОВ ПО КРЕДИТАМ, ВЫДАННЫМ НА ПРИОБРЕТЕНИЕ ПРИОРИТЕТНОЙ ДЛЯ ИМПОРТА ПРОДУКЦИИ

(в ред. Постановления Правительства РФ от 08.08.2023 N 1295)

1. Настоящие Правила устанавливают цели, условия и порядок предоставления субсидий из федерального бюджета кредитным организациям на возмещение недополученных доходов по кредитам, выданным на приобретение приоритетной для импорта продукции (далее - субсидии).

Сведения о субсидиях размещаются на едином портале бюджетной системы Российской Федерации в информационно-телекоммуникационной сети "Интернет" (далее соответственно - единый портал, сеть "Интернет") не позднее 15-го рабочего дня, следующего за днем принятия федерального закона о федеральном бюджете (федерального закона о внесении изменений в федеральный закон о федеральном бюджете).

Субсидии предоставляются в целях реализации федерального проекта "Содействие в реализации инвестиционных проектов и поддержка производителей высокотехнологической продукции в гражданских отраслях промышленности" государственной программы Российской Федерации "Развитие промышленности и повышение ее конкурентоспособности".

2. Понятия, используемые в настоящих Правилах, означают следующее:

"договор финансовой аренды" - договор финансовой аренды (договор лизинга), заключенный между заемщиком (уполномоченным лицом) и нерезидентом Российской Федерации - лизингодателем, который предусматривает ввоз продукции после 1 марта 2022 г. на территорию Российской Федерации, а также переход к заемщику (уполномоченному лицу) права собственности на продукцию, являющуюся предметом финансовой аренды (лизинга) по договору финансовой аренды (далее - лизинг), и может предусматривать проектирование, транспортировку и (или) иные услуги (работы), связанные с лизингом продукции.

Сумма обязательств по договору финансовой аренды должна быть эквивалентна 10 млн. рублей или превышать эту сумму и определяется на день заключения договора финансовой аренды по официальному курсу иностранных валют по отношению к рублю, установленному Центральным банком Российской Федерации;

"заемщик" - юридическое лицо, созданное в соответствии с законодательством Российской Федерации, либо физическое лицо, зарегистрированное в качестве индивидуального предпринимателя в соответствии с законодательством Российской Федерации, заключившее кредитное соглашение и соответствующее требованиям, установленным пунктом 4 настоящих Правил;

"импортный контракт" - внешнеторговый контракт (дополнительное соглашение или спецификация к нему), заключенный между заемщиком (уполномоченным лицом) и иностранным поставщиком, поставленный на учет в российской кредитной организации для целей осуществления валютного контроля, который предусматривает ввоз продукции после 1 марта 2022 г. на территорию Российской Федерации в соответствии с Федеральным законом "Об основах государственного регулирования внешнеторговой деятельности" и может предусматривать проектирование, транспортировку и (или) иные услуги (работы), связанные с приобретением продукции, являющейся предметом импортного контракта;

"инвестиционный проект" - проект, определяемый кредитной организацией самостоятельно в соответствии с правилами, процедурами и внутренними нормативными актами кредитной организации;

"иные услуги (работы), связанные с лизингом продукции" - услуги (работы), оказываемые заемщику (уполномоченному лицу) (выполняемые для заемщика (уполномоченного лица), которые могут предусматривать среди прочего пусконаладочные работы, монтаж, разработку и установку программного обеспечения, и иные услуги (работы), оказываемые (выполняемые) в отношении продукции, являющейся предметом лизинга;

"иные услуги (работы), связанные с приобретением продукции, являющейся предметом импортного контракта" - услуги (работы), оказываемые заемщику (уполномоченному лицу) (выполняемые для заемщика (уполномоченного лица), которые могут предусматривать среди прочего пусконаладочные работы, монтаж, разработку и установку программного обеспечения, и иные услуги (работы), оказываемые (выполняемые) в отношении продукции, являющейся предметом импортного контракта;

"кредитная организация" - российская кредитная организация, соответствующая требованиям, установленным пунктом 3 настоящих Правил;

"кредитное соглашение" - кредитный договор (соглашение) и (или) дополнительное соглашение к кредитному договору (соглашению) об открытии кредитной линии, или договор о предоставлении иных инструментов финансирования, аналогичных кредиту по экономической сути, или договор, предусматривающий рефинансирование кредитного соглашения, субсидия в отношении которого предоставлялась в рамках настоящих Правил, или договор (соглашение), предусматривающий уступку кредитной организацией требования (цессию) по кредитному соглашению, субсидия в отношении которого предоставлялась в рамках настоящих Правил, по которому кредитная организация, являющаяся получателем субсидии, предоставила финансирование заемщику на цели финансирования импортного контракта (договора финансовой аренды), в том числе транспортировки продукции, являющейся предметом импортного контракта (лизинга), оплаты таможенных платежей в отношении продукции, являющейся предметом импортного контракта (лизинга), оплаты иных услуг (работ), связанных с приобретением продукции, являющейся предметом импортного контракта (иных услуг (работ), связанных с лизингом продукции).

Кредитным соглашением предусматривается предоставление следующих видов финансирования заемщика с предоставлением льготной процентной ставки:

кредит или часть кредита;

аккредитив, выставленный по поручению заемщика в пользу поставщика продукции;

финансирование под уступку денежного требования (факторинг);

"льготная процентная ставка" - процентная ставка по кредиту или комиссия за финансирование по иным инструментам финансирования, аналогичным кредиту по экономической сути, для заемщика, установленная кредитным соглашением с учетом предоставления субсидии;

"отбор" - отбор кредитных организаций, проводимый Министерством промышленности и торговли Российской Федерации способом запроса предложений для определения кредитных организаций - получателей субсидий на основании заявок на участие в таком отборе (далее - заявка), представленных кредитными организациями, исходя из их соответствия критериям такого отбора и очередности поступления заявок;

"продукция" - продукция, включенная в перечень приоритетной для импорта продукции согласно приложению (далее - перечень продукции), приобретаемая заемщиком (уполномоченным лицом) на день принятия Министерством промышленности и торговли Российской Федерации решения о заключении соглашения о предоставлении субсидии (дополнительного соглашения к соглашению о предоставлении субсидии) с кредитной организацией в отношении кредитного соглашения.

В отношении отдельных видов продукции, указанных в перечне продукции, кредитной организацией в Министерство промышленности и торговли Российской Федерации направляется запрос о возможности предоставления финансирования по кредитному соглашению с предоставлением льготной процентной ставки.

В отношении отдельных видов продукции, указанных в перечне продукции, финансирование по кредитному соглашению может предоставляться кредитной организацией только на цели финансирования договора финансовой аренды, в том числе транспортировки продукции, являющейся предметом лизинга, оплаты таможенных платежей в отношении продукции, являющейся предметом лизинга, оплаты иных услуг (работ), связанных с лизингом продукции;

"реестр заемщиков" - реестр заемщиков, заключивших с кредитной организацией кредитные соглашения, подписанный руководителем кредитной организации или иным лицом, уполномоченным на подписание документов (далее - уполномоченное лицо кредитной организации);

"срок ввоза" - срок ввоза на территорию Российской Федерации продукции, установленный импортным контрактом (договором финансовой аренды) или указанный в письме, направляемом заемщиком в кредитную организацию и содержащем информацию о сроке ввоза на территорию Российской Федерации продукции, в случае отсутствия такой информации в импортном контракте (договоре финансовой аренды);

"срок субсидирования" - период, на который предоставляется льготная процентная ставка, исчисляемый со дня предоставления первого транша в рамках одного импортного контракта (в том числе при наличии дополнительных соглашений (спецификаций) к импортному контракту) или договора финансовой аренды.

Срок субсидирования в отношении импортного контракта не может быть более срока действия кредитного соглашения и превышать 12 месяцев, а в случае приобретения продукции, являющейся оборудованием и (или) средством производства в рамках инвестиционного проекта, или приобретения продукции, срок ввоза которой превышает 12 месяцев с даты заключения импортного контракта, - 36 месяцев.

Срок субсидирования в отношении договора финансовой аренды не может быть более срока действия кредитного соглашения и превышать 36 месяцев.

Отдельным решением Правительства Российской Федерации может устанавливаться иной срок субсидирования.

Срок субсидирования в отношении иных услуг (работ), связанных с приобретением продукции, являющейся предметом импортного контракта (иных услуг (работ), связанных с лизингом продукции), равен сроку субсидирования в отношении соответствующего импортного контракта (договора финансовой аренды), предусматривающего приобретение (лизинг) продукции;

"уполномоченное лицо" - российская организация, осуществляющая передачу в пользу заемщика права на продукцию, полученную по импортному контракту (договору финансовой аренды).

3. Субсидии предоставляются кредитной организации, которая на день не ранее чем за 30 календарных дней до дня представления заявки соответствует следующим требованиям:

а) кредитная организация зарегистрирована на территории Российской Федерации;

б) кредитная организация имеет действующую универсальную лицензию на осуществление банковских операций, выданную Центральным банком Российской Федерации;

в) кредитная организация не является иностранным юридическим лицом, в том числе местом регистрации которого являются государство или территория, включенные в утверждаемый Министерством финансов Российской Федерации перечень государств и территорий, используемых для промежуточного (офшорного) владения активами в Российской Федерации (далее - офшорная компания), а также российским юридическим лицом, в уставном (складочном) капитале которого доля прямого или косвенного (через третьих лиц) участия офшорных компаний в совокупности превышает 25 процентов (за исключением случаев, указанных в части 24 статьи 9 Федерального закона "О внесении изменений в Бюджетный кодекс Российской Федерации и отдельные законодательные акты Российской Федерации, приостановлении действия отдельных положений Бюджетного кодекса Российской Федерации, признании утратившими силу отдельных положений законодательных актов Российской Федерации и об установлении особенностей исполнения бюджетов бюджетной системы Российской Федерации в 2023 году").

При расчете доли участия офшорных компаний в капитале российских юридических лиц не учитывается прямое и (или) косвенное участие офшорных компаний в капитале публичных акционерных обществ (в том числе со статусом международной компании), акции которых обращаются на организованных торгах в Российской Федерации, а также косвенное участие таких офшорных компаний в капитале других российских юридических лиц, реализованное через участие в капитале указанных публичных акционерных обществ;

г) у кредитной организации отсутствует неисполненная обязанность по уплате налогов, сборов, страховых взносов, пеней, штрафов и процентов, подлежащих уплате в соответствии с законодательством Российской Федерации о налогах и сборах;

д) у кредитной организации отсутствуют просроченная задолженность по возврату в федеральный бюджет субсидий, бюджетных инвестиций, предоставленных в том числе в соответствии с иными нормативными правовыми актами Российской Федерации, и иная просроченная (неурегулированная) задолженность по денежным обязательствам перед Российской Федерацией;

е) кредитная организация не находится в процессе реорганизации (за исключением реорганизации в форме присоединения к кредитной организации другого юридического лица), ликвидации, в отношении кредитной организации не введена процедура банкротства, деятельность кредитной организации не приостановлена в порядке, предусмотренном законодательством Российской Федерации;

ж) кредитная организация не получает по одному и тому же кредитному соглашению (кредитным соглашениям) субсидию (субсидии) из федерального бюджета на цели, указанные в пункте 1 настоящих Правил, на основании иных нормативных правовых актов Российской Федерации;

з) кредитная организация не находится в перечне организаций и физических лиц, в отношении которых имеются сведения об их причастности к экстремистской деятельности или терроризму, либо в перечне организаций и физических лиц, в отношении которых имеются сведения об их причастности к распространению оружия массового уничтожения;

и) в реестре дисквалифицированных лиц отсутствуют сведения о дисквалифицированных руководителе кредитной организации, членах коллегиального исполнительного органа, лице, исполняющем функции единоличного исполнительного органа, или главном бухгалтере (при наличии) кредитной организации.

4. Субсидии предоставляются кредитной организации при условии соответствия заемщика следующим требованиям:

а) заемщик обладает статусом налогового резидента Российской Федерации;

б) заемщик не находится в процессе реорганизации (за исключением реорганизации в форме присоединения к заемщику другого юридического лица), ликвидации, в отношении заемщика не введена процедура банкротства, деятельность заемщика не приостановлена в порядке, предусмотренном законодательством Российской Федерации;

Подпункт "в" пункта 4 (в ред. Постановления Правительства РФ от 08.08.2023 N 1295), распространяется на правоотношения, возникшие до 18.08.2023 (пункт 3 Постановления Правительства РФ от 08.08.2023 N 1295).

в) заемщик в период со дня заключения кредитного соглашения не имел просроченных на срок свыше 90 календарных дней платежей перед российскими кредитными организациями, направленных на исполнение обязательств заемщика по кредитным договорам, договорам поручительства и требований о возмещении заемщиком гаранту выплаченных в соответствии с условиями банковской гарантии денежных сумм (положительная кредитная история), за исключением случаев, когда причиной возникновения указанных просроченных платежей послужило исполнение обязательств заемщика, являющегося эмитентом, по выплате очередного процентного дохода по облигациям, номинальной стоимости (части номинальной стоимости в случае, если выплата номинальной стоимости осуществляется по частям) облигаций или обязательства заемщика, являющегося эмитентом, по приобретению облигаций (в случае, если такое обязательство по приобретению облигаций предусмотрено решением о выпуске облигаций) по любому из выпусков облигаций, номинированных в иностранной валюте, вследствие недружественных действий иностранных государств, международных организаций, иностранных финансовых организаций, в том числе связанных с введением ограничительных мер в отношении Российской Федерации, российских юридических лиц и граждан Российской Федерации;

г) заемщик не имеет на день не ранее чем за 30 календарных дней до даты заключения кредитного соглашения неисполненной обязанности по уплате налогов, сборов, страховых взносов, пеней, штрафов и процентов, подлежащих уплате в соответствии с законодательством Российской Федерации о налогах и сборах;

д) заемщик не является иностранным юридическим лицом, в том числе офшорной компанией, а также российским юридическим лицом, в уставном (складочном) капитале которого доля прямого или косвенного (через третьих лиц) участия офшорных компаний в совокупности превышает 25 процентов (за исключением случаев, предусмотренных отдельными решениями Правительства Российской Федерации).

При расчете доли участия офшорных компаний в капитале российских юридических лиц не учитывается прямое и (или) косвенное участие офшорных компаний в капитале публичных акционерных обществ (в том числе со статусом международной компании), акции которых обращаются на организованных торгах в Российской Федерации, а также косвенное участие таких офшорных компаний в капитале других российских юридических лиц, реализованное через участие в капитале указанных публичных акционерных обществ;

е) в реестре дисквалифицированных лиц отсутствуют сведения о дисквалифицированных руководителе заемщика, членах коллегиального исполнительного органа, лице, исполняющем функции единоличного исполнительного органа, или главном бухгалтере (при наличии) заемщика;

ж) у заемщика отсутствуют просроченная задолженность по возврату в федеральный бюджет субсидий, бюджетных инвестиций, предоставленных в том числе в соответствии с иными нормативными правовыми актами Российской Федерации, и иная просроченная (неурегулированная) задолженность по денежным обязательствам перед Российской Федерацией;

з) заемщик не находится в перечне организаций и физических лиц, в отношении которых имеются сведения об их причастности к экстремистской деятельности или терроризму, либо в перечне организаций и физических лиц, в отношении которых имеются сведения об их причастности к распространению оружия массового уничтожения;

и) заемщиком не получено финансирование с предоставлением льготной процентной ставки в соответствии с иными нормативными правовыми актами Российской Федерации в отношении соответствующей продукции, являющейся предметом импортного контракта (лизинга), в рамках кредитного соглашения;

к) суммарный размер финансирования, полученного заемщиком в рамках настоящих Правил, не превышает 10 млрд. рублей.

В случае если суммарный размер финансирования, предоставляемый заемщику в рамках настоящих Правил, превысит 10 млрд. рублей и составит не более 30 млрд. рублей, субсидия в отношении кредитного соглашения (кредитных соглашений) предоставляется Министерством промышленности и торговли Российской Федерации по согласованию с Министерством экономического развития Российской Федерации.

Предоставление заемщику финансирования в рамках настоящих Правил в размере, превышающем 30 млрд. рублей, осуществляется на основании распоряжения Правительства Российской Федерации.

5. Субсидии предоставляются при условии, что:

а) кредитное соглашение содержит условие установления льготной процентной ставки, которая составляет не более 30 процентов ключевой ставки Центрального банка Российской Федерации, увеличенной на 3 процентных пункта, на срок субсидирования.

В случае изменения размера ключевой ставки Центрального банка Российской Федерации ее новое значение для расчета льготной процентной ставки применяется со дня, следующего за днем ее изменения;

б) кредитное соглашение содержит обязательство заемщика не заключать кредитные соглашения с предоставлением льготной процентной ставки на основании настоящих Правил с иными кредитными организациями на цели финансирования одного и того же импортного контракта (договора финансовой аренды);

в) кредитное соглашение содержит условие, в соответствии с которым предоставленные заемщику средства не могут быть размещены на депозитах, а также в иные финансовые инструменты, в результате продажи или передачи которых заемщик получает денежные средства (ценные бумаги, денежные обязательства, фьючерсы, опционы, прочие финансовые инструменты);

г) кредитное соглашение содержит условие, в соответствии с которым льготная процентная ставка устанавливается при наличии обязательства заемщика обеспечить ввоз на территорию Российской Федерации продукции в установленные сроки ввоза;

д) кредитное соглашение допускает возможность установления процентной ставки в ином размере для заемщика в случае непредоставления субсидии Министерством промышленности и торговли Российской Федерации;

е) кредитное соглашение не предусматривает взимания с заемщика в течение периода действия кредитного соглашения комиссий, сборов и иных платежей, за исключением комиссии за финансирование, платы за пользование лимитом кредитной линии (за резервирование кредитной линии), взимаемой за не использованный заемщиком остаток лимита кредитной линии, комиссии за досрочное погашение долга по кредитному соглашению в размере не более 1,5 процента досрочно погашаемой суммы, штрафных санкций в случае неисполнения заемщиком условий кредитного соглашения;

ж) кредитное соглашение предусматривает получение заемщиком финансирования в российских рублях;

з) кредитное соглашение содержит условие об осуществлении заемщиком (уполномоченным лицом) в срок не позднее 30 рабочих дней со дня предоставления очередного транша в рамках кредитного соглашения платежа на соответствующие цели предоставления финансирования (в том числе перечисления на счета покрытия по аккредитивам для осуществления платежа по импортному контракту);

и) кредитное соглашение содержит условие об обеспечении заемщиком ввоза продукции на территорию Российской Федерации в установленные сроки ввоза. Допускается продление срока ввоза, но не более чем на 12 месяцев со дня истечения первоначально установленного срока ввоза;

к) кредитное соглашение содержит условие о взыскании с заемщика денежных средств в размере предоставленной субсидии в случае нарушения условий кредитного соглашения и (или) импортного контракта (договора финансовой аренды) в части требований, установленных настоящими Правилами и являющихся условиями предоставления субсидии;

л) кредитное соглашение содержит положение о проведении кредитной организацией проверок соблюдения заемщиком условий импортного контракта (договора финансовой аренды) в части требований, установленных настоящими Правилами и являющихся условиями предоставления субсидии;

м) кредитное соглашение содержит условие, в соответствии с которым льготная процентная ставка применяется к объему финансирования, предоставленному по кредитному соглашению до 30 октября 2023 г., в случае финансирования импортного контракта на приобретение продукции или к объему финансирования, предоставленному по кредитному соглашению до 31 декабря 2023 г., в случае финансирования импортного контракта на приобретение продукции, являющейся оборудованием и (или) средством производства в рамках инвестиционного проекта, импортного контракта, срок ввоза продукции по которому превышает 12 месяцев с даты заключения импортного контракта, или договора финансовой аренды.

Отдельным решением Правительства Российской Федерации может устанавливаться иной предельный срок предоставления объема финансирования по кредитному соглашению, к которому применяется льготная процентная ставка;

н) кредитное соглашение содержит обязательство заемщика представить кредитной организации следующие документы:

импортный контракт (договор финансовой аренды);

договор (соглашение) с уполномоченным лицом (при наличии);

бизнес-план инвестиционного проекта (в случае предоставления финансирования на цели финансирования импортного контракта на приобретение продукции, являющейся оборудованием и (или) средством производства в рамках инвестиционного проекта, в случае если субсидия в отношении кредитного соглашения предоставляется Министерством промышленности и торговли Российской Федерации по согласованию с Министерством экономического развития Российской Федерации);

документ, подтверждающий факт осуществления заемщиком (уполномоченным лицом) платежа по импортному контракту (договору финансовой аренды);

документ, подтверждающий факт осуществления заемщиком (уполномоченным лицом) оплаты транспортировки продукции, являющейся предметом импортного контракта (лизинга) (при наличии), оплаты таможенных платежей в отношении продукции, являющейся предметом импортного контракта (лизинга) (при наличии), оплаты иных услуг (работ), связанных с приобретением продукции, являющейся предметом импортного контракта (иных услуг (работ), связанных с лизингом продукции) (при наличии);

документы, подтверждающие факт ввоза продукции на территорию Российской Федерации, в том числе с подтверждением в рамках процедуры осуществления валютного контроля;

ведомость банковского контроля, заверенная иной кредитной организацией, в случае если импортный контракт был поставлен на учет для целей осуществления валютного контроля в иной кредитной организации;

документ, подтверждающий факт получения заемщиком продукции по импортному контракту (договору финансовой аренды), в случае осуществления ввоза продукции на территорию Российской Федерации уполномоченным лицом;

договор об оказании иных услуг (работ), связанных с приобретением продукции, являющейся предметом импортного контракта (иных услуг (работ), связанных с лизингом продукции) (при наличии);

договор об оказании услуг по транспортировке продукции, являющейся предметом импортного контракта (лизинга) (при наличии);

письмо, содержащее информацию о кодах Товарной номенклатуры внешнеэкономической деятельности Евразийского экономического союза продукции, предполагаемой к ввозу на территорию Российской Федерации (в случае отсутствия такой информации в импортном контракте (договоре финансовой аренды);

письмо, содержащее информацию о сроке ввоза (в случае отсутствия такой информации в импортном контракте (договоре финансовой аренды).

6. Проверка соответствия заемщика требованиям, установленным пунктом 4 настоящих Правил, проверка документов, представляемых заемщиком по кредитному соглашению, и определение возможности предоставления финансирования по кредитному соглашению выполняются кредитной организацией самостоятельно согласно правилам и процедурам, принятым кредитной организацией в соответствии с законодательством Российской Федерации.

Ответственность за соответствие заемщиков требованиям, установленным настоящими Правилами, соответствие кредитных соглашений условиям, установленным настоящими Правилами, достоверность представленных кредитной организацией документов и информации, а также за целевое использование заемщиком финансирования по кредитному соглашению несет кредитная организация.

7. Субсидии предоставляются Министерством промышленности и торговли Российской Федерации в пределах лимитов бюджетных обязательств, доведенных в установленном порядке до Министерства промышленности и торговли Российской Федерации как получателя средств федерального бюджета на цели, указанные в пункте 1 настоящих Правил (далее - лимиты бюджетных обязательств).

8. Взаимодействие кредитных организаций и Министерства промышленности и торговли Российской Федерации осуществляется с использованием государственной интегрированной информационной системы управления общественными финансами "Электронный бюджет" (далее - система "Электронный бюджет") и (или) государственной информационной системы промышленности (далее - информационная система) (при отсутствии технической возможности - на бумажном носителе или в форме электронных документов).

9. Министерство промышленности и торговли Российской Федерации не позднее чем за 3 календарных дня до дня начала приема заявок размещает на сайте, на котором обеспечивается проведение отбора (с размещением указателя страницы сайта на едином портале), объявление о проведении отбора (далее - объявление) с указанием:

а) сроков проведения отбора, даты и времени начала и окончания приема заявок, которая не может быть ранее 30-го календарного дня, следующего за днем размещения объявления;

б) наименования, места нахождения, почтового адреса и адреса электронной почты Министерства промышленности и торговли Российской Федерации;

в) результата предоставления субсидии, указанного в пункте 25 настоящих Правил;

г) доменного имени и (или) указателей страниц сайта в сети "Интернет", на котором обеспечивается проведение отбора;

д) требований к кредитным организациям, установленных пунктом 3 настоящих Правил, и перечня документов, представляемых кредитными организациями для подтверждения их соответствия указанным требованиям;

е) порядка представления заявок и требований, предъявляемых к форме и содержанию заявок;

ж) порядка отзыва заявок и возврата заявок, определяющего в том числе основания для возврата заявок, порядка внесения изменений в заявки;

з) правил рассмотрения заявок в соответствии с пунктом 12 настоящих Правил;

и) порядка предоставления кредитным организациям разъяснений положений объявления, даты начала и окончания срока такого предоставления;

к) срока, в течение которого победитель отбора должен подписать соглашение о предоставлении субсидии;

л) условий признания победителя отбора уклонившимся от заключения соглашения о предоставлении субсидии;

м) форм заявки и реестра заемщиков.

10. Субсидии предоставляются кредитным организациям в размере 70 процентов ключевой ставки Центрального банка Российской Федерации.

В случае изменения размера ключевой ставки Центрального банка Российской Федерации ее новое значение для расчета размера субсидии применяется со дня, следующего за днем ее изменения.

Отдельным решением Правительства Российской Федерации может устанавливаться иной размер субсидии для кредитной организации по кредитным соглашениям.

11. Кредитная организация, претендующая на получение субсидии в соответствии с настоящими Правилами, представляет в Министерство промышленности и торговли Российской Федерации заявку, к которой прилагаются следующие документы:

а) предварительный план-график ежемесячного остатка ссудной задолженности (или приравненной к ней задолженности) заемщиков по кредитным соглашениям в текущем финансовом году с расчетом прогнозной суммы субсидии, сформированный с учетом требований, предусмотренных настоящими Правилами;

б) реестр заемщиков;

в) справка, подписанная уполномоченным лицом кредитной организации, скрепленная печатью (при наличии), подтверждающая, что кредитная организация соответствует требованиям, установленным пунктом 3 настоящих Правил;

г) справка, подписанная уполномоченным лицом кредитной организации, скрепленная печатью (при наличии), подтверждающая, что заемщик соответствует требованиям, установленным пунктом 4 настоящих Правил;

д) справка, подписанная уполномоченным лицом кредитной организации, скрепленная печатью (при наличии), подтверждающая, что кредитное соглашение соответствует условиям, установленным пунктом 5 настоящих Правил;

е) в случае если субсидия в отношении кредитного соглашения (кредитных соглашений) предоставляется Министерством промышленности и торговли Российской Федерации по согласованию с Министерством экономического развития Российской Федерации:

импортный контракт (договор финансовой аренды);

бизнес-план инвестиционного проекта (в случае предоставления финансирования на цели финансирования импортного контракта на приобретение продукции, являющейся оборудованием и (или) средством производства в рамках инвестиционного проекта).

12. Министерство промышленности и торговли Российской Федерации в течение 45 рабочих дней со дня поступления заявки и прилагаемых к ней документов:

а) обеспечивает регистрацию заявки и прилагаемых к ней документов;

б) рассматривает заявки кредитных организаций в порядке очередности их поступления;

в) в случае если субсидия в отношении кредитного соглашения (кредитных соглашений) предоставляется Министерством промышленности и торговли Российской Федерации по согласованию с Министерством экономического развития Российской Федерации, направляет заявку и прилагаемые к ней документы в Министерство экономического развития Российской Федерации;

г) в случае отсутствия оснований для отказа в заключении соглашения о предоставлении субсидии (отклонения заявки), предусмотренных пунктом 13 настоящих Правил, принимает решение о заключении соглашения о предоставлении субсидии и уведомляет кредитную организацию о принятом решении;

д) в случае наличия оснований для отказа в заключении соглашения о предоставлении субсидии (отклонения заявки), предусмотренных пунктом 13 настоящих Правил, уведомляет кредитную организацию об отказе в заключении соглашения о предоставлении субсидии (отклонении заявки).

13. Основаниями для отказа в заключении соглашения о предоставлении субсидии (отклонения заявки) являются:

а) несоответствие кредитной организации требованиям, установленным пунктом 3 настоящих Правил;

б) несоответствие кредитного соглашения условиям, установленным пунктом 5 настоящих Правил;

в) несоответствие заявки и прилагаемых к ней документов требованиям, установленным настоящими Правилами и объявлением;

г) недостоверность представленной кредитной организацией информации, в том числе информации о месте нахождения и адресе кредитной организации;

д) исчерпание лимитов бюджетных обязательств;

е) представление кредитной организацией заявки после даты и (или) времени, определенных для представления заявок;

ж) несогласование Министерством промышленности и торговли Российской Федерации запроса кредитной организации о возможности предоставления финансирования по кредитному соглашению с предоставлением льготной процентной ставки и (или) Министерством экономического развития Российской Федерации предоставления субсидии в отношении кредитного соглашения (кредитных соглашений) в случае, предусмотренном абзацем вторым подпункта "к" пункта 4 настоящих Правил, с указанием финансово-экономического обоснования.

14. Субсидии предоставляются на основании соглашений о предоставлении субсидии, заключаемых Министерством промышленности и торговли Российской Федерации с кредитными организациями в системе "Электронный бюджет" в соответствии с типовой формой, утверждаемой Министерством финансов Российской Федерации, и подписанных усиленной квалифицированной электронной подписью лиц, имеющих право действовать от имени каждой из сторон.

Информация о результатах рассмотрения заявок, кредитных организациях, представивших заявки, получателях субсидий и результатах отбора, в том числе о заключенных соглашениях о предоставлении субсидии, является информацией ограниченного доступа и не подлежит размещению на едином портале, официальном сайте Министерства промышленности и торговли Российской Федерации в сети "Интернет" и в информационной системе.

15. В соглашении о предоставлении субсидии предусматриваются в том числе:

а) значения результата предоставления субсидии и его характеристик (показателей, необходимых для достижения результата предоставления субсидии) (далее - характеристики);

б) согласие кредитной организации на осуществление Министерством промышленности и торговли Российской Федерации проверок соблюдения порядка и условий предоставления субсидии, в том числе в части достижения результата предоставления субсидии, на осуществление органами государственного финансового контроля проверок в соответствии со статьями 268.1 и 269.2 Бюджетного кодекса Российской Федерации;

в) обязанность представления кредитной организацией отчетности, предусмотренной пунктом 23 настоящих Правил;

г) формы представления кредитной организацией отчетов о ввозе продукции на территорию Российской Федерации и целевом использовании заемщиками финансирования по кредитным соглашениям;

д) обязанность кредитной организации по проведению проверок соблюдения заемщиком условий импортного контракта (договора финансовой аренды) в части требований, установленных настоящими Правилами и являющихся условиями предоставления субсидии;

е) обязанность кредитной организации по возврату субсидии в федеральный бюджет в случаях установления по итогам проверок, проведенных кредитной организацией, нарушений условий импортного контракта (договора финансовой аренды) в части требований, установленных настоящими Правилами и являющихся условиями предоставления субсидии;

ж) обязательство кредитной организации по неувеличению процентной ставки и объемов платежей в рамках заключенных с заемщиками кредитных соглашений, в отношении которых предоставляется субсидия (указанных в реестре заемщиков), за исключением случаев увеличения ключевой ставки Центрального банка Российской Федерации, применения штрафных санкций в случае неисполнения заемщиком условий кредитного соглашения и (или) непредоставления субсидии Министерством промышленности и торговли Российской Федерации;

з) условие о согласовании новых условий соглашения о предоставлении субсидии или расторжении соглашения о предоставлении субсидии при недостижении согласия по новым условиям соглашения о предоставлении субсидии в случае уменьшения ранее доведенных лимитов бюджетных обязательств, приводящего к невозможности предоставления субсидии в размере, определенном в соглашении о предоставлении субсидии;

и) порядок внесения изменений в соглашение о предоставлении субсидии в случае включения нового заемщика (кредитного соглашения) в реестр заемщиков или исключения заемщика (кредитного соглашения) из реестра заемщиков, который в том числе предусматривает представление документов, указанных в пункте 11 настоящих Правил;

к) порядок внесения изменений в соглашение о предоставлении субсидии в части изменения предельного размера субсидии, значений результата предоставления субсидии и (или) характеристик с учетом изменений в реестре заемщиков;

л) положения о расторжении соглашения о предоставлении субсидии в следующих случаях:

при осуществлении мероприятий по финансовому оздоровлению кредитной организации;

при прекращении деятельности кредитной организации и отзыве у нее Центральным банком Российской Федерации лицензии на осуществление банковских операций;

м) формы заявления о предоставлении субсидии, заявления о внесении изменений в соглашение о предоставлении субсидии, реестра заемщиков и расчета размера субсидии;

н) порядок взаимодействия Министерства промышленности и торговли Российской Федерации и кредитных организаций в отношении кредитных соглашений, предусматривающих рефинансирование кредитного соглашения, субсидия в отношении которого предоставлялась в рамках настоящих Правил, или уступку требования (цессию) по кредитному соглашению, субсидия в отношении которого предоставлялась в рамках настоящих Правил.

16. Право на получение субсидии возникает у кредитной организации со дня возникновения недополученного дохода по кредитному соглашению в связи с предоставлением финансирования заемщику по кредитному соглашению с предоставлением льготной процентной ставки, но не ранее дня фактического перечисления заемщиком процентов (комиссии за финансирование) по кредитному соглашению и заключения соглашения о предоставлении субсидии с Министерством промышленности и торговли Российской Федерации.

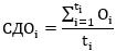
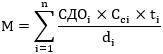
17. Размер субсидии, предоставляемой за период, в котором у кредитной организации возник недополученный доход в связи с предоставлением льготной процентной ставки по кредитному соглашению (далее - заявляемый период) (M), определяется по формуле:

,

где:

i - период, в течение которого значение ключевой ставки Центрального банка Российской Федерации не изменялось;

n - количество периодов в заявляемом периоде, в течение которых значение ключевой ставки Центрального банка Российской Федерации не изменялось;

- среднедневной остаток ссудной задолженности (или приравненной к ней задолженности) заемщиков по кредитным соглашениям за i-й период;

- размер процентной ставки, указанный в пункте 10 настоящих Правил, за i-й период;

- количество дней в i-м периоде;

- количество дней в году, к которому относится i-й период.

Среднедневной остаток ссудной задолженности (или приравненной к ней задолженности) заемщиков по кредитным соглашениям за i-й период () определяется по формуле:

,

где - остаток ссудной задолженности (или приравненной к ней задолженности) заемщиков по кредитным соглашениям на начало каждого дня i-го периода.

18. В целях получения субсидии за заявляемый период кредитная организация не позднее 15-го рабочего дня месяца, следующего за очередным кварталом, представляет в Министерство промышленности и торговли Российской Федерации заявление о предоставлении субсидии, подписанное уполномоченным лицом кредитной организации, с подтверждением достоверности информации, содержащейся в документах, представляемых для получения субсидии, и следующие документы (по состоянию на конец последнего дня заявляемого периода):

а) справка к заявлению о предоставлении субсидии, содержащая:

подтверждение кредитной организацией целевого использования заемщиком финансирования по кредитному соглашению;

информацию о запрашиваемом размере субсидии;

информацию о льготной процентной ставке для заемщика;

подтверждение кредитной организацией ее соответствия требованиям, установленным пунктом 3 настоящих Правил;

подтверждение кредитной организацией соответствия заемщика требованиям, установленным пунктом 4 настоящих Правил, в том числе подтверждение неполучения заемщиком финансирования с предоставлением льготной процентной ставки в соответствии с иными нормативными правовыми актами Российской Федерации в отношении соответствующей продукции, являющейся предметом импортного контракта (лизинга), в рамках кредитного соглашения;

подтверждение кредитной организацией соблюдения условий кредитного соглашения и импортного контракта (договора финансовой аренды) в части требований, установленных настоящими Правилами и являющихся условиями предоставления субсидии;

подтверждение кредитной организацией соответствия кредитного соглашения условиям, установленным пунктом 5 настоящих Правил;

б) документы, подтверждающие фактическую уплату заемщиком процентов (комиссии за финансирование) по кредитному соглашению;

в) реестр заемщиков на момент окончания заявляемого периода;

г) расчет размера субсидии за заявляемый период, определенного в соответствии с пунктом 17 настоящих Правил.

19. Министерство промышленности и торговли Российской Федерации в течение 45 рабочих дней со дня получения заявления о предоставлении субсидии и прилагаемых к нему документов:

а) обеспечивает регистрацию заявления о предоставлении субсидии и прилагаемых к нему документов;

б) рассматривает заявления кредитных организаций о предоставлении субсидий в порядке очередности их поступления;

в) в случае отсутствия оснований для отказа в предоставлении субсидии, предусмотренных пунктом 20 настоящих Правил, принимает решение о предоставлении субсидии и уведомляет кредитную организацию о принятом решении;

г) в случае наличия оснований для отказа в предоставлении субсидии, предусмотренных пунктом 20 настоящих Правил, уведомляет кредитную организацию об отказе в предоставлении субсидии.

20. Основаниями для отказа в предоставлении субсидии являются:

а) несоответствие кредитной организации требованиям, установленным пунктом 3 настоящих Правил;

б) несоответствие заявления о предоставлении субсидии и прилагаемых к нему документов требованиям, установленным настоящими Правилами, или непредставление (представление не в полном объеме) указанных документов;

в) установление факта недостоверности представленной кредитной организацией информации;

г) исчерпание лимитов бюджетных обязательств.

21. Перечисление субсидии осуществляется Министерством промышленности и торговли Российской Федерации на корреспондентский счет кредитной организации, открытый в учреждении Центрального банка Российской Федерации, в размере, определенном в соответствии с настоящими Правилами, в течение 10 рабочих дней со дня принятия решения о предоставлении субсидии.

В 2023 году в соответствии с частью 29 статьи 9 Федерального закона "О внесении изменений в Бюджетный кодекс Российской Федерации и отдельные законодательные акты Российской Федерации, приостановлении действия отдельных положений Бюджетного кодекса Российской Федерации, признании утратившими силу отдельных положений законодательных актов Российской Федерации и об установлении особенностей исполнения бюджетов бюджетной системы Российской Федерации в 2023 году" перечисление субсидии осуществляется Министерством промышленности и торговли Российской Федерации на казначейский счет для осуществления и отражения операций с денежными средствами получателей средств из бюджета, открываемый в территориальных органах Федерального казначейства.

22. Министерство промышленности и торговли Российской Федерации приостанавливает предоставление субсидии в отношении кредитного соглашения в случае отсутствия информации о подтверждении ввоза на территорию Российской Федерации продукции в срок ввоза с учетом положений, установленных подпунктом "и" пункта 5 настоящих Правил.

В случае получения уведомления о подтверждении ввоза на территорию Российской Федерации продукции предоставление субсидии в отношении кредитного соглашения возобновляется со дня получения Министерством промышленности и торговли Российской Федерации указанного уведомления.

В случае отсутствия информации о подтверждении ввоза на территорию Российской Федерации продукции в течение 6 месяцев со дня приостановления предоставления субсидии в отношении кредитного соглашения ранее предоставленная субсидия подлежит возврату в федеральный бюджет в размере выявленных нарушений.

23. Кредитная организация представляет в Министерство промышленности и торговли Российской Федерации ежеквартально, не позднее 15-го рабочего дня, следующего за отчетным кварталом:

а) отчет о достижении значения результата предоставления субсидии и характеристик по форме, определенной типовой формой соглашения, установленной Министерством финансов Российской Федерации (представляется с использованием системы "Электронный бюджет");

б) отчет о ввозе продукции на территорию Российской Федерации по форме, установленной в соглашении о предоставлении субсидии, который содержит реквизиты документов, подтверждающих факт ввоза продукции на территорию Российской Федерации, в том числе с подтверждением в рамках процедуры осуществления валютного контроля (представляется с использованием информационной системы);

в) отчет о целевом использовании заемщиками финансирования по кредитным соглашениям по форме, установленной в соглашении о предоставлении субсидии (представляется с использованием информационной системы).

24. Кредитная организация исключает заемщика из реестра заемщиков в случае расторжения кредитного соглашения с заемщиком, установления несоответствия заемщика требованиям, установленным пунктом 4 настоящих Правил, или несоблюдения заемщиком условий кредитного соглашения и (или) импортного контракта (договора финансовой аренды) в части требований, установленных настоящими Правилами и являющихся условиями предоставления субсидии, и уведомляет об этом Министерство промышленности и торговли Российской Федерации.

25. Результатом предоставления субсидии является объем финансирования, предоставленного кредитной организацией на приобретение продукции, в том числе транспортировку продукции, являющейся предметом импортного контракта (лизинга), оплату таможенных платежей в отношении продукции, являющейся предметом импортного контракта (лизинга), оплату иных услуг (работ), связанных с приобретением продукции, являющейся предметом импортного контракта (иных услуг (работ), связанных с лизингом продукции).

Характеристиками являются:

стоимостный объем ввезенной на территорию Российской Федерации продукции по импортным контрактам;

стоимостный объем ввезенной на территорию Российской Федерации продукции по договорам финансовой аренды.

Значение фактической стоимости ввезенной на территорию Российской Федерации продукции рассчитывается кредитной организацией исходя из курса российского рубля в отношении соответствующей иностранной валюты, установленной в импортном контракте (договоре финансовой аренды), определенного Центральным банком Российской Федерации, на дату заключения импортного контракта (договора финансовой аренды), устанавливающего объем и стоимость соответствующей ввезенной на территорию Российской Федерации продукции.

26. В случае выявления кредитной организацией по итогам проверок соблюдения заемщиком условий импортного контракта (договора финансовой аренды) в части требований, установленных настоящими Правилами и являющихся условиями предоставления субсидии, нарушения кредитная организация в течение 10 рабочих дней:

информирует Министерство промышленности и торговли Российской Федерации о факте такого нарушения;

взыскивает с заемщика денежные средства в размере выявленного нарушения в части размера субсидии, предоставленного кредитной организации в отношении кредитного соглашения с заемщиком.

Кредитная организация возвращает субсидию в размере и в сроки, которые указаны в требовании Министерства промышленности и торговли Российской Федерации, направляемом в соответствии с пунктом 28 настоящих Правил.

27. Министерство промышленности и торговли Российской Федерации проводит проверки соблюдения порядка и условий предоставления субсидии, в том числе в части достижения результата предоставления субсидии. Органы государственного финансового контроля проводят проверки в соответствии со статьями 268.1 и 269.2 Бюджетного кодекса Российской Федерации.

Министерство промышленности и торговли Российской Федерации проводит мониторинг достижения результата предоставления субсидии исходя из достижения значения результата предоставления субсидии, определенного соглашением о предоставлении субсидии, и событий, отражающих факт завершения соответствующего мероприятия по получению результата предоставления субсидии (контрольная точка), в порядке и по формам, которые установлены Министерством финансов Российской Федерации.

28. В случае нарушения кредитной организацией условий, установленных при предоставлении субсидии, выявленного в том числе по фактам проверок, проведенных Министерством промышленности и торговли Российской Федерации и органом государственного финансового контроля, а также в случае недостижения значения результата предоставления субсидии соответствующие средства в размере выявленных нарушений подлежат возврату в федеральный бюджет:

а) на основании требования Министерства промышленности и торговли Российской Федерации - в течение 10 рабочих дней со дня получения указанного требования;

б) на основании представления и (или) предписания органа государственного финансового контроля - в сроки, установленные в соответствии с бюджетным законодательством Российской Федерации.

Приложение
к Правилам предоставления
субсидий из федерального бюджета
кредитным организациям на возмещение
недополученных доходов по кредитам,
выданным на приобретение приоритетной
для импорта продукции

ПЕРЕЧЕНЬ ПРИОРИТЕТНОЙ ДЛЯ ИМПОРТА ПРОДУКЦИИ

(в ред. Постановления Правительства РФ от 08.08.2023 N 1295)

Код ТН ВЭД ЕАЭС Наименование продукции <1>
Для сельскохозяйственного производства
0101 21 000 0 Лошади, ослы, мулы и лошаки живые
0102 21 100 0 Крупный рогатый скот живой
0103 10 000 0 Свиньи живые
0104 10 100 0
0104 20 100 0
Овцы и козы живые
0105 11
0105 12 000 0
0105 13 000 0
0105 14 000 0
0105 15 000 0
Домашняя птица живая, то есть куры домашние (Gallus domesticus), утки, гуси, индейки и цесарки
0407 11 000 0
0407 19 110 0
Яйца птиц, в скорлупе, свежие, консервированные или вареные
0504 00 000 0 Кишки, пузыри и желудки животных (кроме рыбьих), целые и в кусках, свежие, охлажденные, замороженные, соленые, в рассоле, сушеные или копченые
0511 10 000 0
0511 91 901
0511 99 852 3
Продукты животного происхождения, в другом месте не поименованные или не включенные; павшие животные группы 01 или 03, непригодные для употребления в пищу
0601 10 300 0 Луковицы, клубни, клубневидные корни, клубнелуковицы, корневища, включая разветвленные, находящиеся в состоянии вегетативного покоя, вегетации или цветения; растения и корни цикория, кроме корней товарной позиции 1212
0602 10
0602 20 100 0
0602 20 200 0
0602 20 800 0
0602 90 100 0
0602 90 300 0
0602 90 450 0
0602 90 460 0
0602 90 500 0
Прочие живые растения (включая их корни), черенки и отводки; мицелий гриба
0701 10 000 0
0701 90 500 0
Картофель свежий или охлажденный
0713 10 100 0
0713 20 000 0
Овощи бобовые сушеные, лущеные, очищенные от семенной кожуры или неочищенные, колотые или неколотые
0801 32 000 0 Орехи кокосовые, орехи бразильские и орехи кешью, свежие или сушеные, очищенные от скорлупы или не очищенные, с кожурой или без кожуры
0802 22 000 0 Прочие орехи, свежие или сушеные, очищенные от скорлупы или неочищенные, с кожурой или без кожуры
0901 11 000
0901 12 000
Кофе жаренный или нежареный, с кофеином и без кофеина; кофейная шелуха и оболочки зерен кофе; заменители кофе, содержащие кофе в любой пропорции
0902 20 000 0
0902 40 000 0
Чай со вкусо-ароматическими добавками или без них
1001 91 200 0 Пшеница и меслин
1003 10 000 0 Ячмень
1004 10 000 0 Овес
1005 10 Кукуруза
1108 13 000 0
1108 14 000 0
1108 19 100 0
1108 20 000 0
Крахмал; инулин
1201 10 000 0 Соевые бобы, дробленые или недробленые
1202 30 000 0
1202 42 000 0
Арахис, нежареный или не приготовленный каким-либо другим способом, лущеный или нелущеный, дробленый или недробленый
1205 10 100 0 Семена рапса или кользы, дробленые или недробленые
1206 00 100 0 Семена подсолнечника, дробленые или недробленые
1207 40 900 0 Семена и плоды прочих масличных культур, дробленые или недробленые
1209 10 000 0
1209 21 000 0
1209 91
Семена, плоды и споры для посева
1210 20 900 0 Шишки хмеля, свежие или сушеные, дробленые или недробленые, в порошкообразном виде или в виде гранул; лупулин
1211 90 860 Растения и их части (включая семена и плоды), используемые главным образом в парфюмерии, фармации или инсектицидных, фунгицидных или аналогичных целях, свежие, охлажденные, мороженные или сушеные, целые или измельченные, дробленые или молотые
1301 Шеллак природный неочищенный; природные камеди, смолы, гуммисмолы и живица (например, бальзамы)
1302 11 000 0
1302 12 000 0
1302 13 000 0
1302 14 000 0
1302 19
1302 20 100 0
1302 31 000 0
1302 32
1302 39 000 0
Соки и экстракты растительные; пектиновые вещества, пектинаты и пектаты; агар-агар и другие клеи и загустители растительного происхождения, видоизмененные или невидоизмененные
1404 90 000 8 Материалы растительного происхождения, в другом месте не поименованные или не включенные
1515 19 100 0
1515 30 900 0
1515 50 910 0
Прочие нелетучие жиры и масла (включая масло жожоба) растительного или микробиологического происхождения и их фракции, нерафинированные или рафинированные, но без изменения химического состава
1521 10 000 0 Воски растительные (кроме триглицеридов), воск пчелиный, воски других насекомых и спермацет, окрашенные или неокрашенные, рафинированные или нерафинированные
1702 11 000 0
1702 50 000 0
1702 60 950 0
1702 90 100 0
1702 90 300 0
1702 90 790 0
1702 90 950 0
Прочие сахара, включая химически чистые лактозу, мальтозу, глюкозу и фруктозу, в твердом состоянии; сиропы сахарные без добавления вкусо-ароматических или красящих веществ; искусственный мед, смешанный или не смешанный с натуральным медом; карамельный кулер
1801 00 000 0 Какао-бобы, целые или дробленые, сырые или жареные
1803 Какао-паста, обезжиренная или необезжиренная
1901 10 000 0
1901 90 980 0
Экстракт солодовый; готовые пищевые продукты из муки тонкого или грубого помола, крупы, крахмала или солодового экстракта, не содержащие какао или содержащие менее 40 мас.% какао в пересчете на полностью обезжиренную основу, в другом месте не поименованные или не включенные; готовые пищевые продукты из сырья товарных позиций 0401 - 0404, не содержащие или содержащие менее 5 мас.% какао в пересчете на полностью обезжиренную основу, в другом месте не поименованные или не включенные (для кода 1901 10 000 0 - в части сухих молочных смесей для детского питания, расфасованных для розничной продажи (заменители грудного молока), при наличии свидетельства о государственной регистрации на специализированное питание; для кода 1901 90 980 0 - в части сухих молочных основ)
2007 10 991 0 Джемы, желе фруктовое, мармелады, пюре фруктовое или ореховое, паста фруктовая или ореховая, полученные путем тепловой обработки, в том числе с добавлением сахара или других подслащивающих веществ (в части прочих гомогенизированных готовых продуктов для детей раннего возраста при наличии свидетельства о государственной регистрации на специализированное питание)
2008 19 130 0
2008 19 190 0
Фрукты, орехи и прочие съедобные части растений, приготовленные или консервированные иным способом, содержащие или не содержащие добавок сахара или других подслащивающих веществ или спирта, в другом месте не поименованные или не включенные
2101 20 200 0 Экстракты, эссенции и концентраты кофе, чая или мате, или парагвайского чая, и готовые продукты на их основе или на основе кофе, чая или мате, или парагвайского чая; обжаренный цикорий и прочие обжаренные заменители кофе и экстракты, эссенции и концентраты из них
2106 90 930 0
2106 90 980 8
Пищевые продукты, в другом месте не поименованные или не включенные (в части сухих специализированных смесей для диетического, профилактического и лечебного питания, в том числе для детей, при наличии свидетельства о государственной регистрации на специализированное питание)
2202 99 110 0
2202 99 180 0
2202 99 910 0
2202 99 950 0
2202 99 990 0
Воды, включая минеральные и газированные, содержащие добавки сахара или других подслащивающих или вкусо-ароматических веществ, и прочие безалкогольные напитки, за исключением фруктовых, ореховых или овощных соков товарной позиции 2009 (в части специализированного диетического лечебного и диетического профилактического питания, в том числе для детей, при наличии свидетельства о государственной регистрации на специализированное питание)
2309 90 310 0
2309 90 410 0
2309 90 510 0
2309 90 960
Продукты, используемые для кормления животных
Для промышленного производства
1505 00 900 0 Жиропот и жировые вещества, получаемые из него (включая ланолин)
1516 20 100 0 Жиры и масла животного, растительного или микробиологического происхождения и их фракции, полностью или частично гидрогенизированные, переэтерифицированные, реэтерифицированные или элаидинизированные, нерафинированные или рафинированные, но не подвергнутые дальнейшей обработке
1804 00 000 0 Какао-масло, какао-жир
1805 00 000 0 Какао-порошок без добавок сахара или других подслащивающих веществ
2102 10 100 0
2102 20 190 0
2102 20 900 0
Дрожжи (активные или неактивные); прочие мертвые одноклеточные микроорганизмы (кроме вакцин товарной позиции 3002); готовые пекарные порошки
2503 00 100 0 Сера всех видов, кроме серы сублимированной, осажденной и коллоидной
2507 00 Каолин и глины каолиновые прочие, кальцинированные или некальцинированные
2508 10 000 0
2508 30 000 0
2508 40 000 0
2508 70 000 0
Глины прочие (исключая вспученные глины товарной позиции 6806), андалузит, кианит и силлиманит, кальцинированные или некальцинированные; муллит; земли шамотные или динасовые
2512 00 0000 Земли инфузорные кремнистые (например, кизельгур, трепел и диатомит) и аналогичные кремнистые земли, кальцинированные или некальцинированные, с удельным весом 1 или менее
2513 20 000 0 Пемза; наждак; корунд природный, гранат природный и прочие природные абразивные материалы, термически обработанные или необработанные
2519 90 100 0 Карбонат магния природный (магнезит); магнезия плавленая; магнезия обожженная до спекания (агломерированная), содержащая или не содержащая небольшие количества других оксидов, добавляемых перед агломерацией; прочие оксиды магния, с примесями или без примесей
2529 10 000 0
2529 21 000
2529 30 000 0
Полевой шпат; лейцит; нефелин и нефелиновый сиенит; плавиковый шпат
2530 90 000 9 Вещества минеральные, в другом месте не поименованные или не включенные
2602 00 000 0 Руды и концентраты марганцевые, включая железистые марганцевые руды и концентраты с содержанием марганца 20 мас.% или более в пересчете на сухой продукт
2603 00 000 0 Руды и концентраты медные
2606 00 000 0 Руды и концентраты алюминиевые
2610 00 000 0 Руды и концентраты хромовые
2611 00 000 0 Руды и концентраты вольфрамовые
2613 10 000 0 Руды и концентраты молибденовые
2614 00 000 0 Руды и концентраты титановые
2620 99 600 0 Шлак, зола и остатки (кроме образующихся в производстве черных металлов), содержащие металлы, мышьяк или их соединения
2707 50 900 0 Масла и другие продукты высокотемпературной перегонки каменноугольной смолы; аналогичные продукты, в которых масса ароматических составных частей превышает массу неароматических
2708 10 000 0
2708 20 000 1
Пек и кокс пековый, полученные из каменноугольной смолы или прочих минеральных смол
2710 19 250 0
2710 19 820 0
2710 19 840 0
2710 19 860 0
2710 19 880 0
2710 19 940 0
2710 19 980 0
Нефть и нефтепродукты, полученные из битуминозных пород, кроме сырых; продукты, в другом месте не поименованные или не включенные, содержащие 70 мас.% или более нефти или нефтепродуктов, полученных из битуминозных пород, причем эти нефтепродукты являются основными составляющими продуктов; отработанные нефтепродукты
2712 10 900 0
2712 20 900 0
Вазелин нефтяной; парафин, воск нефтяной микрокристаллический, гач парафиновый, озокерит, воск буроугольный, воск торфяной, прочие минеральные воски и аналогичные продукты, полученные в результате синтеза или других процессов, окрашенные или неокрашенные
2713 11 000 0
2713 12 000 1
Кокс нефтяной, битум нефтяной и прочие остатки от переработки нефти или нефтепродуктов, полученных из битуминозных пород
2804 61 000 0
2804 70 002 0
Водород, газы инертные и прочие неметаллы
2806 10 000 0 Хлорид водорода (кислота соляная); кислота хлорсульфоновая
2807 00 000 1 Серная кислота; олеум
2809 20 000 0 Пентаоксид дифосфора; фосфорная кислота; полифосфорные кислоты определенного или неопределенного химического состава
2810 00 900 0 Оксиды бора; кислоты борные
2811 11 000 0
2811 22 000 0
2811 29 050 0
Кислоты неорганические прочие и соединения неметаллов с кислородом неорганические прочие
2812 12 000 0
2812 90 000 0
Галогениды и галогенид оксиды неметаллов
2813 90 100 0 Сульфиды неметаллов; трисульфид фосфора технический
2814 Аммиак, безводный или в водном растворе
2815 20 000 0 Гидроксид натрия (сода каустическая); гидроксид калия (едкое кали); пероксиды натрия или калия
2817 00 000 0 Оксид цинка; пероксид цинка
2818 10 110 0
2818 20 000 0
Искусственный корунд определенного или неопределенного химического состава; оксид алюминия; гидроксид алюминия
2819 10 000 0 Оксиды и гидроксиды хрома
2821 10 000 0 Оксиды и гидроксиды железа; красители минеральные, содержащие 70 мас.% или более химически связанного железа в пересчете на Fe2O3
2823 00 000 0 Оксиды титана
2825 20 000 0
2825 30 000 0
2825 60 000 0
2825 70 000 0
2825 90 190 0
2825 90 400 0
2825 90 850 0
Гидразин и гидроксиламин и их неорганические соли; неорганические основания прочие; оксиды, гидроксиды и пероксиды металлов прочие
2826 12 000 0
2826 19
2826 90 800 0
Фториды; фторосиликаты, фтороалюминаты и прочие комплексные соли фтора
2827 10 000 0
2827 31 000 0
2827 41 000 0
2827 49 900 0
2827 51 000 0
Хлориды, хлорид оксиды и хлорид гидроксиды; бромиды и бромид оксиды; йодиды и йодид оксиды
2829 11 000 0
2829 19 000 0
Хлораты и перхлораты; броматы и перброматы; йодаты и перйодаты
2830 90 850 0 Сульфиды; полисульфиды определенного или неопределенного химического состава
2832 10 000 0
2832 30 000 0
Сульфиты; тиосульфаты
2833 21 000 0
2833 22 000 0
2833 25 000 0
2833 29 800 0
Сульфаты; квасцы; пероксосульфаты (персульфаты)
2834 21 000 0 Нитриты; нитраты
2835 22 000 0
2835 24 000 0
2835 25 000 0
2835 26 000 0
2835 29 900 0
2835 39 000 0
Фосфинаты (гипофосфиты), фосфонаты (фосфиты) и фосфаты; полифосфаты определенного или неопределенного химического состава
2836 20 000 0
2836 30 000 0
2836 50 000 0
2836 91 000 0
2836 99 170 0
Карбонаты; пероксокарбонаты (перкарбонаты); карбонат аммония технический, содержащий карбамат аммония
2841 70 000 0
2841 90 850 0
Соли оксометаллических или пероксометаллических кислот
2842 10 000 Соли неорганических кислот или пероксокислот (включая алюмосиликаты определенного или неопределенного химического состава), кроме азидов, прочие
2843 30 000 0
2843 90 900 0
Металлы драгоценные в коллоидном состоянии; соединения неорганические или органические драгоценных металлов, определенного или неопределенного химического состава; амальгамы драгоценных металлов
2846 90 100 0
2846 90 200 0
Соединения, неорганические или органические, редкоземельных металлов, иттрия или скандия или смесей этих металлов
2847 00 000 0 Пероксид водорода, отвержденный или не отвержденный мочевиной
2850 00 200 0 Гидриды, нитриды, азиды, силициды и бориды, определенного или неопределенного химического состава, кроме соединений, являющихся карбидами товарной позиции 2849
2852 10 000 8
2852 90 000 1
Соединения ртути, неорганические или органические, определенного или неопределенного химического состава, кроме амальгам
2901 10 000 9 Углеводороды ациклические
2903 13 000 0
2903 29 000 0
2903 62 000 0
Галогенированные производные углеводородов
2904 10 000 0
2904 20 000 0
Сульфированные, нитрованные или нитрозированные производные углеводородов, галогенированные или негалогенированные
2905 17 000 0
2905 19 000 0
2905 32 000 0
2905 39 200 0
2905 39 950 0
2905 43 000 0
2905 44 910 0
2905 44 990 0
2905 49 000 0
2905 59 980 0
Спирты ациклические и их галогенированные, сульфированные, нитрованные или нитрозированные производные
2906 13
2906 19 000 0
2906 21 000 0
Спирты циклические и их галогенированные, сульфированные, нитрованные или нитрозированные производные
2907 12 000 0
2907 19 900 0
2907 21 000 0
2907 29 000 0
Фенолы; фенолоспирты
2909 19
2909 20 000 0
2909 30 380 0
2909 30 900
2909 43 000
2909 44 000 0
2909 49 800
2909 50 000 0
Эфиры простые, эфироспирты, эфирофенолы, эфироспиртофенолы, пероксиды спиртов, простых эфиров, ацеталей, полуацеталей и кетонов (определенного или неопределенного химического состава) и их галогенированные, сульфированные, нитрованные или нитрозированные производные
2912 50 000 1 Альдегиды, содержащие или не содержащие другую кислородсодержащую функциональную группу; полимеры альдегидов циклические; параформальдегид
2913 00 000 0 Производные соединений товарной позиции 2912, галогенированные, сульфированные, нитрованные или нитрозированные
2914 12 000 0
2914 29 000 0
2914 39 000 0
2914 50 000 0
2914 69
2914 79 000 0
Кетоны и хиноны, содержащие или не содержащие другую кислородсодержащую функциональную группу, и их галогенированные, сульфированные, нитрованные или нитрозированные производные
2915 11 000 0
2915 21 000 0
2915 29 000 0
2915 39 000 0
2915 40 000 0
2915 60 190 0
2915 70
2915 90
Кислоты ациклические монокарбоновые насыщенные и их ангидриды, галогенангидриды, пероксиды и пероксикислоты; их галогенированные, сульфированные, нитрованные или нитрозированные производные
2916 15 000 0
2916 19 950 0
2916 31 000 0
2916 39 900 0
Кислоты ациклические монокарбоновые ненасыщенные, кислоты циклические монокарбоновые, их ангидриды, галогенангидриды, пероксиды и пероксикислоты; их галогенированные, сульфированные, нитрованные или нитрозированные производные
2917 11 000 0
2917 13 900 0
2917 14 000 0
2917 19 900 0
2917 33 000 0
2917 36 000 0
Кислоты поликарбоновые, их ангидриды, галогенангидриды, пероксиды и пероксикислоты; их галогенированные, сульфированные, нитрованные или нитрозированные производные
2918 11 000 0
2918 12 000 0
2918 13 000 0
2918 14 000 0
2918 15 000 0
2918 16 000 0
2918 19 300 0
2918 19 980 0
2918 22 000 0
2918 23 000 0
2918 29 000 0
2918 30 000 0
2918 99
Кислоты карбоновые, содержащие дополнительную кислородсодержащую функциональную группу, и их ангидриды, галогенангидриды, пероксиды и пероксикислоты; их галогенированные, сульфированные, нитрованные или нитрозированные производные
2919 90 000 0 Эфиры фосфорной кислоты сложные и их соли, включая лактофосфаты; их галогенированные, сульфированные, нитрованные или нитрозированные производные
2920 90 Сложные эфиры прочих неорганических кислот неметаллов (кроме сложных эфиров галогенводородов) и их соли; их галогенированные, сульфированные, нитрованные или нитрозированные производные
2921 11 000 0
2921 13 000 0
2921 19 990 0
2921 21 000 0
2921 29 000 0
2921 30 910 0
2921 30 990 0
2921 41 000 0
2921 42 000 9
2921 43 000 0
2921 49 000
2921 51 190 0
2921 59 900 0
Соединения, содержащие аминную функциональную группу
2922 19 700 0
2922 29 000 0
2922 41 000 0
2922 42 000 0
2922 49 850 0
2922 50 000 0
Аминосоединения, включающие кислородсодержащую функциональную группу
2923 10 000 0
2923 20 000 0
2923 90 000
Соли и гидроксиды четвертичного аммониевого основания; лецитины и фосфоаминолипиды прочие, определенного или неопределенного химического состава
2924 19 000
2924 21 000 0
2924 29 990
Соединения, содержащие карбоксамидную функциональную группу; соединения угольной кислоты, содержащие амидную функциональную группу
2925 11 000 0
2925 19 950 0
2925 29 000 0
Соединения, содержащие карбоксимидную функциональную группу (включая сахарин и его соли), и соединения, содержащие иминную функциональную группу
2926 90 980 0 Соединения, содержащие нитрильную функциональную группу
2928 00 900 Производные гидразина или гидроксиламина органические
2929 10 000
2929 90 000 0
Соединения, содержащие другие азотсодержащие функциональные группы
2930 20 000 0
2930 30 000 0
2930 40 900 0
2930 90 130 0
2930 90 160 0
2930 90 950
Соединения сероорганические
2931 41 000 0
2931 42 000 0
2931 43 000 0
2931 44 000 0
2931 45 000 0
2931 49 000
2931 90 000
Соединения органо-неорганические прочие
2932 14 000 0
2932 19 000 0
2932 20 900 0
2932 99 000 0
Соединения гетероциклические, содержащие лишь гетероатом(ы) кислорода
2933 19 900 0
2933 21 000 0
2933 29 900 0
2933 39 250 0
2933 39 980 0
2933 49 900 0
2933 54 000 0
2933 59 100 0
2933 59 950 0
2933 61 000 0
2933 69 800 0
2933 79 000 0
2933 99 800 8
Соединения гетероциклические, содержащие лишь гетероатом(ы) азота
2934 10 000 0
2934 20
2934 30
2934 99 800 0
Нуклеиновые кислоты и их соли, определенного или неопределенного химического состава; гетероциклические соединения прочие
2935 50 000 0
2935 90 900
Сульфонамиды
2936 21 000 0
2936 22 000 9
2936 23 000 0
2936 24 000 0
2936 25 000 0
2936 26 000 0
2936 27 000 0
2936 28 000 0
2936 29 000
2936 90 000 9
Провитамины и витамины, природные или синтезированные (включая природные концентраты), их производные, используемые в основном в качестве витаминов, и смеси этих соединений, в том числе в любом растворителе
2937 12 000 0
2937 19 000 0
2937 22 000 0
2937 23 000 0
2937 29 000 0
2937 50 000 0
2937 90 000 0
Гормоны, простагландины, тромбоксаны и лейкотриены, природные или синтезированные; их производные и структурные аналоги, включающие цепочечные модифицированные полипептиды, используемые в основном в качестве гормонов
2938 Гликозиды, природные или синтезированные, их соли, простые и сложные эфиры и прочие производные
2939 30 000 0
2939 79 000 0
2939 80 000 0
Алкалоиды, природные или синтезированные, их соли, простые и сложные эфиры и прочие производные
2940 00 000 0 Сахара химически чистые, кроме сахарозы, лактозы, мальтозы, глюкозы и фруктозы; простые эфиры сахаров, ацетали сахаров и сложные эфиры сахаров, их соли, кроме продуктов товарной позиции 2937, 2938 или 2939
2941 Антибиотики
2942 00 000 0 Соединения органические прочие
3001 90 910 0
3001 90 980 0
Железы и прочие органы, предназначенные для органотерапии, высушенные, не измельченные или измельченные, в том числе в порошок; экстракты желез или прочих органов или их секретов, предназначенные для органотерапии; гепарин и его соли; прочие вещества человеческого или животного происхождения, подготовленные для использования в терапевтических или профилактических целях, в другом месте не поименованные или не включенные
3002 12 000 2
3002 12 000 3
3002 12 000 4
3002 12 000 5
3002 12 000 9
3002 13 000 0
3002 14 000 0
3002 15 000 0
3002 42 000 0
3002 49 000 1
Кровь человеческая; кровь животных, приготовленная для использования в терапевтических, профилактических или диагностических целях; сыворотки иммунные, фракции крови прочие и иммунологические продукты, модифицированные или немодифицированные, в том числе полученные методами биотехнологии; вакцины, токсины, культуры микроорганизмов (кроме дрожжей) и аналогичные продукты; клеточные культуры, модифицированные или немодифицированные
3003 10 000 0
3003 20 000 0
3003 90 000 0
Лекарственные средства (кроме товаров товарной позиции 3002, 3005 или 3006), состоящие из смеси двух или более компонентов, для использования в терапевтических или профилактических целях, но не расфасованные в виде дозированных лекарственных форм или в формы или упаковки для розничной продажи
3004 10 000 5
3004 10 000 8
3004 20 000 2
3004 31 000 0
3004 39 000 1
3004 50 000 2
3004 90 000 1
3004 90 000 2
3004 90 000 8
Лекарственные средства (кроме товаров товарной позиции 3002, 3005 или 3006), состоящие из смешанных или несмешанных продуктов, для использования в терапевтических или профилактических целях, расфасованные в виде дозированных лекарственных форм (включая лекарственные средства в форме трансдермальных систем) или в формы или упаковки для розничной продажи
3005 10 000 0 Вата, марля, бинты и аналогичные изделия (например, перевязочный материал, лейкопластыри, припарки), пропитанные или покрытые фармацевтическими веществами или расфасованные в формы или упаковки для розничной продажи, предназначенные для использования в медицине, хирургии, стоматологии или ветеринарии
3006 10 900 0
3006 30 000 0 3006 40 000 0
3006 60 000
3006 91 000 0
3006 93 000 0
Фармацевтическая продукция, упомянутая в примечании 4 к данной группе
3204 12 000 0
3204 17 000 0
3204 19 000 0
3204 20 000 0
3204 90 000 0
Органические красящие вещества синтетические, определенного или неопределенного химического состава; препараты, изготовленные на основе синтетических органических красящих веществ, указанные в примечании 3 к данной группе;
синтетические органические продукты, используемые в качестве оптических отбеливателей или люминофоров, определенного или неопределенного химического состава
3205 00 000 0 Цветные лаки; препараты на основе цветных лаков, указанные в примечании 3 к данной группе
3206 11 000 0
3206 19 000 0
3206 20 000 0
3206 49 700 0
Красящие вещества прочие; препараты, указанные в примечании 3 к данной группе, отличные от препаратов товарной позиции 3203, 3204 или 3205; неорганические продукты, используемые в качестве люминофоров, определенного или неопределенного химического состава
3207 10 000 0
3207 20
3207 30 000 0
3207 40 400 0
Готовые пигменты, готовые глушители стекла и готовые краски, эмали и глазури стекловидные, ангобы (шликеры), глянцы жидкие и аналогичные препараты, используемые при производстве керамики, эмали или стекла; фритта стекловидная и стекло прочее в порошке, гранулах или хлопьях
3212 90 000 0 Пигменты (включая металлические порошки и хлопья), диспергированные в неводных средах, жидкие или пастообразные, используемые при производстве красок (включая эмали); фольга для тиснения; красители и прочие красящие вещества, расфасованные в формы или упаковки для розничной продажи
3214 90 000 1 Замазки стекольная и садовая, цементы смоляные, составы для уплотнения и прочие мастики; шпатлевки для малярных работ; неогнеупорные составы для подготовки поверхностей фасадов, внутренних стен зданий, полов, потолков или аналогичные
3215 11 000 0
3215 19 000 0
3215 90 000 0
Краска полиграфическая, чернила или тушь для письма или рисования и прочие чернила, концентрированные или неконцентрированные, твердые или нетвердые
3301 13
3301 24 900 0
3301 29 110 0
3301 29 310 0
3301 29 410 0
3301 29 910 0
3301 90 900 0
Масла эфирные (содержащие или не содержащие терпены), включая конкреты и абсолюты; резиноиды; экстрагированные эфирные масла; концентраты эфирных масел в жирах, нелетучих маслах, восках или аналогичных продуктах, получаемые методом анфлеража или мацерацией; терпеновые побочные продукты детерпенизации эфирных масел; водные дистилляты и водные растворы эфирных масел
3302 10 210 0
3302 10 290 0
3302 10 400 0
3302 10 900 0
3302 90 900 0
Смеси душистых веществ и смеси (включая спиртовые растворы) на основе одного или более таких веществ, используемые в качестве промышленного сырья; прочие препараты на основе душистых веществ, используемые для изготовления напитков
3401 20 900 0
3401 30 000 0
Мыло; поверхностно-активные органические вещества и средства, применяемые в качестве мыла, в форме брусков, кусков или в виде формованных изделий, содержащие или не содержащие мыло; поверхностно-активные органические вещества и средства для мытья кожи в виде жидкости или крема и расфасованные для розничной продажи, содержащие или не содержащие мыло; бумага, вата, войлок или фетр и нетканые материалы, пропитанные или покрытые мылом или моющим средством
3402 42 000 0
3402 49 000 0
3402 90 100 8
3402 90 900 0
Вещества поверхностно-активные органические (кроме мыла); поверхностно-активные средства, моющие средства (включая вспомогательные моющие средства) и средства чистящие, содержащие или не содержащие мыло (кроме средств товарной позиции 3401)
3403 19 900 0
3403 99 000 0
Материалы смазочные (включая смазочно-охлаждающие эмульсии для режущих инструментов, средства для облегчения вывинчивания болтов или гаек, средства для удаления ржавчины или антикоррозионные средства и препараты для облегчения выемки изделий из форм, изготовленные на основе смазок) и средства, используемые для масляной или жировой обработки текстильных материалов, кожи, меха или прочих материалов, кроме средств, содержащих в качестве основных компонентов 70 мас.% или более нефти или нефтепродуктов, полученных из битуминозных пород
3404 20 000 0
3404 90 000
Воски искусственные и готовые воски
3405 10 000 0
3405 90 900 0
Ваксы и кремы для обуви, полироли и мастики для мебели, полов, кузовов транспортных средств, стекла или металла, чистящие пасты и порошки и аналогичные средства (в том числе бумага, вата, войлок или фетр, нетканые материалы, пористые пластмассы или пористая резина, пропитанные или покрытые такими средствами), кроме восков товарной позиции 3404
3407 00 000 0 Пасты для лепки, включая пластилин для детской лепки; "зубоврачебный воск" или составы для получения слепков зубов, расфасованные в наборы, в упаковки для розничной продажи или в виде плиток, в форме подков, в брусках или аналогичных формах; составы для зубоврачебных целей прочие на основе гипса (кальцинированного гипса или сульфата кальция)
3501 10 900 0 Казеин, казеинаты и прочие производные казеина; клеи казеиновые
3502 Альбумины (включая концентраты двух или более сывороточных белков, содержащих более 80 мас.% сывороточных белков в пересчете на сухое вещество), альбуминаты и прочие производные альбумина
3503 00 100 1
3503 00 800 9
Желатин (в том числе в прямоугольных (включая квадратные) листах, с поверхностной обработкой или без обработки, окрашенный или неокрашенный) и производные желатина; клей рыбий; клеи прочие животного происхождения, кроме казеиновых товарной позиции 3501
3504 00 900 0 Пептоны и их производные; белковые вещества прочие и их производные, в другом месте не поименованные или не включенные; порошок из кожи, или голья, хромированный или нехромированный
3505 Декстрины и прочие модифицированные крахмалы (например, крахмалы, предварительно желатинизированные или превращенные в сложный эфир); клеи на основе крахмалов или декстринов, или прочих модифицированных крахмалов
3506 Готовые клеи и прочие готовые адгезивы, в другом месте не поименованные или не включенные; продукты, пригодные для использования в качестве клеев или адгезивов, расфасованные для розничной продажи в качестве клеев или адгезивов, нетто-массой не более 1 кг
3507 Ферменты; ферментные препараты, в другом месте не поименованные или не включенные
3701 10 000 0
3701 99 000 0
Фотопластинки и фотопленки плоские, сенсибилизированные, неэкспонированные, из любых материалов, кроме бумаги, картона или текстильных; пленки плоские для моментальной фотографии, сенсибилизированные, неэкспонированные, в упаковке или без упаковки
3705 00 900 0 Фотопластинки и фотопленка, экспонированные и проявленные, кроме кинопленки
3707 Фотохимикаты (кроме лаков, клеев, адгезивов и аналогичных препаратов);
продукты несмешанные, используемые для фотографических целей, представленные в отмеренных дозах или упакованные для розничной продажи в готовом к использованию виде
3801 10 000 0
3801 20 900 0
Графит искусственный; графит коллоидный или полуколлоидный; продукты, полученные на основе графита или прочего углерода, в виде паст, блоков, пластин или прочих полуфабрикатов
3802 10 000 0 Уголь активированный; продукты минеральные природные активированные; уголь животный, включая использованный животный уголь
3809 91 000 0
3809 92 000 0
Средства отделочные, средства для ускорения крашения или фиксации красителей и продукты прочие и готовые препараты (например, вещества для обработки и протравы), применяемые в текстильной, бумажной, кожевенной промышленности или аналогичных отраслях, в другом месте не поименованные или не включенные
3810 90 900 0 Препараты для травления металлических поверхностей; флюсы и препараты вспомогательные прочие для низкотемпературной пайки, высокотемпературной пайки или для сварки; порошки и пасты для низкотемпературной пайки, высокотемпературной пайки или для сварки, состоящие из металла и прочих материалов; материалы, используемые в качестве сердечников или покрытий для сварочных электродов или прутков
3811 21 000 0
3811 29 000 0
3811 90 000 0
Антидетонаторы, антиоксиданты, ингибиторы смолообразования, регуляторы вязкости, антикоррозионные вещества и присадки готовые прочие к нефтепродуктам (включая бензин) или другим жидкостям, используемым в тех же целях, что и нефтепродукты
3812 20 900 0
3812 39 000 0
Ускорители вулканизации каучука готовые; составные пластификаторы для каучука или пластмасс, в другом месте не поименованные или не включенные; антиоксиданты и стабилизаторы составные прочие для каучука или пластмасс
3814 00 900 0 Растворители и разбавители сложные органические, в другом месте не поименованные или не включенные; готовые составы для удаления красок или лаков
3815 11 000 0
3815 12 000 0
3815 90 900 0
Инициаторы реакций, ускорители реакций и катализаторы, в другом месте не поименованные или не включенные
3816 00 000 0 Цементы огнеупорные, растворы строительные, бетоны и аналогичные составы, включая доломитовую набивочную смесь, кроме товаров товарной позиции 3801
3818 00 100 0 Элементы химические легированные, предназначенные для использования в электронике, в форме дисков, пластин или в аналогичных формах; соединения химические легированные, предназначенные для использования в электронике
3819 00 000 0 Жидкости тормозные гидравлические и жидкости готовые прочие для гидравлических передач, не содержащие или содержащие менее 70 мас.% нефти или нефтепродуктов, полученных из битуминозных пород
3821 00 000 0 Среды культуральные готовые для выращивания или поддержания жизнедеятельности микроорганизмов (включая вирусы и подобные) или клеток растений, человека или животных
3822 Реагенты диагностические или лабораторные на подложке, готовые диагностические или лабораторные реагенты на подложке или без нее, не расфасованные или расфасованные в наборы, кроме товаров товарной позиции 3006; сертифицированные эталонные материалы
3823 11 000 0
3823 13 000 0
3823 70 000 0
Промышленные монокарбоновые жирные кислоты; кислотные масла после рафинирования; промышленные жирные спирты
3824 60 190 0
3824 81 000 0
3824 89 000 0
3824 92 000 0
3824 99 500 0
3824 99 550 0
3824 99 640 0
3824 99 650 0
3824 99 920 1
3824 99 920 2
3824 99 920 8
3824 99 930 1
3824 99 930 7
3824 99 960 3
3824 99 960 8
Готовые связующие вещества для производства литейных форм или литейных стержней; продукты и препараты химические, химической или смежных отраслей промышленности (включая препараты, состоящие из смесей природных продуктов), в другом месте не поименованные или не включенные
3901 10
3901 20 900 9
3901 30 000 0
3901 40 000 1
3901 90 800 0
Полимеры этилена в первичных формах
3902 10 000 0
3902 20 000 0
3902 30 000 0
3902 90 900 0
Полимеры пропилена или прочих олефинов в первичных формах
3903 90 200 0
3903 90 900 0
Полимеры стирола в первичных формах
3904 10 000 1
3904 22 000 9
3904 69 800 0
Полимеры винилхлорида или прочих галогенированных олефинов, в первичных формах
3905 12 000 0
3905 21 000 0
3905 29 000 0
3905 30 000 0
3905 91 000 0
3905 99 90
Полимеры винилацетата или прочих сложных виниловых эфиров, в первичных формах;
прочие винильные полимеры в первичных формах
3906 10 000 0
3906 90 900
Акриловые полимеры в первичных формах
3907 10 000 0
3907 21 000
3907 29 900
3907 30 000
3907 50 000 0
3907 61 000 0
3907 69 000 9
3907 91
3907 99 900 0
Полиацетали, полиэфиры простые прочие и смолы эпоксидные в первичных формах; поликарбонаты, смолы алкидные, сложные полиаллильные эфиры и прочие сложные полиэфиры в первичных формах
3908 Полиамиды в первичных формах
3909 20 000 0
3909 31 000 0
3909 39 000 0
3909 50 900 1
3909 50 900 8
Амино-альдегидные смолы, феноло-альдегидные смолы и полиуретаны в первичных формах
3910 00 000 8 Силиконы в первичных формах
3911 10 000 0
3911 20 000 0
3911 90 190 0
3911 90 920 0
3911 90 980 0
Смолы нефтяные, смолы кумароно-инденовые, политерпены, полисульфиды, полисульфоны и продукты прочие, указанные в примечании 3 к данной группе, в первичных формах, в другом месте не поименованные или не включенные
3912 11 000 9
3912 31 000 0
3912 39 850 0
3912 90 900 0
Целлюлоза и ее химические производные, в первичных формах, в другом месте не поименованные или не включенные
3913 Полимеры природные (например, альгиновая кислота) и полимеры природные модифицированные (например, отвержденные протеины, химические производные натурального каучука), в первичных формах, в другом месте не поименованные или не включенные
3914 00 000 0 Смолы ионообменные, полученные на основе полимеров товарных позиций 3901 - 3913, в первичных формах
3917 10
3917 21 900 1
3917 22 900 1
3917 23 900 1
3917 29 000 1
3917 31 000 2
3917 32 000 9
3917 33 000 1
3917 39 000 2
3917 39 000 3
3917 40 000 9
Трубы, трубки, шланги и их фитинги (например, соединения, колена, фланцы), из пластмасс
3920 49 100 1
3920 49 900 0
Плиты, листы, пленка и полосы или ленты, прочие, из пластмасс, непористые и неармированные, неслоистые, без подложки и не соединенные аналогичным способом с другими материалами
3921 19 000 0
3921 90 300 0
3921 90 900 0
Плиты, листы, пленка и полосы или ленты из пластмасс, прочие
3923 29 900 0
3923 30 109 0
Изделия для транспортировки или упаковки товаров, из пластмасс; пробки, крышки, колпаки и другие укупорочные средства, из пластмасс
3925 20 000 0 Детали строительные из пластмасс, в другом месте не поименованные или не включенные
3926 90 920 0
3926 90 970 1
3926 90 970 5
3926 90 970 9
Изделия прочие из пластмасс и изделия из прочих материалов товарных позиций 3901 - 3914
4001 10 000 0 Каучук натуральный, балата, гуттаперча, гваюла, чикл и аналогичные природные смолы, в первичных формах или в виде пластин, листов или полос, или лент
4002 11 000 9
4002 19 200 0
4002 99 900 0
Каучук синтетический и фактис, полученный из масел, в первичных формах или в виде пластин, листов или полос, или лент; смеси любого продукта товарной позиции 4001 с любым продуктом данной товарной позиции, в первичных формах или в виде пластин, листов или полос, или лент
4011 80 000 0 Шины и покрышки пневматические резиновые новые
4012 13 000
4012 20 000 1
Шины и покрышки пневматические резиновые, восстановленные или бывшие в употреблении; шины и покрышки массивные или полупневматические, шинные протекторы и ободные ленты, резиновые
4016 10 000
4016 93 000 4
4016 99 910 1
Изделия из вулканизованной резины, кроме твердой резины, прочие
4017 00 000 1 Резина твердая (например, эбонит) во всех формах, включая отходы и скрап; изделия из твердой резины
4201 00 000 0 Изделия шорно-седельные и упряжь для любых животных (включая постромки, поводья, наколенники, намордники, попоны, переметные сумы, собачьи попоны и аналогичные изделия), изготовленные из любого материала
4415 20 900 0 Ящики, коробки, упаковочные клети, барабаны и аналогичная тара, из древесины; кабельные барабаны деревянные; поддоны, поддоны ящичные и прочие погрузочные щиты, деревянные; обечайки деревянные
4418 99 700 0 Изделия столярные и плотницкие, деревянные, строительные, включая ячеистые деревянные панели, панели напольные собранные, гонт и дранку кровельные
4703 21 000 9
4703 29 000 9
Целлюлоза древесная, натронная или сульфатная, кроме растворимых сортов
4704 29 000 0 Целлюлоза древесная, сульфитная, кроме растворимых сортов
4706 10 000 0
4706 30 000 0
Масса волокнистая, полученная из регенерируемых бумаги или картона (макулатуры и отходов) или из других волокнистых целлюлозных материалов
4803 00 Бумажные туалетные салфетки или салфетки для лица, полотенца и другие виды бумаги хозяйственно-бытового или санитарно-гигиенического назначения, целлюлозная вата и полотно из целлюлозных волокон, крепированные или некрепированные, гофрированные или негофрированные, тисненые или нетисненые, перфорированные или неперфорированные, с окрашенной или неокрашенной поверхностью, напечатанные или ненапечатанные, в рулонах или листах
4805 91 000 0
4805 92 000 0
4805 93 800 0
Бумага и картон немелованные прочие, в рулонах или листах, без дальнейшей обработки или обработанные, как это указано в примечании 3 к данной группе
4807 00 Бумага и картон многослойные (изготовленные путем склеивания с помощью адгезива плоских слоев бумаги или картона) без поверхностного покрытия или пропитки, армированные или неармированные, в рулонах или листах
4809 Бумага копировальная, самокопировальная и прочая копировальная или переводная бумага (включая покрытую или пропитанную бумагу для трафаретов копировальных аппаратов или офсетных пластин), напечатанная или ненапечатанная, в рулонах или листах
4810 92 300 0
4810 92 900
Бумага и картон, покрытые с одной или с обеих сторон каолином (китайской глиной) или другими неорганическими веществами, с использованием связующего вещества или без него, и без какого-либо другого покрытия, с окрашенной или неокрашенной, декорированной или недекорированной поверхностью, напечатанные или ненапечатанные, в рулонах или прямоугольных (включая квадратные) листах любого размера
4811 41 200 0
4811 41 900 0
4811 49 000 0
4811 51 000 9
4811 59 000 9
4811 60 000 0
4811 90 000 0
Бумага, картон, целлюлозная вата и полотно из целлюлозных волокон, с покрытием, пропитанные, ламинированные, с окрашенной или декорированной поверхностью или напечатанные, в рулонах или прямоугольных (включая квадратные) листах любого размера, кроме товаров товарной позиции 4803, 4809 или 4810
4816 90 000 0 Бумага копировальная, самокопировальная и прочая копировальная или переводная бумага (кроме бумаги товарной позиции 4809), трафареты для копировальных аппаратов и офсетные пластины из бумаги, упакованные или не упакованные в коробки
4819 20 000 0
4819 30 000 1
4819 40 000 0
4819 50 000 0
Картонки, ящики, коробки, мешки, пакеты и другая упаковочная тара, из бумаги, картона, целлюлозной ваты или полотна из целлюлозных волокон; коробки для картотек, лотки для писем и аналогичные изделия, из бумаги или картона, используемые в учреждениях, магазинах или в аналогичных целях
4821 Ярлыки и этикетки всех видов, из бумаги или картона, напечатанные или ненапечатанные
4823 20 000 9
4823 90 852 0
4823 90 859 4
Бумага, картон, целлюлозная вата и полотно из целлюлозных волокон, прочие, нарезанные по размеру или форме; изделия из бумажной массы, бумаги, картона, целлюлозной ваты или полотна из целлюлозных волокон, прочие
5201 00 900 0 Волокно хлопковое, не подвергнутое кардо- или гребнечесанию
5205 12 000 0
5205 13 000 0
5205 14 000 0
5205 22 000 0
5205 23 000 0
5205 24 000 0
5205 32 000 0
5205 33 000 0
5205 44 000 0
Пряжа хлопчатобумажная (кроме швейных ниток), содержащая 85 мас.% или более хлопковых волокон, не расфасованная для розничной продажи
5206 11 000 0
5206 12 000 0
5206 44 000 0
Пряжа хлопчатобумажная (кроме швейных ниток), содержащая менее 85 мас.% хлопковых волокон, не расфасованная для розничной продажи
5401 10 180 0 Нитки швейные из химических нитей, расфасованные или не расфасованные для розничной продажи
5402 20 000 9
5402 31 000 0
5402 33 000 0
5402 45 000 0
5402 61 000 0
5402 62 000 0
Нити комплексные синтетические (кроме швейных ниток), не расфасованные для розничной продажи, включая синтетические мононити линейной плотности менее 67 дтекс
5404 19 000 0 Мононити синтетические линейной плотности 67 дтекс или более и с размером поперечного сечения не более 1 мм; плоские и аналогичные нити (например, искусственная соломка) из синтетических текстильных материалов с шириной не более 5 мм
5407 20 190 0
5407 41 000 0
5407 52 000 0
5407 53 000 0
5407 61 100 0
5407 61 300 0
5407 61 500 0
5407 73 000 0
Ткани из синтетических комплексных нитей, включая ткани, изготавливаемые из материалов товарной позиции 5404
5503 20 000 0 Волокна синтетические, не подвергнутые кардо-, гребнечесанию или другой подготовке для прядения
5504 10 000 0 Волокна искусственные, не подвергнутые кардо-, гребнечесанию или другой подготовке для прядения
5509 11 000 0
5509 12 000 0
5509 21 000 0
5509 51 000 0
5509 62 000 0
5509 99 000 0
Пряжа из синтетических волокон (кроме швейных ниток), не расфасованная для розничной продажи
5510 90 000 0 Пряжа из искусственных волокон (кроме швейных ниток), не расфасованная для розничной продажи
5512 99 900 0 Ткани из синтетических волокон, содержащие 85 мас.% или более этих волокон
5514 22 000 0 Ткани из синтетических волокон, содержащие менее 85 мас.% этих волокон, смешанные в основном или исключительно с хлопковыми волокнами, имеющие поверхностную плотность более 170 г/м2
5601 22 900 0 Вата из текстильных материалов и изделия из нее; текстильные волокна, не превышающие по длине 5 мм (пух), текстильная пыль и узелки
5603 13 900 0
5603 14 900 0
5603 92 900 0
Нетканые материалы, пропитанные или непропитанные, с покрытием или без покрытия, дублированные или недублированные
5605 00 000 0 Нить металлизированная, позументная или непозументная, являющаяся текстильной нитью или плоской или аналогичной нитью товарной позиции 5404 или 5405, комбинированной с металлом в виде нити, полосы или ленты или порошка, или покрытая металлом
5606 00 910 0 Нить позументная и плоская и аналогичная нить товарной позиции 5404 или 5405, позументная (кроме входящей в товарную позицию 5605 и позументной нити из конского волоса); пряжа синель (включая флокированную синель); фасонная петлистая пряжа
5607 50 300 0 Бечевки, веревки, канаты и тросы, плетеные или неплетеные, или в оплетке или без оплетки, и пропитанные или непропитанные, с покрытием или без покрытия, в оболочке или без оболочки из резины или пластмассы
5806 20 000 0 Узкие ткани, кроме изделий товарной позиции 5807; узкие ткани безуточные, скрепленные склеиванием (болдюк)
5810 92 100 0 Вышивки в куске, в лентах или в виде отдельных орнаментов
5911 31 110 0
5911 32 110 0
5911 40 000 0
5911 90 900 0
Текстильные материалы и изделия для технических целей, упомянутые в примечании 8 к данной группе
6001 22 000 0 Ворсовые полотна, трикотажные машинного или ручного вязания, включая длинноворсовые полотна и махровые полотна
6002 40 000 0 Трикотажные полотна машинного или ручного вязания шириной не более 30 см, содержащие 5 мас.% или более эластомерных или резиновых нитей, кроме полотен товарной позиции 6001
6004 10 000 0 Трикотажные полотна машинного или ручного вязания шириной более 30 см, содержащие 5 мас.% или более эластомерных или резиновых нитей, кроме полотен товарной позиции 6001
6005 37 500 0 Полотна основовязаные (включая вязаные на трикотажных машинах для изготовления галунов), кроме трикотажных полотен товарных позиций 6001 - 6004
6006 90 000 0 Трикотажные полотна машинного или ручного вязания прочие
6305 32 190 0
6305 33
Мешки и пакеты упаковочные
6306 12 000 0 Тенты, навесы и маркизы; палатки (включая временные шатры и аналогичные изделия); паруса для лодок, досок для виндсерфинга или сухопутных транспортных средств; снаряжение для кемпинга
6307 10 900 0
6307 90 910 0
Готовые изделия прочие, включая выкройки одежды
6805 10 000 0
6805 20 000 0
6805 30 000 9
Природный или искусственный абразивный порошок или зерно на тканой, бумажной, картонной или иной основе, разрезанной или сшитой, или обработанной другим способом для получения определенной формы, или необработанной
6806 10 000 2
6806 90 000 0
Шлаковата, минеральная силикатная вата и аналогичные минеральные ваты; вермикулит расслоенный, глины вспученные, шлак вспененный и аналогичные вспученные минеральные продукты; смеси и изделия из теплоизоляционных, звукоизоляционных или звукопоглощающих минеральных материалов, кроме изделий товарной позиции 6811 или 6812 или группы 69
6810 99 000 0 Изделия из цемента, бетона или искусственного камня, неармированные или армированные
6812 80 900 2
6812 99 900 2
6812 99 900 8
Волокно асбестовое обработанное; смеси на основе асбеста или асбеста и карбоната магния; изделия из этих смесей или из асбеста (например, нити, ткани, одежда, головные уборы, обувь, прокладки), армированные или неармированные, кроме товаров товарной позиции 6811 или 6813
6813 20 000 1
6813 81 000 1
6813 89 000 1
Фрикционные материалы и изделия из них (например, листы, рулоны, ленты, сегменты, диски, шайбы, прокладки) несмонтированные, используемые для тормозов, сцеплений или аналогичных устройств, на основе асбеста, других минеральных веществ или целлюлозы, совместно с текстилем или другими материалами либо без них
6815 12 000 0
6815 19 000 0
6815 99 000
Изделия из камня или других минеральных веществ (включая углеродные волокна, изделия из углеродных волокон и изделия из торфа), в другом месте не поименованные или не включенные
6902 Кирпичи огнеупорные, блоки, плитки и аналогичные огнеупорные керамические строительные материалы, кроме изделий из кремнеземистой каменной муки или аналогичных кремнеземистых пород
6903 10 000 0
6903 20
6903 90 900 0
Прочие огнеупорные керамические изделия (например, реторты, тигли, муфели, насадки, заглушки, подпорки, пробирные чашки, трубы, трубки, кожухи, прутки, стержни и скользящие затворы), кроме изделий из кремнеземистой каменной муки или аналогичных кремнеземистых пород
7002 20 100 0
7002 31 000 0
Стекло в форме шаров (кроме микросфер товарной позиции 7018), прутков или трубок, необработанное
7007 19 800 8
7007 21 800 1
Стекло безопасное, включая стекло упрочненное (закаленное) или многослойное
7009 10 000 9 Зеркала стеклянные, в рамах или без рам, включая зеркала заднего обзора
7010 10 000 0
7010 90 210 0
7010 90 910 9
Бутыли, бутылки, флаконы, кувшины, горшки, банки, ампулы и прочие стеклянные емкости для транспортировки или упаковки товаров; банки для консервирования стеклянные; предохранительные пробки из стекла, пробки, крышки и прочие аналогичные стеклянные изделия
7017 90 000 0 Посуда стеклянная для лабораторных, гигиенических или фармацевтических целей, градуированная или неградуированная, калиброванная или некалиброванная
7018 20 000 0 Бусины стеклянные, изделия, имитирующие жемчуг, драгоценные или полудрагоценные камни и аналогичные небольшие формы из стекла, изделия из них, кроме бижутерии; стеклянные глаза, кроме протезов; статуэтки и прочие декоративные изделия из стекла, обработанные паяльной лампой, кроме бижутерии; микросферы стеклянные диаметром не более 1 мм
7019 19 000 0
7019 62 000 2
7019 69 000 2
7019 72 000 2
7019 73 000 1
7019 80 000 1
7019 90 001 5
7019 90 001 9
7019 90 009 2
7019 90 009 5
Стекловолокно (включая стекловату) и изделия из него (например, пряжа, ровинги, ткани)
7020 00 050 0
7020 00 100 0
7020 00 800 0
Изделия из стекла прочие
7105 90 000 0 Крошка и порошок из природных или искусственных драгоценных или полудрагоценных камней
7112 92 000 0
7112 99 000 0
Отходы и лом драгоценных металлов или металлов, плакированных драгоценными металлами;
прочие отходы и лом, содержащие драгоценный металл или соединения драгоценных металлов, используемые главным образом для извлечения драгоценных металлов, кроме товаров товарной позиции 8549
7202 11 800 0
7202 60 000 0
7202 70 000 0
7202 91 000 0
7202 92 000 0
7202 93 000 0
Ферросплавы
7218 10 000 1
7218 91 100 0
Коррозионностойкая сталь в слитках или других первичных формах; полуфабрикаты из коррозионностойкой стали
7219 21 100
7219 22 100 1
7219 23 000 1
7219 24 000 1
7219 32 100 1
7219 33 100 1
7219 34 100 1
7219 90 800 1
Прокат плоский из коррозионностойкой стали, шириной 600 мм или более
7220 11 000 1 Прокат плоский из коррозионностойкой стали, шириной менее 600 мм
7228 40 100 0 Прутки прочие из других видов легированных сталей; уголки, фасонные и специальные профили, из других видов легированных сталей; прутки пустотелые для буровых работ из легированной или нелегированной стали
7304 31 200 2
7304 31 800 1
7304 39 520 1
7304 39 580 1
7304 39 920 1
7304 41 000 1
7304 41 000 5
7304 49 930 1
7304 49 950 1
7304 51 810 1
7304 51 890 1
7304 59 920 1
7304 90 000 1
Трубы, трубки и профили полые, бесшовные, из черных металлов (кроме чугунного литья)
7306 30 190 1
7306 30 410 1
7306 30 490 1
7306 30 720 1
7306 30 770 2
7306 40 200 1
7306 40 800 2
7306 50 200 1
7306 50 800 1
7306 61 100 1
7306 61 920 1
7306 61 990 1
7306 69 100 1
7306 69 900 1
7306 69 900 9
Трубы, трубки и профили полые прочие (например, с открытым швом или сварные, клепаные или соединенные аналогичным способом), из черных металлов
7307 19 900 0
7307 21 000
7307 29 100 2
7307 29 800 1
7307 99 800 9
Фитинги для труб или трубок (например, соединения, колена, сгоны), из черных металлов
7308 30 000 0
7308 90 590 0
Металлоконструкции из черных металлов (кроме сборных строительных конструкций товарной позиции 9406) и их части (например, мосты и их секции, ворота шлюзов, башни, решетчатые мачты, перекрытия для крыш, строительные фермы, двери и окна и их рамы, пороги для дверей, жалюзи, балюстрады, опоры и колонны); листы, прутки, уголки, фасонные профили, трубы и аналогичные изделия, из черных металлов, предназначенные для использования в металлоконструкциях
7310 10 000 0 Цистерны, бочки, барабаны, канистры, ящики и аналогичные емкости, из черных металлов, для любых веществ (кроме сжатого или сжиженного газа) вместимостью не более 300 л, с облицовкой или теплоизоляцией или без них, но без механического или теплотехнического оборудования
7311 00 910 0
7311 00 990 0
Емкости для сжатого или сжиженного газа, из черных металлов
7312 10 200 1
7312 10 410 1
7312 10 490 1
7312 10 610 1
7312 10 690 1
7312 10 810 4
7312 10 830 4
7312 10 850 4
7312 10 850 8
7312 10 890 4
7312 10 980 1
7312 90 000 1
Скрученная проволока, тросы, канаты, плетеные шнуры, стропы и аналогичные изделия, из черных металлов, без электрической изоляции
7314 39 000 0 Металлическая ткань (включая бесконечные ленты), решетки, сетки и ограждения из проволоки, из черных металлов; просечно-вытяжной лист из черных металлов
7318 13 000 0
7318 15 300 1
7318 15 410 0
7318 15 590 0
7318 15 690 0
7318 15 700
7318 15 900 1
7318 16 300
7318 16 910 1
7318 19 000
7318 22 000 2
7318 23 000 1
7318 24 000 1
7318 29 000 2
7318 29 000 8
Винты, болты, гайки, глухари, ввертные крюки, заклепки, шпонки, шплинты, шайбы (включая пружинные) и аналогичные изделия, из черных металлов
7320 20 810 2
7320 20 850 2
7320 20 850 8
7320 20 890 2
7320 90 900 2
Пружины, рессоры и листы для них, из черных металлов
7322 90 000 1 Радиаторы для центрального отопления с неэлектрическим нагревом и их части, из черных металлов; воздухонагреватели и распределительные устройства для подачи горячего воздуха (включая устройства для подачи также свежего или кондиционированного воздуха) с неэлектрическим нагревом, оборудованные встроенным вентилятором или воздуходувкой с приводом от двигателя и их части, из черных металлов
7324 10 000 1
7324 90 000 1
Оборудование санитарно-техническое и его части, из черных металлов
7325 10 000 0
7325 91 000 0
7325 99 900
Изделия литые из черных металлов прочие
7326 11 000 0
7326 19 900 1
7326 20 000 3
7326 90 500 0
7326 90 920 1
7326 90 940 1
7326 90 940 9
7326 90 980 3
7326 90 980 7
Изделия из черных металлов прочие
7401 00 000 0 Штейн медный; медь цементационная (медь осажденная)
7404 00 Отходы и лом медные
7415 29 000 0 Гвозди, кнопки, кнопки чертежные, скобы (кроме относящихся к товарной позиции 8305) и аналогичные изделия из меди или из черных металлов с медными головками; винты, болты, гайки, глухари, ввертные крюки, заклепки, шпонки, шплинты, шайбы (включая пружинные) и аналогичные изделия из меди
7419 80 000 0 Изделия из меди прочие
7504 00 000 1 Порошки и чешуйки никелевые
7505 12 000 1
7505 22 000 0
Прутки, профили и проволока никелевые
7506 20 000 1 Плиты, листы, полосы или ленты и фольга никелевые
7508 90 000 Изделия из никеля прочие
7609 00 000 0 Фитинги для труб или трубок алюминиевые (например, муфты, колена, фланцы)
7616 91 000 0 Изделия из алюминия прочие
8101 96 000 0 Вольфрам и изделия из него, включая отходы и лом
8102 95 000 0
8102 99 000 0
Молибден и изделия из него, включая отходы и лом
8104 19 000 0
8104 30 000 0
Магний и изделия из него, включая отходы и лом
8105 90 000 Штейн кобальтовый и прочие промежуточные продукты металлургии кобальта; кобальт и изделия из него, включая отходы и лом
8108 20 000 1
8108 30 000 0
8108 90 500 1
8108 90 600 1
8108 90 600 2
Титан и изделия из него, включая отходы и лом
8109 99 000 0 Цирконий и изделия из него, включая отходы и лом
8111 00 110 0 Марганец и изделия из него, включая отходы и лом
8112 12 000 0
8112 92 910
8112 92 950 0
Бериллий, хром, гафний, рений, таллий, кадмий, германий, ванадий, галлий, индий и ниобий (колумбий), и изделия из них, включая отходы и лом
8202 20 000 0
8202 39 000 0
8202 99 800 0
Пилы ручные; полотна для пил всех типов (включая полотна пил для продольной резки, для прорезывания пазов или беззубые)
8204 11 000 0 Ключи гаечные ручные (включая гаечные ключи с торсиометрами, но исключая воротки); сменные головки для гаечных ключей, с ручками или без них
8208 Ножи и режущие лезвия для машин или механических приспособлений
8301 10 000 0
8301 40 900 0
Замки висячие и врезные (действующие с помощью ключа, кодовой комбинации или электрические), из недрагоценных металлов; задвижки и рамки с задвижками, объединенные с замками, из недрагоценных металлов; ключи для любых вышеуказанных изделий, из недрагоценных металлов
8302 10 000 0
8302 20 000 0
8302 30 000 9
8302 42 000 0
8302 49 000 1
8302 50 000 0
8302 60 000 9
Крепежная арматура, фурнитура и аналогичные изделия из недрагоценных металлов, используемые для мебели, дверей, лестниц, окон, штор, в салонах транспортных средств, шорных изделий, чемоданов, ящиков, шкатулок или аналогичных изделий; вешалки для шляп, крючки для шляп, кронштейны и аналогичные изделия из недрагоценных металлов; мебельные колеса с крепежными приспособлениями из недрагоценных металлов; автоматические устройства из недрагоценных металлов для закрывания дверей
8307 10 000 1
8307 90 000 1
Трубы гибкие из недрагоценных металлов, с фитингами или без них
8308 20 000 0 Застежки, рамы с застежками, пряжки, пряжки-застежки, крючки, колечки, блочки и аналогичные изделия, из недрагоценных металлов, используемые для одежды или принадлежностей одежды, обуви, ювелирных изделий, наручных часов, книг, тентов, изделий из кожи, дорожных принадлежностей или шорно-седельных изделий или других готовых изделий; заклепки трубчатые или раздвоенные, из недрагоценных металлов; бусины и блестки, из недрагоценных металлов
8311 Проволока, прутки, трубы, пластины, электроды и аналогичные изделия, из недрагоценных металлов или из карбидов металлов, с покрытием или с сердечником из флюсовых материалов, используемые для низкотемпературной пайки, высокотемпературной пайки, сварки или осаждения металлов или карбидов металлов; проволока и прутки из спеченного порошка недрагоценных металлов, используемые для металлизации распылением
8405 10 000 1 Газогенераторы или генераторы водяного газа с очистительными установками или без них; газогенераторы ацетиленовые и аналогичные газогенераторы с очистительными установками или без них
8407 10 000 1
8407 10 000 2
8407 10 000 3
8407 21
8407 33 800 0
8407 34 910 9
8407 34 990 8
8407 90 900 9
Двигатели внутреннего сгорания с искровым зажиганием, с вращающимся или возвратно-поступательным движением поршня
8408 10 810 0
8408 10 910 0
8408 20 370 9
8408 20 579 9
8408 20 990 7
8408 90 210 0
8408 90 270 1
8408 90 410 1
8408 90 430 1
8408 90 450 1
8408 90 470
8408 90 610
8408 90 650 0
8408 90 670 0
8408 90 810
8408 90 850 0
Двигатели внутреннего сгорания поршневые с воспламенением от сжатия (дизели или полудизели)
8409 10 000 0
8409 91 000 8
8409 99 000 9
Части, предназначенные исключительно или главным образом для двигателей товарной позиции 8407 или 8408
8411 11 000
8411 12 100
8411 12 300 3
8411 12 300 4
8411 12 300 5
8411 12 300 6
8411 12 300 7
8411 12 300 8
8411 12 800
8411 21 000
8411 22
8411 81 000 1
8411 81 000 2
8411 81 000 3
8411 82 800 1
8411 91 000 1
8411 91 000 2
8411 99 001
8411 99 009 1
Двигатели турбореактивные и турбовинтовые, газовые турбины прочие
8412 10 000
8412 21 200 2
8412 21 200 9
8412 21 800 1
8412 21 800 8
8412 29 200
8412 29 810
8412 29 890
8412 31 000
8412 39 000
8412 80 800
8412 90 200 1
8412 90 400 2
8412 90 400 8
8412 90 800 1
Двигатели и силовые установки прочие
8413 11 000 0
8413 19 000 0
8413 30 200 8
8413 30 800 8
8413 70 290 0
8413 70 450 0
8413 81 000 0
Насосы жидкостные с расходомерами или без них; подъемники жидкостей
8414 10 810 0
8414 30 200 1
8414 30 810 1
8414 30 810 6
8414 30 810 7
8414 30 810 9
8414 30 890 1
8414 30 890 9
8414 40 900 0
8414 59 200 0
8414 70 000 0
8414 80 510 0
8414 80 590 0 <2>
8414 80 900 0
Насосы воздушные или вакуумные, воздушные или газовые компрессоры и вентиляторы; вентиляционные или рециркуляционные вытяжные колпаки или шкафы с вентилятором, с фильтрами или без фильтров; газонепроницаемые шкафы биологической безопасности с фильтрами или без фильтров
8415 20 000 9
8415 82 000 0
8415 83 000 0
8415 90 000 2
Установки для кондиционирования воздуха, оборудованные вентилятором с двигателем и приборами для изменения температуры и влажности воздуха, включая кондиционеры, в которых влажность не может регулироваться отдельно
8416 10 100 0
8416 20
8416 30 000 0
8416 90 000 0
Горелки топочные для жидкого топлива, распыленного твердого топлива или для газа;
топки механические, включая их механические колосниковые решетки, механические золоудалители и аналогичные устройства
8417 10 000 0
8417 80 700 0
8417 90 000 0
Горны и печи промышленные или лабораторные, включая мусоросжигательные печи, неэлектрические
8418 10 200 2
8418 10 800 2
8418 21 590 0 <2>
8418 30 200 2
8418 30 800 2
8418 40 200 2
8418 40 800 2
8418 61 009 1
8418 69 000 2
8418 99 100 9
Холодильники, морозильники и прочее холодильное или морозильное оборудование электрическое или других типов; тепловые насосы, кроме установок для кондиционирования воздуха товарной позиции 8415
8419 19 000 0
8419 20 000 0
8419 33 000 1
8419 33 000 9
8419 35 000 0
8419 39 000 3
8419 39 000 8
8419 40 000 9
8419 50 000 0
8419 89 100 0
8419 89 989 0
8419 90 850
Машины, оборудование промышленное или лабораторное с электрическим или неэлектрическим нагревом (исключая печи, камеры и другое оборудование товарной позиции 8514) для обработки материалов в процессе с изменением температуры, таком как нагрев, варка, жаренье, дистилляция, ректификация, стерилизация, пастеризация, пропаривание, сушка, выпаривание, конденсирование или охлаждение, за исключением машин и оборудования, используемых в бытовых целях; водонагреватели проточные или накопительные (емкостные), неэлектрические
8420 10 100 0 <2>, <3>
8420 10 300 0
8420 10 800 0
8420 91 800 0
8420 99 000 0
Каландры или другие валковые машины, кроме машин для обработки металла или стекла, и валки для них
8421 19 200 9
8421 19 700
8421 21 000 9 <2>
8421 22 000 0 <2>
8421 23 000 0
8421 31 000 0
8421 39 200 1 <2>, <3>
8421 39 200 8 <2>
8421 99 000 7
Центрифуги, включая центробежные сушилки; оборудование и устройства для фильтрования или очистки жидкостей или газов
8422 20 000 9 <2>
8422 30 000 1
8422 30 000 8 <2>
8422 40 000 1
8422 40 000 8 <2>
8422 90 900 0
Машины посудомоечные; оборудование для мойки или сушки бутылок или других емкостей; оборудование для заполнения, закупорки бутылок, банок, закрывания ящиков, мешков или других емкостей, для опечатывания их или этикетирования; оборудование для герметичной укупорки колпаками или крышками бутылок, банок, туб и аналогичных емкостей; оборудование для упаковки или обертки (включая оборудование, обертывающее товар с термоусадкой упаковочного материала) прочее; оборудование для газирования напитков
8423 20 000 0 <2>
8423 30 000 0 <2>
8423 81 100 0
8423 81 300 0
8423 81 900 0
8423 82 100 0 <2>
8423 89 000 0 <2>
8423 90 000 1
Оборудование для взвешивания (кроме весов чувствительностью 0,05 г или выше), включая счетные или контрольные машины, приводимые в действие силой тяжести взвешиваемого груза; разновесы для весов всех типов
8424 20 000 0
8424 30
8424 89 000 9
8424 90 000 0
Механические устройства (с ручным управлением или без него) для метания, разбрызгивания или распыления жидкостей или порошков; огнетушители заряженные или незаряженные; пульверизаторы и аналогичные устройства; пароструйные или пескоструйные и аналогичные метательные устройства
8425 11 000 0
8425 19 000 9
8425 31 000 0
Тали подъемные и подъемники, кроме скиповых подъемников; лебедки и кабестаны; домкраты
8426 11 000 0
8426 30 000 9
8426 41 000 1 <2>
8426 49 009 9 <2> 8426 91 100 9
8426 91 900 9
8426 99 000 0
Судовые деррик-краны; краны подъемные, включая кабель-краны; фермы подъемные подвижные, погрузчики портальные и тележки, оснащенные подъемным краном
8427 10
8427 20 110 0
8427 20 190 9
Автопогрузчики с вилочным захватом; прочие тележки, оснащенные подъемным или погрузочно-разгрузочным оборудованием (за исключением автопогрузчиков и электропогрузчиков грузоподъемностью до 10 тонн включительно)
8428 10 200
8428 20 200 0 <2>
8428 20 800 9 <2>
8428 32 000 0 <2>
8428 33 000 0 <2>
8428 39 200 0 <2>
8428 39 900 9 <2>
8428 70 000 9
8428 90 800 0
Машины и устройства для подъема, перемещения, погрузки или разгрузки (например, лифты, эскалаторы, конвейеры, канатные дороги) прочие
8429 11 001 0 <2>
8429 11 009 0 <2>
8429 19 000 9 <2>
8429 20 009 9 <2>
8429 40 <2>
8429 51 910 0 <2>
8429 51 990 0 <2>
8429 52 <2>
8429 59 000 0 <2>
Бульдозеры с неповоротным или поворотным отвалом, грейдеры, планировщики, скреперы, механические лопаты, экскаваторы, одноковшовые погрузчики, трамбовочные машины и дорожные катки, самоходные
8430 10 000 0
8430 39 000 0 <2>
8430 49 000 9 <2>
8430 50 000 3
8430 50 000 9
8430 69 000 8
Машины и механизмы прочие для перемещения, планировки, профилирования, разработки, трамбования, уплотнения, выемки или бурения грунта, полезных ископаемых или руд; оборудование для забивки и извлечения свай; снегоочистители плужные и роторные
8431 20 000 0
8431 31 000 0
8431 39 000 0
8431 41 000 0
8431 49 800 9
Части, предназначенные исключительно или в основном для оборудования товарных позиций 8425 - 8430
8432 39 900 0
8432 90 000 0
Машины сельскохозяйственные, садовые или лесохозяйственные для подготовки и обработки почвы; катки для газонов или спортплощадок
8434 10 000 0
8434 90 000 0
Установки и аппараты доильные, оборудование для обработки и переработки молока
8435 Прессы, дробилки и аналогичное оборудование для виноделия, производства сидра, фруктовых соков или аналогичных напитков
8436 80 900 0
8436 99 000 0
Оборудование для сельского хозяйства, садоводства, лесного хозяйства, птицеводства или пчеловодства, включая оборудование для проращивания семян с механическими или нагревательными устройствами, прочее; инкубаторы для птицеводства и брудеры
8437 90 000 0 Машины для очистки, сортировки или калибровки семян, зерна или сухих бобовых овощей; оборудование для мукомольной промышленности или для обработки злаковых или сухих бобовых овощей, кроме оборудования, используемого на сельскохозяйственных фермах
8438 10 <2>
8438 20 000 0
8438 30 000 0
8438 50 000 0
8438 60 000 0
8438 80
8438 90 000 0
Оборудование для промышленного приготовления или производства пищевых продуктов или напитков, в другом месте данной группы не поименованное или не включенное, кроме оборудования для экстрагирования или приготовления жиров или масел животного происхождения или нелетучих жиров или масел растительного или микробиологического происхождения
8439 10 000
8439 20 000 9
8439 30 000 0
8439 91 000 0
8439 99 000 0
Оборудование для производства массы из волокнистых целлюлозных материалов или для изготовления или отделки бумаги или картона
8440 10 100 0 <2>, <3>
8440 10 300 0 <2>, <3>
Оборудование переплетное, включая машины для сшивания книжных блоков
8441 10 100
8441 10 200 0
8441 10 700 0
8441 20 000 9
8441 30 000 0
8441 40 000 0
8441 80 000 0
8441 90
Оборудование для производства изделий из бумажной массы, бумаги или картона, включая резательные машины всех типов, прочее
8443 11 000 0
8443 12 000 0
8443 13 390 0
8443 14 000 0
8443 15 000 0
8443 16 000 0
8443 17 000 0
8443 19 200 1 <2>, <3>
8443 19 700 0
8443 31 800 0
8443 32 100 2 <2>, <3>
8443 32 100 9
8443 39 900 1 <2>, <3>
8443 91 100 0
8443 91 990 0
8443 99 900 0
Машины печатные, используемые для печати посредством пластин, цилиндров и других печатных форм товарной позиции 8442; прочие принтеры, копировальные аппараты и факсимильные аппараты, объединенные или необъединенные; их части и принадлежности
8444 00 100 0 <2>, <3> Машины для экструдирования, вытягивания, текстурирования или резания химических текстильных материалов
8445 Машины для подготовки текстильных волокон; прядильные, тростильные или крутильные машины и другое оборудование для изготовления текстильной пряжи; кокономотальные или мотальные (включая уточномотальные) текстильные машины и машины, подготавливающие текстильную пряжу для использования ее на машинах товарной позиции 8446 или 8447
8446 10 000 0 <2>, <3>
8446 21 000 0 <2>, <3>
8446 30 000 0
Станки ткацкие
8447 11 000 1 <2>, <3>
8447 12 000 1 <2>, <3>
8447 12 000 9 <2>, <3>
8447 20 <2>, <3>
Машины трикотажные, вязально-прошивные, для получения позументной нити, тюля, кружев, вышивания, плетения тесьмы или сетей и тафтинговые машины
8448 Оборудование вспомогательное для использования с машинами товарной позиции 8444, 8445, 8446 или 8447 (например, ремизоподъемные каретки, жаккардовые машины, автоматические механизмы останова, механизмы смены челноков); части и принадлежности, предназначенные исключительно или в основном для машин данной товарной позиции или товарной позиции 8444, 8445, 8446 или 8447 (например, веретена и рогульки, игольчатая гарнитура, гребни, фильеры, челноки, ремизки и ремизные рамы, трикотажные иглы)
8449 00 000 0 Оборудование для производства или отделки войлока или фетра или нетканых материалов в куске или в крое, включая оборудование для производства фетровых шляп; болваны для изготовления шляп
8450 11 190 0
8450 90 000 0
Машины стиральные, бытовые или для прачечных, включая машины, оснащенные отжимным устройством
8451 Оборудование (кроме машин товарной позиции 8450) для промывки, чистки, отжима, сушки, глаженья, прессования (включая прессы для термофиксации материалов), беления, крашения, аппретирования, отделки, нанесения покрытия или пропитки текстильной пряжи, текстильных материалов или готовых текстильных изделий и машины для нанесения пасты на тканую или другую основу, используемые в производстве напольных покрытий, таких как линолеум; машины для наматывания, разматывания, складывания, резки или прокалывания текстильных материалов
8452 Машины швейные, кроме машин для сшивания книжных блоков товарной позиции 8440; мебель, основания и футляры, предназначенные специально для швейных машин; иглы для швейных машин
8453 10 000 0 <2>, <3>
8453 20 000 0 <2>, <3>
Оборудование для подготовки, дубления или обработки шкур или кож или для изготовления или ремонта обуви или прочих изделий из шкур или кож, кроме швейных машин
8454 20 000 0
8454 30 900 1
8454 30 900 3
8454 30 900 4
8454 90 000 0
Конвертеры, литейные ковши, изложницы и машины литейные, используемые в металлургии или литейном производстве
8455 30
8455 90 000 0
Станы металлопрокатные и валки для них
8463 Станки для обработки металлов или металлокерамики без удаления материала прочие
8464 Станки для обработки камня, керамики, бетона, асбоцемента или аналогичных минеральных материалов или для холодной обработки стекла
8465 10 900 0
8465 20 000 0
8465 91 200 0
8465 93 000 0
8465 94 000 0
8465 95 000 0
8465 96 000 0
8465 99 000 0
Станки (включая машины для сборки с помощью гвоздей, скоб, клея или другими способами) для обработки дерева, пробки, кости, твердой резины, твердых пластмасс или аналогичных твердых материалов
8466 10 200 0
8466 10 310 0
8466 10 380 0
8466 20
8466 92 800 0
8466 93 700 0
8466 94 000 0
Части и принадлежности, предназначенные исключительно или в основном для оборудования товарных позиций 8456 - 8465, включая приспособления для крепления инструмента или деталей, самораскрывающиеся резьбонарезные головки, делительные головки и другие специальные приспособления к оборудованию; приспособления для крепления рабочих инструментов для всех типов ручных инструментов
8468 10 000 0 Оборудование и аппараты для низкотемпературной пайки, высокотемпературной пайки или сварки, пригодные или не пригодные для резки, кроме машин и аппаратов товарной позиции 8515; машины и аппараты для поверхностной термообработки, работающие на газе
8473 29 900 0
8473 30 200 8
Части и принадлежности (кроме футляров, чехлов для транспортировки и аналогичных изделий), предназначенные исключительно или в основном для машин товарных позиций 8470 - 8472
8474 10 000 <2>
8474 20 000 2 <2>
8474 20 000 5 <2>
8474 20 000 8 <2>
8474 32 000 0 <2>
8474 80 908 0
Оборудование для сортировки, грохочения, сепарации, промывки, измельчения, размалывания, смешивания или перемешивания грунта, камня, руд или других минеральных ископаемых в твердом (в том числе порошкообразном или пастообразном) состоянии; оборудование для агломерации, формовки или отливки твердого минерального топлива, керамических составов, незатвердевшего цемента, гипсовых материалов или других минеральных продуктов в порошкообразном или пастообразном состоянии; машины формовочные для изготовления литейных форм из песка
8475 29 000 0 Машины для сборки электрических или электронных ламп, трубок или электронно-лучевых трубок или газоразрядных ламп в стеклянных колбах; машины для изготовления или горячей обработки стекла или изделий из стекла
8477 10 000
8477 20 000 0
8477 30 000 0
8477 40 000 0
8477 59 100 0
8477 80 930 0
8477 80 950 0
8477 80 980 0
8477 90 900 0
Оборудование для обработки резины или пластмасс или для производства продукции из этих материалов, в другом месте данной группы не поименованное или не включенное
8478 Оборудование для подготовки или приготовления табака, в другом месте данной группы не поименованное или не включенное
8479 10 000 0 <2>
8479 30 100 9
8479 30 900 0
8479 50 000 0
8479 81 000 0
8479 82 000 0
8479 83 000 0
8479 89 300 0
8479 89 970
8479 90 700 0
Машины и механические устройства, имеющие индивидуальные функции, в другом месте данной группы не поименованные или не включенные
8480 60 000 0
8480 71 000 0
Опоки для металлолитейного производства; литейные поддоны; модели литейные; формы для литья металлов (кроме изложниц), карбидов металлов, стекла, минеральных материалов, резины или пластмасс
8481 10 190 2
8481 10 990 1
8481 20
8481 30 990 1
8481 40 900 1
8481 80 610 0
8481 80 819 1
8481 80 850 7
8481 80 870 0
8481 80 990 2
Краны, клапаны, вентили и аналогичная арматура для трубопроводов, котлов, резервуаров, цистерн, баков или аналогичных емкостей, включая редукционные и терморегулируемые клапаны
8483 40 510 9 Валы трансмиссионные (включая кулачковые и коленчатые) и кривошипы; корпуса подшипников и подшипники скольжения для валов; шестерни и зубчатые передачи; шариковые или роликовые винтовые передачи; коробки передач и другие вариаторы скорости, включая гидротрансформаторы; маховики и шкивы, включая блоки шкивов; муфты и устройства для соединения валов (включая универсальные шарниры)
8484 10 000 9
8484 20 000 0
8484 90 000 0
Прокладки и аналогичные соединительные элементы из листового металла в сочетании с другим материалом или состоящие из двух или более слоев металла; наборы или комплекты прокладок и аналогичных соединительных элементов, различных по составу, упакованные в пакеты, конверты или аналогичную упаковку; механические уплотнения
8485 20 000 0
8485 30 000 0
8485 80 000 0
8485 90 000 0
Машины для аддитивного производства
8486 10 000 9
8486 20 900 3 <2>, <3>
8486 20 900 9
8486 40 000 2
8486 40 000 9
8486 90 900 3
8486 90 900 8
Машины и аппаратура, используемые исключительно или в основном для производства полупроводниковых булей или пластин, полупроводниковых приборов, электронных интегральных схем или плоских дисплейных панелей; машины и аппаратура, поименованные в примечании 11 (В) к данной группе; части и принадлежности
8487 90 900 0 Части оборудования, не имеющие электрических соединений, изоляторов, контактов, катушек или других электрических деталей, в другом месте данной группы не поименованные или не включенные
8501 10 100 1
8501 20 000 1
8501 32 000 1
8501 33 000 3
8501 40 200 1
8501 40 200 3
8501 40 800 1
8501 52 900 1
Двигатели и генераторы электрические (кроме электрогенераторных установок)
8504 31 210 1
8504 31 290 1
8504 31 800 2
8504 32 000 1
8504 33 000 1
8504 40 300 3
8504 40 300 8
8504 40 830 0
8504 50
Трансформаторы электрические, статические электрические преобразователи (например, выпрямители), катушки индуктивности и дроссели
8505 11 000 0
8505 19
8505 20 000 0
8505 90 200
Электромагниты; постоянные магниты и изделия, предназначенные для превращения в постоянные магниты после намагничивания; электромагнитные или с постоянными магнитами зажимные патроны, захваты и аналогичные фиксирующие устройства; электромагнитные сцепления, муфты и тормоза; электромагнитные подъемные головки
8506 50 100 0 Первичные элементы и первичные батареи
8507 10 200 1
8507 10 200 3
8507 10 800 1
8507 20 200 0
8507 30 200 1
8507 60 000 0
Аккумуляторы электрические, включая сепараторы для них, прямоугольной (в том числе квадратной) или иной формы
8511 10 000 2
8511 10 000 9
8511 30 000 3
8511 30 000 8
8511 50 000 8
8511 90 000 9
Электрооборудование для зажигания или пуска двигателей внутреннего сгорания с искровым зажиганием или с воспламенением от сжатия (например, магнето, катушки зажигания, свечи зажигания, свечи накаливания, стартеры); генераторы (например, постоянного или переменного тока) и прерыватели типа используемых вместе с такими двигателями
8512 20 000 9
8512 30 900 9
8512 40 000 9
8512 90 200 0
8512 90 900 8
Оборудование электроосветительное или сигнализационное (кроме изделий товарной позиции 8539), стеклоочистители, антиобледенители и противозапотеватели, используемые на велосипедах или моторных транспортных средствах
8514 11 000 0
8514 19 900 0 <2>
8514 20 100 0
8514 31 000 0
8514 32 000 0
8514 39 000 0
Печи и камеры промышленные или лабораторные электрические (включая действующие на основе явления индукции или диэлектрических потерь); промышленное или лабораторное оборудование для термической обработки материалов с помощью явления индукции или диэлектрических потерь
8515 11 000 0
8515 19 000 0
8515 21 000 0
8515 80
8515 90 000 0
Машины и аппараты для электрической (в том числе с электрическим нагревом газа), лазерной или другой световой или фотонной, ультразвуковой, электронно-лучевой, магнитно-импульсной или плазменно-дуговой низкотемпературной пайки, высокотемпературной пайки или сварки независимо от того, могут ли они выполнять операции резания или нет;
машины и аппараты электрические для горячего напыления металлов или металлокерамики
8516 10 800 0
8516 80 200 1
8516 80 200 9
8516 80 800 0
Электрические водонагреватели проточные или накопительные (емкостные) и электронагреватели погружные; электрооборудование обогрева пространства и обогрева грунта, электротермические аппараты для ухода за волосами (например, сушилки для волос, бигуди, щипцы для горячей завивки) и сушилки для рук; электроутюги; прочие бытовые электронагревательные приборы; электрические нагревательные сопротивления, кроме указанных в товарной позиции 8545
8517 18 000 0
8517 61 000 2
8517 61 000 8
8517 62 000
8517 69 900 0
8517 79 000 1
Аппараты телефонные, включая смартфоны и прочие аппараты телефонные для сотовых сетей связи или других беспроводных сетей связи; прочая аппаратура для передачи или приема голоса, изображений или других данных, включая аппаратуру для коммуникации в сети проводной или беспроводной связи (например, в локальной или глобальной сети связи), кроме передающей или приемной аппаратуры товарной позиции 8443, 8525, 8527 или 8528
8518 10 300 2
8518 22 000 1
8518 29 300 2
8518 29 960 0
8518 40 800 2
Микрофоны и подставки для них; громкоговорители, смонтированные или не смонтированные в корпусах; наушники и телефоны головные, объединенные или не объединенные с микрофоном, и комплекты, состоящие из микрофона и одного или более громкоговорителей; электрические усилители звуковой частоты; электрические звукоусилительные комплекты
8519 81
8519 89 900 1
Аппаратура звукозаписывающая или звуковоспроизводящая
8521 10 950 1 Аппаратура видеозаписывающая или видеовоспроизводящая, совмещенная или не совмещенная с видеотюнером
8523 49 450 0
8523 51 100 0
8523 51 930 0
8523 51 990 0
8523 52 900 1
8523 80 990 0
Диски, ленты, твердотельные энергонезависимые устройства хранения данных, "интеллектуальные карточки" и другие носители для записи звука или других явлений, записанные или незаписанные, включая матрицы и мастер-диски для изготовления дисков, кроме изделий группы 37
8524 11 001 3
8524 11 001 9
8524 11 002 3
8524 11 002 5
8524 11 002 9
8524 11 005 5
8524 11 006 2
8524 11 009 0
8524 12 001 9
8524 12 002 3
8524 12 002 5
8524 12 002 9
8524 12 005 5
8524 12 006 2
8524 12 009 0
8524 19 001 3
8524 19 001 9
8524 19 002 3
8524 19 002 5
8524 19 002 9
8524 19 005 5
8524 19 006 2
8524 19 009 0
8524 91 001 3
8524 91 001 9
8524 91 002 3
8524 91 002 5
8524 91 002 7
8524 91 002 9
8524 91 003 1
8524 91 005 5
8524 91 006 2
8524 91 009 0
8524 92 001 3
8524 92 001 9
8524 92 002 3
8524 92 002 5
8524 92 002 9
8524 92 005 5
8524 92 006 2
8524 92 009 0
8524 99 001 3
8524 99 001 9
8524 99 002 3
8524 99 002 5
8524 99 002 9
8524 99 005 5
8524 99 006 2
8524 99 009 0
Модули с плоской дисплейной панелью, в том числе с сенсорным экраном
8525 60 000 1 Аппаратура передающая для радиовещания или телевидения, включающая или не включающая в свой состав приемную, звукозаписывающую или звуковоспроизводящую аппаратуру; телевизионные камеры, цифровые камеры и записывающие видеокамеры
8526 10 000 1
8526 91 200 0
8526 92 000 8
Аппаратура радиолокационная, радионавигационная и радиоаппаратура дистанционного управления
8527 21 200 9 Аппаратура приемная для радиовещания, совмещенная или не совмещенная в одном корпусе со звукозаписывающей или звуковоспроизводящей аппаратурой или часами
8528 42 300 1
8528 42 900 1
8528 49 100 2
8528 49 800 2
8528 52 100 0
8528 52 900 1
8528 59 100 2
8528 59 900 1
8528 62 900 1
8528 71 990 0
Мониторы и проекторы, не включающие в свой состав приемную телевизионную аппаратуру; аппаратура приемная для телевизионной связи, включающая или не включающая в свой состав широковещательный радиоприемник или аппаратуру, записывающую или воспроизводящую звук или изображение
8529 10 690
8529 90 101 3
8529 90 101 9
8529 90 102 3
8529 90 102 5
8529 90 102 9
8529 90 105 5
8529 90 106 2
8529 90 109 0
8529 90 650
8529 90 920 0
Части, предназначенные исключительно или в основном для аппаратуры товарных позиций 8524 - 8528
8531 20 950 0
8531 80 950 0
Электрооборудование звуковое или визуальное сигнализационное (например, звонки, сирены, индикаторные панели, устройства сигнализационные охранные или устройства для подачи пожарного сигнала), кроме оборудования товарной позиции 8512 или 8530
8532 Конденсаторы электрические постоянные, переменные или подстроечные
8533 10 000 0
8533 21 000 0
8533 40 900 0
Резисторы электрические (включая реостаты и потенциометры), кроме нагревательных элементов
8534 00 110 0 Схемы печатные
8536 20 100 4
8536 20 900 4
8536 50 190 4
8536 69 900 2
Аппаратура электрическая для коммутации или защиты электрических цепей или для подсоединений к электрическим цепям или в электрических цепях (например, выключатели, переключатели, прерыватели, реле, плавкие предохранители, гасители скачков напряжения, штепсельные вилки и розетки, патроны для электроламп и прочие соединители, соединительные коробки) на напряжение не более 1000 В; соединители для волокон оптических, волоконно-оптических жгутов или кабелей
8539 10 000 1
8539 21 920 0
8539 49 000 0
8539 51 101 2
8539 51 109 2
8539 51 409 2
Лампы накаливания или газоразрядные, электрические, включая лампы герметичные направленного света, а также ультрафиолетовые или инфракрасные лампы; дуговые лампы; источники света светодиодные (LED)
8540 71 000 9 Лампы и трубки электронные с термокатодом, холодным катодом или фотокатодом (например, вакуумные или паро- или газонаполненные лампы и трубки, ртутные дуговые выпрямительные лампы и трубки и электронно-лучевые трубки, телевизионные трубки передающие)
8541 10 000
8541 21 000 0
8541 29 000 0
8541 41 000 2
Приборы полупроводниковые (например, диоды, транзисторы, преобразователи на основе полупроводников); фоточувствительные полупроводниковые приборы, включая фотогальванические элементы, собранные или не собранные в модули, вмонтированные или не вмонтированные в панели; светодиоды (LED), собранные или не собранные с другими светодиодами (LED); пьезоэлектрические кристаллы в сборе
8542 31
8542 32 100 0
8542 32 390 0
8542 32 450 0
8542 32 610 0
8542 32 690 0
8542 32 750 0
8542 32 900 0
8542 33 900 0
8542 39 90
8542 90 000 0
Схемы электронные интегральные
8543 30 000 0 Машины электрические и аппаратура, имеющие индивидуальные функции, в другом месте данной группы не поименованные или не включенные
8544 30 000 2
8544 30 000 3
8544 42 900 3
8544 49 910 2
8544 49 930 2
Провода изолированные (включая эмалированные или анодированные), кабели (включая коаксиальные кабели) и другие изолированные электрические проводники с соединительными приспособлениями или без них; кабели волоконно-оптические, составленные из волокон с индивидуальными оболочками, независимо от того, находятся они или нет в сборе с электропроводниками или соединительными приспособлениями
8545 11 002 0
8545 11 008 9
8545 19 000 0
8545 90
Электроды угольные, угольные щетки, угли для ламп или батареек и изделия из графита или других видов углерода с металлом или без металла, прочие, применяемые в электротехнике
8547 20 000 9 Арматура изолирующая для электрических машин, устройств или оборудования, изготовленная полностью из изоляционных материалов, не считая некоторых металлических компонентов (например, резьбовых патронов), вмонтированных при формовке исключительно с целью сборки, кроме изоляторов товарной позиции 8546; трубки для электропроводки и соединительные детали для них, из недрагоценных металлов, облицованные изоляционным материалом
8548 00 900 0 Части электрические оборудования или аппаратуры, в другом месте данной группы не поименованные или не включенные
8607 21 100 9
8607 21 900 9
8607 30 000 0
Части железнодорожных локомотивов или моторных вагонов трамвая или подвижного состава
8609 00 Контейнеры (включая емкости для перевозки жидкостей или газов), специально предназначенные и оборудованные для перевозки одним или несколькими видами транспорта
8701 30 000 9
8701 92 100 0
Тракторы (кроме тракторов товарной позиции 8709)
8704 10 102 1 <2>
8704 22 920 9 <2>
8704 23 920 9 <2>
Моторные транспортные средства для перевозки грузов
8708 10 900 9
8708 21 900 9
8708 29 900 9
8708 30 910 9
8708 30 990 9
8708 40 500 9
8708 40 990 9
8708 50 350 9
8708 50 550 9
8708 50 990 9
8708 70 500 9
8708 70 910 9
8708 80 350 9
8708 80 550 9
8708 80 990 9
8708 91 350 9
8708 92 350 9
8708 92 990 9
8708 93 900 9
8708 94 350 9
8708 94 990 9
8708 95 990 9
8708 99 930 9
8708 99 970 9
Части и принадлежности моторных транспортных средств товарных позиций 8701 - 8705
8709 11 900 0
8709 19 900 0
Транспортные средства промышленного назначения, самоходные, не оборудованные подъемными или погрузочными устройствами, используемые на заводах, складах, в портах или аэропортах для перевозки грузов на короткие расстояния; тракторы, используемые на платформах железнодорожных станций; части вышеназванных транспортных средств
8714 20 000 0 Части и принадлежности к транспортным средствам товарных позиций 8711 - 8713
8801 00 Аэростаты и дирижабли; планеры, дельтапланы и другие безмоторные летательные аппараты
8802 Летательные аппараты прочие (например, вертолеты, самолеты), кроме беспилотных летательных аппаратов товарной позиции 8806; космические аппараты (включая спутники) и суборбитальные и космические ракеты-носители
8805 10
8805 29 000
Стартовое оборудование для летательных аппаратов; палубные тормозные или аналогичные устройства; наземные тренажеры для летного состава; их части
8806 Беспилотные летательные аппараты
8807 10 000 0
8807 20 000 0
8807 30 000 0
8807 90 000 9
Части летательных аппаратов товарной позиции 8801, 8802 или 8806
8901 <2> Суда круизные, экскурсионные, паромы, грузовые суда, баржи и аналогичные плавучие средства для перевозки пассажиров или грузов
8902 00 100 0 <2> Суда рыболовные; плавучие базы и прочие суда для переработки и консервирования рыбных продуктов
8903 32 <2>
8903 33 <2>
Яхты и прочие плавучие средства для отдыха или спорта; гребные лодки и каноэ
8905 10 900 0 <2> Плавучие маяки, пожарные суда, земснаряды, плавучие краны и прочие плавучие средства, для которых судоходные качества являются второстепенными по сравнению с их основной функцией; доки плавучие; плавучие или работающие под водой буровые или эксплуатационные платформы
9001 50 490 0
9001 90 000 1
Волокна оптические и жгуты волоконно-оптические; кабели волоконно-оптические, кроме указанных в товарной позиции 8544; листы и пластины из поляризационного материала; линзы (включая контактные), призмы, зеркала и прочие оптические элементы, из любого материала, неоправленные, кроме таких элементов из оптически не обработанного стекла
9002 11 000 0
9002 19 000 0
9002 20 000 0
9002 90 000
Линзы, призмы, зеркала и прочие оптические элементы, из любого материала, в сборе, являющиеся частями инструментов и приборов или приспособлениями для них, кроме таких элементов из оптически не обработанного стекла
9011 10 900 0
9011 80 000 0
9011 90 900 0
Микроскопы оптические сложные, включая микроскопы для микрофотосъемки, микрокиносъемки или микропроецирования
9012 10 900 0 Микроскопы, кроме оптических микроскопов; аппараты дифракционные
9013 20 000 0
9013 80 000 0
9013 90 000 0
Лазеры, кроме лазерных диодов; приборы и инструменты оптические прочие, в другом месте данной группы не поименованные или не включенные
9014 20 200 1
9014 20 800 1
9014 80 000 0
Компасы для определения направления; навигационные приборы и инструменты прочие
9015 10 100 0
9015 20 100 0
9015 80 110 0
9015 80 190 0
9015 90 000 0
Приборы и инструменты геодезические или топографические (включая фотограмметрические), гидрографические, океанографические, гидрологические, метеорологические или геофизические, кроме компасов; дальномеры
9016 00 100 0 Весы чувствительностью 0,05 г или выше, с разновесами или без них
9017 30 000 0
9017 80 100 0
Инструменты для черчения, разметки или математических расчетов (например, чертежные машины, пантографы, транспортиры, чертежные наборы, логарифмические линейки, дисковые калькуляторы); инструменты ручные для измерения линейных размеров (например, измерительные стержни и рулетки, микрометры, кронциркули), в другом месте данной группы не поименованные или не включенные
9018 12 000 0
9018 13 000 0
9018 31 100 9
9018 31 900 9
9018 32 100 0
9018 39 000 0
9018 41 000 0
9018 49
9018 50
9018 90 200 0
9018 90 300 0
9018 90 500 9
9018 90 600 0
9018 90 840 9
Приборы и устройства, применяемые в медицине, хирургии, стоматологии или ветеринарии, включая сцинтиграфическую аппаратуру, аппаратура электромедицинская прочая и приборы для исследования зрения
9019 10 900 9
9019 20 000 0
Устройства для механотерапии; аппараты массажные; аппаратура для психологических тестов для определения способностей; аппаратура для озоновой, кислородной и аэрозольной терапии, искусственного дыхания или прочая терапевтическая дыхательная аппаратура
9021 10 100 0
9021 10 800 9
9021 29 000
9021 31 000 0
9021 39
9021 40 000 0
9021 50 000 0
9021 90
Приспособления ортопедические, включая костыли, хирургические ремни и бандажи; шины и прочие приспособления для лечения переломов; части тела искусственные;
аппараты слуховые и прочие приспособления, которые носятся на себе, с собой или имплантируются в тело для компенсации дефекта органа или его неработоспособности
9022 Аппаратура, основанная на использовании рентгеновского, альфа-, бета-, гамма- или другого ионизирующего излучения, предназначенная или не предназначенная для медицинского, хирургического, стоматологического или ветеринарного использования, включая аппаратуру рентгенографическую или радиотерапевтическую, рентгеновские трубки и прочие генераторы рентгеновского излучения, генераторы высокого напряжения, щиты и пульты управления, экраны, столы, кресла и аналогичные изделия для обследования или лечения
9023 00 100 0 Приборы, аппаратура и модели, предназначенные для демонстрационных целей (например, при обучении или экспонировании), не пригодные для другого использования
9024 80 190 0
9024 90 000 0
Машины и устройства для испытания на твердость, прочность, сжатие, упругость или другие механические свойства материалов (например, металлов, древесины, текстильных материалов, бумаги, пластмасс)
9025 19 200 0
9025 19 800 9
9025 80 400 0
9025 80 800 0
9025 90 000 3
9025 90 000 8
Ареометры и аналогичные приборы, действующие при погружении в жидкость, термометры, пирометры, барометры, гигрометры и психрометры, с записывающим устройством или без записывающего устройства, и любые комбинации этих приборов
9026 10
9026 20
9026 80 200 0
9026 90 000 0
Приборы и аппаратура для измерения или контроля расхода, уровня, давления или других переменных характеристик жидкостей или газов (например, расходомеры, указатели уровня, манометры, тепломеры), кроме приборов и аппаратуры товарной позиции 9014, 9015, 9028 или 9032
9027 10
9027 20 000 0
9027 30 000 0
9027 50 000 0
9027 81 000 0
9027 89 000 0
9027 90 500 0
9027 90 800 0
Приборы и аппаратура для физического или химического анализа (например, поляриметры, рефрактометры, спектрометры, газо- или дымоанализаторы); приборы и аппаратура для измерения или контроля вязкости, пористости, расширения, поверхностного натяжения или аналогичные; приборы и аппаратура для измерения или контроля количества тепла, звука или света (включая экспонометры); микротомы
9029 10 000 9
9029 20 310 9
9029 20 380
9029 90 000 2
9029 90 000 9
Счетчики числа оборотов, счетчики количества продукции, таксометры, счетчики пройденного расстояния в милях, шагомеры и аналогичные приборы; спидометры и тахометры, кроме приборов и инструментов товарной позиции 9014 или 9015; стробоскопы
9030 20 300 1
9030 20 910 0
9030 31 000 0
9030 32 000 1
9030 33 100 0
9030 39 000
9030 40 000 0
9030 84 000 1
9030 89 900 1
9030 90
Осциллоскопы, анализаторы спектра, прочие приборы и аппаратура для измерения или контроля электрических величин, кроме измерительных приборов товарной позиции 9028; приборы и аппаратура для обнаружения или измерения альфа-, бета-, гамма-, рентгеновского, космического или прочих ионизирующих излучений
9031 20 000 0
9031 41 000 0
9031 49 900 0
9031 80 340 0
9031 80 380 0
9031 80 910 0
9031 80 980 0
9031 90 850 0
Измерительные или контрольные приборы, устройства и машины, в другом месте данной группы не поименованные или не включенные; проекторы профильные
9032 10 200 0
9032 10 890 0
9032 89 000 0
Приборы и устройства для автоматического регулирования или управления
9104 00 000 2 Часы, устанавливаемые на приборных досках, и аналогичные часы для наземных транспортных средств, летательных аппаратов, космических аппаратов или судов
9109 90 000 1 Механизмы часовые для часов, не предназначенных для ношения на себе или с собой, укомплектованные и собранные
9112 20 000 0 Корпуса для часов, не предназначенных для ношения на себе или с собой, и аналогичные корпуса для прочих изделий данной группы, и их части
9209 Части (например, механизмы для музыкальных шкатулок) и принадлежности музыкальных инструментов (например, карты, диски и валики для механических инструментов); метрономы, камертоны и трубы с фиксированной высотой звука всех видов
9401 10 000 0 Мебель для сидения (кроме указанной в товарной позиции 9402), трансформируемая или не трансформируемая в кровати, и ее части
9403 20 200 1
9403 20 800 1
9403 70 000 1
9403 99 000 1
9403 99 000 9
Мебель прочая и ее части
9405 11 001 2
9405 11 003 2
9405 19 001 4
9405 19 003 4
9405 41 003 4
9405 42 003 4
9405 49 003 7
9405 61 000 1
9405 61 000 4
9405 69 000 1
9405 69 000 3
9405 92 000 2
9405 99 000 2
Светильники и осветительное оборудование, включая прожекторы, лампы узконаправленного света, фары и их части, в другом месте не поименованные или не включенные; световые вывески, световые таблички с именем или названием, или адресом и аналогичные изделия, имеющие встроенный источник света, и их части, в другом месте не поименованные или не включенные
9506 91 100 0 Инвентарь и оборудование для занятий общей физкультурой, гимнастикой, легкой атлетикой, прочими видами спорта (включая настольный теннис) или для игр на открытом воздухе, в другом месте данной группы не поименованные или не включенные; бассейны плавательные и бассейны для детей
9602 00 000 Обработанные материалы растительного или минерального происхождения, пригодные для резьбы, и изделия из них; изделия формованные или резные из воска, стеарина, натуральных смол или натурального каучука или модельных паст, и прочие формованные или резные изделия, в другом месте не поименованные или не включенные; желатин обработанный, неотвержденный (кроме желатина товарной позиции 3503) и изделия из неотвержденного желатина
9603 21 000 0
9603 90 990 0
Метлы, щетки (включая щетки, являющиеся частями механизмов, приборов или транспортных средств), щетки ручные механические без двигателей для уборки полов, швабры и метелки из перьев для смахивания пыли; узлы и пучки, подготовленные для изготовления метел или щеточных изделий; подушечки и валики малярные для краски; резиновые швабры (кроме резиновых валиков для удаления влаги)
9606 30 000 0 Пуговицы, кнопки, застежки-защелки, формы для пуговиц и прочие части этих изделий; заготовки для пуговиц
9612 10 100 0
9612 10 800 0
Ленты для пишущих машинок или аналогичные ленты, пропитанные чернилами или обработанные иным способом, предназначенные для получения отпечатков, в катушках, кассетах или без них; подушки штемпельные, пропитанные или не пропитанные чернилами, в коробках или без коробок

<1> Для целей применения настоящего перечня следует руководствоваться исключительно кодом ТН ВЭД ЕАЭС, наименование продукции приведено для удобства пользования.

<2> Субсидия предоставляется в случае согласования Министерством промышленности и торговли Российской Федерации запроса кредитной организации о возможности предоставления финансирования по кредитному соглашению с предоставлением льготной процентной ставки.

<3> Субсидия предоставляется в отношении кредитного соглашения, предусматривающего предоставление заемщику финансирования на цели финансирования договора финансовой аренды (договора лизинга) продукции, в том числе транспортировки продукции, являющейся предметом финансовой аренды (лизинга), оплаты таможенных платежей в отношении продукции, являющейся предметом финансовой аренды (лизинга), оплаты иных услуг (работ), указанных в абзаце седьмом пункта 2 Правил предоставления субсидий из федерального бюджета кредитным организациям на возмещение недополученных доходов по кредитам, выданным на приобретение приоритетной для импорта продукции, утвержденных постановлением Правительства Российской Федерации от 18 мая 2022 г. N 895 "Об утверждении Правил предоставления субсидий из федерального бюджета кредитным организациям на возмещение недополученных доходов по кредитам, выданным на приобретение приоритетной для импорта продукции".