Указание ЦБ РФ от 02.08.2021 N 5873-У

"Об установлении обязательного норматива достаточности капитала для профессиональных участников рынка ценных бумаг, осуществляющих дилерскую, брокерскую деятельность, деятельность по управлению ценными бумагами и деятельность форекс-дилеров"
Редакция от 11.08.2023 — Не действует Перейти в действующую
Показать изменения

Зарегистрировано в Минюсте России 2 сентября 2021 г. N 64857


ЦЕНТРАЛЬНЫЙ БАНК РОССИЙСКОЙ ФЕДЕРАЦИИ

УКАЗАНИЕ
от 2 августа 2021 г. N 5873-У

ОБ УСТАНОВЛЕНИИ ОБЯЗАТЕЛЬНОГО НОРМАТИВА ДОСТАТОЧНОСТИ КАПИТАЛА ДЛЯ ПРОФЕССИОНАЛЬНЫХ УЧАСТНИКОВ РЫНКА ЦЕННЫХ БУМАГ, ОСУЩЕСТВЛЯЮЩИХ ДИЛЕРСКУЮ, БРОКЕРСКУЮ ДЕЯТЕЛЬНОСТЬ, ДЕЯТЕЛЬНОСТЬ ПО УПРАВЛЕНИЮ ЦЕННЫМИ БУМАГАМИ И ДЕЯТЕЛЬНОСТЬ ФОРЕКС-ДИЛЕРОВ

(в ред. Указаний ЦБ РФ от 22.11.2021 N 5998-У, от 11.08.2023 N 6502-У)

Настоящее Указание на основании статьи 76.4 Федерального закона от 10 июля 2002 года N 86-ФЗ "О Центральном банке Российской Федерации (Банке России)" (Собрание законодательства Российской Федерации, 2002, N 28, ст. 2790; 2013, N 30, ст. 4084), пункта 3 статьи 42 Федерального закона от 22 апреля 1996 года N 39-ФЗ "О рынке ценных бумаг" (Собрание законодательства Российской Федерации, 1996, N 17, ст. 1918; 2021, N 27, ст. 5171) и в соответствии с решением Совета директоров Банка России (протокол заседания Совета директоров Банка России от 23 июля 2021 года N ПСД-16) устанавливает обязательный норматив достаточности капитала для профессиональных участников рынка ценных бумаг, осуществляющих дилерскую, брокерскую деятельность, деятельность по управлению ценными бумагами и деятельность форекс-дилеров.

Глава 1. Общие положения

1.1. Обязательный норматив достаточности капитала (далее - НДК) для профессиональных участников рынка ценных бумаг, осуществляющих брокерскую, дилерскую деятельность, деятельность по управлению ценными бумагами и деятельность форекс-дилера (далее - профессиональные участники), устанавливается в следующих минимально допустимых числовых значениях (далее - минимальное значение НДК):

4 процента с 1 октября 2021 года;

6 процентов с 1 апреля 2022 года;

8 процентов с 1 октября 2022 года.

1.2. Расчет НДК должен осуществляться профессиональным участником по формуле:

,

где:

К - величина капитала, рассчитанная профессиональным участником в соответствии с пунктом 2.1 настоящего Указания;

КР - величина кредитного риска, рассчитанная профессиональным участником в соответствии с пунктом 3.1 настоящего Указания;

РР - величина рыночного риска, рассчитанная профессиональным участником в соответствии с пунктом 4.1 настоящего Указания.

1.3. Профессиональный участник должен рассчитывать НДК ежемесячно на последнюю календарную дату месяца, а в случае направления требования Банка России в соответствии с пунктом 7 статьи 44 Федерального закона от 22 апреля 1996 года N 39-ФЗ "О рынке ценных бумаг" (Собрание законодательства Российской Федерации, 1996, N 17, ст. 1918; 2019, N 52, ст. 7772) (далее - Федеральный закон "О рынке ценных бумаг") - на дату, предусмотренную в указанном в настоящем пункте требовании (далее - дата расчета).

1.4 Профессиональный участник должен рассчитывать НДК, включая величину показателей, принимаемых к расчету НДК, по состоянию на дату расчета, обеспечив хранение информации о них, а также о значении рассчитанного НДК в течение пяти лет с даты расчета.

1.5. Профессиональный участник должен включать в расчет НДК в рублевом эквиваленте, рассчитанном по официальному курсу иностранной валюты по отношению к рублю, установленному Банком России в соответствии с пунктом 15 статьи 4 Федерального закона от 10 июля 2002 года N 86-ФЗ "О Центральном банке Российской Федерации (Банке России)" (Собрание законодательства Российской Федерации, 2002, N 28, ст. 2790; 2021, N 9, ст. 1467) (далее соответственно - Федеральный закон "О Центральном банке Российской Федерации (Банке России)", официальный курс иностранной валюты по отношению к рублю), на дату расчета НДК, номинированные в иностранной валюте:

балансовые активы и пассивы профессионального участника;

внебалансовые требования и обязательства профессионального участника;

величину активов клиента профессионального участника, отнесенного профессиональным участником в соответствии с договором о брокерском обслуживании к категории клиентов с особым уровнем риска, по сделкам, совершенным профессиональным участником в качестве брокера (комиссионера) от своего имени и за счет указанного клиента, рассчитанную в соответствии с пунктом 3.15 настоящего Указания (далее - позиция клиента с особым уровнем риска);

Абзац четвертый пункта 1.5 действует по 30.09.2025 (пункт 8.3).

требования профессионального участника к клиенту, отнесенному профессиональным участником в соответствии с договором о брокерском обслуживании к категории клиентов с особым уровнем риска, по сделкам, совершенным профессиональным участником в качестве брокера (комиссионера) от своего имени и за счет клиента, определяемые в соответствии с пунктом 3.19 настоящего Указания (далее соответственно - клиент с особым уровнем риска, требования профессионального участника к клиенту с особым уровнем риска).

В случае если официальный курс иностранной валюты по отношению к рублю не устанавливается Банком России, профессиональный участник должен определять курс иностранной валюты с использованием официального курса доллара США по отношению к рублю, действующего на дату определения курса, и курса данной иностранной валюты к доллару США на дату, предшествующую дате определения курса.

1.6. Профессиональный участник должен обеспечить соблюдение минимального значения НДК на постоянной основе.

1.7. В случае если профессиональным участником было выявлено снижение НДК ниже минимального значения НДК, профессиональный участник должен устранить указанное в настоящем абзаце несоответствие в следующие сроки:

в течение одного месяца с даты повышения (понижения) клиринговой организацией ставки риска уменьшения (увеличения) цены ценной бумаги, драгоценных металлов или курса иностранной валюты, рассчитанной клиринговой организацией в соответствии с пунктом 17 приложения к Указанию Банка России от 26 ноября 2020 года N 5636-У "О требованиях к осуществлению брокерской деятельности при совершении брокером отдельных сделок за счет клиента", зарегистрированному Министерством юстиции Российской Федерации 29 декабря 2020 года N 61923 (далее - Указание Банка России N 5636-У), - в случае если снижение НДК ниже минимального значения НДК возникло в результате повышения (понижения) клиринговой организацией указанной в настоящем абзаце ставки риска;

в течение двух месяцев с даты опубликования на официальном сайте Банка России в информационно-телекоммуникационной сети "Интернет" информации об уровнях кредитных рейтингов, решение об установлении которых принято Советом директоров Банка России в соответствии с пунктом 17.5 части первой статьи 18 Федерального закона "О Центральном банке Российской Федерации (Банке России)" (Собрание законодательства Российской Федерации, 2002, N 28, ст. 2790; 2021, N 24, ст. 4210) (далее - уровень, установленный Советом директоров Банка России), - в случае если снижение НДК ниже минимального значения НДК возникло в результате несоответствия активов, принимаемых в расчет величины кредитного риска профессионального участника, требованиям главы 3 настоящего Указания в связи с принятием Советом директоров Банка России указанного в настоящем абзаце решения.

1.8. Требования настоящего Указания не распространяются на следующие организации:

на профессиональных участников, являющихся кредитными организациями, государственной корпорацией развития "ВЭБ.РФ" (далее - ВЭБ.РФ), единым институтом развития в жилищной сфере, деятельность которого регулируется Федеральным законом от 13 июля 2015 года N 225-ФЗ "О содействии развитию и повышению эффективности управления в жилищной сфере и о внесении изменений в отдельные законодательные акты Российской Федерации" (Собрание законодательства Российской Федерации, 2015, N 29, ст. 4351; 2021, N 27, ст. 5101);

на профессиональных участников, имеющих лицензию управляющей компании на осуществление деятельности по управлению инвестиционными фондами, паевыми инвестиционными фондами и негосударственными пенсионными фондами.

Глава 2. Расчет величины капитала профессионального участника, осуществляющего дилерскую, брокерскую деятельность, деятельность по управлению ценными бумагами и деятельность форекс-дилеров

2.1. Профессиональный участник должен рассчитывать величину капитала как сумму величин основного и дополнительного капитала, рассчитываемых в соответствии с пунктами 2.2 и 2.3 настоящего Указания соответственно, за вычетом показателей, указанных в пункте 2.7 настоящего Указания.

2.2. Профессиональный участник должен рассчитывать величину основного капитала профессионального участника как сумму величин показателей, предусмотренных подпунктами 2.2.1 - 2.2.7 настоящего пункта, уменьшенную на величину показателей, предусмотренных пунктом 2.4 настоящего Указания, с соблюдением требования, установленного пунктом 2.6 настоящего Указания.

В расчет величины основного капитала профессиональный участник должен включать величины следующих показателей.

2.2.1. Уставный капитал профессионального участника, составленный из номинальной стоимости обыкновенных акций, приобретенных акционерами, в случае если профессиональный участник создан в организационно-правовой форме акционерного общества.

Уставный капитал профессионального участника, созданного в организационно-правовой форме акционерного общества, должен приниматься профессиональным участником в расчет величины основного капитала в части акций, отчет об итогах выпуска которых зарегистрирован Банком России или уведомление об итогах выпуска которых представлено в Банк России на дату расчета НДК.

Величину уставного капитала профессиональный участник должен определять исходя из номинальной стоимости обыкновенных акций, приобретенных акционерами, в том числе акций, эмиссия которых осуществлялась до дня вступления в силу Федерального закона "О рынке ценных бумаг".

В случае реорганизации профессионального участника, созданного в организационно-правовой форме акционерного общества, в форме присоединения к нему другого юридического лица увеличение уставного капитала профессионального участника, к которому осуществляется присоединение, осуществляемое путем размещения дополнительных акций, также должно приниматься профессиональным участником в расчет величины основного капитала профессионального участника. При этом указанное увеличение уставного капитала профессиональный участник должен принимать в расчет величины основного капитала профессионального участника с даты внесения в Единый государственный реестр юридических лиц записи о прекращении деятельности последнего из присоединенных юридических лиц.

При реорганизации профессионального участника, созданного в организационно-правовой форме акционерного общества, в форме преобразования в общество с ограниченной ответственностью до даты внесения в Единый государственный реестр юридических лиц записи о создании в результате реорганизации юридического лица в расчет величины основного капитала профессиональный участник должен включать величину уставного капитала составленного из номинальной стоимости обыкновенных акций, приобретенных акционерами указанного профессионального участника.

2.2.2. Уставный капитал профессионального участника, составленный из номинальной стоимости долей участников, в случае если профессиональный участник создан в организационно-правовой форме общества с ограниченной ответственностью.

В случае реорганизации профессионального участника, созданного в организационно-правовой форме общества с ограниченной ответственностью, в форме присоединения к нему другого юридического лица профессиональный участник должен принимать в расчет величины основного капитала профессионального участника увеличение уставного капитала профессионального участника, к которому осуществляется присоединение. При этом указанное увеличение уставного капитала профессиональный участник должен принимать в расчет величины основного капитала профессионального участника, к которому осуществляется присоединение, с даты внесения в Единый государственный реестр юридических лиц записи о прекращении деятельности последнего из присоединенных юридических лиц.

При реорганизации профессионального участника, созданного в организационно-правовой форме общества с ограниченной ответственностью, в форме преобразования в акционерное общество до дня регистрации Банком России отчета об итогах выпуска акций указанного акционерного общества в расчет величины основного капитала профессиональный участник должен включать величину уставного капитала, составленного из номинальной стоимости долей участников указанного профессионального участника.

2.2.3. Эмиссионный доход профессионального участника, определяемый по его выбору одним из следующих способов:

как величина разницы между ценой размещения акций (реализации долей) и их номинальной стоимостью, полученной при формировании (увеличении) уставного капитала профессионального участника;

как величина разницы между стоимостью акций (долей), рассчитанной профессиональным участником по официальному курсу иностранной валюты по отношению к рублю на день поступления иностранной валюты в оплату уставного капитала профессионального участника, и номинальной стоимостью акций (долей), установленной в решении профессионального участника о выпуске акций (в решении общего собрания участников (собрания учредителей) профессионального участника об оплате долей иностранной валютой).

Эмиссионный доход профессионального участника, созданного в организационно-правовой форме акционерного общества, должен приниматься профессиональным участником в расчет величины основного капитала профессионального участника в части акций, приобретенных его акционерами, в том числе акций, эмиссия которых осуществлялась до дня вступления в силу Федерального закона "О рынке ценных бумаг".

Эмиссионный доход профессионального участника, созданного в организационно-правовой форме общества с ограниченной ответственностью, который получен при увеличении уставного капитала профессионального участника, профессиональный участник должен включать в расчет величины основного капитала профессионального участника с даты, следующей за датой внесения в Единый федеральный реестр сведений о фактах деятельности юридических лиц записи об увеличении уставного капитала.

2.2.4. Прибыль текущего года профессионального участника, в случае если в отношении бухгалтерской (финансовой) отчетности, в которой отражается указанная прибыль, у профессионального участника имеется аудиторское заключение, указанное в статье 6 Федерального закона от 30 декабря 2008 года N 307-ФЗ "Об аудиторской деятельности" (Собрание законодательства Российской Федерации, 2009, N 1, ст. 15; 2014, N 49, ст. 6912), содержащее мнение аудиторской организации, индивидуального аудитора о достоверности бухгалтерской (финансовой) отчетности профессионального участника (далее - аудиторское заключение).

2.2.5. Прибыль предшествующих лет профессионального участника, в случае если в отношении бухгалтерской (финансовой) отчетности, в которой отражается указанная прибыль, у профессионального участника имеется аудиторское заключение.

2.2.6. Безвозмездное финансирование, предоставленное профессиональному участнику его акционерами (участниками), и вклады в имущество профессионального участника в случае наличия у профессионального участника документов, подтверждающих источники происхождения у акционеров (участников) профессионального участника средств (имущества), предоставленных (предоставленного) в качестве безвозмездного финансирования и (или) вкладов в имущество профессионального участника, а если таким имуществом является объект недвижимости - также в случае наличия регистрации прав профессионального участника на недвижимое имущество в Едином государственном реестре недвижимости.

2.2.7. Составные финансовые инструменты, эмитированные (выпущенные) профессиональным участником, определенные в соответствии с разделом "Составные финансовые инструменты" Международного стандарта финансовой отчетности (IAS) 32 "Финансовые инструменты: представление", введенного в действие на территории Российской Федерации приказом Министерства финансов Российской Федерации от 28 декабря 2015 года N 217н "О введении Международных стандартов финансовой отчетности и Разъяснений Международных стандартов финансовой отчетности в действие на территории Российской Федерации и о признании утратившими силу некоторых приказов (отдельных положений приказов) Министерства финансов Российской Федерации", зарегистрированным Министерством юстиции Российской Федерации 2 февраля 2016 года N 40940, 1 августа 2016 года N 43044 (далее - приказ Минфина России N 217н), с поправками, введенными в действие на территории Российской Федерации приказом Министерства финансов Российской Федерации от 27 июня 2016 года N 98н "О введении документов Международных стандартов финансовой отчетности в действие на территории Российской Федерации и о признании утратившими силу некоторых приказов Министерства финансов Российской Федерации", зарегистрированным Министерством юстиции Российской Федерации 15 июля 2016 года N 42869 (далее - приказ Минфина России N 98н), приказом Министерства финансов Российской Федерации от 11 июля 2016 года N 111н "О введении в действие и прекращении действия документов Международных стандартов финансовой отчетности на территории Российской Федерации", зарегистрированным Министерством юстиции Российской Федерации 1 августа 2016 года N 43044 (далее - приказ Минфина России N 111н), приказом Министерства финансов Российской Федерации от 4 июня 2018 года N 125н "О введении документа Международных стандартов финансовой отчетности в действие на территории Российской Федерации", зарегистрированным Министерством юстиции Российской Федерации 21 июня 2018 года N 51396 (далее - приказ Минфина России N 125н, приказом Министерства финансов Российской Федерации от 14 декабря 2020 года N 304н "О введении документа Международных стандартов финансовой отчетности "Поправки к МСФО (IFRS) 17 "Договоры страхования" в действие на территории Российской Федерации", зарегистрированным Министерством юстиции Российской Федерации 19 января 2021 года N 62135 (далее - МСФО (IAS) 32).

Составные финансовые инструменты профессиональным участником должны включаться в расчет величины основного капитала в величине, относимой на собственный капитал в порядке, установленном пунктом 32 МСФО (IAS) 32.

2.3. Профессиональный участник должен рассчитывать величину дополнительного капитала профессионального участника как сумму величин показателей, предусмотренных подпунктами 2.3.1 - 2.3.7 настоящего пункта, уменьшенную на величину показателей, предусмотренных пунктом 2.5 настоящего Указания, с соблюдением требования, установленного пунктом 2.6 настоящего Указания.

В расчет величины дополнительного капитала профессиональный участник должен включать величины следующих показателей.

2.3.1. Уставный капитал профессионального участника, составленный из номинальной стоимости привилегированных акций, приобретенных акционерами, не относящихся к кумулятивным, размер дивидендов по которым не определен уставом, в случае если профессиональный участник создан в организационно-правовой форме акционерного общества.

Величину указанного в абзаце первом настоящего подпункта уставного капитала профессиональный участник должен принимать в расчет величины дополнительного капитала профессионального участника в случае, когда профессиональным участником не принято решение о выплате дивидендов.

2.3.2. Часть уставного капитала профессионального участника, сформированного за счет прироста стоимости основных средств при их переоценке до выбытия основных средств.

2.3.3. Резервный фонд профессионального участника, сформированный в соответствии с пунктом 1 статьи 35 Федерального закона от 26 декабря 1995 года N 208-ФЗ "Об акционерных обществах" (Собрание законодательства Российской Федерации, 1996, N 1, ст. 1; 2018, N 18, ст. 2557), в случае если профессиональный участник создан в организационно-правовой форме акционерного общества.

Резервный фонд указанного профессионального участника, сформированный за счет прибыли текущего года, профессиональный участник должен принимать в расчет величины дополнительного капитала на основании данных бухгалтерской (финансовой) отчетности профессионального участника, содержащей сведения об указанном резервном фонде, если у профессионального участника имеется аудиторское заключение в отношении указанной отчетности.

Резервный фонд указанного профессионального участника, сформированный за счет прибыли предшествующих лет, профессиональный участник должен принимать в расчет величины дополнительного капитала на основании данных годовой бухгалтерской (финансовой) отчетности профессионального участника, содержащей сведения об указанном резервном фонде, если у профессионального участника имеется аудиторское заключение в отношении указанной отчетности.

2.3.4. Резервный фонд профессионального участника, сформированный в соответствии с пунктом 1 статьи 30 Федерального закона от 8 февраля 1998 года N 14-ФЗ "Об обществах с ограниченной ответственностью" (Собрание законодательства Российской Федерации, 1998, N 7, ст. 785; 2018, N 18, ст. 2557) (далее - Федеральный закон "Об обществах с ограниченной ответственностью"), в случае если профессиональный участник создан в организационно-правовой форме общества с ограниченной ответственностью.

Резервный фонд указанного профессионального участника, сформированный за счет прибыли текущего года, профессиональный участник должен включать в расчет величины дополнительного капитала на основании данных бухгалтерской (финансовой) отчетности профессионального участника, содержащей сведения об указанном резервном фонде, если у профессионального участника имеется аудиторское заключение в отношении указанной отчетности.

Резервный фонд указанного профессионального участника, сформированный за счет прибыли предшествующих лет, профессиональный участник должен включать в расчет величины дополнительного капитала на основании данных годовой бухгалтерской (финансовой) отчетности профессионального участника, содержащей сведения об указанном резервном фонде, если у профессионального участника имеется аудиторское заключение в отношении указанной отчетности.

2.3.5. Прибыль текущего года профессионального участника, если у профессионального участника отсутствует аудиторское заключение в отношении бухгалтерской (финансовой) отчетности, в которой отражается указанная прибыль.

2.3.6. Прибыль предшествующих лет профессионального участника, если у профессионального участника отсутствует аудиторское заключение в отношении бухгалтерской (финансовой) отчетности, в которой отражается указанная прибыль.

Прибыль предшествующих лет профессиональный участник должен принимать в расчет величины дополнительного капитала профессионального участника за период, за который в отношении бухгалтерской (финансовой) отчетности у профессионального участника отсутствует аудиторское заключение.

2.3.7. Прирост стоимости основных средств профессионального участника при переоценке, проводимой с периодичностью, определяемой профессиональным участником в учетной политике в соответствии с пунктом 2.23 Положения Банка России от 22 сентября 2015 года N 492-П "Отраслевой стандарт бухгалтерского учета основных средств, нематериальных активов, инвестиционного имущества, долгосрочных активов, предназначенных для продажи, запасов, средств труда и предметов труда, полученных по договорам отступного, залога, назначение которых не определено, имущества и (или) его годных остатков, полученных в связи с отказом страхователя (выгодоприобретателя) от права собственности на застрахованное имущество, в некредитных финансовых организациях", зарегистрированного Министерством юстиции Российской Федерации 15 октября 2015 года N 39335, 21 декабря 2016 года N 44851, 17 июня 2019 года N 54944, 21 октября 2020 года N 60497.

Прирост стоимости основных средств в форме объектов недвижимости профессиональный участник должен принимать в расчет величины дополнительного капитала при наличии регистрации прав профессионального участника на указанное недвижимое имущество в Едином государственном реестре недвижимости.

Величину прироста стоимости основных средств профессионального участника при переоценке профессиональный участник должен принимать в расчет величины дополнительного капитала, если в отношении бухгалтерской (финансовой) отчетности, в которой отражается указанная величина прироста стоимости основных средств профессионального участника, у профессионального участника имеется аудиторское заключение.

2.4. Величину основного капитала профессиональный участник должен уменьшить на величину следующих показателей.

2.4.1. Вложения профессионального участника в создание и приобретение нематериальных активов, а также стоимость нематериальных активов профессионального участника за вычетом накопленной амортизации.

2.4.2. Прирост стоимости нематериальных активов при переоценке.

2.4.3. Отложенные налоговые активы профессионального участника по перенесенным на будущее налоговым убыткам за вычетом суммы отложенных налоговых обязательств (далее - нетто-величина), кроме случаев, когда в соответствии с пунктом 2 статьи 274 Налогового кодекса Российской Федерации (Собрание законодательства Российской Федерации, 2000, N 32, ст. 3340; 2018, N 45, ст. 6828) профессиональный участник ведет раздельный учет доходов (расходов) по операциям, по которым в соответствии с главой 25 Налогового кодекса Российской Федерации (Собрание законодательства Российской Федерации, 2000, N 32, ст. 3340; 2021, N 27, ст. 5133) предусмотрен отличный от общего порядок учета прибыли и убытка.

В случае если нетто-величина, рассчитанная профессиональным участником в соответствии с абзацем первым настоящего подпункта, принимает отрицательное значение, в расчет НДК профессиональный участник должен принимать значение, равное нулю.

2.4.4. Выкупленные (приобретенные) профессиональным участником собственные акции (доли) у акционеров (участников), а также перешедшие к профессиональному участнику, созданному в организационно-правовой форме общества с ограниченной ответственностью, доли участников в случаях, установленных абзацем третьим пункта 3 статьи 15, пунктом 3 статьи 16, абзацем третьим пункта 18 статьи 21, пунктами 4 и 6.1 статьи 23 Федерального закона "Об обществах с ограниченной ответственностью" (Собрание законодательства Российской Федерации, 1998, N 7, ст. 785; 2009, N 31, ст. 3923; 2014, N 19, ст. 2334; 2016, N 1, ст. 11; 2020, 31, ст. 5011).

Приобретенные (перешедшие) профессиональным участником (к профессиональному участнику), созданным (созданному) в организационно-правовой форме общества с ограниченной ответственностью, доли профессиональный участник должен принимать для расчета величины основного капитала профессионального участника по их действительной стоимости.

Выкупленные (приобретенные) профессиональным участником, созданным в организационно-правовой форме акционерного общества, собственные акции профессиональный участник должен принимать для расчета величины основного капитала профессионального участника по их балансовой стоимости.

2.4.5. Убытки профессионального участника предшествующих лет.

2.4.6. Убытки профессионального участника текущего года.

2.4.7. Величину резерва на возможные потери, рассчитанную профессиональным участником в соответствии с главой 7 настоящего Указания, по активам, указанным в пункте 3.2 настоящего Указания, условным обязательствам кредитного характера, указанным в пункте 3.12 настоящего Указания, требованиям профессионального участника к клиенту с особым уровнем риска.

Величину резерва на возможные потери, рассчитанную профессиональным участником в соответствии с главой 7 настоящего Указания по позиции клиента с особым уровнем риска.

Абзац второй подпункта 2.4.7 пункта 2.4 действует по 30.09.2025 (пункт 8.3).

2.5. Величину дополнительного капитала профессиональный участник должен уменьшить на величину следующих показателей:

собственные привилегированные акции профессионального участника, созданного в организационно-правовой форме акционерного общества, выкупленные у акционеров;

вложения профессионального участника в акции (доли) его дочерних и зависимых обществ (в том числе нерезидентов).

2.6. В случае если при определении величины дополнительного капитала, рассчитанной профессиональным участником в соответствии с пунктом 2.3 настоящего Указания, после применения показателей, определенных в пункте 2.5 настоящего Указания, величина дополнительного капитала профессионального участника принимает отрицательное значение, профессиональный участник величину основного капитала должен уменьшить на величину показателей, определенных в пункте 2.5 настоящего Указания, в части, превышающей величину дополнительного капитала.

2.7. Сумма величин основного капитала профессионального участника и дополнительного капитала профессионального участника должна быть уменьшена профессиональным участником на величину следующих показателей:

просроченная задолженность перед профессиональным участником (если просрочка составляет более десяти рабочих дней) за вычетом суммы созданного резерва под ее обесценение;

вложения профессионального участника в сооружение (строительство), создание (изготовление) и приобретение (аренду) основных средств за вычетом накопленной амортизации основных средств в части, превышающей сумму величин основного капитала профессионального участника и дополнительного капитала профессионального участника;

вложения профессионального участника в инвестиционное имущество, в том числе вложения в сооружение (строительство) инвестиционного имущества, а также амортизация инвестиционного имущества, учитываемого по первоначальной стоимости, за вычетом накопленной амортизации и накопленных убытков от обесценения.

2.8. Величину капитала профессиональный участник должен рассчитывать на основании данных бухгалтерского учета профессионального участника, за исключением случая, предусмотренного подпунктом 2.4.7 пункта 2.4 настоящего Указания.

Глава 3. Расчет величины кредитного риска профессионального участника, осуществляющего дилерскую, брокерскую деятельность, деятельность по управлению ценными бумагами и деятельность форекс-дилеров

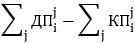
3.1. Профессиональный участник должен рассчитывать величину кредитного риска (далее - КР) по формуле:

,

где:

- величина кредитного риска по активам профессионального участника, указанным в пункте 3.2 настоящего Указания, рассчитанная профессиональным участником в соответствии с пунктом 3.3 настоящего Указания;

- величина кредитного риска по условным обязательствам кредитного характера профессионального участника, рассчитанная профессиональным участником в соответствии с пунктом 3.10 настоящего Указания;

- величина кредитного риска в отношении клиента с особым уровнем риска, рассчитанная профессиональным участником по его выбору одним из следующих методов расчета:

метод расчета кредитного риска в отношении клиента с особым уровнем риска, предусмотренный пунктом 3.14 настоящего Указания (далее - позиционный метод);

метод расчета кредитного риска в отношении клиента с особым уровнем риска, предусмотренный пунктом 3.18 настоящего Указания (далее - стандартизированный метод).

Выбранный профессиональным участником метод расчета кредитного риска в отношении клиента с особым уровнем риска изменяется по решению профессионального участника не чаще одного раза в год. Расчет величины риска по вновь выбранному методу расчета должен осуществляться профессиональным участником с очередной даты расчета НДК.

Абзацы шестой - девятый пункта 3.1 действуют по 30.09.2025 (пункт 8.3).

- величина кредитного риска в отношении клиента с особым уровнем риска, рассчитанная профессиональным участником методом расчета кредитного риска, предусмотренным пунктом 3.18 настоящего Указания (далее - стандартизированный метод).

Абзац десятый пункта 3.1 действует с 01.10.2025 (пункт 8.1).

3.2. Величина кредитного риска по активам профессионального участника должна рассчитываться профессиональным участником в отношении следующих видов активов:

денежных средств, включая денежные средства в иностранной валюте, и драгоценных металлов профессионального участника и его клиентов на счетах и во вкладах (депозитах) в кредитных организациях, иностранных банках, международных финансовых организациях (далее - МФО) и международных банках развития (далее - МБР);

требований профессионального участника, предметом которых являются денежные средства, включая денежные средства в иностранной валюте, ценные бумаги, товары (включая драгоценные металлы), за исключением требований, принимаемых к расчету величины кредитного риска в соответствии с пунктами 3.14 и 3.18 настоящего Указания (далее - требования профессионального участника);

Абзац третий пункта 3.2 действует по 30.09.2025 (пункт 8.3).

требований профессионального участника, предметом которых являются денежные средства, включая денежные средства в иностранной валюте, ценные бумаги, товары (включая драгоценные металлы), за исключением требований, принимаемых к расчету величины кредитного риска в соответствии с пунктом 3.18 настоящего Указания (далее - требования профессионального участника);

Абзац четвертый пункта 3.2 действует с 01.10.2025 (пункт 8.1).

просроченной задолженности перед профессиональным участником, за исключением просроченной задолженности, принимаемой к расчету величины капитала в соответствии с абзацем вторым пункта 2.7 настоящего Указания;

вложений профессионального участника в долговые ценные бумаги, учитываемые профессиональным участником по амортизированной стоимости.

3.3. Величина кредитного риска по активам () профессионального участника, указанным в пункте 3.2 настоящего Указания, должна рассчитываться профессиональным участником по формуле:

,

где:

- показатель риска в отношении контрагента по i-ому активу профессионального участника, установленный подпунктами 3.4.1 - 3.4.5 пункта 3.4 настоящего Указания;

- величина i-ого актива профессионального участника, определяемая в соответствии с пунктом 3.9 настоящего Указания;

- величина обеспечения по i-ому активу профессионального участника, определяемая в соответствии с абзацами восьмым - двадцать пятым настоящего пункта;

- величина резервов на возможные потери по i-ому активу профессионального участника, рассчитанная в соответствии с главой 7 настоящего Указания.

Величина обеспечения () по активу профессионального участника должна определяться профессиональным участником по формуле:

,

где:

- стоимость j-ого актива, предоставленного контрагентом профессиональному участнику в качестве i-ого обеспечения;

- корректирующий коэффициент равный:

нулю, если профессиональному участнику в качестве обеспечения актива профессионального участника его контрагентом предоставлены денежные средства в рублях;

ставке риска уменьшения курса иностранной валюты, рассчитанной клиринговой организацией в соответствии с абзацем третьим пункта 17 приложения к Указанию Банка России N 5636-У, если профессиональному участнику в качестве обеспечения актива профессионального участника контрагентом предоставлены денежные средства в иностранной валюте. В случае отсутствия указанной ставки риска по решению профессионального участника в расчет величины обеспечения по активу профессионального участника может приниматься корректирующий коэффициент, установленный пунктом 3.8 настоящего Указания;

ставке риска уменьшения цены ценной бумаги, рассчитанной клиринговой организацией в соответствии с абзацем третьим пункта 17 приложения к Указанию Банка России N 5636-У, если профессиональному участнику в качестве обеспечения актива профессионального участника контрагентом предоставлены ценные бумаги. В случае отсутствия указанной ставки риска по решению профессионального участника в расчет величины обеспечения по активу профессионального участника могут приниматься корректирующие коэффициенты, установленные абзацами вторым, третьим, четвертым и шестым пункта 3.6 и подпунктами 3.7.1 - 3.7.8 пункта 3.7 настоящего Указания соответственно;

ставке риска уменьшения цены драгоценных металлов, рассчитанной клиринговой организацией в соответствии с абзацем третьим пункта 17 приложения к Указанию Банка России N 5636-У, если профессиональному участнику в качестве обеспечения актива профессионального участника контрагентом предоставлены драгоценные металлы.

В расчет величины кредитного риска профессионального участника не допускается включение предоставленного контрагентом профессиональному участнику по активу или условному обязательству кредитного характера обеспечения, не предусмотренного абзацами тринадцатым - шестнадцатым настоящего пункта.

Величина обеспечения по активу профессионального участника должна определяться профессиональным участником на основании данных бухгалтерского учета профессионального участника, за исключением случая, предусмотренного абзацем девятнадцатым настоящего пункта.

В случае отсутствия в бухгалтерском учете профессионального участника данных об обеспечении, величина обеспечения должна определяться профессиональным участником по справедливой стоимости, определенной в соответствии с разделом "Оценка" Международного стандарта финансовой отчетности (IFRS) 13 "Оценка справедливой стоимости", введенного в действие на территории Российской Федерации приказом Минфина России N 217н с поправками, введенными в действие на территории Российской Федерации приказом Минфина России N 98н, приказом Минфина России N 111н (далее - МСФО (IFRS) 13), и приложением В к МСФО (IFRS) 13 (далее - справедливая стоимость).

В случае если обеспечение предоставлено по договорам репо, заключенным на условиях генерального соглашения (единого договора) и (или) договоров, заключенных на условиях правил организованных торгов и (или) правил клиринга, и удовлетворяющим требованиям пункта 1 статьи 4.1 Федерального закона от 26 октября 2002 года N 127-ФЗ "О несостоятельности (банкротстве)" (Собрание законодательства Российской Федерации, 2002, N 43, ст. 4190; 2021, N 27, ст. 5181) (далее - Федеральный закон "О несостоятельности (банкротстве)"), а также требованиям пунктов 3 и (или) 4 статьи 41 Федерального закона "О несостоятельности (банкротстве)" (далее - финансовые договоры, включенные в соглашение о неттинге), величина указанного обеспечения () должна определяться профессиональным участником по формуле:

,

где:

- обязательство профессионального участника по j-му финансовому договору в отношении i-ого актива, включенному в соглашение о неттинге в отношении k-ых ценных бумаг;

- требования профессионального участника по j-му финансовому договору в отношении i-ого актива, включенному в соглашение о неттинге в отношении k-ых ценных бумаг;

- корректирующий коэффициент, применяемый к k-ым ценным бумагам в соответствии с абзацем пятнадцатым настоящего пункта.

3.4. В отношении контрагентов профессиональный участник должен применять следующие значения показателя риска.

3.4.1. 0, если активом являются:

денежные средства и драгоценные металлы профессионального участника и его клиентов на счетах и во вкладах (депозитах) в МФО (Банк международных расчетов, Международный валютный фонд, Европейский центральный банк) и МБР (Всемирный банк (Международный банк реконструкции и развития, Международная финансовая корпорация, Многостороннее агентство по гарантированию инвестиций), Азиатский банк развития, Африканский банк развития, Европейский банк реконструкции и развития, Межамериканский банк развития, Европейский инвестиционный банк, Северный инвестиционный банк, Карибский банк развития, Исламский банк развития, Банк развития при Совете Европы, Европейский инвестиционный фонд);

номинированные в рублях требования профессионального участника к федеральным органам исполнительной власти, Банку России, МФО и МБР;

требования профессионального участника к центральным банкам или правительствам стран, имеющих рейтинги долгосрочной кредитоспособности, присвоенные рейтинговыми агентствами "Эс-энд-Пи Глобал Рейтингс" (S&P Global Ratings) или "Фитч Рейтингс" (Fitch Ratings) либо "Мудис Инвесторс Сервис" (Moody's Investors Service) (далее при совместном упоминании - иностранные кредитные рейтинговые агентства) на уровне от "AAA" до "AA-" по международной рейтинговой шкале "Эс-энд-Пи Глобал Рейтингс" (S&P Global Ratings) или "Фитч Рейтингс" (Fitch Ratings) либо на уровне от "Aaa" до "Aa3" по международной рейтинговой шкале "Мудис Инвесторс Сервис" (Moody's Investors Service), к организациям, которым в соответствии с законодательством указанных стран предоставлено право осуществлять заимствования от имени государства;

номинированные в рублях требования профессионального участника в части, обеспеченной залогом номинированных в рублях государственных долговых ценных бумаг Российской Федерации, долговых ценных бумаг Банка России, гарантиями (поручительствами, резервными аккредитивами) МФО, МБР или центральных банков или правительств стран, имеющих рейтинги долгосрочной кредитоспособности, присвоенные иностранными кредитными рейтинговыми агентствами на уровне от "AAA" до "AA-" по международной рейтинговой шкале "Эс-энд-Пи Глобал Рейтингс" (S&P Global Ratings) или "Фитч Рейтингс" (Fitch Ratings) либо на уровне от "Aaa" до "Aa3" по международной рейтинговой шкале "Мудис Инвесторс Сервис" (Moody's Investors Service), организаций, которые в соответствии с законодательством указанных стран предоставлено право осуществлять заимствования от имени государства, или в части, обеспеченной залогом долговых ценных бумаг МФО и МБР;

вложения профессионального участника в долговые ценные бумаги Банка России, федеральных органов исполнительной власти, МФО и МБР.

3.4.2. 5 процентов, если активом являются:

денежные средства и драгоценные металлы профессионального участника и его клиентов на счетах и во вкладах (депозитах) в кредитных организациях, осуществляющих функции центральных контрагентов, качество управления которых признано Банком России удовлетворительным в соответствии с пунктом 1.1 статьи 2 Федерального закона от 7 февраля 2011 года N 7-ФЗ "О клиринге, клиринговой деятельности и центральном контрагенте" (Собрание законодательства Российской Федерации, 2011, N 7, ст. 904; 2017, N 30, ст. 4456), информация о которых размещается на официальном сайте Банка России в информационно-телекоммуникационной сети Интернет (далее - центральный контрагент, качество управления которого признано Банком России удовлетворительным);

требования профессионального участника к центральному контрагенту, качество управления которого признано Банком России удовлетворительным;

номинированные в рублях требования профессионального участника в части, обеспеченной залогом номинированных в рублях долговых ценных бумаг центрального контрагента, качество управления которого признано Банком России удовлетворительным;

вложения профессионального участника в долговые ценные бумаги центрального контрагента, качество управления которого признано Банком России удовлетворительным.

3.4.3. 20 процентов, если активом являются:

денежные средства и драгоценные металлы профессионального участника и его клиентов на счетах и во вкладах (депозитах) в следующих организациях:

в организациях, осуществляющих клиринговую деятельность и (или) осуществляющих функции центрального контрагента, за исключением центрального контрагента, качество управления которого признано Банком России удовлетворительным;

в центральном депозитарии;

в кредитных организациях, осуществляющих денежные расчеты по итогам клиринга;

в центральных банках стран, имеющих рейтинги долгосрочной кредитоспособности, присвоенные иностранными кредитными рейтинговыми агентствами на уровне от "A+" до "A-" по международной рейтинговой шкале "Эс-энд-Пи Глобал Рейтингс" (S&P Global Ratings) или "Фитч Рейтингс" (Fitch Ratings) либо на уровне от "A1" до "A3" по международной рейтинговой шкале "Мудис Инвесторс Сервис" (Moody's Investors Service), в организациях, которым в соответствии с законодательством указанных стран предоставлено право осуществлять заимствования от имени государства;

в кредитных организациях, имеющих рейтинги долгосрочной кредитоспособности, присвоенные иностранными кредитными рейтинговыми агентствами, и являющихся резидентами стран, имеющих страновые оценки "0" или "1" по классификации экспортных кредитных агентств, участвующих в Соглашении стран - членов Организации экономического сотрудничества и развития (далее - ОЭСР) "Об основных принципах предоставления и использования экспортных кредитов, имеющих официальную поддержку" (далее - страновые оценки) (информация о страновых оценках размещается на сайте ОЭСР в информационно-телекоммуникационной сети "Интернет"), или стран с высоким уровнем доходов, являющихся членами ОЭСР и (или) Европейского союза, перешедших на единую денежную единицу Европейского союза (далее - Еврозона);

денежные средства и драгоценные металлы профессионального участника и его клиентов на счетах и во вкладах (депозитах) со сроком размещения до 90 календарных дней в кредитных организациях, некредитных финансовых организациях Российской Федерации, имеющих кредитный рейтинг не ниже уровня, установленного Советом директоров Банка России;

номинированные в рублях требования профессионального участника к субъектам Российской Федерации, муниципальным образованиям Российской Федерации;

требования профессионального участника к организациям, осуществляющим клиринговую деятельность и (или) функции центрального контрагента, за исключением центрального контрагента, качество управления которого признано Банком России удовлетворительным, к центральному депозитарию, к кредитным организациям, осуществляющим денежные расчеты по итогам клиринга, к центральным банкам и правительствам стран, имеющим рейтинги долгосрочной кредитоспособности, присвоенные иностранными кредитными рейтинговыми агентствами на уровне от "A+" до "A-" по международной рейтинговой шкале "Эс-энд-Пи Глобал Рейтингс" (S&P Global Ratings) или "Фитч Рейтингс" (Fitch Ratings) либо на уровне от "A1" до "A3" по международной рейтинговой шкале "Мудис Инвесторс Сервис" (Moody's Investors Service), к кредитным организациям, имеющим рейтинги долгосрочной кредитоспособности, присвоенные иностранными кредитными рейтинговыми агентствами, и являющимся резидентами стран, имеющих страновые оценки "0" или "1", или стран с высоким уровнем доходов, являющихся членами ОЭСР и (или) Еврозоны, к организациям, которым в соответствии с законодательством указанных стран предоставлено право осуществлять заимствования от имени указанных стран;

требования профессионального участника к кредитным организациям, имеющим рейтинги долгосрочной кредитоспособности, присвоенные иностранными кредитными рейтинговыми агентствами, и являющимся резидентами стран, имеющих страновые оценки "0" или "1", или стран с высоким уровнем доходов, являющихся членами ОЭСР и (или) Еврозоны, к организациям, которым в соответствии с законодательством указанных стран предоставлено право осуществлять заимствования от имени указанных стран;

номинированные в рублях требования профессионального участника со сроком исполнения до 90 календарных дней к организациям или иностранному лицу, имеющим (имеющему) право в соответствии с личным законом осуществлять брокерскую деятельность и (или) деятельность по доверительному управлению на рынке ценных бумаг, имеющим кредитный рейтинг не ниже уровня, установленного Советом директоров Банка России, или к "ВЭБ.РФ";

требования профессионального участника в части, обеспеченной номинированными в рублях гарантиями субъектов Российской Федерации или муниципальных образований Российской Федерации, залогом номинированных в рублях долговых ценных бумаг субъектов Российской Федерации или муниципальных образований Российской Федерации, гарантиями (поручительствами) единого института развития в жилищной сфере, которому предоставляется государственная поддержка в соответствии с бюджетным законодательством Российской Федерации (далее - единый институт развития), или ВЭБ.РФ, гарантиями (поручительствами, резервными аккредитивами) правительств или центральных банков стран, имеющих рейтинги долгосрочной кредитоспособности, присвоенные иностранными кредитными рейтинговыми агентствами на уровне от "A+" до "A-" по международной рейтинговой шкале "Эс-энд-Пи Глобал Рейтингс" (S&P Global Ratings) или "Фитч Рейтингс" (Fitch Ratings) либо на уровне от "A1" до "A3" по международной рейтинговой шкале "Мудис Инвесторс Сервис" (Moody's Investors Service), гарантиями кредитных организаций, имеющих рейтинги долгосрочной кредитоспособности, присвоенные иностранными кредитными рейтинговыми агентствами, и являющихся резидентами стран, имеющих страновые оценки "0" или "1", или стран с высоким уровнем доходов, являющихся членами ОЭСР и (или) Еврозоны, организаций, которым в соответствии с законодательством указанных стран предоставлено право осуществлять заимствования от имени указанных стран;

вложения профессионального участника в долговые ценные бумаги субъектов Российской Федерации, муниципальных образований Российской Федерации, единого института развития и ВЭБ.РФ, номинированные в рублях;

вложения профессионального участника в долговые ценные бумаги организаций, осуществляющих клиринговую деятельность и (или) функции центрального контрагента, за исключением центрального контрагента, качество управления которого признано Банком России удовлетворительным, а также центрального депозитария, кредитных организаций, осуществляющих денежные расчеты по итогам клиринга, центральных банков и правительств стран, имеющих рейтинги долгосрочной кредитоспособности, присвоенные иностранными кредитными рейтинговыми агентствами на уровне от "A+" до "A-" по международной рейтинговой шкале "Эс-энд-Пи Глобал Рейтингс" (S&P Global Ratings) или "Фитч Рейтингс" (Fitch Ratings) либо на уровне от "A1" до "A3" по международной рейтинговой шкале "Мудис Инвесторс Сервис" (Moody's Investors Service), кредитных организаций, имеющих рейтинги долгосрочной кредитоспособности, присвоенные иностранными кредитными рейтинговыми агентствами, и являющихся резидентами стран, имеющих страновые оценки "0" или "1", или стран с высоким уровнем доходов, являющихся членами ОЭСР и (или) Еврозоны, организаций, которым в соответствии с законодательством этих стран предоставлено право осуществлять заимствования от имени указанных стран.

3.4.4. 50 процентов, если активом являются:

денежные средства и драгоценные металлы профессионального участника и его клиентов на счетах и во вкладах (депозитах) в кредитных организациях, некредитных финансовых организациях Российской Федерации, имеющих кредитный рейтинг не ниже уровня, установленного Советом директоров Банка России, за исключением случая, предусмотренного абзацем восьмым подпункта 3.4.3 настоящего пункта;

номинированные в иностранной валюте требования профессионального участника к Российской Федерации, федеральным органам исполнительной власти, субъектам Российской Федерации, муниципальным образованиям Российской Федерации, Банку России, МФО и МБР;

требования к организациям, иностранному лицу, имеющему право в соответствии с его личным законом осуществлять брокерскую деятельность и (или) деятельность по доверительному управлению на рынке ценных бумаг, имеющим кредитный рейтинг не ниже уровня, установленного Советом директоров Банка России, за исключением случая, предусмотренного абзацем двенадцатым подпункта 3.4.3 настоящего пункта;

требования к центральным банкам или правительствам стран (кроме Российской Федерации), имеющих рейтинги долгосрочной кредитоспособности, присвоенные иностранными кредитными рейтинговыми агентствами на уровне от "BBB+" до "BBB-" по международной рейтинговой шкале "Эс-энд-Пи Глобал Рейтингс" (S&P Global Ratings) или "Фитч Рейтингс" (Fitch Ratings) либо на уровне от "Baa1" до "Baa3" по международной рейтинговой шкале "Мудис Инвесторс Сервис" (Moody's Investors Service), к организациям, которым в соответствии с законодательством указанных стран предоставлено право осуществлять заимствования от имени указанных стран, к кредитным организациям, не имеющим рейтингов долгосрочной кредитоспособности, присвоенных иностранными кредитными рейтинговыми агентствами, и являющимся резидентами стран, имеющих страновую оценку "0" - "2", или стран с высоким уровнем доходов, являющихся членами ОЭСР и (или) Еврозоны;

требования профессионального участника в части, обеспеченной залогом номинированных в той же, что и требования профессионального участника, валюте государственных долговых ценных бумаг Российской Федерации, долговых ценных бумаг субъектов Российской Федерации, муниципальных образований Российской Федерации, гарантиями организации, имеющей кредитный рейтинг не ниже уровня, установленного Советом директоров Банка России, центральных банков или правительств стран (кроме Российской Федерации), имеющих рейтинги долгосрочной кредитоспособности, присвоенные иностранными кредитными рейтинговыми агентствами на уровне от "BBB+" до "BBB-" по международной рейтинговой шкале "Эс-энд-Пи Глобал Рейтингс" (S&P Global Ratings) или "Фитч Рейтингс" (Fitch Ratings) либо на уровне от "Baa1" до "Baa3" по международной рейтинговой шкале "Мудис Инвесторс Сервис" (Moody's Investors Service), организаций, которым в соответствии с законодательством указанных стран предоставлено право осуществлять заимствования от имени указанных стран, кредитных организаций, не имеющих рейтингов долгосрочной кредитоспособности, присвоенных иностранными кредитными рейтинговыми агентствами, и являющихся резидентами стран, имеющих страновую оценку "0" - "2", или стран с высоким уровнем доходов, являющихся членами ОЭСР и (или) Еврозоны;

вложения профессионального участника в долговые ценные бумаги организации, имеющей кредитный рейтинг не ниже уровня, установленного Советом директоров Банка России.

3.4.5. 100 процентов, если актив не предусмотрен в подпунктах 3.4.1 - 3.4.4 настоящего пункта.

3.5. В отношении клиентов с особым уровнем риска профессиональный участник должен применять следующие значения показателя риска.

3.5.1. 20 процентов, если клиентом с особым уровнем риска являются следующие организации:

кредитные организации, имеющие рейтинги долгосрочной кредитоспособности, присвоенные иностранными кредитными рейтинговыми агентствами, и являющиеся резидентами стран, имеющих страновые оценки "0" или "1", или стран с высоким уровнем доходов, являющихся членами ОЭСР и (или) Еврозоны, организации, которым в соответствии с законодательством указанных стран предоставлено право осуществлять заимствования от имени указанных стран;

организации, имеющие кредитный рейтинг не ниже уровня, установленного Советом директоров Банка России, или "ВЭБ.РФ", если требования профессионального участника к клиенту с особым уровнем риска номинированы в рублях и срок их исполнения не превышает 90 календарных дней.

3.5.2. 50 процентов, если клиентом с особым уровнем риска являются следующие организации:

кредитные организации, некредитные финансовые организации Российской Федерации, имеющие кредитный рейтинг не ниже уровня, установленного Советом директоров Банка России;

иностранное лицо, имеющее право в соответствии с его личным законом осуществлять брокерскую деятельность и (или) деятельность по доверительному управлению на рынке ценных бумаг, имеющее кредитный рейтинг не ниже уровня, установленного Советом директоров Банка России;

организации, имеющие кредитный рейтинг не ниже уровня, установленного Советом директоров Банка России, за исключением организаций, указанных в абзаце третьем подпункта 3.5.1 настоящего пункта и абзацах втором и третьем настоящего подпункта.

3.5.3. 100 процентов, если клиентом с особым уровнем риска являются организации, не предусмотренные в подпунктах 3.5.1 и 3.5.2 настоящего пункта.

3.6. Корректирующий коэффициент для долевых ценных бумаг, российских депозитарных расписок, удостоверяющих право собственности на долевые ценные бумаги, инвестиционных паев паевых инвестиционных фондов и ценных бумаг, которые удостоверяют право собственности на определенное количество представляемых долевых ценных бумаг иностранного или российского эмитента либо долевых ценных бумаг иного иностранного эмитента, удостоверяющих права в отношении долевых ценных бумаг иностранного эмитента (далее - иностранные депозитарные расписки на долевые ценные бумаги), устанавливается равным следующим значениям:

10 процентам, если указанные ценные бумаги включены в котировальный список первого (высшего) или второго уровня российской биржи или в основной (официальный) список иностранной биржи, соответствующей критериям, установленным подпунктами 1.1 и 1.2 пункта 1 Указания Банка России от 11 ноября 2019 года N 5312-У "О критериях, которым должна соответствовать иностранная биржа, прохождение процедуры листинга на которой ценными бумагами, представляемыми российскими депозитарными расписками, является условием для эмиссии российских депозитарных расписок, по которым эмитент представляемых ценных бумаг не принимает на себя обязательства перед владельцами российских депозитарных расписок, или на которой начата либо завершена процедура листинга ценных бумаг иностранных эмитентов, за исключением ценных бумаг международных финансовых организаций, для принятия российской биржей решения об их допуске к организованным торгам", зарегистрированного Министерством юстиции Российской Федерации 12 декабря 2019 года N 56775 (далее - Указание Банка России N 5312-У), и кредитный рейтинг эмитента по указанным ценным бумагам не ниже уровня, установленного Советом директоров Банка России;

12 процентам при соблюдении одного из следующих условий:

указанные ценные бумаги включены в котировальный список первого (высшего) уровня российской биржи или в основной (официальный) список иностранной биржи, соответствующей критериям, установленным подпунктами 1.1 и 1.2 пункта 1 Указания Банка России N 5312-У, и кредитный рейтинг эмитента по указанным ценным бумагам отсутствует или ниже уровня, установленного Советом директоров Банка России;

указанные ценные бумаги включены в некотировальную часть списка ценных бумаг, допущенных к организованным торгам на российской бирже, и кредитный рейтинг эмитента по указанным ценным бумагам не ниже уровня, установленного Советом директоров Банка России;

15 процентам, если указанные ценные бумаги включены в котировальный список второго уровня российской биржи и кредитный рейтинг эмитента по указанным ценным бумагам отсутствует или ниже уровня, установленного Советом директоров Банка России;

32 процентам, если указанные ценные бумаги включены в некотировальную часть списка ценных бумаг, допущенных к организованным торгам на российской бирже, или к организованным торгам на российской и иностранной биржах не допущены;

50 процентам, если указанные ценные бумаги не предусмотрены абзацами вторым - седьмым настоящего пункта.

3.7. Корректирующий коэффициент для долговых ценных бумаг, российских депозитарных расписок, удостоверяющих право собственности на долговые ценные бумаги, ценных бумаг, которые удостоверяют право собственности на определенное количество представляемых долговых ценных бумаг иностранного или российского эмитента либо ценных бумаг иного иностранного эмитента, удостоверяющих права в отношении долговых ценных бумаг иностранного эмитента (далее - иностранные депозитарные расписки на долговые ценные бумаги), договора кредитно-дефолтного свопа, базисным активом которого является наступление обстоятельства, предусмотренного абзацем вторым пункта 1 Указания Банка России от 16 февраля 2015 года N 3565-У "О видах производных финансовых инструментов", зарегистрированного Министерством юстиции Российской Федерации 27 марта 2015 года N 36575 (далее соответственно - Указание Банка России N 3565-У, договор кредитно-дефолтного свопа), устанавливается равным следующим значениям.

3.7.1. 5 процентам, если срок до погашения долговых ценных бумаг (досрочного погашения долговых ценных бумаг по усмотрению эмитента или по требованию владельцев), срок, оставшийся до истечения договора кредитно-дефолтного свопа, составляет до одного года и соблюдается одно из следующих условий:

долговые ценные бумаги эмитированы Правительством Российской Федерации или Банком России и номинированы в рублях;

долговые ценные бумаги эмитированы правительствами стран, имеющих страновые оценки "0" и "1", или стран с высоким уровнем доходов, являющихся членами ОЭСР и (или) Еврозоны, и номинированы в валюте страны места нахождения эмитента;

долговые ценные бумаги номинированы в рублях и исполнение обязательств по ним полностью обеспечивается гарантиями Правительства Российской Федерации или Банка России, номинированными в рублях;

долговые ценные бумаги эмитированы организацией, имеющей рейтинг долгосрочной кредитоспособности, присвоенный иностранными кредитными рейтинговыми агентствами на уровне от "AAA" до "AA-" по международной рейтинговой шкале "Эс-энд-Пи Глобал Рейтингс" (S&P Global Ratings) или "Фитч Рейтингс" (Fitch Ratings) либо на уровне от "Aaa" до "Aa3" по международной рейтинговой шкале "Мудис Инвесторс Сервис" (Moody's Investors Service);

исполнение обязательств по долговым ценным бумагам полностью обеспечивается гарантией организации, имеющей рейтинг долгосрочной кредитоспособности, присвоенный иностранными кредитными рейтинговыми агентствами на уровне от "AAA" до "AA-" по международной рейтинговой шкале "Эс-энд-Пи Глобал Рейтингс" (S&P Global Ratings) или "Фитч Рейтингс" (Fitch Ratings) либо на уровне от "Aaa" до "Aa3 по международной рейтинговой шкале "Мудис Инвесторс Сервис" (Moody's Investors Service);

долговые ценные бумаги номинированы в валюте страны места нахождения эмитента и исполнение обязательств по ним полностью обеспечивается гарантиями правительств или центральных банков стран, имеющих страновые оценки "0" и "1", или стран с высоким уровнем доходов, являющихся членами ОЭСР и (или) Еврозоны, номинированными в валюте страны места нахождения эмитента;

валютой, в которой выражены обязательства по договору кредитно-дефолтного свопа, является рубль и лицом, в отношении которого указанным договором в качестве базисного актива предусмотрено наступление обстоятельств, указанных в пункте 1 Указания Банка России N 3565-У, является эмитент ценных бумаг, указанных в абзацах втором и четвертом настоящего подпункта;

лицом, в отношении которого договором кредитно-дефолтного свопа в качестве базисного актива предусмотрено наступление обстоятельств, указанных в пункте 1 Указания Банка России N 3565-У, является эмитент ценных бумаг, указанных в абзацах третьем - седьмом настоящего подпункта.

3.7.2. 7 процентам при соблюдении одного из следующих условий:

3.7.2.1. срок до погашения долговых ценных бумаг (досрочного погашения долговых ценных бумаг по усмотрению эмитента или по требованию владельцев), срок, оставшийся до истечения договора кредитно-дефолтного свопа, составляет менее одного года и соблюдается одно из следующих условий:

долговые ценные бумаги эмитированы Правительством Российской Федерации или Банком России и номинированы в иностранной валюте;

долговые ценные бумаги эмитированы субъектами Российской Федерации и муниципальными образованиями Российской Федерации и номинированы в рублях;

долговые ценные бумаги эмитированы правительствами или центральными банками стран, имеющих страновые оценки "2" и "3";

долговые ценные бумаги эмитированы МФО и МБР;

долговые ценные бумаги эмитированы организацией, имеющей рейтинг долгосрочной кредитоспособности, присвоенный иностранными кредитными рейтинговыми агентствами на уровне от "A+" до "A-" по международной рейтинговой шкале "Эс-энд-Пи Глобал Рейтингс" (S&P Global Ratings) или "Фитч Рейтингс" (Fitch Ratings) либо на уровне от "A1" до "A3" по международной рейтинговой шкале "Мудис Инвесторс Сервис" (Moody's Investors Service);

исполнение обязательств по долговым ценным бумагам полностью обеспечивается гарантией организации, имеющей рейтинг долгосрочной кредитоспособности, присвоенный иностранными кредитными рейтинговыми агентствами на уровне от "A+" до "A-" по международной рейтинговой шкале "Эс-энд-Пи Глобал Рейтингс" (S&P Global Ratings) или "Фитч Рейтингс" (Fitch Ratings) либо на уровне от "A1" до "A3" по международной рейтинговой шкале "Мудис Инвесторс Сервис" (Moody's Investors Service);

долговые ценные бумаги эмитированы юридическими лицами и исполнение обязательств по ним полностью обеспечивается независимой гарантией (банковской гарантией), поручительством юридического лица, имеющего кредитные рейтинги не ниже уровня, установленного Советом директоров Банка России;

долговые ценные бумаги номинированы в валюте, отличной от валюты страны места нахождения эмитента, и исполнение обязательств по ним полностью обеспечивается гарантиями правительств или центральных банков стран, имеющих страновые оценки "0" - "2", или стран с высоким уровнем доходов, являющихся членами ОЭСР и (или) Еврозоны, номинированными в валюте, отличной от валюты страны места нахождения эмитента;

валютой, в которой выражены обязательства по договору кредитно-дефолтного свопа, является рубль и лицом, в отношении которого указанным договором в качестве базисного актива предусмотрено наступление обстоятельств, указанных в пункте 1 Указания Банка России N 3565-У, является эмитент, указанный в абзаце третьем настоящего подпункта;

лицом, в отношении которого договором кредитно-дефолтного свопа в качестве базисного актива предусмотрено наступление обстоятельств, указанных в пункте 1 Указания Банка России N 3565-У, является эмитент ценных бумаг, указанных в абзацах втором, четвертом - восьмом настоящего подпункта.

3.7.2.2. срок до погашения долговых ценных бумаг (досрочного погашения долговых ценных бумаг по усмотрению эмитента или по требованию владельцев), срок, оставшийся до истечения договора кредитно-дефолтного свопа, составляет менее четырех лет и соблюдается одно из следующих условий:

долговые ценные бумаги эмитированы Правительством Российской Федерации или Банком России и номинированы в рублях;

долговые ценные бумаги эмитированы правительствами и центральными банками стран, имеющих страновые оценки "0" и "1", или стран с высоким уровнем доходов, являющихся членами ОЭСР и (или) Еврозоны, и номинированы в валюте страны места нахождения эмитента;

долговые ценные бумаги номинированы в рублях и исполнение обязательств по ним полностью обеспечивается гарантиями Правительства Российской Федерации или Банка России, номинированными в рублях;

долговые ценные бумаги эмитированы организацией, имеющей рейтинг долгосрочной кредитоспособности, присвоенный иностранными кредитными рейтинговыми агентствами на уровне от "AAA" до "AA-" по международной рейтинговой шкале "Эс-энд-Пи Глобал Рейтингс" (S&P Global Ratings) или "Фитч Рейтингс" (Fitch Ratings) либо на уровне от "Aaa" до "Aa3" по международной рейтинговой шкале "Мудис Инвесторс Сервис" (Moody's Investors Service);

исполнение обязательств по долговым ценным бумагам полностью обеспечивается гарантией организации, имеющей рейтинг долгосрочной кредитоспособности, присвоенный иностранными кредитными рейтинговыми агентствами на уровне от "AAA" до "AA-" по международной рейтинговой шкале "Эс-энд-Пи Глобал Рейтингс" (S&P Global Ratings) или "Фитч Рейтингс" (Fitch Ratings) либо на уровне от "Aaa" до "Aa3" по международной рейтинговой шкале "Мудис Инвесторс Сервис" (Moody's Investors Service);

долговые ценные бумаги номинированы в валюте страны места нахождения эмитента и исполнение обязательств по ним полностью обеспечивается гарантиями правительств или центральных банков стран, имеющих страновые оценки "0" и "1", или стран с высоким уровнем доходов, являющихся членами ОЭСР и (или) Еврозоны, номинированными в валюте страны места нахождения эмитента;

валютой, в которой выражены обязательства по договору кредитно-дефолтного свопа, является рубль и лицом, в отношении которого указанным договором в качестве базисного актива предусмотрено наступление обстоятельств, указанных в пункте 1 Указания Банка России N 3565-У, является эмитент ценных бумаг, указанных в абзацах втором и четвертом настоящего подпункта;

лицом, в отношении которого договором кредитно-дефолтного свопа в качестве базисного актива предусмотрено наступление обстоятельств, указанных в пункте 1 Указания Банка России N 3565-У, является эмитент ценных бумаг, указанных в абзацах третьем, пятом - седьмом настоящего подпункта.

3.7.3. 9 процентам, если срок до погашения долговых ценных бумаг (досрочного погашения долговых ценных бумаг по усмотрению эмитента или по требованию владельцев), срок, оставшийся до истечения договора кредитно-дефолтного свопа, составляет менее четырех лет и соблюдается одно из следующих условий:

долговые ценные бумаги эмитированы Правительством Российской Федерации или Банком России и номинированы в иностранной валюте;

долговые ценные бумаги эмитированы субъектами Российской Федерации и муниципальными образованиями Российской Федерации и номинированы в рублях;

долговые ценные бумаги эмитированы правительствами или центральными банками стран, имеющих страновые оценки "2" и "3";

долговые ценные бумаги эмитированы МФО или МБР;

долговые ценные бумаги эмитированы юридическими лицами, имеющими кредитный рейтинг не ниже уровня, установленного Советом директоров Банка России;

долговые ценные бумаги эмитированы юридическими лицами и исполнение обязательств по ним полностью обеспечивается независимой гарантией (банковской гарантией), поручительством юридического лица, имеющего кредитный рейтинг не ниже уровня, установленного Советом директоров Банка России;

долговые ценные бумаги эмитированы организацией, имеющей рейтинг долгосрочной кредитоспособности, присвоенный иностранными кредитными рейтинговыми агентствами на уровне от "A+" до "A-" по международной рейтинговой шкале "Эс-энд-Пи Глобал Рейтингс" (S&P Global Ratings) или "Фитч Рейтингс" (Fitch Ratings) либо на уровне от "A1" до "A3" по международной рейтинговой шкале "Мудис Инвесторс Сервис" (Moody's Investors Service);

исполнение обязательств по долговым ценным бумагам полностью обеспечивается гарантией организации, имеющей рейтинг долгосрочной кредитоспособности, присвоенный иностранными кредитными рейтинговыми агентствами на уровне от "A+" до "A-" по международной рейтинговой шкале "Эс-энд-Пи Глобал Рейтингс" (S&P Global Ratings) или "Фитч Рейтингс" (Fitch Ratings) либо на уровне от "A1" до "A3" по международной рейтинговой шкале "Мудис Инвесторс Сервис" (Moody's Investors Service);

долговые ценные бумаги номинированы в валюте, отличной от валюты страны места нахождения эмитента, и исполнение обязательств по ним полностью обеспечивается гарантиями правительств или центральных банков стран, имеющих страновые оценки "0" - "3", или стран с высоким уровнем доходов, являющихся членами ОЭСР и (или) Еврозоны, номинированными в валюте, отличной от валюты страны места нахождения эмитента;

валютой, в которой выражены обязательства по договору кредитно-дефолтного свопа, является рубль и лицом, в отношении которого указанным договором в качестве базисного актива предусмотрено наступление обстоятельств, указанных в пункте 1 Указания Банка России N 3565-У, является эмитент ценных бумаг, указанных в абзаце третьем настоящего пункта;

лицом, в отношении которого договором кредитно-дефолтного свопа в качестве базисного актива предусмотрено наступление обстоятельств, указанных в пункте 1 Указания Банка России N 3565-У, является эмитент ценных бумаг, указанных в абзацах втором, четвертом - десятом настоящего пункта.

3.7.4. 9 процентам при соблюдении одного из условий, указанных в подпунктах 3.7.4.1 и 3.7.4.2 настоящего пункта:

3.7.4.1. срок до погашения долговых ценных бумаг (досрочного погашения долговых ценных бумаг по усмотрению эмитента или по требованию владельцев), срок, оставшийся до истечения договора кредитно-дефолтного свопа, составляет менее одного года и соблюдается одно из следующих условий:

долговые ценные бумаги эмитированы юридическими лицами и исполнение обязательств по ним полностью обеспечивается гарантиями субъектов Российской Федерации или муниципальных образований Российской Федерации, номинированными в рублях;

долговые ценные бумаги эмитированы правительствами или центральными банками стран, имеющих страновые оценки "4" - "6";

долговые ценные бумаги эмитированы организациями, имеющими рейтинги долгосрочной кредитоспособности, присвоенные иностранными кредитными рейтинговыми агентствами на уровне от "BBB+" до "BBB-" по международной рейтинговой шкале "Эс-энд-Пи Глобал Рейтингс" (S&P Global Ratings) или "Фитч Рейтингс" (Fitch Ratings) либо на уровне от "Baa1" до "Baa3" по международной рейтинговой шкале "Мудис Инвесторс Сервис" (Moody's Investors Service);

исполнение обязательств по долговым ценным бумагам полностью обеспечивается гарантией организации, имеющей рейтинг долгосрочной кредитоспособности, присвоенный иностранными кредитными рейтинговыми агентствами на уровне от "BBB+" до "BBB-" по международной рейтинговой шкале "Эс-энд-Пи Глобал Рейтингс" (S&P Global Ratings) или "Фитч Рейтингс" (Fitch Ratings) либо на уровне от "Baa1" до "Baa3" по международной рейтинговой шкале "Мудис Инвесторс Сервис" (Moody's Investors Service);

долговые ценные бумаги номинированы в иностранной валюте и исполнение обязательств по ним полностью обеспечивается гарантиями Правительства Российской Федерации или Банка России;

валютой, в которой выражены обязательства по договору кредитно-дефолтного свопа, является рубль и лицом, в отношении которого указанным договором в качестве базисного актива предусмотрено наступление обстоятельств, указанных в пункте 1 Указания Банка России N 3565-У, является эмитент, указанный в абзаце втором настоящего подпункта;

лицом, в отношении которого договором кредитно-дефолтного свопа в качестве базисного актива предусмотрено наступление обстоятельств, указанных в пункте 1 Указания Банка России N 3565-У, является эмитент ценных бумаг, указанных в абзацах третьем - шестом настоящего подпункта.

3.7.4.2. срок до погашения долговых ценных бумаг (досрочного погашения долговых ценных бумаг по усмотрению эмитента или по требованию владельцев), срок, оставшийся до истечения договора кредитно-дефолтного свопа, составляет до двенадцати лет и соблюдается одно из следующих условий:

долговые ценные бумаги эмитированы Правительством Российской Федерации или Банком России и номинированы в рублях;

долговые ценные бумаги эмитированы правительствами стран, имеющих страновые оценки "0" и "1", стран с высоким уровнем доходов, являющихся членами ОЭСР и (или) Еврозоны и номинированы в валюте страны места нахождения эмитента;

долговые ценные бумаги номинированы в рублях и исполнение обязательств по ним полностью обеспечивается гарантиями Правительства Российской Федерации или Банка России, номинированными в рублях;

долговые ценные бумаги эмитированы организацией, имеющей рейтинг долгосрочной кредитоспособности, присвоенный иностранными кредитными рейтинговыми агентствами на уровне от "AAA" до "AA-" по международной рейтинговой шкале "Эс-энд-Пи Глобал Рейтингс" (S&P Global Ratings) или "Фитч Рейтингс" (Fitch Ratings) либо на уровне от "Aaa" до "Aa3" по международной рейтинговой шкале "Мудис Инвесторс Сервис" (Moody's Investors Service);

исполнение обязательств по долговым ценным бумагам полностью обеспечивается гарантией организации, имеющей рейтинг долгосрочной кредитоспособности, присвоенный иностранными кредитными рейтинговыми агентствами на уровне от "AAA" до "AA-" по международной рейтинговой шкале "Эс-энд-Пи Глобал Рейтингс" (S&P Global Ratings) или "Фитч Рейтингс" (Fitch Ratings) либо на уровне от "Aaa" до "Aa3" по международной рейтинговой шкале "Мудис Инвесторс Сервис" (Moody's Investors Service);

долговые ценные бумаги номинированы в валюте страны места нахождения эмитента, и исполнение обязательств по ним полностью обеспечивается гарантиями правительств или центральных банков стран, имеющих страновые оценки "0" и "1", или стран с высоким уровнем доходов, являющихся членами ОЭСР и (или) Еврозоны, номинированными в валюте страны места нахождения эмитента;

валютой, в которой выражены обязательства по договору кредитно-дефолтного свопа, является рубль и лицом, в отношении которого указанным договором в качестве базисного актива предусмотрено наступление обстоятельств, указанных в пункте 1 Указания Банка России N 3565-У, является эмитент ценных бумаг, указанных в абзацах втором и четвертом настоящего подпункта;

лицом, в отношении которого договором кредитно-дефолтного свопа в качестве базисного актива предусмотрено наступление обстоятельств, указанных в пункте 1 Указания Банка России N 3565-У, является эмитент ценных бумаг, указанных в абзацах третьем пятом - седьмом настоящего подпункта.

3.7.5. 11 процентам, если срок до погашения долговых ценных бумаг (досрочного погашения долговых ценных бумаг по усмотрению эмитента или по требованию владельцев), срок, оставшийся до истечения договора кредитно-дефолтного свопа, составляет менее одного года и соблюдается одно из следующих условий:

долговые ценные бумаги эмитированы организацией, имеющей рейтинг долгосрочной кредитоспособности, присвоенный иностранными кредитными рейтинговыми агентствами на уровне от "BB+" до "B+" по международной рейтинговой шкале "Эс-энд-Пи Глобал Рейтингс" (S&P Global Ratings) или "Фитч Рейтингс" (Fitch Ratings) либо на уровне от "Ba1" до "B1" по международной рейтинговой шкале "Мудис Инвесторс Сервис" (Moody's Investors Service);

исполнение обязательств по долговым ценным бумагам полностью обеспечивается гарантией организации, имеющей рейтинг долгосрочной кредитоспособности, присвоенный иностранными кредитными рейтинговыми агентствами на уровне от "BB+" до "B+" по международной рейтинговой шкале "Эс-энд-Пи Глобал Рейтингс" (S&P Global Ratings) или "Фитч Рейтингс" (Fitch Ratings) либо на уровне от "Ba1" до "B1" по международной рейтинговой шкале "Мудис Инвесторс Сервис" (Moody's Investors Service)

лицом, в отношении которого договором кредитно-дефолтного свопа в качестве базисного актива предусмотрено наступление обстоятельств, указанных в пункте 1 Указания Банка России N 3565-У, является эмитент ценных бумаг, указанных в абзацах втором и четвертом третьем настоящего подпункта.

3.7.6. 11 процентам при соблюдении одного из условий, указанных в подпунктах 3.7.6.1 - 3.7.6.3 настоящего пункта:

3.7.6.1. срок до погашения долговых ценных бумаг (досрочного погашения долговых ценных бумаг по усмотрению эмитента или по требованию владельцев), срок, оставшийся до истечения договора кредитно-дефолтного свопа, составляет менее четырех лет и соблюдается одно из следующих условий:

долговые ценные бумаги эмитированы юридическими лицами и номинированы в рублях, а исполнение обязательств по ним полностью обеспечивается гарантиями субъектов Российской Федерации или муниципальных образований Российской Федерации, номинированными в рублях;

долговые ценные бумаги эмитированы правительствами или центральными банками стран, имеющих страновые оценки "4" - "6";

долговые ценные бумаги эмитированы субъектами Российской Федерации и муниципальными образованиями Российской Федерации и номинированы в иностранной валюте;

долговые ценные бумаги эмитированы организациями, имеющими рейтинги долгосрочной кредитоспособности, присвоенные иностранными кредитными рейтинговыми агентствами на уровне от "BBB+" до "BBB-" по международной рейтинговой шкале "Эс-энд-Пи Глобал Рейтингс" (S&P Global Ratings) или "Фитч Рейтингс" (Fitch Ratings) либо на уровне от "Baa1" до "Baa3" по международной рейтинговой шкале "Мудис Инвесторс Сервис" (Moody's Investors Service);

исполнение обязательств по долговым ценным бумагам полностью обеспечивается гарантией организации, имеющей рейтинг долгосрочной кредитоспособности, присвоенный иностранными кредитными рейтинговыми агентствами на уровне от "BBB+" до "BBB-" по международной рейтинговой шкале "Эс-энд-Пи Глобал Рейтингс" (S&P Global Ratings) или "Фитч Рейтингс" (Fitch Ratings) либо на уровне от "Baa1" до "Baa3" по международной рейтинговой шкале "Мудис Инвесторс Сервис" (Moody's Investors Service);

долговые ценные бумаги номинированы в иностранной валюте и исполнение обязательств по ним полностью обеспечивается гарантиями Правительства Российской Федерации или Банка России;

валютой, в которой выражены обязательства по договору кредитно-дефолтного свопа, является рубль и лицом, в отношении которого указанным договором в качестве базисного актива предусмотрено наступление обстоятельств, указанных в пункте 1 Указания Банка России N 3565-У, является эмитент ценных бумаг, указанных в абзаце втором настоящего подпункта;

лицом, в отношении которого договором кредитно-дефолтного свопа в качестве базисного актива предусмотрено наступление обстоятельств, указанных в пункте 1 Указания Банка России N 3565-У, является эмитент ценных бумаг, указанных в абзацах третьем - седьмом настоящего подпункта.

3.7.6.2. срок до погашения долговых ценных бумаг (досрочного погашения долговых ценных бумаг по усмотрению эмитента или по требованию владельцев), срок, оставшийся до истечения договора кредитно-дефолтного свопа, менее двенадцати лет и соблюдается одно из следующих условий:

долговые ценные бумаги эмитированы Правительством Российской Федерации или Банком России и номинированы в иностранной валюте;

долговые ценные бумаги эмитированы субъектами Российской Федерации и муниципальными образованиями Российской Федерации и номинированы в рублях;

долговые ценные бумаги эмитированы правительствами или центральными банками стран, имеющих страновые оценки "2" и "3";

долговые ценные бумаги эмитированы МФО или МБР;

долговые ценные бумаги эмитированы организацией, имеющей рейтинг долгосрочной кредитоспособности, присвоенный иностранными кредитными рейтинговыми агентствами на уровне от "A+" до "A-" по международной рейтинговой шкале "Эс-энд-Пи Глобал Рейтингс" (S&P Global Ratings) или "Фитч Рейтингс" (Fitch Ratings) либо на уровне от "A1" до "A3" по международной рейтинговой шкале "Мудис Инвесторс Сервис" (Moody's Investors Service);

исполнение обязательств по долговым ценным бумагам полностью обеспечивается гарантией организации, имеющей рейтинг долгосрочной кредитоспособности, присвоенный иностранными кредитными рейтинговыми агентствами на уровне от "A+" до "A-" по международной рейтинговой шкале "Эс-энд-Пи Глобал Рейтингс" (S&P Global Ratings) или "Фитч Рейтингс" (Fitch Ratings) либо на уровне от "A1" до "A3" по международной рейтинговой шкале "Мудис Инвесторс Сервис" (Moody's Investors Service);

долговые ценные бумаги эмитированы юридическими лицами, имеющими кредитный рейтинг не ниже уровня, установленного Советом директоров Банка России;

долговые ценные бумаги эмитированы юридическими лицами и исполнение обязательств по ним полностью обеспечивается независимой гарантией (банковской гарантией), поручительством юридического лица, имеющего кредитный рейтинг не ниже уровня, установленного Советом директоров Банка России;

долговые ценные бумаги номинированы в валюте, отличной от валюты страны места нахождения эмитента, и исполнение обязательств по ним полностью обеспечивается гарантиями правительств или центральных банков стран, имеющих страновые оценки "0" - "3", или стран с высоким уровнем доходов, являющихся членами ОЭСР и (или) Еврозоны, номинированными в валюте, отличной от валюты страны места нахождения эмитента;

валютой, в которой выражены обязательства по договору кредитно-дефолтного свопа, является рубль и лицом, в отношении которого указанным договором в качестве базисного актива предусмотрено наступление обстоятельств, указанных в пункте 1 Указания Банка России N 3565-У, является эмитент, указанный в абзаце третьем настоящего подпункта;

лицом, в отношении которого договором кредитно-дефолтного свопа в качестве базисного актива предусмотрено наступление обстоятельств, указанных в пункте 1 Указания Банка России N 3565-У, является эмитент ценных бумаг, указанных в абзацах втором, четвертом - десятом настоящего подпункта.

3.7.6.3. срок до погашения долговых ценных бумаг (досрочного погашения долговых ценных бумаг по усмотрению эмитента или по требованию владельцев), срок, оставшийся до истечения договора кредитно-дефолтного свопа, составляет свыше двенадцати лет и соблюдается одно из следующих условий:

долговые ценные бумаги эмитированы правительством Российской Федерации или Банком России и номинированы в рублях;

долговые ценные бумаги эмитированы правительствами или центральными банками стран, имеющих страновые оценки "0" и "1", или стран с высоким уровнем доходов, являющихся членами ОЭСР и (или) Еврозоны, и номинированы в валюте страны места нахождения эмитента;

долговые ценные бумаги номинированы в рублях и исполнение обязательств по ним полностью обеспечивается гарантиями Правительства Российской Федерации или Банка России, номинированными в рублях;

долговые ценные бумаги эмитированы организацией, имеющей рейтинг долгосрочной кредитоспособности, присвоенный иностранными кредитными рейтинговыми агентствами на уровне от "AAA" до "AA-" по международной рейтинговой шкале "Эс-энд-Пи Глобал Рейтингс" (S&P Global Ratings) или "Фитч Рейтингс" (Fitch Ratings) либо на уровне от "Aaa" до "Aa3" по международной рейтинговой шкале "Мудис Инвесторс Сервис" (Moody's Investors Service);

исполнение обязательств по долговым ценным бумагам полностью обеспечивается гарантией организации, имеющей рейтинг долгосрочной кредитоспособности, присвоенный иностранными кредитными рейтинговыми агентствами на уровне от "AAA" до "AA-" по международной рейтинговой шкале "Эс-энд-Пи Глобал Рейтингс" (S&P Global Ratings) или "Фитч Рейтингс" (Fitch Ratings) либо на уровне от "Aaa" до "Aa3" по международной рейтинговой шкале "Мудис Инвесторс Сервис" (Moody's Investors Service);

долговые ценные бумаги номинированы в валюте страны места нахождения эмитента, и исполнение обязательств по ним полностью обеспечивается гарантиями правительств или центральных банков стран, имеющих страновые оценки "0" и "1", или стран с высоким уровнем доходов, являющихся членами ОЭСР и (или) Еврозоны, номинированными в валюте страны места нахождения эмитента;

валютой, в которой выражены обязательства по договору кредитно-дефолтного свопа, является рубль и лицом, в отношении которого указанным договором в качестве базисного актива предусмотрено наступление обстоятельств, указанных в пункте 1 Указания Банка России N 3565-У, является эмитент ценных бумаг, указанных в абзацах втором и четвертом настоящего подпункта;

лицом, в отношении которого договором кредитно-дефолтного свопа в качестве базисного актива предусмотрено наступление обстоятельств, указанных в пункте 1 Указания Банка России N 3565-У, является эмитент ценных бумаг, указанных в абзацах третьем, пятом - седьмом настоящего подпункта.

3.7.7. 12 процентам, если срок до погашения долговых ценных бумаг (досрочного погашения долговых ценных бумаг по усмотрению эмитента или по требованию владельцев), срок, оставшийся до истечения договора кредитно-дефолтного свопа, составляет менее четырех лет и соблюдается одно из следующих условий:

долговые ценные бумаги эмитированы организацией, имеющей рейтинг долгосрочной кредитоспособности, присвоенный иностранными кредитными рейтинговыми агентствами на уровне от "BB+" до "B+" по международной рейтинговой шкале "Эс-энд-Пи Глобал Рейтингс" (S&P Global Ratings) или "Фитч Рейтингс" (Fitch Ratings) либо на уровне от "Ba1" до "B1" по международной рейтинговой шкале "Мудис Инвесторс Сервис" (Moody's Investors Service);

исполнение обязательств по долговым ценным бумагам полностью обеспечивается гарантией организации, имеющей рейтинг долгосрочной кредитоспособности, присвоенный иностранными кредитными рейтинговыми агентствами на уровне от "BB+" до "B+" по международной рейтинговой шкале "Эс-энд-Пи Глобал Рейтингс" (S&P Global Ratings) или "Фитч Рейтингс" (Fitch Ratings) либо на уровне от "Ba1" до "B1" по международной рейтинговой шкале "Мудис Инвесторс Сервис" (Moody's Investors Service);

лицом, в отношении которого договором кредитно-дефолтного свопа в качестве базисного актива предусмотрено наступление обстоятельств, указанных в пункте 1 Указания Банка России N 3565-У, является эмитент ценных бумаг, указанных в абзацах третьем и четвертом настоящего пункта.

3.7.8. 12 процентам, если срок до погашения долговых ценных бумаг (досрочного погашения долговых ценных бумаг по усмотрению эмитента или по требованию владельцев), срок, оставшийся до истечения договора кредитно-дефолтного свопа, составляет свыше двенадцати лет и соблюдается одно из следующих условий:

долговые ценные бумаги эмитированы Правительством Российской Федерации или Банком России и номинированы в иностранной валюте;

долговые ценные бумаги эмитированы субъектами Российской Федерации и муниципальными образованиями Российской Федерации и номинированы в рублях;

долговые ценные бумаги эмитированы правительствами или центральными банками стран, имеющих страновые оценки "2" и "3";

долговые ценные бумаги эмитированы МФО или МБР;

долговые ценные бумаги эмитированы организацией, имеющей рейтинг долгосрочной кредитоспособности, присвоенный иностранными кредитными рейтинговыми агентствами на уровне от "A+" до "A-" по международной рейтинговой шкале "Эс-энд-Пи Глобал Рейтингс" (S&P Global Ratings) или "Фитч Рейтингс" (Fitch Ratings) либо на уровне от "A1" до "A3" по международной рейтинговой шкале "Мудис Инвесторс Сервис" (Moody's Investors Service);

исполнение обязательств по долговым ценным бумагам полностью обеспечивается гарантией организации, имеющей рейтинг долгосрочной кредитоспособности, присвоенный иностранными кредитными рейтинговыми агентствами на уровне от "A+" до "A-" по международной рейтинговой шкале "Эс-энд-Пи Глобал Рейтингс" (S&P Global Ratings) или "Фитч Рейтингс" (Fitch Ratings) либо на уровне от "A1" до "A3" по международной рейтинговой шкале "Мудис Инвесторс Сервис" (Moody's Investors Service);

долговые ценные бумаги эмитированы юридическими лицами, имеющими кредитный рейтинг не ниже уровня, установленного Советом директоров Банка России;

долговые ценные бумаги эмитированы юридическими лицами и исполнение обязательств по ним полностью обеспечивается независимой гарантией (банковской гарантией), поручительством юридического лица, имеющего кредитный рейтинг не ниже минимального уровня, установленного Советом директоров Банка России;

долговые ценные бумаги номинированы в валюте, отличной от валюты страны места нахождения эмитента, и исполнение обязательств по ним полностью обеспечивается гарантиями правительств или центральных банков стран, имеющих страновые оценки "0" и "1", или стран с высоким уровнем доходов, являющихся членами ОЭСР и (или) Еврозоны, номинированными в валюте, отличной от валюты страны места нахождения эмитента;

валютой, в которой выражены обязательства по договору кредитно-дефолтного свопа, является рубль и лицом, в отношении которого указанным договором в качестве базисного актива предусмотрено наступление обстоятельств, указанных в пункте 1 Указания Банка России N 3565-У, является эмитент ценных бумаг, указанных в абзаце третьем настоящего подпункта;

лицом, в отношении которого договором кредитно-дефолтного свопа в качестве базисного актива предусмотрено наступление обстоятельств, указанных в пункте 1 Указания Банка России N 3565-У, является эмитент ценных бумаг, указанных в абзацах втором, четвертом - десятом настоящего подпункта.

3.7.9. 12 процентам, если срок до погашения долговых ценных бумаг (досрочного погашения долговых ценных бумаг по усмотрению эмитента или по требованию владельцев), срок, оставшийся до истечения договора кредитно-дефолтного свопа, составляет менее двенадцати лет и соблюдается одно из следующих условий:

долговые ценные бумаги эмитированы юридическими лицами и номинированы в рублях, а исполнение обязательств по ним полностью обеспечивается гарантиями субъектов Российской Федерации или муниципальных образований Российской Федерации, номинированными в рублях;

долговые ценные бумаги эмитированы правительствами или центральными банками стран, имеющих страновые оценки "4" - "6";

долговые ценные бумаги эмитированы субъектами Российской Федерации и муниципальными образованиями Российской Федерации и номинированы в иностранной валюте;

долговые ценные бумаги эмитированы юридическими лицами и номинированы в иностранной валюте, а исполнение обязательств по ним полностью обеспечивается гарантиями субъектов Российской Федерации и муниципальных образований Российской Федерации;

долговые ценные бумаги эмитированы организациями, имеющими рейтинги долгосрочной кредитоспособности, присвоенные иностранными кредитными рейтинговыми агентствами на уровне от "BBB+" до "BBB-" по международной рейтинговой шкале "Эс-энд-Пи Глобал Рейтингс" (S&P Global Ratings) или "Фитч Рейтингс" (Fitch Ratings) либо на уровне от "Baa1" до "Baa3" по международной рейтинговой шкале "Мудис Инвесторс Сервис" (Moody's Investors Service);

исполнение обязательств по долговым ценным бумагам полностью обеспечивается гарантией организации, имеющей рейтинг долгосрочной кредитоспособности, присвоенный иностранными кредитными рейтинговыми агентствами на уровне от "BBB+" до "BBB-" по международной рейтинговой шкале "Эс-энд-Пи Глобал Рейтингс" (S&P Global Ratings) или "Фитч Рейтингс" (Fitch Ratings) либо на уровне от "Baa1" до "Baa3" по международной рейтинговой шкале "Мудис Инвесторс Сервис" (Moody's Investors Service);

долговые ценные бумаги номинированы в иностранной валюте и исполнение обязательств по ним полностью обеспечивается гарантиями Правительства Российской Федерации или Банка России, гарантиями правительств или центральных банков стран, имеющих страновые оценки "4" - "6";

валютой, в которой выражены обязательства по договору кредитно-дефолтного свопа, является рубль и лицом, в отношении которого указанным договором в качестве базисного актива предусмотрено наступление обстоятельств, указанных в пункте 1 Указания Банка России N 3565-У, является эмитент ценных бумаг, указанных в абзаце втором настоящего подпункта;

лицом, в отношении которого договором кредитно-дефолтного свопа в качестве базисного актива предусмотрено наступление обстоятельств, указанных в пункте 1 Указания Банка России N 3565-У, является эмитент ценных бумаг, указанных в абзацах третьем - восьмом настоящего подпункта.

3.7.10. 14 процентам, если срок до погашения долговых ценных бумаг (досрочного погашения долговых ценных бумаг по усмотрению эмитента или по требованию владельцев), срок, оставшийся до истечения договора кредитно-дефолтного свопа, составляет менее двенадцати лет и соблюдается одно из следующих условий:

долговые ценные бумаги эмитированы организацией, имеющей рейтинг долгосрочной кредитоспособности, присвоенный иностранными кредитными рейтинговыми агентствами на уровне от "BB+" до "B+" по международной рейтинговой шкале "Эс-энд-Пи Глобал Рейтингс" (S&P Global Ratings) или "Фитч Рейтингс" (Fitch Ratings) либо на уровне от "Ba1" до "B1" по международной рейтинговой шкале "Мудис Инвесторс Сервис" (Moody's Investors Service);

исполнение обязательств по долговым ценным бумагам полностью обеспечивается гарантией организации, имеющей рейтинг долгосрочной кредитоспособности, присвоенный иностранными кредитными рейтинговыми агентствами на уровне от "BB+" до "B+" по международной рейтинговой шкале "Эс-энд-Пи Глобал Рейтингс" (S&P Global Ratings) или "Фитч Рейтингс" (Fitch Ratings) либо на уровне от "Ba1" до "B1" по международной рейтинговой шкале "Мудис Инвесторс Сервис" (Moody's Investors Service)

лицом, в отношении которого договором кредитно-дефолтного свопа в качестве базисного актива предусмотрено наступление обстоятельств, указанных в пункте 1 Указания Банка России N 3565-У, является эмитент ценных бумаг, указанных в абзацах втором и третьем настоящего подпункта.

3.7.11. 14 процентам, если срок до погашения долговых ценных бумаг (досрочного погашения долговых ценных бумаг по усмотрению эмитента или по требованию владельцев), срок, оставшийся до истечения договора кредитно-дефолтного свопа, составляет свыше двенадцати лет и соблюдается одно из следующих условий:

долговые ценные бумаги эмитированы юридическими лицами, имеющими кредитный рейтинг не ниже уровня, установленного Советом директоров Банка России;

долговые ценные бумаги номинированы в рублях и исполнение обязательств по ним полностью обеспечивается гарантиями субъектов Российской Федерации и муниципальных образований Российской Федерации, номинированными в рублях, гарантиями правительств или центральных банков стран, имеющих страновые оценки "4" - "6";

долговые ценные бумаги эмитированы правительствами или центральными банками стран, имеющих страновые оценки "4" - "6";

долговые ценные бумаги эмитированы субъектами Российской Федерации и муниципальными образованиями Российской Федерации и номинированы в иностранной валюте;

долговые ценные бумаги эмитированы организациями, имеющими рейтинги долгосрочной кредитоспособности, присвоенные иностранными кредитными рейтинговыми агентствами на уровне от "BBB+" до "BBB-" по международной рейтинговой шкале "Эс-энд-Пи Глобал Рейтингс" (S&P Global Ratings) или "Фитч Рейтингс" (Fitch Ratings) либо на уровне от "Baa1" до "Baa3" по международной рейтинговой шкале "Мудис Инвесторс Сервис" (Moody's Investors Service);

исполнение обязательств по долговым ценным бумагам полностью обеспечивается гарантией организации, имеющей рейтинг долгосрочной кредитоспособности, присвоенный иностранными кредитными рейтинговыми агентствами на уровне от "BBB+" до "BBB-" по международной рейтинговой шкале "Эс-энд-Пи Глобал Рейтингс" (S&P Global Ratings) или "Фитч Рейтингс" (Fitch Ratings) либо на уровне от "Baa1" до "Baa3" по международной рейтинговой шкале "Мудис Инвесторс Сервис" (Moody's Investors Service);

долговые ценные бумаги номинированы в иностранной валюте и исполнение обязательств по ним полностью обеспечивается гарантиями Правительства Российской Федерации или Банка России;

валютой, в которой выражены обязательства по договору кредитно-дефолтного свопа, является рубль и лицом, в отношении которого указанным договором в качестве базисного актива предусмотрено наступление обстоятельств, указанных в пункте 1 Указания Банка России N 3565-У, является эмитент ценных бумаг, указанных в абзаце третьем настоящего подпункта;

лицом, в отношении которого договором кредитно-дефолтного свопа в качестве базисного актива предусмотрено наступление обстоятельств, указанных в пункте 1 Указания Банка России N 3565-У, является эмитент ценных бумаг, указанных в абзацах втором, четвертом - восьмом настоящего подпункта.

3.7.12. 16 процентам, если срок до погашения долговых ценных бумаг (досрочного погашения долговых ценных бумаг по усмотрению эмитента или по требованию владельцев), срок, оставшийся до истечения договора кредитно-дефолтного свопа, составляет свыше двенадцати лет и соблюдается одно из следующих условий:

долговые ценные бумаги эмитированы организацией, имеющей рейтинг долгосрочной кредитоспособности, присвоенный иностранными кредитными рейтинговыми агентствами на уровне от "BB+" до "B+" по международной рейтинговой шкале "Эс-энд-Пи Глобал Рейтингс" (S&P Global Ratings) или "Фитч Рейтингс" (Fitch Ratings) либо на уровне от "Ba1" до "B1" по международной рейтинговой шкале "Мудис Инвесторс Сервис" (Moody's Investors Service);

исполнение обязательств по долговым ценным бумагам полностью обеспечивается гарантией организации, имеющей рейтинг долгосрочной кредитоспособности, присвоенный иностранными кредитными рейтинговыми агентствами на уровне от "BB+" до "B+" по международной рейтинговой шкале "Эс-энд-Пи Глобал Рейтингс" (S&P Global Ratings) или "Фитч Рейтингс" (Fitch Ratings) либо на уровне от "Ba1" до "B1" по международной рейтинговой шкале "Мудис Инвесторс Сервис" (Moody's Investors Service)

лицом, в отношении которого договором кредитно-дефолтного свопа в качестве базисного актива предусмотрено наступление обстоятельств, указанных в пункте 1 Указания Банка России N 3565-У, является эмитент ценных бумаг, указанных в абзацах втором и третьем настоящего подпункта.

3.7.13. По долговым ценным бумагам, не предусмотренным подпунктами 3.7.1 - 3.7.12 настоящего пункта, если срок до погашения долговых ценных бумаг (досрочного погашения долговых ценных бумаг по усмотрению эмитента или по требованию владельцев), срок, оставшийся до истечения договора кредитно-дефолтного свопа, составляет:

менее одного года - 14 процентов;

менее четырех лет - 16 процентов;

менее двенадцати лет - 18 процентов;

свыше двенадцати лет - 20 процентов.

3.8. Корректирующий коэффициент для иностранной валюты устанавливается равным следующим значениям:

15 процентам - если иностранная валюта эмитирована в стране, являющейся членом Евразийского экономического союза или членом ОЭСР;

20 процентам - если иностранная валюта эмитирована в стране, являющейся участником объединения БРИКС;

40 процентам - по иным иностранным валютам.

3.9. Величину активов, указанных в пункте 3.2 настоящего Указания, профессиональный участник должен определять в оценке по данным бухгалтерского учета профессионального участника, за вычетом резерва под их обесценение, признанного профессиональным участником в соответствии с разделом 5.5 Международного стандарта финансовой отчетности (IFRS) 9 "Финансовые инструменты" в редакции 2014 года, введенного в действие на территории Российской Федерации приказом Минфина России N 98н, с поправками, введенными в действие на территории Российской Федерации приказом Минфина России N 111н, приказом Министерства финансов Российской Федерации от 27 марта 2018 года N 56н "О введении документов Международных стандартов финансовой отчетности в действие на территории Российской Федерации", зарегистрированным Министерством юстиции Российской Федерации 16 апреля 2018 года N 50779, приказом Минфина России N 125н, приказом Министерства финансов Российской Федерации от 16 сентября 2019 года N 146н "О введении документа Международных стандартов финансовой отчетности "Редакционные исправления в МСФО" в действие на территории Российской Федерации", зарегистрированным Министерством юстиции Российской Федерации 9 октября 2019 года N 56187, приказом Министерства финансов Российской Федерации от 7 апреля 2020 года N 55н "О введении документа Международных стандартов финансовой отчетности "Реформа базовой процентной ставки (Поправки к МСФО (IFRS) 9, МСФО (IAS) 39 и МСФО (IFRS) 7)" в действие на территории Российской Федерации", зарегистрированным Министерством юстиции Российской Федерации 3 июля 2020 года N 58832, приказом Министерства финансов Российской Федерации от 14 декабря 2020 года N 304н "О введении документа Международных стандартов финансовой отчетности "Поправки к МСФО (IFRS) 17 "Договоры страхования" в действие на территории Российской Федерации", зарегистрированным Министерством юстиции Российской Федерации 19 января 2021 года N 62135, приказом Министерства финансов Российской Федерации от 17 февраля 2021 года N 23н "О введении документа Международных стандартов финансовой отчетности "Реформа базовой процентной ставки - этап 2 (Поправки к МСФО (IFRS) 9, МСФО (IAS) 39, МСФО (IFRS) 7, МСФО (IFRS) 4 и МСФО (IFRS) 16)" в действие на территории Российской Федерации", зарегистрированным Министерством юстиции Российской Федерации 22 марта 2021 года N 62829, приказом Министерства финансов Российской Федерации от 17 февраля 2021 года N 24н "О введении документов Международных стандартов финансовой отчетности "Поправки к ссылкам на "Концептуальные основы" (Поправки к МСФО (IFRS) 3 "Объединение бизнесов")", "Основные средства - поступления до использования по назначению (Поправки к МСФО (IAS) 16 "Основные средства")", "Обременительные договоры затраты - на исполнение договора (Поправки к МСФО (IAS) 37)" и "Ежегодные усовершенствования Международных стандартов финансовой отчетности, период 2018 - 2020 гг." в действие на территории Российской Федерации", зарегистрированным Министерством юстиции Российской Федерации 22 марта 2021 года N 62828 (далее - МСФО (IFRS) 9). (в ред. Указания ЦБ РФ от 22.11.2021 N 5998-У)

В случае если активы контрагентом предоставлены по финансовым договорам, включенным в соглашение о неттинге, величина актива () должна определяться профессиональным участником по формуле:

,

где:

- требования профессионального участника по j-ому финансовому договору, включенному в соглашение о неттинге в отношении i-ых денежных средств;

- обязательства профессионального участника по j-ому финансовому договору, включенному в соглашение о неттинге в отношении i-ых денежных средств.

3.10. Величина кредитного риска по условным обязательствам кредитного характера () профессионального участника должна рассчитываться профессиональным участником по формуле:

,

где:

- показатель риска в отношении контрагента по i-ому условному обязательству кредитного характера профессионального участника, установленный подпунктами 3.4.1 - 3.4.5 пункта 3.4 настоящего Указания;

- значение коэффициента риска условного обязательства кредитного характера профессионального участника, установленного в пункте 3.11 настоящего Указания;

- величина i-го условного обязательства кредитного характера профессионального участника, определенная в оценке по данным бухгалтерского учета профессионального участника, за вычетом резерва под его обесценение, признанного профессиональным участником в соответствии с разделом 5.5 МСФО (IFRS) 9; (в ред. Указания ЦБ РФ от 22.11.2021 N 5998-У)

- величина обеспечения по i-ому условному обязательству кредитного характера профессионального участника, рассчитанная в соответствии с абзацами восьмым - двадцать пятым пункта 3.3 настоящего Указания;

- величина резервов на возможные потери по условному обязательству кредитного характера профессионального участника, рассчитанная в соответствии с главой 7 настоящего Указания.

3.11. К величине условного обязательства кредитного характера профессиональный участник должен применять следующие коэффициенты риска:

1,0 - коэффициент риска по условным обязательствам кредитного характера, указанным в абзацах втором - шестом пункта 3.12 настоящего Указания (далее - условные обязательства кредитного характера с первым уровнем риска);

0,5 - коэффициент риска по условным обязательствам кредитного характера, указанным в абзацах восьмом и девятом пункта 3.12 настоящего Указания (далее - условные обязательства кредитного характера со вторым уровнем риска).

3.12. К условным обязательствам кредитного характера с первым уровнем риска профессиональный участник должен относить:

поручительства;

ручательства за исполнение сделки третьим лицом (делькредере), принятые на себя профессиональным участником в рамках договора комиссии;

вексельные поручительства (аваль);

индоссамент векселей;

независимые гарантии.

К условным обязательствам кредитного характера со вторым уровнем риска профессиональный участник должен относить:

обязательство профессионального участника, являющегося брокером, выкупить ценные бумаги эмитента, вытекающее из договора возмездного оказания услуг по размещению и (или) организации размещения ценных бумаг;

иные условные обязательства кредитного характера профессионального участника.

3.13. Условные обязательства кредитного характера с первым уровнем риска, указанные в абзаце четвертом пункта 3.12 настоящего Указания, в расчет величины кредитного риска должны включаться профессиональным участником в размере вексельной суммы, авалированной профессиональным участником.

Условные обязательства кредитного характера со вторым уровнем риска, указанные в абзаце восьмом пункта 3.12 настоящего Указания, в расчет величины кредитного риска должны включаться профессиональным участником в размере общей стоимости неразмещенных ценных бумаг, рассчитанной как произведение количества неразмещенных ценных бумаг на цену выкупа, установленную в договоре возмездного оказания услуг по размещению и (или) организации размещения ценных бумаг.

3.14. Величина кредитного риска в отношении клиента с особым уровнем риска () по позиционному методу должна рассчитываться профессиональным участником по формуле:

,

где:

- показатель риска в отношении клиента с особым уровнем риска, установленный подпунктами 3.5.1 - 3.5.3 пункта 3.5 настоящего Указания;

FP - величина позиции клиента с особым уровнем риска, определенная в соответствии с пунктом 3.15 настоящего Указания;

- величина резерва на возможные потери профессионального участника по позиции клиента, рассчитанная в соответствии с главой 7 настоящего Указания.

3.15. Величина позиции клиента с особым уровнем риска (FP) должна рассчитываться профессиональным участником по формуле:

,

где:

- величина k-ого отрицательного планового исходящего остатка по каждому активу клиента с особым уровнем риска, определенная как произведение справедливой стоимости каждого актива на его количество, определенное в соответствии с подпунктом 3.13.6 пункта 3.13 Положения Банка России от 31 января 2017 года N 577-П "О правилах ведения внутреннего учета профессиональными участниками рынка ценных бумаг, осуществляющими брокерскую деятельность, дилерскую деятельность и деятельность по управлению ценными бумагами", зарегистрированного Министерством юстиции Российской Федерации 22 мая 2017 года N 46772, 23 января 2019 года N 53514, 15 сентября 2020 года N 59885 (далее соответственно - Положение Банка России N 577-П, количество актива), с соблюдением требований пунктов 3.16 и 3.17 настоящего Указания;

- величина j-ого положительного планового исходящего остатка по активу клиента, определенная как произведение справедливой стоимости актива на количество актива с соблюдением требований пунктов 3.16 и 3.17 настоящего Указания. При этом в расчет принимается только положительный плановый исходящий остаток по активам, в отношении которых может быть рассчитан корректирующий коэффициент в соответствии с абзацами седьмым - десятым настоящего пункта;

() - корректирующий коэффициент равный:

нулю, если активом клиента с особым уровнем риска являются денежные средства в рублях;

ставке риска увеличения (для ) или уменьшения (для ) курса иностранной валюты, рассчитанной клиринговой организацией в соответствии с абзацем третьим пункта 17 приложения к Указанию Банка России N 5636-У, если активом клиента с особым уровнем риска являются денежные средства в иностранной валюте. В случае отсутствия указанной ставки риска по решению профессионального участника в расчет может приниматься корректирующий коэффициент, установленный пунктом 3.8 настоящего Указания;

ставке риска увеличения (для ) или уменьшения (для ) цены ценной бумаги, рассчитанной клиринговой организацией в соответствии с абзацем третьим пункта 17 приложения к Указанию Банка России N 5636-У, если активом клиента с особым уровнем риска являются ценные бумаги. В случае отсутствия указанной ставки риска по решению профессионального участника в расчет величины отрицательного планового исходящего остатка по активу клиента с особым уровнем риска могут приниматься корректирующие коэффициенты, установленные абзацами вторым, третьим, четвертым и шестым пункта 3.6 и пунктом 3.7 настоящего Указания, в расчет величины положительного планового исходящего остатка по активу клиента с особым уровнем риска могут приниматься корректирующие коэффициенты, установленные абзацами вторым, третьим, четвертым и шестым пункта 3.6 и подпунктами 3.7.1 - 3.7.8 пункта 3.7 настоящего Указания;

ставке риска увеличения (для ) или уменьшения (для ) цены драгоценных металлов, рассчитанной клиринговой организацией в соответствии с абзацем третьим пункта 17 приложения к Указанию Банка России N 5636-У, если активом клиента с особым уровнем риска являются драгоценные металлы.

3.16. В расчет величины количества актива профессиональный участник должен включать планируемое поступление актива при одновременном соблюдении следующих условий.

3.16.1. В соответствии с условиями сделки актив должен поступить в срок не позднее 30 календарных дней после даты расчета величины количества актива, за исключением договоров репо, а также своп-договоров, указанных в абзаце третьем пункта 5 Указания Банка России N 3565-У.

Планируемые поступления активов по договорам репо включаются в расчет величины количества актива, если разница в сроках исполнения обязательств покупателем по договору репо и продавцом по договору репо по каждой из частей договора репо не превышает трех рабочих дней. В случае если актив по договору репо должен поступить в срок более 30 календарных дней после даты расчета величины количества актива, планируемое поступление такого актива включается в расчет величины количества актива в размере, не превышающем количества выбытия актива по соответствующей части договора репо.

Планируемые поступления активов по своп-договорам включаются в расчет величины количества актива, если разница в сроках исполнения обязательств стороной, передающей актив, и стороной, принимающей и оплачивающей актив, не превышает трех рабочих дней для каждого случая передачи актива. В случае если активы по своп-договору должны поступить в срок более 30 календарных дней после даты расчета величины количества актива, планируемое поступление такого актива включается в расчет величины количества актива в размере, не превышающем величину выбытия актива по своп-договору.

3.16.2. Актив должен поступить профессиональному участнику по одной из следующих сделок:

сделки, заключенные на организованных и (или) не на организованных торгах, в рамках реализации механизма "поставка (платеж) против платежа";

сделки, заключенные с центральным контрагентом;

сделки, заключенные с организациями, имеющими кредитный рейтинг не ниже уровня, установленного Советом директоров Банка России;

сделки, в которых каждой из сторон является профессиональный участник и профессиональный участник действует с одной стороны за счет и в интересах клиента с особым уровнем риска, величина позиции которого рассчитывается профессиональным участником в соответствии с пунктом 3.15 настоящего Указания, а с другой стороны - за счет и в интересах иного клиента, отнесенного профессиональным участником в соответствии с договором о брокерском обслуживании к категории клиента со стандартным уровнем риска или клиента с повышенным уровнем риска.

3.17. В расчет величины количества актива профессиональный участник должен включать активы клиента с особым уровнем риска и (или) активы, которые поступят по сделкам, совершенным профессиональным участником за счет этого клиента с особым уровнем риска, при одновременном соблюдении следующих условий.

3.17.1. Активы клиента с особым уровнем риска находятся в распоряжении профессионального участника и (или) активы поступят в распоряжение профессионального участника.

3.17.2. Профессиональный участник в соответствии договором о брокерском обслуживании вправе без согласия клиента совершить сделку за счет указанных активов и принять исполнение по такой сделке в счет погашения требований профессионального участника к клиенту с особым уровнем риска (в случае неисполнения клиентом с особым уровнем риска требования о передаче в распоряжение профессионального участника имущества для исполнения профессиональным участником обязательства по передаче имущества, принятого им на себя по поручению клиента).

3.17.3. Клиент с особым уровнем риска может распоряжаться указанными активами только посредством обращения к профессиональному участнику, являющемуся брокером, при этом указанный профессиональный участник вправе отказать клиенту с особым уровнем риска в осуществлении распоряжения при наличии неисполненных обязательств клиента с особым уровнем риска перед указанным профессиональным участником, включая неисполненные обязательства по сделкам, совершенным профессиональным участником в качестве брокера (комиссионера) от своего имени и за счет клиента с особым уровнем риска.

Пункты 3.14 - 3.17 действуют по 30.09.2025 (пункт 8.3).

3.18. Величина кредитного риска в отношении клиента с особым уровнем риска () по стандартизированному методу должна рассчитываться профессиональным участником по формуле:

,

где:

- показатель риска в отношении клиента с особым уровнем риска, установленный подпунктами 3.5.1 - 3.5.3 пункта 3.5 настоящего Указания;

- величина i-ого требования профессионального участника к клиенту с особым уровнем риска, определяемая в соответствии с пунктом 3.19 настоящего Указания;

- величина обеспечения по i-ому требованию профессионального участника к клиенту с особым уровнем риска, определяемая в соответствии с пунктом 3.20 настоящего Указания;

- величина резерва на возможные потери по i-ому требованию профессионального участника к клиенту с особым уровнем риска, рассчитанная в соответствии с главой 7 настоящего Указания.

3.19. Величина требования профессионального участника к клиенту с особым уровнем риска рассчитывается профессиональным участником в отношении требований по сделкам, заключенным брокером в качестве комиссионера от своего имени и за счет клиента с особым уровнем риска, предметом которых являются денежные средства, иностранная валюта, ценные бумаги, товар и драгоценные металлы, за исключением требований профессионального участника к клиенту по сделкам, которые заключены с центральным контрагентом на условиях поставки против платежа и срок исполнения обязательств по которым не истек.

Величину требований профессионального участника к клиенту с особым уровнем риска профессиональный участник должен определять на основании внутреннего учета профессионального участника по справедливой стоимости.

В случае если требование профессионального участника к клиенту с особым уровнем риска возникло по финансовым договорам, включенным в соглашение о неттинге, величина требования должна определяться профессиональным участником по формуле, установленной абзацами третьим - шестым пункта 3.9 настоящего Указания.

3.20. Величина обеспечения по требованию профессионального участника к клиенту с особым уровнем риска должна определяться профессиональным участником на основании данных внутреннего учета профессионального участника и данных, которые содержатся в документах, подтверждающих наличие ценных бумаг на соответствующих лицевых счетах и счетах депо (на разделах счетов депо). В случае если в качестве обеспечения по требованиям профессионального участника к клиенту с особым уровнем риска выступают ценные бумаги, стоимость указанных ценных бумаг должна определяться профессиональным участником исходя из их справедливой стоимости. В случае если в качестве обеспечения по требованиям профессионального участника к клиенту с особым уровнем риска выступают драгоценные металлы, стоимость указанных драгоценных металлов должна определяться профессиональным участником исходя из учетной цены на аффинированные драгоценные металлы на дату расчета НДК, установленной Банком России в соответствии с пунктами 1 - 4 Указания Банка России от 28 мая 2003 года N 1283-У "О порядке установления Банком России учетных цен на аффинированные драгоценные металлы", зарегистрированного Министерством юстиции Российской Федерации 19 июня 2003 года N 4759, 22 апреля 2008 года N 11567, 17 января 2012 года N 22926.

Величина обеспечения по требованию профессионального участника к клиенту с особым уровнем риска должна рассчитываться профессиональным участником по формуле, установленной абзацами девятым - шестнадцатым пункта 3.3 настоящего Указания.

В случае если обеспечение предоставлено контрагентом по финансовым договорам, включенным в соглашение о неттинге, величина обеспечения по требованиям профессионального участника к клиенту с особым уровнем риска () должна определяться профессиональным участником по формуле, установленной абзацами двадцать первым - двадцать пятым пункта 3.3 настоящего Указания.

Глава 4. Расчет величины рыночного риска профессионального участника, осуществляющего дилерскую, брокерскую деятельность, деятельность по управлению ценными бумагами и деятельность форекс-дилеров

4.1. Расчет величины рыночного риска профессионального участника должен осуществляться по выбору профессионального участника одним из следующих методов расчета:

метод расчета рыночного риска, предусмотренный главой 5 настоящего Указания (далее - базовый метод);

метод расчета рыночного риска, предусмотренный главой 6 настоящего Указания (далее - продвинутый метод).

Информация о выбранном профессиональным участником методе расчета величины рыночного риска должна отражаться профессиональным участником во внутренних документах профессионального участника.

В случае если расчет рыночного риска по производным финансовым инструментам и другим договорам, которые признаются производными финансовыми инструментами в соответствии с правом иностранного государства, нормами международного договора или обычаями делового оборота и в отношении которых правом иностранного государства или нормами международного договора предусмотрена их судебная защита (далее - производные финансовые инструменты и аналогичные им договоры) в соответствии с требованиями, установленными в подпунктах 5.4.1 - 5.4.7 пункта 5.4 и пункте 5.5 настоящего Указания, неприменим, профессиональный участник по производным финансовым инструментам и аналогичным им договорам должен рассчитывать рыночный риск по методологии, установленной во внутренних документах профессионального участника, разработанной профессиональным участником с соблюдением условия, установленного абзацем первым пункта 5.4 настоящего Указания.

Выбранный профессиональным участником метод расчета рыночного риска изменяется по решению профессионального участника не чаще одного раза в год. Расчет величины риска по вновь выбранному методу расчета должен осуществляться профессиональным участником с очередной даты расчета НДК.

4.2. Расчет величины рыночного риска профессионального участника должен осуществляться профессиональным участником в отношении следующих активов и обязательств (далее - объекты):

долевых ценных бумаг, включая долевые ценные бумаги, переданные по операциям, совершаемым на возвратной основе, за исключением акций дочерних и зависимых юридических лиц (в том числе юридических лиц - нерезидентов), требований и обязательств профессионального участника по указанным ценным бумагам;

долговых ценных бумаг, в том числе номинированных в иностранной валюте, оцениваемых по справедливой стоимости через прибыль или убыток либо по справедливой стоимости через прочий совокупный доход, включая долговые ценные бумаги, переданные по операциям, совершаемым на возвратной основе, требований и обязательств профессионального участника по указанным ценным бумагам;

долговых ценных бумаг, номинированных в иностранной валюте, учитываемых по амортизированной стоимости, включая долговые ценные бумаги, переданные по операциям, совершаемым на возвратной основе, требований и обязательств профессионального участника по указанным ценным бумагам;

российских депозитарных расписок, иностранных депозитарных расписок на долевые ценные бумаги, иностранных депозитарных расписок на долговые ценные бумаги (далее при совместном упоминании - иностранные депозитарные расписки), требований и обязательств профессионального участника по указанным ценным бумагам;

производных финансовых инструментов и аналогичных им договоров;

денежных средств в иностранной валюте;

требований и обязательств профессионального участника, выраженных в иностранной валюте;

обязательств профессионального участника по обратной поставке ценных бумаг, полученных по договорам репо или займа ценных бумаг (далее - первоначальная операция), в случае если полученные ценные бумаги по договору репо или займа ценных бумаг профессиональным участником были реализованы по договору купли-продажи ценных бумаг или переданы по договорам репо, займа ценных бумаг или в обеспечение по привлеченным средствам на срок, превышающий срок первоначальной операции, или по указанным ценным бумагам имело место неисполнение контрагентом своих обязательств по обратной поставке.

Ценные бумаги в расчет величины рыночного риска должны включаться профессиональным участником по справедливой стоимости.

4.3. Для целей расчета рыночного риска профессиональный участник на основании данных бухгалтерского учета и внутреннего учета должен относить каждый отдельный объект, указанный в пункте 4.2 настоящего Указания, к балансовым активам (требованиям) и внебалансовым требованиям (далее при совместном упоминании - длинная позиция), либо балансовым пассивам или внебалансовым обязательствам (далее при совместном упоминании - короткая позиция).

4.4. Величина объекта для расчета рыночного риска должна рассчитываться профессиональным участником в стоимостном выражении на основании данных бухгалтерского учета.

Глава 5. Расчет величины рыночного риска профессионального участника, осуществляющего дилерскую, брокерскую деятельность, деятельность по управлению ценными бумагами и деятельность форекс-дилеров, по базовому методу

5.1. Величина рыночного риска по базовому методу должна рассчитываться профессиональным участником как сумма величины рыночного риска по объектам, указанным в пункте 4.2 настоящего Указания, рассчитанной в соответствии с пунктами 5.2 - 5.8 настоящего Указания, и величины рыночного риска по производным финансовым инструментам и аналогичным им договорам, рассчитанной в соответствии с методологией, установленной во внутренних документах профессионального участника, в случае если расчет рыночного риска по указанным объектам в соответствии с требованиями, установленными в подпунктах 5.4.1 - 5.4.7 пункта 5.4 и пункте 5.5 настоящего Указания, неприменим.

5.2. Величина рыночного риска по объектам, указанным в абзацах втором - четвертом и седьмом - девятом пункта 4.2 настоящего Указания (), которые отнесены профессиональным участником к длинной позиции или короткой позиции, должна рассчитываться профессиональным участником по формуле:

,

где:

- величина основной части рыночного риска, рассчитываемая в соответствии с подпунктами 5.2.1 и 5.2.4 настоящего пункта;

- величина валютной части рыночного риска, рассчитываемая в соответствии с подпунктом 5.2.5 настоящего пункта.

Значение профессиональным участником должно признаваться равным нулю для объектов, номинированных в иностранной валюте, указанных в абзацах четвертом, седьмом и восьмом пункта 4.2 настоящего Указания.

5.2.1. Величина основной части рыночного риска по объектам, указанным в абзацах втором и третьем пункта 4.2 настоящего Указания, которые отнесены профессиональным участником к длинной позиции (), должна рассчитываться профессиональным участником по формуле:

,

где:

Э - величина объектов, указанных в абзацах втором и третьем пункта 4.2 настоящего Указания, которые отнесены профессиональным участником к длинной позиции;

К - ставка риска уменьшения цены (курса) объекта, рассчитанная клиринговой организацией в соответствии с абзацем третьим пункта 17 приложения к Указанию Банка России N 5636-У. По решению профессионального участника вместо указанной ставки риска могут применяться следующие корректирующие коэффициенты:

для акций, российских депозитарных расписок, удостоверяющих право собственности на акции, инвестиционных паев паевых инвестиционных фондов, иностранных депозитарных расписок на акции - значения показателей риска, установленные пунктом 3.5 настоящего Указания;

для долговых ценных бумаг, иностранных депозитарных расписок на долговые ценные бумаги - корректирующие коэффициенты, установленные пунктом 3.6 настоящего Указания;

для процентных ставок и индексов, являющихся базисными активами производных финансовых инструментов и аналогичных им договоров, - корректирующий коэффициент, установленный подпунктом 5.2.2 настоящего пункта;

для товаров, допущенных к организованным торгам, - корректирующий коэффициент, установленный подпунктом 5.2.3 настоящего пункта;

- ставка риска уменьшения курса иностранной валюты, рассчитанная клиринговой организацией в соответствии с абзацем третьим пункта 17 приложения к Указанию Банка России N 5636-У. По решению профессионального участника вместо указанной ставки риска может применяться корректирующий коэффициент для иностранной валюты, установленный пунктом 3.7 настоящего Указания.

5.2.2. Корректирующий коэффициент для процентных ставок и индексов, являющихся базисными активами производных финансовых инструментов и аналогичных им договоров, устанавливается равным следующим значениям:

2 процентам для процентных ставок;

15 процентам для фондовых индексов. По решению профессионального участника вместо указанного в настоящем абзаце значения может применяться значение средневзвешенного коэффициента риска по ценным бумагам, включенным в указанные в абзаце первом настоящего подпункта индексы, соразмерно доле указанных ценных бумаг в фондовом индексе или корректирующим коэффициентам, установленным пунктами 3.5 и 3.6 настоящего Указания, включенным в указанный индекс;

15 процентам для индексов, являющихся базисными активами производных финансовых инструментов и аналогичных им договоров, за исключением индекса, указанного в абзаце третьем настоящего подпункта (далее - иные индексы).

5.2.3. Корректирующий коэффициент для товаров, допущенных к организованным торгам, устанавливается равным следующим значениям:

3 процентам для дизельного топлива;

4 процентам для бензина;

5 процентам для золота;

9 процентам для нефти;

10 процентам для серебра;

15 процентам для иных товаров, допущенных к организованным торгам.

5.2.4. Величина основной части рыночного риска по объектам, указанным в абзацах втором, третьем и девятом пункта 4.2 настоящего Указания, которые отнесены профессиональным участником к короткой позиции (), должна рассчитываться профессиональным участником по формуле:

,

где:

Э - величина объектов, указанных в абзацах втором, третьем и девятом пункта 4.2 настоящего Указания, которые отнесены профессиональным участником к короткой позиции;

К - ставка риска увеличения цены (курса) объекта, рассчитанная клиринговой организацией в соответствии с абзацем третьим пункта 17 приложения к Указанию Банка России N 5636-У. По решению профессионального участника вместо указанной ставки риска могут применяться корректирующие коэффициенты, установленные пунктами 3.5 и 3.6 настоящего Указания, подпунктами 5.2.2 и 5.2.3 настоящего пункта;

- ставка риска увеличения курса иностранной валюты, рассчитанная клиринговой организацией в соответствии с абзацем третьим пункта 17 приложения к Указанию Банка России N 5636-У. По решению профессионального участника вместо указанной ставки риска может применяться корректирующий коэффициент, установленный пунктом 3.7 настоящего Указания.

5.2.5. Величина валютной части рыночного риска по объектам, указанным в абзацах втором - четвертом и седьмом - девятом пункта 4.2 настоящего Указания, которые отнесены к длинной позиции и (или) к короткой позиции (), должна рассчитываться профессиональным участником по формуле:

,

где:

Э - величина объектов, указанных в абзацах втором - четвертом и седьмом - девятом пункта 4.2 настоящего Указания, которые отнесены к длинной позиции и (или) к короткой позиции;

- ставка риска уменьшения или увеличения курса иностранной валюты, в случае если объекты, указанные в абзацах втором - четвертом и седьмом - девятом пункта 4.2 настоящего Указания, отнесены к длинной или короткой позиции соответственно, рассчитанная клиринговой организацией в соответствии с абзацем третьим пункта 17 приложения к Указанию Банка России N 5636-У. По решению профессионального участника вместо указанной ставки риска может применяться корректирующий коэффициент, установленный пунктом 3.7 настоящего Указания.

Допускается не рассчитывать величину валютной части рыночного риска, если при расчете величины основной части рыночного риска по базовому методу профессиональным участником в расчет принимается ставка риска объекта, рассчитанная клиринговой организацией в соответствии с абзацем третьим пункта 17 приложения к Указанию Банка России N 5636-У, в рублях.

5.3. Величина рыночного риска в отношении российской депозитарной расписки и иностранной депозитарной расписки должна рассчитываться профессиональным участником по формулам, установленным в пункте 5.2 настоящего Указания.

В расчет величины рыночного риска по указанным объектам профессиональным участником должны приниматься ставки риска клиринговой организации по объектам, на которые российская депозитарная расписка или иностранная депозитарная расписка удостоверяют право собственности, рассчитанные клиринговой организацией в соответствии с абзацем третьим пункта 17 приложения к Указанию Банка России N 5636-У, и ставки риска для иностранной валюты, в которой выражены объекты, на которые российская депозитарная расписка или иностранная депозитарная расписка удовлетворяет право собственности. По решению профессионального участника вместо ставки риска могут применяться корректирующие коэффициенты, установленные пунктами 3.5 или 3.6 и 3.7 настоящего Указания соответственно.

5.4. В целях расчета величины рыночного риска производный финансовый инструмент и аналогичный ему договор профессиональным участником должен рассматриваться как инструмент, учитываемый как требования и обязательства профессионального участника по поставке базисного актива и получению (уплате) денежных средств, за исключением случая, предусмотренного пунктом 5.5 настоящего Указания, с учетом следующих особенностей.

5.4.1. Величина рыночного риска по форвардным договорам, фьючерсным договорам и своп-договорам, базисным активом которых являются несколько различных активов (далее - корзина активов), должна включаться профессиональным участником в расчет величины рыночного риска по отдельным активам пропорционально их доле в корзине активов.

В случае если по форвардным договорам, фьючерсным договорам и своп-договорам, предусматривающим поставку ценных бумаг, выбор профессиональным участником и контрагентом по указанным договорам поставляемых ценных бумаг осуществляется непосредственно перед исполнением указанных договоров, величина рыночного риска должна рассчитываться профессиональным участником исходя из того, какие ценные бумаги были бы поставлены в случае исполнения указанных в настоящем абзаце договоров на дату расчета НДК.

5.4.2. Величина рыночного риска по требованиям и обязательствам по поставке базисного актива и получению (уплате) денежных средств, за исключением требований и обязательств по поставке базисного актива, выраженных в иностранной валюте, требований и обязательств по получению (уплате) денежных средств в иностранной валюте, по форвардным и фьючерсным договорам () должна рассчитываться профессиональным участником по формуле:

,

где:

- величина основной части рыночного риска, рассчитываемая по формулам, указанным в подпунктах 5.2.1 и 5.2.4 пункта 5.2 настоящего Указания;

- величина валютной части рыночного риска, рассчитываемая по формуле, указанной в подпункте 5.2.5 пункта 5.2 настоящего Указания;

- величина процентной части рыночного риска, рассчитываемая по формуле, указанной в абзаце восьмом настоящего подпункта.

Величина процентной части рыночного риска по требованиям и обязательствам профессионального участника по поставке базисного актива и получению (уплате) денежных средств, за исключением требований и обязательств по поставке базисного актива, выраженных в иностранной валюте, требований и обязательств по получению (уплате) денежных средств в иностранной валюте, по форвардным и фьючерсным договорам должна рассчитываться профессиональным участником по формуле:

,

где:

Э - величина по требованиям и обязательствам профессионального участника по поставке базисного актива и получению (уплате) денежных средств, за исключением требований и обязательств по поставке базисного актива, выраженных в иностранной валюте, требований и обязательств по получению (уплате) денежных средств в иностранной валюте, по форвардным и фьючерсным договорам;

- корректирующий коэффициент для производных финансовых инструментов и аналогичных им договоров, установленный подпунктом 5.4.3 настоящего пункта.

Величина процентной части рыночного риска по требованиям и обязательствам по поставке базисного актива должна признаваться профессиональным участником равной нулю, в случае если базисным активом форвардного или фьючерсного договора является долговая ценная бумага или российская депозитарная расписка или иностранная депозитарная расписка на долговую ценную бумагу.

5.4.3. Корректирующий коэффициент для производных финансовых инструментов и аналогичных им договоров устанавливается равным следующим значениям:

0, если срок до исполнения производных финансовых инструментов и аналогичных им договоров составляет менее одного месяца;

0,2 процента, если срок до исполнения производных финансовых инструментов и аналогичных им договоров составляет от одного месяца до трех месяцев;

0,4 процента, если срок до исполнения производных финансовых инструментов и аналогичных им договоров составляет от трех до шести месяцев;

0,7 процента, если срок до исполнения производных финансовых инструментов и аналогичных им договоров составляет от шести месяцев до одного года;

1,25 процента, если срок до исполнения производных финансовых инструментов и аналогичных им договоров составляет от одного года до двух лет;

1,75 процента, если срок до исполнения производных финансовых инструментов и аналогичных им договоров составляет от двух до трех лет;

2,25 процента, если срок до исполнения производных финансовых инструментов и аналогичных им договоров составляет от трех до четырех лет;

2,75 процента, если срок до исполнения производных финансовых инструментов и аналогичных им договоров составляет от четырех до пяти лет;

3,25 процента, если срок до исполнения производных финансовых инструментов и аналогичных им договоров составляет от пяти до семи лет;

3,75 процента, если срок до исполнения производных финансовых инструментов и аналогичных им договоров составляет от семи до десяти лет;

4,5 процента, если срок до исполнения производных финансовых инструментов и аналогичных им договоров составляет от десяти до пятнадцати лет;

5,25 процента, если срок до исполнения производных финансовых инструментов и аналогичных им договоров составляет от пятнадцати до двадцати лет;

6 процентам, если срок до исполнения производных финансовых инструментов и аналогичных им договоров, составляет двадцать и более лет.

5.4.4. Величина рыночного риска по требованиям и обязательствам по поставке базисного актива, выраженного в иностранной валюте, требованиям и обязательствам по получению (уплате) денежных средств в иностранной валюте по форвардным и фьючерсным договорам () должна рассчитываться профессиональным участником по формуле:

,

где:

- величина валютной части рыночного риска, рассчитываемая по формуле, указанной в подпункте 5.2.5 пункта 5.2 настоящего Указания;

- величина процентной части рыночного риска, рассчитываемая по формуле, указанной в абзаце седьмом настоящего подпункта.

Величина процентной части рыночного риска по требованиям и обязательствам по поставке базисного актива, выраженного в иностранной валюте, требованиям и обязательствам по получению (уплате) денежных средств в иностранной валюте по форвардным и фьючерсным договорам () должна рассчитываться профессиональным участником по формуле:

,

где:

Э - величина требований и обязательств по поставке базисного актива, выраженного в иностранной валюте, требований и обязательств по получению (уплате) денежных средств в иностранной валюте по форвардным и фьючерсным договорам;

- корректирующий коэффициент для производных финансовых инструментов и аналогичных им договоров, установленный подпунктом 5.4.3 настоящего пункта.

Величина процентной части рыночного риска по требованиям и обязательствам по поставке базисного актива должна признаваться профессиональным участником равной нулю, в случае если базисным активом форвардного или фьючерсного договора является долговая ценная бумага или российская депозитарная расписка или иностранная депозитарная расписка на долговые ценные бумаги.

5.4.5. В целях расчета величины рыночного риска своп-договор и своп совокупного дохода, предусмотренный подпунктом "о" пункта B3.2.16 МСФО (IFRS) 9 (далее - своп совокупного дохода), должны рассматриваться профессиональным участником как совокупность форвардных договоров, за исключением случаев, предусмотренных абзацами вторым - тридцатым настоящего подпункта. Рыночный риск по своп-договору и свопу совокупного дохода должен рассчитываться профессиональным участником с даты исполнения первой части своп-договора или свопа совокупного дохода, предусматривающей поставку базисного актива (денежных средств), по формулам, установленным в подпунктах 5.4.2 и 5.4.4 настоящего пункта. (в ред. Указания ЦБ РФ от 22.11.2021 N 5998-У)

Величина рыночного риска по требованиям и обязательствам по базисному активу договора кредитно-дефолтного свопа должна рассчитываться профессиональным участником по формуле:

,

где:

- величина основной части рыночного риска по договору кредитно-дефолтного свопа, рассчитанная профессиональным участником в соответствии с абзацами седьмым - двадцать первым настоящего подпункта;

- величина валютной части рыночного риска по договору кредитно-дефолтного свопа, рассчитанная профессиональным участником в соответствии с абзацами двадцать третьим - двадцать седьмым настоящего подпункта.

Величина основной части рыночного риска по договору кредитно-дефолтного свопа должна рассчитываться профессиональным участником по формуле:

,

где:

Э - номинальная сумма, установленная условиями договора кредитно-дефолтного свопа;

КС - корректирующий коэффициент, установленный пунктом 3.6 настоящего Указания;

- коэффициент кредитного спреда, равный следующим значениям:

8 процентам, если срок, оставшийся до истечения договора кредитно-дефолтного свопа, составляет пять лет и более и юридическое лицо, в отношении обязательств которого договором кредитно-дефолтного свопа предусмотрено наступление кредитного события, имеет рейтинг долгосрочной кредитоспособности, присвоенный иностранными кредитными рейтинговыми агентствами на уровне от "A-" и выше по международной рейтинговой шкале "Эс-энд-Пи Глобал Рейтингс" (S&P Global Ratings) или "Фитч Рейтингс" (Fitch Ratings) либо на уровне от "A3" и выше по международной рейтинговой шкале "Мудис Инвесторс Сервис" (Moody's Investors Service);

13 процентам, если срок, оставшийся до истечения договора кредитно-дефолтного свопа, составляет от трех до пяти лет и юридическое лицо, в отношении обязательств которого договором кредитно-дефолтного свопа предусмотрено наступление кредитного события, имеет рейтинг долгосрочной кредитоспособности, присвоенный иностранными кредитными рейтинговыми агентствами на уровне от "A-" и выше по международной рейтинговой шкале "Эс-энд-Пи Глобал Рейтингс" (S&P Global Ratings) или "Фитч Рейтингс" (Fitch Ratings) либо на уровне от "A3" и выше по международной рейтинговой шкале "Мудис Инвесторс Сервис" (Moody's Investors Service);

16 процентам, если срок, оставшийся до истечения договора кредитно-дефолтного свопа, составляет от одного года до трех лет и юридическое лицо, в отношении обязательств которого договором кредитно-дефолтного свопа предусмотрено наступление кредитного события, имеет рейтинг долгосрочной кредитоспособности, присвоенный иностранными кредитными рейтинговыми агентствами на уровне от "A-" и выше по международной рейтинговой шкале "Эс-энд-Пи Глобал Рейтингс" (S&P Global Ratings) или "Фитч Рейтингс" (Fitch Ratings) либо на уровне от "A3" и выше по международной рейтинговой шкале "Мудис Инвесторс Сервис" (Moody's Investors Service);

17 процентам, если срок, оставшийся до истечения договора кредитно-дефолтного свопа, составляет пять лет и более и юридическое лицо, в отношении обязательств которого договором кредитно-дефолтного свопа предусмотрено наступление кредитного события, имеет рейтинг долгосрочной кредитоспособности, присвоенный иностранными кредитными рейтинговыми агентствами на уровне от "BBB-" до "BBB+" по международной рейтинговой шкале "Эс-энд-Пи Глобал Рейтингс" (S&P Global Ratings) или "Фитч Рейтингс" (Fitch Ratings) либо на уровне от "Baa3" до "Baa1" по международной рейтинговой шкале "Мудис Инвесторс Сервис" (Moody's Investors Service);

26 процентам, если срок, оставшийся до истечения договора кредитно-дефолтного свопа, составляет от трех до пяти лет и юридическое лицо, в отношении обязательств которого договором кредитно-дефолтного свопа предусмотрено наступление кредитного события, имеет рейтинг долгосрочной кредитоспособности, присвоенный иностранными кредитными рейтинговыми агентствами на уровне от "BBB-" до "BBB+" по международной рейтинговой шкале "Эс-энд-Пи Глобал Рейтингс" (S&P Global Ratings) или "Фитч Рейтингс" (Fitch Ratings) либо на уровне от "Baa3" до "Baa1" по международной рейтинговой шкале "Мудис Инвесторс Сервис" (Moody's Investors Service);

29 процентам, если срок, оставшийся до истечения договора кредитно-дефолтного свопа, составляет от одного года до трех лет и юридическое лицо, в отношении обязательств которого договором кредитно-дефолтного свопа предусмотрено наступление кредитного события, имеет рейтинг долгосрочной кредитоспособности, присвоенный иностранными кредитными рейтинговыми агентствами на уровне от "BBB-" до "BBB+" по международной рейтинговой шкале "Эс-энд-Пи Глобал Рейтингс" (S&P Global Ratings) или "Фитч Рейтингс" (Fitch Ratings) либо на уровне от "Baa3" до "Baa1" по международной рейтинговой шкале "Мудис Инвесторс Сервис" (Moody's Investors Service);

20 процентам, если срок, оставшийся до истечения договора кредитно-дефолтного свопа, составляет от пять лет и более и юридическое лицо, в отношении обязательств которого договором кредитно-дефолтного свопа предусмотрено наступление кредитного события, имеет рейтинг долгосрочной кредитоспособности, присвоенный иностранными кредитными рейтинговыми агентствами на уровне от "BB+" и ниже по международной рейтинговой шкале "Эс-энд-Пи Глобал Рейтингс" (S&P Global Ratings) или "Фитч Рейтингс" (Fitch Ratings) либо на уровне от "Ba1" и ниже по международной рейтинговой шкале "Мудис Инвесторс Сервис" (Moody's Investors Service);

31 проценту, если срок, оставшийся до истечения договора кредитно-дефолтного свопа, составляет от трех до пяти лет и юридическое лицо, в отношении обязательств которого договором кредитно-дефолтного свопа предусмотрено наступление кредитного события, имеет рейтинг долгосрочной кредитоспособности, присвоенный иностранными кредитными рейтинговыми агентствами на уровне от "BB+" и ниже по международной рейтинговой шкале "Эс-энд-Пи Глобал Рейтингс" (S&P Global Ratings) или "Фитч Рейтингс" (Fitch Ratings) либо на уровне от "Ba1" и ниже по международной рейтинговой шкале "Мудис Инвесторс Сервис" (Moody's Investors Service);

35 процентам, если срок, оставшийся до истечения договора кредитно-дефолтного свопа, составляет от одного года до трех лет и юридическое лицо, в отношении обязательств которого договором кредитно-дефолтного свопа предусмотрено наступление кредитного события, имеет рейтинг долгосрочной кредитоспособности, присвоенный иностранными кредитными рейтинговыми агентствами на уровне от "BB+" и ниже по международной рейтинговой шкале "Эс-энд-Пи Глобал Рейтингс" (S&P Global Ratings) или "Фитч Рейтингс" (Fitch Ratings) либо на уровне от "Ba1" и ниже по международной рейтинговой шкале "Мудис Инвесторс Сервис" (Moody's Investors Service).

Величина основной части рыночного риска по требованиям и обязательствам профессионального участника по получению (уплате) денежных средств по договору кредитно-дефолтного свопа должна рассчитываться профессиональным участником в соответствии с подпунктами 5.4.2 и 5.4.4 настоящего пункта.

Величина валютной части рыночного риска по договору кредитно-дефолтного свопа должна рассчитываться профессиональным участником по формуле:

,

где,

Э - справедливая стоимость требований и обязательств по базисному активу договора кредитно-дефолтного свопа;

- ставка риска уменьшения или увеличения курса иностранной валюты, в которой выражена номинальная сумма, установленная условиями договора кредитно-дефолтного свопа, в случае если требования и обязательства по базисному активу договора кредитно-дефолтного свопа отнесены к длинной или короткой позиции соответственно, рассчитанная клиринговой организацией в соответствии с абзацем третьим пункта 17 приложения к Указанию Банка России N 5636-У. По решению профессионального участника вместо указанной ставки риска может применяться корректирующий коэффициент, установленный пунктом 3.7 настоящего Указания.

В целях расчета величины рыночного риска производные финансовые инструменты, базисным активом которых является наступление обстоятельства, указанного в пункте 1 Указания Банка России N 3565-У, по одному из контрольных лиц или по определенному условиями указанного производного финансового инструмента количеству контрольных лиц (далее - корзинный дефолтный своп), должны рассматриваться профессиональным участником как договор кредитно-дефолтного свопа по одному из следующих контрольных лиц:

любое контрольное лицо, если разница между самым низким и самым высоким уровнями рейтингов долгосрочной кредитоспособности, присвоенных иностранными кредитными рейтинговыми агентствами контрольным лицам, составляет не более чем 2 уровня;

контрольное лицо с самым низким уровнем рейтинга долгосрочной кредитоспособности, если разница между самым низким и самым высоким уровнями рейтингов долгосрочной кредитоспособности, присвоенных иностранными кредитными рейтинговыми агентствами контрольным лицам, составляет более чем 2 уровня.

5.4.6. Величина рыночного риска по требованиям и обязательствам по поставке базисного актива и получению (уплате) денежных средств по опционному договору (), в случае если клиринговая организация рассчитывает величину индивидуального клирингового обеспечения и стоимость по указанному договору, должна рассчитываться профессиональным участником по формуле:

,

где:

- величина основной части рыночного риска, рассчитываемая по формулам, указанным в абзацах седьмом и двенадцатом настоящего подпункта;

- величина валютной части рыночного риска, рассчитываемая по формуле, указанной в абзаце семнадцатом настоящего подпункта.

Величина основной части рыночного риска по требованиям и обязательствам по поставке базисного актива и получению (уплате) денежных средств по опционному договору, отнесенным профессиональным участником к длинной позиции (), должна рассчитываться профессиональным участником по формуле:

,

где:

ГО - величина индивидуального клирингового обеспечения по опционному договору, рассчитанная клиринговой организацией;

- ставка риска уменьшения курса иностранной валюты, в которой выражена величина индивидуального клирингового обеспечения по опционному договору, рассчитанная клиринговой организацией в соответствии с абзацем третьим пункта 17 приложения к Указанию Банка России N 5636-У. По решению профессионального участника вместо указанной ставки риска может применяться корректирующий коэффициент, установленный пунктом 3.7 настоящего Указания. В случае если величина индивидуального клирингового обеспечения по опционному договору рассчитана клиринговой организацией в рублях, в расчет рыночного риска по опционному договору профессиональным участником должно приниматься значение , равное нулю.

Величина основной части рыночного риска по требованиям и обязательствам по поставке базисного актива и получению (уплате) денежных средств по опционному договору, отнесенным профессиональным участником к короткой позиции (), должна рассчитываться профессиональным участником по формуле:

,

где:

ГО - величина индивидуального клирингового обеспечения по опционному договору, рассчитанная клиринговой организацией;

- ставка риска увеличения курса иностранной валюты, в которой выражена величина индивидуального клирингового обеспечения по опционному договору, рассчитанная клиринговой организацией в соответствии с абзацем третьим пункта 17 приложения к Указанию Банка России N 5636-У, если в качестве индивидуального клирингового обеспечения исполнения обязательств профессионального участника предоставлены денежные средства в иностранной валюте. По решению профессионального участника вместо указанной ставки риска может применяться корректирующий коэффициент, установленный пунктом 3.7 настоящего Указания. В случае если величина индивидуального клирингового обеспечения по опционному договору рассчитана клиринговой организацией в рублях, в расчет рыночного риска по опционному договору профессиональный участник должен принимать значение , равное нулю.

Величина валютной части рыночного риска по требованиям и обязательствам по поставке базисного актива и получению (уплате) денежных средств по опционному договору, отнесенным профессиональным участником к длинной позиции и (или) короткой позиции (), должна рассчитываться профессиональным участником по формуле:

,

где:

СТ - стоимость опционного договора, рассчитанная клиринговой организацией;

- ставка риска уменьшения и (или) увеличения курса иностранной валюты, в которой выражена величина индивидуального клирингового обеспечения по опционному договору, отнесенного профессиональным участником к длинной и (или) короткой позиции соответственно, рассчитанная клиринговой организацией в соответствии с абзацем третьим пункта 17 приложения к Указанию Банка России N 5636-У. По решению профессионального участника вместо указанной ставки риска может применяться корректирующий коэффициент, установленный пунктом 3.7 настоящего Указания. В случае если величина индивидуального клирингового обеспечения по опционному договору рассчитана клиринговой организацией в рублях, в расчет рыночного риска по опционному договору профессиональный участник должен принимать значение , равное нулю.

5.4.7. Величина рыночного риска по требованиям и обязательствам по поставке базисного актива и получению (уплате) денежных средств по опционному договору () в случаях, не предусмотренных абзацем первым подпункта 5.4.6 настоящего пункта, должна рассчитываться профессиональным участником по формуле:

,

где:

- величина основной части рыночного риска, рассчитываемая по формулам, указанным в абзаце втором подпункта 5.4.7.1, абзаце втором подпункта 5.4.7.2, абзаце втором подпункта 5.4.7.3 и абзаце втором подпункта 5.4.7.4 настоящего пункта соответственно;

- величина валютной части рыночного риска, рассчитываемая по формулам, указанным в абзаце втором подпункта 5.4.7.5 и абзаце втором подпункта 5.4.7.6 настоящего пункта соответственно;

- величина процентной части рыночного риска, рассчитываемая по формулам, указанным в абзаце втором подпункта 5.4.7.7 и абзаце втором подпункта 5.4.7.8 настоящего пункта соответственно.

5.4.7.1. Величина основной части рыночного риска по требованиям и обязательствам по поставке базисного актива и получению (уплате) денежных средств по опционному договору, который предусматривает право, но не обязанность, покупателя опциона купить базисный актив к определенной дате (на определенную дату) по определенной цене (далее - приобретенный опцион типа "Call") (), должна рассчитываться профессиональным участником по формуле:

,

где:

- справедливая стоимость базисного актива опционного договора;

S - цена исполнения опционного договора;

- ставка риска увеличения цены (курса) базисного актива опционного договора, рассчитанная клиринговой организацией в соответствии с абзацем третьим пункта 17 приложения к Указанию Банка России N 5636-У. По решению профессионального участника вместо указанной ставки риска могут применяться корректирующие коэффициенты, установленные пунктами 3.5 - 3.7, подпунктами 5.2.2 и 5.2.3 пункта 5.2, подпунктом 5.4.3 пункта 5.4 настоящего Указания соответственно;

- ставка риска увеличения курса иностранной валюты, в которой выражена цена исполнения опционного договора, рассчитанная клиринговой организацией в соответствии с абзацем третьим пункта 17 приложения к Указанию Банка России N 5636-У. По решению профессионального участника вместо указанной ставки риска может применяться корректирующий коэффициент, установленный пунктом 3.7 настоящего Указания. В случае если указанная величина индивидуального клирингового обеспечения по опционному договору рассчитана клиринговой организацией в рублях, в расчет рыночного риска по опционному договору профессиональный участник должен принимать значение , равное нулю.

5.4.7.2. Величина основной части рыночного риска по требованиям и обязательствам по поставке базисного актива и получению (уплате) денежных средств по опционному договору, который предусматривает обязательство продавца опциона продать базисный актив к определенной дате (на определенную дату) по определенной цене (далее - проданный опцион типа "Call") (), должна рассчитываться профессиональным участником по формуле:

,

где:

- справедливая стоимость базисного актива опционного договора;

S - цена исполнения опционного договора;

- ставка риска уменьшения цены (курса) базисного актива опционного договора, рассчитанная клиринговой организацией в соответствии с абзацем третьим пункта 17 приложения к Указанию Банка России N 5636-У. По решению профессионального участника вместо указанной ставки риска могут применяться корректирующие коэффициенты, установленные пунктами 3.5 - 3.7, подпунктами 5.2.2 и 5.2.3 пункта 5.2, подпунктом 5.4.3 пункта 5.4 настоящего Указания соответственно;

- ставка риска уменьшения курса иностранной валюты, в которой выражена цена исполнения опционного договора, рассчитанная клиринговой организацией в соответствии с абзацем третьим пункта 17 приложения к Указанию Банка России N 5636-У. По решению профессионального участника вместо указанной ставки риска может применяться корректирующий коэффициент, установленный пунктом 3.7 настоящего Указания.

5.4.7.3. Величина основной части рыночного риска по требованиям и обязательствам по поставке базисного актива и получению (уплате) денежных средств по опционному договору, который предусматривает право, но не обязанность, покупателя опциона продать базисный актив к определенной дате (на определенную дату) по определенной цене (далее - приобретенный опцион типа "Put") (), должна рассчитываться профессиональным участником по формуле:

,

где:

- справедливая стоимость базисного актива опционного договора;

S - цена исполнения опционного договора;

- ставка риска уменьшения цены (курса) базисного актива опционного договора, рассчитанная клиринговой организацией в соответствии с абзацем третьим пункта 17 приложения к Указанию Банка России N 5636-У. По решению профессионального участника вместо указанной ставки риска могут применяться корректирующие коэффициенты, установленные пунктами 3.5 - 3.7, подпунктами 5.2.2 и 5.2.3 пункта 5.2, подпунктом 5.4.3 пункта 5.4 настоящего Указания соответственно;

- ставка риска уменьшения курса иностранной валюты, в которой выражена цена исполнения опционного договора, рассчитанная клиринговой организацией в соответствии с абзацем третьим пункта 17 приложения к Указанию Банка России N 5636-У. По решению профессионального участника вместо указанной ставки риска может применяться корректирующий коэффициент, установленный пунктом 3.7 настоящего Указания.

5.4.7.4. Величина основной части рыночного риска по требованиям и обязательствам по поставке базисного актива и получению (уплате) денежных средств по опционному договору, который предусматривает обязательство продавца опциона купить базисный актив к определенной дате (на определенную дату) по определенной цене (далее - проданный опцион типа "Put") (), должна рассчитываться профессиональным участником по формуле:

,

где:

- справедливая стоимость базисного актива опционного договора;

S - цена исполнения опционного договора;

- ставка риска увеличения цены (курса) базисного актива опционного договора, рассчитанная в соответствии с абзацем третьим пункта 17 приложения к Указанию Банка России N 5636-У. По решению профессионального участника вместо указанной ставки риска могут применяться корректирующие коэффициенты, установленные пунктами 3.5 - 3.7, подпунктами 5.2.2 и 5.2.3 пункта 5.2, подпунктом 5.4.3 пункта 5.4 настоящего Указания соответственно;

- ставка риска увеличения курса иностранной валюты, в которой выражена цена исполнения опционного договора, рассчитанная клиринговой организацией в соответствии с абзацем третьим пункта 17 приложения к Указанию Банка России N 5636-У. По решению профессионального участника вместо указанной ставки риска может применяться корректирующий коэффициент, установленный пунктом 3.7 настоящего Указания.

5.4.7.5. Величина валютной части рыночного риска по требованиям и обязательствам по поставке базисного актива и получению (уплате) денежных средств по приобретенному опциону типа "Call" и по проданному опциону типа "Call" () должна рассчитываться профессиональным участником по формуле:

,

где:

- справедливая стоимость базисного актива опционного договора;

S - цена исполнения опционного договора;

- ставка риска увеличения или уменьшения курса иностранной валюты, в которой выражена цена исполнения приобретенного опциона типа "Call" и проданного опциона типа "Call" соответственно, рассчитанная клиринговой организацией в соответствии с абзацем третьим пункта 17 приложения к Указанию Банка России N 5636-У. По решению профессионального участника вместо указанной ставки риска может применяться корректирующий коэффициент, установленный пунктом 3.7 настоящего Указания.

5.4.7.6. Величина валютной части рыночного риска по требованиям и обязательствам по поставке базисного актива и получению (уплате) денежных средств по приобретенному опциону типа "Put" и по проданному опциону типа "Put" () должна рассчитываться профессиональным участником по формуле:

,

где:

- справедливая стоимость базисного актива опционного договора;

S - цена исполнения опционного договора;

- ставка риска уменьшения или увеличения курса иностранной валюты, в которой выражена цена исполнения приобретенного опциона типа "Put" и проданного опциона типа "Put" соответственно, рассчитанная клиринговой организацией в соответствии с абзацем третьим пункта 17 приложения к Указанию Банка России N 5636-У. По решению профессионального участника вместо указанной ставки риска может применяться корректирующий коэффициент, установленный пунктом 3.7 настоящего Указания.

5.4.7.7. Величина процентной части рыночного риска по требованиям и обязательствам по поставке базисного актива и получению (уплате) денежных средств по приобретенному опциону типа "Call" и по проданному опциону типа "Call" () должна рассчитываться профессиональным участником по формуле:

,

где:

- справедливая стоимость базисного актива опционного договора;

S - цена исполнения опционного договора;

- корректирующий коэффициент для объекта, указанного в абзаце шестом пункта 4.2 настоящего Указания, установленный подпунктом 5.4.3 настоящего пункта.

5.4.7.8. Величина процентной части рыночного риска по требованиям и обязательствам по поставке базисного актива и получению (уплате) денежных средств по приобретенному опциону типа "Put" и по проданному опциону типа "Put" () должна рассчитываться профессиональным участником по формуле:

,

где:

- справедливая стоимость базисного актива опционного договора;

S - цена исполнения опционного договора;

- корректирующий коэффициент для объекта, указанного в абзаце шестом пункта 4.2 настоящего Указания, установленный подпунктом 5.4.3 настоящего пункта.

В случае если базисным активом опционного договора является долговая ценная бумага, величина процентной части рыночного риска по требованиям и обязательствам по поставке базисного актива и получению (уплате) денежных средств по опционному договору должна признаваться профессиональным участником равной нулю.

5.5. По решению профессионального участника величина рыночного риска в отношении производных финансовых инструментов и аналогичных ему договоров может рассчитываться как совокупная величина индивидуального клирингового обеспечения, рассчитываемая клиринговой организацией в рублях по всем производным финансовым инструментам и аналогичным им договорам, заключенным профессиональным участником в собственных интересах и учитываемым клиринговой организацией в одном и том же клиринговом регистре. При этом объекты, указанные в абзаце шестом пункта 4.2 настоящего Указания, принятые к расчету величины рыночного риска в соответствии настоящим пунктом, не должны учитываться профессиональным участником в иных расчетах, осуществляемых в соответствии с пунктом 5.4 настоящего Указания.

5.6. В целях расчета величины рыночного риска структурная облигация должна рассматриваться профессиональным участником как долговая ценная бумага, величина рыночного риска по которой должна рассчитываться профессиональным участником по формулам, установленным в пункте 5.2 настоящего Указания, если указанная долговая ценная бумага, в том числе номинированная в иностранной валюте, оценивается по справедливой стоимости через прибыль или убыток или по справедливой стоимости через прочий совокупный доход или учитывается по амортизированной стоимости.

По решению профессионального участника структурная облигация может рассматриваться профессиональным участником как долговая ценная бумага и производный финансовый инструмент и аналогичный ему договор.

Величина рыночного риска по структурной облигации в части, отнесенной профессиональным участником к долговой ценной бумаге, должна рассчитываться профессиональным участником по формулам, установленным в пункте 5.2 настоящего Указания, если указанная долговая ценная бумага, в том числе номинированная в иностранной валюте, оценивается по справедливой стоимости через прибыль или убыток или по справедливой стоимости через прочий совокупный доход или учитывается по амортизированной стоимости.

Величина рыночного риска по структурной облигации в части, отнесенной профессиональным участником к производному финансовому инструменту и аналогичному ему договору, должна рассчитываться в соответствии с пунктами 5.4 и 5.5 настоящего Указания с соблюдением требования, установленного абзацем пятым пункта 4.1 настоящего Указания.

5.7. В целях расчета величины рыночного риска ценные бумаги инвестиционного фонда, в том числе иностранного инвестиционного фонда, по решению профессионального участника могут рассматриваться профессиональным участником как совокупность активов, в которые инвестировано имущество инвестиционного фонда, в случае если в состав активов указанного инвестиционного фонда входят только денежные средства, включая денежные средства в иностранной валюте, ценные бумаги, производные финансовые инструменты и аналогичные им договоры, а также требования из договоров, заключенных для целей управления указанным инвестиционным фондом. Величина рыночного риска по указанным в настоящем пункте активам должна рассчитываться в соответствии с пунктами 5.2, 5.4 - 5.6 настоящего Указания.

Глава 6. Расчет величины рыночного риска профессионального участника, осуществляющего дилерскую, брокерскую деятельность, деятельность по управлению ценными бумагами и деятельность форекс-дилеров, по продвинутому методу

6.1. Величина рыночного риска профессионального участника по продвинутому методу должна рассчитываться профессиональным участником как сумма величины рыночного риска по объектам, указанным в пункте 4.2 настоящего Указания, рассчитанной в соответствии с пунктами 6.2 - 6.6 настоящего Указания, и величины рыночного риска по производным финансовым инструментам и аналогичным им договорам, рассчитанной в соответствии с методологией, установленной во внутренних документах профессионального участника, в случае если расчет рыночного риска по указанным объектам в соответствии с требованиями, установленными в подпунктах 5.4.1 - 5.4.7 пункта 5.4 и пункте 5.5 настоящего Указания, неприменим.

6.2. В целях расчета величины рыночного риска профессионального участника по продвинутому методу все объекты, указанные в пункте 4.2 настоящего Указания, требования и обязательства, указанные в подпункте 6.2.2 настоящего пункта, относятся профессиональным участником в группы однородных объектов с соблюдением требований по отнесению указанных объектов, требований и обязательств к длинной или короткой позиции в соответствии с пунктом 4.3 настоящего Указания.

6.2.1. При отнесении профессиональным участником объектов, указанных в пункте 4.2 настоящего Указания, в группы однородных объектов должны быть соблюдены следующие условия.

Долевые ценные бумаги включаются в группу однородных объектов, в случае если долевые ценные бумаги выпущены одним эмитентом и номинированы в одной валюте либо удостоверяют долю в праве общей собственности на имущество, составляющее имущество одного паевого инвестиционного фонда, и номинированы в одной валюте (далее - однородные долевые ценные бумаги).

Долговые ценные бумаги включаются в группу однородных объектов, в случае если долговые ценные бумаги выпущены одним эмитентом (лицом обязанным по ценной бумаге), номинированы в одной валюте и разница между сроками до погашения долговых ценных бумаг (досрочного погашения долговых ценных бумаг по усмотрению эмитента (лица обязанного по ценной бумаге) или досрочного погашения долговых ценных бумаг по требованию владельцев) не превышает двух лет (если применимо) (далее - однородные долговые ценные бумаги).

Российские депозитарные расписки и иностранные депозитарные расписки включаются в группу однородных объектов, в случае если указанные депозитарные расписки удостоверяют право собственности на однородные долевые ценные бумаги или однородные долговые ценные бумаги. Российские депозитарные расписки и иностранные депозитарные расписки, удостоверяющие право собственности на однородные долевые ценные бумаги или однородные долговые ценные бумаги, включаются в одну группу однородных объектов с однородными долевыми ценными бумагами или однородными долговыми ценными бумагами, на которые указанные депозитарные расписки удостоверяют право собственности.

Фондовые индексы и иные индексы включаются в группу однородных объектов, в случае если включают в себя однородные долевые ценные бумаги или однородные долговые ценные бумаги. Фондовые индексы и иные индексы, включающие в себя однородные долевые ценные бумаги или однородные долговые ценные бумаги, включаются в одну группу однородных объектов с однородными долевыми ценными бумагами или однородными долговыми ценными бумагами пропорционально их доле в фондовом или ином индексе.

Денежные средства в иностранной валюте включаются в группу однородных объектов, в случае если денежные средства номинированы в одной валюте.

6.2.2. При отнесении профессиональным участником требований и обязательств в группы однородных объектов должны быть соблюдены следующие условия.

Требования и обязательства из договоров, объектом которых являются однородные долевые ценные бумаги, включаются в одну группу однородных объектов, сформированную по указанным долевым ценным бумагам.

Требования и обязательства из договоров, объектом которых являются однородные долговые ценные бумаги, включаются в одну группу однородных объектов, сформированную по указанным долговым ценным бумагам.

Требования и обязательства из договоров, объектом которых являются российские депозитарные расписки или иностранные депозитарные расписки, включаются в одну группу однородных объектов, сформированную по указанным депозитарным распискам и по ценным бумагам, на которые указанные депозитарные расписки удостоверяют право собственности.

Требования и обязательства из договоров, объектом которых является иностранная валюта, включаются в одну группу однородных объектов, сформированную по иностранной валюте, в которой номинированы указанные требования (обязательства).

Требования и обязательства, объектом которых является товар, включаются в одну группу однородных объектов, если товары являются взаимозаменяемыми, при этом минимальное значение коэффициента линейной корреляции между рыночными ценами данных товаров за период не менее одного года составляет 0,9. В целях расчета НДК понятие "взаимозаменяемый товар" применяется в значении, установленном пунктом 3 статьи 4 Федерального закона от 26 июля 2006 года N 135-ФЗ "О защите конкуренции" (Собрание законодательства Российской Федерации, 2006, N 31, ст. 3434; 2021, N 27, ст. 5171).

Требования и обязательства из договоров, объектом которых являются один и тот же фондовый или иной индекс или одна и та же процентная ставка, профессиональный участник должен включать в одну группу однородных объектов.

6.2.3. Валютную часть риска по ценным бумагам, номинированным в иностранной валюте, требованиям и обязательствам по ним профессиональный участник должен включать в группу однородных объектов, сформированную по иностранной валюте, в которой номинированы указанные ценные бумаги.

6.2.4. Требования и обязательства по базисному активу договора кредитно-дефолтного свопа профессиональный участник должен включать в группу однородных объектов, сформированную по однородным долговым ценным бумагам, при условии, что договором кредитно-дефолтного свопа предусмотрено наступление кредитного события в отношении обязательств юридического лица, являющегося эмитентом однородных долговых ценных бумаг.

6.3. Величина рыночного риска профессионального участника () должна рассчитываться профессиональным участником по формуле:

,

где:

- величина основной части рыночного риска, рассчитываемая по формуле, указанной в абзаце втором пункта 6.4 настоящего Указания;

- величина валютной части рыночного риска, рассчитываемая по формуле, указанной в абзаце втором пункта 6.6 настоящего Указания;

- величина процентной части рыночного риска, рассчитываемая по формуле, указанной в абзаце втором пункта 6.9 настоящего Указания;

6.4. Величина основной части рыночного риска () должна рассчитываться профессиональным участником с соблюдением требований, установленных в пункте 6.5 настоящего Указания, по формуле:

,

где:

- величина длинной (короткой) позиции по i-ой группе однородных объектов, рассчитанная профессиональным участником по формуле:

,

где:

- величина основной части рыночного риска по i-ой группе однородных объектов, отнесенных к j-ой длинной позиции, рассчитываемая в соответствии с требованиями и формулами, указанными в главе 5 настоящего Указания;

- величина основной части рыночного риска по i-ой группе однородных объектов, отнесенных к j-ой короткой позиции, рассчитываемая в соответствии с требованиями и формулами, указанными в главе 5 настоящего Указания;

- величина основной части рыночного риска по договору кредитно-дефолтного свопа, рассчитанная в соответствии с пунктом 6.10 настоящего Указания. Величина основной части рыночного риска по договору кредитно-дефолтного свопа, рассчитанная в соответствии с пунктом 6.10 настоящего Указания, профессиональным участником должна включаться в расчет величины основной части рыночного риска при одновременном соблюдении следующих условий:

,

если 0, то 0;

если 0, то 0,

где:

- коэффициент кредитного спреда, определенный профессиональным участником в соответствии с абзацами тринадцатым - двадцать первым подпункта 5.4.5 пункта 5.4 настоящего Указания, исходя из уровня рейтинга долгосрочной кредитоспособности, присвоенного иностранными кредитными рейтинговыми агентствами эмитенту однородных объектов, включенных в одну группу, и максимального срока до погашения долговых ценных бумаг (досрочного погашения долговых ценных бумаг по усмотрению эмитента или по требованию владельцев) в указанной группе однородных объектов;

РК - величина рыночного риска по объекту, указанному в абзаце шестом пункта 4.2 настоящего Указания, определенная в соответствии с пунктом 5.5 настоящего Указания;

- часть основной части рыночного риска по договору кредитно-дефолтного свопа, которая определяется в соответствии с абзацем двадцать первым подпункта 5.4.5 пункта 5.4 настоящего Указания и не участвует в расчете величины длинной или короткой позиции по группам однородных объектов, сформированным по однородным долговым ценным бумагам.

6.5. В расчет основной части рыночного риска профессиональный участник должен включать длинные (короткие) позиции по разным группам однородных объектов при соблюдении условий, установленных подпунктами 6.5.1 и 6.5.2 настоящего пункта.

6.5.1. Долговые ценные бумаги, российские депозитарные расписки, удостоверяющие право собственности на долговые ценные бумаги, иностранные депозитарные расписки на долговые ценные бумаги, требования и обязательства, предметом которых являются указанные в настоящем абзаце ценные бумаги, профессиональный участник должен включать в расчет основной части рыночного риска при одновременном соблюдении следующих условий:

указанные в настоящем подпункте ценные бумаги выпущены эмитентами с рейтингом долгосрочной кредитоспособности, присвоенным иностранными кредитными рейтинговыми агентствами, при условии, если разница между самым низким и самым высоким уровнями рейтинга составляет не более чем три уровня;

указанные в настоящем подпункте ценные бумаги номинированы в одной валюте и разница между сроками до погашения долговой ценной бумаги (досрочного погашения долговой ценной бумаги по усмотрению эмитента (лица обязанного по ценной бумаге) или досрочного погашения долговой ценной бумаги по требованию владельцев) не превышает двух лет.

6.5.2. Долевые ценные бумаги, российские депозитарные расписки, удостоверяющие право собственности на долевые ценные бумаги, инвестиционные паи паевых инвестиционных фондов и иностранные депозитарные расписки на долевые ценные бумаги, требования и обязательства, предметом которых являются указанные в настоящем абзаце ценные бумаги, профессиональный участник должен включать в расчет основной части рыночного риска, в случае если указанные ценные бумаги включены в один и тот же котировальный список и номинированы в одной валюте.

6.6. Величина валютной части рыночного риска () должна рассчитываться профессиональным участником с соблюдением требований, установленных в пункте 6.9 настоящего Указания, по формуле:

,

где:

- величина длинной или короткой позиции по i-ой иностранной валюте, рассчитанная профессиональным участником по формуле:

,

где:

- величина валютной части рыночного риска, рассчитанная по объектам, выраженным в i-ой иностранной валюте, входящим в группу однородных объектов и отнесенных к j-ой длинной позиции, рассчитываемая в соответствии с требованиями и формулами, указанными в главе 5 настоящего Указания;

- величина валютной части рыночного риска, рассчитанная по объектам, выраженным в i-ой иностранной валюте, входящим в группу однородных объектов и отнесенных к j-ой короткой позиции, рассчитываемая в соответствии с требованиями и формулами, указанными в главе 5 настоящего Указания.

6.7. В расчет валютной части рыночного риска профессиональный участник должен включать длинную (короткую) позицию по разным группам однородных объектов, в случае если иностранная валюта эмитирована в стране, являющейся членом Евразийского экономического союза или членом ОЭСР или участником объединения БРИКС.

6.8. В целях расчета рыночного риска по продвинутому методу по решению профессионального участника при расчете основной и (или) валютной частей рыночного риска по каждой группе однородных объектов, отнесенных к короткой или длиной позиции, может применяться большее из двух значений: ставка риска уменьшения цены (курса) объекта или ставка риска увеличения цены (курса) объекта, рассчитанные клиринговой организацией в соответствии с абзацем третьим пункта 17 приложения к Указанию Банка России N 5636-У.

6.9. Величина процентной части рыночного риска () должна рассчитываться профессиональным участником по формуле:

,

где:

- величина процентной части рыночного риска по i-ой валюте, отнесенной к j-ой длинной позиции, рассчитываемая в соответствии с требованиями и формулами, указанными в главе 5 настоящего Указания;

- величина процентной части рыночного риска по i-ой валюте, отнесенной к j-ой короткой позиции, рассчитываемая в соответствии с требованиями и формулами, указанными в главе 5 настоящего Указания.

6.10 Величина основной части рыночного риска по договору кредитно-дефолтного свопа () должна рассчитываться профессиональным участником по формуле:

,

где:

- величина основной части рыночного риска по кредитно-дефолтным свопам по i-ой однородной группе, отнесенной к j-ой длинной позиции, рассчитываемая в соответствии с требованиями и формулами, указанными в главе 5 настоящего Указания;

- величина основной части рыночного риска по кредитно-дефолтным свопам по i-ой однородной группе, отнесенной к j-ой короткой позиции, рассчитываемая в соответствии с требованиями и формулами, указанными в главе 5 настоящего Указания.

По решению профессионального участника величина основной части рыночного риска по договору кредитно-дефолтного свопа, рассчитанная в соответствии с настоящим пунктом, может разбиваться на несколько частей для включения в группы однородных объектов.

Глава 7. Порядок расчета величины резерва на возможные потери

7.1. Профессиональный участник должен рассчитывать величину резерва на возможные потери:

по активам профессионального участника, указанным в пункте 3.2 настоящего Указания;

по условным обязательствам кредитного характера профессионального участника, указанным в пункте 3.12 настоящего Указания;

по требованиям профессионального участника к клиенту с особым уровнем риска;

по позиции клиента.

Абзац пятый пункта 7.1 действует по 30.09.2025 (пункт 8.3).

7.2. В целях расчета величины резерва на возможные потери профессиональный участник должен отнести к одной из категорий качеств, предусмотренных настоящим пунктом:

активы профессионального участника;

условные обязательства кредитного характера профессионального участника;

требования профессионального участника к клиенту с особым уровнем риска;

позицию клиента.

Абзац пятый пункта 7.2 пункта 7.2 действует по 30.09.2025 (пункт 8.3).

7.2.1. I категория качества:

активы или условные обязательства кредитного характера профессионального участника, контрагентом по которым является федеральный орган исполнительной власти, Банк России, МФО и МБР, центральный депозитарий, центральный контрагент, качество управления которого признано Банком России удовлетворительным, а также организация, субъект Российской Федерации, муниципальное образование, имеющие кредитный рейтинг не ниже уровня, установленного Советом директоров Банка России для I категории качества, или активы профессионального участника, обеспеченные гарантией федерального органа исполнительной власти, Банка России, МФО и МБР;

требования профессионального участника к клиенту с особым уровнем риска, являющемуся организацией, имеющей кредитный рейтинг не ниже уровня, установленного Советом директоров Банка России для I категории качества;

позиция клиента, являющегося организацией, имеющей кредитный рейтинг не ниже уровня, установленного Советом директоров Банка России для I категории качества.

Абзац четвертый подпункта 7.2.1 пункта 7.2 действует по 30.09.2025 (пункт 8.3).

7.2.2. II категория качества:

активы или условные обязательства кредитного характера профессионального участника, контрагентом по которым является центральный контрагент, за исключением центрального контрагента, качество управления которого признано Банком России удовлетворительным, а также организация, субъект Российской Федерации, муниципальное образование, имеющие кредитный рейтинг не ниже уровня, установленного Советом директоров Банка России для II категории качества;

требования профессионального участника к клиенту с особым уровнем риска, являющемуся организацией, имеющей кредитный рейтинг не ниже уровня, установленного Советом директоров Банка России для II категории качества;

позиция клиента, являющегося организацией, имеющей кредитный рейтинг не ниже уровня, установленного Советом директоров Банка России для II категории качества.

Абзац четвертый подпункта 7.2.2 пункта 7.2 действует по 30.09.2025 (пункт 8.3).

7.2.3. III категория качества:

активы или условные обязательства кредитного характера профессионального участника, контрагентом по которым является организация, субъект Российской Федерации, муниципальное образование, у которых кредитный рейтинг отсутствует или ниже уровня, установленного Советом директоров Банка России для II категории качества;

требования профессионального участника к клиенту с особым уровнем риска, являющемуся организацией, у которой кредитный рейтинг отсутствует или ниже уровня, установленного Советом директоров Банка России для II категории качества;

позиция клиента, являющегося организацией, у которой кредитный рейтинг отсутствует или ниже уровня, установленного Советом директоров Банка России для II категории качества;

Абзац четвертый подпункта 7.2.3 пункта 7.2 действует по 30.09.2025 (пункт 8.3).

актив профессионального участника, являющийся реструктурированной (в том числе пролонгированной) задолженностью контрагента, имеющего кредитный рейтинг не ниже уровня, установленного Советом директоров Банка России для II категории качества;

активы, условные обязательства кредитного характера профессионального участника, контрагентом по которым является организация, субъект Российской Федерации, муниципальное образование, имеющие кредитный рейтинг не ниже уровня, установленного Советом директоров Банка России для II категории качества, требования профессионального участника к клиенту с особым уровнем риска, являющемуся организацией, имеющей кредитный рейтинг не ниже уровня, установленного Советом директоров Банка России для II категории качества, или позиция клиента, являющегося организацией, имеющей кредитный рейтинг не ниже уровня, установленного Советом директоров Банка России для II категории качества, при одновременном наличии следующих условий:

наличие просроченной задолженности контрагента перед профессиональным участником, просроченных требований профессионального участника к клиенту с особым уровнем риска или просроченных обязательств клиента с особым уровнем риска перед профессиональным участником по активам, входящим в расчет величины отрицательного планового исходящего остатка по активу клиента с особым уровнем риска, в том числе обязательств из сделок, совершенных за счет такого клиента;

просрочка составляет свыше 90 календарных дней и ее размер составляет более одного процента от суммарной величины активов и (или) условных обязательств кредитного характера, и (или) требований профессионального участника к клиенту с особым уровнем риска, и (или) отрицательного планового исходящего остатка по активам клиента с особым уровнем риска;

Абзацы шестой - восьмой подпункта 7.2.3 пункта 7.2 действуют по 30.09.2025 (пункт 8.3).

активы, условные обязательства кредитного характера профессионального участника, контрагентом по которым является организация, субъект Российской Федерации, муниципальное образование, имеющие кредитный рейтинг не ниже уровня, установленного Советом директоров Банка России для II категории качества, требования профессионального участника к клиенту с особым уровнем риска, являющемуся организацией, имеющей кредитный рейтинг не ниже уровня, установленного Советом директоров Банка России для II категории качества, при одновременном наличии следующих условий:

наличие просроченной задолженности контрагента перед профессиональным участником, просроченных требований профессионального участника к клиенту с особым уровнем риска;

просрочка составляет свыше 90 календарных дней и ее размер составляет более одного процента от суммарной величины активов и (или) условных обязательств кредитного характера, и (или) требований профессионального участника к клиенту с особым уровнем риска.

Абзац девятый - одиннадцатый подпункта 7.2.3 пункта 7.2 действуют с 01.10.2025 (пункт 8.1).

7.2.4. IV категория качества:

активы, условные обязательства кредитного характера профессионального участника, контрагентом по которым является физическое лицо;

актив профессионального участника, являющийся реструктурированной (в том числе пролонгированной) задолженностью контрагента, у которого кредитный рейтинг отсутствует или ниже уровня, установленного Советом директоров Банка России для II категории качества;

активы, условные обязательства кредитного характера профессионального участника, контрагентом по которым является организация, субъект Российской Федерации, муниципальное образование, у которых кредитный рейтинг отсутствует или ниже уровня, установленного Советом директоров Банка России для II категории качества, требования профессионального участника к клиенту с особым уровнем риска, являющемуся организацией, у которой кредитный рейтинг отсутствует или ниже уровня, установленного Советом директоров Банка для II категории качества, и позиция клиента, являющегося организацией, у которой кредитный рейтинг отсутствует или ниже уровня, установленного Советом директоров Банка для II категории качества, при одновременном наличии следующих условий:

наличие просроченной задолженности контрагента перед профессиональным участником, просроченных требований профессионального участника к клиенту с особым уровнем риска, являющемуся организацией, у которой кредитный рейтинг отсутствует или ниже уровня, установленного Советом директоров Банка для II категории качества, или просроченных обязательств клиента с особым уровнем риска перед профессиональным участником по активам, входящим в расчет величины отрицательного планового исходящего остатка по активу клиента с особым уровнем риска, в том числе обязательств из сделок, совершенных за счет такого клиента;

просрочка составляет свыше 90 календарных дней и ее размер составляет более одного процента от суммарной величины активов и (или) условных обязательств кредитного характера, и (или) требований профессионального участника к клиенту с особым уровнем риска, и (или) отрицательного планового исходящего остатка по активам клиента с особым уровнем риска.

Абзацы четвертый - шестой подпункта 7.2.4 пункта 7.2 действуют по 30.09.2025 (пункт 8.3).

активы, условные обязательства кредитного характера профессионального участника, контрагентом по которым является организация, субъект Российской Федерации, муниципальное образование, у которых кредитный рейтинг отсутствует или ниже уровня, установленного Советом директоров Банка России для II категории качества, требования профессионального участника к клиенту с особым уровнем риска, являющемуся организацией, у которой кредитный рейтинг отсутствует или ниже уровня, установленного Советом директоров Банка для II категории качества, при одновременном наличии следующих условий:

наличие просроченной задолженности контрагента перед профессиональным участником, просроченных требований профессионального участника к клиенту с особым уровнем риска;

просрочка составляет свыше 90 календарных дней и ее размер составляет более одного процента от суммарной величины активов и (или) условных обязательств кредитного характера, и (или) требований профессионального участника к клиенту с особым уровнем риска.

Абзац седьмой - девятый подпункта 7.2.4 пункта 7.2 действуют с 01.10.2025 (пункт 8.1).

7.3. Величина резерва на возможные потери по активам, условным обязательствам кредитного характера профессионального участника и по требованиям профессионального участника к клиенту с особым уровнем риска () должна рассчитываться профессиональным участником по формуле:

,

где:

- величина актива, условного обязательства кредитного характера профессионального участника или требования профессионального участника к клиенту с особым уровнем риска;

- коэффициент обесценения, равный:

от 0 до 1 процента, если актив, условное обязательство кредитного характера профессионального участника или требования профессионального участника к клиенту с особым уровнем риска отнесены профессиональным участником к I категории качества;

от 1 до 51 процента, если актив, условное обязательство кредитного характера профессионального участника или требования профессионального участника к клиенту с особым уровнем риска отнесены профессиональным участником ко II категории качества;

от 51 процента до 75 процентов, если актив, условное обязательство кредитного характера профессионального участника или требования профессионального участника к клиенту с особым уровнем риска отнесены профессиональным участником к III категории качества;

75 процентов и более, если актив, условное обязательство кредитного характера профессионального участника или требования профессионального участника к клиенту с особым уровнем риска отнесены профессиональным участником к IV категории качества;

- резерв, признанный профессиональным участником в таком качестве в соответствии с разделом 5.5 МСФО (IFRS) 9, в отношении актива или условного обязательства кредитного характера профессионального участника;

- величина обеспечения по i-ому активу, i-ому условному обязательству кредитного характера профессионального участника, рассчитанная в соответствии с абзацами восьмым - двадцать пятым пункта 3.3 настоящего Указания, или по i-ому требованию профессионального участника к клиенту с особым уровнем риска, рассчитанная в соответствии с пунктом 3.19 настоящего Указания.

7.4. Величина резерва на возможные потери по позиции клиента с особым уровнем риска () должна рассчитываться профессиональным участником по формуле:

, где:

FP - величина позиции клиента с особым уровнем риска, рассчитанная в соответствии с пунктом 3.14 настоящего Указания;

- коэффициент обесценения, равный:

от 0 до 1 процента, если позиция клиента с особым уровнем риска отнесена профессиональным участником к I категории качества;

от 1 до 51 процента, если позиция клиента с особым уровнем риска отнесена профессиональным участником ко II категории качества;

от 51 процента до 75 процентов, если позиция клиента с особым уровнем риска отнесена профессиональным участником к III категории качества;

75 процентов и более, если позиция клиента с особым уровнем риска отнесена профессиональным участником к IV категории качества.

Пункт 7.4 действует по 30.09.2025 (пункт 8.3).

Глава 8. Заключительные положения

8.1. Настоящее Указание подлежит официальному опубликованию и вступает в силу с 1 октября 2021 года, за исключением положений, для которых настоящим пунктом установлен иной срок вступления их в силу.

Абзац десятый пункта 3.1, абзац четвертый пункта 3.2, абзацы девятый - одиннадцатый подпункта 7.2.3, абзацы седьмой - девятый подпункта 7.2.4 пункта 7.2 настоящего Указания вступают в силу с 1 октября 2025 года. (в ред. Указания ЦБ РФ от 11.08.2023 N 6502-У)

8.2. Со дня вступления в силу настоящего Указания признать утратившим силу Указание Банка России от 30 ноября 2017 года N 4630-У "О требованиях к осуществлению дилерской, брокерской деятельности, деятельности по управлению ценными бумагами и деятельности форекс-дилеров в части расчета показателя достаточности капитала", зарегистрированное Министерством юстиции Российской Федерации 23 марта 2018 года N 50496.

8.3. Абзац четвертый пункта 1.5, абзац второй подпункта 2.4.7 пункта 2.4, абзацы шестой - девятый пункта 3.1, абзац третий пункта 3.2, пункты 3.14 - 3.17, абзац пятый пункта 7.1, абзац пятый пункта 7.2, абзац четвертый подпункта 7.2.1, абзац четвертый подпункта 7.2.2, абзацы четвертый, шестой - восьмой подпункта 7.2.3, абзацы четвертый - шестой подпункта 7.2.4 пункта 7.2, пункт 7.4 настоящего Указания действуют по 30 сентября 2025 года. (в ред. Указания ЦБ РФ от 11.08.2023 N 6502-У)

Председатель Центрального банка
Российской Федерации
Э.С. НАБИУЛЛИНА