Приказ Росстата от 16.11.2023 N 567

"Об утверждении форм федерального статистического наблюдения для организации федерального статистического наблюдения за деятельностью организаций в сфере финансового лизинга и за сведениями о средствах на реализацию мер социальной поддержки отдельных категорий граждан по расходным обязательствам субъекта Российской Федерации и муниципальных образований"
Редакция от 16.11.2023 — Не действует Перейти в действующую
Показать изменения

ФЕДЕРАЛЬНАЯ СЛУЖБА ГОСУДАРСТВЕННОЙ СТАТИСТИКИ

ПРИКАЗ
от 16 ноября 2023 г. N 567

ОБ УТВЕРЖДЕНИИ ФОРМ ФЕДЕРАЛЬНОГО СТАТИСТИЧЕСКОГО НАБЛЮДЕНИЯ ДЛЯ ОРГАНИЗАЦИИ ФЕДЕРАЛЬНОГО СТАТИСТИЧЕСКОГО НАБЛЮДЕНИЯ ЗА ДЕЯТЕЛЬНОСТЬЮ ОРГАНИЗАЦИЙ В СФЕРЕ ФИНАНСОВОГО ЛИЗИНГА И ЗА СВЕДЕНИЯМИ О СРЕДСТВАХ НА РЕАЛИЗАЦИЮ МЕР СОЦИАЛЬНОЙ ПОДДЕРЖКИ ОТДЕЛЬНЫХ КАТЕГОРИЙ ГРАЖДАН ПО РАСХОДНЫМ ОБЯЗАТЕЛЬСТВАМ СУБЪЕКТА РОССИЙСКОЙ ФЕДЕРАЦИИ И МУНИЦИПАЛЬНЫХ ОБРАЗОВАНИЙ

В соответствии с частью 4 статьи 6 Федерального закона от 29 ноября 2007 г. N 282-ФЗ "Об официальном статистическом учете и системе государственной статистики в Российской Федерации", подпунктом 5.5 пункта 5 Положения о Федеральной службе государственной статистики, утвержденного постановлением Правительства Российской Федерации от 2 июня 2008 г. N 420, Порядком утверждения Федеральной службой государственной статистики форм федерального статистического наблюдения и указаний по их заполнению, утвержденным приказом Министерства экономического развития Российской Федерации от 24 мая 2021 г. N 279, и в целях реализации позиций 1.32.2 и 1.32.12 Федерального плана статистических работ, утвержденного распоряжением Правительства Российской Федерации от 6 мая 2008 г. N 671-р, приказываю:

1. Утвердить формы федерального статистического наблюдения с указаниями по их заполнению и ввести их в действие:

1) годовую с отчета за 2023 год:

N ДАФЛ "Обследование деловой активности организации, осуществляющей деятельность в сфере финансового лизинга" (приложение N 1).

2) полугодовую с отчета за январь - декабрь 2023 года:

N 2-соцподдержка "Сведения о средствах на реализацию мер социальной поддержки отдельных категорий граждан по расходным обязательствам субъекта Российской Федерации и муниципальных образований" (приложение N 2).

2. Административные и первичные статистические данные по формам федерального статистического наблюдения, утвержденным настоящим приказом, предоставляются в соответствии с указаниями по их заполнению, по адресам, в сроки и с периодичностью, которые указаны на бланках этих форм.

3. Признать утратившими силу отдельные структурные единицы актов Федеральной службы государственной статистики в соответствии с приложением N 3 к настоящему приказу.

Заместитель руководителя
С.Н. ЕГОРЕНКО

Приложение N 1

ФЕДЕРАЛЬНОЕ СТАТИСТИЧЕСКОЕ НАБЛЮДЕНИЕ
 
КОНФИДЕНЦИАЛЬНОСТЬ ГАРАНТИРУЕТСЯ ПОЛУЧАТЕЛЕМ ИНФОРМАЦИИ
 
Нарушение порядка предоставления первичных статистических данных или несвоевременное предоставление этих данных, либо предоставление недостоверных первичных статистических данных влечет ответственность, установленную Кодексом Российской Федерации об административных правонарушениях
 
ОБСЛЕДОВАНИЕ ДЕЛОВОЙ АКТИВНОСТИ ОРГАНИЗАЦИИ, ОСУЩЕСТВЛЯЮЩЕЙ ДЕЯТЕЛЬНОСТЬ В СФЕРЕ ФИНАНСОВОГО ЛИЗИНГА
за 20__ г.
Предоставляют: Сроки предоставления   Форма N ДАФЛ
юридические лица (кроме микропредприятий), осуществляющие деятельность в сфере финансового лизинга (лизингодатели):
- территориальному органу Росстата в субъекте Российской Федерации по установленному им адресу
с 1-го рабочего дня января по 10 февраля после отчетного периода   Приказ Росстата:
Об утверждении формы
от 16.11.2023 N 567
О внесении изменений (при наличии)
от _________ N ___
от _________ N ___
Годовая
Наименование отчитывающейся организации _________________________________
Почтовый адрес __________________________________________________________
Код формы по ОКУД Код
отчитывающейся организации по ОКПО ИНН  
1 2 3 4
0608035      

1. Организация, осуществляющая деятельность в сфере финансового лизинга

N строки Код ответа
(1 - да; 0 - нет)
А Б 1
Организация осуществляет деятельность только по финансовому лизингу или имеет возможность отразить расходы организации (сумма строк 15 - 23, 26 - 28) связанные только с финансовым лизингом 01  

2. Стоимость лизингового имущества, переданного лизингополучателю, тысяча рублей

N строки В отчетном году
А Б 1
Общая стоимость лизингового имущества - всего 02  

3. Средневзвешенный срок договоров финансового лизинга (дней), средневзвешенная годовая ставка удорожания, %

N строки В отчетном году
А Б 1
Средневзвешенный (по сумме договоров) срок договоров финансового лизинга, дней 03  
Средневзвешенная годовая (по сумме договоров) ставка удорожания, % 04  

4. Отдельные финансово-экономические показатели деятельности лизингодателя, тысяча рублей

Наименование N строки За отчетный год
А Б 1
Портфель лизинговых договоров - всего (сумма строк 06 - 13) 05  
в том числе по группам клиентов-лизингополучателей:    
нефинансовые организации 06  
кредитные организации 07  
страховщики и негосударственные пенсионные фонды 08  
другие финансовые посредники (кроме страховщиков и негосударственных пенсионных фондов) 09  
некоммерческие организации, обслуживающие домашние хозяйства 10  
домашние хозяйства 11  
органов государственного управления 12  
нерезиденты 13  
Расходы организации лизингодателя - всего (сумма строк 15 - 23, 26 - 28) 14  
в том числе:    
материальные затраты 15  
затраты на оплату труда 16  
налоги 17  
страховые взносы 18  
выходные пособия 19  
долгосрочные вознаграждения работникам по окончании трудовой деятельности 20  
амортизация основных средств 21  
амортизация нематериальных активов 22  
расходы на приобретение имущества, переданного по договору финансового лизинга (сумма строк 24 - 25) 23  
в том числе:    
проценты за заемные средства, привлеченные на приобретение имущества 24  
прочие материальные затраты 25  
расходы на содержание переданного по договору финансового лизинга имущества 26  
суточные (в расходах на служебные командировки) 27  
прочие расходы 28  
из них    
неустойки, штрафы, пени 29  
Прочие доходы организации лизингодателя - всего (сумма строк 31 - 32) 30  
в том числе:    
комиссионные доходы за совершение лизинговой сделки 31  
сумма денежных средств поступивших в счет погашения задолженности по неустойке (штрафу, пене) по договорам финансового лизинга 32  

5. Процентные доходы и расходы лизингодателя, тысяча рублей

Наименование N строки За отчетный год
А Б 1
Процентные доходы - всего (сумма строк 34 - 44) 33  
в том числе:    
по депозитам и прочим размещенным средствам в кредитных организациях 34  
по депозитам и прочим размещенным средствам в банках-нерезидентах 35  
по прочим предоставленным средствам органам государственного управления 36  
по прочим предоставленным средствам финансовым организациям (за исключением кредитных организаций) 37  
по прочим предоставленным средствам нефинансовым организациям 38  
по прочим предоставленным средствам индивидуальным предпринимателям и физическим лицам 39  
по прочим предоставленным средствам некоммерческим организациям, обслуживающим домашние хозяйства 40  
по ценным бумагам нефинансовых корпораций 41  
по ценным бумагам финансовых корпораций 42  
по государственным и муниципальным ценным бумагам 43  
по ценным бумагам нерезидентов 44  
Процентные расходы - всего (сумма строк 46 - 49) 45  
по средствам привлеченным от кредитных организаций (за исключением процентов по заемным средствам на приобретение лизингового имущества) 46  
по средствам привлеченным от юридических лиц, кроме кредитных организаций (за исключением процентов по заемным средствам на приобретение лизингового имущества) 47  
по средствам привлеченным от органов государственного управления 48  
по средствам привлеченным от нерезидентов 49  
Выплаченный купонный доход по долговым ценным бумагам 50  
Должностное лицо, ответственное за предоставление первичных статистических данных (лицо, уполномоченное предоставлять первичные статистические данные от имени юридического лица)          
  (должность)   (Ф.И.О.)   (подпись)
           
      E-mail: <1> _______________   "__" __________ 20__ год
  (номер контактного телефона <1>)       (дата составления документа)

<1> Используются Федеральной службой государственной статистики и ее территориальными органами для дополнительного информирования о проведении в отношении респондента федерального статистического наблюдения по конкретным формам федерального статистического наблюдения, обязательным для предоставления, а также для направления извещений, уведомлений, квитанций и иных юридически значимых сообщений.

В случае направления формы федерального статистического наблюдения через специального оператора связи вышеуказанное взаимодействие с респондентом может осуществляться также через специального оператора связи.

Указания по заполнению формы федерального статистического наблюдения

1. Первичные статистические данные (далее - данные) по форме федерального статистического наблюдения N ДАФЛ "Обследование деловой активности организации, осуществляющей деятельность в сфере финансового лизинга" (далее - форма) предоставляют юридические лица (кроме микропредприятий), осуществляющие деятельность в сфере финансового лизинга (лизингодатели) в соответствии с Общероссийским классификатором видов экономической деятельности (ОКВЭД2) (код 64.91) на территории Российской Федерации.

Форма предоставляется всеми организациями-лизингодателями, кроме микропредприятий, в территориальный орган Росстата по месту фактического осуществления ими деятельности с 1-го рабочего дня января по 10 февраля года после отчетного периода.

Форма заполняется на основании данных бухгалтерской отчетности, а также данных управленческого (аналитического) учета отчитывающейся организации. В форму включаются данные в целом по юридическому лицу, то есть по всем филиалам и другим структурным подразделениям данного юридического лица независимо от их местонахождения.

В данные по форме не включаются договоры финансового лизинга по сублизингу.

Форму предоставляют также филиалы, представительства и подразделения, действующих на территории Российской Федерации иностранных организаций в порядке, установленном для юридических лиц.

При реорганизации юридического лица в форме преобразования юридическое лицо, являющееся правопреемником, с момента своего создания должно предоставлять данные по форме (включая данные реорганизованного юридического лица) в срок, указанный на форме за период с начала отчетного года, в котором произошла реорганизация.

По форме за отчетный период в случае отсутствия наблюдаемого явления респондент должен направить подписанный в установленном порядке отчет по форме, не заполненный значениями показателей ("пустой" отчет по форме).

Во всех представляемых отчетах такого вида должен заполняться исключительно титульный раздел формы, а в остальных разделах не должно указываться никаких значений данных, в том числе нулевых и прочерков.

В адресной части указывается полное наименование отчитывающейся организации в соответствии с учредительными документами, зарегистрированными в установленном порядке, а затем в скобках - краткое наименование.

По строке "Почтовый адрес" указывается наименование субъекта Российской Федерации, юридический адрес с почтовым индексом, указанный в ЕГРЮЛ; либо адрес, по которому юридическое лицо осуществляет свою деятельность, если он не совпадает с юридическим адресом.

В кодовой части титульного листа формы на основании Уведомления о присвоении кода ОКПО, размещенного на сайте системы сбора отчетности Росстата в информационно-телекоммуникационной сети "Интернет" по адресу: https://websbor.gks.ru/online/info, отчитывающаяся организация проставляет код по Общероссийскому классификатору предприятий и организаций (ОКПО).

В графе 3 кодовой части титульного листа формы проставляется ИНН на основании данных из ЕГРЮЛ.

В разделах 2, 3, 4, 5 необходимо указать количественные значения показателей.

При заполнении формы следует руководствоваться следующей структурой секторов и подсекторов.

Определение секторов и подсекторов экономики.

Понятия "резидент" и "нерезидент" используются при составлении формы в соответствии с валютным законодательством Российской Федерации.

Данные по резидентам разбиваются на следующие сектора (подсектора) экономики:

сектор нефинансовых организаций;

сектор финансовых корпораций;

кредитные организации;

страховщики;

негосударственные пенсионные фонды;

другие финансовые организации;

сектор государственного управления;

сектор домашних хозяйств;

сектор некоммерческих организаций, обслуживающих домашние хозяйства.

Сектор нефинансовых организаций включает организации, занимающиеся производством товаров и оказанием нефинансовых услуг по рыночным ценам, независимо от формы собственности и организационно-правовой структуры. К сектору нефинансовых организаций следует также относить унитарные предприятия и сельскохозяйственные потребительские (кроме кредитных и страховых) и производственные кооперативы с участием юридических лиц.

Сектор финансовых организаций включает организации, осуществляющие на основании соответствующей лицензии финансовые услуги, а также организации, осуществляющие не лицензируемые виды финансовой деятельности.

В подсектор "кредитные организации" включаются банки и небанковские кредитные организации, имеющие лицензии Банка России на осуществление банковских операций.

В подсектор "страховщики" включаются страховые организации и общества взаимного страхования.

В подсектор "негосударственные пенсионные фонды" включаются организации, обладающие лицензией на осуществление деятельности по пенсионному обеспечению и пенсионному страхованию.

Подсектор "другие финансовые организации" включает юридические лица, предоставляющие на основании соответствующей лицензии услуги на рынках ценных бумаг, услуги страхового брокера, а также лизинговые услуги, услуги по предоставлению займов под залог (деятельность ломбардов) или иные услуги финансового характера.

В данный подсектор включаются инвестиционные компании, управляющие компании, депозитарии, специализированные депозитарии, фондовые и товарно-фондовые биржи, брокерские организации, кредитные потребительские кооперативы, микрофинансовые организации, лизинговые компании, факторинговые компании, ломбарды, саморегулируемые организации финансового рынка, страховые агенты и страховые брокеры, являющиеся юридическими лицами, и другие финансовые посредники.

Сектор государственного управления охватывает министерства, ведомства, внебюджетные фонды, институты, некоммерческие организации, занятые в области государственного управления и местного самоуправления, финансов, регулирования и планирования экономики, научно-исследовательской деятельности, обороны, защиты окружающей среды, поддержания внутреннего порядка, бесплатного и льготного обслуживания населения в сфере образования, здравоохранения, искусства, социального обеспечения, и включает:

а) федеральные органы государственной власти (организации, выполняющие функции государственного управления на федеральном уровне, финансируемые в основном за счет средств федерального бюджета - федеральные министерства и ведомства, государственные внебюджетные фонды федерального уровня, и другие нерыночные некоммерческие организации, финансируемые и контролируемые федеральными органами государственной власти);

б) органы государственной власти субъектов Российской Федерации и органы местного самоуправления (организации, обеспечивающие выполнение функций государственного управления на уровне субъектов Российской Федерации (республик, краев, областей) и местного самоуправления на уровне муниципальных образований (городов и поселений), финансируемые в основном за счет средств бюджетов субъектов Российской Федерации и местных бюджетов муниципальных образований (органы государственной власти субъектов Российской Федерации, органы местного самоуправления, государственные внебюджетные фонды регионального уровня и муниципальных образований);

в) Открытое акционерное общество "РОСНАНО", государственную компанию "Российские автомобильные дороги" и другие нерыночные некоммерческие организации, финансируемые и контролируемые органами управления на уровне субъектов Российской Федерации и местных органов власти - школы, больницы, организации культуры и так далее.

Сектор домашних хозяйств включает физических лиц и индивидуальных предпринимателей.

Сектор некоммерческих организаций, обслуживающих домашние хозяйства обхватывает потребительские общества граждан, общественные и религиозные организации, фонды, преследующие социальные, благотворительные, культурные, образовательные или иные общественно полезные цели, страховых агентов и брокеров, являющихся физическими лицами и индивидуальными предпринимателями.

1. Организация, осуществляющая деятельность в сфере финансового лизинга

2. В строке 01 раздела 1 организации, осуществляющие деятельность только в сфере финансового лизинга, а также организации, осуществляющие деятельность иную помимо финансового лизинга и которые могут в разделе 4 отразить расходы, связанные с осуществлением деятельности только по финансовому лизингу, проставляют код ответа - 1. Соответственно, организации осуществляющие деятельность иную помимо финансового лизинга и не имеющие возможность отразить расходы, связанные только с финансовым лизингом проставляют в строке - 0.

2. Стоимость лизингового имущества, переданного лизингополучателю

3. В разделе 2 по строке 02 указывается стоимость лизингового имущества, без учета налога на добавленную стоимость, фактически переданного лизингополучателю в отчетном году на основе действующих договоров финансового лизинга.

3. Средневзвешенный срок договоров финансового лизинга (дней), средневзвешенная годовая ставка удорожания

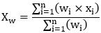
4. В разделе 3 по строке 03 указывается средневзвешенный (по сумме договоров) срок договоров финансового лизинга (дней). Показатель рассчитывается по формуле:

, (1)

где:

- средневзвешенный срок договоров финансового лизинга;

- сумма лизинговых платежей по договору финансового лизинга i;

- срок договора финансового лизинга i, дней.

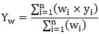
По строке 04 указывается средневзвешенная годовая (по сумме договоров) ставка удорожания. Рекомендательный подход расчета:

, (2)

где:

- средневзвешенная ставка удорожания для финансового лизинга;

- сумма лизинговых платежей по договору финансового лизинга i;

- ставка удорожания по договору лизинга i.

4. Отдельные финансово-экономические показатели деятельности лизингодателя в отчетном году

5. Раздел 4 заполняют организации, осуществлявшие в отчетном году деятельность в сфере финансового лизинга и (или) имеющие портфель действующих на конец отчетного периода лизинговых договоров.

Показатели раздела заполняются на основании данных бухгалтерской отчетности, а также данных управленческого (аналитического) учета отчитывающейся организации.

С учетом сроков представления формы допускается использование предварительных (оценочных) данных.

По строке 05 приводятся данные об объеме портфеля лизинговых договоров, заключенных в размере обязательств клиентов по действующим на конец отчетного года договорам финансового лизинга за вычетом уже оплаченных лизинговых платежей.

В строках 06 - 13 данные из строки 05 распределяются по группам клиентов-лизингополучателей в разрезе секторов и подсекторов экономики.

По строке 06 приводятся данные по лизингополучателям - нефинансовым организациям.

По строке 07 приводятся данные по лизингополучателям - кредитным организациям.

По строке 08 приводятся данные по лизингополучателям - страховым организациям, а также по негосударственным пенсионным фондам.

По строке 09 приводятся данные по лизингополучателям - другим финансовым организациям.

По строке 10 приводятся данные по лизингополучателям - некоммерческим организациям, обслуживающим сектор домашних хозяйств (НКООДХ).

По строке 11 приводятся данные по лизингополучателям - физическим лицам и индивидуальным предпринимателям.

По строке 12 приводятся данные по лизингополучателям - органам государственного управления.

По строке 13 приводятся данные по лизингополучателям - нерезидентам.

По строкам 14 - 29 указывается сумма расходов организации, связанных с осуществлением деятельности по финансовому лизингу (код ответа - 1 по строке 01). Если организация осуществляет деятельность помимо финансового лизинга и не может выделить расходы, связанные только с финансовым лизингом (код ответа - 0 по строке 01), то отражает по вышеназванным строкам общие расходы, связанные с осуществлением всех видов деятельности.

Из строки 14 по строке 15 выделяются материальные затраты, включающие в себя используемые материалы, оборудование и инвентарь, не относящиеся к основным средствам; потребление топлива, воды, электроэнергии; расходы на техническое обслуживание основных средств; транспортные услуги сторонних организаций.

По строке 16 - затраты на оплату труда.

По строке 17 - налоги (налоги на имущество, транспортным налог, земельный налог, государственные пошлины и прочие налоги на активы используемые для целей производства).

По строке 18 - страховые взносы в государственные внебюджетные фонды.

По строке 19 - выходные пособия.

По строке 20 - долгосрочные вознаграждения работникам по окончании трудовой деятельности.

По строке 21 - начисленная амортизация основных средств.

По строке 22 - начисленная амортизация нематериальных активов.

По строке 23 отражаются расходы лизингодателя на приобретение имущества, переданного по договору финансового лизинга. Общая сумма приобретения имущества (как за счет собственных, так и привлеченных средств) в данной строке не отражается.

Из строки 23 по строке 24 указываются проценты за заемные средства, привлеченные на приобретение имущества, переданного по договору финансового лизинга.

По строке 25 указываются иные материальные затраты, связанные с приобретением имущества, переданного по договору финансового лизинга и не отраженные в строке 15.

По строке 26 приводятся расходы на содержание переданного по договору финансового лизинга имущества за отчетный год.

По строке 27 необходимо выделить расходы на суточные (в расходах на служебные командировки).

По строке 28 - прочие, не перечисленные выше расходы по строкам 15 - 23, 26 - 27.

Из строки 28 по строке 29 - неустойки, штрафы, пени.

По строке 30 указывается сумма прочих доходов лизингодателя, связанных с осуществлением деятельности финансового лизинга (сумма строк 31 - 32).

Из строки 30 по строке 31 указываются комиссионные доходы, выплаченные лизингополучателем лизингодателю за совершение лизинговой сделки.

По строке 32 указывается сумма денежных средств, поступивших в счет погашения задолженности по неустойке (штрафу, пени) по договорам финансового лизинга.

5. Процентные доходы и расходы лизингодателя за отчетный год

6. В разделе 5 отражаются процентные доходы и процентные расходы лизинговых компаний.

По строке 33 указываются данные о полученных за отчетный период процентных доходах.

Из строки 33 по строке 34 указываются процентные доходы по депозитам и прочим размещенным средствам в кредитных организациях.

По строке 35 указываются процентные доходы по депозитам и прочим размещенным средствам в банках-нерезидентах.

По строке 36 указываются данные по прочим предоставленным средствам органам государственного управления.

По строке 37 указываются данные по прочим предоставленным средствам финансовым корпорациям (за исключением кредитных организаций).

По строке 38 указываются данные по прочим предоставленным средствам нефинансовым организациям.

По строке 39 указываются данные по прочим предоставленным средствам индивидуальным предпринимателям и физическим лицам.

По строке 40 указываются данные по прочим предоставленным средствам некоммерческим организациям, обслуживающим домашние хозяйства.

По строке 41 указывается начисленный за отчетный период купонный доход по долговым ценным бумагам нефинансовых организаций.

По строке 42 указывается начисленный за отчетный период купонный доход по долговым ценным бумагам финансовых корпораций.

По строке 43 указывается начисленный за отчетный период купонный доход по государственным и муниципальным долговым ценным бумагам.

По строке 44 указывается начисленный за отчетный период купонный доход по долговым ценным бумагам нерезидентов.

По строке 45 указываются данные об уплаченных процентных расходах. По строке 46 указываются процентные расходы по средствам, привлеченным от кредитных организаций (за исключением процентов по заемным средствам на приобретение лизингового имущества).

По строке 47 указываются процентные расходы по средствам, привлеченным от юридических лиц, кроме кредитных организаций (за исключением процентов по заемным средствам на приобретение лизингового имущества).

По строке 48 указываются процентные расходы по средствам привлеченным от государственного управления.

По строке 49 указываются процентные расходы по средствам привлеченным от нерезидентов.

По строке 50 указывается уплаченный за отчетный период купонный доход по долговым ценным бумагам.

Контроль показателей формы:

Строка 05 раздела 4 = сумме данных строк 06 - 13 раздела 4

Если строка 05 раздела 4 > 0, то строка 14 раздела 4 > 0

Строка 14 раздела 4 = сумме строк 15 - 23, 26 - 28 раздела 4

Строка 23 раздел 4 = сумме подстрок 24 - 25 раздела 4

Строка 28 раздел 4 >= строке 29 раздела 4

Строка 30 раздел 4 = сумме строк 31 - 32 раздел 4

Строка 33 раздел 5 = сумме строк 34 - 44 раздела 5

Строка 45 раздела 5 = сумме строк 46 - 49 раздела 5

Приложение N 2

ФЕДЕРАЛЬНОЕ СТАТИСТИЧЕСКОЕ НАБЛЮДЕНИЕ
 
Обязанность предоставления административных данных предусмотрена статьей 8 Федерального закона от 29 ноября 2007 г. N 282-ФЗ "Об официальном статистическом учете и системе государственной статистики в Российской Федерации"
 
СВЕДЕНИЯ О СРЕДСТВАХ НА РЕАЛИЗАЦИЮ МЕР СОЦИАЛЬНОЙ ПОДДЕРЖКИ ОТДЕЛЬНЫХ КАТЕГОРИЙ ГРАЖДАН ПО РАСХОДНЫМ ОБЯЗАТЕЛЬСТВАМ СУБЪЕКТА РОССИЙСКОЙ ФЕДЕРАЦИИ И МУНИЦИПАЛЬНЫХ ОБРАЗОВАНИЙ
за январь - _______________ 20___ г.
(нарастающим итогом)
Предоставляют: Сроки предоставления   Форма N 2-соцподдержка
уполномоченный орган исполнительной власти субъекта Российской Федерации:
- территориальному органу Росстата в субъекте Российской Федерации по установленному им адресу
I полугодие - с 1 по 15 июля после отчетного периода   Приказ Росстата:
Об утверждении формы
от 16.11.2023 N 567
О внесении изменений (при наличии)
от ________ N ___
от ________ N ___
год - с 3 по 10 февраля после отчетного периода
Полугодовая
Наименование отчитывающейся организации ________________________________
Почтовый адрес _________________________________________________________
Код формы по ОКУД Код
отчитывающейся организации по ОКПО    
1 2 3 4
0603023      

I. Средства бюджета субъекта Российской Федерации и местных бюджетов на реализацию мер социальной поддержки граждан <1>, тысяча рублей

N строки Бюджетные ассигнования на реализацию мер социальной поддержки населения, предусмотренные законом субъекта Российской Федерации (муниципальным правовым актом представительного органа муниципального образования) о бюджете на отчетный год Расходы консолидированного бюджета субъекта Российской Федерации за отчетный период
в натуральной форме в денежной форме
А Б 3 4 5
Всего 01      

<1> Раздел заполняется только за январь - июнь отчетного года.

II. Меры социальной поддержки в соответствии с законодательством субъекта Российской Федерации и муниципальных образований в разрезе категорий граждан <1>, тысяча рублей

2.1. Расходы консолидированного бюджета субъекта Российской Федерации в натуральной форме за отчетный год

N строки Всего из них
оплата жилого помещения и коммунальных услуг обеспечение жилыми помещениями обеспечение топливом оплата и установка телефона проезд городским и пригородным транспортом проезд на междугородном транспорте лекарственное обеспечение, обеспечение изделиями медицинского назначения и медицинские услуги обеспечение питанием санаторно-курортное лечение или пребывание в доме отдыха (включая проезд) другие меры социальной поддержки
А Б 3 4 5 6 7 8 9 10 11 12 13
Всего
(сумма строк 03, 11, 15)
02                      
Категории населения, отнесенные к компетенции Российской Федерации - всего 03                      
из них:
инвалиды войны
04                      
ветераны Великой Отечественной войны, кроме тружеников тыла 05                      
инвалиды 06                      
дети-инвалиды 07                      
лица, подвергшиеся воздействию радиации 08                      
граждане, награжденные знаком "Почетный донор России" или "Почетный донор СССР" 09                      
Герои Советского Союза, Герои Российской Федерации и полные кавалеры ордена Славы и члены их семей, Герои Социалистического труда, Герои Труда Российской Федерации и полные кавалеры ордена Трудовой Славы 10                      
Категории населения, отнесенные к компетенции субъектов Российской Федерации, - всего (сумма строк 12 - 14) 11                      
в том числе:
труженики тыла
12                      
ветераны труда 13                      
реабилитированные лица и лица, признанные пострадавшими от политических репрессий 14                      
Другие категории граждан в соответствии с нормативными правовыми актами и региональными программами субъектов Российской Федерации и муниципальными программами органов местного самоуправления - всего
(сумма строк 16 - 28, 32 - 35)
15                      
в том числе: пенсионеры, не относящиеся к льготным категориям 16                      
пенсионеры из числа бывших государственных служащих 17                      
дети войны 18                      
граждане предпенсионного возраста 19                      
доноры 20                      
лица, страдающие социально-значимыми, хроническими, тяжелыми заболеваниями 21                      
граждане, удостоенные почетных званий, имеющие особые заслуги 22                      
ветераны военной службы 23                      
граждане, попавшие в трудную жизненную ситуацию 24                      
малоимущие граждане 25                      
отдельные категории специалистов 26                      
молодые семьи 27   X   X X X X X X X X
семьи с детьми 28                      
из них малоимущие 29                      
многодетные 30                      
из них малоимущие 31                      
дети-сироты, дети, оставшиеся без попечения родителей 32                      
студенты, учащиеся, школьники 33                      
беременные женщины и кормящие матери 34                      
другие категории 35                      

2.2. Расходы консолидированного бюджета субъекта Российской Федерации в денежной форме за отчетный год

N строки Всего из них
денежная выплата оплата жилого помещения и коммунальных услуг обеспечение жилыми помещениями обеспечение топливом оплата и установка телефона проезд городским и пригородным транспортом проезд на междугородном транспорте лекарственное обеспечение, обеспечение изделиями медицинского назначения и медицинские услуги обеспечение питанием санаторно-курортное лечение или пребывание в доме отдыха (включая проезд) другие меры социальной поддержки
А Б 3 4 5 6 7 8 9 10 11 12 13 14
Всего
(сумма строк 37, 45, 49)
36                        
Категории населения, отнесенные к компетенции Российской Федерации - всего 37                        
из них:
инвалиды войны
38                        
ветераны Великой Отечественной войны, кроме тружеников тыла 39                        
инвалиды 40                        
дети-инвалиды 41                        
лица, подвергшиеся воздействию радиации 42                        
граждане, награжденные знаком "Почетный донор России" или "Почетный донор СССР" 43                        
Герои Советского Союза, Герои Российской Федерации и полные кавалеры ордена Славы и члены их семей, Герои Социалистического труда, Герои Труда Российской Федерации и полные кавалеры ордена Трудовой Славы 44                        
Категории населения, отнесенные к компетенции субъектов Российской Федерации, - всего (сумма строк 46 - 48) 45                        
в том числе:
труженики тыла
46                        
ветераны труда 47                        
реабилитированные лица и лица, признанные пострадавшими от политических репрессий 48                        
Другие категории граждан в соответствии с нормативными правовыми актами и региональными программами субъектов Российской Федерации и муниципальными программами органов местного самоуправления - всего (сумма строк 50 - 63, 70 - 73) 49                        
в том числе:
пенсионеры, не относящиеся к льготным категориям
50                        
пенсионеры, получающие региональную социальную доплату к пенсии 51     X X X X X X X X X X
пенсионеры из числа бывших государственных служащих 52                        
дети войны 53                        
граждане предпенсионного возраста 54                        
доноры 55                        
лица, страдающие социально значимыми, хроническими, тяжелыми заболеваниями 56                        
граждане, удостоенные почетных званий, имеющие особые заслуги 57                        
ветераны военной службы 58                        
граждане, попавшие в трудную жизненную ситуацию 59                        
малоимущие граждане 60                        
отдельные категории специалистов 61                        
молодые семьи 62   X X   X X X X X X X X
семьи с детьми 63                        
из них малоимущие 64                        
многодетные 65                        
из них малоимущие 66                        
из строки 63:                          
лица, получающие региональный материнский капитал 67     X X X X X X X X X X
получатели ежемесячной денежной выплаты при рождении третьего и последующих детей 68     X X X X X X X X X X
лица, получающие компенсацию части родительской платы за присмотр и уход за детьми в дошкольных образовательных организациях 69     X X X X X X X X X X
дети-сироты, дети, оставшиеся без попечения родителей 70                        
студенты, учащиеся, школьники 71                        
беременные женщины и кормящие матери 72                        
другие категории 73                        

Справочно (строка 74) - Бюджетные ассигнования на реализацию мер социальной поддержки населения, предусмотренные законом субъекта Российской Федерации (муниципальным правовым актом представительного органа муниципального образования) о бюджете на отчетный год, всего <1> ________________ тысяча рублей.

<1> Заполняется только по итогам за отчетный год.

Должностное лицо, ответственное за предоставление административных данных (лицо, уполномоченное предоставлять административные данные от имени респондента)          
  (должность)   (Ф.И.О.)   (подпись)
           
      E-mail: <2> ______________   "__" __________ 20__ год
  (номер контактного телефона <2>)       (дата составления документа)

<2> Используются Федеральной службой государственной статистики и ее территориальными органами для дополнительного информирования о проведении в отношении респондента федерального статистического наблюдения по конкретным формам федерального статистического наблюдения, обязательным для предоставления, а также для направления извещений, уведомлений, квитанций и иных юридически значимых сообщений.

В случае направления формы статистического наблюдения через специального оператора связи вышеуказанное взаимодействие с респондентом осуществляется через специального оператора связи.

Указания по заполнению формы федерального статистического наблюдения

I. Общие положения

1. Административные данные (далее - данные) по форме федерального статистического наблюдения N 2-соцподдержка "Сведения о средствах на реализацию мер социальной поддержки отдельных категорий граждан по расходным обязательствам субъекта Российской Федерации и муниципальных образований" (далее - форма) предоставляет уполномоченный Правительством субъекта Российской Федерации орган исполнительной власти субъекта Российской Федерации.

Перечень респондентов формируется на основе сведений органов исполнительной власти субъектов Российской Федерации.

2. Форма предоставляется в сводном виде в целом по субъекту Российской Федерации (республике, краю, области, автономной области, автономному округу, городу федерального значения) с учетом данных о расходах бюджетов муниципальных образований. В субъектах Российской Федерации, имеющих в своем составе автономные округа, форма заполняется без учета данных по автономным округам.

3. В адресной части указывается полное наименование отчитывающейся организации в соответствии с учредительными документами, зарегистрированными в установленном порядке, а затем в скобках - краткое наименование.

По строке "Почтовый адрес" указывается наименование субъекта Российской Федерации, юридический адрес с почтовым индексом, указанный в ЕГРЮЛ; либо адрес, по которому юридическое лицо фактически осуществляет свою деятельность, если он не совпадает с юридическим адресом.

В кодовой части титульного листа формы на основании уведомления о присвоении кода ОКПО, размещенного на сайте системы сбора отчетности Росстата в информационно-телекоммуникационной сети "Интернет" по адресу: https://websbor.gks.ru/online/info, отчитывающаяся организация проставляет код по Общероссийскому классификатору предприятий и организаций (ОКПО).

4. В форме приводятся все предусмотренные в ней показатели в целых числах. Показатели раздела I заполняются только за январь - июнь, а показатели раздела II - только по итогам за отчетный год.

Официальный источник электронного документа содержит неточность: имеется в виду Федеральный закон от 21.12.2021 N 414-ФЗ.

5. При заполнении формы следует руководствоваться Федеральным законом от 21 декабря 2021 г. N 414 "Об общих принципах организации публичной власти в субъектах Российской Федерации", Федеральным законом от 17 июля 1999 г. N 178-ФЗ "О государственной социальной помощи" (далее - Федеральный закон N 178-ФЗ) и другими действующими по состоянию на последний день отчетного периода федеральными законами, законами и иными нормативными правовыми актами в сфере социальной поддержки граждан, в том числе нормативными правовыми актами субъектов Российской Федерации и муниципальных образований.

6. Данные по форме не включают расходы консолидированных бюджетов субъектов Российской Федерации по мерам социальной поддержки отдельных категорий граждан, полномочия, на осуществление которых переданы Российской Федерацией органам государственной власти субъектов Российской Федерации, и финансирование которых происходит за счет средств федерального бюджета в порядке, устанавливаемом Правительством Российской Федерации. В форме отражается информация о расходах на социальную поддержку граждан исключительно за счет собственных средств консолидированного бюджета субъекта Российской Федерации (с учетом бюджетов муниципальных образований).

7. В форме не отражаются:

надбавки за интенсивность труда медицинского персонала, которая проходит через фонд заработной платы;

социальная поддержка безработных граждан, связанная с трудоустройством, которая проходит через центры занятости населения;

возмещение затрат работодателям на проведение стажировки работников, заключивших социальный контракт на реализацию мероприятий по прохождению профессионального обучения или получения профессионального дополнительного образования.

8. Для целей заполнения формы используются следующие понятия видов мер социальной поддержки, соответствующие Классификатору мер социальной защиты (поддержки), утвержденному приказом Министерства труда и социальной защиты Российской Федерации от 25 апреля 2022 г. N 253н "Об утверждении Порядка формирования классификатора мер социальной защиты (поддержки), его актуализации и использования участниками информационного взаимодействия при размещении информации в Единой государственной информационной системе социального обеспечения" (зарегистрирован Минюстом России 5 августа 2022 г. N 69555):

регулярная денежная выплата - выплата, введенная в связи с изменением формы предоставления льгот, а также все виды выплат (доплат), производимые отдельным категориям граждан в соответствии с нормативными правовыми актами субъекта Российской Федерации с регулярной периодичностью (ежемесячно или ежеквартально), за исключением денежных компенсаций;

единовременная денежная выплата - выплата, осуществляемая один раз в год, а также другие выплаты, имеющие нерегулярный характер, за исключением денежных компенсаций;

денежная компенсация - полное или частичное возмещение гражданам затрат на приобретение товаров и услуг, имеющее целевой характер;

государственная социальная помощь, в том числе на основании социального контракта - предоставление малоимущим семьям, малоимущим одиноко проживающим гражданам, а также иным категориям граждан, указанным в Федеральном законе N 178-ФЗ, социальных пособий, социальных доплат к пенсии, субсидий, социальных услуг и жизненно необходимых товаров;

региональный материнский капитал (областной, окружной или краевой, а также в городах федерального значения Москве, Санкт-Петербурге и Севастополе) - дополнение к федеральному материнскому капиталу за счет средств региональных бюджетов, отличающееся суммой материальной помощи, методами поощрения, реализацией капитала в разных субъектах Российской Федерации.

9. В форме применяется нижеперечисленный перечень категорий граждан, имеющих право на меры социальной поддержки.

Инвалиды войны - инвалиды Великой Отечественной войны и инвалиды боевых действий из числа лиц, указанных в статье 4 Федерального закона от 12 января 1995 г. N 5-ФЗ "О ветеранах" (далее - Федеральный закон N 5-ФЗ) и пункте 8 статьи 154 Федерального закона от 22 августа 2004 г. N 122-ФЗ "О внесении изменений в законодательные акты Российской Федерации и признании утратившими силу некоторых законодательных актов Российской Федерации в связи с принятием федеральных законов "О внесении изменений и дополнений в Федеральный закон "Об общих принципах организации законодательных (представительных) и исполнительных органов государственной власти субъектов Российской Федерации" и "Об общих принципах организации местного самоуправления в Российской Федерации" (далее - Федеральный закон N 122-ФЗ).

Ветераны Великой Отечественной войны, кроме тружеников тыла:

участники Великой Отечественной войны из числа лиц, указанных в подпункте 1 пункта 1 статьи 2 Федерального закона N 5-ФЗ;

лица, работавшие в период Великой Отечественной войны на объектах противовоздушной обороны, местной противовоздушной обороны, на строительстве оборонительных сооружений, военно-морских баз, аэродромов и других военных объектов в пределах тыловых границ действующих фронтов, операционных зон действующих флотов, на прифронтовых участках железных и автомобильных дорог; члены экипажей судов транспортного флота, интернированные в начале Великой Отечественной войны в портах других государств, из числа указанных в подпункте 2 пункта 1 статьи 2 Федерального закона N 5-ФЗ;

лица, награжденные знаком "Жителю блокадного Ленинграда", "Житель осажденного Севастополя", "Житель осажденного Сталинграда", указанные в подпункте 3 пункта 1 статьи 2 Федерального закона N 5-ФЗ;

бывшие несовершеннолетние узники фашизма, не имеющие инвалидности, из числа лиц, указанных в пункте 8 статьи 154 Федерального закона N 122-ФЗ.

Ветераны боевых действий - лица, указанные в пункте 1 статьи 3 Федерального закона N 5-ФЗ.

Члены семей погибших (умерших) инвалидов войны, участников Великой Отечественной войны и ветеранов боевых действий - лица, указанные в пунктах 1, 2, 3 и 4 статьи 21 Федерального закона N 5-ФЗ.

Инвалиды - лица в соответствии со статьей 1 Федерального закона от 24 ноября 1995 г. N 181-ФЗ "О социальной защите инвалидов в Российской Федерации" (далее - Федеральный закон N 181-ФЗ), имеющие нарушение здоровья со стойким расстройством функций организма, обусловленное заболеваниями, последствиями травм или дефектами, приводящее к ограничению жизнедеятельности и вызывающее необходимость его социальной защиты. В зависимости от степени расстройства функций организма и ограничения жизнедеятельности лицам, признанным инвалидами, устанавливается группа инвалидности.

Дети-инвалиды - лица в возрасте до 18 лет, которым устанавливается категория "ребенок-инвалид" (статья 1 Федерального закона N 181-ФЗ).

Лица, подвергшиеся воздействию радиации - лица, указанные в:

Законе Российской Федерации от 15 мая 1991 г. N 1244-1 "О социальной защите граждан, подвергшихся воздействию радиации вследствие катастрофы на Чернобыльской АЭС";

Федеральном законе от 26 ноября 1998 г. N 175-ФЗ "О социальной защите граждан Российской Федерации, подвергшихся воздействию радиации вследствие аварии в 1957 году на производственном объединении "Маяк" и сбросов радиоактивных отходов в реку Теча";

Федеральном законе от 10 января 2002 г. N 2-ФЗ "О социальных гарантиях гражданам, подвергшимся радиационному воздействию вследствие ядерных испытаний на Семипалатинском полигоне";

Постановлении Верховного Совета Российской Федерации от 27 декабря 1991 г. N 2123-1 "О распространении действия Закона РСФСР "О социальной защите граждан, подвергшихся воздействию радиации вследствие катастрофы на Чернобыльской АЭС" на граждан из подразделений особого риска".

Граждане, награжденные нагрудными знаками "Почетный донор России" или "Почетный донор СССР" - лица, награжденные нагрудными знаками "Почетный донор России" или "Почетный донор СССР" в соответствии с Федеральным законом от 20 июля 2012 г. N 125-ФЗ "О донорстве крови и ее компонентов" (далее - Федеральный закон N 125-ФЗ).

Герои Советского Союза, Герои Российской Федерации и полные кавалеры ордена Славы, Герои Социалистического труда, Герои Труда Российской Федерации и полные кавалеры ордена Трудовой Славы - лица, имеющие соответствующие награды, указанные в:

Законе Российской Федерации от 15 января 1993 г. N 4301-1 "О статусе Героев Советского Союза, Героев Российской Федерации и полных кавалеров ордена Славы";

Федеральном законе от 9 января 1997 г. N 5-ФЗ "О предоставлении социальных гарантий Героям Социалистического Труда, Героям Труда Российской Федерации и полным кавалерам ордена Трудовой Славы";

Указе Президента Российской Федерации от 29 марта 2013 г. N 294 "Об установлении звания Героя Труда Российской Федерации".

Труженики тыла - лица, указанные в подпункте 4 пункта 1 статьи 2 Федерального закона N 5-ФЗ.

Ветераны труда - лица, указанные в статье 7 Федерального закона N 5-ФЗ, достигшие возраста, дающего право на получение мер социальной поддержки, а также лица, которым в соответствии с законами и иными нормативными правовыми актами субъекта Российской Федерации присвоено звание "Ветеран труда субъекта Российской Федерации" (например: "Ветеран труда Сахалинской области").

Реабилитированные лица и лица, признанные пострадавшими от политических репрессий - лица, указанные в разделе I Закона Российской Федерации от 18 октября 1991 г. N 1761-1 "О реабилитации жертв политических репрессий".

Пенсионеры, не относящиеся к льготным категориям - лица, получающие пенсии в соответствии с законодательством Российской Федерации, не относящиеся ни к одной из перечисленных выше категорий граждан, а также лица, получающие материальную помощь или доплату к пенсии в связи с достижением определенного возраста (как правило, 80 и более лет), а также супружеские пары в связи с юбилейной датой совместной жизни (50-, 55-, 60-, 65-, 70-летием и тому подобными).

Пенсионеры, получающие региональную социальную доплату - лица, получающие определенный размер доплаты к пенсии до достижения ее размера величины прожиточного минимума пенсионера, установленного в субъекте Российской Федерации в соответствии со статьей 4 Федерального закона от 24 октября 1997 г. N 134-ФЗ "О прожиточном минимуме в Российской Федерации".

Пенсионеры из числа бывших государственных служащих - лица из числа бывших государственных служащих субъекта Российской Федерации и муниципальных служащих, получающие доплату к пенсии за счет средств консолидированного бюджета субъекта Российской Федерации.

Дети войны - граждане Российской Федерации, родившиеся в период с 22 июня 1928 года по 3 сентября 1945 года, постоянно проживавшие на территории Союза Советских Социалистических Республик в годы Великой Отечественной войны, которым оказывается социальная поддержка в соответствии с законами и иными нормативными правовыми актами субъекта Российской Федерации.

Граждане предпенсионного возраста - лица в течение пяти лет до наступления возраста, дающего право на страховую пенсию по старости, в том числе назначаемую досрочно, в соответствии с пунктом 2 статьи 5 Закона Российской Федерации от 19 апреля 1991 г. N 1032-1 "О занятости населения в Российской Федерации".

Доноры - лица, являющиеся донорами крови и ее компонентов в соответствии со статьями 2, 12 Федерального закона N 125-ФЗ (за исключением награжденных нагрудными знаками "Почетный донор России" или "Почетный донор СССР").

Лица, страдающие социально значимыми, хроническими и тяжелыми заболеваниями - граждане (взрослые и дети), страдающие туберкулезом, инфекциями, передающимися преимущественно половым путем, гепатитом B, гепатитом C, болезнями, вызванными вирусом иммунодефицита человека (ВИЧ), злокачественными новообразованиями, сахарным диабетом и другими социально значимыми заболеваниями, при наличии которых гражданам оказывается социальная поддержка (перечень социально значимых заболеваний утвержден Постановлением Правительства РФ от 1 декабря 2004 г. N 715 "Об утверждении перечня социально значимых заболеваний и перечня заболеваний, представляющих опасность для окружающих").

Граждане, удостоенные почетных званий, имеющие особые заслуги - граждане, имеющие государственные награды, награды субъекта Российской Федерации и муниципальных образований, удостоенные региональных почетных званий (например: Почетный гражданин Таймыра, Ветеран становления Калининградской области), чемпионы и призеры Олимпийских, Параолимпийских или Сурдлимпийских игр, чемпионатов мира и Европы и тому подобное.

Ветераны военной службы - лица, указанные в статье 5 Федерального закона N 5-ФЗ.

Участники вооруженных конфликтов в мирное время - лица, принимавшие участие в боевых действиях, вооруженных конфликтах, контртеррористических операциях в мирное время.

Члены семей погибших - члены семей (взрослые и дети) военнослужащих, других лиц, исполнявших служебные обязанности, погибших (умерших вследствие ранения (травмы, увечья, контузии, заболевания), пропавших без вести) в результате боевых действий, вооруженных конфликтов, террористических актов, при прохождении военной службы по контракту или по призыву; члены семей лиц, погибших (умерших вследствие травмы, увечья, контузии, заболевания, пропавших без вести) в результате техногенных катастроф.

Граждане, попавшие в трудную жизненную ситуацию - пострадавшие, утратившие все или часть имущества в результате пожара, наводнения, урагана, оползней, селей, атмосферных явлений, аварий в системах тепло-, газо-, водо-, электроснабжения, других природных катастроф и стихийных бедствий, вернувшиеся из мест заключения, а также в других случаях, предусмотренных нормативными правовыми актами, за исключением ситуаций, когда граждане располагают низким уровнем дохода.

Малоимущие граждане - граждане, проживающие в малоимущих семьях без детей, а также одиноко проживающие малоимущие граждане, которые по независящим от них причинам имеют среднедушевой доход ниже величины прожиточного минимума, установленного в соответствующем субъекте Российской Федерации, и в соответствии с решением органа социальной защиты населения, являющиеся получателями государственной социальной помощи. Среднедушевой доход семьи рассчитывается в соответствии с положениями Федерального закона от 5 апреля 2003 г. N 44-ФЗ "О порядке учета доходов и расчета среднедушевого дохода семьи и дохода одиноко проживающего гражданина для признания их малоимущими и оказания им государственной социальной помощи".

Отдельные категории специалистов - сельские специалисты, молодые специалисты, другие лица, получающие меры социальной поддержки по профессиональному признаку.

Молодые семьи - лица, состоящие в заключенном в установленном законодательством Российской Федерации порядке браке, в том числе воспитывающие ребенка (детей), либо лицо, являющееся единственным родителем (усыновителем) ребенка (детей), в возрасте до 35 лет включительно (пункт 2 статьи 2 Федерального закона от 30 декабря 2020 г. N 489-ФЗ "О молодежной политике в Российской Федерации").

Малоимущая семья с детьми - семья, среднедушевой доход которой не достигает прожиточного минимума, установленного в субъекте Российской Федерации.

Многодетная семья - семья, имеющая трех и более детей, признанная в установленном порядке многодетной в соответствии с порогом многодетности, установленным органами исполнительной власти субъектов Российской Федерации.

Дети-сироты, дети, оставшиеся без попечения родителей - дети-сироты и дети, оставшиеся без попечения родителей, находящиеся под опекой (попечительством), в приемных семьях, в детских домах семейного типа, на патронатном воспитании, на усыновлении, воспитанники интернатных учреждений, а также обучающиеся по образовательным программам среднего профессионального образования или высшего образования по очной форме обучения, имеющие право на полное государственное обеспечение и дополнительные гарантии по социальной поддержке до завершения обучения.

Студенты, учащиеся, школьники - получатели государственной академической стипендии, государственной социальной стипендии из числа студентов (в том числе из малоимущих семей), обучающихся по очной форме обучения за счет бюджетных ассигнований бюджетов субъектов Российской Федерации и местных бюджетов (за исключением получателей из числа детей-сирот, детей, оставшихся без попечения родителей), а также отличники учебы, медалисты, призеры олимпиад и др.

Беременные женщины и кормящие матери - женщины, вставшие на учет в медицинском учреждении по беременности, и кормящие матери, имеющие право на получение социальной поддержки, а также беременные женщины, оказавшиеся в сложной жизненной ситуации и имеющие низкий уровень дохода.

Лица, получающие региональный материнский капитал - родители, получающие денежные средства за рождение (усыновление) детей в зависимости от принятого нормативного правового акта в субъекте Российской Федерации.

Получатели ежемесячной денежной выплаты при рождении третьего и последующих детей - семьи, нуждающиеся в поддержке, в соответствии с Указом Президента Российской Федерации от 7 мая 2012 г. N 606 "О мерах по реализации демографической политики Российской Федерации", получающие ежемесячную денежную выплату в размере определенного в субъекте Российской Федерации прожиточного минимума для детей, назначаемую в случае рождения после 31 декабря 2012 г., но не позднее 31 декабря 2022 г. третьего ребенка или последующих детей до достижения ребенком возраста трех лет.

Лица, получающие компенсацию части родительской платы за присмотр и уход за детьми в дошкольных образовательных организациях - родители (законные представители), которым предоставляется компенсация, то есть возврат части денежных средств, уплаченных за присмотр и уход за детьми, а также компенсация за непредоставление места ребенку в государственных, муниципальных (в соответствии с пунктом 5 статьи 65 Федерального закона от 29 декабря 2012 г. N 273-ФЗ "Об образовании в Российской Федерации") и иных дошкольных образовательных организациях, находящихся на территории соответствующего субъекта Российской Федерации.

II. Заполнение показателей формы N 2-соцподдержка

10. Раздел I заполняется один раз в год за I полугодие. По графе 1 раздела I отражаются группы категорий граждан, которым в соответствии с законами и нормативными правовыми актами субъекта Российской Федерации и муниципальных образований предоставляются меры социальной поддержки.

11. Раздел II заполняется только по итогам за отчетный год. По графе 1 раздела II перечислены основные категории граждан, которым предоставляются меры социальной поддержки, установленные в соответствии с законами и нормативными правовыми актами субъекта Российской Федерации и муниципальных образований. В графах с 4 по 13 подраздела 2.1 и с 4 по 14 подраздела 2.2 приведены виды мер социальной поддержки.

12. В подразделах 2.1 и 2.2 указываются данные о расходах консолидированного бюджета субъекта Российской Федерации на реализацию мер социальной поддержки граждан. По графе 3 подраздела 2.1 показывается общий объем расходов в натуральной форме, включающий средства, перечисленные организациям на оплату транспортных, коммунальных услуг, услуг связи и другие. В графе 3 подраздела 2.2 - общий объем расходов в денежной форме по соответствующим категориям граждан.

13. Основой для заполнения формы является отчетность об исполнении бюджетов субъектов Российской Федерации. В форме отражаются расходы консолидированных бюджетов субъектов Российской Федерации, направленные на социальную поддержку граждан, отнесенные на соответствующие разделы и подразделы классификации расходов бюджетов в соответствии с приказом Минфина России от 24 мая 2022 г. N 82н "О Порядке формирования и применения кодов бюджетной классификации Российской Федерации, их структуре и принципах назначения" (зарегистрирован Минюстом России 30 июня 2022 г. N 69085).

14. В форме должны быть отражены данные о расходах на меры социальной поддержки граждан, отнесенные в бюджетной отчетности к кодам видов расходов классификации расходов бюджетов: 312, 313, 321, 322, 323, 330, 340, 350, 360, 512, 523, 530, 540, 610, 620, 631, 635, 811, 816.

Расходы муниципальных бюджетов, связанные с обеспечением мер социальной поддержки граждан, за счет средств бюджетов субъектов Российской Федерации (межбюджетных трансфертов) отражаются в форме в обязательном порядке.

Обращаем внимание, что в соответствии с Порядком расходы на меры социальной поддержки отнесены в бюджетной отчетности к разделу 1000 "Социальная политика" классификации расходов бюджетов, в том числе расходы:

связанные с обеспечением мер социальной поддержки граждан, включая все виды пособий и денежных выплат, а также расходы на предоставление социальных выплат гражданам на приобретение (строительство) жилья, обеспечение инвалидов техническими средствами реабилитации, включая изготовление и ремонт протезно-ортопедических изделий, обеспечение путевками в установленных законодательством Российской Федерации случаях, расходы на реализацию мер социальной поддержки по обеспечению равной доступности услуг общественного транспорта для отдельных категорий граждан Российской Федерации, в том числе возмещение выпадающих доходов транспортных организаций, осуществляющих перевозки граждан льготных категорий транспортом общего пользования, другие аналогичные расходы (подраздел 1003 классификации расходов бюджетов);

на социальную поддержку лиц из числа детей-сирот и детей, оставшихся без попечения родителей, а также лиц, потерявших в период обучения обоих родителей или единственного родителя; предоставление мер социальной поддержки гражданам в связи с рождением и воспитанием детей (включая пособия по опеке и попечительству; выплату компенсации части родительской платы за содержание ребенка в государственных и муниципальных образовательных учреждениях, реализующих основную общеобразовательную программу дошкольного образования); перевозку несовершеннолетних, самовольно ушедших из семей, детских домов, школ-интернатов, специальных учебно-воспитательных учреждений; социальные выплаты молодым семьям на приобретение жилого помещения или создание объекта индивидуального жилищного строительства; предоставление жилых помещений детям-сиротам и детям, оставшимся без попечения родителей, лицам из их числа по договорам найма специализированных жилых помещений (подраздел 1004 "Охрана семьи и детства").

15. Кроме того, в форме учитываются расходы на меры социальной поддержки граждан, которые в части социальной поддержки детей-сирот, детей, оставшихся без попечения родителей, учащихся и студентов в бюджетной отчетности могут быть отнесены на соответствующие подразделы раздела 0700 "Образование"; в части обеспечения отдельных категорий граждан лекарственными препаратами и медицинскими изделиями - раздела 0900 "Здравоохранение"; в части выплат и льгот спортсменам, победителям и призерам чемпионатов России и тому подобное - раздела 1100 "Физическая культура и спорт" и в части выплат и предоставления льгот деятелям культуры, работникам музеев, библиотек и тому подобное - раздела 0800 "Культура, кинематография".

16. Данные о расходах, отнесенные в бюджетной отчетности на иные коды видов расходов, кроме перечисленных выше, в форме не отражаются.

17. Данные приводятся по кассовому исполнению бюджета, предусматривающему проведение и учет операций по кассовым выплатам из бюджета - списание средств со счета бюджета субъекта Российской Федерации и бюджетов муниципальных образований в оплату принятых в установленном порядке обязательств, подлежащих оплате за счет средств соответствующих бюджетов.

18. По графе 4 подраздела 2.2 указываются данные, связанные с различными денежными выплатами: регулярные и единовременные денежные выплаты, ежемесячные доплаты (например: единовременная выплата на рождение ребенка, выплата единовременной материальной помощи пенсионерам и отдельным категориям населения к памятным и праздничным дням и тому подобное).

19. По графе 10 подраздела 2.1, графе 11 подраздела 2.2 указываются данные о средствах бюджета субъекта Российской Федерации и местных бюджетов на обеспечение отдельных категорий граждан лекарственными средствами, изделиями медицинского назначения, средства на оказание протезно-ортопедической помощи и предоставление технических средств реабилитации, изготовление и ремонт зубных протезов.

20. По графе 13 подраздела 2.1 и графе 14 подраздела 2.2 указываются данные о средствах бюджета субъекта Российской Федерации и местных бюджетов на оказание мер социальной поддержки граждан, не перечисленных в предыдущих графах.

21. По строке 01 графе 3 указываются данные об общей сумме бюджетных ассигнований на реализацию мер социальной поддержки населения, предусмотренная законом субъекта Российской Федерации (муниципальным правовым актом представительного органа муниципального образования) о бюджете на отчетный год; по графам 4 и 5 - расходы консолидированного бюджета субъекта Российской Федерации в денежной и натуральной формах по всем категориям граждан.

22. Расходы на меры социальной поддержки ветеранов боевых действий и членов семей погибших (умерших) инвалидов войны, участников Великой Отечественной войны и ветеранов боевых действий отражаются по итоговым строкам 03 и 37.

23. Данные по строкам 04 - 10, 38 - 44 заполняются в случае, если нормативными правовыми актами субъекта Российской Федерации и муниципальных образований указанным категориям граждан устанавливаются дополнительные меры социальной поддержки за счет средств консолидированного бюджета субъекта Российской Федерации, а также в случае софинансирования мер социальной поддержки, оказываемых за счет средств федерального бюджета в порядке, устанавливаемом Правительством Российской Федерации - в части средств консолидированных бюджетов субъекта Российской Федерации.

24. По строкам 12 - 14, 46 - 48 указываются данные о средствах на реализацию мер социальной поддержки граждан, отнесенных к компетенции субъектов Российской Федерации и финансируемых из бюджета субъекта Российской Федерации и местных бюджетов.

25. По строкам 16 - 35, 50 - 73 в соответствующих графах указываются данные о средствах на реализацию мер социальной поддержки других категорий граждан в соответствии с законами и нормативными правовыми актами субъекта Российской Федерации и муниципальных образований и региональными программами.

26. Данные по строкам 25, 60 "Малоимущие граждане" заполняются в случае, если это одиноко проживающие малоимущие граждане или граждане, проживающие в малоимущих семьях без детей, которые имеют среднедушевой доход ниже величины прожиточного минимума. Также в данной категории учитываются личные подсобные хозяйства, получающие государственную поддержку за счет средств бюджета субъекта Российской Федерации в форме социального контракта с учетом уровня дохода.

27. По строкам 27, 62 "Молодые семьи" указываются данные о расходах на приобретение жилых помещений в соответствии с принятыми жилищными программами поддержки молодых семей.

28. Данные по строкам 28, 63 "Семьи с детьми" заполняются, если объектом социальной поддержки являются как семьи с детьми, так и дети. По строкам указываются в том числе данные о расходах на детей из отдельных категорий семей: детей несовершеннолетних родителей; детей, у которых один или оба родителя являются нетрудоспособными, инвалидами или гражданами пожилого возраста; детей из студенческих семей; детей из неполных семей (с одним родителем); детей, имеющих право на социальную поддержку по заключению врача, а также расходы на приобретение канцелярских товаров, проезд, питание студентов, учащихся, школьников, отдых детей в лагерях и другие.

29. Из строк 28, 63 "Семьи с детьми" выделяются данные по строкам 29 и 64 "Малоимущие семьи с детьми". Мерами социальной поддержки в данном случае могут выступать, например: пособие на ребенка с применением критериев нуждаемости в соответствии с Федеральным законом от 19 мая 1995 г. N 81-ФЗ "О государственных пособиях гражданам, имеющим детей"; ежемесячная денежная выплата на ребенка в возрасте от трех до семи лет включительно в соответствии с Указом Президента Российской Федерации от 13 января 2023 г. N 12 "О некоторых вопросах, связанных с предоставлением мер социальной поддержки семьям, имеющим детей" (право на получение выплаты, назначенной до 1 января 2023 г., предусмотренной утратившим силу Указом Президента Российской Федерации от 20 марта 2020 г. N 199 "О дополнительных мерах государственной поддержки семей, имеющих детей", сохраняется до окончания периодов, на которые они назначены) и так далее.

Данные, отраженные по строкам 29 и 64 "Малоимущие семьи с детьми", не должны быть включены в строки 25 и 60 "Малоимущие граждане" во избежание двойного счета.

30. В строки 29 и 64 "Малоимущие семьи с детьми" входят данные строк 31, 66 "Малоимущие многодетные семьи".

31. Из строк 28 и 63 "Семьи с детьми" также выделяются данные по многодетным семьям по строкам 30 и 65, из них отдельно по строкам 31 и 66 отражаются данные по малоимущим многодетным семьям.

Обращаем внимание, что по строке 65 "Многодетные семьи" отражаются все расходы на социальную поддержку многодетным семьям с учетом выплат многодетным семьям, отраженных по строкам 67 "Лица, получающие региональный материнский капитал", 68 "Получатели ежемесячной денежной выплаты при рождении третьего и последующих детей", 69 "Лица, получающие компенсацию части родительской платы за присмотр и уход за детьми в дошкольных образовательных организациях".

32. По строкам 35, 73 "Другие категории" указываются данные о расходах на социальную поддержку по категориям граждан, не перечисленным в форме. По строкам указываются в том числе данные о расходах на выплаты безработным гражданам, которые предоставляют органы социальной защиты (социальная поддержка безработных граждан, связанная с трудоустройством, которая проходит через центры занятости населения, не учитывается в форме); социальное пособие на погребение, установленное статьей 10 Федерального закона от 12 января 1996 г. N 8-ФЗ "О погребении и похоронном деле"; данные о расходах на выплаты участникам вооруженных конфликтов в мирное время и членам семей погибших.

33. По строкам 33, 71 "Студенты, учащиеся, школьники" не отражаются расходы на приобретение канцелярских товаров, оплату проезда и питания. Эти расходы должны быть отражены по строкам 28, 63 "Семьи с детьми".

34. По строке 74 в отчете за год справочно указываются данные об общей сумме бюджетных ассигнований на реализацию мер социальной поддержки населения, предусмотренных законом субъекта Российской Федерации (муниципальным правовым актом представительного органа муниципального образования) о бюджете на отчетный год.

Контроль при заполнении формы:

Раздел II

Подраздел 2.1.

1. строка 02 = сумме строк 03, 11, 15 по всем графам;

2. строка 03 >= сумме строк 04 - 10 по всем графам;

3. строка 11 = сумме строк 12 - 14 по всем графам;

4. строка 15 = сумме строк 16 - 28, 32 - 35 по всем графам;

5. строка 28 >= строке 29 по всем графам;

6. строка 30 >= строке 31 по всем графам;

7. строка 29 >= строке 31 по всем графам;

8. строка 28 >= строке 30 по всем графам;

9. графа 3 подраздела 2.1 по каждой из строк 04 - 10, 12 - 14, 16 - 35 = сумме граф 4 - 13 подраздела 2.1 по соответствующей строке.

Подраздел 2.2.

10. строка 36 = сумме строк 37, 45, 49 по всем графам;

11. строка 37 >= сумме строк 38 - 44 по всем графам;

12. строка 45 = сумме строк 46 - 48 по всем графам;

13. строка 49 = сумме строк 50 - 63, 70 - 73 по всем графам;

14. строка 63 >= строке 64 по всем графам;

15. строка 65 >= строке 66 по всем графам;

16. строка 64 >= строке 66 по всем графам;

17. строка 63 >= строке 65 по всем графам;

18. строка 63 по графам 3 и 4 >= сумме строк 67, 68, 69 по соответствующей графе;

19. графа 3 подраздела 2.2 по каждой из строк 38 - 44, 46 - 48, 50 - 73 = сумме граф 4 - 14 подраздела 2.2 по соответствующей строке.

Приложение N 3
к приказу Росстата
от 16.11.2023 N 567

ОТДЕЛЬНЫЕ СТРУКТУРНЫЕ ЕДИНИЦЫ АКТОВ ФЕДЕРАЛЬНОЙ СЛУЖБЫ ГОСУДАРСТВЕННОЙ СТАТИСТИКИ, ПРИЗНАВАЕМЫХ УТРАТИВШИМИ СИЛУ

1. В приказе Федеральной службы государственной статистики от 29 июля 2022 г. N 535 "Об утверждении форм федерального статистического наблюдения для организации федерального статистического наблюдения за строительством, инвестициями в нефинансовые активы и жилищно-коммунальным хозяйством":

1) абзац десятый подпункта 1 пункта 1;

2) форму федерального статистического наблюдения N ДАФЛ "Обследование деловой активности организации, осуществляющей деятельность в сфере финансового лизинга" и указания по ее заполнению (приложение N 9).

2. В приказе Федеральной службы государственной статистики от 29 июля 2022 г. N 536 "Об утверждении форм федерального статистического наблюдения для организации федерального статистического наблюдения за ценами и финансами":

1) абзац восьмой пункта 1;

2) форму федерального статистического наблюдения N 2-соцподдержка "Сведения о средствах на реализацию мер социальной поддержки отдельных категорий граждан по расходным обязательствам субъекта Российской Федерации и муниципальных образований" и указания по ее заполнению (приложение N 5).