Приказ Росстата от 29.12.2023 N 709

"Об утверждении формы федерального статистического наблюдения с указаниями по ее заполнению для организации Министерством спорта Российской Федерации федерального статистического наблюдения в сфере физической культуры и спорта"
Редакция от 29.12.2023 — Действует с 29.12.2023

ФЕДЕРАЛЬНАЯ СЛУЖБА ГОСУДАРСТВЕННОЙ СТАТИСТИКИ

ПРИКАЗ
от 29 декабря 2023 г. N 709

ОБ УТВЕРЖДЕНИИ ФОРМЫ ФЕДЕРАЛЬНОГО СТАТИСТИЧЕСКОГО НАБЛЮДЕНИЯ С УКАЗАНИЯМИ ПО ЕЕ ЗАПОЛНЕНИЮ ДЛЯ ОРГАНИЗАЦИИ МИНИСТЕРСТВОМ СПОРТА РОССИЙСКОЙ ФЕДЕРАЦИИ ФЕДЕРАЛЬНОГО СТАТИСТИЧЕСКОГО НАБЛЮДЕНИЯ В СФЕРЕ ФИЗИЧЕСКОЙ КУЛЬТУРЫ И СПОРТА

В соответствии с подпунктом 5.5 Положения о Федеральной службе государственной статистики, утвержденного постановлением Правительства Российской Федерации от 2 июня 2008 г. N 420, и во исполнение позиции 47.1 Федерального плана статистических работ, утвержденного распоряжением Правительства Российской Федерации от 6 мая 2008 г. N 671-р, приказываю:

1. Утвердить представленную Министерством спорта Российской Федерации прилагаемую годовую форму федерального статистического наблюдения N 1-ФК "Сведения о физической культуре и спорте" с указаниями по ее заполнению, сбор и обработка данных по которой осуществляются в системе Минспорта России.

2. Первичные статистические данные и административные данные по форме федерального статистического наблюдения, утвержденной настоящим приказом, предоставляются в соответствии с указаниями по их заполнению, по адресам, в сроки и с периодичностью, которые указаны на бланке этой формы.

3. С введением в действие указанной в пункте 1 настоящего приказа формы федерального статистического наблюдения признать утратившим силу приказ Росстата от 23 июня 2023 г. N 303 "Об утверждении формы федерального статистического наблюдения с указаниями по ее заполнению для организации Министерством спорта Российской Федерации федерального статистического наблюдения в сфере физической культуры и спорта".

Заместитель руководителя
С.Н. ЕГОРЕНКО

ФЕДЕРАЛЬНОЕ СТАТИСТИЧЕСКОЕ НАБЛЮДЕНИЕ
КОНФИДЕНЦИАЛЬНОСТЬ ГАРАНТИРУЕТСЯ ПОЛУЧАТЕЛЕМ ИНФОРМАЦИИ
Нарушение порядка предоставления первичных статистических данных или несвоевременное предоставление этих данных, либо предоставление недостоверных первичных статистических данных влечет ответственность, установленную Кодексом Российской Федерации об административных правонарушениях
Обязанность предоставления административных данных предусмотрена статьей 8 Федерального закона от 29 ноября 2007 г. N 282-ФЗ "Об официальном статистическом учете и системе государственной статистики в Российской Федерации"
СВЕДЕНИЯ О ФИЗИЧЕСКОЙ КУЛЬТУРЕ И СПОРТЕ
по состоянию на 31 декабря 20__ г.
Предоставляют: Сроки предоставления   Форма N 1-ФК
юридические лица, включая общественные организации, осуществляющие деятельность по физической культуре и спорту: 15 января
после отчетного периода
  Приказ Росстата:
Об утверждении формы
от 29.12.2023 N 709
О внесении изменений
(при наличии)
от __________ N ___
от __________ N ___
- органу местного самоуправления в области физической культуры и спорта
орган местного самоуправления в области физической культуры и спорта: 25 января после отчетного периода
Годовая
- органу исполнительной власти субъектов Российской Федерации в области физкультуры и спорта
 
органы исполнительной власти субъектов Российской Федерации в области физкультуры и спорта: 10 февраля после отчетного периода
- Министерству спорта Российской Федерации по установленному им адресу
Наименование отчитывающейся организации ____________________________
Почтовый адрес ____________________________________________________
Код формы по ОКУД Код
отчитывающейся организации по ОКПО (для обособленного подразделения юридического лица - идентификационный номер)    
1 2 3 4
0609402      

Раздел I. Кадры, человек

Работники физической культуры и спорта N строки Всего из общей численности работников (гр. 3): Количество вакансий Количество созданных в сфере физической культуры и спорта рабочих мест
штатные работники специалисты, впервые приступившие к работе в области физической культуры и спорта в отчетном периоде в сельской местности со специальным образованием в возрасте женщины
высшим средним до 30 лет 31 - 59 лет старше 60 лет
1 2 3 4 5 6 7 8 9 10 11 12 13 14
Всего работников физической культуры и спорта (сумма строк 02, 03, 05, 07, 09, 10 - 12, 15 - 17) 01                        
в том числе: 02                        
дошкольных образовательных организаций
общеобразовательных организаций 03                        
из них имеющих
спортивные клубы
04                        
профессиональных образовательных организаций 05                        
из них имеющих
спортивные клубы
06                        
образовательных организаций высшего образования 07                        
из них имеющих
спортивные клубы
08                        
организаций дополнительного образования детей, осуществляющих работу по физической культуре и спорту 09                        
предприятий, организаций и учреждений 10                        
спортивных сооружений 11                        
физкультурно-спортивных клубов 12                        
из них:
фитнес-клубов
13                        
детских и подростковых 14                        
аппаратов физкультурно-спортивных организаций всех уровней 15                        
органов управления физической культурой и спортом всех уровней 16                        
другие, в том числе адаптивной физической культуры и спорта 17                        
Из общего числа (строка 01) в организациях малого и среднего предпринимательства 18                        
Из общего числа (строка 01) высокопроизводительных рабочих мест 19                        

Раздел II. Физкультурно-оздоровительная работа

Учреждения, предприятия, объединения, организации N строки Количество учреждений, предприятий, организаций, всего (единица) Численность занимающихся физической культурой и спортом (человек) Посещают учебные занятия по физической культуре (человек) Численность обучающихся, отнесенных по состоянию здоровья к спецмедгруппе (человек) из них посещают занятия по физической культуре в спецмедгруппе (человек) из общей численности занимающихся (гр. 4) - на платной основе (человек)
Всего из общей численности занимающихся (гр. 4):
в возрасте женщины в сельской местности работающие
3 - 15 лет 16 - 17 лет 18 - 29 лет 30 - 54 (женщины), 59 (мужчины) лет 55 (женщины), 60 (мужчины) - 79 лет 80 лет и старше
1 2 3 4 5 6 7 8 9 10 11 12 13 14 15 16 17
Всего учреждений, предприятий, объединений, организаций (сумма строк 21, 22, 24, 26, 28, 29, 31, 32, 35) 20                              
в том числе:
дошкольные образовательные организации
21       X X X X X     X        
общеобразовательные организации 22           X X X     X        
из них имеющие спортивные клубы 23           X X X     X X X X  
профессиональные образовательные организации 24           X X X              
из них имеющие спортивные клубы 25           X X X       X X X  
образовательные организации высшего образования 26             X X              
из них имеющие спортивные клубы 27             X X       X X X  
организации дополнительного образования детей 28             X X       X X X  
предприятия, учреждения, организации 29                       X X X  
из них имеющие спортивные клубы 30                       X X X  
учреждения и организации при спортивных сооружениях 31                       X X X  
физкультурно-спортивные клубы 32                       X X X  
из них:
фитнес-клубы
33                       X X X  
детские и подростковые 34           X X X       X X X  
другие учреждения и организации, в том числе адаптивной физической культуры и спорта 35                       X X X  
Из общего числа (строка 20) физкультурно-спортивные клубы, их объединения и организации, осуществляющие подготовку населения к выполнению нормативов испытаний (тестов) комплекса ГТО 36                       X X X  
Из общего числа (строка 20) организации, развивающие различные формы хореографического искусства 37                       X X X  
Из общего числа (строка 20) в форме малых предприятий 38                       X X X  
Из общего числа (строка 20) в сельской местности 39                              
Справочно: Количество физкультурных и спортивных мероприятий, проведенных организацией самостоятельно в отчетный период (40) ___________.

Раздел III. Спортивная инфраструктура

Наименование спортивного сооружения N строки Количество спортсооружений (единица) Из общего числа спортивных сооружений (из гр. 3) Единовременная пропускная способность (человек) Загруженность (человеко-час) Мощность (человеко-час)
Всего в том числе по формам собственности: для спортивной подготовки и проведения соревнований находящиеся в аварийном состоянии в сельской местности Всего из них в сельской местности
федеральной субъектов Российской Федерации муниципальной другой
1 2 3 4 5 6 7 8 9 10 11 12 13 14
Всего спортивных сооружений с учетом объектов городской и рекреационной инфраструктуры, приспособленных для занятий физической культурой и спортом (сумма строк 42, 71) 41                        
Всего спортивных сооружений (сумма строк 43, 44, 47, 52, 53, 56, 57, 63, 64, 65, 69, 70) 42                        
в том числе:
Стадионы с трибунами на 1500 мест и более
43                        
Плоскостные спортивные сооружения - всего 44                        
- из них футбольные поля 45                        
Площадь плоскостных спортивных сооружений (м2) 46                 X X X  
Спортивные залы - всего 47                        
из них размером:
- (42 x 24 м)
48                        
- (36 x 18 м), (30 x 18 м),
(30 x 15 м)
49                        
- (24 x 12 м) и (18 x 9 м) 50                        
Площадь спортивных залов (м2) 51                 X X X  
Крытые спортивные объекты с искусственным льдом 52                        
Манежи - всего 53                        
из них:
- легкоатлетические
54                        
- футбольные 55                        
Велотреки, велодромы 56                        
Плавательные бассейны - всего (сумма строк 58 - 60) 57                        
из них:
- 50-метровые
58                        
- 25-метровые 59                        
- для прыжков в воду 60                        
Площадь зеркала воды плавательных бассейнов (м2) 61                 X X X  
Из общего числа бассейнов (строка 57) - крытые 62                        
Лыжные базы 63                        
Биатлонные комплексы 64                        
Сооружения для стрелковых видов спорта - всего (сумма строк 66 - 68) 65                        
в том числе:
- тиры
66                        
- стрельбища 67                        
- стенды 68                        
Гребные базы и каналы 69                        
Другие спортивные сооружения 70                        
Объекты городской и рекреационной инфраструктуры, приспособленные для занятий физической культурой и спортом - всего (сумма строк 72 - 76) 71           X X       X X
в том числе:
- универсальная игровая площадка
72           X X       X X
- дистанция (велодорожка) 73           X X       X X
- спот (плаза начального уровня) 74           X X       X X
- площадка с тренажерами 75           X X       X X
- каток (сезонный) 76           X X       X X
Справочно: Количество заключенных в отчетный период соглашений о государственно-частном (муниципально-частном) партнерстве (77) ___________.
  Количество заключенных в отчетный период концессионных соглашений (78) ___________.

Раздел IV. Финансирование физической культуры и спорта, тысяча рублей

Статьи расходов N строки Фактически выделено бюджетных средств Получено из внебюджетных источников Всего израсходовано на развитие физической культуры и спорта Из гр. 8 по разделу 1100 "Физическая культура и спорт" бюджетной классификации Российской Федерации
Всего в том числе
из федерального бюджета из консолидированного бюджета субъекта Российской Федерации:
бюджет субъекта Российской Федерации бюджет муниципального образования
1 2 3 4 5 6 7 8 9
Расходы - всего (сумма строк 80 - 87) 79              
в том числе:
Организация и проведение спортивных мероприятий
80              
Организация и проведение физкультурных и массовых спортивных мероприятий 81              
Приобретение спортивного оборудования и инвентаря 82              
Капитальный ремонт спортсооружений 83              
Инвестиции на реконструкцию и строительство спортивных сооружений 84              
Заработная плата работников физической культуры и спорта 85              
Содержание спортивных сооружений 86              
Другие 87              
Справочно:  
  Поступило средств от предоставления платных услуг от занятий в клубах, секциях, группах физкультурно-оздоровительной направленности (88) ___________ тыс руб
  Поступило средств от проведения спортивно-зрелищных мероприятий (89) ___________ тыс руб
  Из гр. 9 израсходовано по подразделу 02 "Массовый спорт" (90) ______________ тыс руб
  Из гр. 9 израсходовано по подразделу 03 "Спорт высших достижений" (91) ______________ тыс руб
  Из гр. 9 израсходовано на финансирование профессионального спорта (92) ______________ тыс руб

Раздел V. Развитие видов спорта и двигательной активности, человек

Виды спорта N строки Численность занимающихся и их квалификация Число спортивных судей Число штатных тренеров, тренеров-преподавателей
Всего из них женщины Спортивные разряды Спортивные звания Всего из них: Всего Со специальным образованием
Всего из них: Всего из них:
1 разряд КМС МС МСМК ЗМС 1 категории всероссийской категории Высшим Средним
1 2 3 4 5 6 7 8 9 10 11 12 13 14 15 16 17
Всего видов спорта (сумма строк 94 - 204, 206 - 237, 238, 241, 250, 274, 280) 93                              
в том числе:
Авиамодельный спорт
94                              
Автомобильный спорт 95                              
Айкидо 96                              
Акробатический рок-н-ролл 97                              
Альпинизм 98                              
Американский футбол 99                              
Армрестлинг 100                              
Бадминтон 101                              
Баскетбол 102                              
Бейсбол 103                              
Биатлон 104                              
Бильярдный спорт 105                              
Бобслей 106                              
Бодибилдинг 107                              
Бокс 108                              
Борьба на поясах 109                              
Боулинг 110                              
Велосипедный спорт 111                              
Вертолетный спорт 112                              
Водно-моторный спорт 113                              
Водное поло 114                              
Воднолыжный спорт 115                              
Воздухоплавательный спорт 116                              
Воздушно-силовая атлетика (воркаут) 117                              
Волейбол 118                              
Восточное боевое единоборство 119                              
Всестилевое каратэ 120                              
Гандбол 121                              
Гиревой спорт 122                              
Го 123                              
Гольф 124                              
Гонки с препятствиями 125                              
Горнолыжный спорт 126                              
Городошный спорт 127                              
Гребля на байдарках и каноэ 128                              
Гребной слалом 129                              
Гребной спорт 130                              
Дартс 131                              
Джиу-джитсу 132                              
Дзюдо 133                              
Ездовой спорт 134                              
Каратэ 135                              
Кендо 136                              
Керлинг 137                              
Кикбоксинг 138                              
Кинологический спорт 139                              
Киокусинкай 140                              
Киокушин 141                              
Компьютерный спорт 142                              
Конный спорт 143                              
Конькобежный спорт 144                              
Кореш 145                              
Кудо 146                              
Лапта 147                              
Легкая атлетика 148                              
Лыжное двоеборье 149                              
Лыжные гонки 150                              
Морское многоборье 151                              
Мотоциклетный спорт 152                              
Муайтай 153                              
Настольный теннис 154                              
Парашютный спорт 155                              
Парусный спорт 156                              
Пауэрлифтинг 157                              
Перетягивание каната 158                              
Пилонный спорт 159                              
Плавание 160                              
Планерный спорт 161                              
Подводный спорт 162                              
Полиатлон 163                              
Практическая стрельба 164                              
Прыжки в воду 165                              
Прыжки на батуте 166                              
Прыжки на лыжах с трамплина 167                              
Пулевая стрельба 168                              
Пэйнтбол 169                              
Радиоспорт 170                              
Рафтинг 171                              
Регби 172                              
Роллер спорт 173                              
Роуп скиппинг (спортивная скакалка) 174                              
Рукопашный бой 175                              
Рыболовный спорт 176                              
Сават 177                              
Самбо 178                              
Самолетный спорт 179                              
Санный спорт 180                              
Северное многоборье 181                              
Серфинг 182                              
Синхронное плавание 183                              
Скалолазание 184                              
Сквош 185                              
Скейтбординг 186                              
Смешанное боевое единоборство (ММА) 187                              
Сноуборд 188                              
Современное пятиборье 189                              
Софтбол 190                              
Спорт сверхлегкой авиации 191                              
Спортивная борьба 192                              
Спортивно-прикладное собаководство 193                              
Спортивное метание ножа 194                              
Спорт глухих 195                              
Спорт лиц с интеллектуальными нарушениями 196                              
Спорт лиц с поражением ОДА 197                              
Спорт слепых 198                              
Спортивная акробатика 199                              
Спортивная аэробика 200                              
Спортивная гимнастика 201                              
Спортивное ориентирование 202                              
Спортивное программирование 203                              
Спортивный туризм - всего 204                              
в том числе:
Северная (скандинавская) ходьба
205                              
Стендовая стрельба 206                              
Страйкбол 207                              
Стрельба из арбалета 208                              
Стрельба из лука 209                              
Судомодельный спорт 210                              
Сумо 211                              
Танцевальный спорт 212                              
Теннис 213                              
Триатлон 214                              
Тхэквондо 215                              
Тхэквондо ГТФ 216                              
Тхэквондо ИТФ 217                              
Тхэквондо МФТ 218                              
Тяжелая атлетика 219                              
Универсальный бой 220                              
Ушу 221                              
Фехтование 222                              
Фигурное катание на коньках 223                              
Фитнес-аэробика 224                              
Флорбол 225                              
Фристайл 226                              
Функциональное многоборье 227                              
Футбол 228                              
Футбол лиц с заболеванием ЦП 229                              
Хоккей 230                              
Хоккей на траве 231                              
Хоккей с мячом 232                              
Художественная гимнастика 233                              
Чир спорт 234                              
Шахматы 235                              
Шашки 236                              
Эстетическая гимнастика 237                              
Прикладные виды спорта - всего
(сумма строк 239 - 240)
238                              
в том числе:
военно-прикладные
239                              
служебно-прикладные 240                              
Национальные виды спорта - всего (сумма строк 242 - 249) 241                              
в том числе:
гонки на охотничьих лыжах
242                              
керешу 243                              
мас-рестлинг 244                              
таврели 245                              
хапсагай 246                              
хуреш 247                              
шодсанлат 248                              
якутские национальные прыжки 249                              
Виды спорта, признанные в Российской Федерации (сумма строк 251 - 273) 250                              
в том числе:
авиационные гонки
251                              
Автомодельный спорт 252                              
Боулспорт 253                              
Брейкинг 254                              
Водно-спасательное многоборье 255                              
Воздушная гимнастика 256                              
Гонки дронов (беспилотных воздушных судов) 257                              
Зимнее плавание 258                              
Капоэйра 259                              
Крикет 260                              
Лазерный бой 261                              
Микрофутзал 262                              
Многоборье готов к труду и обороне 263                              
Нарды 264                              
Падел 265                              
Регбол 266                              
Силовой экстрим 267                              
Спортивная йога 268                              
Спортивный бридж 269                              
Стрельба на дальние дистанции 270                              
Фиджитал спорт (функционально-цифровой спорт) 271                              
Флаинг диск 272                              
Хапкидо 273                              
Иные виды двигательной активности (сумма строк 275 - 279) 274     X X X X X X X X X X      
в том числе:
хореография (танцы)
275     X X X X X X X X X X      
вело и пешие маршруты 276     X X X X X X X X X X      
моржевание 277     X X X X X X X X X X      
беговелы, самокаты 278     X X X X X X X X X X      
крокет 279     X X X X X X X X X X      
Другие 280                              

Раздел VI. Социально ориентированные некоммерческие организации (СОНКО)

Вид общественно полезной услуги в области физической культуры и массового спорта N строки Количество СОНКО, оказывающих общественно полезные услуги в области физической культуры и массового спорта (единица) Количество СОНКО, получивших государственную поддержку на оказание общественно полезных услуг населению (единица) Количество человек, получивших услугу (человек) Фактически выделено бюджетных средств на оказание услуги посредством СОНКО, тысяча рублей
Всего в том числе
из федерального бюджета из консолидированного бюджета субъекта Российской Федерации:
бюджет субъекта Российской Федерации бюджет муниципального образования
1 2 3 4 5 6 7 8 9
Спортивная подготовка по спорту глухих 281              
Спортивная подготовка по спорту лиц с интеллектуальными нарушениями 282              
Спортивная подготовка по спорту лиц с поражением опорно-двигательного аппарата 283              
Спортивная подготовка по спорту слепых 284              
Спортивная подготовка по футболу лиц с заболеванием церебральным параличом 285              
Пропаганда физической культуры, спорта и здорового образа жизни 286              
Проведение занятий физкультурно-спортивной направленности по месту проживания граждан 287              
Организация и проведение официальных спортивных мероприятий 288              
Участие в организации официальных спортивных мероприятий 289              
Организация и проведение официальных физкультурных (физкультурно-оздоровительных) мероприятий 290              
Обеспечение доступа к спортивным объектам 291              
Организация развития национальных видов спорта 292              
Организация и проведение физкультурных и спортивных мероприятий в рамках Всероссийского физкультурно-спортивного комплекса "Готов к труду и обороне" (ГТО) (за исключением тестирования выполнения нормативов испытаний комплекса ГТО) 293              
Организация и проведение мероприятий по военно-прикладным видам спорта 294              
Организация и проведение мероприятий по служебно-прикладным видам спорта 295              
Организация и проведение всероссийских смотров физической подготовки граждан допризывного и призывного возрастов к военной службе 296              
Организация и проведение спортивно-оздоровительной работы по развитию физической культуры и спорта среди различных групп населения 297              
Организация и обеспечение экспериментальной и инновационной деятельности в области физкультуры и спорта 298              
Всего (сумма строк 281 - 298) 299              

Раздел VII. Спортивное мастерство, человек

Виды спорта N строки Всего
1 2 3
Присвоено спортивных званий - всего (сумма строк 301 - 303) 300  
в том числе:
мастер спорта
301  
мастер спорта международного класса и Гроссмейстер России 302  
заслуженный мастер спорта 303  
Присвоено спортивных разрядов 304  
из них:
кандидат в мастера спорта
305  
I разряд 306  
Присвоено званий - заслуженный тренер России 307  
Присвоено званий - заслуженный работник физической культуры Российской Федерации 308  
Присуждены другие государственные почетные звания и награды 309  
Присуждены почетные звания и награды субъекта Российской Федерации 310  
Должностное лицо, ответственное за предоставление первичных статистических и (или) административных данных (лицо, уполномоченное предоставлять первичные статистические и (или) административные данные от имени респондента)          
  (должность)   (Ф.И.О.)   (подпись)
          "__" ______ 20__ год
  (номер контактного телефона)   (электронная почта) (дата составления документа)

Указания по заполнению формы федерального статистического наблюдения

Общие положения

1. Первичные статистические данные (далее - данные) по форме федерального статистического наблюдения N 1-ФК "Сведения о физической культуре и спорте" (далее - форма) предоставляют юридические лица, включая общественные организации, независимо от их организационно-правовых форм, форм собственности и видов экономической деятельности, осуществляющие деятельность по физической культуре и спорту (образовательные организации дошкольного, общего, профессионального, высшего образования и дополнительного образования детей, организации, осуществляющие спортивную подготовку, дома, дворцы молодежи и школьников, жилищно-коммунальные организации, парки культуры и отдыха, дома и дворцы культуры, предприятия, организации, спортивные сооружения, фитнес-клубы, спортивные клубы, организации и объединения, работающие с инвалидами, пенсионерами, физкультурно-спортивные общества и организации, федерации, ассоциации, союзы по видам спорта и другие организации и объединения, в том числе осуществляющие развитие военно-прикладных и служебно-прикладных видов спорта) - органу местного самоуправления в области физической культуры и спорта до 15 января года после отчетного периода.

Дома и дворцы культуры, парки культуры и отдыха, дворцы молодежи и школьников, организации и объединения, работающие с инвалидами и пенсионерами, отчитываются только за физкультурно-оздоровительную и спортивную работу, которую они организуют и проводят самостоятельно.

1.1. Административные данные предоставляются органом местного самоуправления в области физической культуры и спорта - органу исполнительной власти субъекта Российской Федерации в области физической культуры и спорта до 25 января года после отчетного периода;

1.2. Органы исполнительной власти субъектов Российской Федерации в области физической культуры и спорта предоставляют административные данные Министерству спорта Российской Федерации до 10 февраля года после отчетного периода.

Организация сбора статистических показателей (первичных статистических данных и административных данных), характеризующих состояние экономики и социальной сферы муниципального образования, и предоставление указанных данных органам государственной власти субъектов Российской Федерации осуществляется органами местного самоуправления по форме на основании пункта 6 части 1 статьи 17 Федерального закона от 6 октября 2003 г. N 131-ФЗ "Об общих принципах организации местного самоуправления в Российской Федерации".

2. Форма составляется за прошедший календарный год, по данным на конец года.

3. В адресной части титульного листа формы указывается полное наименование отчитывающейся организации в соответствии с учредительными документами, зарегистрированными в установленном порядке, а затем в скобках - краткое наименование. На бланке формы, содержащей данные по обособленному подразделению юридического лица, указывается наименование обособленного подразделения и юридического лица, к которому оно относится.

По строке "Почтовый адрес" указывается наименование субъекта Российской Федерации, юридический адрес с почтовым индексом, указанный в ЕГРЮЛ; либо адрес, по которому юридическое лицо фактически осуществляет свою деятельность, если он не совпадает с юридическим адресом. Для обособленных подразделений указывается почтовый адрес с почтовым индексом.

4. При наличии у юридического лица обособленных подразделений <1> настоящая форма заполняется как по каждому обособленному подразделению, так и по юридическому лицу без этих обособленных подразделений.

<1> Обособленное подразделение организации - любое территориально обособленное от нее подразделение, по месту нахождения которого оборудованы стационарные рабочие места. Признание обособленного подразделения организации таковым производится независимо от того, отражено или не отражено его создание в учредительных или иных организационно-распорядительных документах организации, и от полномочий, которыми наделяется указанное подразделение. При этом рабочее место считается стационарным, если оно создается на срок более одного месяца (пункт 2 статьи 11 Налогового кодекса Российской Федерации).

5. В кодовой части титульного листа формы на основании Уведомления о присвоении кода ОКПО (идентификационного номера), размещенного на сайте системы сбора отчетности Росстата в информационно-телекоммуникационной сети "Интернет" по адресу: https://websbor.gks.ru/online/info, отчитывающаяся организация (обособленное подразделение) проставляет код по Общероссийскому классификатору предприятий и организаций (ОКПО).

6. Руководитель юридического лица назначает должностных лиц, уполномоченных предоставлять данные от имени юридического лица.

Раздел I. Кадры

7. В разделе "Кадры" учитываются лица, осуществляющие физкультурно-спортивную, педагогическую и административную работу, имеющие установленную законодательством Российской Федерации профессиональную квалификацию. В разделе учитываются работники по предлагаемому перечню раздела.

8. Данные об образовании заполняются на основании документов об окончании полного курса образовательной организации.

9. Строка 01 (графа 3) "Всего работников физической культуры и спорта". Учитывается сумма показателей, указанных в строках 02, 03, 05, 07, 09, 10 - 12, 15 - 17.

10. Строки 02 - 08 (графа 3). Учитываются работники, проводящие физкультурно-оздоровительную и спортивную работу в образовательных организациях.

11. Строка 05 (графа 3) "Работники профессиональных образовательных организаций, осуществляющие работу по физической культуре и спорту". Учитываются преподаватели, руководители физического воспитания профессиональных образовательных организаций, в том числе училищ олимпийского резерва (УОР).

12. Строка 09 (графа 3) "Работники организаций дополнительного образования детей, осуществляющие работу по физической культуре и спорту". Учитываются работники (директор, его заместители, тренеры-преподаватели, тренеры, инструкторы-методисты и другие) всех типов организаций дополнительного образования детей (ДЮСШ, СДЮШОР, ДООЦ, дворцы молодежи, культуры и другие), проводящие физкультурно-оздоровительную и спортивную работу.

13. Строка 10 (графа 3) "Работники физической культуры и спорта предприятий, организаций и учреждений". Учитываются работники, проводящие физкультурно-оздоровительную и спортивную работу на предприятиях, в организациях в режиме рабочего дня и в нерабочее время.

14. Строка 11 (графа 3) "Работники физической культуры и спорта спортивных сооружений". Учитываются руководители спортивных сооружений, их заместители, тренеры, инструкторы и другие работники, проводящие физкультурно-оздоровительную и спортивную работу с населением различных возрастных групп.

15. Строка 12 (графа 3) "Работники физкультурно-спортивных клубов". Учитываются работники, проводящие физкультурно-оздоровительную и спортивную работу с населением различных возрастных групп по месту жительства, включая общежития, клубы любителей бега, лыжных гонок, северной (скандинавской ходьбы) и другое.

16. В строке 13 из строки 12 выделяются работники фитнес-клубов: руководители, их заместители, тренеры, инструкторы и другие работники проводящие физкультурно-оздоровительную и спортивную работу с населением различных возрастных групп.

17. В строке 14 из строки 12 выделяются работники детских и подростковых физкультурно-спортивных клубов.

18. В строке 15 (графы 3) - "Работники физической культуры и спорта аппаратов физкультурно-спортивных организаций всех уровней" учитываются работники физкультурно-спортивных обществ и организаций, федераций, ассоциаций, союзов по видам спорта.

19. Строка 16 (графа 3) - "Работники физической культуры и спорта органов управления физической культурой и спортом всех уровней" учитываются руководители и работники аппаратов органов управления физической культурой и спортом. В объединенных государственных структурах всех уровней: министерствах, госкомитетах, комитетах, агентствах, управлениях, отделах по делам молодежи, физической культуре, спорту и туризму и так далее, учитываются только те работники, которые работают в сфере физической культуры и спорта.

20. Строка 17 (графа 3) - "Другие работники физической культуры и спорта, в том числе адаптивной" учитываются работники, занимающие должности в сфере физической культуры и спорта, проводящие физкультурно-оздоровительную и спортивную работу, но не указанные в перечне данного раздела, в том числе работники центров тестирования Всероссийского физкультурно-спортивного комплекса "Готов к труду и обороне" (ГТО).

21. Строка 18 (графа 3) - учитывается количество высокопроизводительных рабочих мест из строки 01.

К высокопроизводительным рабочим местам относятся рабочие места, среднемесячная заработная плата по которым равна или превышает уровень среднемесячной заработной платы в экономике субъекта Российской Федерации (данные о размере среднемесячной заработной платы имеется в территориальном органе Федеральной службы государственной статистики).

22. В графе 4 учитываются специалисты, занимающие штатные должности.

23. В графе 5 учитываются специалисты, впервые приступившие к работе в сфере физической культуры и спорта в отчетном периоде.

24. В графе 6 учитываются штатные работники, работающие в сфере физической культуры и спорта в сельской местности.

25. В графах 6 и 8 по всем строкам учитывается образовательный ценз работников физической культуры и спорта, указанных в перечне данного раздела. Сумма показателей граф 7 и 8 может быть меньше или равна показателю графы 3 по всем строкам раздела.

26. В графах 9, 10, 11 по всем строкам раздела учитывается возрастной ценз работников физической культуры и спорта, указанных в перечне данного раздела. Сумма показателей граф 9, 10, 11 должна быть равна показателю графы 3 по всем строкам раздела.

27. В графе 12 учитываются работники женского пола.

28. В графе 13 по всем строкам раздела отражается количество имеющихся вакансий.

29. В графе 14 по всем строкам раздела отражается количество новых созданных в сфере физической культуры и спорта рабочих мест.

Раздел II. Физкультурно-оздоровительная работа

30. В данном разделе учитываются все формы физкультурно-оздоровительной и спортивной работы, проводимой с населением различных возрастных групп (в том числе с инвалидами) в учреждениях, на предприятиях, в объединениях и организациях, указанных в перечне раздела.

31. К числу систематически занимающихся физической культурой и спортом, относятся физические лица, занимающиеся избранным видом спорта или общей физической подготовкой, в форме организованных или самостоятельных занятий, при соблюдении следующего двигательного режима в неделю:

Возраст Временной двигательный объем в неделю
3 - 5 лет 75 мин
6 - 15 лет 90 мин
16 - 29 лет 125 мин
30 - 59 лет 115 мин
60 - 90 лет 90 мин

Участники соревнований не относятся к числу систематически занимающихся физической культурой и спортом.

32. Учет занимающихся ведется по журналам учета работы секций, групп. Каждый занимающийся учитывается только по одной форме занятий.

33. В строке 20 (графы 3) учитывается суммарный показатель количества учреждений, предприятий, объединений, организаций, на базе которых осуществляется физкультурно-оздоровительная и спортивная работа.

34. В строке 20 (графы 4) учитывается показатель численности занимающихся всеми формами (кроме урочной) физкультурно-оздоровительной и спортивной работы в учреждениях и организациях, указанных в перечне раздела. Дошкольные организации отчитываются по графе 14 в случае если на ее базе проводятся дополнительные занятия для дошкольников. В строке 20 учитывается сумма показателей строк 21, 22, 24, 26, 28 - 29, 31 - 32, 35.

35. Показатель строки 20 (графы 4) должен быть больше или равен показателю строки 93 (графа 3, раздел V Развитие видов спорта и двигательной активности).

36. Из итогового показателя строки 20 (графы 4), в графах 5 - 10 учитываются занимающиеся по предложенным возрастным категориям. Сумма показателей граф 5 - 10 должна быть равна показателю графы 4 по всем строкам раздела.

37. Из итогового показателя строки 20 (графы 4) в графе 11 выделяются женщины, занимающиеся физической культурой и спортом Итоговый показатель строки 20 (графы 11) должен быть больше или равен итоговому показателю V раздела строки 93 (графа 4).

38. Из итогового показателя строки 20 (графы 4) графе 12 - занимающиеся в сельской местности, в графе 13 - население, занятое в экономике, занимающееся физической культурой и спортом (работающие).

39. В итоговом показателе строки 20 (графы 14) учитываются обучающиеся образовательных организаций, осваивающие образовательные программы начального общего, основного общего или среднего общего образования, среднего профессионального образования, высшего образования (программы бакалавриата, программы специалитета) по очной форме обучения, посещающие занятия (уроки) по физической культуре в процессе обучения. В итоговом показателе строки 20 (графы 14) учитывается сумма показателей строк 21, 22, 24, 26 (графа 14).

40. В итоговом показателе строки 20 (графы 15) учитываются обучающиеся образовательных организаций, осваивающие образовательные программы начального общего, основного общего или среднего общего образования, среднего профессионального образования, высшего образования (программы бакалавриата, программы специалитета) по очной форме обучения, отнесенные по состоянию здоровья к специальной медицинской группе. Итоговый показатель строки 20 (графы 15) складывается из суммарного показателя строк 21, 22, 24, 26 (графа 15).

41. В итоговом показателе строки 20 (графы 16) учитывается количество обучающихся образовательных организаций (из графы 15), которые посещают занятия (уроки) по физической культуре в специальной медицинской группе.

42. В строках 21 - 27 по всем графам учитываются показатели физкультурной и спортивной работы, проводимой образовательными организациями всех типов на собственных объектах спорта, объектах спорта, находящихся в оперативном управлении или арендуемых объектах спорта. Образовательные организации не отчитываются за работу, проводимую арендаторами на объектах спорта данных организаций. Если на базе образовательной организации создан спортивный клуб (коллектив физкультуры) для работников образовательной организации, данная работа учитывается в строке 29.

43. В итоговом показателе строки 24 (графы 4) учитываются обучающиеся профессиональных образовательных организаций, осваивающие образовательные программы среднего профессионального образования по очной форме обучения, систематически занимающихся физической культурой и спортом.

44. В итоговом показателе строки 24 (графы 14) учитываются обучающиеся профессиональных образовательных организаций, осваивающие образовательные программы среднего профессионального образования по очной форме обучения, посещающие практические занятия физической культурой и спортом в рамках освоения дисциплин (уроков) по физической культуре и спорту (в том числе элективных), проводимых в форме контактной работы (за исключением занятий, проводимых с применением электронного обучения, дистанционных образовательных технологий).

45. В итоговом показателе строки 24 (графы 15) учитываются обучающиеся профессиональных образовательных организаций, осваивающие образовательные программы среднего профессионального образования по очной форме обучения, отнесенные по состоянию к специальной медицинской группе.

46. В итоговом показателе строки 26 (графы 4) учитываются обучающиеся образовательных организаций высшего образования, осваивающие образовательные программы высшего образования (программы бакалавриата, программы специалитета, программы магистратуры, программы подготовки научных и научно-педагогических кадров в аспирантуре (адъюнктуре), программы ординатуры, программы ассистентуры-стажировки) по очной форме обучения, систематически занимающихся физической культурой и спортом.

47. В итоговом показателе строки 26 (графы 14) учитываются обучающиеся образовательных организаций высшего образования, осваивающие образовательные программы высшего образования (программы бакалавриата, программы специалитета) по очной форме обучения, посещающие практические занятия физической культурой и спортом в рамках освоения дисциплин (модулей) по физической культуре и спорту (в том числе элективных), проводимых в форме контактной работы (за исключением занятий, проводимых с применением электронного обучения, дистанционных образовательных технологий).

48. В итоговом показателе строки 26 (графы 15) учитываются обучающиеся образовательных организаций высшего образования, осваивающие образовательные программы высшего образования (программы бакалавриата, программы специалитета) по очной форме обучения, отнесенные по состоянию к специальной медицинской группе.

49. Филиалы образовательных организаций самостоятельно отчитываются о проводимой физкультурно-спортивной работе по территориальному признаку.

50. В строках 23, 25, 27 учитываются школьные и студенческие спортивные клубы, созданные при образовательных организациях.

51. Строка 28 "Организации дополнительного образования детей". Учитываются показатели физкультурно-спортивной работы в организациях дополнительного образования всех типов (ДЮСШ, СДЮШОР, ДООЦ, дворцы культуры и молодежи, дома творчества и так далее).

52. Строка 29 (графа 3) "Предприятия, учреждения, организации" учитывается количество предприятий, учреждений, организаций, проводящих среди своих работников и членов их семей физкультурно-оздоровительную и спортивную работу в режиме рабочего дня и в свободное от работы время на собственных или арендуемых спортивных сооружениях.

53. Строка 30 (графа 3). Учитываются спортивные клубы (коллективы физкультуры), созданные на предприятиях, при учреждениях и организациях. Показатель строки 30 входит в показатель строки 29.

54. В строке 31 учитывается физкультурно-спортивная работа, осуществляемая на спортивных сооружениях.

55. В строке 32 учитывается деятельность физкультурно-спортивных клубов, действующих по месту жительства, включая фитнес-клубы, детские и подростковые клубы.

56. Строка 35 (графа 3). Учитываются формы физкультурно-оздоровительной и спортивной работы, проводимой с населением, не вошедшие в перечень данного раздела, включая адаптивную физическую культуру и спорт, а также деятельность профессиональных спортивных клубов.

57. В строке 36 из строки 20 выделяют организации (физкультурно-спортивные клубы), осуществляющие подготовку населения к выполнению нормативов испытаний (тестов) комплекса ГТО.

58. В строке 37 из строки 20 выделяют организации, развивающие различные формы хореографического искусства.

59. В строке 38 из строки 20 выделяются физкультурно-спортивные организации и центры для занятий спортом, осуществляющие свою деятельность в форме малых предприятий.

60. Из общего числа показателей строки 20 по всем графам раздела, в строке 39 выделяются показатели работы в сельской местности.

61. Показатели строки 20 графы 12, строки 39 графы 4, строки 39 графы 12 должны быть равны.

62. В графе 17 по соответствующим строкам, учитываются занимающиеся в группах и секциях физкультурно-оздоровительной и спортивной направленности на платной основе.

63. В справочной строке 40 учитывается количество физкультурных и спортивных мероприятий, проведенных организацией самостоятельно. За мероприятия муниципального, регионального уровня отчитываются соответствующие органы государственного управления.

Раздел III. Спортивная инфраструктура

64. Учету подлежат спортивные сооружения с учетом городской и рекреационной инфраструктуры, приспособленной для занятий физической культурой и спортом, всех форм собственности, независимо от их организационно-правовой формы, предназначенные для учебно-тренировочных занятий и физкультурно-оздоровительных, спортивных мероприятий, как действующие, так и находящиеся на реконструкции и капитальном ремонте, отдельно стоящие или входящие в состав комплексных сооружений, отвечающие правилам соревнований по видам спорта, имеющие паспорта или учетные карточки (плоскостные спортивные сооружения), зарегистрированные в установленном порядке.

65. Органы государственного управления физической культурой и спортом муниципальных образований, органы исполнительной власти субъектов Российской Федерации в области физической культуры и спорта отчитываются за все спортивные сооружения, находящиеся на территории данного образования.

66. ДЮСШ, СДЮШОР, ШВСМ и другие организации не учитывают арендуемые ими спортивные сооружения.

Спортивные сооружения, не вошедшие в перечень раздела (горнолыжные базы, прыжковые трамплины, санно-бобслейные трассы и другие), учитываются в строке 66 (графы 3), как "Другие спортивные сооружения".

67. Строка 41 должна быть равна сумме строк 42, 71.

68. Строки 42 - 70. Учету подлежат спортивные сооружения, отдельно стоящие или входящие в состав комплексных сооружений, по предложенному перечню.

69. Строка 42. Учитывается сумма показателей строк 43, 44, 47, 52, 53, 56, 57, 63, 64, 65, 69, 70.

70. Строка 43 (графа 3) "Стадионы с трибунами на 1500 мест и более". Учитываются открытые комплексные сооружения, включающие спортивное ядро с трибунами на 1500 мест и более. В состав спортивного ядра входят: основное игровое футбольное поле, окаймленное беговой дорожкой и места для занятий легкой атлетикой. Тренировочные (запасные) поля стадиона учитываются в строке 44 - "плоскостные спортивные сооружения".

71. Строка 44 (графа 3) "Плоскостные спортивные сооружения - всего". Учитываются площадки для игры в волейбол, баскетбол, бадминтон, городки, теннис, ручной мяч, хоккейные площадки (коробки), площадки для физкультурно-оздоровительных занятий для населения, комплексные площадки для подвижных игр, поля для игры в футбол, регби, бейсбол, хоккей на траве, гольф, стрельбы из лука, тренировочные (запасные) футбольные поля стадионов. В строке 45 из строки 44 выделяются футбольные поля.

72. Строка 46 "Площадь плоскостных спортивных сооружений". Учитывается суммарная площадь имеющихся плоскостных сооружений и стадионов. Площадь отражается в квадратных метрах.

73. Строка 47 (графа 3) "Спортивные залы - всего". Учету подлежат крытые сооружения, оборудованные для определенного вида занятий или универсального назначения. Показатель строки 47 (графы 3) может быть больше суммарного показателя строк 48 - 50 (графы 3) за счет спортивных залов других размеров. Минимальный размер спортивного зала для учета в строке 47 - 140 квадратных метров, высота не менее 5 метров. Спортивные залы меньшего размера (приспособленные помещения спортивного назначения) учитываются в строке 70 "Другие спортивные сооружения".

74. Строка 51 "Площадь спортивных залов". Учитывается суммарная площадь спортивных залов (в квадратных метрах), площадь приспособленных залов не учитывается.

75. Строка 52 (графа 3) "Крытые спортивные объекты с искусственным льдом". Учитываются крытые сооружения, имеющие стандартные ледовые площадки с искусственным льдом.

76. Строка 53 (графы 3) - "Манежи - всего" учитываются крытые, отдельно стоящие или встроенные сооружения, размеры которых отвечают требованиям учебно-тренировочного процесса и правилам соревнований по видам спорта. В строках 54 и 55 отдельно выделяются манежи легкоатлетические и футбольные. Если манеж используется и для легкой атлетики и для футбола, то учитывается он по тому названию, которое первым стоит в паспорте спортивного сооружения. Показатель строки 53 (графа 3) может быть больше суммарного показателя строк 54 и 55 (графа 3) за счет манежей, предназначенных для других видов спорта.

77. В строке 56 учитываются велотреки - открытые или крытые спортивные сооружения, включающие полотно с наклоненными по расчету виражами, и велодромы - крытые сооружения, включающие велотрек и места для зрителей.

78. Строка 57 (графа 3) "Плавательные бассейны - всего". Учитываются открытые и крытые ванны плавательных бассейнов, размером не менее 10 x 6 метров. Из них, в строке 58 (графы 3), выделяются 50-метровые бассейны, в строке 59 (графы 3) - 25-метровые бассейны, в строке 60 (графы 3) учитываются ванны бассейнов, предназначенные только для прыжков в воду. В строке 62 (графы 3) из общего числа строки 57 (графы 3) учитываются крытые бассейны. Показатель строки 57 может быть равен или больше суммарного показателя строк 58 - 60 за счет бассейнов нестандартных, но не менее чем 10 x 6 метров, размеров. Плавательные бассейны, оборудованные на естественных водоемах, не учитываются.

79. Строка 61 "Площадь зеркала воды плавательных бассейнов". Учитывается суммарная площадь зеркала воды плавательных бассейнов (в квадратных метрах).

80. Строка 63 (графа 3) "Лыжные базы". Учитываются комплексные сооружения, включающие лыжехранилища, раздевалки, подсобные помещения и трассы для занятий лыжным спортом и для проведения соревнований. В состав трасс может входить лыжный стадион с участком для старта и финиша не менее 400 м в длину и 100 м в ширину с судейским павильоном, трибунами для зрителей.

81. Строка 64 (графа 3) "Биатлонные комплексы". Учитываются открытые плоскостные комплексные сооружения, имеющие в своем составе лыжный стадион с трассой от 2,5 до 20 и более километров, стрельбище (не менее 20 мишеней для стрельбы, стоя и лежа с установкой огневого рубежа до 50 м), стартовый и финишный городки, штрафной круг не менее 150 м, хранилища для стрелкового оружия и боеприпасов, лыжного инвентаря и оборудования, раздевалки, душевые, подсобные помещения.

82. Строка 65 (графа 3) "Сооружения для стрелковых видов спорта". Учитываются крытые или открытые сооружения для стрельбы из различных видов оружия:

тир (крытое или открытое сооружение для стрельбы из боевого, спортивного оружия, в том числе стрельбы из лука);

стрельбище (комплекс, состоящий из крытых или открытых сооружений для различных видов стрельбы);

стенд (круглый, траншейный, совмещенный) для стендовой, спортивно-охотничьей стрельбы.

83. Показатель строки 65 (графы 3) состоит из суммарного показателя строк 66 - 68 (графы 3).

84. Строка 69 (графа 3) "Гребные базы и каналы". Учитывается комплекс сооружений для занятий гребными, водноспортивными и парусными видами спорта.

85. Строка 70 (графа 3) "Другие спортивные сооружения". Учитываются спортивные сооружения, находящиеся на территории данного административно-территориального образования, не вошедшие в предложенный перечень спортивных сооружений (графа 1), в том числе яхт-клубы, трамплины, горнолыжные базы, санные и санно-бобслейные трассы, учебно-тренировочные базы, спортивные сооружения для экстремальных видов спорта, скалодромы и другие, являющиеся объектами капитального строительства.

86. В строке 71 (графа 3) учитываются объекты городской и рекреационной инфраструктуры, приспособленные для занятий физической культурой и спортом. Показатель строки 71 должен быть равен сумме строк 72 - 76.

87. В строке 72 учитываются игровые площадки, приспособленные для занятий игровыми видами спорта.

88. В строке 73 учитываются велодорожки. В строке 74 учитываются споты для занятий экстремальными видами спорта.

89. В строке 75 учитываются тренажерные площадки, в том числе для занятий воркаутом, имеющие вандалозащищенные конструкции.

90. В строке 76 учитываются катки (сезонные), имеющие ровную поверхность намораживаемого льда и четко обозначенные границы (могут быть учтены ледовые катки, оборудованные на естественных водоемах, при соблюдении указанных требований).

91. В графах 4, 5, 6, 7 указывается вид собственности спортивных сооружений, графа 4 федеральная собственность, графа 5 - собственность субъекта Российской Федерации, графа 6 - муниципальная собственность, графа 7 - другая. Показатель графы 3 должен быть равен сумме показателей граф 4, 5, 6, 7.

92. В графе 8 из графы 3 учитываются спортивные сооружения, которые отвечают требованиям для подготовки спортивного резерва, спортсменов высокого класса, а также требованиям соответствующим правилам соревнований по видам спорта для проведения официальных физкультурных и спортивных мероприятий.

93. В графе 9 из графы 3 учитывают спортивные сооружения, находящиеся в аварийном состоянии или на капитальном ремонте и реконструкции.

94. В графе 10 из общего количества спортивных сооружений (графа 3 - "Всего"), по перечню спортивных сооружений (графа 1), учитывается количество спортивных сооружений, расположенных в сельской местности.

95. В графе 11 указывается Единовременная (нормативная) пропускная способность спортивных сооружений. Методика расчета приведена в Приложении N 1.

96. В графе 12 из общей единовременной пропускной способности спортивных сооружений (графа 10) учитывается единовременная пропускная способность спортивных сооружений, расположенных в сельской местности.

97. В графах 13, 14 отражается фактическая загруженность и мощность спортивных сооружений. Методика расчета приведена в Приложении N 2.

98. Графы 8, 9, 13, 14 по строкам 72 - 76 не заполняются.

99. В справочных строках 77, 78 указывается количество заключенных соглашений.

Раздел IV. Финансирование физической культуры и спорта

100. В разделе IV. "Финансирование физической культуры и спорта" учитываются кассовые расходы, направленные на развитие физической культуры и спорта из бюджетов всех уровней, а также из внебюджетных источников, в том числе на содержание профессиональных команд.

101. В строке 79 (графы) 3 "Расходы - всего" учитываются средства бюджетов всех уровней, расходуемые на развитие физической культуры и спорта в течение отчетного года. Показатель строки 73 должен быть равен сумме показателей строк 80 - 87.

102. В графе 3 "Всего" учитываются средства бюджетов всех уровней, выделенные на развитие физической культуры и спорта. Показатель графы 3 должен быть равен сумме граф 4, 5 и 6.

103. В строке 80 (графы 3) учитываются средства бюджетов всех уровней, расходуемые на проведение спортивных мероприятий (соревнований, учебно-тренировочных сборов) в течение отчетного года.

104. В строке 81 (графы 3) учитываются средства бюджетов всех уровней, расходуемые на организацию и проведение физкультурных мероприятий в течение отчетного года.

105. В строке 82 (графы 3) учитываются средства бюджетов всех уровней, выделенные на приобретение спортивного оборудования и инвентаря в течение отчетного года.

106. В строке 83 (графы 3) учитываются средства, выделяемые в течение отчетного года из бюджетов всех уровней согласно сметам расходов на проведение капитального ремонта спортивных сооружений.

107. В строке 84 (графы 3) учитываются инвестиции (средства), выделяемые в течение отчетного года из бюджетов всех уровней на реконструкцию и строительство спортивных сооружений.

108. В строке 85 (графы 3) учитываются средства, направленные на заработную плату работников сферы физической культуры и спорта.

109. В строке 86 (графы 3) указываются средства, направленные на содержание спортивных сооружений, без учета средств, израсходованных на реконструкцию и ремонт сооружений (данные средства учитываются в строках 83 и 84).

110. В графе 4 "из федерального бюджета" учитываются средства федерального бюджета, выделенные в течение отчетного года на развитие физической культуры и спорта.

111. В графе 5 "бюджет субъекта Российской Федерации" учитываются средства бюджета субъекта Российской Федерации, выделенные в течение отчетного года на развитие физической культуры и спорта из бюджета субъекта Российской Федерации.

112. В графе 6 "бюджет муниципального образования" учитываются средства бюджета муниципального образования, выделенные в течение отчетного года на развитие физической культуры и спорта.

113. В графе 7 "Получено из внебюджетных источников" учитываются средства, полученные из внебюджетных источников (средства спонсоров, инвесторов и так далее) в течение отчетного года на развитие физической культуры и спорта.

114. В графе 8 "Всего израсходовано на развитие физической культуры и спорта" учитывается сумма средств, выделенных из бюджетов всех уровней (графа 3) и полученных из внебюджетных источников (графа 7), израсходованных на развитие физической культуры и спорта в течение отчетного года.

115. В графе 9 учитываются средства, направленные на развитие физической культуры и спорта, выделяемые по разделу Бюджетной классификации Российской Федерации 1100 "Физическая культура и спорт".

116. Подраздел "Справочно" является обязательным.

117. По справочной строке 88 учитывается сумма средств, полученных от проведения физкультурно-оздоровительных занятий. По этой строке показывается объем поступлений от населения и организаций, оплачивающих занятия своих работников или учащихся.

118. По справочной строке 89 учитывается сумма средств, полученных от проведения спортивно-зрелищных мероприятий. По этой строке показывается объем поступлений от населения и организаций, оплачивающих посещение этих мероприятий своими работниками или учащимися.

119. По справочным строкам 88 - 89 учитываются средства, поступившие от населения или организаций в течение отчетного года за наличный расчет и по перечислению на расчетный счет. Объем поступлений приводится в фактически действовавших ценах, включающих налог на добавленную стоимость. Величина денежных поступлений должна быть приведена в тысячах рублей с одним десятичным знаком.

В данные по этим строкам не включаются поступления средств из государственного бюджета всех уровней и внебюджетных фондов. По спортивным сооружениям, сдаваемым в аренду, эти строки не заполняются.

120. В справочных строках 90, 91 и 92 (из графы 9) учитываются средства, израсходованные по подразделам 02 "Массовый спорт" и 03 "Спорт высших достижений", а также на финансирование профессионального спорта.

Раздел V. Развитие видов спорта и двигательной активности

121. В данном разделе учитывается численность занимающихся в секциях и группах по видам спорта, включенным во Всероссийский реестр видов спорта, а также иным видам двигательной активности.

122. В итоговой строке 93 (графы 3) - "Всего видов спорта", учитывается суммарный показатель строк 94 - 204, 206 - 237, 238, 241, 250, 274, 280. Из графы 3 в графе 4 учитывается количество занимающихся женщин. В графах 5 - 11 указывается спортивная квалификация занимающихся. Графа 8 должна быть равна сумме граф 9 - 11.

123. В графе 12 учитываются спортивные судьи с действующей квалификационной категорией спортивного судьи. Графа 12 может быть больше суммы граф 13 и 14 за счет судей, имеющих другие судейские категории.

124. В графе 15 учитываются тренеры и тренеры-преподаватели по видам спорта, занимающие штатные должности. В графах 16 и 17 отражается образование в области физической культуры и спорта.

Раздел VI. Социально ориентированные некоммерческие организации

125. Данные о деятельности социально ориентированных некоммерческих организаций (далее - СОНКО) предоставляется только в отношении оказания общественно полезных услуг в сфере физической культуры и массового спорта, утвержденных постановлением Правительства Российской Федерации от 27 октября 2016 г. N 1096 "Об утверждении перечня общественно полезных услуг и критериев оценки качества их оказания".

126. В графе 3 учитывается количество социально-ориентированных некоммерческих организаций.

127. В графе 4 учитывается количество СОНКО, которые получили государственную поддержку для оказания общественно полезных услуг в сфере физической культуры и массового спорта.

128. В графе 5 учитывается количество лиц, получивших общественно-полезную услугу.

129. В графе 6 учитывается суммарный показатель граф 7 - 9.

130. В графе 7, 8, 9 учитываются выделенные средства из федерального, регионального и местного бюджетов СОНКО для организации работ по оказанию общественно полезных услуг в сфере физической культуры и массового спорта.

Раздел VII. Спортивное мастерство

131. В данном разделе учитываются спортивные звания и разряды, государственные почетные звания и награды, присвоенные в отчетном году.

132. В строке 300 (графы 3) - "Присвоено званий (всего)" учитывается, суммарный показатель строк 301 - 303.

133. В строке 304 (графы 3) - "Присвоено спортивных разрядов" - учитываются спортсмены, выполнившие за отчетный год разрядные нормы и требования Единой всероссийской спортивной классификации (ЕВСК) для КМС, 1, 2, 3 разрядов и 1, 2, 3 юношеских разрядов. В строке 305 показывается количество подготовленных спортсменов КМС, в строке 306 - I разряда. Показатель строи 304 может быть больше суммы строк 305 - 306 за счет других спортивных разрядов.

134. В строке 307 (графы 3) - Присвоено званий "ЗТР" учитывается количество тренеров, которым в отчетном году присвоено звание "Заслуженный тренер России".

135. В строке 308 (графы 3) - Присвоено званий "ЗРФК" учитывается количество работников физической культуры и спорта, которым в отчетном году было присвоено звание "Заслуженный работник физической культуры Российской Федерации".

136. В строке 309 (графы 3) - "Присвоены другие государственные почетные звания и награды" учитывается количество работников физической культуры и спорта, которые в отчетном году были награждены иными государственными почетными званиями и наградами, не указанными в перечне раздела.

137. В строке 310 (графы 3) учитываются почетные звания и награды, присужденные в субъекте Российской Федерации.

Для расчетных статистических показателей используется численность населения 3 - 79 лет по данным Федеральной службы государственной статистики на 1 января отчетного периода.

Приложение 1

МЕТОДИКА РАСЧЕТА ЕДИНОВРЕМЕННОЙ (НОРМАТИВНОЙ) ПРОПУСКНОЙ СПОСОБНОСТИ (ДАЛЕЕ - ЕПС)

За основу расчета единовременной (нормативной) пропускной способности спортивного сооружения принимаются планово-расчетные показатели количества занимающихся физической культурой и спортом, утвержденные приказом Минспорта России от 21 марта 2018 г. N 244 "Об утверждении Методических рекомендаций о применении нормативов и норм при определении потребности субъектов Российской Федерации в объектах физической культуры и спорта".

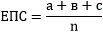
В случае расчета единовременной (нормативной) пропускной способности для комплексного спортивного сооружения (комплексной площадки), на которой могут проводиться занятия (соревнования) по нескольким видам спорта, единовременная (нормативная) пропускная способность рассчитывается как среднее арифметическое количества занимающихся по видам спорта, занятия по которым проводятся на комплексном спортивном сооружении (комплексной площадке), по формуле:

, где

ЕПС - единовременная (нормативная) пропускная способность комплексного спортивного сооружения (комплексной площадки);

а, в, с - - норматив занимающихся по видам спорта;

n - количество видов спорта

Например: при расчете ЕПС для комплексной площадки, на которой проводятся занятия по волейболу, баскетболу, бадминтону расчет следующий:

ЕПС = (20 + 18 + 6) / 3 = 15,

где 20, 18, 6 - ЕПС площадок для занятий волейболом, баскетболом, бадминтоном соответственно, 3 - количество видов спорта, занятия по которым проводятся на комплексной площадке. Средняя ЕПС комплексной площадки составит 15 человек.

Примеры расчета и нормы единовременной пропускной способности некоторых типов спортивных сооружений.

Единовременная (нормативная) пропускная способность стадиона складывается из суммы единовременной (нормативной) пропускной способности игрового футбольного поля и мест для занятий легкой атлетикой (беговые дорожки и сектора для метаний и прыжков).

Единовременная (нормативная) пропускная способность спортивного ядра рассчитывается, исходя из единовременной пропускной способности:

прямой беговой дорожки (на 1 дорожку) - 3 чел
круговой беговой дорожки (на 1 дорожку 400 м) - 6 чел
мест для прыжков (на 1 сектор) - 5 чел
мест для толкания ядра, метание молота, копья, диска (на 1 сектор) - 6 чел
футбольного поля - 28 чел

Единовременная (нормативная) пропускная способность плоскостных спортивных сооружений площадок:

бадминтона - 6 чел. городков - 10 чел
баскетбола - 18 чел. волейбола - 20 чел
гандбола - 22 чел. тенниса - 6 чел

площадки для физкультурно-оздоровительных занятий для детей:

от 6 до 10 лет - 3 м2; от 11 до 14 лет - 5 м2;
площадки для физкультурно-оздоровительных занятий юношей и взрослых - 10 м2;
- площадки для подвижных игр - 20 м2;

полей:

для футбола, регби, хоккея на траве - 28 чел., хоккея с мячом - 30 чел

Единовременная (нормативная) пропускная способность спортивного зала, помещений для физкультурно-оздоровительных занятий рассчитывается.

зал 42 x 24 м - до 50 чел зал 24 x 12 м - 35 чел
зал 36 x 18 м - 40 чел зал 18 x 12 м - 25 чел
зал 30 x 15 м - более 35 чел зал 12 x 6 м - 12 чел

тренажерных залов, помещений и залов для силовой подготовки рассчитывается, исходя из нормативов 1 тренажер на 1 занимающегося.

Единовременная (нормативная) пропускная способность спортивных залов и плоскостных спортивных сооружений учебных заведений, определяется из расчета одной учебной группы, класса (30 чел) на одно спортивное сооружение.

Единовременная (нормативная) пропускная способность крытых спортивных объектов с искусственным льдом составляет:

для занятий массовым катанием - 80 чел хоккеем с шайбой - 30 чел, фигурным катанием одиночное - 30 чел, парное - 8 чел
Крытые конькобежные дорожки 400 x 13 м - 80 чел, 333 x 13 м - 60 чел

Единовременная (нормативная) пропускная способность легкоатлетического манежа рассчитывается исходя из единовременной пропускной способности.

прямой беговой дорожки (на одну дорожку) - 4 чел
круговой беговой дорожки (на одну дорожку 200 м) - 8 чел
мест для прыжков (на 1 сектор) - 6 чел
мест для толкания ядра, метаний молота, диска (на 1 сектор) - 6 чел

Единовременная (нормативная) пропускная способность футбольного манежа рассчитывается исходя из норматива 150 м2 на 1 чел.

Единовременная (нормативная) пропускная способность велотреков и велодромов рассчитывается, исходя из единовременной пропускной способности длинны полотна:

400 м - 30 чел;

333 м - 25 чел;

250 м - 20 чел

Единовременная (нормативная) пропускная способность плавательного бассейна составляет на 1 дорожку:

ванна 50 м - 12 чел
ванна 25 м - 8 чел
ванны для обучения плаванию с размерами 10 x 6 м; 12,5 x 6 м - 16 чел

Единовременная (нормативная) пропускная способность бассейна для прыжков в воду рассчитывается.

1 прыжковое устройство - 6 чел

Единовременная (нормативная) пропускная способность лыжной базы рассчитывается, исходя из наличия лыжных трасс и их длины

Лыжные трассы с длинной дистанцией:

2 км - 30 чел
3 и 5 км - 40 чел
10 км - 50 чел

Единовременная (нормативная) пропускная способность спортивных сооружений стрелковых видов спорта рассчитывается исходя из единовременной пропускной способности имеющихся тиров, стрельбищ и стендов:

тир 1 мишень - 1 чел
стрельбище 1 мишень - 1 чел
стенд 1 площадка - 6 чел
поля для стрельбы из лука 1 мишень - 4 чел

Единовременная (нормативная) пропускная способность биатлонного комплекса рассчитывается, исходя из единовременной пропускной способности биатлонного стрельбища и лыжных трасс.

Единовременная (нормативная) пропускная способность гребной базы, канала рассчитывается:

академическая гребля (на 1 дорожку 13,5 x 2000 м) - 4 лодки умноженные на количество гребцов;

гребля на байдарках и каноэ (на 1 дорожку 9 x 200 м) - 4 лодки умноженные на количество гребцов.

Для расчета единовременной (нормативной) пропускной способности других спортивных сооружений (строка 70), необходимо пользоваться планово-расчетными показателями количества занимающихся, учитывая вид спорта, тип спортивного сооружения.

Единовременная пропускная способность объектов городской и рекреационной инфраструктуры, приспособленных для занятий физической культурой и спортом рассчитывается:

универсальная спортивная площадка 23 кв. м на 1 чел.;
дистанция (велодорожка) 60 м на 1 чел.;
спот (плаза начального уровня) 2 чел. на 1 фигуру;
площадка с тренажерами 1 чел. на 1 снаряд;
каток 15 кв. м на 1 чел.

Пример расчета единовременной (нормативной) пропускной способности комплексной площадки:

, где

ЕПС - единовременная (нормативная) пропускная способность комплексного спортивного сооружения (комплексной площадки);

а, в, с - норматив занимающихся по видам спорта;

n - количество видов спорта

Приложение 2

МЕТОДИКА РАСЧЕТА ФАКТИЧЕСКОЙ ЗАГРУЖЕННОСТИ И МОЩНОСТЬ СПОРТИВНЫХ СООРУЖЕНИЙ

Фактическая годовая загруженность спортивного сооружения показывает, сколько человек смогли воспользоваться услугами спортивного сооружения в год с целью своей физической и/или спортивной подготовки или участия в соревнованиях, измеряется в человеко-часах.

Фактическая годовая загруженность спортивного сооружения (ФЗ) определяется по формуле:

ФЗ = Р x Ч x Д x Н, где

Р - среднее количество посещений <2> спортивного сооружения в день, человек;

<2> Под посещением понимается количество человек, пришедших на спортивное сооружение с целью своей физической и/или спортивной подготовки.

Ч - средняя продолжительность одного занятия <3>, часов;

<3> Под занятием понимается организованные или неорганизованные формы проведения физической и/или спортивной подготовки, имеющие временные ограничения по своей продолжительности.

Д - количество дней в неделю, в течение которых спортивное сооружение оказывает физкультурно-оздоровительные и спортивные услуги населению, единиц;

Н количество недель в году, в течение которых спортивное сооружение оказывает физкультурно-оздоровительные и спортивные услуги населению, единиц.

Среднее количество посещений спортивного сооружения в день (Р) рассчитывается по формуле:

, где

П - общее количество посещений спортивного сооружения в год, человек;

Д - количество дней в году, в течение которых спортивное сооружение оказывает физкультурно-спортивные услуги населению, единиц.

Средняя продолжительность одного занятия (Ч) рассчитывается по формуле:

, где

В - количество часов работы спортивного сооружения в сутки, единиц;

З - количество занятий, проводимых на спортивном сооружении в сутки, единиц.

Годовая мощность спортивного сооружения показывает, сколько всего человек могут получить физкультурно-оздоровительные и спортивные услуги в течение года, измеряется в человеко-часах.

Годовая мощность спортивного сооружения (МС) рассчитывается по следующей формуле:

МС = ЕПС x РЧ x РД, где

ЕПС - единовременная нормативная пропускная способность спортивного сооружения, рассчитанная в соответствии с планово-расчетными показателями количества занимающихся физической культурой и спортом, утвержденными приказом Минспорта России от 21 марта 2018 г. N 244 "Об утверждении Методических рекомендаций о применении нормативов и норм при определении потребности субъектов Российской Федерации в объектах физической культуры и спорта", человек;

РЧ - количество рабочих часов спортивного сооружения в сутки, единиц;

РД - количество рабочих дней спортивного сооружения в году, единиц.

Рассчитав фактическую загруженность и годовую мощность объекта спорта можно произвести расчет коэффициента фактической загруженности спортивного сооружения (КЗ) по следующей формуле:

, где

КЗ - коэффициент загруженности спортивного сооружения, процент;

ФЗ - фактическая годовая загруженность спортивного сооружения, человеко-час;

МС - годовая мощность спортивного сооружения, человеко-час.