Приказ Росстата от 22.12.2023 N 679

"Об утверждении официальной статистической методологии по наблюдению за ценами на приобретенные строительные материалы, детали и конструкции"
Редакция от 22.12.2023 — Действует с 01.01.2024

ФЕДЕРАЛЬНАЯ СЛУЖБА ГОСУДАРСТВЕННОЙ СТАТИСТИКИ

ПРИКАЗ
от 22 декабря 2023 г. N 679

ОБ УТВЕРЖДЕНИИ ОФИЦИАЛЬНОЙ СТАТИСТИЧЕСКОЙ МЕТОДОЛОГИИ ПО НАБЛЮДЕНИЮ ЗА ЦЕНАМИ НА ПРИОБРЕТЕННЫЕ СТРОИТЕЛЬНЫЕ МАТЕРИАЛЫ, ДЕТАЛИ И КОНСТРУКЦИИ

В соответствии с подпунктом 5.2 пункта 5 Положения о Федеральной службе государственной статистики, утвержденного постановлением Правительства Российской Федерации от 2 июня 2008 г. N 420, приказываю:

1. Утвердить прилагаемую официальную статистическую методологию по наблюдению за ценами на приобретенные строительные материалы, детали и конструкции.

2. Признать утратившим силу приказ Росстата от 30 ноября 2017 г. N 800 "Об утверждении официальной статистической методологии по наблюдению за ценами на приобретенные строительные материалы, детали и конструкции".

3. Настоящий приказ вступает в силу с 1 января 2024 г.

Заместитель руководителя
С.Н. ЕГОРЕНКО

УТВЕРЖДЕНА
приказом Росстата
от 22.12.2023 N 679

ОФИЦИАЛЬНАЯ СТАТИСТИЧЕСКАЯ МЕТОДОЛОГИЯ ПО НАБЛЮДЕНИЮ ЗА ЦЕНАМИ НА ПРИОБРЕТЕННЫЕ СТРОИТЕЛЬНЫЕ МАТЕРИАЛЫ, ДЕТАЛИ И КОНСТРУКЦИИ

I. Общие положения

1. Официальная статистическая методология по наблюдению за ценами на приобретенные строительные материалы, детали и конструкции (далее - Методология) определяет основные положения федерального статистического наблюдения за ценами на приобретенные строительные материалы, детали и конструкции, порядок сбора первичных статистических данных, формирования системы весов, алгоритмы расчета средних цен и индексов цен на приобретенные организациями строительные материалы, детали и конструкции в Российской Федерации.

2. Методология разработана в соответствии с принципами официального статистического учета, определенными статьей 4 Федерального закона от 29 ноября 2007 г. N 282-ФЗ "Об официальном статистическом учете и системе государственной статистики в Российской Федерации" (далее - Закон о статистике).

3. Формирование средних цен и индексов цен на приобретенные строительные материалы, детали и конструкции основывается на действующих методологических принципах расчета показателей статистики цен.

4. Федеральное статистическое наблюдение за ценами на приобретенные строительные материалы, детали и конструкции и расчет на их основе средних цен и индексов цен (далее - наблюдение) осуществляется в соответствии с позицией 1.29.18 Федерального плана статистических работ, утвержденного распоряжением Правительства Российской Федерации от 6 мая 2008 г. N 671-р (далее - Федеральный план), по Российской Федерации, федеральным округам, субъектам Российской Федерации.

Наблюдение является выборочным и осуществляется с применением Методологии и инструментария (формы федерального статистического наблюдения), которые в соответствии с подпунктами 5.2 и 5.5 Положения о Федеральной службе государственной статистики, утвержденного постановлением Правительства Российской Федерации от 2 июня 2008 г. N 420, разрабатываются и утверждаются Росстатом.

5. Официальная статистическая информация о средних ценах и индексах цен на приобретенные строительные материалы, детали и конструкции используется при:

расчете индексов цен на строительно-монтажные работы;

анализе изменения цен на приобретенные организациями строительные материалы, детали и конструкции за определенный период времени и его влияния на инфляционные процессы;

сопоставлении уровней цен на приобретенные организациями строительные материалы, детали и конструкции в различных субъектах Российской Федерации;

расчете индексов цен по группам объектов капитального строительства;

проведении различных макроэкономических и прогнозных расчетов.

6. Настоящей Методологией не регулируется порядок применения средних цен и индексов цен на приобретенные строительные материалы, детали и конструкции.

II. Основные показатели, понятия и определения <1>

<1> Приведенные в Методологии понятия и определения используются исключительно для настоящей Методологии.

7. Система показателей статистики цен на приобретенные строительные материалы, детали и конструкции включает:

средние цены на приобретенные строительные материалы, детали и конструкции, рассчитываемые на основе фактических цен на виды товаров с конкретными качественными характеристиками как частное от деления общей стоимости приобретенных товаров на их объем в принятых для наблюдения единицах измерения. Средние цены формируются под влиянием инфляционных изменений и таких факторов, как ассортиментные и структурные сдвиги (изменение соотношения доли различных видов товаров, нерегулярность их приобретения), изменение условий приобретения, сезонные колебания спроса;

индексы цен на приобретенные строительные материалы, детали и конструкции, являющиеся относительными показателями динамики цен, характеризующими изменение во времени цен на сопоставимые виды товаров при неизменной в течение года структуре приобретения;

средние расчетные цены на унифицированные материалы-представители, которые вычисляются путем деления общей стоимости приобретенного материала по всем маркам на его количество, пересчитанное на коэффициент приведения к унифицированному материалу-представителю. Такой метод расчета позволяет учесть влияние на уровень цены существенных различий в потребительских свойствах конкретных марок материалов, деталей и конструкций. Показатель используется для формирования индексов цен на строительно-монтажные работы.

8. Основные понятия и определения, используемые для целей Методологии:

марка материала (марка) - конкретизированная минимальная единица материала (детали, конструкции, топливно-энергетического ресурса), обладающая определенными признаками, свойствами, характеристиками (такими как: класс, объем, размер, толщина, диаметр, сечение и другие) и входящая в технологически однородную группу. Например, технологически однородная группа - "Щебень", марка материала - "Щебень из естественного камня, марка М-400, фракция 05 - 10 мм", "Щебень из естественного камня, марка М-400, фракция 10 - 20 мм", "Щебень из естественного камня, марка М-1200, фракция 20 - 40 мм", "Щебень из естественного камня, марка М-1400, фракция 40 - 70 мм";

строительные материалы, детали и конструкции - вся совокупность определенных видов материалов, деталей и конструкций, а также топливно-энергетических ресурсов с конкретными потребительскими свойствами, применяемых при производстве строительно-монтажных работ;

технологически однородная группа (материал-представитель) совокупность аналогов материала с конкретными потребительскими свойствами. В пределах технологически однородной группы строительные материалы, детали или конструкции отличаются маркой, толщиной, плотностью, сечением, диаметром и другими параметрами. В качестве материалов-представителей в наблюдение включены основные виды приобретаемых строительными организациями материалов, деталей, конструкций и топливно-энергетических ресурсов;

унифицированный материал-представитель с конкретными техническими параметрами - наиболее часто применяемая марка материала, детали или конструкции с определенными свойствами в пределах технологически однородной группы;

коэффициенты приведения - коэффициенты, с помощью которых каждая конкретная марка материала, детали или конструкции в пределах технологически однородной группы по своим потребительским качествам приводится к унифицированному материалу-представителю этой группы;

приведенный объем - количество приобретенного материала конкретных марок, пересчитанное с помощью коэффициентов приведения в унифицированный материал-представитель;

базовые организации - выборочная совокупность отчитывающихся организаций (респондентов), приобретающих основные строительные материалы, детали и конструкции;

респонденты - юридические лица, предоставляющие первичные статистические данные (далее - данные) о ценах и количестве на приобретенные ими материалы, детали и конструкции по форме федерального статистического наблюдения N 9-КС "Сведения о ценах на приобретенные основные строительные материалы, детали и конструкции" (далее - форма N 9-КС);

цена материала, детали или конструкции - плата за единицу измерения марки материала, детали или конструкции строительной организацией, включая налог на добавленную стоимость (НДС), прочие налоги, транспортные, посреднические и другие расходы;

сопоставимая цена - цена на одну и ту же марку материала с определенными качественными и другими характеристиками в отчетном и базисном периодах в одной и той же организации;

условно-расчетная цена - замена отсутствующих цен условными значениями с использованием различных методов их определения;

взвешивание - метод индексных расчетов для получения сводных показателей из индивидуальных, каждому из которых придается определенное значение, или вес, в их общей совокупности;

индекс цен - относительный показатель, характеризующий изменение цен во времени (выражается в коэффициентах или процентах);

индивидуальный индекс цен (индекс цен элементарных агрегатов) - отношение цены марки материала с конкретными потребительскими свойствами в определенный период времени к цене той же марки в предыдущем (базисном) периоде;

сводный индекс цен - взвешенное среднее значение всех индивидуальных индексов цен на марки материалов, полученное на основе постоянной структуры весов.

III. Основные принципы и этапы организации статистического наблюдения за ценами на приобретенные строительные материалы, детали и конструкции

9. Организация статистического наблюдения за ценами на приобретенные отдельные виды товаров и построение индексов цен осуществляется на единых методологических принципах, используемых в статистике цен:

выборочный характер наблюдения - выборочный перечень материалов-представителей и базовых организаций для наблюдения за ценами;

репрезентативность отобранных марок материалов и организаций:

единые временные параметры регистрации цен;

учет особенностей экономической конъюнктуры рынка при включении отдельных марок материалов и организаций в наблюдение за ценами (нестабильность приобретения, качественные изменения приобретенных товаров, сезонные колебания цен);

соблюдение сопоставимости цен на отдельные марки материалов в базисном и отчетном периодах при расчете индексов цен;

общие подходы к формированию базисных весов;

использование единых алгоритмов расчета индексов цен;

неизменность методологии расчета индексов цен в течение длительного периода времени;

применение общероссийских классификаторов;

обеспечение конфиденциальности первичных статистических данных.

10. Организация и проведение федерального статистического наблюдения за ценами и построение индекса цен на приобретенные строительные материалы, детали и конструкции состоит из следующих этапов:

отбор базовых организаций, в которых проводится наблюдение за ценами;

отбор строительных материалов, деталей и конструкций, данные о ценах на которые участвуют в построении индексов цен;

определение порядка сбора ценовой информации;

формирование базисных весов;

расчет средних цен и индексов цен.

IV. Система классификаторов, используемых для расчета средних цен и индексов цен

11. Общероссийский классификатор видов экономической деятельности (ОКВЭД2) ОК 029-2014 (КДЕС Ред. 2) содержит записи всех группировок видов экономической деятельности, представленных иерархически. Для идентификации группировок каждая запись классификатора имеет кодовое обозначение, состоящее из цифр (от двух до шести) с последовательным методом кодирования.

В соответствии с классификатором ОКВЭД2 идентифицируются виды экономической деятельности организаций, выполняющих строительно-монтажные работы, и осуществляется отбор респондентов.

12. Общероссийский классификатор продукции по видам экономической деятельности (ОКПД2) ОК 034-2014 (КПЕС 2008) содержит записи группировок продукции (услуг, работ), представленных иерархически. Для идентификации группировок каждая запись классификатора имеет кодовое обозначение, состоящее из цифр (от двух до девяти) с последовательным методом кодирования.

На основе классификатора ОКПД2 формируется перечень материалов-представителей, включенных в наблюдение за ценами приобретения.

13. Общероссийский классификатор объектов административно-территориального деления (ОКАТО) ОК 019-95 предназначен для обеспечения сопоставимости и автоматизированной обработки информации в разрезах административно-территориального деления и используется для формирования показателей по субъектам Российской Федерации.

14. Общероссийский классификатор единиц измерения (ОКЕИ) ОК 015-94 предназначен для количественной оценки показателей и обеспечения единства измерений. Идентификационный код единицы измерения представляет собой трехзначный или четырехзначный цифровой десятичный код, присвоенный по порядковой системе кодирования.

V. Отбор базовых организаций

15. Отбор базовых организаций для наблюдения в отчетном году осуществляется ежегодно в конце предыдущего года. При необходимости в перечень базовых организаций могут быть внесены изменения в течение отчетного года.

Перечень респондентов (базовых организаций) для участия в наблюдении формируется на уровне субъекта Российской Федерации и включает организации, осуществляющие работы по виду экономической деятельности "Строительство", включенные в раздел F классификатора ОКВЭД2, и приобретающие основные строительные материалы, детали, конструкции.

16. Основным информационным источником формирования выборки базовых организаций является Автоматизированная система ведения генеральной совокупности объектов федерального статистического наблюдения (АС ГС ОФСН), включающая сведения об организациях, прошедших государственную регистрацию и идентифицированных кодами в соответствии с общероссийскими классификаторами технико-экономической и социальной информации.

В выборочную совокупность базовых организаций включаются крупные (не относящиеся к субъектам малого и среднего предпринимательства) и средние организации, приобретающие основные строительные материалы, детали и конструкции. В случае недостаточного количества крупных и средних организаций для соблюдения принципа репрезентативности материалов-представителей в наблюдение за ценами также могут включаться малые предприятия.

17. При отборе базовых организаций учитываются следующие основные требования:

обследованию подлежат организации, выполняющие функции как генподрядчика, так и субподрядчика, что позволяет охватить всю совокупность работ при возведении объектов;

в составе базовых организаций могут быть представлены строительные организации различных форм собственности и организационно-правовых форм;

должен быть обеспечен максимальный охват всех наблюдаемых материалов-представителей;

доля объема строительно-монтажных работ, выполняемых базовыми организациями, в целом по субъекту Российской Федерации должна составлять не менее 50%.

18. В перечень базовых организаций не включаются:

микропредприятия;

организации, приобретающие строительные материалы, детали и конструкции один раз в год.

19. При актуализации выборки организаций может использоваться информация об объеме выполненных строительных или строительно-монтажных работ, обороте, численности сотрудников и других показателей из форм федерального статистического наблюдения:

N 1-предприятие "Основные сведения о деятельности организации" (раздел 5 строка 517 "Произведено строительно-монтажных работ для собственного потребления (хозяйственным способом)", строка 521 "Произведено строительных материалов и конструкций для использования при выполнении строительных и монтажных работ: собственными силами организации"; раздел 8 строка 802 "Средняя численность работников" и "Оборот" по видам экономической деятельности; раздел 9 строка 902 - такие же показатели, как в строке 802, по обособленным подразделениям);

N 5-з "Сведения о затратах на производство и продажу продукции (товаров, работ, услуг) (раздел 1 строка 06 "Расходы на приобретение сырья, материалов, покупных полуфабрикатов и комплектующих изделий для производства и продажи продукции (товаров, работ, услуг)";

N П-1 "Сведения о производстве и отгрузке товаров и услуг" (раздел I строка 03 "Строительно-монтажные работы по зданиям и сооружениям, выполненные хозспособом", раздел 2 строка 21 "Отгружено товаров собственного производства, выполнено работ и услуг собственными силами по фактическим видам деятельности");

N П-2 "Сведения об инвестициях в нефинансовые активы" (раздел "Справочно" строка 44 "Объем выполненных строительных работ за отчетный квартал" по подрядным организациям);

N ПМ "Сведения об основных показателях деятельности малого предприятия" (раздел 2 строка 02 "Средняя численность работников - всего, чел"; раздел 3 строка 10 "Отгружено товаров собственного производства, выполнено работ и услуг собственными силами";

N С-2 "Сведения о ходе строительства строек и объектов, включенных в федеральную адресную инвестиционную программу" (графа 7 "Срок ввода в действие стройки (объекта), выполнения мероприятия (год)", графа 17 "Фактически использовано за счет всех источников финансирования с начала года по отчетный месяц включительно");

N 1-разрешение "Сведения о выданных разрешениях и уведомлениях на строительство и на ввод объектов в эксплуатацию" (раздел 1 графа А "Наименование застройщика, адрес", графа 1 "ИНН застройщика (юридического лица, ИП)", графа 3 "Наименование объекта капитального строительства (этапа), адрес (местонахождение) объекта", графа 4 "Код ОКТМО местонахождения объекта", графа 8 "Дата начала строительства, месяц, год", графа 9 "Ожидаемая дата ввода в эксплуатацию, месяц, год".

VI. Отбор материалов-представителей

20. Единицей наблюдения является марка материала, приобретенного организацией в отчетном месяце.

21. Росстатом централизованно формируется перечень материалов-представителей на основе ОКПД2, включающий основные строительные материалы, детали, конструкции, являющиеся наиболее значимыми в стоимости выполняемых строительно-монтажных работ. Перечень материалов-представителей приведен в пункте 10 Указаний по заполнению формы N 9-КС и является единым для всех субъектов Российской Федерации.

Периодически, но не чаще одного раза в год (как правило, перед началом календарного года), перечень материалов-представителей может быть уточнен в связи с изменением потребности пользователей в получении информации о ценах и индексах цен на них.

Территориальные органы Росстата организуют наблюдение за ценами приобретения на максимально возможное количество материалов-представителей из перечня. При этом включенные в наблюдение материалы-представители должны охватить все виды строительно-монтажных работ, осуществляемых в субъекте Российской Федерации.

На региональном уровне по каждому из участвующих в наблюдении материалу-представителю из ведомственного справочника "Марки материалов, приобретенных строительными организациями, для регистрации цен" (далее - ведомственный справочник) <1> отбираются наиболее представительные марки (от 3 до 6), по которым будут регистрироваться цены. Необходимость регистрации цен по нескольким маркам, относящимся к наблюдаемому материалу-представителю, позволяет избежать искажений в расчетах индексов цен, которые могут возникнуть вследствие нестабильности приобретения, частой смены поставщиков, а также ассортиментных сдвигов приобретаемых строительных материалов, деталей и конструкций.

<1> Ведомственный справочник размещен на официальном сайте Росстата в информационно-телекоммуникационной сети "Интернет" (https://rosstat.gov.ru) в разделе Статистика/Официальная статистика/Цены, инфляция/Методология/Дополнительная информация.

В наблюдение не включаются марки материалов:

ненадлежащего качества:

приобретаемые один раз в год.

22. Формирование перечня конкретных марок для регистрации цен производится сотрудниками территориальных органов Росстата совместно со специалистами организаций, участвующих в наблюдении, учитывая регулярность их приобретения - не менее 2 - 3 раз в год.

Включение или исключение из наблюдения конкретных марок материала производится в начале отчетного года, исходя из анализа приобретения их организациями в предыдущем году. Замена включенных в наблюдение марок на другие в течение отчетного года не допускается.

VII. Порядок сбора данных

23. Сбор данных о ценах на приобретаемые строительные материалы, детали и конструкции осуществляется по форме N 9-КС с месячной периодичностью до 25-го числа отчетного периода включительно.

В форме указываются данные о ценах приобретения на марки материалов по состоянию на 24-е число отчетного месяца, данные о количестве - с 25-го числа предыдущего месяца по 24-е число текущего месяца в натуральном выражении. Если на 24-е число отчетного месяца по какой-либо марке строительного материала отсутствует цена, то в отчете по форме указываются данные о цене, по которой такая марка материала приобреталась в ближайший ко дню регистрации день в течение отчетного месяца.

24. Основанием для заполнения формы служат документы первичного учета (счета, накладные, счета-фактуры), в которых отражаются данные о количестве и цене приобретенных материалов, деталей и конструкций.

Регистрации подлежат фактические цены приобретения марок материала в текущем месяце (с учетом НДС и других налогов, снабженческо-сбытовых затрат, транспортных и других расходов). К транспортным расходам относятся все затраты (кроме учтенных в отпускной цене поставщика) на перевозку железнодорожным, автомобильным и другими видами транспорта, подачу и уборку вагонов на станциях отправления и назначения, погрузочно-разгрузочные работы. В том случае, если организация доставляет приобретенный материал самовывозом, то к стоимости материала она должна добавить собственные транспортные расходы.

25. В наблюдение включаются материалы отечественного и импортного производства. Цены на материалы указываются в валюте Российской Федерации.

Если организацией приобретаются импортные материалы (из наблюдаемого перечня), то цена на оплачиваемые в долларовом (или другом) эквиваленте материалы указывается в рублях. Пересчет в рубли осуществляется по курсу, оговоренному условиями договора купли-продажи.

26. При приобретении строительных материалов по бартеру или взаимозачету указывается расчетная цена (исходя из стоимости и количества товара, полученного взамен) с включением снабженческо-сбытовых затрат и транспортных расходов.

27. В форме указываются данные по всем маркам строительных материалов, приобретение которых осуществляется не менее 2 - 3 раз в год.

28. При сборе ценовой информации для расчета индексов цен должна быть обеспечена возможность определения "чистого" изменения цен, то есть выполнено условие сопоставимости ценовых данных в отчетном и предыдущем периодах.

В ведомственном справочнике марки материалов приведены с указанием конкретных потребительских свойств, качественных и технических характеристик. Однако по таким материалам как "Светильники и осветительные устройства", "Изделия электроустановочные" вариативность характеристик и специфических признаков марок материалов, используемых в строительстве, значительно больше, чем выделено в ведомственном справочнике.

Поэтому в целях обеспечения сопоставимости цен в динамике в каждом отчетном месяце в форме должны быть указаны данные о цене и количестве на марки материалов, идентичные по своим качественным и техническим характеристикам с предыдущим периодом.

29. В ведомственный справочник кроме марок материалов с конкретными характеристиками включены групповые позиции.

В случае приобретения организацией марки, имеющей специфические особенности, отсутствующие в ведомственном справочнике, информация может быть проставлена по коду групповой позиции. Однако организацией по вышеуказанному коду групповой позиции должны предоставляться данные о ценах и количестве по марке с такими же специфическими особенностями в течение всего отчетного года.

30. Если в документах информация о ценах и количестве материалов отражается в единицах измерения, отличающихся от предусмотренных в перечне, и известен коэффициент пересчета в требуемые единицы измерения (указанные в таблице с перечнем материалов-представителей в пункте 10 раздела I Указаний по заполнению формы N 9-КС), в форме проставляются расчетные цена и количество.

31. При приобретении нефтепродуктов в литрах, данные об их цене и количестве следует пересчитать в тонны с использованием нижеприведенных коэффициентов пересчета:

Наименование марки материала Коэффициент пересчета литра в тонну
1 2
Бензин автомобильный 0,00075
Топливо дизельное 0,00083

При этом количество приобретенного материала умножается на коэффициент пересчета, а цена - делится на него.

32. При включении новых организаций или марок материалов, ранее не наблюдаемых, в форме N 9-КС один раз в год при предоставлении данных за январь отчетного года предусмотрено заполнение раздела II, включающего данные за базисный период (предыдущий год):

о количестве приобретенных марок материалов в натуральном выражении в целом за предыдущий год;

о фактических ценах приобретения марок материалов с учетом НДС за каждый месяц предыдущего года и за декабрь года, предшествующего предыдущему.

33. В целях проверки корректности предоставленных данных предусмотрены первичные контроли, осуществляемые автоматически при получении электронной версии формы N 9-КС, результаты которых анализируются специалистами территориальных органов Росстата.

Кроме того, для проверки достоверности данных специалисты территориальных органов Росстата могут уточнять у сотрудников организаций предоставленные ими данные не только за отчетный месяц, но и за несколько последних месяцев.

VIII. Регистрация цен в условиях смены поставщиков строительных материалов, деталей и конструкций

34. Одним из принципов расчета индексов цен на приобретенные строительные материалы, детали и конструкции является необходимость отбора поставщиков, которые осуществляют стабильные поставки материалов. Это позволяет при расчете индексов цен исключить влияние на их уровень факторов, связанных с изменениями условий приобретения строительных материалов, деталей и конструкций.

В ряде случаев базовые организации приобретают один и тот же строительный материал у разных поставщиков по различным ценам, и проследить на протяжении длительного периода динамику цен по одному и тому же поставщику достаточно сложно. Исходя из этого в форме N 9-КС респондент указывает цену на конкретную марку, приобретенную у одного крупного поставщика, если объем приобретения у него составляет более 50% от общего количества по данной марке материала.

Если в организации периодически меняются поставщики и отследить изменение цен на данную марку материала, поставляемую одним и тем же поставщиком, не представляется возможным, регистрация цен осуществляется по нескольким поставщикам. В этом случае респондентом рассчитывается средняя цена по нескольким поставщикам путем деления суммарной стоимости приобретения марки материала у всех поставщиков на общее количество приобретения.

В наблюдение нс включаются "случайные" поставщики (разовая поставка партии материала по цене, аномально отличающейся от обычных закупок).

IX. Исчисление условно-расчетных цен в условиях временного отсутствия приобретения строительных материалов, деталей и конструкций

35. Наибольшие трудности при расчете индексов цен связаны с временным прекращением приобретения марок материалов. Наиболее распространенным способом учета недостающих данных по ценам на конкретные марки является использование их условно-расчетных значений до тех пор, пока не будут получены данные о фактических ценах.

Существует несколько методов исчисления условно-расчетных цен, позволяющих обеспечить непрерывность индексных рядов:

использование относительного изменения цен на аналогичные марки материалов;

использование среднего изменения цен на материал-представитель, в который входит временно исчезнувшая марка;

использование среднего изменения цен на материал-представитель по другим базовым организациям в субъекте Российской Федерации.

Если в отчетном периоде по сравнению с предыдущим периодом цены на строительные материалы, приобретение которых нс прекращалось, оставались неизменными, в качестве условно-расчетной цены марок материалов. приобретение которых временно прекращено, может использоваться цена предыдущей регистрации, то есть применяться метод дублирования цены. Такой метод может быть использован в условиях стабильных цен не более двух месяцев подряд в случаях, если затраты на приобретение данной марки материала за этот период остались неизменными в других базовых организациях субъекта Российской Федерации.

36. При полном прекращении приобретения наблюдаемой марки материала или ликвидации базовой организации используются следующие подходы.

Если базовая организация прекратила приобретение каких-либо марок материалов в начале года, то производится замена обследуемой базовой организации и наблюдаемых марок материалов на аналогичную. Если в субъекте Российской Федерации отсутствует другая подрядная организация, производящая аналогичные строительно-монтажные работы, то она исключается из наблюдения и, соответственно, пересчитываются индексные ряды за предшествующие месяцы отчетного года. Для оптимального осуществления процедуры замены выбывшей базовой организации, помимо базовых организаций, необходимо осуществлять дополнительное наблюдение за подрядными организациями, выполняющими аналогичные виды строительно-монтажных работ со сходными строительными материалами.

Если закрытие базовой организации произошло в середине года или позже, то до конца отчетного года применяются условно-расчетные цены на марки материалов по этой организации.

X. Формирование базисных весов

37. В связи с происходящими в настоящее время существенными изменениями в структуре приобретенных материалов обновление системы весов, используемых при расчете индексов цен, производится ежегодно.

38. В целях формирования базисных весов при расчете индексов цен на приобретенные основные строительные материалы, детали и конструкции в течение отчетного года используется количество приобретенных строительных материалов, деталей и конструкций (по маркам, артикулам и другим параметрам) за предыдущий год.

Перед началом расчета индексов цен в отчетном году базисные веса корректируются:

удаляется информация о количестве приобретенных материалов за предыдущий год по тем маркам и организациям, которые исключаются из наблюдения в отчетном году;

вводится дополнительная информация, накопленная за предыдущий год, о количестве приобретенных материалов по маркам, которые включаются в расчет с нового года.

XI. Расчет средних цен

39. Расчет средних цен на материалы-представители производится на основе фактических данных об уровне цен и количестве приобретенных базовыми организациями марок материалов (в натуральном выражении) в отчетном месяце.

40. Средняя цена на материал-представитель по субъекту Российской Федерации определяется по формуле средней арифметической взвешенной:

, (1)

где

- средняя цена на материал-представитель m по субъекту Российской Федерации r в отчетном месяце t, рублей;
- цена j-й марки материала, приобретенного респондентом l, в отчетном месяце t, рублей;
- количество приобретенного респондентом l материала j-й марки в отчетном месяце t, в натуральных единицах измерения;
m - материал-представитель;
r - субъект Российской Федерации;
j - порядковый номер марки материала;
G - количество марок, входящих в материал-представитель m;
l - порядковый номер респондента;
L - количество респондентов в субъекте Российской Федерации r;
t - отчетный месяц.

41. Средняя цена на материал-представитель по Российской Федерации (федеральному округу) рассчитывается по формуле:

, (2)

где

- средняя цена на материал-представитель m по Российской Федерации (федеральному округу) в отчетном месяце t, рублей;
- средняя цена на материал-представитель m по субъекту Российской Федерации r в отчетном месяце t, рублей;
- количество приобретенного материала-представителя m по субъекту Российской Федерации r в отчетном месяце t, в натуральных единицах измерения;
r - порядковый номер субъекта Российской Федерации;
R - количество субъектов Российской Федерации;
t - отчетный месяц.

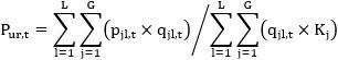
42. Средняя расчетная цена на унифицированный материал-представитель по субъекту Российской Федерации определяется как отношение суммы произведений цен отдельных марок материала на их объем к общему приведенному объему приобретения марок, входящих в материал-представитель, по следующей формуле:

, (3)

где

- средняя расчетная цена на унифицированный материал-представитель u по субъекту Российской Федерации r в отчетном месяце t, рублей;
- цена j-й марки материала, приобретенного респондентом l, в отчетном месяце t, рублей;
- количество приобретенного респондентом l материала j-й марки в отчетном месяце t, в натуральных единицах измерения;
u - унифицированный материал-представитель;
r - субъект Российской Федерации;
j - порядковый номер марки материала;
G - количество марок, входящих в унифицированный материал-представитель u;
l - порядковый номер респондента;
L - количество респондентов в субъекте Российской Федерации r;
t - отчетный месяц;
- коэффициент приведения по потребительским качествам для марки j.

43. Средняя расчетная цена на унифицированный материал-представитель по Российской Федерации (федеральному округу) рассчитывается по формуле:

, (4)

где

- средняя расчетная цена на унифицированный материал-представитель u по Российской Федерации (федеральному округу) в отчетном месяце t, рублей;
- средняя расчетная цена на унифицированный материал-представитель u по субъекту Российской Федерации r в отчетном месяце t, рублей;
- приведенный объем унифицированного материала-представителя u по субъекту Российской Федерации r в отчетном месяце t, в натуральных единицах измерения;
r - порядковый номер субъекта Российской Федерации;
R - количество субъектов Российской Федерации;
t - отчетный месяц.

XII. Расчет индексов цен

44. Индексы цен рассчитываются только на те марки строительных материалов, деталей и конструкций, по которым в базовом году имеется информация о приобретении. Если отчитывающейся организацией приобретена марка материала, которая не приобреталась в базовом году, то данная марка материала не участвует в расчете индекса цен в отчетном году. Информация о количестве и ценах материала данной марки накапливается в централизованной системе обработки данных с целью формирования базы для расчетов в следующем году.

XIII. Расчет индивидуальных и сводных индексов цен

45. Индивидуальный индекс цен по конкретной марке материала рассчитывается только на региональном уровне как отношение цены этой марки материала в отчетном периоде к его цене в предыдущем периоде:

, (5)

где

- индивидуальный индекс цен j-й марки материала в отчетном месяце t по сравнению с предыдущим месяцем t - 1, %;
- цена j-й марки материала в отчетном месяце t, рублей;
- цена j-й марки материала в предыдущем месяце t - 1, рублей;
j - марка материала;
t - отчетный месяц;
t - 1 - предыдущий месяц.

46. Сводные индексы цен приобретения основных строительных материалов, деталей и конструкций исчисляются на материалы-представители различной степени агрегации:

по субъектам Российской Федерации;

по федеральным округам;

по Российской Федерации в целом.

47. Индекс цен на материал-представитель по субъектам Российской Федерации, федеральным округам и Российской Федерации в целом в отчетном периоде по сравнению с предыдущим рассчитывается по формуле Ласпейреса:

, (6)

где

- индекс цен приобретения материала-представителя по субъекту Российской Федерации (федеральному округу. Российской Федерации в целом) в отчетном месяце t по сравнению с предыдущим месяцем t - 1, %;
- цена j-й марки материала в отчетном месяце t, рублей;
- цена j-й марки материала в предыдущем месяце t - 1, рублей;
- цена j-й марки материала в базисном периоде 0, рублей;
- количество j-й марки материала в базисном периоде 0, в натуральных единицах измерения;
j - порядковый номер марки материала;
n - количество марок, входящих в материал-представитель;
t - отчетный месяц;
t - 1 - предыдущий месяц.

XIV. Расчет индексов цен к различным базисным периодам

48. Ежемесячно формируются индексы цен следующих видов: отчетного месяца к декабрю предыдущего года, отчетного месяца к соответствующему месяцу предыдущего года, за период с начала текущего года к соответствующему периоду предыдущего года.

Ежеквартально формируются индексы цен следующих видов: на конец квартала к концу предыдущего квартала, квартал к предыдущему кварталу, квартал к соответствующему кварталу предыдущего года.

Индексы цен к различным базисным периодам рассчитываются по субъектам Российской Федерации, федеральным округам и Российской Федерации в целом в соответствии с приведенными ниже формулами.

49. Индекс цен отчетного месяца к декабрю предыдущего года рассчитывается цепным методом как произведение индексов цен за каждый месяц отчетного года к предыдущему месяцу или как произведение индекса цен предыдущего месяца к декабрю предыдущего года и индекса цен отчетного месяца к предыдущему месяцу:

, (7)

где

- индекс цен отчетного месяца t отчетного года T к декабрю d предыдущего года T - 1, %;
- индекс цен предыдущего месяца t - 1 отчетного года T к декабрю d предыдущего года T - 1, %;
- индекс цен отчетного месяца t отчетного года T к предыдущему месяцу t - 1 отчетного года T, %;
t - отчетный месяц;
t - 1 - предыдущий месяц;
d - декабрь;
T - отчетный год;
T - 1 - предыдущий год.

50. Индекс цен отчетного месяца к соответствующему месяцу предыдущего года рассчитывается по формуле:

, (8)

где

- индекс цен отчетного месяца t отчетного года T к соответствующему месяцу t предыдущего года T - 1, %;
- индекс цен отчетного месяца t отчетного года T к декабрю d предыдущего года T - 1, %;
- индекс цен декабря d предыдущего года T - 1 к декабрю d года, предшествующего предыдущему T - 2, %;
- индекс цен соответствующего месяца t предыдущего года T - 1 к декабрю d года, предшествующего предыдущему T - 2, %;
t - отчетный месяц;
d - декабрь;
T - отчетный год;
T - 1 - предыдущий год;
T - 2 - год, предшествующий предыдущему.

51. Индекс цен за период с начала текущего года к соответствующему периоду предыдущего года рассчитывается по формуле:

, (9)

где

- индекс цен за период p с начала отчетного года T к соответствующему периоду p предыдущего года T - 1, %;
- индекс цен месяца и отчетного года T к декабрю d предыдущего года T - 1, %;
- индекс цен декабря d предыдущего года T - 1 к декабрю d года, предшествующего предыдущему T - 2, %;
- индекс цен месяца и предыдущего года T - 1 к декабрю d года, предшествующего предыдущему T - 2, %;
p - период с начала года;
t - отчетный месяц;
d - декабрь;
T - отчетный год;
T - 1 - предыдущий год;
T - 2 - год, предшествующий предыдущему;
u - порядковый номер месяца.

52. Индекс цен на конец квартала к концу предыдущего квартала определяется как произведение трех индексов цен за каждый месяц, составляющий отчетный квартал, к предыдущему месяцу:

, (10)

где

- индекс цен на конец квартала к концу предыдущего квартала, %;
- индекс цен последнего месяца t отчетного квартала к предыдущему месяцу t - 1, %;
- индекс цен среднего месяца t - 1 отчетного квартала к предыдущему месяцу t - 2, %;
- индекс цен первого месяца t - 2 отчетного квартала к предыдущему месяцу t - 3, %;
t - отчетный месяц (последний месяц отчетного квартала);
t - 1 - предыдущий месяц (средний месяц отчетного квартала);
t - 2 - месяц, предшествующий предыдущему (первый месяц отчетного квартала);
t - 3 - последний месяц квартала, предшествующего отчетному.

53. Индекс цен за квартал к предыдущему кварталу рассчитывается по формуле:

, (11)

где

- индекс цен за отчетный квартал K отчетного года T к предыдущему кварталу K - 1 отчетного года T, %;
- индекс цен последнего месяца t отчетного квартала отчетного года T к декабрю d года, предшествующего предыдущему T - 2, %;
- индекс цен среднего месяца t - 1 отчетного квартала отчетного года T к декабрю d года, предшествующего предыдущему T - 2, %;
- индекс цен первого месяца t - 2 отчетного квартала отчетного года T к декабрю d года, предшествующего предыдущему T - 2, %;
- индекс цен последнего месяца t - 3 предыдущего квартала отчетного года T к декабрю d года, предшествующего предыдущему T - 2, %;
- индекс цен среднего месяца t - 4 предыдущего квартала отчетного года T к декабрю d года, предшествующего предыдущему T - 2, %;
- индекс цен первого месяца t - 5 предыдущего квартала отчетного года T к декабрю d года, предшествующего предыдущему T - 2, %.

54. Индекс цен за квартал к соответствующему кварталу предыдущего года рассчитывается по формуле:

, (12)

где

- индекс цен за отчетный квартал K отчетного года T к соответствующему кварталу K предыдущего года T - 1, %;
- индекс цен последнего месяца t отчетного квартала отчетного года T к декабрю d года, предшествующего предыдущему T - 2, %;
- индекс цен среднего месяца t - 1 отчетного квартала отчетного года T к декабрю d года, предшествующего предыдущему T - 2, %;
- индекс цен первого месяца t - 2 отчетного квартала отчетного года T к декабрю d года, предшествующего предыдущему T - 2, %;
- индекс цен последнего месяца t соответствующего квартала предыдущего года T - 1 к декабрю d года, предшествующего предыдущему T - 2, %;
- индекс цен среднего месяца t - 1 соответствующего квартала предыдущего года T - 1 к декабрю d года, предшествующего предыдущему T - 2, %;
- индекс цен первого месяца t - 2 соответствующего квартала предыдущего года T - 1 к декабрю d года, предшествующего предыдущему T - 2, %.

XV. Порядок уточнения и публикации официальной статистической информации

55. В рассчитанные и опубликованные средние цены и индексы цен в течение отчетного года в исключительных случаях могут вноситься изменения при предоставлении отчитывающимися организациями уточненных данных.

Респонденты могут допускать ошибки в единицах измерения или технические ошибки при вводе данных.

В основном ошибки данных обнаруживаются в процессе формирования сводных показателей. В случае обнаружения ошибок после публикации результатов расчетов. корректировка данных осуществляется перед формированием официальной статистической информации в следующем месяце.

Сообщение о внесении изменений в ранее опубликованную информацию размещается на официальном сайте Росстата в информационно-телекоммуникационной сети "Интернет" по адресу: https://rosstat.gov.ru (далее - официальный сайт Росстата) в разделе Статистика/Официальная статистика/Цены, инфляция/Информационно-аналитические материалы, срочные публикации и комментарии/Новости раздела.

56. Информация о средних ценах и индексах цен на приобретенные строительные материалы, детали и конструкции по Российской Федерации, федеральным округам и субъектам Российской Федерации (с округлением до двух десятичных знаков после запятой) является официальной статистической информацией и размещается ежемесячно на официальном сайте Росстата в сроки, предусмотренные позицией 1.29.18 Федерального плана.

В докладе о социально-экономическом положении Российской Федерации, статистических сборниках и других официальных информационно-аналитических материалах информация о средних ценах на приобретенные строительные материалы, детали и конструкции публикуется с округлением до целого числа, индексах цен - с округлением до одного десятичного знака после запятой.