2.2. Гигиена труда. Руководство по оценке профессионального риска для здоровья работников. Организационно-методические основы, принципы и критерии оценки. Руководство. Р 2.2.3969-23

(утв. Главным государственным санитарным врачом РФ 07.09.2023)
Редакция от 07.09.2023 — Действует с 07.09.2023

ГОСУДАРСТВЕННОЕ САНИТАРНО-ЭПИДЕМИОЛОГИЧЕСКОЕ НОРМИРОВАНИЕ РОССИЙСКОЙ ФЕДЕРАЦИИ

УТВЕРЖДАЮ

Руководитель Федеральной службы

по надзору в сфере защиты прав

потребителей и благополучия человека,

Главный государственный санитарный

врач Российской Федерации

А.Ю.ПОПОВА

7 сентября 2023 г.

2.2. ГИГИЕНА ТРУДА

РУКОВОДСТВО ПО ОЦЕНКЕ ПРОФЕССИОНАЛЬНОГО РИСКА ДЛЯ ЗДОРОВЬЯ РАБОТНИКОВ. ОРГАНИЗАЦИОННО-МЕТОДИЧЕСКИЕ ОСНОВЫ, ПРИНЦИПЫ И КРИТЕРИИ ОЦЕНКИ

РУКОВОДСТВО

Р 2.2.3969-23

1. Разработано ФБУН "Федеральный научный центр медико-профилактических технологий управления рисками здоровью населения" (Н.В. Зайцева, П.З. Шур, В.Б. Алексеев, Д.Н. Лир, В.А. Фокин, В.Г. Костарев, С.В. Клейн, О.Ю. Устинова, А.Е. Носов); ФГБНУ "Научно-исследовательский институт медицины труда имени академика Н.Ф. Измерова" (И.В. Бухтияров, Э.И. Денисов, Л.В. Прокопенко, Е.В. Зибарев, Н.Н. Курьеров, А.В. Лагутина, М.А. Фесенко, О.В. Иммель); ФБУН "Северо-Западный научный центр гигиены и общественного здоровья" (В.П. Чащин, К.Б. Фридман, В.Е. Крийт); ФБУН "Екатеринбургский медицинский научный центр профилактики и охраны здоровья рабочих промпредприятий" Роспотребнадзора (В.Б. Гурвич, В.О. Рузаков, А.А. Федорук, Г.Я. Липатов, Е.А. Кузьмина, В.И. Адриановский, Н.В. Злыгостева); ФБУН "Федеральный научный центр гигиены им. Ф.Ф. Эрисмана" Роспотребнадзора (С.В. Кузьмин, И.В. Яцына, А.М. Егорова, Х.Х. Хамидулина, А.В. Сухова); ФБУН "Уфимский научно-исследовательский институт медицины труда и экологии человека" (А.Б. Бакиров, Л.К. Каримова, Н.А. Мулдашева, Э.Р. Шайхлисламова); ФБУН "Нижегородский научно-исследовательский институт гигиены и профпатологии" Роспотребнадзора (И.В. Федотова, Е.Ф. Черникова, М.М. Некрасова, А.В. Зуев); ФГБОУ ВО Северо-Западный государственный медицинский университет имени И.И. Мечникова (А.В. Мельцер, А.В. Киселев, Н.В. Ерастова).

2. Утверждено руководителем Федеральной службы по надзору в сфере защиты прав потребителей и благополучия человека, Главным государственным санитарным врачом Российской Федерации А.Ю. Поповой 7 сентября 2023 г.

3. Р 2.2.3969-23 введено взамен Р 2.2.1766-03 "Руководство по оценке профессионального риска для здоровья работников. Организационно-методические основы, принципы и критерии оценки", утвержденного Главным государственным санитарным врачом Российской Федерации, Первым заместителем Министра здравоохранения Российской Федерации от 24.06.2003.

I. Область применения

1.1. Настоящее Руководство (далее - руководство) определяет организационно-методические основы, принципы и критерии оценки профессионального риска (далее - ПР) здоровью работников в соответствии с действующим законодательством Российской Федерации <1> и с учетом документов Всемирной организации здравоохранения и Международной организации труда (далее - МОТ).


<1> Статья 25 Федерального закона от 30.03.1999 N 52-ФЗ "О санитарно-эпидемиологическом благополучии населения" (далее - Федеральный закон от 30.03.1999 N 52-ФЗ), статья 12 Федерального закона от 21.11.2011 N 323-ФЗ "Об основах охраны здоровья граждан в Российской Федерации" (далее - Федеральный закон от 21.11.2011 N 323-ФЗ).

1.2. Руководство применяется в рамках обеспечения санитарно-эпидемиологического благополучия населения при выполнении работ по оценке ПР для здоровья работников с целью:

- совершенствования федерального государственного санитарно-эпидемиологического контроля (надзора), социально-гигиенического мониторинга, производственного контроля, а также при решении других задач по сохранению и укреплению здоровья работников;

- санитарно-эпидемиологической экспертизы, направленной на установление и предотвращение вредного воздействия факторов производственной среды и трудового процесса на здоровье работников (проводится органами, аккредитованными в установленном порядке на выполнение санитарно-эпидемиологической экспертизы с областью аккредитации "оценка риска") <2>;

- оценки вреда здоровью работника от воздействия факторов производственной среды и трудового процесса;

- обоснования причинно-следственных связей между факторами производственной среды и трудового процесса и нарушением здоровья работников;

- установления и пересмотра санитарно-эпидемиологических правил и нормативов, регламентирующих требования к производственной среде и трудового процесса;

- разработки и обоснования управленческих решений по снижению уровня ПР здоровью и оценки их эффективности;

- обоснования приоритетных мероприятий корпоративных программ по профилактике профессиональных болезней, болезней, связанных с условиями труда, для оценки их эффективности;

- ранжирования рабочих мест (например, цехов) по категориям риска для здоровья работников, обусловленного факторами производственной среды и трудового процесса;

- экономического анализа различных вариантов и способов управления риском, в том числе для прогнозирования последствий применения санитарных правил, санитарно-эпидемиологических нормативов, оценки эффективности различных вариантов профилактических мероприятий;

- информирования работников и лиц, участвующих в принятии управленческих решений, об уровнях ПР здоровью, необходимых профилактических мероприятиях, в том числе разработке рекомендаций по снижению уровня воздействия производственных факторов на работников;

- установления уровня ПР, категорирования, оценки его приемлемости и формирования групп ПР, обусловленного развитием профессиональных заболеваний (далее - ПЗ) и болезней, связанных с условиями труда, с учетом вероятности развития профессиональной непригодности, для разработки рекомендаций по управленческим решениям, направленным на снижение уровня ПР.

II. Общие положения

2.1. Оценка риска является составной частью анализа риска, который включает в себя также управление риском и информирование о риске.

Оценка риска предусматривает:

- выявление опасности;

- оценку экспозиции;

- оценку зависимости "экспозиция - ответ";

- характеристику риска.

Управление риском - принятие решений и действия, направленные на обеспечение безопасности и здоровья работников.

Информирование о риске - передача информации о риске до работодателей, работников и других заинтересованных сторон с соблюдением установленных законодательством Российской Федерации условий и этических норм <3>.


<3> Статьи 6, 13 Федерального закона от 21.11.2011 N 323-ФЗ, статья 6 Федерального закона от 27.07.2006 N 152-ФЗ "О персональных данных".

Организации, проводящие оценку ПР, на условиях, установленных законодательством Российской Федерации <4>, передают результаты оценки заявителю и, по запросу, другим заинтересованным сторонам (например, ФСС, Роспотребнадзор, Минтруд, ФОМС, медицинские страховые компании, профсоюзные организации) для исполнения ими своих полномочий. Работодатель информирует работников о существующем риске повреждения здоровья на рабочих местах с соблюдением установленных законодательством Российской Федерации условий и этических норм <5>.


<4> Статья 25 Федерального закона от 30.03.1999 N 52-ФЗ.

<5> Статьи 6, 13 Федерального закона от 21.11.2011 N 323-ФЗ, статья 6 Федерального закона от 27.07.2006 N 152-ФЗ "О персональных данных".

2.2. Исходными данными для оценки ПР в зависимости от решаемых задач могут являться результаты:

- федерального государственного санитарно-эпидемиологического надзора за соблюдением требований санитарных правил и иных нормативных правовых актов Российской Федерации к производственным процессам и технологическому оборудованию, организации рабочих мест <6>;


<6> Статья 25 Федерального закона от 30.03.1999 N 52-ФЗ.

- производственного контроля, выполненного в соответствии с действующим законодательством Российской Федерации и санитарно-эпидемиологическими требованиями <7>;


<7> Статья 32 Федерального закона от 30.03.1999 N 52-ФЗ, пункт 2.1 СП 2.2.3670-20 "Санитарно-эпидемиологические требования к условиям труда", утвержденных постановлением Главного государственного санитарного врача Российской Федерации от 02.12.2020 N 40 (зарегистрировано Минюстом России 29.12.2020, регистрационный N 61893) (далее - СП 2.2.3670-20).

- специальной оценки условий труда (далее - СОУТ) <8>;


<8> Статья 3 Федерального закона от 28.12.2013 N 426-ФЗ "О специальной оценке условий труда".

- иных лабораторных исследований и измерений, выполненных аккредитованными на данный вид деятельности лабораториями (испытательными лабораторными центрами) <9>;


<9> Статья 5 Федерального закона от 28.12.2013 N 412-ФЗ "Об аккредитации в национальной системе аккредитации".

- анализа эксплуатационной, технологической и иной документации на машины, механизмы, оборудование, сырье и материалы, применяемые работодателем при осуществлении производственной деятельности;

- медико-биологических исследований состояния здоровья работников;

- анализа профессиональной заболеваемости, данных периодических медицинских осмотров (далее - ПМО), результаты изучения заболеваемости инфекционными и неинфекционными болезнями;

- диспансерного наблюдения по специально разработанным программам, анализа инвалидности, смертности, репродуктивного здоровья (далее - РЗ) работников, а также здоровья их потомства.

2.3. Оценка ПР для здоровья осуществляется с соблюдением следующих основных принципов:

- приоритет безопасности, сохранения здоровья над любыми другими элементами качества жизни;

- научное обоснование методов и критериев оценки;

- оценка риска, которая основывается на всех доступных научных данных, количественная информация используется в максимально возможной степени;

- этапность процедуры, которая предусматривает четыре стадии оценки риска (идентификацию опасности, оценку воздействия (экспозиции), оценку зависимости "экспозиция - ответ" и характеристику риска);

- применение при оценке экспозиции адекватных методов измерений и моделирования интенсивности факторов рабочей среды и трудового процесса;

- обязательное подтверждение причинно-следственных связей нарушений здоровья работников с факторами рабочей среды и трудового процесса;

- приоритет результатов апостериорной оценки ПР;

- оценка неопределенности результатов оценки ПР.

2.4. В зависимости от задач проводится априорная и (или) априорная и апостериорная оценка ПР.

Априорная оценка ПР (предварительная) проводится по результатам гигиенической оценки факторов рабочей среды и трудового процесса в соответствии с методическими документами <10>, а также с применением прогнозных моделей зависимости вероятности и риска нарушения состояния здоровья работников от уровней экспозиции факторов рабочей среды и трудового процесса. Для выполнения априорной оценки ПР по результатам гигиенической оценки факторов рабочей среды и трудового процесса предусматривается проведение этапов идентификации опасности и оценки экспозиции. Для выполнения априорной оценки ПР с применением прогнозных моделей дополнительно предусматривается проведение этапа оценки зависимости "экспозиция - ответ" по данным научной литературы, соответствующей критериям релевантности [60, 61].


<10> Р 2.2.2006-05 "Руководство по гигиенической оценке факторов рабочей среды и трудового процесса. Критерии и классификация условий труда", утвержденное руководителем Федеральной службы по надзору в сфере защиты прав потребителей и благополучия человека, Главным государственным санитарным врачом Российской Федерации 29.06.2005 (далее - Р 2.2.2006-05).

Апостериорная оценка ПР (окончательная) проводится на основании исследования медико-биологических показателей: ПЗ, впервые выявленной хронической заболеваемости, распространенности болезней, связанных с условиями труда, смертности, инвалидности, нарушений РЗ и здоровья потомства в группах работников, для которых оценивается риск. При проведении оценки ПР принимаются меры для защиты конфиденциальной информации, раскрытие которой может нанести вред работодателю (при оценке группового риска) или работнику (при оценке персонального риска). Для выполнения апостериорной оценки ПР предусматривается проведение всех этапов оценки риска, включая оценку зависимости "экспозиция - ответ" с использованием результатов эпидемиологических и медико-биологических данных исследуемого контингента.

2.5. Оценка ПР проводится для отдельных профессиональных групп работников (например, цехов) (оценка группового риска) и отдельных работников (например, с учетом пола, возраста, стажа и других индивидуальных факторов риска) (оценка персонального риска) <11>. Формирование групп для оценки определяется задачами оценки риска (например, оценка риска, связанного с воздействием конкретного фактора условий труда или связанного с комплексом факторов при выполнении определенных профессиональных обязанностей). Результаты оценки персонального риска считаются персональными медицинскими данными, охраняемыми по закону <12>.


<11> Примечание: результаты оценки персонального ПР не применяют для решения вопросов занятости данного работника или иных целей, направленных против его социального благополучия. При необходимости использования персональных медицинских данных оценка персонального ПР производится с согласия работника.

<12> Раздел 13 Федерального закона от 30.12.2001 N 197-ФЗ "Трудовой кодекс Российской Федерации".

2.6. В соответствии с целями управления ПР производится его оценка как связанного с отдельными факторами рабочей среды и трудового процесса, так и в условиях многофакторного воздействия. При оценке ПР учету подлежат ПЗ, болезни, связанные с условиями труда (далее - БСУТ), а также нарушение функций организма работника.

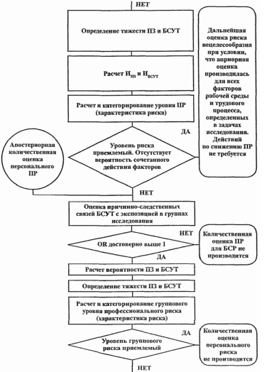
2.7. Последовательность проведения оценки ПР:

При априорной оценке риска целью характеристики ПР является категорирование риска и анализ необходимости проведения дополнительных исследований (медико-биологических или эпидемиологических) и последующей характеристики апостериорного ПР. Если уровень риска категорируется как приемлемый и не предполагается формирование негативных ответов при сочетанном действии факторов рабочей среды и трудового процесса, апостериорная оценка ПР нецелесообразна.

Апостериорная оценка ПР здоровью с использованием одночисловых индексов ПЗ и БСУТ проводится после проведения медико-биологических исследований или эпидемиологических исследований. Целью такой оценки является предварительная характеристика риска. Данная оценка производится независимо от величины группы исследования, однако статистический анализ достоверности такой оценки не производится, поэтому ее результаты подтверждаются в ходе оценки причинно-следственных связей негативных ответов с экспозицией факторов рабочей среды и трудового процесса.

Количественная оценка ПР проводится в случае установления достоверной причинно-следственной связи негативных ответов с экспозицией факторов рабочей среды и трудового процесса. Целью количественной оценки ПР, обусловленного развитием ПЗ и БСУТ, является установление уровней риска, категорирование уровней риска и оценка их приемлемости. На этапе оценки апостериорного ПР для отдельных профессий устанавливается вероятность формирования профессиональной непригодности.

В ходе количественной оценки последовательно определяется величина группового ПР, а затем, если это предусмотрено задачами оценки, персонального ПР. В соответствии с полученными величинами производится определение категорий ПР и их уточнение.

По результатам оценки ПР формируются группы риска и разрабатываются рекомендации по управленческим решениям, направленным на снижение уровня ПР.

Алгоритм оценки ПР представлен в приложении 1 к настоящему руководству.

III. Основные этапы оценки профессионального риска

3.1. Оценка ПР для здоровья работающих проводится в 4 этапа:

- идентификация опасности;

- оценка экспозиции;

- оценка зависимости "экспозиция - ответ";

- характеристика риска.

3.2. Идентификация опасности.

Идентификация опасности - выявление всех потенциально вредных и (или) опасных факторов рабочей среды (физических, химических, биологических) и трудового процесса (тяжесть труда, напряженность труда), составление перечня этих факторов с указанием их источников и вероятных негативных ответов со стороны здоровья работников, в том числе ПЗ и болезней, связанных с условиями труда.

3.2.1. В ходе выполнения идентификации опасности выявление всех потенциально вредных и (или) опасных факторов рабочей среды и вероятных негативных ответов со стороны здоровья работников проводится на основании данных:

- анализа нормативно-технической и технологической документации, деклараций о соответствии и (или) сертификатов соответствия используемого производственного оборудования и сырья требованиям технических регламентов, изучения технологического процесса (например, международных карт химической безопасности, списков канцерогенов, репротоксикантов);

- анализа состояния условий труда на рабочем месте и имеющихся протоколов измерений уровней производственных факторов;

- государственного контроля и надзора.

При выявлении вероятных негативных ответов со стороны здоровья работников в виде БСУТ и функциональных нарушений используются результаты анализа отечественной и зарубежной научной литературы. Предпочтение отдается информации, опубликованной в источниках, входящих в системы научного цитирования (библиографические базы данных), а также в монографиях и отчетах международных организаций <13>.


<13> Например, отчеты всемирной организации здравоохранения, отчеты международной организации труда, отчеты международного агентства по изучению рака.

Негативные ответы в виде заболеваний определяются в соответствии с действующей Международной классификацией болезней <14>.


<14> ВОЗ Международная статистическая классификация болезней и проблем, связанных со здоровьем, 10 пересмотра (МКБ-10) - базовый справочник для учета причин обращений населения в медицинские учреждения, учета заболеваемости и причин смерти, основанный на Международной статистической классификации болезней и проблем, связанных со здоровьем, 10-го пересмотра, принятой 43-й Всемирной Ассамблеей Здравоохранения (1989 год).

В условиях воздействия химических веществ при оценке вероятных ответов учитывается принадлежность веществ к группе веществ, обладающих аллергенным, фиброгенным, канцерогенным действием, которые определяются в соответствии с санитарно-эпидемиологическими требованиями. <15>


<15> Таблица 1.1 главы I СанПиН 1.2.3685-21 "Гигиенические нормативы и требования к обеспечению безопасности и (или) безвредности для человека факторов среды обитания", утвержденных постановлением Главного государственного санитарного врача Российской Федерации от 28.01.2021 N 2 (зарегистрировано Минюстом России 29.01.2021, регистрационный N 62296), с изменением, внесенным постановлением Главного государственного санитарного врача Российской Федерации от 30.12.2022 N 24 (зарегистрировано Минюстом России 09.03.2023, регистрационный N 72558) (далее - СанПиН 1.2.3685-21).

3.2.2. Результатом идентификации опасности является перечень потенциально вредных и (или) опасных факторов рабочей среды, с указанием контрольных точек на рабочих местах и (или) технологических операций, где производится определение уровня воздействия факторов и список соответствующих им вероятных негативных ответов со стороны здоровья работников, в том числе в виде ПЗ и БСУТ. В качестве вероятных негативных ответов рассматриваются нарушения функций организма работника, являющиеся предикторами ПЗ и БСУТ, и описанными в медицинской научной литературе. На этом этапе рассматривается возможность формирования негативных ответов при сочетанном действии факторов рабочей среды и трудового процесса.

3.3. Оценка экспозиции.

Оценка экспозиции - исследования (испытания) и измерения факторов рабочей среды и трудового процесса, установление их количественных, временных и других характеристик, определение экспозиции (по измерению или расчету).

3.3.1. При оценке экспозиции исследованию (испытанию) и измерению подлежат все идентифицированные на рабочем месте вредные и (или) опасные факторы рабочей среды и трудового процесса. Определение экспозиции проводится в соответствии с методическими документами.

3.3.2. При оценке экспозиции учитывается продолжительность контакта работника с вредными факторами рабочей среды и трудового процесса и, в соответствии с задачами оценки ПР, рассчитываются среднесменные уровни их воздействия.

3.3.3. При оценке экспозиции применяются расчетные показатели (например, пылевая нагрузка, ТНС-индекс, физическая динамическая нагрузка), а также другие показатели в соответствии с методическими документами.

3.3.4. Результатом оценки экспозиции факторов рабочей среды и трудового процесса является характеристика уровней этих факторов на рабочих местах с учетом продолжительности их воздействия на работника.

3.3.5. На данном этапе описывается сценарий экспозиции, учитывающий время контакта работающего с вредными факторами (например, при расчете дозы вредных веществ, обладающих общетоксическим действием). В качестве стандартного сценария экспозиции принимается контакт с вредными факторами рабочей среды и трудового процесса 8 часов в день в течение 5 дней в неделю.

3.3.6. После выполнения оценки экспозиции проводится априорная (предварительная) оценка ПР по результатам гигиенической оценки факторов рабочей среды и трудового процесса <16>.


<16> Р 2.2.2006-05.

3.4. Оценка зависимости "экспозиция - ответ".

Оценка зависимости "экспозиция - ответ" или "экспозиция - время - ответ" - выявление количественных закономерностей между показателями уровня воздействия (экспозиции) и вероятности (частоты) негативных изменений состояния здоровья работников.

3.4.1. Оценка зависимости "экспозиция - ответ" предусматривает анализ зависимости частоты нарушений состояния здоровья работников от уровня производственных факторов, установленного при оценке уровней экспозиции факторов рабочей среды и трудового процесса.

При априорной оценке ПР производится обоснование адекватности и выбор применения ранее установленных количественных параметров, характеризующих зависимость частоты нарушения состояния здоровья работников от уровней экспозиции факторов рабочей среды и трудового процесса для исследуемых условий труда. Выбор математических моделей для определения частоты наступления специфических эффектов нарушений здоровья работников от воздействия вредных производственных факторов проводится с учетом:

- применений количественных показателей экспозиции факторов рабочей среды и трудового процесса;

- четкого указания на вид нарушений здоровья работников, вероятность которых оценивается;

- сведений о диапазонах значений и сценарии экспозиции, для которых применяется данная модель;

- ссылок на источник информации, в котором модель опубликована.

При апостериорной оценке ПР на этапе оценки зависимости "экспозиция - ответ" производится установление причинно-следственной связи негативных изменений состояния здоровья работников с уровнем вредных и (или) опасных факторов рабочей среды и трудового процесса и оценка степени этой связи. Для этого рассчитывается отношение шансов (англ. odds ratio, далее - OR), этиологическая доля вклада факторов рабочей среды в развитие патологии (англ. etiological fraction, далее - EF). При условии, что нижняя граница 95% доверительного интервала (англ. confidence interval, далее - CI) OR выше 1, заболевание относят к болезням, связанным с условиями труда.

3.4.2. Результатом выполнения оценки зависимости "экспозиция - ответ" является перечень и характеристики математических моделей зависимости для априорной оценки ПР в соответствии с задачами исследования, а также перечень болезней, связанных с условиями труда, для исследуемых контингентов работников в условиях исследуемых уровней экспозиции по критерию установленных достоверных причинно-следственных связей для дальнейшей апостериорной оценки риска. Кроме того, на этом этапе устанавливаются параметры математических моделей для расчета вероятности негативного ответа (ПЗ, БСУТ) для использования в оценке персонального риска.

3.5. Характеристика риска.

Характеристика риска - это анализ всех полученных данных, расчет показателей рисков, категорирование их уровней, выявление приоритетных факторов рабочей среды и трудового процесса, формирующих ПР, и прогнозирование наиболее вероятных видов негативных изменений состояния здоровья работников, связанных с условиями труда.

3.5.1. На этапе характеристики риска проводят:

- расчет вероятности развития негативных изменений состояния здоровья работников, достоверно связанных с экспозицией факторов рабочей среды и трудового процесса;

- расчет показателей ПР по результатам эпидемиологических исследований;

- расчет групповых и, при необходимости, персональных уровней ПР с учетом вероятности и тяжести негативных изменений состояния здоровья работников, достоверно связанных с экспозицией факторов рабочей среды и трудового процесса и их категорирование;

- категорирование ПР по степени весомости доказательств;

- выявление приоритетных факторов рабочей среды и трудового процесса, формирующих ПР, и прогнозирование наиболее вероятных видов негативных изменений состояния здоровья работников, связанных с факторами рабочей среды и трудового процесса.

3.5.2. Для оценки ПР здоровью с использованием одночисловых индексов ПЗ и БСУТ осуществляется их расчет. Индексы ПЗ и БСУТ являются показателями, учитывающими категории риска нарушений здоровья, их тяжести и связи с работой - последнее только для БСУТ (табл. 3.1 - 3.3).

Таблица 3.1

Категории вероятности ПЗ и БСУТ

Категория КpЧастота выявления, %
случаев ПЗ и БСУТранних признаков ПЗ и БСУТ
1Более 10Более 30
21 - 103 - 30
30,1 - 10,3 - 3
40,01 - 0,10,03 - 0,3
5Менее 0,01Менее 0,03

Категории Кp = 1, 2, 3, 4, 5 соответствуют значениям вероятности от >10% до <1%.

Таблица 3.2

Категории тяжести ПЗ и БСУТ

Категории КтОпределение категории тяжести на основе медицинского прогноза заболевания и типа нетрудоспособности, которую оно вызывает
1Постоянная потеря профессиональной трудоспособности более 50%, прогрессирующая даже в отсутствие дальнейшей экспозиции, обусловливающая смену профессии
2Постоянная потеря профессиональной трудоспособности 20 - 50%
3Постоянная потеря профессиональной трудоспособности до 20%
4Тяжелая временная нетрудоспособность свыше 3 недель
5Умеренная временная нетрудоспособность менее 3 недель

Категории тяжести Кт = 1, 2, 3, 4, 5 соответствуют медицинскому прогнозу болезни и виду нетрудоспособности, которую она вызывает.

Расчет индекса ПЗ (ИПЗ) производится по формуле (1):

ИПЗ = 1 / (Кp x Кm), (1)

где: Кp - категория вероятности заболевания;

Кm - категория тяжести заболевания.

При развитии нескольких ПЗ их индексы суммируются по формуле (2):

, (2)

где: Иi - индекс i-го ПЗ.

Расчет индекса БСУТ (ИБСУТ) проводится по формуле (3):

, (3)

где: Кp - категория риска;

Кm - категория тяжести;

Кc - категория связи с условиями труда;

i = 1, 2, 3 ... = n - число болезней.

Категории связи с условиями труда Кc = 1, 2, 3, 4, 5 приняты по шкале оценки связи нарушений здоровья с условиями труда.

Таблица 3.3

Оценка степени связи нарушений здоровья с условиями труда в зависимости от величины относительного риска и этиологической доли

Категория связи с условиями труда (Кc)Кc = 5Кc = 4Кc = 3Кc =2Кc =1
Относительный риск0 < RR 11 < RR 1,51,5 < RR 22 < RR 3,23,2 < RR 5RR > 5
Этиологическая доля фактораEF = 0EF < 33%EF = 33 - 50%EF = 51 - 66%EF = 67 - 80%EF = 81 - 100%
Сила связиНулеваяМалаяСредняяВысокаяОчень высокаяПочти полная

3.5.3. Расчет ПР проводится посредством вычисления вероятности развития нарушений здоровья работников, осуществляется в отношении отдельных ПЗ и БСУТ с учетом тяжести каждого из них.

3.5.4. Расчет количественных показателей ПР (Rпроф) производится с использованием принципиальной формулы (4):

Rпроф = p · G, (4)

где: p - вероятность (или частота) нарушения здоровья работника;

G - тяжесть этого нарушения здоровья.

3.5.5. При априорной оценке ПР расчет вероятности (или частоты) нарушений здоровья работника производится с использованием опубликованных математических моделей, количественно характеризующих вероятность развития негативных ответов под воздействием факторов рабочей среды и трудового процесса, учитывающих этиопатогенетические особенности их формирования и отвечающих принципам доказательной медицины. Примеры моделей представлены в приложении 2 к настоящему руководству.

3.5.6. При апостериорной оценке ПР расчет вероятности (или частоты) нарушений здоровья работника производится с использованием результатов эпидемиологических и медико-биологических исследований.

Эпидемиологические исследования в ходе оценки апостериорного риска проводятся с целью установления причинно-следственной связи негативных изменений состояния здоровья работников (например, заболевания, нарушения функций организма по данным медико-биологических исследований, а также смерти) с воздействием факторов производственной среды и трудового процесса и количественного определения вероятности формирования таких изменений.

В качестве исходной информации для оценки экспозиции используются результаты исследований факторов производственной среды и трудового процесса в рамках производственного контроля, СОУТ, контрольно-надзорных мероприятий, социально-гигиенического мониторинга, а также дополнительных программ исследований.

3.5.7. В качестве исходной информации о состоянии здоровья работников используются следующие источники:

- для исследования ПЗ - акты о случае ПЗ <17>;


<17> Постановление Правительства Российской Федерации от 05.07.2022 N 1206 "О порядке расследования и учета случаев профессиональных заболеваний работников".

- для исследования болезней, связанных с условиями труда - данные об обращаемости за медицинской помощью по поводу впервые выявленных хронических заболеваний, их обострений и острых заболеваний, сведения о заболеваемости с временной утратой трудоспособности (при наличии диагноза), результаты ПМО или углубленных медицинских осмотров, организованных дополнительно;

- для выявления нарушения функций организма по данным медико-биологических исследований - результаты лабораторных исследований в рамках ПМО или углубленных медицинских осмотров, организованных дополнительно.

3.5.8. Поперечное сплошное исследование является предпочтительным дизайном исследования. Поперечное исследование (англ. cross-sectional study, prevalence study) является моментальным исследованием, т.к. описывает состояние здоровья изучаемой группы работающих в определенный момент времени. Допустимыми являются динамические виды эпидемиологических исследований (например, когортное, "случай-контроль").

Эпидемиологический анализ заболеваемости работников проводится в отношении нозологических форм (групп) заболеваний, патогенетические механизмы развития которых стимулирует воздействие изучаемых факторов производственной среды и трудового процесса.

Для проведения исследований формируется группа работников, подвергающихся в процессе трудовой деятельности воздействию вредных производственных факторов, и контрольная группа, в которую входят работники, не подвергающиеся таким воздействиям.

Контрольная группа включает работников других производств с вредными условиями труда, при условии, что факторы, характерные для контрольного производства, этиологически не связаны с изучаемой патологией. Контрольная группа формируется с учетом ее сопоставимости с основной группой по следующим параметрам; численности, полу, возрасту и стажу работы. Обязательным условием обеспечения достоверности получаемых результатов является использование единых методов выявления заболеваний в группах экспонированных и неэкспонированных работников. Работники, включенные в состав контрольной группы, проходят медицинский осмотр в том же объеме, что и работники основной группы.

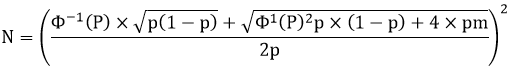
3.5.9. Необходимое минимальное количество работающих для проведения эпидемиологических исследований в каждой группе (наблюдения и контроля) N рассчитывается по формуле (5) [42]:

, (5)

где: Ф-1(P) - обратное значение функции Лапласа (для вероятности определения с точностью 0,9 - значение равно 1,29; для 0,95 - 1,65, для 0,99 - 2,32);

p - вероятность заболевания в популяции;

m - минимальное необходимое количество выявленных заболеваний (для эпидемиологического анализа - 5).

Оценка апостериорного ПР проводится только в случае предварительного установления причинно-следственной связи нарушений здоровья работника с экспозицией факторов производственной среды и трудового процесса. В качестве критерия наличия такой связи используется критерий OR. Причинно-следственная связь нарушений здоровья работника с экспозицией факторов производственной среды и трудового процесса считается установленной, если нижняя граница 95% CI выше 1.

3.5.10. Алгоритм апостериорной оценки группового риска ПЗ и болезней, связанных с работой, включает в себя последовательное выполнение следующих этапов:

- расчет уровня группового риска ПЗ;

- расчет уровня группового риска болезней, связанных с условиями труда;

- расчет уровня интегрального группового риска, обусловленного ПЗ и болезнями, связанными с условиями труда;

- категорирование и оценка приемлемости уровней группового ПР здоровью.

3.5.11. Расчет вероятности развития i-го ПЗ (pПЗi) в группе исследования и группе сравнения осуществляется при помощи вычисления частоты такого заболевания по формуле (6):

, (6)

где:  - количество лиц с i-м ПЗ в каждой группе;

N - число работников в каждой группе.

Расчет дополнительной вероятности развития i-го ПЗ  у работающих производится при помощи вычисления разности вероятностей развития такого заболевания в группе исследования  и в группе сравнения  по формуле (7):

, (7)

где - вероятность развития i-го ПЗ в группе исследования;

 - вероятность развития i-го ПЗ в группе сравнения.

Расчет уровня группового риска i-го ПЗ () в группах исследования выполняется по формуле (8):

, (8)

где:  - дополнительная вероятность развития i-го ПЗ;

Gi - тяжесть i-го ПЗ.

Примеры коэффициентов тяжести ПЗ и болезней, связанных с условиями труда, рассчитанные на базе оценок DALY [63], приведены в приложении 3 к настоящему руководству. При расчетах допускается использовать другие значения тяжести нарушения здоровья (при наличии в научной литературе). В качестве основного критерия выбора таких величин рассматривается релевантность источника научной литературы.

3.5.12. Расчет уровня риска, обусловленного болезнями, связанными с условиями труда, выполняется только для заболеваний, производственная обусловленность которых фактором доказана по результатам эпидемиологических исследований.

Оценка вероятности развития i-го заболевания, связанного с условиями труда () в группе исследования и группе сравнения осуществляется при помощи вычисления частоты этого заболевания по формуле (9):

, (9)

где:  - количество лиц с i-м заболеванием, связанным с условиями труда в каждой группе;

N - число работников в каждой группе.

Дополнительная вероятность развития i-го заболевания, связанного с условиями труда  определяется как разность вероятностей развития такого заболевания в группе исследования  и в группе сравнения  по формуле (10):

, (10)

где:  - вероятность развития i-заболевания в группе исследования;

  - вероятность развития i-заболевания в группе сравнения.

Расчет группового риска, обусловленного болезнями, связанными с условиями труда , выполняется в группах исследования по формуле (11):

, (11)

где:  - дополнительная вероятность развития i-болезней, связанных с условиями труда;

Gi - тяжесть i-болезней, связанных с условиями труда.

Расчет уровня интегрального группового риска , обусловленного ПЗ и болезнями, связанными с условиями труда, производится по формуле (12):

, (12)

где: RПЗ - уровень риска, обусловленный развитием i-м ПЗ;

RБСУТ - уровень риска, обусловленный развитием i-х БСУТ.

3.5.13. Оценка персонального ПР здоровью работающих производится с использованием результатов эпидемиологических исследований. Оценка персонального ПР производится только в случае доказанности причинно-следственной связи нарушений состояния здоровья работника с экспозицией факторов рабочей среды и трудового процесса на этапе оценки группового ПР здоровью.

Исходной информацией для оценки персонифицированного ПР являются сведения об условиях труда каждого работника (экспозиции факторов рабочей среды и трудового процесса), полученные в результате СОУТ и производственного лабораторного контроля, информация о состоянии здоровья работника по результатам ПМО, а также об обращаемости работника за медицинской помощью, продолжительность стажа работы в оцениваемых условиях труда и возраст работника на момент оценки риска. При необходимости в соответствии с задачами оценки ПР проводятся дополнительные углубленные медицинские осмотры, включающие клинико-лабораторные обследования работника. Информация, полученная в результате таких осмотров, используется в оценке персонифицированного ПР. Предоставление персональной информации осуществляется с учетом действующего законодательства <18>.


<18> Статьи 6, 13 Федерального закона от 21.11.2011 N 323-ФЗ "Об основах охраны здоровья граждан в Российской Федерации", статья 6 Федерального закона от 27.07.2006 N 152-ФЗ "О персональных данных".

Для оценки персонального ПР здоровью производится математическое моделирование зависимости вероятности негативных ответов от условий труда, возраста и стажа (построение логистических регрессионных моделей). Данные модели (формула 13) количественно определяют зависимость вероятности негативного ответа (профессионального или производственно обусловленного заболевания) в условиях воздействия факторов рабочей среды и трудового процесса с учетом уровня воздействующего фактора, возраста и стажа работающих.

, (13)

где: p1 - вероятность негативного ответа (ПЗ или болезни, связанной с условиями труда);

x1 - уровень экспозиции фактора;

x2 - стаж, лет;

x3 - возраст, лет;

b0, b1, b2 - параметры математической модели.

Определение параметров математической модели производится методом наименьших квадратов с применением пакетов программ статистического анализа данных. Оценка достоверности параметров и адекватности модели осуществляется на основании однофакторного дисперсионного анализа по критерию Фишера.

3.5.14. Для оценки категорий персонального ПР, обусловленного различными видами нарушений здоровья работников, связанными с комплексом факторов рабочей среды и трудового процесса, применяется методика оценки на базе анализа нечетких множеств (приложение 4 к настоящему руководству).

IV. Основные принципы оценки профессионального риска нарушений репродуктивного здоровья работников

4.1. Целью оценки ПР нарушений РЗ является определение вероятности их возникновения у работников, занятых в условиях воздействия вредных производственных факторов на организм мужчин и женщин репродуктивного возраста, во все периоды репродуктивной жизни, а также здоровье их будущих детей.

4.2. При оценке ПР репродуктивных нарушений, обусловленного факторами производственной среды и трудового процесса, учитываются следующие принципиальные положения:

- гендерный подход - проявление негативных ответов (эффектов) у мужчин и женщин отличается ввиду физиологических особенностей;

- учет разных периодов репродуктивного развития (цикла) и физиологических состояний - проявление негативных ответов (эффектов) у мужчин и женщин отличается в зависимости от степени развития репродуктивной системы, наличия беременности у женщин или кормления грудью новорожденного;

- период проявления ответов (эффектов) - ответы (эффекты) со стороны РЗ (критических точек) вероятно проявляются как во время воздействия, так и в отдаленный период после прекращения воздействия;

- наличие "конкурирующих рисков" - в результате действия одного фактора формируются разные негативные ответы (эффекты), степень тяжести которых отличается;

- нелинейная зависимость "экспозиция - эффект (ответ)", "экспозиция - ответ" или "экспозиция - эффект" - кривая "экспозиция - ответ" или "экспозиция - эффект" в результате действия факторов производственной среды и трудового процесса на репродуктивную систему, как правило, не имеет линейной зависимости вследствие различных типов биологического ответа на воздействие профессиональных факторов.

Официальный источник электронного документа содержит неточность: имеется в виду форма 096/у-20 (сноска 19).

4.3. При оценке репродуктивного риска от воздействия неблагоприятных факторов проводится определение ответов (эффектов) или "конечных точек" (исходов), характеризующих репродуктивные нарушения (идентификация опасности). Вся совокупность ответов (эффектов) делится на специфические и неспецифические. Среди специфических ответов (эффектов) выделяются три категории: специфичные для мужчин, специфичные для женщин, опосредованные для пар (ответы, в которых оба пола могут играть важную роль, если оба пола подвергаются воздействию). Учитывается, что ответы (эффекты) проявляются как во время воздействия фактора, так и в отдаленный период после прекращения воздействия. В качестве дополнительных источников информации рекомендуется использовать "Медицинскую карту беременной, роженицы и родильницы, получающей медицинскую помощь в стационарных условиях" (форма 096/у-20) <20>, "Индивидуальную медицинскую карту беременной и родильницы" (форма 111/у-20) <19>, "Историю развития новорожденного" (форма 097-у) <20> и иные действующие медицинские формы.


<19> Приказ Минздрава России от 20.10.2020 N 1130н "Об утверждении Порядка оказания медицинской помощи по профилю "акушерство и гинекология".

Официальный источник электронного документа содержит неточность: имеется в виду Минздрав СССР.


<20> Приказ Минздрава России от 04.10.1980 N 1030 "Об утверждении форм первичной медицинской документации учреждений здравоохранения".

4.4. Химический фактор среди вредных и опасных производственных факторов занимает лидирующее положение.

При классификации опасности воздействия на репродуктивную функцию химическое вещество или смесь относятся к двум классам опасности (табл. 4.1). Во внимание принимаются последствия воздействия на половую функцию и плодовитость, а также для развития потомства. Последствия для лактации выделены в отдельный класс опасности.

Таблица 4.1

Классификация опасности химических веществ и смесей по воздействию на репродуктивную функцию организма

Класс (подкласс) опасностиХимические вещества и смесиПримечание
123
1Химические вещества и смеси, в отношении которых известно или предполагается воздействие на репродуктивную функцию человекаОтрицательное воздействие на половую функцию и плодовитость или на развитие потомства установлено в эпидемиологических исследованиях на людях или на основании данных, полученных в ходе испытаний на животных

Продолжение табл. 4.1

123
1AХимические вещества и смеси, известные как оказывающие вредное воздействие на репродуктивную функцию человекаНегативное воздействие установлено в исследованиях на людях
1BХимические вещества и смеси, предположительно оказывающие воздействие на репродуктивную функцию человекаОпасные свойства установлены в значительной степени по данным исследований на животных
2Химические вещества и смеси, оказывающие предполагаемое воздействие на репродуктивную функцию человекаИмеются ограниченные доказательства вредного воздействия на функцию воспроизводства человека и/или животных, которые являются недостаточно убедительными для отнесения химического вещества к классу 1

Перечень химических веществ, которые могут вызывать нарушения РЗ у работников, представлен в методических документах <21>.


<21> МР 1.2.0321-23 "Оценка и классификация опасности репродуктивных токсикантов", утвержденные руководителем Федеральной службы по надзору в сфере защиты прав потребителей и благополучия человека Главным государственным санитарным врачом Российской Федерации 04.04.2023.

Предполагается, что все представленные в классификации химические вещества являются биодоступными.

4.5. На этапе оценки экспозиции воздействия учитывается величина, продолжительность, а также характер воздействия фактора. Особенностью оценки экспозиции воздействия на репродуктивную систему является то, что воздействие в разные периоды репродуктивной жизни приводит к различным ответным реакциям. У женщин определяются периоды развития репродуктивной системы - антенатальный препубертатный, репродуктивный, климактерический, период менопаузы; периоды физиологических состояний - беременная, кормящая грудью, небеременная.

4.6. Оценка зависимости "экспозиция-ответ" или "экспозиция-эффект" включает определение безопасных уровней, при которых не обнаружены вредные эффекты (англ. no observed adverse effect level, NOAEL) и наименьшего уровня экспозиции (воздействия), при котором наблюдается вредный эффект - порог вредного действия (англ. lowest observed effect level, LOAEL).

4.7. Характеристика риска составляется на основе резюмирующих заключений каждого предыдущего этапа. Тяжесть последствий вредного воздействия для репродуктивной системы работников и их потомства (эффектов) является одним из основных детерминантов риска.

4.8. Показатели нарушения РЗ мужчин и женщин во все периоды репродуктивной жизни, а также здоровья их будущих детей входят в перечень медико-биологических показателей для оценки риска. Беременные женщины и кормящие матери относятся к группам повышенного риска (уязвимые группы), требующим дополнительной защиты. Дополнительная оценка риска проводится с момента наступления беременности или кормления грудью.

4.9. Особую опасность представляют химические вещества, вызывающие нарушения РЗ - репротоксиканты. При международной маркировке этих веществ, используется краткая характеристика опасности (H-фразы) <22>, информирующая о виде и степени данной опасности (табл. 4.2), которую учитывают при допуске работы женщин с этими веществами.


<22> Приложение 5 Р 1.2.3156-13 "Оценка токсичности и опасности химических веществ и их смесей для здоровья человека", утверждено врио руководителя Федеральной службы по надзору в сфере защиты прав потребителей и благополучия человека, Главного государственного санитарного врача Российской Федерации 27.12.2013.

Таблица 4.2

Маркировка химических веществ, опасных для репродуктивного здоровья

H-фразыХарактеристика опасности
H 360Может отрицательно повлиять на способность к деторождению или на неродившегося ребенка
H 361Предполагается, что данное вещество может отрицательно повлиять на способность к деторождению или на неродившегося ребенка
H 362Может причинить вред детям, находящимся на грудном вскармливании

4.10. В разные периоды репродуктивной жизни опасными являются определенные химические вещества. При оценке риска женщин репродуктивного возраста (15 - 49 лет) их делят на группы: женщины, не достигшие 18-летнего возраста; женщины репродуктивного возраста, планирующие беременность; беременные женщины; недавно родившие и кормящие грудью (табл. 4.3).

Таблица 4.3

Опасность (H-фразы) репродуктивных токсикантов, в зависимости от периода репродуктивного возраста женщины-работницы

NКатегория женщины-работницыКраткая характеристика опасности (H-фразы)
1Девушки-подросткиH360, H361
2Женщины репродуктивного возраста, планирующие беременностьH360, H361
3Беременные женщиныH360, H361
4Женщины, кормящие грудьюH362

4.11. Имеются данные о более высоком риске развития нарушений здоровья у ребенка по сравнению с матерью. Пример интегральной оценки медико-социального ущерба здоровью матери и ребенка, полученной на основе суммарного относительного риска для матери по показателям течения беременности и состояния здоровья новорожденного приведен в табл. 4.4.

Таблица 4.4

Сравнительная оценка риска для здоровья матери и ребенка

Класс условий труда женщины до зачатия <*>Мать (по показателям течения и исходов беременности)Новорожденный
Относительный риск RRЭтиологическая доля EF, %Относительный риск RRЭтиологическая доля EF, %
3.11,5 (1,2 - 1,8)33,31,7 (1,3 - 2,1)41,2
3.21,7 (1,4 - 2,0)41,22,7 (2,2 - 3,1)63,0
3.32,0 (1,7 - 2,3)50,03,8 (3,0 - 4,3)73,7
Примечание:
<*> Для условий труда, класс вредности и опасности которых установлен с учетом вредных производственных факторов, классифицируемых по репродуктивной токсичности.

Учитывая, что поступление вредных веществ с молоком матери при грудном вскармливании в организм ребенка является дополнительным риском для его здоровья, то с момента наступления беременности или кормления грудью проводится дополнительная оценка ПР.

4.12. Появление на современном научно-методическом уровне новых научных данных о вредных производственных факторах и медико-биологических данных, характеризующих их влияние на работников, внедрение новых информационных технологий в медицинскую практику сопровождается актуализацией и совершенствованием алгоритмов и моделей прогнозирования вероятности нарушений РЗ и тяжести их последствий.

V. Оценка канцерогенного риска для работников

5.1. Оценка канцерогенного риска производится для работников профессиональных групп, подвергающихся экспозиции канцерогенными химическими факторами с целью:

- прогноза уровней канцерогенного риска для работников, в том числе с учетом различных стажевых диапазонов;

- определения уровней стажа и экспозиции, безопасных по критерию приемлемого канцерогенного риска;

- определения приоритетных канцерогенных факторов, формирующих риск;

- определения вклада отдельных канцерогенных факторов при их комбинированном и сочетанном воздействии;

- выделения групп, работающих в условиях неприемлемого канцерогенного риска.

5.2. В соответствии с принципами оценки ПР оценка канцерогенного риска для работающих производится с выполнением следующих этапов: идентификация опасности; оценка зависимости "экспозиция-ответ"; оценка экспозиции; характеристика риска.

5.3. В ходе идентификации опасности, в отношении химических факторов, выделяются вещества, содержащиеся в воздухе рабочей зоны (далее - ВРЗ), обладающие канцерогенным действием в соответствии с рекомендациями Международного агентства по изучению рака (МАИР) (группы 1, 2A, 2B) <23>, классификацией по CLP (группы 1A, 1B, 2), санитарно-эпидемиологическими требованиями <24>, а также методическими документами <25>.


<23> Агенты, классифицированные в монографиях МАИР, тома 1 - 133 (англ. Agents Classified by the IARC Monographs, Volumes 1 - 133) monographs iarc who int/agents-classified-by-the-iarc (в свободном доступе).

<24> Таблица 2.1 главы II СанПиН 1.2.3685-21.

<25> МР 1.2.0275-22 "Классификация токсичности и опасности химических веществ и смесей в соответствии с согласованной на глобальном уровне системой классификации и маркировки СГС", утвержденные руководителем Федеральной службы по надзору в сфере защиты прав потребителей и благополучия человека, Главным государственным санитарным врачом Российской Федерации 15.02.2022.

В руководстве ингаляционный путь рассматривается в качестве основного пути поступления химических канцерогенов в организм работников.

5.4. На этапе идентификации опасности осуществляется оценка полноты и достоверности имеющихся данных о канцерогенной опасности веществ в воздухе рабочей зоны и наличия сведений о количественных критериях, требуемых для последующего анализа риска для здоровья.

5.5. Результатом этапа идентификации опасности является обобщенная и систематизированная информация о канцерогенах, содержащихся в воздухе рабочей зоны, численности работников, потенциально подверженных воздействию.

5.6. Этап анализа зависимости "экспозиция-ответ" предусматривает установление связи между воздействующей экспозицией, режимом, продолжительностью воздействия и степенью выраженности, распространенности вредного эффекта для различных профессиональных групп.

Проводится сбор и анализ информации о факторах канцерогенного потенциала химических веществ, установленных для условий профессиональной экспозиции. До разработки факторов канцерогенного потенциала в условиях профессиональной экспозиции, рекомендуется использовать значения факторов канцерогенного потенциала для веществ, указанных в методических документах по оценке риска для здоровья населения при воздействии химических веществ, загрязняющих среду обитания <26>.


<26> Р 2.1.10.1920-04 "Руководство по оценке риска для здоровья населения при воздействии химических веществ, загрязняющих среду обитания", утвержденное Главным государственным санитарным врачом Российской Федерации, Первым заместителем Министра здравоохранения Российской Федерации 05.03.2004, Р 2.1.10.3968-23 "Руководство по оценке риска здоровью населения при воздействии химических веществ, загрязняющих среду обитания", утвержденное руководителем Федеральной службы по надзору в сфере защиты прав потребителей и благополучия человека, Главным государственным санитарным врачом Российской Федерации 06.09.2023 (вступает в силу с 01.01.2024).

5.7. На этапе оценки зависимости "экспозиция-ответ" проводится анализ имеющейся информации о влиянии канцерогенов на здоровье работников, полученной в ходе эпидемиологических исследований состояния здоровья работников. Предпочтение отдается данным исследований, проведенным в отношении работников различных отраслей промышленности, а также продолжительным (ретроспективным) исследованиям, ввиду вероятности развития стохастических эффектов при воздействии канцерогенных факторов. При оценке зависимости "экспозиция - ответ" учитывается, что генотоксическое действие канцерогенных веществ является беспороговым.

5.8. Для доказательства причинно-следственной связи между повышенной заболеваемостью (смертностью) от злокачественных новообразований (далее - ЗН) и воздействием канцерогенных факторов применяются эпидемиологические методы исследования. Для изучения канцерогенной опасности наибольшее распространение получил ретроспективный метод, который является более доступным, скорым и менее трудоемким по сравнению с другими методами (например, проспективный, когортный).

Сущность ретроспективного метода заключается в изучении за определенный промежуток времени, который предшествовал началу исследований, смертности от ЗН работников определенной профессии (или производства), а также условий их труда. Полученные данные сопоставляются с ожидаемыми показателями онкологической смертности для соответствующего общего населения или иной контрольной группы. Такая группа формируется идентичной по основным параметрам (например, возрастно-половая структура, социальные, бытовые характеристики) изучаемой профессиональной группе, исключая специфические особенности ее как профессиональной группы (например, подверженность воздействию производственных канцерогенов, условий труда). Кратность превышения наблюдаемых показателей смертности от ЗН над ожидаемыми определяет степень дополнительного риска, связанного с условиями труда в изучаемом производстве, и позволяет ориентировочно оценить интенсивность влияния канцерогенных факторов, а само производство либо отнести, либо не отнести к канцерогеноопасным.

Результаты оценки позволяют выявить цеха, участки и профессии, в которых наблюдается повышенная смертность от ЗН, определить преимущественные локализации опухолей, особенности в распространенности опухолей по полу и возрасту работавших, рассчитать средний возраст умерших и стаж от начала контакта с канцерогенными факторами до возникновения опухоли. Работа в профессии, для которой в результате эпидемиологических исследований выявлена повышенная смертность от ЗН, является основанием для включения занятых в ней лиц в группу повышенного канцерогенного риска.

5.9. На этапе оценки экспозиции химических веществ производится расчет дозы канцерогена, формируемой в результате трудовой деятельности (пожизненная среднесуточная доза, англ. lifetime average daily dose, далее - LADD), усредненной с учетом продолжительности трудовой деятельности по формуле (14):

, (14)

где: LADD - доза, формируемая в результате трудовой деятельности, мг/(кг x день);

C - среднесменная концентрация вещества в воздухе рабочей зоны, мг/м3 (на основании полученного массива данных среднесменных концентраций рассчитывается верхняя граница 95%-го доверительного интервала, за наиболее продолжительный период, как минимум, за последние 3 года);

IR (англ. inhalation rate) - скорость поступления воздуха рабочей зоны, (м3/смену) (определяется ориентировочно, исходя из величины легочной вентиляции, находящейся в зависимости от категории тяжести труда работающего; рекомендуется использование следующих усредненных величин объемов легочной вентиляции, которые зависят от уровней энергетических трат и соответственно категорий работ (табл. 5.1).

ED (англ. exposure duration) - продолжительность воздействия, лет (для расчета прогнозного группового значения канцерогенного риска на рабочем месте берется 12, 24, 36, 47 лет, а для персонального - равна стажу работы в канцерогеноопасных условиях труда конкретного работающего);

EF (англ. exposure frequency) - частота воздействия, смен/год (частота воздействия (EF) берется 250 рабочих смен в год (при 8-часовой пятидневной рабочей неделе);

BW (англ. body weight) - масса тела человека, кг (масса тела работающего) (BW) условно принимается для мужчины 70 кг, для женщины 58 кг (факторы экспозиции, рекомендуемые ВОЗ [37]) при расчете прогнозных значений для рабочего места или фактическая для конкретного работника);

AT (англ. averaging time) - период усреднения экспозиции (для канцерогенов AT - 70 лет);

365 - число дней в году.

Таблица 5.1

Объем легочной вентиляции в зависимости от энергетических затрат при различных категориях работ

NКатегория работУровень энергетических затрат (Вт)Объем легочной вентиляции (м3/смену)
1Iа - IбДо 1744
2IIа - IIб175 - 2907
3IIIБолее 29010

5.10. Результатом этапа являются натурные (измеренные) и (или) расчетные данные об уровнях химической экспозиции на исследуемом предприятии, в том числе с учетом фактора времени и количество работников, подвергающихся тому или иному уровню экспозиции. Результаты расчетной или инструментальной оценки экспозиции используются для гигиенической оценки и расчета ПР для здоровья.

5.11. На этапе характеристики риска рассчитывается уровень канцерогенного риска, связанного с действием химических веществ, с использованием данных о величине экспозиции и значениях факторов канцерогенного потенциала (фактор наклона) по формуле (15):

CR = LADD x SFi, (15)

где: CR - канцерогенный риск;

SFi (англ, inhalation slope factor) - фактор канцерогенного потенциала при ингаляционном воздействии, (мг/(кг x день)-1).

Поскольку количественная величина канцерогенного риска носит вероятностный характер, то расчет величин суммарного (CRсум) канцерогенного риска, при наличии в воздухе рабочей зоны нескольких канцерогенных факторов, производится по формуле (16):

, (16)

где: N - число канцерогенных факторов;

CRi - уровень канцерогенного риска, связанный с i-м фактором.

В этом случае определяется вклад каждого из веществ (в %) в величину суммарного канцерогенного риска и идентифицируется приоритетный канцерогенный фактор, вещество (или вещества), доля которых в суммарном риске превышает 50%.

5.12. Для условий профессионального воздействия канцерогенов приемлемым считается уровень канцерогенного риска (CR) < 1,0 x 10-3. Для случаев, когда прогнозная величина канцерогенного риска является большей или равной 1,0 x 10-3, рассчитывается продолжительность приемлемого стажа работы, при котором достигается верхний предел допустимого ПР. Для этого применяется линейная зависимость уровня канцерогенного риска от стажа путем расчета одногодичного риска (ED = 1) и определения продолжительности стажа работы в контакте с канцерогенными факторами, при котором канцерогенный риск не будет равным или превышать 1,0 x 10-3. По результатам расчета прогнозных значений канцерогенного риска определяются условия (стаж, возраст, уровень воздействующего фактора, продолжительность экспозиции), при которых канцерогенный риск работы в профессии достигает приемлемого уровня.

5.13. Учитывая тот факт, что величина канцерогенного риска определяется величиной экспозиции, решающее значение для снижения риска будет иметь уменьшение содержания канцерогенных веществ в ВРЗ (или напряженности ЭМП) до тех величин, при которых прогнозное значение канцерогенного риска при стаже работы на момент достижения возраста 65 лет не будет достигать 1,0 x 10-3.

5.14. При оценке влияния канцерогенных веществ на организм работающего важным дополнением оценки канцерогенного риска служит определение дозы канцерогена и (или) его метаболитов в биологических средах организма. Такое определение, осуществляемое однократно (биоиндикация), или систематически (биомониторинг), позволяет оценить уровень начальных доклинических проявлений эффекта, индивидуальную чувствительность организма к нему. В качестве биомаркеров используются как биомаркеры экспозиции - вещества или их метаболиты, которые измеряются в биосредах организма, так и биомаркеры эффекта - биохимические и (или) физиологические изменения в организме, которые служат признаком потенциального ухудшения здоровья.

VI. Показатели и критерии оценки профессионального риска

6.1. При априорной оценке ПР по результатам гигиенической оценки факторов рабочей среды и трудового процесса <27> при характеристике риска используются критерии для категорирования уровней риска, представленные в табл. 6.1.


<27> Р 2.2.2006-05.

Таблица 6.1

Критерии для категорирования уровней риска по результатам гигиенической оценки факторов рабочей среды и трудового процесса

Класс условий трудаКатегория профессионального риска
Оптимальный - 1Пренебрежимо малый риск
Допустимый - 2Малый риск
Вредный - 3.1Умеренный риск
Вредный - 3.2Средний риск
Вредный - 3.3Высокий риск
Вредный - 3.4Очень высокий риск
Опасный - 4Экстремально высокий риск

6.2. При апостериорной оценке ПР, с использованием индексов ПЗ и БСУТ при характеристике риска используются критерии для категорирования уровней и формирования групп риска, представленные в табл. 6.2.

Таблица 6.2

Критерии для категорирования уровней риска с использованием индексов ПЗ и БСУТ

ИПЗИБСУТКатегория профессионального риска
123
Менее 0,05Менее 0,05Пренебрежимо малый риск
0,05 - 0,10,05 - 0,1Малый риск
0,1 - 0,20,1 - 0,2Умеренный риск
0,2 - 0,40,2 - 0,4Средний риск
0,4 - 0,60,4 - 0,6Высокий риск
0,6 - 0,80,6 - 0,8Очень высокий риск
Более 0,8Более 0,8Экстремально высокий риск

6.3. Количественная оценка ПР для здоровья производится в диапазоне значений от 0 до 1 (0 - отсутствие риска, 1 - неизбежность полной утраты здоровья).

При количественной оценке ПР, с использованием ранее установленных количественных параметров зависимостей частоты нарушения состояния здоровья работников от уровней экспозиции факторов рабочей среды и трудового процесса при характеристике риска используются критерии для категорирования уровней риска, представленные в табл. 6.3.

Таблица 6.3

Критерии для категорирования уровней риска по результатам количественной вероятности тяжести ПЗ и БСУТ

Уровни профессионального рискаКатегория профессионального риска
Менее 1·10-4Пренебрежимо малый риск
1·10-4 - 1·10-3Малый риск
1·10-3 - 1·10-2Умеренный риск
1·10-2 - 3·10-2Средний риск
3·10-2 - 1·10-1Высокий риск
1·10-1 - 3·10-1Очень высокий риск
3·10-1 - 1Экстремально высокий риск

6.4. Критериями безопасных условий труда является отсутствие недопустимого риска для жизни, здоровья работника, функциональных способностей его организма, в том числе репродуктивных. В качестве приемлемых (допустимых) рассматриваются пренебрежимо малый и малый уровни ПР.

Результаты оценки ПР для здоровья, выполненной в соответствии с принципами и критериями, изложенными в руководстве, применяются для разработки рекомендаций по проведению санитарно-технических, технологических, организационных и медико-профилактических мероприятий по управлению ПР и формирования групп риска ПЗ и БСУТ (приложение 6 к настоящему руководству).

Приложение 1

к Р 2.2.3969-23

АЛГОРИТМ ОЦЕНКИ ПРОФЕССИОНАЛЬНОГО РИСКА

Рис. 1.1. Алгоритм оценки профессионального риска здоровью

Приложение 2

к Р 2.2.3969-23

ПРИМЕРЫ МОДЕЛЕЙ ДЛЯ АПРИОРНОЙ ОЦЕНКИ ПРОФЕССИОНАЛЬНОГО РИСКА

1. Априорная оценка вероятности потери слуха (далее - ПС), связанного с воздействием шума.

Специфическим эффектом неблагоприятного действия профессиональных экспозиций интенсивного шума являются ПС, диагностируемые как нейросенсорная тугоухость.

1.1. Оценка вероятности ПС производится с использованием методов, описанных в межгосударственных (национальных) стандартах <28> (далее - стандарты), которые учитывают пол, возраст, уровень шума и стаж работы в нем.


<28> ГОСТ Р ИСО 7029 "Акустика. Статистическое распределение порогов слышимости в зависимости от возраста человека", введенный приказом Росстандарта от 16.11.2011 N 552-ст (далее - ГОСТ Р ИСО 7029), ГОСТ Р ИСО 1999 "Акустика. Оценка потери слуха вследствие воздействия шума", введенный приказом Росстандарта от 17.10.2017 N 1435-ст (далее - ГОСТ Р ИСО 1999).

В основу модели прогнозирования вероятности ПЗ от действия шума заложены стандарты, данные мета-анализов, модели отечественных и зарубежных авторов, отвечающие принципам доказательной медицины.

1.1.1. Специфическим эффектом неблагоприятного действия профессиональных экспозиций интенсивного шума являются ПС, диагностируемые как сенсоневральная тугоухость.

1.1.2. В соответствии со стандартами <29> применяется следующая терминология и обозначения:


<29> ГОСТ Р ИСО 7029, ГОСТ Р ИСО 1999.

- потеря слуха с возрастом (англ. hearing threshold level associated with age, далее - HTLA) (H),

- потеря слуха, вызванная шумом (англ. noise-induced permanent threshold shift, далее - NIPTS) (N);

- ПС, связанные с возрастом и шумом (англ. hearing threshold level associated with age and noise, далее - HTLAN) (H')

1.1.3. Общие ПС, связанные с возрастом и шумом, HTLAN, определяются в соответствии с методическими документами <29> по формуле (17)

H' = H + N - (H x N) / 120, (17)

где H - уровень порога слышимости, связанный с возрастом (HTLA), дБ,

N - действительное или потенциальное постоянное смещение порога слышимости, вызванное шумом (NIPTS), дБ.

1.1.4. Расчет вероятности ПС в зависимости от возраста. Средние ПС с возрастом (Hmd, Y) для аудиометрического ряда частот рассчитывают с вероятностью Q = 50% с помощью соответствующих коэффициентов по формуле (18):

, (18)

где: Y - возраст, лет;

H18 - медианный порог слышимости множества людей в возрасте 18 лет того же пола с нормальным слухом, дБ.

Формула (18) применима для возраста Y в интервале от 18 до 70 лет включительно.

Значение коэффициента для мужчин и женщин приведено в табл. П 2.1.

Таблица П 2.1

Значения коэффициента

Аудиометрическая частота, ГцКоэффициент , дБ/лет2
МужчиныЖенщины
1250.00300.0030
2500.00300.0030
5000.00350.0035
10000.00400.0040
15000.00550.0050
20000.00700.0060
30000.01150.0075
40000.01600,0090
60000.01800.0120
80000.02200.0150
Примечание: для определения подробного распределения вероятности HTLA рекомендуется использовать пп. 3.3, 3.4, приложения A ГОСТ Р ИСО 7029

1.1.5. Расчет вероятности ПС, вызванных шумом <30>. Средняя потеря слуха, вызванная шумом, NIPTS, для Q = 50% популяции определяется по формуле (19):


<30> ГОСТ Р ИСО 1999.

N50 = [u + v lg(t / to)](LEX,8h - L0)2, (19)

где: LEX,8h - уровень экспозиции шума, приведенный к 8-часовому рабочему дню (эквивалентный уровень звука за рабочую смену);

L0 - уровень звукового давления на аудиометрических частотах не оказывающая влияния на слух (табличная величина, табл. П 2.2);

t - стаж, лет;

to - 1 год.

Таблица П 2.2

Величины U, V, и L0 для определения NIPTS для средней величины популяции, N50

Аудиометрическая частота, ГцUVL0, дБ
500-0,0330,11093
1 000-0,0200,07089
2 000-0,0450,06680
3 0000,0120,03777
4 0000,0250,02575
6 0000,0190,02477
Среднеречевые частоты
(0,5, 1 и 2 кГц)
-0,0320,08287,3

Для расчета распределения вероятности NIPTS для Q, отличного от 50%, используются соотношения (20), (21):

NQ = N50 + kdu для вероятностей в пределах 5 < Q < 50%, (20)

NQ = N 50 - kdl для вероятностей в пределах 50 < Q < 95%

(табл. 2.3) (21)

Таблица П 2.3

Величины коэффициента k

Вероятность Q %k
5 951,645
10 901,282
15 851,036
20 800,842
25 750,675
30 700,524
35 650,385
40 600,253
45 550,126
 50 0

Параметры du и dl рассчитывают по следующим формулам (табл. 2.4) (22), (23)

du = [Xu + Yu lg(t / t0)](LEX,8h - L0)2 (22)

dl = [Xl + Yl lg(t / t0)](LEX8h - L0)2 (23)

Таблица П 2.4

Величины Xu, Yu, Xl, Yl, используемые для расчетов параметров du и dl при определении вероятностей распределения NIPTS выше и ниже N50

Аудиометрическая частота, ГцXuYuXlYl
5000,0440,0160,0330,002
1 0000,0220,0160,0200,000
2 0000,031-0,0020,0160,000
3 0000,0070,0160,029-0,010
4 0000 0050 0090 016-0,002
6 0000,0130 0080,028-0,007

1.1.6. Примеры расчета вероятных потерь слуха от шума.

В табл П 2.5 - 2.8 приведены примеры расчета вероятных потерь слуха от шума на аудиометрических и среднеречевых частотах (без возрастных изменений слуха) при действии шумовой экспозиции 85, 90, 95 и 100 дБ для 10%, 50% и 90% лиц, подвергающихся воздействию шума, величины потерь слуха в зависимости от уровня шума и стажа работы и возраста на речевых частотах (табл. П 2.9 и П 2.10) и вероятность развития профессиональной ПС (табл. П 2.11).

Таблица П 2.5

Величина потерь слуха от шума при LEX 8h = 85 дБА

Аудиометрическая частота, ГцВеличина потерь слуха от шума, дБ
Продолжительность стажа работы в шуме, лет
10203040
Процент лиц, подвергающихся воздействию шума
905010905010905010905010
500000000000000
1 000000000000000
2 000011112112122
3 000235346347357
4 000357468569579
6 000134235236246
Ср 0,5, 1 и 2 кГц0 00 30 30 30 30 70 30 30 70 30 70 7

Таблица П 2.6

Величина потерь слуха от шума при LEX,8h = 90 дБА

Аудиометрическая частота, ГцВеличина потерь слуха от шума, дБ
Продолжительность стажа работы в шуме, лет
10203040
Процент лиц, подвергающихся воздействию шума
905010905010905010905010
12345678910111213
500000000000000
1 000000000000000

Продолжение табл. П 2.6

12345678910111213
2 0000262483594610
3 0004813710168111891219
4 0007111591318101419111520
6 00037124814591561015
Ср. 0,5; 1,0 и 2,0 кГц0.00.72.00.71.32.71.01.73.01.32.03.3

Таблица П 2.7

Величина потерь слуха от шума при LEX,8h = 95 дБА

Аудиометрическая частота, ГцВеличина потерь слуха от шума, дБ
Продолжительность стажа работы в шуме, лет
10203040
Процент лиц, подвергающихся воздействию шума
905010905010905010905010
500001001011011
1 000124235235236
2 000051359177122091422
3 00081625131931162234182337
4 000132027162332182534192636
6 0005142381626101828121929
Ср. 0,5; 1,0 и 2,0 кГц0.32.36.02.34.07.73.05.38.73.76.09.7

Таблица П 2.8

Величина потерь слуха от шума при LEX,8h = 100 дБА

Аудиометрическая частота, ГцВеличина потерь слуха от шума, дБ
Продолжительность стажа работы в шуме, лет
10203040
Процент лиц, подвергающихся воздействию шума
905010905010905010905010
50024835946115711
1000361269157101781119
2 000082381631132135162439
3 000132641213251263556293860
4 000203142253649283953304156
6 00092337142742172946193048
Ср. 0,5; 1,0 и 2,0 кГц1.76.014.35.710.018.38.012.321.09.714.023.0

Таблица П 2.9

Величина ПС в зависимости от уровня шума и стажа работы на речевых частотах (среднее арифметическое значение для частот 0,5, 1,0 и 2,0 кГц)

Уровень звука,
дБ (А)
КвантилиСтаж, годы
10203040
ПСПш. ср.реч, дБ
123456
 0,90000
850,50001
 0,10111
 0,90111
900,51122
 0,12333

Продолжение табл. П 2.9

123456
 0,90234
950,52456
 0,168910
 0,926810
1000,56101214
 0,114182123

Таблица П 2.10

Величина ПС в зависимости от возраста на речевых частотах (среднее арифметическое значение для частот 0,5, 1,0 и 2,0 кГц)

ПолКвантилиВозраст, годы
30405060
ПСПвозр. ср.реч, дБ
 0,9-6-5-4-2
Мужчины0,51258
 0,110121622
 0,9-6-5-4-2
Женщины0,51258
 0,19121521

Таблица П 2.11

Вероятность развития профессиональной ПС (%)

Возраст, летСтаж работы, лет
10203040
Степени снижения слуха <*>
IIIIIIIIIIIIIIIIIIIIIIII
12345678910111213
 LAэкв = 90 дБ(А)
301200---------
4022002500------
50330035303730---

Продолжение табл. П 2.11

12345678910111213
604460469048100---
LAэкв = 100 дБ(А)
3039170---------
404725562326------
5050287623615684120---
60603719714425764830825333
Примечание: <*> критерии степеней: I степень: 11 - 20 дБ, II степень: 21 - 30 дБ, III степень: 31 дБ и более <31>


<31> ГОСТ Р ИСО 1999; методические рекомендации "Диагностика, экспертиза трудоспособности и профилактика профессиональной сенсоневральной тугоухости" (письмо Минздрава России от 06.11.2012 N 14-1/10/2-3508).

Пример. Оценить вероятность ПС у рабочего в возрасте 50 лет, работающего 30 лет в шуме с уровнем 100 дБ (А). По табл. П 2.9 для квантилей 0,9, 0,5 и 0,1 ПС от шума равны 8, 12 и 21 дБ, а по табл. П 2.10 для этих же квантилей ПС от возраста равны - 4, 5 и 16 дБ, что дает в сумме 4, 17 и 37 дБ (минимальная, средняя и максимальная ПС).

Это соответствует признакам действия шума на орган слуха, I и III степени ПС с вероятностью более 90, 50 и 10% соответственно. По табл. П 2.11 вероятность I, II и III степени ПС в данном случае равна 68, 41 и 20%; т.е. наиболее вероятно, что у данного пациента I - II степени ПС.

1.2. Оценка априорного (прогностического) ПР здоровью работающих, связанного с воздействием шума выше 80 дБА.

В качестве модели, основанной на экспериментальных данных и на медицинской статистике, применяется уравнение, определяющее стажевую дозу шума, характеризующую шумовое воздействие за рабочий стаж и учитывающую эквивалентный уровень звука за рабочую смену (8 ч), формула (24):

Lдш(т) = Lэкв + 10lg(T / T0), (24)

где: Lдш(т) - стажевая доза шума, дБА;

Lэкв - эквивалентный уровень звука за смену (8 ч);

T - стаж в годах <32>;


<32> Преимущественно формула (24) используется в исследованиях, целью которых является установление эквивалентного уровня звука за 8-часовой рабочий день. Вместе с тем, учитывая общие закономерности уровней звука и его продолжительности, данную формулу используют и в исследованиях, отражающих воздействие шума на протяжении определенного стажа работы. При этом величина T определяется длительностью рабочего стажа (т.е. интервалом времени в годах, в течение которого наблюдается воздействие шума, существенного и представительного для данного рабочего места); величина T0 - базовая длительность рабочего стажа, равная 1 году.

T0 - 1 год.

Под дозой шума понимают приведенные значения шума с учетом продолжительности его воздействия. Стажевую дозу применяют для оценки и прогноза отдаленных последствий влияния шума.

Методика расчета вероятности ПЗ, связанного с воздействием производственного шума, включает в себя последовательное выполнение следующих позиций:

- Расчет эквивалентного уровня звука за рабочую смену (8 ч);

- Расчет Lдш(т) по формуле 24 или таблице П 2.12;

Таблица П 2.12

Определение стажевой дозы шума (Lдш(т), дБ) по величине эквивалентного уровня звука за рабочую смену 8 ч (Lp,Aeq,8h)

Lp,Aeq,8hСтаж, лет
23456789101520253040
123456789101112131415
808385868788898990909293949596
818486878889909091919394959697
828587888990919192929495969798
838688899091929293939596979899
8487899091929393949496979899100
85889091929394949595979899100101
868991929394959596969899100101102
8790929394959696979799100101102103
88919394959697979898100101102103104
89929495969798989999101102103104105

Продолжение табл. П 2.12

123456789101112131415
9093959697989999100100102103104105106
919496979899100100101101103104105106107
9295979899100101101102102104105106107108
93969899100101102102103103105106107108109
949799100101102103103104104106107108109110
9598100101102103104104105105107108109110111
9699101102103104105105106106108109110111112
97100102103104105106106107107109110111112113
98101103104105106107107108108110111112113114
99102104105106107108108109109111112113114115
100103105106107108109109110111112113114115116
101104106107108109110111111111113114115116117
102105107108109110111111112112114115116117118
103106108109110111112112113113115116117118119
104107109110111112113113114114116117118119120
105108110111112113114114115115117118119120121
106109111112113114115115116116118119120121122
107110112113114115116116117117119120121122123
108111113114115116117117118118120121122123124
109112114115116117118118119119121122123124125
110113115116117118119119120120122123124125126

- расчет вероятности развития ПЗ (RiskpПЗ) по следующей формуле (25) или таблице 2.13.

, (25)

где:

Таблица П 2.13

Определение значения Risk рПЗ по величине Lдш(т)

Lдш(т)RiskрПЗLдш(т)RiskрПЗ
800,0031040,162
810,0041050,184
820,0061060,204
830,0071070,227
840,0091080,243
850,0111090,267
860,0141100,292
870,0171110,313
880,0191120,341
890.0221130,366
900,0251140,395
910,0301150,421
920,0351160,448
930,0411170,478
940,0471180,505
950,0551190,531
960,0621200,560
970,0731210,584
980,0821220,614
990,0931230,639
1000,1051240,668
1010,1171250,692
1020,1341260,715
1030,147--

2. Априорная оценка вероятности развития вибрационной болезни (далее - ВБ), связанной с воздействием локальной вибрации (далее - ЛВ).

2.1. Оценка вероятности развития ВБ под воздействием ЛВ производится с применением моделей, представленных в стандартах <33>.


<33> ГОСТ 31192-1 (ИСО 5349-1) "Вибрация. Измерение локальной вибрации и оценка ее воздействия на человека. Часть 1. Общие требования", введенный приказом Ростехрегулирования от 12.12.2007 N 357-ст (далее - ГОСТ 31192-1 (ИСО 5349-1).

2.2. Модели прогнозирования вероятности ВБ от ЛВ.

Например, модели (зависимостей доза-эффект) для расчета вероятности развития ВБ в зависимости от уровня ЛВ и продолжительности воздействия могут быть основаны на разных клинических критериях: синдром "белых пальцев", ВБ разной степени.

Модель 1. В табл. П 2.14 представлена длительность воздействия ЛВ до появления сосудистых расстройств в зависимости от величины эквивалентного корректированного виброускорения, определенная в соответствии с методическими документами <34>. За критерий принят синдром "белых пальцев".


<34> ГОСТ 31192-1 (ИСО 5349-1). ГОСТ 31192-2 (ИСО 5349-2) "Вибрация. Измерение локальной вибрации и оценка ее воздействия на человека. Часть 2. Требования к проведению измерений на рабочих местах", введенный приказом Ростехрегулирования от 12.12.2007 N 364-ст (далее - ГОСТ 31192-2 (ИСО 5349-2).

Таблица П 2.14

Стаж работы до развития синдрома "белых пальцев" для различных перцентилей (%) в зависимости от уровня вибрации <35> (модель 1)


<35> ГОСТ 31192-2 (ИСО 5349-2).

Эквивалентное корректированное виброускорение, ahw,eq,8h, м/с2Перцентиль группы, %
1020304050
Стаж, годы
21523более 25более 25более 25
569111214
1034567
2012233
31Менее 1Менее 1Менее 111

Эта зависимость аппроксимирована формулой (26):

(26)

где: C - ожидаемый процент лиц с вибрационными нарушениями;

aэкв(4) - частотно-взвешенное эквивалентное (по энергии) виброускорение, приведенное к 4 ч воздействия в смену, м/с2;

TF - время экспозиции вибрации до появления признаков "белых пальцев", лет. Эта зависимость применима для уровней вибрации до 50 м/с2, экспозиции до 25 лет и вероятности 10 - 50%.

Модель 2. Для прогнозирования вероятности ВБ I степени для рабочих машиностроительных предприятий модель имеет вид (27):

ln T = -20 ln L + Cp, (27)

где: T - латентный период развития ВБ, годы;

L - эквивалентный корректированный уровень виброскорости, дБ;

Cp - коэффициент, зависящий от частоты (или вероятности p) развития ВБ.

Модель 3. Для прогнозирования вероятности ВБ I - II степени для рабочих машиностроительных предприятий модель имеет вид (28):

(28)

или в логарифмическом виде (29):

Lc = 1,54 (0,25 Lv + LT - 38), (29)

где: Lc = 10 lg(C/Cо);

Cо = 1%;

C - вероятность ВБ, %,

v и Lv - эквивалентное корректированное значение и уровень виброскорости, м/с и дБ соответственно.

Сопоставление вероятности ВБ по трем указанным выше моделям для стажа работы в контакте с вибрацией 10 и 20 лет для разных классов условий труда <36> представлено в табл. П 2.15


<36> Р 2.2.2006-05.

Таблица П 2.15

Вероятность ВБ в зависимости от уровня вибрации

Класс условий труда по Р 2.2.2006-05Синдром "белых пальцев" (модель 1)ВБ I степени (модель 2)ВБ I - II степени (модель 3)
10 лет20 лет10 лет20 лет10 лет20 лет
Вероятность ВБ, %
21035< 10< 1012,5
3.118> 50< 10121,54
3.235> 50< 10191,85
3.3> 50> 5014282,56
3.4> 50> 5024383,29
4> 50> 5032> 50412

Латентность ВБ. Показателями ПР при действии ЛВ являются как вероятность ВБ, так и ее латентный период. Сроки развития ВБ представлены в табл. П 2.16.

Таблица П 2.16

Сроки развития ВБ в виброопасных профессиях

Профессиональные группыЭквивалентный корректированный уровень виброускорения, дБЛатентный период ВБ, годы (М m)
123
Обрубщик литья14110,8  0,3
Наждачник13912,1  0,7
Вальщик леса13814,4  0,4
Шлифовщик13614,5  0,6
Слесарь механосборочных работ13316,8  0,6
Стерженщик13217,4  1,2
Горнорабочий очистного забоя13417,8  0,5
Бурильщик13417,9  0,8

Продолжение табл. П 2.16

123
Проходчик13418,1  1,4
Формовщик14218,2  0,8
Клепальщик12920,1  1,2

Наиболее виброопасные профессии-обрубщики, наждачники, вальщики леса, заточники, шлифовщики, где латентный период развития ВБ составляет 8 - 12 лет. Общей характеристикой условий труда этих групп является очень высокий (экстремальный) уровень виброускорения (138 дБ и более), высокочастотный спектр (125 - 250 Гц и выше), значительная физическая тяжесть, обусловленная весом инструментов, а также работа в охлаждающем микроклимате. Более поздние сроки развития ВБ у формовщиков при значительных уровнях вибрации обусловлены низкочастотным спектром вибрации.

Средние значения массы ручных машин, их силовых характеристик и дополнительный риск ВБ представлены в табл. П 2.17.

Таблица П 2.17

Силовые характеристики ручных машин и дополнительный риск ВБ

ПоказателиМасса ручной машины, кг
13510
Сила нажатия Fp H2060100200
Сила обхвата F, H5152550
Сила связи Fсор = Fт, + 2F, H3090150300
Индекс связи, раз1,11,21,31,6
Увеличение риска ВБ, раз    
- модель 31,11,21,31,6
- модель 11,11,41,72,6

3. Априорная оценка вероятности развития нарушений здоровья работников, связанных с воздействием тяжести и напряженности трудового процесса.

3.1. Вероятность развития варикозной болезни нижних конечностей при работе стоя.

Вредный фактор - длительное пребывание в рабочей позе стоя. Работы, связанные с длительным статическим напряжением, стоянием, систематической переноской тяжелых грузов. Работа стоя является сильным фактором риска развития варикозного расширения вен (далее - ВРВ) нижних конечностей. Вероятность ВРВ зависит от времени работы стоя в смену (табл. П 2.18), стажа работы и пола.

Таблица П 2.18

Вероятность ВРВ в зависимости от времени работы стоя в смену (данные для женщин)

Характер трудаКласс условий труда по <37>Время работы стоя, смены, %Вероятность ВРВ, %
Оптимальный1до 336 - 14
Допустимый234 - 5315 - 24
Средней тяжести3.154 - 7325 - 34
Тяжелый3.274 - 8238
Очень тяжелый3.383 - 9647% и более


<37> Раздел 4 Р 2.2.2006-05.

С увеличением стажа работы прирост доли больных ВРВ составляет около 2% в год. Для мужчин, работающих стоя, относительный риск ВРВ составляет RR = 1,85 (95% CI равен 1,33 - 2,36), а для женщин RR = 2,63 (95% CI равен 2,25 - 3,02). EF вклада ортостаза в развитие ВРВ равна 46,0 и 62,0% для мужчин и женщин соответственно, т.е. вероятность ВРВ для мужчин меньше, чем для женщин, в 0,7 раза.

3.2. Вероятность развития гипертонической болезни, ишемической болезни сердца и невротических расстройств, связанных с воздействием нервно-эмоцииональной напряженности труда.

На основе данных оценки условий труда с использованием дополнительных методик [62] возможно вычисление интегрального показателя, который позволит обобщить оценки и определить категорию напряженности труда

Каждому классу условий труда эквивалентен соответствующий балл:

- 1 класс - 1 балл;

- 2 класс - 2 балла;

- 3.1 класс - 3 балла;

- 3.2 класс - 4 балла;

- 3.3 класс - 5 баллов.

С учетом этих данных определяется усредненный балл по тому или иному блоку нагрузки.

Сумма значений, полученных при умножении усредненной балльной оценки каждого блока на соответствующую ему величину весового коэффициента, равна интегральному показателю (LНТ), характеризующему напряженность труда. Значение LНТ выражается в условных единицах, является математической величиной второго порядка точности.

Расчет интегрального показателя (LНТ) проводится с учетом весового коэффициента (К). Величина К для каждого из пяти блоков нагрузки является постоянной и принимается:

- для интеллектуальных нагрузок К I = 0,08;

- для сенсорных нагрузок К II = 0,16;

- для эмоциональных нагрузок К III = 0,21;

- для монотонности нагрузок К IV - 0,16;

- для режима работы К V - 0,10.

В зависимости от значения LНТ выделяют шесть категорий напряженности труда:

- I - малая - LНТ < 0,899;

- II - средняя - LНТ = 0,900 - 1,206;

- III - высокая - LНТ = 1,207 - 1,514;

- IV - очень высокая - LНТ = 1,515 - 1,824;

- V - изнурительная - LНТ = 1,825 - 2,130;

- VI - сверхинтенсивная или экстремальная - LНТ > 2,131.

Для оценки уровня напряженности труда (LНТ) разработан математический способ расчетов интегрального показателя - LНТ и выделены пять его категорий с количественными границами.

Установлено, что между интегральной величиной НТ и показателями эффективности и стабильности ведущих функций ЦНС имеется обратная зависимость вида Y = Aвх, описанная формулой (30):

Y = 4,44 x 2,718-0 99x, (30)

где: Y - физиологические показатели;

X - напряженность труда.

С увеличением интегрального показателя напряженности труда возрастает нервно-психическое напряжение: у мужчин за счет такой характеристики ведущих функций ЦНС как эффективность, а у женщин - стабильность.

Между величиной интегрального показателя LНТ и показателями сердечно-сосудистой системы наблюдается прямая зависимость, представленная уравнением логарифмической регрессии вида Y = A + BlnX и описанная формулой (31):

Y = 66,2 + 23,84 lnX, (31)

где: Y - физиологические показатели;

X - напряженность труда.

Выявляется высокая прямая взаимосвязь между величиной интегрального показателя LНТ и процентом лиц с общесоматической патологией: гипертоническая болезнь, ишемическая болезнь сердца и невротические расстройства, т.е. чем выше величина LНТ или категория НТ, тем больше ПР развития указанной патологии. Независимо от формы выявленной патологии связь выражается в виде логарифмического уравнения (32):

Y = A + B x lnX, (32)

где: Y - доля лиц в % с выявленной патологией;

X - интегральный показатель уровня напряженности труда.

Прогнозирование вероятности развития производственно обусловленной патологии в зависимости от уровня напряженности труда осуществляется раздельно для мужчин и женщин в соответствии с табл. П 2.19.

Таблица П 2.19

Вероятность (%) развития производственно обусловленной патологии (гипертонической болезни, ИБС и невротических расстройств) в зависимости от уровня напряженности труда

NФормы патологииКатегории напряженности труда (LНТ)
I - мало напряженная (оптимальная)II - средне напряженная (допустимая)III - высоко напряженная (3.1)IV - очень высоко напряженная (3.2)V - изнурительно напряженная (3.3)
1Гипертоническая болезньЖДо 3,43,5 - 11,411,5 - 17,617,7 - 22,622,7 - 26,9
М00,1 - 10,310,4 - 20,720,8 - 29,129,2 - 36,2
2Ишемическая болезньЖДо 0,20,3 - 3,83,9 - 7,07,1 - 8,99,0 - 10,8
М00,1 - 6,16,2 - 21,221,3 - 33,533,6 - 43,8
3Невротические расстройства (общее число)ЖДо 2020,4 - 37,337,4 - 50,550,6 - 61,361,4 - 70,3
М00,1 - 11,111,2 - 24,224,3 - 34,935,0 - 43,9

4. Априорная оценка вероятности нарушений здоровья, связанных с воздействием охлаждающего фактора.

4.1. Эффекты охлаждения. Охлаждение человека является для него стрессовым раздражителем (холодовой стресс). Реакции на холодовое воздействие носят как функциональный, так и патологический характер: снижение работоспособности, заболевание, поражение, смерть.

Причиной холодового стресса является охлаждение организма в целом или его части, чаще всего лица и органов дыхания, стоп, кистей. Он формируется как за счет метеорологических, так и целого ряда других факторов (например, физическая активность, одежда, продолжительность воздействия), влияющих на степень охлаждения человека.

Охлаждение лица и органов дыхания вызывает сокращение артериальных сосудов как в циркуляторной системе рук и ног, так и в области сердца, обусловливает урежение частоты сердечных сокращений и провоцирует появление приступа стенокардии.

4.2. Клинические проявления. Под влиянием холода учащаются легочные и скелетно-мышечные (на 45%), а также нервно-психические расстройства (у 19% мужчин и 45% женщин) (табл. П 2.20).

Таблица П 2.20

Результаты влияния длительного воздействия низких температур на состояние здоровья работников

NПрофессииРезультаты обследованияАвтор, год
1Рабочие холодильниковБольшая частота различных невралгий. Трофические и сосудодвигательные расстройства с анестезией, утолщение кожи.[52]
2Работающие на холоде: рабочие мясокомбинатов, рыбоконсервных заводовХроническое поражение периферической нервной системы в виде вегетативных полиневропатий. Полиневропатические нарушения: боли в руках (особенно ночью), парестезии, трофические расстройства, расстройства чувствительности (особенно температурной). Цианоз, гипотермия, отечность дистальных отделов конечностей, побеление пальцев, расширение капилляров, увеличение их размеров, застой кровотока.[41]
3Рабочие холодильников, овощехранилищ, мясокомбинатов и др.Сосудисто-трофические изменения (особенно при сочетании с физическим напряжением и выполнением мелких операций).[45]
4Рабочие рыбокомбинатовПрофессиональные нейроваскулиты (в 38% случаев): при стаже 10 лет - субъективные нарушения; > 10 лет - выраженные формы заболеваний. Нарушение обменных и ферментативных процессов, дегенеративные изменения в костях, мышцах.[53]
5Работницы рыбокомбинатаНеврологические симптомы (например, гипотермия кистей, пастозность, цианоз)[39]

Прогнозирование степени охлаждения и его последствий. Расчет интегрального показателя степени охлаждения (далее - ИПУО) в баллах, учитывающего влияние комплекса факторов, проводят по формуле (33):

ИПУО = 73,882 - 0,60361 x tв + 1,3096 x V - 9,1985 x Iк - 0,15527 x qм, (33)

где: tв - температура воздуха, °C;

V - скорость ветра, м/с;

Iк - кло, 1 кло = 0,155 °C x м2/Вт;

qм - уровень энерготрат, Вт/м2.

С помощью уравнения 33 определяется величина степени охлаждения (после пребывания на холоде в течение 2 ч), а приведенная на рис. П 2.1 номограмма используется для определения вероятности его реализации.

Характеристика степени охлаждения и последствия их воздействия приведена в табл. П 2.21 и П 2.22. В табл. П 2.22 представлена характеристика степени охлаждения в зависимости от температуры воздуха и скорости ветра применительно к климатическому району г. Москвы.

Таблица П 2.21

Степень охлаждения и его последствия при работе на открытой территории в зимний период года

Класс условий трудаИнтегральный показатель степени охлаждения, баллыПоказатели теплового состояния
Дефицит тепла в организме (ДТ), кДж/кгНапряжение реакций терморегуляцииСнижение <*> средневзвешенной температуры кожи, °CТеплоощущения
1 - 220 - 32  2,72слабоедо 1,1слегка прохладно
3.1 - 3.232 - 462,72 < ДТ  4,82умеренноедо 2,7прохладно
3.3 - 3.446 - 574,82 < ДТ  6,2сильноедо 4,3холодно
4> 57> 6,2очень сильное> 4,3очень холодно
Примечание:
<*> от оптимального уровня;
<**> с вероятностью  0,5.

Таблица П 2.22

Характеристика степени охлаждения при пониженной температуре в рабочей зоне и некоторые его клинические проявления

Класс условий трудаХарактеристика функционального состояния и состояния здоровья
Снижение работоспособности, %Рекомендуемая продолжительность пребывания на холоде, чНекоторые клинические проявления
Общей физическойМануальнойПри остром воздействии (ИПУО, балл)При хроническом воздействии (заболевание)
КистьюПальцами
1 - 2до 3до 6до 108< 34-
3.1 - 3.2до 6,4до 10до 18434 < ИПУО < 47-
3.3 - 3.4до 12,8до 15до 27247 < ИПУО < 57Облитерирующий эндартериит, вегетативно-сенсорная полиневропатия (ангионевроз), нейроциркулярная дистония и др. Жалобы на онемение (20%) и ноющие боли в руках. Вегетососудистые нарушения (у 38% обследованных). Сокращение срока развития вибрационной болезни (на 4 - 5 лет) при сочетанном воздействии холода и локальной вибрации. Профессиональные нейроваскулиты: при стаже  10 лет - субъективные нарушения, > 10 лет - выраженные формы заболевания.

Оценка вероятности обморожения. При существенной и критической степени охлаждения возможны повреждения (обморожения) открытых участков тела человека, главным образом лица, которые могут иметь место при воздействии низкой температуры воздуха и ветра.

Ниже приведено уравнение (34), отражающее степень охлаждения (ИПУО, балл) (табл. П 2.23) применительно к открытым участкам поверхности тела:

ИПУО = 34,654 - 0,4664 x tв + 0,6337 x V (34)

Обозначения те же, что и в уравнении (33).

Таблица П 2.23

Степени вероятности обморожения

СтепеньБалл
Малая вероятность обморожения 34
Вероятность обморожения в течение 1 ч34 < ИПУО  47
Вероятность обморожения в течение 1 мин47 < ИПУО  57
Вероятность обморожения в течение 30 сек> 57

Уже при температуре воздуха минус 25 °C и скорости ветра 2 м/с высока вероятность обморожения открытых участков тела, которая повышается с увеличением скорости ветра и снижением температуры воздуха (рис. П 2.1). Очень высокая вероятность (больше 0,5) обморожения (в течение 30 сек) наблюдается при температуре воздуха минус 35 °C и скорости ветра 10 м/с или при температуре воздуха минус 40 °C и минус 45 °C и скорости ветра 6 м/с и 3 м/с соответственно.

В таких случаях применяются меры, направленные на уменьшение теплопотерь организма, например, путем сокращения времени пребывания на холоде, повышения теплоизоляции СИЗ, использования различных автономных средств обогрева

Рис. П 2.1. Вероятность обморожения при различных значениях ИПУО

На основании выполненных исследований теплового состояния мужчин и женщин в охлаждающих условиях и выявленных различий в их терморегуляторных реакциях, при равной теплоизоляции СИЗ для обоих полов, продолжительность работы женщин в охлаждающих условиях сокращается на 5 минут и увеличивается период на обогрев на 5 минут (до появления комфортных теплоощущений), по отношению к нормативам, предусмотренным в методических документах <38>. Количество 15-минутных перерывов для женщин на обогрев за 4-часовой период рабочей смены соответствует методическим документам <39>. Такой режим признается рациональным, поскольку более длительное пребывание на холоде женщин приведет к ухудшению самочувствия и работоспособности, риску травматизма, к заболеваниям.


<38> МР 2.2.7.2129-06 "Режимы труда и отдыха работающих в холодное время на открытой территории и в неотапливаемых помещениях", утвержденные руководителем Федеральной службы по надзору в сфере защиты прав потребителей и благополучия человека, Главным государственным санитарным врачом Российской Федерации 19.09.2006 (далее - МР 2.2.7.2129-06).

<39> МР 2.2.7.2129-06.

5. Априорная оценка вероятности нарушений здоровья, связанных с воздействием нагревающего микроклимата.

Нагревающий микроклимат - сочетание параметров микроклимата, при воздействии которых имеет место изменение теплообмена человека с окружающей средой, проявляющееся в накоплении тепла в организме и (или) в увеличении доли потерь тепла испарением влаги (> 30%).

Эффекты перегревания. Нагревающий микроклимат обусловливает напряжение различных функциональных систем человека и приводит к нарушению состояния здоровья, снижению работоспособности и производительности труда (табл. П 2.25 и П 2.26). При остром воздействии вероятно заболевание общего характера - тепловой коллапс. Ему предшествует головная боль, чувство слабости, головокружение, увеличивается частота сердечных сокращений. Самое опасное для здоровья - тепловой удар, каждый пятый случай которого является смертельным. Смертность тем выше, чем выше температура тела (табл. П 2.24).

Таблица П 2.24

Вероятность смерти в зависимости от температуры тела при остром перегревании

Температура тела, °CВероятность смерти, %
39-
405
4125
4245
4365

Клинические проявления. Нагревающий микроклимат является причиной ряда болезней. Возникающее в этих условиях интенсивное потоотделение сопровождается потерей солей и воды в организме (возникает гиповолемия). Увеличивается количество тромбоцитов в крови и ее вязкость, уровень холестерина в плазме крови, что повышает вероятность тромбоза в кровеносных сосудах (и, в частности, мозговых артериях).

Заболеваемость среди рабочих горячих цехов в 1,2 - 2,1 раза выше, чем среди рабочих, не подвергающихся постоянному действию нагревающего микроклимата. Термическая нагрузка в основных цехах металлургического производства обусловливает 37% всех болезней органов дыхания и 39% заболеваний органов пищеварения. Наблюдаются заболевания сердечно-сосудистой системы, связанные со значительным напряжением гемодинамики, проявляющиеся в виде стойких миокардиопатий, нейроциркуляторных дистоний по гипертоническому типу.

Напряжение в функциональном состоянии эндокринной системы наблюдается у рабочих и после окончания воздействия неблагоприятных условий. Изменения регистрируются при стаже работы в горячих цехах 5 лет. Среди рабочих старше 30 лет эти изменения более выражены, чем среди молодых рабочих.

Уровень заболеваемости ишемической болезнью сердца рабочих основных профессий горячих цехов, подвергающихся гипертермическому воздействию, в 3 раза выше, чем у рабочих вспомогательных профессий. При ишемической болезни сердца в 5 раз чаще встречается стенокардия напряжения. Безболевая форма этой болезни наиболее часто наблюдается в возрасте 20 - 29 лет. Пограничная гипертензия у лиц со стажем до 5 лет и артериальная - со стажем до 10 лет встречается соответственно в 12,5 и 7,6 раза чаще, чем у работающих в более благоприятных условиях.

Среди болезней системы кровообращения, ставших причиной инвалидности, основное место занимает ишемическая болезнь сердца (50%), гипертоническая болезнь (14,3%), хронические ревматические болезни сердца (12,7%). Продолжительная гипертермия организма теплокровных животных сопровождается нарушением обмена электролитов в кардиомиоцитах с потерей K+ и существенными изменениями ультраструктуры миокарда, что позволяет оценивать нагревающий микроклимат как фактор, инициирующий развитие миокардиодистрофии. Увеличение соотношения Na+/K+ в слюне обнаружено у женщин, подвергающихся термической нагрузке при работе в хлебопекарном производстве.

Среди заболеваний органов пищеварения ведущее место занимает гастродуоденит, который имеет язвенноподобное течение. Это заболевание рассматривается как предъязвенное состояние.

Болезни органов дыхания простудного характера в структуре заболеваемости с временной нетрудоспособностью составляют до 78%, что существенно выше (в 1,8 - 2,4 раза), чем у не работающих в нагревающей среде. Это обусловлено, например, снижением иммунной реактивности организма, степень которого нарастает с увеличением стажа работы. Согласно имеющимся данным у рабочих практически не развивается адекватная адаптация к нагревающей среде.

Для оценки нагревающего микроклимата (тепловое облучение  1000 Вт/м2) в помещении (вне зависимости от периода года), а также на открытой территории в теплый период года в целях осуществления мероприятий по защите человека от возможного перегревания, используется интегральный показатель - индекс тепловой нагрузки среды (далее - ТНС-индекс), °C. Тепловое облучение тела человека ( 25% его поверхности), превышающее 1000 Вт/м2, характеризует условия труда как вредные и опасные, даже если ТНС-индекс имеет допустимые параметры. Класс условий труда определяется по наиболее выраженному показателю - ТНС-индексу или тепловому облучению. Методы интегральной оценки нагревающего микроклимата (физиологический, теплофизический по ТНС-индексу, математический по уравнению множественной регрессии) представлены в методических документах <40>. Для регламентации работ в нагревающем микроклимате применяются методические документы <41>.


<40> МУК 4.3.2755-10 "Интегральная оценка нагревающего микроклимата", утвержденные руководителем Федеральной службы по надзору в сфере защиты прав потребителей и благополучия человека, Главным государственным санитарным врачом Российской Федерации 12.11.2010.

<41> МР 2.2.8.0017-10 "Режимы труда и отдыха работающих в нагревающем микроклимате в производственном помещении и на открытой местности в теплый период года", утвержденные руководителем Федеральной службы по надзору в сфере защиты прав потребителей и благополучия человека, Главным государственным санитарным врачом Российской Федерации 28.01.2011.

У рабочих, труд которых связан со значительной тепловой и физической нагрузкой, наблюдается интенсивное биологическое старение, особенно в возрастной группе до 50 лет. Наблюдаются головные боли, повышенная потливость и утомляемость. Эпидемиологическими исследованиями выявлено достоверное повышение стандартизованных показателей смертности от заболеваний сердечно-сосудистой системы (табл. П 2.25).

Оценку степени перегревания (по величине накопление тепла в организме) проводят по формуле (35):

, (35)

где: Qтс - тепловое содержание, кДж/кг;

- время, мин;

Tв - температура воздуха, °C;

- относительная влажность воздуха, %;

Vв - скорость ветра, м/сек;

R - тепловое излучение, Вт/м2;

Тод - тип одежды, балл;

Тгу - тип головного убора, балл;

Из.Од. - изоляция одежды, %;

Qэт - энерготраты, Вт/м2.

В табл. П 2.25 и П 2.26 приведены степени хронического перегревания и его последствия в зависимости от класса условий труда.

Таблица П 2.25

Степень перегревания и его последствия (хронический тепловой стресс)

Класс условий трудаПревышение верхней границы оптимального уровня ТНС - индекса, °CПоказатели
Накопление тепла в организме, Qтс, кДж/кг
(верхняя граница)
Напряжение реакций терморегуляцииСнижение физической работоспособности, %Снижение производительности труда, %Относительный риск смерти от болезней
физическая работаумственная работаартерий, артериол, капилляров
(440 - 448)
гипертонической
(401 - 402)
ишемической болезни сердца
(410 - 414)
1- 0,87очень слабое------
23,02,60слабоедо 15до 20до 10-8,2-
33.13,32,75умеренноедо 19до 22до 121,809,21,0
3.24,23,30выраженноедо 25до 27,9до 222,6010,41,8
3,35,54,00сильноедо 29до 36,5до 423,8011,42,5
3.48,05,50очень сильноедо 40до 53до 854,4514,46,2
4более 87,00 и вышечрезвычайное (опасное)до 55 и вышеболее 53более 854,45более 14,4> 6,2

Таблица П 2.26

Влияние тепловой нагрузки среды (повышенная температура и интенсивное тепловое излучение в рабочей зоне) на некоторые показатели здоровья работников (хронический тепловой стресс)

Класс условий трудаНарушение здоровья
После нескольких месяцев (недель) работыПосле 1 года работы
1--
2--
3.1--
3.2--
3.3Тепловое истощение, головная боль, боли в животе, нарушение сна, раздражительность, тахикардия, сыпь, тошнотаПерегрев: тепловой удар, судорожное состояние.
Вегетососудистая дистония по кардиальному и гипертоническому типу. Гипертензия, снижение либидо и потенции, поражение миокарда, не злокачественные болезни органов пищеварения, гипохлоремия.
3.4

В целях уменьшения риска перегревания принимаются различные меры, направленные на уменьшение термической нагрузки как в течение рабочей смены, так и в течение длительного периода трудовой деятельности. Одной из наиболее эффективных мер является ограничение времени пребывания в неблагоприятной среде.

6. Априорная количественная вероятности развития пневмокониоза, связанного с воздействием пылевого фактора.

Результаты расчетов по ней приведены в табл. П 2.27.

Таблица П 2.27

Зависимость уровня заболеваемости пневмокониозом бурильщиков и проходчиков (Кривой Рог) от среднесменной концентрации (ССК) пыли

Средняя за год ССК, мг/м3Среднегодовой уровень заболеваемости пневмокониозом, %Средняя за год ССК, мг/м3Среднегодовой уровень заболеваемости пневмокониозом, %
2,02,0 x 10-534,920
4,0 <*>4,3 x 10-352,740
8,40,263,050
10,40,575,260
11,30,710070
12,31,0113,680
14,92,0154,690
19,95,0199,395
25,710,0208,6100
Примечание:
<*> ПДК для максимально-разовой концентрации (МРК), равной 4,0 мг/м3.

Приложение 3

к Р 2.2.3969-23

ПРИМЕРЫ ПОКАЗАТЕЛЕЙ ТЯЖЕСТИ ПРОФЕССИОНАЛЬНЫХ ЗАБОЛЕВАНИЙ <42> И БОЛЕЗНЕЙ, ПОТЕНЦИАЛЬНО СВЯЗАННЫХ С УСЛОВИЯМИ ТРУДА ДЛЯ ОЦЕНКИ РИСКА ЗДОРОВЬЮ <43>


<42> В соответствии с приложением к приказу Минздрава России от 27.04.2012 N 417н "Об утверждении перечня профессиональных заболеваний".

<43> Методы и данные Всемирной организации здравоохранения (англ. World Health Organization, WHO, ВОЗ) для оценки глобального бремени болезней в 2000 - 2019 гг.: cdn.who.int/media/docs/default-source/gho-documents/global-health-estimates/ghe2019_daly-methods.pdf?sfvrsn=31b25009_(в свободном доступе).

Показатели тяжести профессиональных заболеваний

NПрофессиональные заболеванияКод по МКБ-10Тяжесть
1234
1Злокачественные новообразованияC00 - C960,496
2ПолиневропатииG620,304
3Другие пневмокониозыJ61 - J650,225
4Неинфекционные гастроэнтериты и колитыK520,22
5Поражения головного мозгаG930,219
6Дистония и мононевропатииG24, G56 - G580,214
7Болезни внутреннего ухаH830,193
8КатарактаH260,184
9Хроническая обструктивная легочная болезньJ440,182
10КератитH160,139
11Болезни дыхательных путей, вызванные органической пылью, вдыханием химических веществ, газов, паров, дымов и других внешних агентовJ41, J66 - J68, J700,124
12Пневмокониоз угольщикаJ600,122
13АртрозыM190,112
14Выпадение женских половых органовN810,086
15АстмаJ450,076
16Поражения кожи, вызванные излучениемL58 - 590,076
17Аллергический контактный дерматитL230,069
18Дорсопатии и дорсалгииM53 - 540,063
19Изменения кожи, вызванные ультрафиолетовым излучениемL56 - 570,056
20Кондуктивная и нейросенсорная потеря слухаH900,045
21КрапивницаL500,045
22Болезни носа и носовых синусовJ340,034
23Прогрессирующая близорукость от повышенного напряжения зренияH520,024
24Поражения опорно-двигательного аппаратаM62, M65, M70, M75, M770,023
25Болезни верхних дыхательных путейJ390,006
26Воздействие вибрации (Вибрационная болезнь, связанная с воздействием общей и локальной вибрации)I730,078
G450,055
G560,214
G620,304
M190,112
M620,023

Примеры показателей тяжести болезней, потенциально связанных с условиями труда

NГруппы болезнейКод по МКБ-10Тяжесть
1Невротические, связанные со стрессом и соматоформные расстройстваF40 - F480,261
2Остеопатии и хондропатииM80 - M940,23
3Болезни печениK71 - K770,221
4Полиневропатии и другие поражения периферической нервной системыG60.3, G63, G640,22
5Болезни нервно-мышечного синапса и мышцG70 - G730,2
6Болезни хрусталикаH27, H280,184
7Болезни внутреннего ухаH80 - H820,175
8АртропатииM00 - M18, M20 - M250,13
9Хронические болезни нижних дыхательных путейJ40 - J43; J46, J470,105
10Цереброваскулярные болезниI60 - I690,071
11Болезни, характеризующиеся повышенным кровяным давлениемI10 - I150,062
12Дерматит и экземаL20 - L22, L24 - L300,062
13Деформирующие и другие дорсопатииM40 - M520,053
14Болезни среднего уха и сосцевидного отросткаH65 - H750,026
15Болезни верхних дыхательных путейJ30 - J33, J35 - J380,016
16БесплодиеN46, N970,007

Показатели средневзвешенной тяжести по классам болезней

Классы болезнейКод по МКБ-10Тяжесть
Инфекционные и паразитарные болезниA00 - B990,090
НовообразованияC00 - D480,274
Болезни крови, кроветворных органов и отдельные нарушения, вовлекающие иммунный механизмD50 - D890,042
Болезни эндокринной системы, расстройства питания и нарушения обмена веществE00 - E900,079
Психические расстройства и расстройства поведенияF00 - F990,337
Болезни нервной системыG00 - G990,166
Болезни глаза и его придаточного аппаратаH00 - H590,096
Болезни уха и сосцевидного отросткаH60 - H950,025
Болезни системы кровообращенияI00 - I990,070
Болезни органов дыханияJ00 - J990,018
Болезни органов пищеваренияK00 - K930,042
Болезни кожи и подкожной клетчаткиL00 - L990,064
Болезни костно-мышечной системы и соединительной тканиM00 - M990,079
Болезни мочеполовой системыN00 - N990,097
Врожденные аномалии [пороки развития], деформации и хромосомные нарушенияQ00 - Q990,078

Приложение 4

к Р 2.2.3969-23

ПРИМЕР ОЦЕНКИ КАТЕГОРИИ ПРОФЕССИОНАЛЬНОГО РИСКА С ПРИМЕНЕНИЕМ ТЕОРИИ НЕЧЕТКИХ МНОЖЕСТВ (НЕЧЕТКОЙ ЛОГИКИ)

1. Для условий многофакторного сочетанного воздействия факторов рабочей среды и трудового процесса, способных быть причиной развития как ПЗ, так и болезней, связанных с условиями труда, рассмотрена возможность использования методических подходов к оценкам категории ПР с применением теории нечетких множеств (нечеткой логики). Основным инструментом реализации данного метода является определение принадлежности детерминированных оценок риска к определенным трапециевидным нечетким интервалам, характеризующим категории риска. Трапециевидный нечеткий интервал рассматривается как нормальный нечеткий интервал, функция принадлежности которого задана трапециевидной функцией.

Расчет уровня ПР в условиях воздействия исследуемого комплекса производственных факторов, обусловленного ПЗ и болезнями, связанными с условиями труда (), производится с учетом дополнительной вероятности их развития () и тяжести () по формуле (36):

 (36)

Расчет уровня ПР в условиях воздействия исследуемого комплекса производственных факторов, обусловленного одновременным развитием ПЗ и болезней, связанных с условиями труда (), производится с учетом дополнительной вероятности их одновременного развития () и совместной тяжести () по формуле (37):

 (37)

Совместная тяжесть ПЗ и болезней, связанных с условиями труда, при их одновременном развитии (gПЗ,БСУТ) рассчитывается по формуле (38):

gПЗ.БСУТ = gПЗ + gБСУТ - gПЗ · gБСУТ, (38)

где: gПЗ - тяжесть ПЗ;

gБСУТ - тяжесть болезней, связанных с условиями труда.

Для задач уточнения принадлежности детерминированных величин ПР к его категориям используется шкала трапециевидных нечетких чисел, построенная на основе детерминированной шкалы оценки уровней ПР (табл. П 4.1, рис. П 4.1).

Таблица П 4.1

Шкала трапециевидных нечетких чисел для оценки уровней профессионального риска

Трапециевидные нечеткие числа (четверка чисел, задающая трапециевидное число)Категория профессионального риска
0, 0, 0.00005, 0.00033Пренебрежимо малый риск
0.00005, 0.00033, 0.00078, 0.00325Малый риск
0.00078, 0.00325, 0.0775, 0.015Умеренный риск
0.0775, 0.015, 0.025, 0.0475Средний риск
0.025, 0.0475, 0,0825, 0.15Высокий риск
0.0825, 0.15, 0.25, 0.53Очень высокий риск
0.25, 0.53, 1, 1Экстремально высокий риск

Рис. П 4.1. Графическое представление шкалы трапециевидных нечетких чисел для оценки уровней профессионального риска

Трапециевидные нечеткие числа используются для уточнения принадлежности величины риска к категориям риска, причем если значение величины риска принадлежит меньшему основанию трапециевидного числа, то его степень принадлежности к соответствующему классу равна 1, в других случаях степень принадлежности определяется функцией принадлежности.

Реализация данного метода осуществляется с помощью определения функции принадлежности трапециевидного нечеткого числа, являющегося оценкой принадлежности детерминированных оценок риска к определенной категории риска, которая в общем виде имеет вид (39):

 (39)

С учетом полученных оценок функций принадлежности трапециевидного нечеткого числа (при значении функции ) производится определение уточненных уровней риска (SRk) по формуле (40):

, (40)

где: qi - весовой вклад риска категории i в общий уровень риска;

k - степень значимости категории риска;

 - значение функции принадлежности (), для каждого значения риска 

Весовой вклад риска категории i в общий уровень риска (qi) рассчитывается с помощью формулы Фишберна (41):

qi = 2 (n - i + 1) / (n - 1) n'

i = 1, 2, 3, 4, 5, 6, 7, (41)

где: n - количество категорий риска.

Для уточнения категории риска используется шкала трапециевидных нечетких чисел, представленная в таблице П 4.2.

Таблица П 4.2

Шкала трапециевидных нечетких чисел для уточнения категории профессионального риска по значению функции 

Трапециевидные нечеткие числа (четверка чисел, задающая трапециевидное число)Категория профессионального риска
0, 0, 0.042, 0.125Пренебрежимо малый риск
0.042, 0.125, 0.208, 0.292Малый риск
0.208, 0.292, 0.375, 0.458Умеренный риск
0.375, 0.458, 0.542, 0.625Средний риск
0.542, 0.625, 0.708, 0.792Высокий риск
0.708, 0.792, 0.875, 0.958Очень высокий риск
0.875, 0.958, 1, 1Экстремально высокий риск

Предложенные подходы апробированы на примере оценки ПР работников нефтедобывающей промышленности.

В группу наблюдения вошли операторы по добыче нефти и газа с уровнем шума на рабочих местах 80 - 85 дБА (173 человека, средний возраст - 39,7 лет; средний стаж - 12,7 лет; средний уровень шума - (81,8  0,1) дБА). В группу наблюдения вошли операторы по добыче нефти и газа и инженерно-технологический персонал с уровнем шума на рабочих местах менее 80 дБА (259 человек, средний возраст - 46,8 года; средний стаж - 12,6 лет; средний уровень шума - (72,5  0,3) дБА).

По результатам априорной оценки ПР в соответствии с классом условий труда по фактору шум, риск для работников группы наблюдения относятся к категории - "малый (умеренный) риск"; риск для работников группы сравнения относятся к категории - "пренебрежимо малый (переносимый) риск".

В ходе медицинского осмотра и анализа актов по результатам проведения ПМО среди работников группы наблюдения было выявлено 7 случаев нейросенсорной тугоухости, 40 случаев артериальной гипертензии, 1 случай мигрени, 52 случая нарушений функций вегетативной нервной системы. В группе сравнения выявлены: 1 случай нейросенсорной тугоухости, 66 случаев артериальной гипертензии, 1 случай мигрени, 145 случаев нарушений функций вегетативной нервной системы.

Достоверных причинно-следственных связей болезней, вероятно связанных с условиями труда (артериальной гипертензии, мигрени, нарушений функций вегетативной нервной системы) с экспозицией шумового фактора не выявлено, поэтому дальнейшая оценка уровней ПР проводилась в отношении установленных центром профессиональной патологии случаев нейросенсорной тугоухости.

Вероятность развития нейросенсорной тугоухости составила 3,91 x 10-2 в группе наблюдения и 3,86 x 10-3 в группе сравнения. Дополнительная вероятность развития нейросенсорной тугоухости составила 3,52 x 10-2.

Уровень группового риска с учетом тяжести нейросенсорной тугоухости (0,3) составил 1,13 x 10-2 (категория риска - "средний"), полученный уровень незначительно отличается от малого риска, в связи с чем проведен дальнейший расчет персональных уровней риска и уточнение категории полученных значений риска.

В ходе оценки зависимости "экспозиция - ответ" получены параметры математической модели, отражающие вероятность развития нейросенсорной тугоухости в зависимости от уровня шума, стажа и возраста работников: b0 = 7.35, b1 = 0.00014, b2 = 0.074.

Уровни персонального риска в группе наблюдения, рассчитанные с использованием полученных параметров модели, составили от 1,06 x 10-4 до 1,47 x 10-2. Неприемлемые уровни ПР (выше 1 x 10-3, "умеренный риск" и выше) отмечались у 139 работников из 173 (80,35% от общего числа лиц, находящихся под воздействием шума выше 80 дБА).

Результаты оценки степени принадлежности уровней ПР к определенной категории риска с использованием значений функции принадлежности  и  представлены в таблице П 4.3. В строке "значение рассчитанного уровня риска" представлено распределение работников по результатам оценки персональных уровней риска без использования функций принадлежности  и . В строке "итог уточнения категории риска" представлен результат уточнения категории персональных уровней риска; к той или иной категории риска отнесены работники со значением функций принадлежности от 0,5 до 1 (степень принадлежности к категории риска 50 - 100%).

Таблица П 4.3

Результаты оценки степени принадлежности уровней профессионального риска к определенной категории риска

Критерии включения в категорию риска:Количество работников, включенных в определенную категорию риска (чел.)
МалыйУмеренныйСредний
Значение рассчитанного уровня риска3412415
Значение функции принадлежности 11510
Значение функции принадлежности 8255
Итог уточнения категории риска3412118

Выраженность степени принадлежности значений персонального риска к определенной категории с использованием значений функции принадлежности  и  представлена в таблице П 4.4.

Уточненные уровни риска рассматриваются как базис для обоснования действий по управлению ПР в соответствии с его категорией.

Таблица П 4.4

Выраженность степени принадлежности значений персонального риска к определенной категории с использованием значений функции принадлежности  и

Категория рискаКоличество работников, отнесенных к категории риска (чел.)Степень принадлежности работников к категории риска (чел.)
50 - 70%70 - 99%100%
12345
Малый:3411023
из них на границе с умеренным риском111100
Умеренный:121113476
из них на границе с малым риском267190
из них на границе со средним риском194150
Средний:18765
из них на границе с умеренным риском13760

В результате применения предложенного алгоритма по результатам оценки персонального ПР установлено:

- ПР категорирован как "малый" для 34 работников, 11 из которых находятся на границе с "умеренным риском";

- ПР категорирован как "умеренный" для 121 работника, 26 из которых находятся на границе с "малым" уровнем риска, а 19 на границе со "средним" уровнем риска;

- ПР категорирован как "средний" для 18 работников, 13 из которых находятся на границе с "умеренным" уровнем риска.

Приложение 5

к Р 2.2.3969-23

Таблица П 5.1

Группы риска развития профессиональных заболеваний и болезней, связанных с условиями труда по результатам предварительных и периодических медицинских осмотров

Критерии формирования групп риска \Группы рискаГруппа 1Группа 2Группа 3Группа 4Группа 5
123456
Гигиенические критерии оценки ПР
Класс условий труда2 - допустимый3.13.23.33.4 - 4
баллы011,522
Категория персонального ПР здоровьюПренебрежимо малый, малыйУмеренныйСреднийВысокийОчень высокий, экстремально высокий
баллы01122
Стаж работы в условиях воздействия вредных и (или) опасных производственных факторов <*>< 10 лет> 10 - < 15 лет> 15 - < 20 лет> 20 - < 25 лет> 25 лет
баллы011,522
Медико-биологические критерии ПР
Клинические признаки ПЗ и болезней, связанных с условиями труда <**>ОтсутствуютОтсутствуютИмеются, выявлены ранние признаки ПЗ и болезней, связанных с работой, подтвержденных клиническиИмеются, выявлены ранние признаками ПЗ и болезней, связанных с работой, подтвержденных инструментальными и лабораторными методами обследованияИмеется клиническая картина ПЗ и болезней, связанных с работой, полностью подтвержденных инструментальными и лабораторными методами обследования, отсутствует регресс заболевания после лечебных мероприятий
баллы01357
Коморбидный фон (ХНЗ), симптомы и синдромы, способствующие развитию заболевания при воздействии факторовОтсутствуютВыявлены симптомы и синдромы обратимого характера по данным анкетированияВыявлены симптомы и синдромы обратимого характера по данным анкетирования и медицинского осмотраИмеются ХНЗ по данным анамнеза, медицинского осмотра с подтверждением лабораторными и инструментальными методами обследования, медицинской документациейИмеются ХНЗ по данным анамнеза, медицинского осмотра с подтверждением лабораторными и инструментальными методами обследования, медицинской документацией
баллы00,5122
Факторы риска, связанные с образом жизни:
1 - курение, потребление алкоголя, характер питания;
2 - низкая физическая активность, в том числе нерегулярная;
3 - сменный режим работы, в том числе в ночное время
ОтсутствуютИмеются, факторы риска выявлены по данным анкетированияИмеются, факторы риска выявлены по данным анкетирования и медицинского осмотраИмеются, факторы риска выявлены по данным анкетирования и медицинского осмотра с подтверждением лабораторными и инструментальными методами обследованияИмеются, факторы риска выявлены по данным анкетирования и медицинского осмотра с подтверждением лабораторными и инструментальными методами обследования
баллы00,5122
Медицинский прогноз прогрессирования течения заболеванияБлагоприятный, отсутствуют факторы риска по результатам осмотраБлагоприятный, имеются признаки воздействияОтносительно благоприятный при наличии начальных признаков ПЗНеблагоприятный при наличии медицинских противопоказаний к работеНеблагоприятный при наличии медицинских противопоказаний к работе после проведенного лечения и реабилитации
баллы00,5123
Мероприятия по медицинской профилактике <***>Перевод на другое рабочее место со сниженными уровнями вредного и опасного производственного фактора.
Проведение лечебно-профилактических мероприятий (2 раза в год), в т.ч. СКЛ
Частичное выполнение лечебно-профилактических мероприятий (1 раз в год), в т.ч. СКЛЧастичное выполнение лечебно-профилактических мероприятий (1 раз в год), без СКЛОтсутствуютОтсутствуют
баллы00,5122
Общие мероприятия по снижению риска <***>Дополнительное проведение производственного контроля, СОУТ, обеспечение более эффективными СИЗ и реальное снижение уровней воздействия вредных факторов за счет мероприятийЧастичное выполнение мероприятий в объеме: производственного контроля, СОУТ и обеспечение более эффективными СИЗЧастичное выполнение мероприятий в объеме: производственного контроля и СОУТЧастичное выполнение мероприятий в объеме производственного контроляОтсутствуют
баллы00,511,52
Примечание:
<*> риск развития ПЗ при работе с веществами-аллергенами и инфекционными агентами является высоким и очень высоким уже в течение первого года работы; при формировании группы риска градации стажа работы в условиях воздействия вредных и (или) опасных производственных факторов могут быть скорректированы в зависимости от нозологической формы профессиональной патологии и данных о сроках ее развития, полученных в клинических и эпидемиологических исследованиях;
<**> ранние признаки ПЗ и болезней, связанных с условиями труда, описаны в Федеральных клинических рекомендациях для каждой нозологической формы, утвержденных в установленном порядке;
<***> количество баллов определяется исходя из ранее рекомендованных дополнительных мероприятий.

Таблица П 5.2

Оценка результатов формирования групп риска развития профессиональных заболеваний и болезней, связанных с условиями труда

Группа 1Группа 2Группа 3Группа 4Группа 5
0 - 33,5 - 7,07,5 - 1111,5 - 15более 15

БИБЛИОГРАФИЧЕСКИЕ ССЫЛКИ

1. Трудовой кодекс Российской Федерации от 30 12.2001 N 197-ФЗ.

2. Федеральный закон от 30.03.1999 N 52-ФЗ "О санитарно-эпидемиологическом благополучии населения".

3. Федеральный закон от 21.11.2011 N 323-ФЗ "Об основах охраны здоровья граждан в Российской Федерации".

4. Федеральный закон от 28.12.2013 N 426-ФЗ "О специальной оценке условий труда".

5. Федеральный закон от 24.07.1998 N 125-ФЗ "Об обязательном социальном страховании от несчастных случаев на производстве и профессиональных заболеваний".

6. Федеральный закон от 31.07.2020 N 248-ФЗ "О государственном контроле (надзоре) и муниципальном контроле в Российской Федерации".

7. Федеральный закон от 27.07.2006 N 152-ФЗ "О персональных данных".

8. Федеральный закон от 28.12.2013 N 412-ФЗ "Об аккредитации в национальной системе аккредитации".

9. Постановление Правительства Российской Федерации от 05.07.2022 N 1206 "О порядке расследования и учета случаев профессиональных заболеваний работников".

10. Постановление Правительства Российской Федерации от 02.02.2006 N 60 "Об утверждении Положения о социально-гигиеническом мониторинге".

11. СП 2.2.3670-20 "Санитарно-эпидемиологические требования к условиям труда".

12. СанПиН 1.2.3685-21 "Гигиенические нормативы и требования к обеспечению безопасности и (или) безвредности для человека факторов среды обитания".

13. Приказ Роспотребнадзора от 19.07.2007 N 224 "О санитарно-эпидемиологических экспертизах, обследованиях, исследованиях, испытаниях и токсикологических, гигиенических и иных видах оценок".

14. Приказ Минтруда России/Минздрава России от 31.12.2020 N 988н/1420н "Об утверждении перечня вредных и (или) опасных производственных факторов и работ, при выполнении которых проводятся обязательные предварительные медицинские осмотры при поступлении на работу и периодические медицинские осмотры".

15. Приказ Минздравсоцразвития России от 27.04.2012 N 417н "Об утверждении перечня профессиональных заболеваний".

16. Приказ Минздрава России от 28.01.2021 N 29н "Об утверждении порядка проведения обязательных предварительных и периодических медицинских осмотров работников, предусмотренных частью четвертой статьи 213 Трудового кодекса Российской Федерации, перечня медицинских противопоказаний к осуществлению работ с вредными и (или) опасными производственными факторами, а также работам, при выполнении которых проводятся обязательные предварительные и периодические медицинские осмотры".

17. Приказ Минздрава России от 20.10.2020 N 1130н "Об утверждении Порядка оказания медицинской помощи по профилю "акушерство и гинекология".

18. Приказ Минздравсоцразвития России от 24.04.2008 N 194н "Об утверждении медицинских критериев определения степени тяжести вреда, причиненного здоровью человека".

19. Приказ Минздрава СССР от 04.10.1980 N 1030 "Об утверждении форм первичной медицинской документации учреждений здравоохранения".

20. Р 2.1.10.3968-23 "Руководство по оценке риска здоровью населения праи воздействии химических веществ, загрязняющих среду обитания".

21. Р 2.1.10.1920-04 "Руководство по оценке риска для здоровья населения при воздействии химических веществ, загрязняющих среду обитания".

22. Р 2.2.2006-05 "Руководство по гигиенической оценке факторов рабочей среды и трудового процесса. Критерии и классификация условий труда".

23. Р 1.2.3156-13 "Оценка токсичности и опасности химических веществ и их смесей для здоровья человека".

24. МУК 4.3.2755-10 "Интегральная оценка нагревающего микроклимата".

25. МР 2.2.7.2129-06 "Режимы труда и отдыха работающих в холодное время на открытой территории и в неотапливаемых помещениях".

26. МР 2.2.8.0017-10 "Режимы труда и отдыха работающих в нагревающем микроклимате в производственном помещении и на открытой местности в теплый период года".

27. МР N 11-0/279-09 "Расчет теплоизоляции комплекта индивидуальных средств для защиты работающих от охлаждения и времени допустимого пребывания на холоде".

28. МР 2.2.8.0111-16 "Методика определения должной теплоизоляции обуви и рукавиц, предназначенных для защиты от холода".

29. МР 2.3.8.0017-10 "Режимы труда и отдыха работающих в нагревающем микроклимате в производственном помещении и на открытой местности в теплый период года". Роспотребнадзор. М, 2011.

30. ГОСТ Р ИСО 7243 "Расчет тепловой нагрузки на работающего человека, основанный на показателе WBGT (температура влажного шарика психрометра)".

31. ГОСТ Р ИСО 7029 "Акустика. Статистическое распределение порогов слышимости в зависимости от возраста человека".

32. ГОСТ Р ИСО 1999 "Акустика. Оценка потери слуха вследствие воздействия шума".

33. ГОСТ 31192.1 (ИСО 5349-1) "Вибрация. Измерение локальной вибрации и оценка ее воздействия на человека. Часть 1. Общие требования".

34. ГОСТ 31192.2 (ИСО 5349-2) "Вибрация. Измерение локальной вибрации и оценка ее воздействия на человека. Часть 2. Требования к проведению измерений на рабочих местах".

35. ГОСТ 12.4.176 "Одежда специальная для защиты от теплового излучения. Требования к защитным свойствам и метод определения теплового состояния человека".

36. ICRP. 1974. International Commission on Radiological Protection: Report of the Task Group on Reference Man. Oxford, Pergamon Press (ICRP Publication N. 23). Remark: Reference as cited in WHO/IPCS. 1994.

37. Афанасьева Р.Ф. Тепловой стресс. В кн.: Профессиональный риск. Под ред. Измерова Н.Ф. и Денисова Э.И. М.: Социздат, 2001. С. 120 - 129.

38. Афанасьева Р.Ф., Бессонова Н.А., Бабаян М.А., Лебедева Н.В., Лосик Т.К., Субботин В.В. К обоснованию регламентации термической нагрузки среды на работающих в нагревающем микроклимате (на примере сталеплавильного производства//Ж. Медицина труда и промышленная экология. N 2. 1997. С. 30 - 34.

39. Афанасьева Р.Ф., Бурмистрова О.В. Холодовой стресс, критерии оценки, прогнозирование риска охлаждения человека//Безопасность жизнедеятельности. 2006. N 2. С. 16 - 21.

40. Афанасьева Р.Ф., Никитина Л.С., Думкин В.Н. Заболевания, связанные с воздействием неблагоприятных микроклиматических условий//Руководство по профессиональным заболеваниям./Под ред. П.Ф. Измерова. М., 1996. Т. 2. С. 255 - 273.

41. Булдык Г.М. Теория вероятностей и математическая статистика. Мн.: Высш. шк., 1989.

42. Грацианская Л.Н. Профессиональные полиневриты. Л.: Медгиз, 1960.

43. Исследование веса инвалидности в глобальном бремени болезни в 2019 г. https://ghdx.healthdata.org/record/ihme-data/gbd-2019-disability-weights.

44. Капитанов Ю.Т. Оценка влияния разброса концентраций пыли на уровни заболеваемости пневмокониозом. В сб.: Профилактика профессиональных заболеваний пылевой этиологии. Сб. научн. трудов под ред. Л.Т. Еловской и В.Н. Ожигановой. М.: НИИГТПЗ АМН СССР. Вып. 44. 1991. С. 145 - 156.

45. Лосик Т.К. "Критериальные показатели теплового состояния мужчин и женщин, как физиологическая основа для определения целесообразности дифференцированного подхода к разработке мер профилактики их охлаждения", сб. мат. Всерос. научно-практич. Конф. "Актуальные вопросы организации контроля и надзора за физическими факторами" 25 - 26 мая 2017 г. С. 235 - 239.

46. Мазунина Г.Н. Профессиональные заболевания периферических нервов и мышц рук. Л.: Медицина, 1969.

47. Матюхин В.В., Юшкова О.И., Порошенко А.С. Вероятность развития профессионально обусловленной патологии в зависимости от уровня напряженности труда. В кн.: Профессиональный риск для здоровья работников (Руководство)/Под ред. Н.Ф. Измерова и Э.И. Денисова. М.: Тровант, 2003. С. 207 - 212.

48. Мельцер А.В., Киселев А.В. Гигиеническое обоснование комбинированных моделей оценки профессионального риска//Медицина труда и промышленная экология. 2009. N 4. С. 1 - 5.

49. Мельцер А.В., Элиович И.Г., Якубова И.Ш., Чернякина Т.С. Оценка априорного и апостериорного профессионального риска на предприятии топливно-нефтехимического профиля/Профилактическая медицина-2017: сборник научных трудов Всероссийской научно-практической конференции с международным участием. 6 - 7 декабря 2017 года/под ред. А.В. Мельцера, И.Ш. Якубовой. Ч. 2. СПб.: Изд-во СЗГМУ им. И.И. Мечникова, 2017. 145 - 152.

50. Мельцер А.В., Элиович И.Г. Оценка значимости факторов производственной среды для здоровья работающих методом расчета априорного риска//Медицина труда и промышленная экология. 2017. N 9. С. 125.

51. Мельцер А.В., Ерастова Н.В., Киселев А.В. Гигиеническое обоснование моделей количественной оценки априорного профессионального риска//Профилактическая и клиническая медицина. 2020. N 3 (76). С. 12 - 20.

52. Методы и данные Всемирной организации здравоохранения для оценки глобального бремени болезней в 2000 - 2019 гг. https://cdn.who.int/media/docs/default-source/gho-documents/global-health-estimates/ghe2019_daly-methods.pdf?sfvrsn=3lb25009.

53. Мухин Н.А., Косарев В.В., Бабанов С.А. и др. Профессиональные болезни. М.: ГЭОТАР-медиа. 2013, 496 с.

54. Орлов Г.А., Пьянков С.М., Тюкина А.П. Нейроваскулиты конечностей после охлаждения во влажной среде. М.: Медицина, 1977. С. 151.

55. Рыжов А.Я. Работа в положении стоя и варикозное расширение вен нижних конечностей. В сб.: Профессиональный риск для здоровья работников (Руководство)/Под ред. Н.Ф. Измерова и Э.И. Денисова. М.: Тровант, 2003. С. 204 - 207.

56. Тарасова Л.А., Комлева Л.М., Думкин В.Н., Лосик Т.К. Особенности формирования периферических нейро-сосудистых нарушений у проходчиков в условиях охлаждающего микроклимата. Мед. труда и пром. экология. 1994. N 12. С. 14 - 17.

57. Tomei F. et al. Chronic venous disorders and occupation. Amer. J. Industr. Med. 1999. v. 36. N 5. P. 653 - 665.

58. Tuchsen F. et al. Standing at work and varicose veins//Scand J Work Environ Health. 2000. v. 26. N 5. P. 414 - 420.

59. Хамидулина Х.Х., Дорофеева Е.В., Фесенко М.А. Современные подходы к формированию национального перечня химических веществ, обладающих воздействием на репродуктивную функцию и развитие потомства//Токсикологический вестник. 2014. N 4. С. 2 - 17.

60. Хамидулина Х.Х., Рабикова Д.Н. Разработка национального перечня канцерогенов, мутагенов и репротоксикантов и его внедрение в регулирование обращения химических веществ на территории Российской Федерации и государств Евразийского экономического союза//Гигиена и санитария. 2021. N 99. С. 897 - 902.

61. Шур П.З., Зайцева Н.В., Лир Д.Н. Обоснование методических подходов к количественной оценке риска репродуктивному здоровью, обусловленного вредными факторами производственной среды и трудового процесса//Анализ риска здоровью. 2022. N 1. С. 48 - 57. DOI: 10.21668/health.risk/2022.1.05.

62. Шур П.З., Зайцева Н.В., Хасанова А.А., Четверкина К.В., Костарев В.Г. Совершенствование количественных критериев оценки неканцерогенного риска для здоровья при хроническом ингаляционном поступлении химического вещества//Гигиена и санитария. 2022. 101(11). С. 1412 - 1418. https://doi.org/10.47470/0016-9900-2022-101-11-1412-1418.

63. Юшкова О.И. Методическое обоснование оценки функционального напряжения организма при умственном труде/Юшкова О.И., Матюхин В.В., Бухтияров И.В., Капустина А.В., Порошенко А.С., Калинина С.А., Ониани Х.Т.//Вестник ТвГУ. Серия "Биология и экология". 2014. N 3. С. 15 - 26.

СПРАВОЧНАЯ ИНФОРМАЦИЯ

В Руководстве используются следующие термины и определения:

Анализ риска - структурированный процесс, целью которого является определение как вероятности, так и размеров неблагоприятных последствий исследуемого действия, объекта или системы. В качестве неблагоприятных последствий рассматривается вред, наносимый людям, имуществу или окружающей среде.

Безопасность - отсутствие недопустимого риска.

Беременная работница - беременная женщина, которая информирует работодателя о своем состоянии в установленном законом порядке.

Болезни, связанные с условиями труда (англ. work related diseases) - болезни, по крайней мере, частично связанные с условиями труда, которые не включены в национальный список профессиональных заболеваний, но которые могут быть противопоказанием для трудовой деятельности в определенных условиях.

Вред (англ. harm) - физический ущерб или урон здоровью, имуществу или окружающей среде.

Вредное воздействие на человека - воздействие факторов среды обитания, создающее угрозу жизни или здоровью человека либо угрозу жизни или здоровью будущих поколений.

Вредные условия труда - условия труда, характеризующиеся наличием вредных производственных факторов, превышающих гигиенические нормативы и оказывающих неблагоприятное воздействие на организм работающего и/или его потомство.

Вредный производственный фактор - производственный фактор, воздействие которого на работника может привести к его заболеванию.

Врожденные пороки развития (ВПР, синоним аномалии) - стойкие изменения органа, выходящие за пределы вариации его строения, возникающие внутриутробно или после рождения ребенка.

Гигиенические критерии оценки условий труда - показатели, позволяющие оценить степень отклонений параметров производственной среды и трудового процесса от действующих гигиенических нормативов.

Детородный (репродуктивный) возраст женщины - возраст от 15 до 49 лет.

Допустимый риск - риск, который в данном контексте считается допустимым при существующих общественных ценностях. Рекомендуется пользоваться термином "приемлемый".

Зависимость "экспозиция - (эффект) ответ" - связь между воздействующим уровнем фактора (дозой, концентрацией), режимом, продолжительностью воздействия и степенью выраженности, распространенности изучаемого вредного эффекта для здоровья работников.

Защитная мера - мера, используемая для уменьшения риска.

Здоровье - состояние физического, психического и социального благополучия человека, при котором отсутствуют заболевания, а также расстройства функций органов и систем организма.

Медико-биологические исследования - система наблюдений, оценки и прогноза любых изменений у индивидуума, группы людей или популяции, вызванных воздействием факторов среды обитания антропогенного или природного происхождения.

Мониторинг социально-гигиенический - государственная система наблюдений за состоянием здоровья населения и среды обитания, их анализа, оценки и прогноза, а также определения причинно-следственных связей между состоянием здоровья населения и воздействием факторов среды обитания.

Нарушение здоровья - физическое, душевное или социальное неблагополучие, связанное с потерей, аномалией, расстройством психологической, физиологической, анатомической структуры и (или) функции организма человека.

Неприемлемый риск - риск, который нельзя оправдать, за исключением чрезвычайных обстоятельств.

Опасный производственный фактор - производственный фактор, воздействие которого на работника может привести к его травме.

Опасность (англ. hazard) - источник потенциального вреда или ситуация с потенциальной возможностью нанесения вреда.

Опасное событие (англ. hazardous event) - событие, которое может причинить вред.

Остаточный риск - риск, остающийся после предпринятых защитных мер.

Оценка риска - количественное или качественное определение значения показателя риска.

Показатель тяжести риска здоровью - показатель, характеризующий степень вреда для здоровья человека в относительных единицах (от 0 до 1).

Прерывание беременности (выкидыш) - непреднамеренное прекращение беременности до наступления срока, когда развитие плода достигает способности к внеутробной жизни.

Производственная деятельность - совокупность действий работников с применением средств труда, необходимых для превращения ресурсов в готовую продукцию, включающих в себя производство и переработку различных видов сырья, строительство, оказание различных видов услуг.

Производственный контроль - контроль за соблюдением санитарных правил и выполнением санитарно-противоэпидемических (профилактических) мероприятий и предусматривают обязанности юридических лиц и индивидуальных предпринимателей по выполнению их требования.

Приемлемый риск - уровень риска развития неблагоприятного эффекта, который не требует принятия дополнительных мер по его снижению, и оцениваемый как независимый, незначительный по отношению к рискам, существующим в повседневной деятельности и жизни населения.

Профессиональный риск - вероятность причинения вреда жизни и (или) здоровью работника в результате воздействия на него вредного и (или) опасного производственного фактора при исполнении им своей трудовой функции с учетом возможной тяжести повреждения здоровья. В части профессионального риска здоровью понимается риск, обусловленный профессиональными заболеваниями и/или болезнями, связанными с условиями труда.

Профессиональный риск для репродуктивного здоровья - вероятность причинения вреда с учетом его тяжести в связи с исполнением трудовых обязанностей репродуктивной функции работника, мужчины или женщины, а также развитию внутриутробного плода и здоровью новорожденного в период кормления грудью.

Профессиональное заболевание - хроническое или острое заболевание застрахованного, являющееся результатом воздействия на него вредного (вредных) производственного (производственных) фактора (факторов) и повлекшее временную или стойкую утрату им профессиональной трудоспособности и (или) его смерть.

Профессиональная заболеваемость - показатель числа вновь выявленных в течение года больных с профессиональными заболеваниями и отравлениями, рассчитанный на 10000 работников.

Профилактика - комплекс мероприятий, направленных на сохранение и укрепление здоровья и включающих в себя формирование здорового образа жизни, предупреждение возникновения и (или) распространения заболеваний, их раннее выявление, выявление причин и условий их возникновения и развития, а также направленных на устранение вредного влияния на здоровье человека факторов среды его обитания.

Работник - физическое лицо, вступившее в трудовые отношения с работодателем.

Работница, кормящая грудью - женщина, информирующая работодателя о своем состоянии в установленном законом порядке.

Работодатель - физическое лицо либо юридическое лицо (организация), вступившее в трудовые отношения с работником. В случаях, предусмотренных федеральными законами, в качестве работодателя может выступать иной субъект, наделенный правом заключать трудовые договоры.

Рабочее место - место, где работник должен находиться или куда ему необходимо прибыть в связи с его работой и которое прямо или косвенно находится под контролем работодателя.

Распространение информации о риске (коммуникация о риске) - элемент анализа риска, предусматривающий взаимный обмен информацией между специалистами по оценке риска, лицами, принимающими управленческие решения, средствами массовой информации, заинтересованными группами и широкой общественностью.

Репродуктивная система - совокупность органов и систем организма, обеспечивающих функцию деторождения.

Репродуктивная токсичность - свойство химических веществ нарушать способность к воспроизводству здорового потомства и создавать повышенные риски возникновения заболеваний и других нарушений здоровья у мужчин и женщин, препятствующих зачатию, нормальной беременности, ее течению и исходов, а также пренатальному, интранатальному и постнатальному развитию плода и здоровью детей.

Репродуктивное здоровье - состояние полного физического, умственного и социального благополучия, а не только отсутствие болезней во всех сферах, касающихся репродуктивной системы, ее функций и процессов.

Репротоксикант (Репродуктивный токсикант) - химический, физический или биологический агент, оказывающий вредное воздействие на половую и детородную функцию мужчин или женщин.

Риск (англ. risk) - сочетание (произведение) вероятности (или частоты) нанесения ущерба и тяжести этого ущерба.

Риск групповой (популяционный) - вероятность того, что группа работников одновременно испытает неблагоприятные последствия данных условий труда за год или рабочий стаж с учетом тяжести его последствий.

Риск индивидуальный - вероятность кого-либо из группы пострадать от воздействия данных условий труда за год или рабочий стаж с учетом тяжести его последствий.

Риск персональный (персонифицированный) - вероятность развития за год или рабочий стаж неблагоприятных последствий определенной тяжести, связанных с условиями труда с учетом стажевых, возрастных и биологических характеристик индивидуума.

Специальная оценка условий труда - единый комплекс мероприятий по идентификации вредных и (или) опасных факторов производственной среды и трудового процесса и оценке уровня их воздействия на работника с учетом отклонения их фактических значений от установленных нормативов (гигиенических нормативов) условий труда и применения средств индивидуальной и коллективной защиты работников.

Средства индивидуальной и коллективной защиты работников - технические средства, используемые для предотвращения или уменьшения воздействия на работников вредных и (или) опасных производственных факторов, а также для защиты от загрязнения.

Сценарий воздействия - описание специфических условий экспозиции (например, периодичность, динамику интенсивности воздействия, поступление химических веществ различными путями).

Тяжесть заболевания или состояния - критерий, определяющий степень поражения органов и (или) систем организма человека либо нарушения их функций, обусловленные заболеванием или состоянием либо их осложнением.

Ущерб - нанесение физического повреждения или другого вреда здоровью людей, или вреда имуществу или окружающей среде.

Управление профессиональными рисками - комплекс взаимосвязанных мероприятий, являющихся элементами системы управления охраной труда и включающих в себя меры по выявлению, оценке и снижению уровней профессиональных рисков.

Условия труда - совокупность факторов производственной среды и трудового процесса.

Факторы риска - факторы, провоцирующие или увеличивающие риск развития определенных заболеваний; некоторые факторы могут являться наследственными или приобретенными, но в любом случае их влияние проявляется при определенном воздействии.

Характеристика риска - анализ всех полученных данных, расчетов рисков для популяции и ее отдельных подгрупп, сравнение рисков с допустимыми (приемлемыми) уровнями, сравнительная оценка и ранжирование различных рисков по их статистической, медико-биологической и социальной значимости.

Экспозиция - количественная характеристика интенсивности и продолжительности действия фактора производственной среды.