Приказ Минпромэнерго РФ от 03.02.2005 N 21

"Об утверждении методики расчета нормативных (технологических) потерь электроэнергии в электрических сетях"
Редакция от 03.02.2005 — Документ утратил силу, см. «Приказ Минпромэнерго РФ от 13.09.2005 N 252»

МИНИСТЕРСТВО ПРОМЫШЛЕННОСТИ И ЭНЕРГЕТИКИ РОССИЙСКОЙ ФЕДЕРАЦИИ

ПРИКАЗ
от 3 февраля 2005 г. N 21

ОБ УТВЕРЖДЕНИИ МЕТОДИКИ РАСЧЕТА НОРМАТИВНЫХ (ТЕХНОЛОГИЧЕСКИХ) ПОТЕРЬ ЭЛЕКТРОЭНЕРГИИ В ЭЛЕКТРИЧЕСКИХ СЕТЯХ

Во исполнение п. 2 Постановления Правительства Российской Федерации от 26 февраля 2004 г. N 109 и п. 3 Постановления Правительства Российской Федерации от 27 декабря 2004 г. N 861 приказываю:

1. Утвердить предлагаемую методику расчета нормативных (технологических) потерь электроэнергии в электрических сетях.

2. Контроль за исполнением настоящего Приказа возложить на заместителя Министра промышленности и энергетики Российской Федерации А.Г. Реуса.

Министр
В.Б.ХРИСТЕНКО

УТВЕРЖДЕНА
Приказом
Минпромэнерго России
от 03.02.2005 N 21

МЕТОДИКА
РАСЧЕТА НОРМАТИВНЫХ (ТЕХНОЛОГИЧЕСКИХ) ПОТЕРЬ ЭЛЕКТРОЭНЕРГИИ В ЭЛЕКТРИЧЕСКИХ СЕТЯХ

I. Общие положения

1. Методика предназначена для расчета нормативов технологических потерь электрической энергии в электрических сетях организаций, осуществляющих передачу электрической энергии по электрическим сетям.

2. Нормативы технологических потерь электроэнергии, рассчитанные по данной методике, применяются при расчете платы за услуги по передаче электроэнергии по электрическим сетям.

3. Нормативы технологических потерь электроэнергии в планируемом периоде могут рассчитываться:

- на основе данных о схемах, нагрузках сетей и составе работающего оборудования в планируемом периоде методами расчета потерь, установленными настоящей методикой;

- на основе нормативных характеристик технологических потерь, рассчитанных в соответствии с настоящей методикой на основе расчетов потерь в отчетном (базовом) периоде.

При отсутствии нормативной характеристики допускается определять нормативы потерь в планируемом периоде на основе расчетов потерь в отчетном (базовом) периоде, изменяя нагрузочные потери пропорционально квадрату отношения отпусков электроэнергии в сеть в планируемом и базовом периодах, а потери холостого хода - пропорционально мощности (количеству) работающего оборудования в планируемом и базовом периодах.

4. Термины и определения

а) Фактические (отчетные) потери электроэнергии - разность между электроэнергией, поступившей в сеть, и электроэнергией, отпущенной из сети, определяемая по данным системы учета электроэнергии.

б) Система учета электроэнергии - совокупность измерительных комплексов, обеспечивающих измерение поступления и отпуска электроэнергии из сети и включающих в себя измерительные трансформаторы тока (ТТ), напряжения (ТН), электрические счетчики, соединительные провода и кабели. Измерительные комплексы могут быть объединены в автоматизированную систему учета электроэнергии.

в) Технологические потери электроэнергии - сумма технологических потерь при транспортировке электроэнергии и потерь при реализации электроэнергии.

г) Технологические потери при транспортировке электроэнергии - сумма двух составляющих потерь:

- потерь в линиях и оборудовании электрических сетей, обусловленных физическими процессами, происходящими при передаче электроэнергии в соответствии с техническими характеристиками и режимами работы линий и оборудования (технические потери);

- расхода электроэнергии на собственные нужды подстанций.

д) Потери при реализации электроэнергии - сумма потерь, обусловленных погрешностями системы учета электроэнергии, и потерь, обусловленных хищениями электроэнергии, виновники которых не установлены.

Примечание. Потери, обусловленные хищениями электроэнергии, не являются технической характеристикой электрической сети и системы учета электроэнергии, и их нормативы в данной методике не рассматриваются.

е) Технические потери - сумма трех составляющих потерь в линиях и оборудовании электрических сетей:

- потерь, зависящих от нагрузки электрической сети (нагрузочные потери);

- потерь, зависящих от состава включенного оборудования (условно-постоянные потери);

- потерь, зависящих от погодных условий.

ж) Расход электроэнергии на собственные нужды подстанций -расход электроэнергии, необходимый для обеспечения работы технологического оборудования подстанций и жизнедеятельности обслуживающего персонала.

з) Потери электроэнергии, обусловленные погрешностями системы учета электроэнергии, - суммарный небаланс электроэнергии, обусловленный техническими характеристиками и режимами работы всех измерительных комплексов поступления и отпуска электроэнергии.

и) Норматив технологических потерь электроэнергии - технологические потери электроэнергии (в абсолютных единицах или в процентах установленного показателя), рассчитанные в соответствии с данной методикой при режимах работы, технических параметрах линий, оборудования сетей и системы учета электроэнергии в рассматриваемом периоде.

к) Нормативный метод расчета нагрузочных потерь электроэнергии - метод, использующий при расчете потерь весь объем имеющейся информации о схемах и нагрузках сетей данного напряжения. При увеличении оснащенности сетей средствами измерения и оперативного контроля режимов рекомендуется применение более точных методов из их перечня, установленного методикой.

л) Нормативная характеристика технологических потерь электроэнергии - зависимость норматива технологических потерь электроэнергии от структурных составляющих поступления и отпуска электроэнергии.

II. Методы расчета нормативных (технологических) потерь

5. Методы расчета нагрузочных потерь

5.1. Нагрузочные потери электроэнергии за период Т часов (Д дней) могут быть рассчитаны одним из пяти методов в зависимости от объема имеющейся информации о схемах и нагрузках сетей (методы расположены в порядке снижения точности расчета):

1) оперативных расчетов;

2) расчетных суток;

3) средних нагрузок;

4) числа часов наибольших потерь мощности;

5) оценки потерь по обобщенной информации о схемах и нагрузках сети.

Потери мощности в сети при использовании для расчета потерь электроэнергии методов 1 - 4 рассчитывают на основе заданной схемы сети и нагрузок ее элементов, определенных с помощью измерений или с помощью расчета нагрузок элементов электрической сети в соответствии с законами электротехники.

Потери электроэнергии по методам 2 - 5 должны рассчитываться за каждый месяц расчетного периода с учетом схемы сети, соответствующей данному месяцу. Допускается рассчитывать потери за расчетные интервалы, включающие в себя несколько месяцев, схемы сетей в которых могут рассматриваться как неизменные. Потери электроэнергии за расчетный период определяют как сумму потерь, рассчитанных для входящих в расчетный период месяцев (расчетных интервалов).

5.1.1. Метод оперативных расчетов состоит в расчете потерь электроэнергии по формуле:

(1)

где n - число элементов сети; t_ij - интервал времени, в течение которого токовую нагрузку I_ij i-го элемента сети с сопротивлением R_i принимают неизменной; m - число интервалов времени.

Токовые нагрузки элементов сети определяют на основе данных диспетчерских ведомостей, оперативных измерительных комплексов (ОИК) и автоматизированных систем учета и контроля электроэнергии (АСКУЭ).

5.1.2. Метод расчетных суток состоит в расчете потерь электроэнергии по формуле:

(2)

где W_сут - потери электроэнергии за сутки расчетного месяца со среднесуточным отпуском электроэнергии в сеть W_ср.сут и конфигурацией графиков нагрузки в узлах, соответствующей контрольным замерам; k_л - коэффициент, учитывающий влияние потерь в арматуре воздушных линий и принимаемый равным 1,02 для линий напряжением 110 кВ и выше и равным 1,0 для линий более низких напряжений; - коэффициент формы графика суточных отпусков электроэнергии в сеть (график с числом значений, равным числу дней в месяце контрольных замеров); Д_эквj - эквивалентное число дней в j-м расчетном интервале, определяемое по формуле:

(3)

где W_мi- отпуск электроэнергии в сеть в i-м месяце с числом дней Д_мi; W_м.р - то же, в расчетном месяце; N_j - число месяцев в j-м расчетном интервале.

При расчете потерь электроэнергии за месяц Д_эквj = Д_мi .

Потери электроэнергии за расчетные сутки W_сут определяют как сумму потерь мощности, рассчитанных для каждого часового интервала расчетных суток.

Потери электроэнергии в расчетном периоде определяют как сумму потерь во всех расчетных интервалах года. Допускается определять годовые потери электроэнергии на основе расчета W_сут для зимнего дня контрольных замеров, принимая в формуле (3) N_j = 12.

Коэффициент определяют по формуле:

(4)

где W_i - отпуск электроэнергии в сеть за i-й день месяца; Д_м - число дней в месяце.

При отсутствии данных об отпуске электроэнергии в сеть за каждые сутки месяца коэффициент определяют по формуле:

(5)

где Д_р и Д_н.р - число рабочих и нерабочих дней в месяце (Д_м = Д_р + Д_н.р ); k_w - отношение значений энергии, потребляемой в средний нерабочий и средний рабочий дни k_w = W_н.р : W_р .

5.1.3. Метод средних нагрузок состоит в расчете потерь электроэнергии по формуле:

(6)

где Р_ср - потери мощности в сети при средних за расчетный интервал нагрузках узлов; - коэффициент формы графика суммарной нагрузки сети за расчетный интервал; k_k - коэффициент, учитывающий различие конфигураций графиков активной и реактивной нагрузки различных ветвей сети; Т_j - продолжительность j-го расчетного интервала, ч.

Коэффициент формы графика суммарной нагрузки сети за расчетный интервал определяют по формуле:

(7)

где P_i - значение нагрузки на i-й ступени графика продолжительностью t_i, час; m - число ступеней графика на расчетном интервале; Р_ср - средняя нагрузка сети за расчетный интервал.

Коэффициент k_k в формуле (6) принимают равным 0,99. Для сетей 6 - 20 кВ и радиальных линий 35 кВ вместо значений Р_i и Р_ср в формуле (7) могут использоваться значения тока головного участка I_i и I_ср . В этом случае коэффициент k_k принимают равным 1,02.

Допускается определять коэффициент формы графика за расчетный интервал по формуле:

(8)

где - коэффициент формы суточного графика дня контрольных замеров, рассчитанный по формуле (7); - коэффициент формы графика месячных отпусков электроэнергии в сеть (график с числом значений, равным числу месяцев в расчетном интервале), рассчитываемый по формуле:

(9)

где W_мi - отпуск электроэнергии в сеть за i-й месяц расчетного интервала; W_ср.мес - среднемесячный отпуск электроэнергии в сеть за месяцы расчетного интервала.

При расчете потерь за месяц = 1.

При отсутствии графика нагрузки значение определяют по формуле:

(10)

Коэффициент заполнения графика суммарной нагрузки сети k_3 определяют по формуле:

(11)

где W_о - отпуск электроэнергии в сеть за время Т; Т_max - число часов использования наибольшей нагрузки сети.

Среднюю нагрузку i-го в узла определяют по формуле:

(12)

где W_i - энергия, потребленная (генерированная) в i-м узле за время Т.

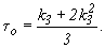
5.1.4. Метод числа часов наибольших потерь мощности состоит в расчете потерь электроэнергии по формуле:

(13)

где Р_max - потери мощности в режиме наибольшей нагрузки сети; _о - относительное число часов наибольших потерь мощности, определенное по графику суммарной нагрузки сети за расчетный интервал.

Относительное число часов наибольших потерь мощности определяют по формуле:

(14)

где Р_max - наибольшее значение из m значений Р_i в расчетном интервале.

Коэффициент k_k в формуле (13) принимают равным 1,03. Для сетей 6 - 20 кВ и радиальных линий 35 кВ вместо значений Р_i и Р_max в формуле (14) могут использоваться значения тока головного участка I_i и I_max . В этом случае коэффициент k_k принимают равным 1,0.

Допускается определять относительное число часов наибольших потерь мощности за расчетный интервал по формуле:

(15)

где _с - относительное число часов наибольших потерь мощности, рассчитанное по формуле (14) для суточного графика дня контрольных замеров.

Значения _м и _N рассчитывают по формулам:

(16)
   
(17)

где W_м.р - отпуск электроэнергии в сеть в расчетном месяце.

При расчете потерь за месяц _N = 1.

При отсутствии графика нагрузки значение _о определяют по формуле:

(18)

5.1.5. Метод оценки потерь по обобщенной информации о схемах и нагрузках сети состоит в расчете потерь электроэнергии на основе зависимостей потерь от суммарной длины и количества линий, суммарной мощности и количества оборудования, полученных на основе технических параметров линий и оборудования или статистических данных.

5.2. Потери электроэнергии должны рассчитываться для характерных рабочих и ремонтных схем. В расчетную схему должны быть включены все элементы сети, потери в которых зависят от ее режима (линии, трансформаторы, высокочастотные заградители ВЧ-связи, токоограничивающие реакторы и т.п.).

5.3. Расчетные значения активных сопротивлений проводов воздушных линий (ВЛ) R_п определяют с учетом температуры провода t_п, град. С, зависящей от средней за расчетный период температуры окружающего воздуха t_в и плотности тока в проводе j, А/мм2 :

(19)

где R_20 - стандартное справочное сопротивление провода сечением F, мм2, при t_п = 20 град. С.

Примечание. При отсутствии данных о средней плотности тока за расчетный период в каждом элементе электрической сети принимают расчетное значение j = 0,5 А/мм2 .

5.4. Потери электроэнергии в соединительных проводах и сборных шинах распределительных устройств подстанций (СППС) определяют по формуле:

(20)

где F - среднее сечение проводов (шин); L - суммарная

протяженность проводов (шин) на подстанции; j - плотность тока.

При отсутствии данных о параметрах, используемых в формуле (20), расчетные потери в СППС принимают в соответствии с табл. П.1 приложения 1 и относят их к условно-постоянным потерям.

5.5. Потери электроэнергии в измерительных трансформаторах тока (ТТ) определяют по формуле:

(21)

где Р_ТТном - потери в ТТ при номинальной нагрузке; _ТТср - среднее значение коэффициента токовой загрузки ТТ за расчетный период.

При отсутствии данных о параметрах, используемых в формуле (21), расчетные потери в ТТ принимают в соответствии с табл. П.3 приложения 1 и относят их к условно-постоянным потерям.

6. Нормативные методы расчета нагрузочных потерь

6.1. Нормативным методом расчета нагрузочных потерь электроэнергии в сетях 330 - 750 кВ является метод оперативных расчетов.

6.2. Нормативными методами расчета нагрузочных потерь электроэнергии в сетях 35 - 220 кВ являются:

- при отсутствии реверсивных потоков энергии по межсетевым связям 35 - 220 кВ - метод расчетных суток;

- при наличии реверсивных потоков энергии - метод средних нагрузок. При этом все часовые режимы в расчетном периоде разделяют на группы с одинаковыми направлениями потоков энергии. Расчет потерь проводят методом средних нагрузок для каждой группы режимов.

При отсутствии данных о потреблении энергии на подстанциях 35 кВ временно допускается применение для расчетов потерь в этих сетях метода наибольших потерь мощности.

6.3. Нормативным методом расчета нагрузочных потерь электроэнергии в сетях 6 - 20 кВ является метод средних нагрузок.

При отсутствии информации о потреблении энергии на ТП 6 - 20 / 0,4 кВ допускается определять их нагрузки, распределяя энергию головного участка (за вычетом энергии по ТП, где она известна, и потерь в сети 6 - 20 кВ) пропорционально номинальным мощностям или коэффициентам максимальной загрузки трансформаторов ТП.

При отсутствии электрических счетчиков на головных участках фидеров 6 - 20 кВ временно допускается применение для расчетов потерь в этих сетях метода наибольших потерь мощности.

6.4. Нормативным методом расчета нагрузочных потерь электроэнергии в сетях 0,38 кВ является метод оценки потерь на основе зависимостей потерь от обобщенной информации о схемах и нагрузках сети, изложенный ниже.

Потери электроэнергии в линии 0,38 кВ с сечением головного участка F_г, мм2, отпуском электрической энергии в линию W_0,38, за период Д, дней, рассчитывают по формуле:

(22)

где L_экв - эквивалентная длина линии; tg - коэффициент реактивной мощности; k_0,38 - коэффициент, учитывающий характер распределения нагрузок по длине линии и неодинаковость нагрузок фаз.

Эквивалентную длину линии определяют по формуле:

(23)

где L_М - длина магистрали; L_(2 - 3) - длина двухфазных и трехфазных ответвлений; L_1 - длина однофазных ответвлений.

Примечание. Под магистралью понимается наибольшее расстояние от шин 0,4 кВ распределительного трансформатора 6 - 20 / 0,4 кВ до наиболее удаленного потребителя, присоединенного к трехфазной или двухфазной линии.

Внутридомовые сети многоэтажных зданий (до счетчиков электрической энергии) включают в длину ответвлений соответствующей фазности.

При наличии стальных или медных проводов в магистрали или ответвлениях в формулу (23) подставляют длины линий, определяемые по формуле:

(24)

где L_a, L_c и L_м - длины алюминиевых, стальных и медных проводов, соответственно.

Коэффициент k_0,38 определяют по формуле:

(25)

где d_p - доля энергии, отпускаемой населению; k_u - коэффициент, принимаемый равным 1 для линии 380/220 В и равным 3 для линии 220/127 В.

При использовании формулы (22) для расчета потерь в N линиях с суммарными длинами магистралей L_М, двухфазных и трехфазных ответвлений L_(2 - 3) и однофазных ответвлений L_1 в формулу подставляют средний отпуск электроэнергии в одну линию W_0,38 = W_0,38 / N, где W_0,38 - суммарный отпуск энергии в N линий и среднее сечение головных участков, а коэффициент k_0,38, определенный по формуле (25), умножают на коэффициент k_N, учитывающий неодинаковость длин линий и плотностей тока на головных участках линий, определяемый по формуле:

(26)

При отсутствии данных о коэффициенте заполнения графика и (или) коэффициенте реактивной мощности принимают k_з = 0,3; tg = 0,6.

При отсутствии учета электроэнергии, отпускаемой в линии 0,38 кВ, ее значение определяют, вычитая из энергии, отпущенной в сеть 6 - 20 кВ, потери в линиях и трансформаторах 6 - 20 кВ и энергию, отпущенную в ТП 6 - 20 / 0,4 кВ и линии 0,38 кВ, находящиеся на балансе потребителей.

7. Методы расчета условно-постоянных потерь

7.1. К условно-постоянным потерям электроэнергии относятся:

- потери холостого хода в силовых трансформаторах (автотрансформаторах) и трансформаторах дугогасящих реакторов;

- потери в оборудовании, нагрузка которого не имеет прямой связи с суммарной нагрузкой сети (регулируемые компенсирующие устройства);

- потери в оборудовании, имеющем одинаковые параметры при любой нагрузке сети (нерегулируемые компенсирующие устройства, вентильные разрядники (РВ), ограничители перенапряжений (ОПН), устройства присоединения ВЧ-связи (УПВЧ), измерительные трансформаторы напряжения (ТН), включая их вторичные цепи, электрические счетчики 0,22 - 0,66 кВ и изоляция силовых кабелей).

7.2. Потери электроэнергии холостого хода в силовом трансформаторе (автотрансформаторе) определяют на основе приведенных в паспортных данных оборудования потерь мощности холостого хода P_х по формуле:

(27)

где Т_pi - число часов работы оборудования в i-м режиме; U_i - напряжение на оборудовании в i-м режиме; U_ном - номинальное напряжение оборудования.

Напряжение на оборудовании определяют с помощью измерений или с помощью расчета установившегося режима сети в соответствии с законами электротехники.

7.3. Потери электроэнергии в шунтирующем реакторе (ШР) определяют по формуле (27) на основе приведенных в паспортных данных потерь мощности Р_p. Допускается определять потери в ШР на основе данных табл. П.1 приложения 1.

7.4. Потери электроэнергии в синхронном компенсаторе (СК) или генераторе, переведенном в режим СК, определяют по формуле:

(28)

где _Q - коэффициент максимальной нагрузки СК в расчетном периоде; Р_ном - потери мощности в режиме номинальной загрузки СК в соответствии с паспортными данными.

Допускается определять потери в СК на основе данных табл. П.2 приложения 1.

7.5. Потери электроэнергии в статических компенсирующих устройствах (КУ) - батареях конденсаторов (БК) и статических тиристорных компенсаторах (СТК) - определяют по формуле:

(29)

где p_КУ - удельные потери мощности в соответствии с паспортными данными КУ; S_КУ - мощность КУ (для СТК принимается по емкостной составляющей).

При отсутствии паспортных данных значение p_КУ принимают равным для БК 0,003 кВт/квар, для СТК 0,006 кВт/квар.

7.6. Потери электроэнергии в вентильных разрядниках, ограничителях перенапряжений, устройствах присоединения ВЧ-связи, измерительных трансформаторах напряжения, электрических счетчиках 0,22 - 0,66 кВ и изоляции силовых кабелей принимают в соответствии с данными заводов - изготовителей оборудования. При отсутствии данных завода-изготовителя расчетные потери принимают в соответствии с приложением 1 к настоящей Методике.

8. Методы расчета потерь, зависящих от погодных условий

8.1. Потери, зависящие от погодных условий, включают в себя три вида потерь:

- на корону;

- от токов утечки по изоляторам воздушных линий;

- расход электроэнергии на плавку гололеда.

8.2. Потери электроэнергии на корону определяют на основе данных об удельных потерях мощности, приведенных в табл. 1, и о продолжительностях видов погоды в течение расчетного периода. При этом к периодам хорошей погоды (для целей расчета потерь на корону) относят погоду с влажностью менее 100% и гололед; к периодам влажной погоды - дождь, мокрый снег, туман.

Таблица 1

Удельные потери мощности на корону

Напряжение ВЛ, тип опоры, число и сечение проводов в фазе Суммарное сечение проводов в фазе, мм2 Потери мощности на корону, кВт/км, при погоде:
хорошая сухой снег влажная изморозь
750 - 5 x 240 1200 3,9 15,5 55,0 115,0
750 - 4 x 600 2400 4,6 17,5 65,0 130,0
500 - 3 x 400 1200 2,4 9,1 30,2 79,2
500 - 8 x 300 2400 0,1 0,5 1,5 4,5
330 - 2 x 400 800 0,8 3,3 11,0 33,5
220ст - 1 х 300 300 0,3 1,5 5,4 16,5
220ст / 2 - 1 х 300 300 0,6 2,8 10,0 30,7
220жб - 1 x 300 300 0,4 2,0 8,1 24,5
220жб / 2 - 1 х 300 300 0,8 3,7 13,3 40,9
220 - 3 x 500 1500 0,02 0,05 0,27 0,98
154 - 1 x 185 185 0,12 0,35 1,20 4,20
154 / 2 - 1 x 185 185 0,17 0,51 1,74 6,12
110ст - 1 х 120 120 0,013 0,04 0,17 0,69
110ст / 2 - 1 х 120 120 0,015 0,05 0,25 0,93
110жб - 1 х 120 120 0,018 0,06 0,30 1,10
110жб / 2 - 1 х 120 120 0,020 0,07 0,35 1,21

Примечания.

1. Вариант 500 - 8 x 300 соответствует линии 500 кВ, построенной в габаритах 1150 кВ, вариант 220 - 3 x 500 - линии 220 кВ, построенной в габаритах 500 кВ.

2. Варианты 220 / 2 - 1 x 300, 154 / 2 - 1 x 185 и 110 / 2 - 1 x 120 соответствуют двухцепным линиям. Потери во всех случаях приведены в расчете на одну цепь.

3. Индексы "ст" и "жб" обозначают стальные и железобетонные опоры.

8.3. При отсутствии данных о продолжительностях видов погоды в течение расчетного периода потери электроэнергии на корону определяют по табл. 2 в зависимости от региона расположения линии. Распределение территориальных образований Российской Федерации по регионам для целей расчета потерь, зависящих от погодных условий, приведено в приложении 2 к настоящей Методике.

Таблица 2

Удельные годовые потери электроэнергии на корону

Напряжение ВЛ, кВ, число и сечение проводов в фазе Удельные потери электроэнергии на корону, тыс. кВт.ч/км в год, в регионе
1 2 3 4 5 6 7
750 - 5 x 240 193,3 176,6 163,8 144,6 130,6 115,1 153,6
750 - 4 x 600 222,5 203,9 189,8 167,2 151,0 133,2 177,3
500 - 3 x 400 130,3 116,8 106,0 93,2 84,2 74,2 103,4
500 - 8 x 300 6,6 5,8 5,2 4,6 4,1 3,5 5,1
330 - 2 x 400 50,1 44,3 39,9 35,2 32,1 27,5 39,8
220ст - 1 х 300 19,4 16,8 14,8 13,3 12,2 10,4 15,3
220ст / 2 - 1 х 300 36,1 31,2 27,5 24,7 22,7 19,3 28,5
220жб - 1 х 300 28,1 24,4 21,5 19,3 17,7 15,1 22,2
220жб / 2 - 1 x 300 48,0 41,5 36,6 32,9 30,2 25,7 37,9
220 - 3 x 500 1,3 1,1 1,0 0,9 0,8 0,7 1,0
154 - 1 x 185 7,2 6,3 5,5 4,9 4,6 3,9 5,7
154 / 2 - 1 x 185 10,4 9,1 8,0 7,1 6,8 5,7 8,3
110ст - 1 х 120 1,07 0,92 0,80 0,72 0,66 0,55 0,85
110ст / 2 - 1 х 120 1,42 1,22 1,07 0,96 0,88 0,73 1,13
110жб - 1 х 120 1,71 1,46 1,28 1,15 1,06 0,88 1,36
110жб / 2 - 1 х 120 1,85 1,59 1,39 1,25 1,14 0,95 1,47

Примечание. Значения потерь, приведенные в табл. 2 и 4, соответствуют году с числом дней 365. При расчете нормативных потерь в високосном году применяется коэффициент к = 366 / 365.

8.4. При расчете потерь на линиях с сечениями, отличающимися от приведенных в табл. 1, расчетные значения, приведенные в таблицах 1 и 2, умножают на отношение F_т / F_ф, где F_т - суммарное сечение проводов фазы, приведенное в табл. 1; F_ф - фактическое сечение проводов линии.

8.5. Влияние рабочего напряжения линии на потери на корону учитывают, умножая данные, приведенные в таблицах 1 и 2, на коэффициент, определяемый по формуле:

(30)

где U_отн - отношение рабочего напряжения линии к его номинальному значению.

8.6. Потери электроэнергии от токов утечки по изоляторам воздушных линий определяют на основе данных об удельных потерях мощности, приведенных в табл. 3, и о продолжительностях видов погоды в течение расчетного периода.

По влиянию на токи утечки виды погоды должны объединяться в 3 группы: 1 группа - хорошая погода с влажностью менее 90%, сухой снег, изморозь, гололед; 2 группа - дождь, мокрый снег, роса, хорошая погода с влажностью 90% и более; 3 группа - туман.

Таблица 3

Удельные потери мощности от токов утечки по изоляторам ВЛ

Группа погоды Потери мощности от токов утечки по изоляторам, кВт/км, на ВЛ напряжением, кВ
6 10 15 20 35 60 110 154 220 330 500 750
1 0,011 0,017 0,025 0,033 0,035 0,044 0,055 0,063 0,069 0,103 0,156 0,235
2 0,094 0,153 0,227 0,302 0,324 0,408 0,510 0,587 0,637 0,953 1,440 2,160
3 0,154 0,255 0,376 0,507 0,543 0,680 0,850 0,978 1,061 1,587 2,400 3,600

8.7. При отсутствии данных о продолжительностях различных погодных условий годовые потери электроэнергии от токов утечки по изоляторам воздушных линий принимают по данным табл. 4.

Таблица 4

Удельные годовые потери электроэнергии от токов утечки по изоляторам ВЛ

Номер региона Потери электроэнергии от токов утечки по изоляторам ВЛ, тыс. кВт.ч/км в год, при напряжении, кВ
6 10 15 20 35 60 110 154 220 330 500 750
1 0,21 0,33 0,48 0,64 0,69 0,86 1,08 1,24 1,35 2,01 3,05 4,58
2 0,22 0,35 0,52 0,68 0,73 0,92 1,15 1,32 1,44 2,15 3,25 4,87
3 0,28 0,45 0,67 0,88 0,95 1,19 1,49 1,71 1,86 2,78 4,20 6,31
4 0,31 0,51 0,75 1,00 1,07 1,34 1,68 1,93 2,10 3,14 4,75 7,13
5 0,27 0,44 0,65 0,87 0,92 1,17 1,46 1,68 1,82 2,72 4,11 6,18
6 0,22 0,35 0,52 0,68 0,73 0,92 1,15 1,32 1,44 2,15 3,25 4,87
7 0,16 0,26 0,39 0,51 0,55 0,69 0,86 0,99 1,08 1,61 2,43 3,66

8.8. Нормативный расход электроэнергии на плавку гололеда определяют по табл. 5 в зависимости от района расположения ВЛ по гололеду (гл. 2.5 ПУЭ).

Таблица 5

Удельный расход электроэнергии на плавку гололеда

Число проводов в фазе и сечение, мм2 Суммарное сечение проводов в фазе, мм2 Расчетный расход электроэнергии на плавку гололеда, тыс. кВт.ч/км в год, в районе по гололеду:
1 2 3 4
4 x 600 2400 0,171 0,236 0,300 0,360
8 x 300 2400 0,280 0,381 0,479 0,571
3 x 500 1500 0,122 0,167 0,212 0,253
5 x 240 1200 0,164 0,223 0,280 0,336
3 x 400 1200 0,114 0,156 0,197 0,237
2 x 400 800 0,076 0,104 0,131 0,158
2 x 300 600 0,070 0,095 0,120 0,143
1 x 330 330 0,036 0,050 0,062 0,074
1 x 300 300 0,035 0,047 0,060 0,071
1 x 240 240 0,033 0,046 0,056 0,067
1 x 185 185 0,030 0,041 0,051 0,061
1 x 150 150 0,028 0,039 0,053 0,064
1 x 120 120 0,027 0,037 0,046 0,054
1 x 95 95 0,024 0,031 0,038 0,044

9. Расход электроэнергии на собственные нужды подстанций

Расход электроэнергии на собственные нужды подстанций определяют на основе приборов учета, установленных на трансформаторах собственных нужд (ТСН). При установке прибора учета на шинах 0,4 кВ ТСН потери в ТСН, рассчитанные в соответствии с данной методикой, должны быть добавлены к показанию счетчика.

III. Методы расчета потерь, обусловленных погрешностями системы учета электроэнергии

10. Потери электроэнергии, обусловленные погрешностями системы учета электроэнергии, рассчитывают как сумму значений, определенных для каждой точки учета поступления электроэнергии в сеть и отпуска электроэнергии из сети по формуле:

(31)

где _ТТ - токовая погрешность ТТ, %, при коэффициенте токовой загрузки _ТТ; _ТН - погрешность ТН по модулю напряжения, %; _тх - погрешность трансформаторной схемы подключения счетчика, %, при коэффициенте токовой загрузки _ТТ; _сч - погрешность счетчика, %; U_ТН - потеря напряжения во вторичной цепи ТН, %; W - энергия, зафиксированная счетчиком за расчетный период.

10.1. Погрешность трансформаторной схемы подключения счетчика определяют по формуле:

(32)

где Тх_I - угловая погрешность ТТ, мин., при коэффициенте токовой загрузки _ТТ; Тх_U - угловая погрешность ТН, мин.; tg_ - коэффициент реактивной мощности контролируемого присоединения.

10.2. Коэффициент токовой загрузки ТТ за расчетный период определяют по формуле:

(33)

где U_ном и I_ном - номинальные напряжение и ток первичной обмотки ТТ.

10.3. Значения погрешностей в формулах (31) и (32) определяют на основе данных метрологической поверки. При отсутствии данных о фактических погрешностях измерительных комплексов допускается проводить расчет потерь электроэнергии, обусловленных погрешностями системы учета электроэнергии, в соответствии с Приложением 3 к настоящей Методике.

IV. Методы расчета нормативных характеристик технологических потерь электроэнергии

11. Нормативную характеристику технологических потерь электроэнергии определяют на основе расчета потерь в базовом периоде методами, изложенными в разделах II и III настоящей Методики, и используют для определения норматива потерь на плановый период.

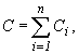
11.1. Нормативная характеристика технологических потерь электроэнергии имеет вид:

(34)

где W_i(j) - значения показателей (поступления и отпуска электроэнергии), отражаемых в отчетности; n - число показателей; W_o - отпуск электроэнергии в сеть; Д - число дней расчетного периода, которому соответствуют задаваемые значения энергии; А, В и С - коэффициенты, отражающие составляющие потерь: А_ij и B_i - нагрузочные потери, С_пост - условно-постоянные потери, С_пог - потери, зависящие от погодных условий, С_с.н. - расход электроэнергии на собственные нужды подстанций, В_уч - потери, обусловленные погрешностями системы учета электроэнергии.

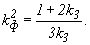
11.2. Нормативную характеристику нагрузочных потерь электроэнергии в замкнутых сетях определяют на основе предварительно рассчитанной характеристики нагрузочных потерь мощности, имеющей вид:

(35)

где Р_i(j) - значения мощностей, соответствующих показателям, отраженным в формуле (34); a_ij и b_i коэффициенты нормативной характеристики потерь мощности.

11.3. Преобразование коэффициентов характеристики потерь мощности в коэффициенты характеристики потерь электроэнергии производят по формулам:

(36)
   
B_i = b_i (37)

11.4. Для составляющих нормативной характеристики, содержащих произведения значений энергии, значение вычисляют по формуле:

(38)

где k_фi и k_фj - коэффициенты формы i-го и j-го графиков активной мощности; r_ij - коэффициент корреляции i-го и j-го графиков, рассчитываемый по данным ОИК. При отсутствии расчетов r_ij принимают = 1.

11.5. Коэффициент С_пост определяют по формуле:

(39)

где W_пост - условно-постоянные потери электроэнергии в базовом периоде.

11.6. Коэффициент С_пог определяют по формуле:

(40)

где W_пост - потери электроэнергии, зависящие от погодных условий, в базовом периоде.

11.7. Коэффициент С_с.н определяют по формуле:

(41)

где W_с.н - расход электроэнергии на собственные нужды подстанций в базовом периоде.

11.8. Коэффициент В_уч определяют по формуле:

(42)

где W_уч - потери, обусловленные погрешностями системы учета электроэнергии, в базовом периоде.

11.9. Нормативная характеристика нагрузочных потерь электроэнергии в радиальных сетях имеет вид:

(43)

где W_U - отпуск электроэнергии в сеть напряжением U за Д дней; А_U - коэффициент нормативной характеристики.

11.10. Коэффициент А_U нормативной характеристики (43) определяют по формуле:

(44)

где W_нU - нагрузочные потери электроэнергии в сети напряжением U в базовом периоде.

11.11. Коэффициенты А и С (С_пост, С_пог и С_с.н) для радиальных сетей 6 - 35 кВ в целом по их значениям, рассчитанным для входящих в сеть линий (А_i и С_i), определяют по формулам:

(45)
   
(46)

где W_i - отпуск электроэнергии в i-ю линию; W_ - то же, в сеть в целом; n - количество линий. Коэффициенты A_i и С_i должны быть рассчитаны для всех линий сети. Их определение на основе расчета ограниченной выборки линий не допускается.

11.12. Коэффициент А для сетей 0,38 кВ рассчитывают по формуле (43), в которую в качестве W_нU подставляют значение суммарных нагрузочных потерь во всех линиях 0,38 кВ W_(н 0,38), рассчитанных по формуле (22) с учетом формулы (26).

Приложение N 1
к Методике расчета
нормативных (технологических)
потерь электроэнергии
в электрических сетях

РАСЧЕТНЫЕ ПОТЕРИ ЭЛЕКТРОЭНЕРГИИ В ОБОРУДОВАНИИ

1. Таблица П.1. Потери электроэнергии в шунтирующих реакторах (ШР) и соединительных проводах и сборных шинах распределительных устройств подстанций (СППС)

Вид оборудования Удельные потери энергии при напряжении, кВ
6 10 15 20 35 60 110 154 220 330 500 750
ШР, тыс.кВт.ч/МВА в год 84 84 74 65 36 35 32 31 29 26 20 19
СППС, тыс.кВт.ч/ подстанцию в год 1,3 1,3 1,3 1,3 3 6 11 18 31 99 415 737

Примечание. Значения потерь, приведенные в приложении 1, соответствуют году с числом дней 365. При расчете нормативных потерь в високосном году применяется коэффициент к = 366 / 365.

2. Таблица П.2. Потери электроэнергии в синхронных компенсаторах

Вид оборудования Потери энергии, тыс. кВт.ч в год, при номинальной мощности СК, МВА
5 7,5 10 15 30 50 100 160 320
СК 400 540 675 970 1570 2160 3645 4725 10260

Примечание. При мощности СК, отличной от приведенной в табл. П.2, потери определяют с помощью линейной интерполяции.

3. Таблица П.3. Потери электроэнергии в вентильных разрядниках (РВ), ограничителях перенапряжений (ОПН), измерительных трансформаторах тока (ТТ) и напряжения (ТН) и устройствах присоединения ВЧ-связи (УПВЧ)

Вид оборудования Потери электроэнергии, тыс. кВт.ч/год, при напряжении оборудования, кВ
6 10 15 20 35 60 110 154 220 330 500 750
РВ 0,009 0,021 0,033 0,047 0,091 0,27 0,60 1,05 1,59 3,32 4,93 4,31
ОПН 0,001 0,001 0,002 0,004 0,013 0,10 0,22 0,40 0,74 1,80 3,94 8,54
ТТ 0,06 0,1 0,15 0,2 0,4 0,6 1,1 1,5 2,2 3,3 5,0 7,5
ТН 1,54 1,9 2,35 2,7 3,6 6,2 11,0 11,8 13,1 18,4 28,9 58,8
УПВЧ 0,01 0,01 0,01 0,02 0,02 0,12 0,22 0,30 0,43 2,12 3,24 4,93

Примечание 1. Потери электроэнергии в УПВЧ даны на одну фазу, для остального оборудования - на три фазы.

Примечание 2. Потери электроэнергии в ТТ напряжением 0,4 кВ принимают равными 0,05 тыс. кВт.ч/год.

4. Потери электроэнергии в электрических счетчиках 0,22 - 0,66 кВ принимают в соответствии со следующими данными, кВт.ч в год на один счетчик:

однофазный, индукционный - 18,4;

трехфазный, индукционный - 92,0;

однофазный, электронный - 21,9;

трехфазный, электронный - 73,6.

5. Таблица П.4. Потери электроэнергии в изоляции кабелей

Сечение, мм2 Потери электроэнергии в изоляции кабеля, тыс. кВт.ч/км в год, при номинальном напряжении, кВ
6 10 20 35 110 220
10 0,14 0,33        
16 0,17 0,37        
25 0,26 0,55 1,18      
35 0,29 0,68 1,32      
50 0,33 0,75 1,52      
70 0,42 0,86 1,72 4,04    
95 0,55 0,99 1,92 4,45    
120 0,60 1,08 2,05 4,66 26,6  
150 0,67 1,17 2,25 5,26 27,0  
185 0,74 1,28 2,44 5,46 29,1  
240 0,83 1,67 2,80 7,12 32,4  
300         35,2 80,0
400         37,4 90,0
500         44,4 100,0
625         49,3 108,0
800         58,2 120,0

Приложение N 2
к Методике расчета
нормативных (технологических)
потерь электроэнергии
в электрических сетях

РАСПРЕДЕЛЕНИЕ ТЕРРИТОРИАЛЬНЫХ ОБРАЗОВАНИЙ РОССИЙСКОЙ ФЕДЕРАЦИИ ПО РЕГИОНАМ ДЛЯ ЦЕЛЕЙ РАСЧЕТА ПОТЕРЬ, ЗАВИСЯЩИХ ОТ ПОГОДНЫХ УСЛОВИЙ

Номер региона Территориальные образования, входящие в регион
1 Республика Саха - Якутия, Хабаровский край Области: Камчатская, Магаданская, Сахалинская
2 Республики: Карелия, Коми Области: Архангельская, Калининградская, Мурманская
3 Области: Вологодская, Ленинградская, Новгородская, Псковская
4 Республики: Марий Эл, Мордовия, Татария, Удмуртия, Чувашская Области: Белгородская, Брянская, Владимирская, Воронежская, Ивановская, Калужская, Кировская, Костромская, Курская, Липецкая, Московская, Нижегородская, Орловская, Пензенская, Пермская, Рязанская, Самарская, Саратовская, Смоленская, Тамбовская, Тверская, Тульская, Ульяновская, Ярославская
5 Республики: Дагестан, Ингушетия, Кабардино-Балкария, Карачаево-Черкесская, Калмыкия, Северная Осетия, Чечня Края: Краснодарский, Ставропольский Области: Астраханская, Волгоградская, Ростовская
6 Республика Башкирия Области: Курганская, Оренбургская, Челябинская
7 Республики: Бурятия, Хакасия Края: Алтайский, Красноярский, Приморский Области: Амурская, Иркутская, Кемеровская, Новосибирская, Омская, Свердловская, Томская, Тюменская, Читинская

Приложение N 3
к Методике расчета
нормативных (технологических)
потерь электроэнергии
в электрических сетях

РАСЧЕТ ПОТЕРЬ, ОБУСЛОВЛЕННЫХ ПОГРЕШНОСТЯМИ СИСТЕМЫ УЧЕТА ЭЛЕКТРОЭНЕРГИИ

П.3.1. Потери электроэнергии, обусловленные погрешностями системы учета электроэнергии, определяют на основе данных о классах точности ТТ - К_ТТ, ТН - К_ТН, счетчиков - К_сч, коэффициентах токовой загрузки ТТ - _ТТ и сроках службы счетчиков после последней поверки - Т_пов, лет. Приведенные ниже зависимости средних погрешностей ТТ, ТН и счетчиков применяют только для расчета суммарного недоучета по электрической сети в целом. Эти зависимости не допускается применять для корректировки показаний счетчика в конкретной точке учета.

П.3.2. Потери электроэнергии, обусловленные погрешностями системы учета электроэнергии, рассчитывают как сумму значений, определенных для каждой точки учета поступления электроэнергии в сеть и отпуска электроэнергии из сети по формуле:

(П.1)

где _ТТi, _ТНi и _счi- средние погрешности ТТ, ТН и счетчика, %, в i-й точке учета; W_i - энергия, зафиксированная счетчиком в i-й точке учета за расчетный период.

П.3.3. Среднюю погрешность ТТ определяют по формулам:

для ТТ с номинальным током I_ном 1000 А:

при (П.2)
     
при (П.3)
     
при (П.4)

для ТТ с номинальным током I_ном более 1000 А:

(П.5)

П.3.4. Среднюю погрешность ТН (с учетом потерь в соединительных проводах) определяют по формуле:

(П.6)

П.3.5. Среднюю погрешность индукционного счетчика определяют по формуле:

(П.7)

Коэффициент k принимают равным 0,2 для индукционных счетчиков, изготовленных до 2000 г., и 0,1 - для индукционных счетчиков, изготовленных позже этого срока.

При определении нормативного недоучета значение Т_пов не должно превышать нормативного межповерочного интервала.

Для электронного счетчика принимают _сч = 0.