Приказ Минэкономразвития РФ от 26.04.2007 N 146

"Об административном регламенте исполнения Федеральным агентством кадастра объектов недвижимости государственной функции "Ведение государственного технического учета объектов капитального строительства"
Редакция от 26.04.2007 — Документ утратил силу, см. «Приказ Минэкономразвития РФ от 14.10.2011 N 577»
Показать изменения

Зарегистрировано в Минюсте РФ 13 июня 2007 г. N 9634


МИНИСТЕРСТВО ЭКОНОМИЧЕСКОГО РАЗВИТИЯ И ТОРГОВЛИ РОССИЙСКОЙ ФЕДЕРАЦИИ

ПРИКАЗ
от 26 апреля 2007 г. N 146

ОБ АДМИНИСТРАТИВНОМ РЕГЛАМЕНТЕ ИСПОЛНЕНИЯ ФЕДЕРАЛЬНЫМ АГЕНТСТВОМ КАДАСТРА ОБЪЕКТОВ НЕДВИЖИМОСТИ ГОСУДАРСТВЕННОЙ ФУНКЦИИ "ВЕДЕНИЕ ГОСУДАРСТВЕННОГО ТЕХНИЧЕСКОГО УЧЕТА ОБЪЕКТОВ КАПИТАЛЬНОГО СТРОИТЕЛЬСТВА"

В соответствии с Положением о Федеральном агентстве кадастра объектов недвижимости, утвержденным Постановлением Правительства Российской Федерации от 19 августа 2004 г. N 418 (Собрание законодательства Российской Федерации, 2004, N 34, ст. 3554; 2005, N 12, ст. 1042; N 13, ст. 1169; 2006, N 16, ст. 1744; N 47, ст. 4919), Постановлением Правительства Российской Федерации от 11 ноября 2005 г. N 679 "О порядке разработки и утверждения административных регламентов исполнения государственных функций и административных регламентов предоставления государственных услуг" (Собрание законодательства Российской Федерации, 2005, N 47, ст. 4933), в целях реализации Концепции административной реформы в Российской Федерации в 2006 - 2008 годах и плана мероприятий по проведению административной реформы в Российской Федерации в 2006 - 2008 годах, одобренных распоряжением Правительства Российской Федерации от 25 октября 2005 г. N 1789-р (Собрание законодательства Российской Федерации, 2005, N 46, ст. 4720), приказываю:

1. Утвердить прилагаемый административный регламент исполнения Федеральным агентством кадастра объектов недвижимости государственной функции "Ведение государственного технического учета объектов капитального строительства" (далее - Административный регламент).

2. Установить, что Административный регламент, утвержденный пунктом 1 настоящего Приказа, вступает в силу поэтапно:

с 1 июля 2007 г. - на территории Кемеровской, Самарской, Тверской областей;

с 1 июля 2008 г. - на территории Калужской, Калининградской, Нижегородской, Иркутской, Ростовской областей, Краснодарского, Красноярского краев, Республики Татарстан, Республики Башкортостан;

с 1 июля 2009 г. - на территории Удмуртской Республики, Чувашской Республики, Архангельской, Белгородской, Брянской, Владимирской, Волгоградской, Воронежской, Кировской, Курской, Ленинградской, Новгородской, Новосибирской, Омской, Пермской, Саратовской, Свердловской, Тульской, Тюменской, Челябинской, Ярославской областей, Приморского края, Ставропольского края, Хабаровского края, города Санкт-Петербурга, Ханты-Мансийского автономного округа - Югры;

с 1 июля 2010 г. - на территории Российской Федерации.

3. Федеральному агентству кадастра объектов недвижимости (С.М. Подобед):

3.1. Осуществлять контроль за введением Административного регламента на территориях субъектов Российской Федерации согласно пункту 2 настоящего Приказа.

3.2. В течение одного месяца с момента государственной регистрации Административного регламента в Министерстве юстиции Российской Федерации обеспечить его опубликование и размещение на официальном сайте Федерального агентства кадастра объектов недвижимости в сети Интернет, а также в местах исполнения государственной функции поэтапно согласно пункту 2 настоящего Приказа.

3.3. В срок до 1 января 2012 г. обеспечить на всей территории Российской Федерации полное функционирование системы ведения государственного технического учета объектов капитального строительства территориальными органами Роснедвижимости (управлениями Роснедвижимости по субъектам Российской Федерации и их территориальными отделами) в соответствии с подпрограммой "Создание системы кадастра недвижимости (2006 - 2011 годы)" федеральной целевой программы "Создание автоматизированной системы ведения государственного земельного кадастра и государственного учета объектов недвижимости (2002 - 2007 годы)", утвержденной Постановлением Правительства Российской Федерации от 13 сентября 2005 г. N 560 (Собрание законодательства Российской Федерации, 2005, N 39, ст. 3951).

4. Контроль за исполнением настоящего Приказа возложить на заместителя Министра Андросова К.Г.

Министр
Г.О.ГРЕФ

УТВЕРЖДЕН
Приказом
Минэкономразвития России
от 26 апреля 2007 г. N 146

АДМИНИСТРАТИВНЫЙ РЕГЛАМЕНТ
ФЕДЕРАЛЬНОГО АГЕНТСТВА КАДАСТРА ОБЪЕКТОВ НЕДВИЖИМОСТИ ПО ИСПОЛНЕНИЮ ГОСУДАРСТВЕННОЙ ФУНКЦИИ "ВЕДЕНИЕ ГОСУДАРСТВЕННОГО ТЕХНИЧЕСКОГО УЧЕТА ОБЪЕКТОВ КАПИТАЛЬНОГО СТРОИТЕЛЬСТВА"

I. Общие положения

1.1. Наименование государственной функции

Ведение государственного технического учета объектов капитального строительства.

Настоящий Регламент определяет процедуры исполнения государственной функции в части создания и ведения Единого государственного реестра объектов капитального строительства <1>:

<1> Далее - ЕГРОКС.

при возникновении нового объекта капитального строительства (зданий, сооружений, объектов незавершенного строительства) и его частей (помещений) <1>;

<1> Далее - объект учета.

при изменении отдельных характеристик существующего объекта учета;

при прекращении существования объекта учета.

1.2. Нормативные правовые акты, регулирующие исполнение государственной функции

Исполнение государственной функции осуществляется в соответствии с:

Конституцией Российской Федерации (Собрание законодательства Российской Федерации, 1996, N 3, ст. 152; N 7, ст. 676; 2001, N 24, ст. 2421; 2003, N 30, ст. 3051; 2004, N 13, ст. 1110; 2005, N 42, ст. 4212; 2006, N 29, ст. 3119; 2007, N 1, ст. 1);

Градостроительным кодексом Российской Федерации (Собрание законодательства Российской Федерации, 2005, N 1, ст. 16; N 30, ст. 3128; 2006, N 1, ст. 10; ст. 21; N 23, ст. 2380; N 31, ст. 3442; N 50, ст. 5279; N 52, ст. 5498; 2007, N 1, ст. 21);

Основами законодательства Российской Федерации о нотариате (Собрание законодательства Российской Федерации, 2001, N 53, ст. 5030; 2002, N 52, ст. 5132; 2003, N 50, ст. 4855; N 52, ст. 5038; 2004, N 27, ст. 2711; N 35, ст. 3607; N 45, ст. 4377; 2005, N 27, ст. 2717; 2006, N 27, ст. 2881);

Федеральным законом от 21 июля 1997 г. N 122-ФЗ "О государственной регистрации прав на недвижимое имущество и сделок с ним" (Собрание законодательства Российской Федерации, 1997, N 30, ст. 3594; 2001, N 11, ст. 997; N 16, ст. 1533; 2002, N 15, ст. 1377; 2003, N 24, ст. 2244; 2004, N 27, ст. 2711; N 30, ст. 3081; N 35, ст. 3607; N 45, ст. 4377; 2005, N 1, ст. 15; ст. 22; ст. 40; ст. 43; N 50, ст. 5244; 2006, N 1, ст. 17; N 17, ст. 1782; N 23, ст. 2380; N 27, ст. 2881; N 30, ст. 3287; N 50, ст. 5279; N 52, ст. 5498);

Федеральным законом от 27 июля 2006 г. N 149-ФЗ "Об информации, информационных технологиях и о защите информации" (Собрание законодательства Российской Федерации, 2006, N 31, ст. 3448);

Федеральным законом от 2 мая 2006 г. N 59-ФЗ "О порядке рассмотрения обращений граждан Российской Федерации" (Собрание законодательства Российской Федерации, 2006, N 19, ст. 2060);

Указом Президиума Верховного Совета СССР от 4 августа 1983 г. N 9779-Х "О порядке выдачи и свидетельствования предприятиями, учреждениями и организациями копий документов, касающихся прав граждан" (Собрание законодательства Российской Федерации, 2003, N 50, ст. 4855);

Указом Президента Российской Федерации от 6 марта 1997 г. N 188 "Об утверждении перечня сведений конфиденциального характера" (Собрание законодательства Российской Федерации, 1997, N 10, ст. 1127; 2003, N 50, ст. 4855; 2005, N 39, ст. 3925);

Постановлением Правительства Российской Федерации от 4 декабря 2000 г. N 921 "О государственном техническом учете и технической инвентаризации в Российской Федерации объектов капитального строительства" (Собрание законодательства Российской Федерации, 2000, N 50, ст. 4901; 2004, N 38, ст. 3803; 2005, N 13, ст. 1169; 2007, N 1, ст. 274);

Постановлением Правительства Российской Федерации от 19 августа 2004 г. N 418 "Об утверждении Положения о Федеральном агентстве кадастра объектов недвижимости" (Собрание законодательства Российской Федерации, 2004, N 34, ст. 3554; 2005, N 12, ст. 1042; N 13, ст. 1169; 2006, N 16, ст. 1744; N 47, ст. 4919);

Постановлением Правительства Российской Федерации от 10 сентября 2004 г. N 477 "О внесении изменений в некоторые акты Правительства Российской Федерации по вопросам осуществления государственного технического учета и технической инвентаризации объектов капитального строительства" (Собрание законодательства Российской Федерации, 2004, N 38, ст. 3803);

Постановлением Правительства Российской Федерации от 19 марта 2005 г. N 141 "О внесении изменений в некоторые постановления Правительства Российской Федерации по вопросам осуществления государственного технического учета и технической инвентаризации объектов градостроительной деятельности" (Собрание законодательства Российской Федерации, 2005, N 13, ст. 1169);

Постановлением Правительства Российской Федерации от 13 сентября 2005 г. N 560 "Об утверждении подпрограммы "Создание системы кадастра недвижимости (2006 - 2011 годы)" федеральной целевой программы "Создание автоматизированной системы ведения государственного земельного кадастра и государственного учета объектов недвижимости (2002 - 2007 годы)" (Собрание законодательства Российской Федерации, 2005, N 39, ст. 3951);

Постановлением Правительства Российской Федерации от 11 ноября 2005 г. N 679 "О порядке разработки и утверждения административных регламентов исполнения государственных функций и административных регламентов предоставления государственных услуг" (Собрание законодательства Российской Федерации, 2005, N 47, ст. 4933);

Постановлением Главного государственного санитарного врача Российской Федерации от 3 июня 2003 г. N 118 "О введении в действие санитарно-эпидемиологических правил и нормативов СанПиН 2.2.2/2.4.1340-03" (Российская газета, 2003, N 120; зарегистрировано в Минюсте России 10 июня 2003 г., регистрационный N 4673);

Приказом Минэкономразвития России от 5 апреля 2005 г. N 70 "Об утверждении Положения об аккредитации Федеральным агентством кадастра объектов недвижимости организаций технического учета и технической инвентаризации объектов капитального строительства" (Бюллетень нормативных актов федеральных органов исполнительной власти, 2005, N 20; зарегистрирован в Минюсте России 28 апреля 2005 г., регистрационный N 6562);

Приказом Минэкономразвития России от 8 сентября 2006 г. N 268 "Об утверждении правил ведения Единого государственного реестра объектов капитального строительства" (Бюллетень нормативных актов федеральных органов исполнительной власти, 2006, N 44; зарегистрирован в Минюсте России 27 сентября 2006 г., регистрационный N 8327);

Приказом Роснедвижимости от 5 октября 2005 г. N П/0193 "Об утверждении Регламента Федерального агентства кадастра объектов недвижимости" (Бюллетень нормативных актов федеральных органов исполнительной власти, 2005, N 47; зарегистрирован в Минюсте России 11 ноября 2005 г., регистрационный N 7153), согласованным Минэкономразвития России 30 сентября 2005 г.

1.3. Наименование федерального органа исполнительной власти, исполняющего государственную функцию "Ведение государственного технического учета объектов капитального строительства"

Государственная функция "Ведение государственного технического учета объектов капитального строительства" <1> исполняется федеральным органом исполнительной власти - Федеральным агентством кадастра объектов недвижимости <2> и территориальными органами Роснедвижимости.

<1> Далее - государственная функция.

<2> Далее - Роснедвижимость.

Информационное и технологическое обеспечение государственной функции осуществляется учреждениями, подведомственными Роснедвижимости.

II. Требования к порядку исполнения государственной функции

2.1. Порядок информирования о государственной функции

2.1.1. Описание конечного результата исполнения государственной функции

Конечными результатами исполнения государственной функции являются:

запись в ЕГРОКС;

удостоверенные Роснедвижимостью технические паспорта;

решение об отказе во внесении в ЕГРОКС сведений об объектах капитального строительства (приложение N 1), удостоверенное Роснедвижимостью.

2.1.2. Способ получения сведений о местах нахождения и графике работы структурных подразделений федеральных органов исполнительной власти, исполняющих государственную функцию

Сведения о местах нахождения, справочные телефоны, адреса сайтов в сети Интернет, адреса электронной почты центрального аппарата Роснедвижимости <1>, территориальных органов Роснедвижимости (управлений Роснедвижимости по субъектам Российской Федерации <2> и территориальных отделов <3> управлений Роснедвижимости по субъектам Российской Федерации) размещаются на информационных стендах, в средствах массовой информации, на официальных сайтах Роснедвижимости и Управлений в сети "Интернет" <4>. Информация об адресах и телефонах ЦА Роснедвижимости и территориальных органов Роснедвижимости содержится в приложении N 2.

<1> Далее - ЦА Роснедвижимости.

<2> Далее - Управление, Управления.

<3> Далее - Подразделение, Подразделения.

<4> Далее - официальные сайты.

График работы Подразделений должен предусматривать прием и информирование Заявителей не менее двух дней в неделю до 20.00, а также по субботам до 15.00:

понедельник - 10.00 - 17.00 (перерыв с 13.00 до 13.45);
вторник - 11.00 - 20.00 (перерыв с 13.00 до 13.45);
среда - 09.30 - 13.00;
четверг - 11.00 - 20.00 (перерыв с 13.00 до 13.45);
пятница - 09.30 - 13.00;
суббота - 10.00 - 15.00 (перерыв с 12.00 до 12.45);
воскресенье - выходной день.

2.1.3. Перечень документов, представляемых и предъявляемых Заявителями

Заявители представляют документы:

- лично:

по месту нахождения объекта учета - в Подразделение (в адрес, указанный Управлением);

для объекта учета, расположенного на территории, администрируемой двумя и более Подразделениями, - в Управление, осуществляющее администрирование территории, на которой данный объект учета располагается полностью;

для объекта учета, расположенного на территории, администрируемой двумя и более Управлениями, - в ЦА Роснедвижимости;

- почтовым отправлением - в адрес, указанный Управлением.

2.1.3.1. Перечень документов, представляемых Заявителями при обращении лично или почтой.

Заявители представляют заявление <1> о внесении в ЕГРОКС сведений об объекте капитального строительства (приложение N 3), технический паспорт объекта учета в бумажном виде в 3-х экземплярах и в электронном виде, изготовленный при помощи специализированного программного обеспечения <2>, и копии правоустанавливающих документов (приложение N 4).

<1> Далее - Заявление, Заявления.

<2> На электронных носителях или по защищенным каналам связи. Наличие специализированного программного обеспечения в организациях технической инвентаризации предусмотрено Положением об аккредитации Федеральным агентством кадастра объектов недвижимости организаций технического учета и технической инвентаризации объектов капитального строительства, утвержденным Приказом Минэкономразвития России от 5 апреля 2005 г. N 70.

В случае направления документов по почте Заявители прикладывают опись вложения (приложение N 5).

2.1.3.2. Порядок заполнения Заявления.

Заявление заполняется ручным способом (чернилами или пастой синего или черного цвета) или машинописным способом. В Заявлении указываются следующие обязательные характеристики:

характеристики объекта учета, позволяющие его однозначно определить (наименование и местоположение (адресный ориентир) объекта учета);

реквизиты Заявителя: полное наименование Заявителя, фактический и юридический адрес, ИНН, контактный телефон;

причина обращения Заявителя: возникновение нового объекта учета, изменение отдельных характеристик существующего объекта учета, прекращение существования объекта учета;

способ получения документов: лично или почтой;

почтовый адрес доставки (в случае указания способа получения документа - почтой);

подпись уполномоченного лица организации технической инвентаризации <1>;

<1> Далее - ОТИ. Пункт 2.2.1 настоящего Регламента.

печать ОТИ.

2.1.3.3. Перечень документов, предъявляемых Заявителями при подаче, а также при получении документов лично:

документ, удостоверяющий личность (приложение N 6);

документ, подтверждающий полномочия представителя заинтересованного лица <1>.

<1> Гражданский кодекс Российской Федерации (часть первая) от 30 ноября 1994 г. N 51-ФЗ (Собрание законодательства Российской Федерации, 1994, N 32, ст. 3301).

Юридические лица предъявляют документы о регистрации данного юридического лица и документы, подтверждающие полномочия их представителей.

Полномочия руководителей юридических лиц (лиц, действующих от имени юридического лица без доверенности) могут быть подтверждены решением собственника или уполномоченного органа юридического лица об их назначении (избрании) на должность.

Полномочия внешних (конкурсных) управляющих организаций, в отношении которых осуществляются процедуры банкротства, подтверждаются определением арбитражного суда о введении внешнего (конкурсного) управления и назначении внешнего (конкурсного) управляющего.

2.1.4. Порядок получения информации о процедурах исполнения государственной функции

Для получения информации о процедурах исполнения государственной функции Заявители обращаются:

лично в Подразделение;

по телефону в Подразделение или Управление;

в письменном виде почтой в Управление, ЦА Роснедвижимости;

в письменном виде электронной почтой в Управление, ЦА Роснедвижимости.

Если информация о процедурах исполнения государственной функции, полученная в Подразделении, не удовлетворяет Заявителей, то они по телефону или в письменном виде обращаются в Управление. Если информация о процедуре исполнения государственной функции, полученная в Управлении, не удовлетворяет Заявителей, то они в письменном виде обращаются в ЦА Роснедвижимости.

Основными требованиями к информированию Заявителей являются:

достоверность предоставляемой информации;

четкость в изложении информации;

полнота информирования;

наглядность форм предоставляемой информации;

удобство и доступность получения информации;

оперативность предоставления информации.

Информирование Заявителей организуется следующим образом:

индивидуальное информирование;

публичное информирование.

Информирование проводится в форме:

устного информирования;

письменного информирования.

2.1.4.1. Индивидуальное устное информирование осуществляется Подразделениями при обращении Заявителей за информацией:

лично;

по телефону.

Сотрудник, осуществляющий индивидуальное устное информирование, должен принять все необходимые меры для дачи полного и оперативного ответа на поставленные вопросы, в том числе с привлечением других сотрудников. Время ожидания Заявителя при индивидуальном устном информировании не может превышать 30 минут.

Индивидуальное устное информирование каждого Заявителя сотрудник Подразделения осуществляет не более 10 минут.

В случае, если для подготовки ответа требуется продолжительное время, сотрудник, осуществляющий индивидуальное устное информирование, может предложить Заявителям обратиться за необходимой информацией в письменном виде.

Для обеспечения индивидуального устного информирования выделяются отдельные сотрудники.

2.1.4.2. Индивидуальное письменное информирование при обращении Заявителей в Управление или ЦА Роснедвижимости осуществляется путем направления ответов почтовым отправлением или посредством официальных сайтов.

Руководитель Управления или уполномоченное им должностное лицо либо должностное лицо ЦА Роснедвижимости в соответствии со своей компетенцией определяет непосредственного исполнителя для подготовки ответа.

Ответ на обращение Заявителей предоставляется в простой, четкой и понятной форме с указанием должности, фамилии, имени, отчества, номера телефона исполнителя.

Ответ направляется в письменном виде, электронной почтой либо через официальные сайты в зависимости от способа обращения Заявителя за информацией или способа доставки ответа, указанного в письменном обращении Заявителя.

При индивидуальном письменном информировании ответ направляется Заявителю в течение 10 рабочих дней со дня поступления обращения Заявителя.

Информация по письменному запросу, направленная через официальные сайты, размещается на указанных сайтах в разделе "вопросы-ответы" в течение 10 рабочих дней со дня поступления обращения Заявителя.

2.1.4.3. Публичное устное информирование осуществляется посредством привлечения СМИ - радио, телевидения. Выступления сотрудников Подразделений по местному радио и телевидению согласовываются с руководителем Управления.

2.1.4.4. Публичное письменное информирование осуществляется путем публикации информационных материалов в СМИ, включая официальные сайты Роснедвижимости, а также официальные сайты федеральных государственных унитарных предприятий и федеральных государственных учреждений, подведомственных Роснедвижимости, в сети "Интернет". Информирование путем публикации информационных материалов на официальных сайтах Управлений, в СМИ регионального уровня осуществляется Управлениями. Управления направляют в свои Подразделения готовые материалы для местных СМИ и контролируют их размещение.

Официальные сайты должны содержать:

перечень предоставляемых Заявителем документов;

форму и образец заполнения Заявления;

рекомендации по заполнению Заявления (приложение N 3);

перечень документов, которые могут быть предъявлены Заявителями в качестве удостоверяющих личность;

перечень правоустанавливающих документов;

перечень типовых наиболее часто задаваемых заявителями вопросов и ответы на них.

Публичное информирование осуществляется также путем распространения информационных листков и оформления информационных стендов. Рекомендации к оформлению информационных листков изложены в приложении N 7.

Могут быть предусмотрены варианты информационных листков с увеличенным шрифтом (размер шрифта не менее N 20) для слабовидящих Заявителей.

Информация, размещаемая на информационных стендах, должна содержать подпись начальника Подразделения или его заместителя, дату размещения. Стенды делятся на стенды с организационно-распорядительной информацией и тематические.

На стендах с организационно-распорядительной информацией размещается следующая обязательная информация:

режим работы Подразделения;

номера кабинетов, где проводится прием и информирование Заявителей, фамилии, имена, отчества и должности сотрудников, осуществляющих прием и информирование Заявителей;

карта-схема расположения территорий, администрируемых Подразделением;

адреса официальных сайтов;

номера телефонов, адреса электронной почты Управления и Подразделения;

перечень документов, которые могут быть предъявлены Заявителями в качестве удостоверяющих личность;

перечень правоустанавливающих документов.

На стендах с тематической информацией размещается следующая обязательная информация:

перечень представляемых Заявителями документов;

форма и образец заполнения Заявления;

рекомендации по заполнению Заявления.

Тексты материалов печатаются удобным для чтения шрифтом (размер шрифта не менее N 18), без исправлений, наиболее важные места рекомендуется выделять другим шрифтом. В случае оформления информационных материалов в виде брошюр требования к размеру шрифта могут быть снижены.

2.1.5. Обязанности должностных лиц при ответе на телефонные звонки, устные и письменные обращения Заявителей, требования к форме и характеру взаимодействия должностных лиц с Заявителями

При ответе на телефонные звонки сотрудник, осуществляющий прием и информирование, сняв трубку, должен назвать фамилию, имя, отчество, занимаемую должность и наименование Подразделения или Управления. Во время разговора необходимо произносить слова четко, избегать "параллельных разговоров" с окружающими людьми и не прерывать разговор по причине поступления звонка на другой аппарат. В конце информирования сотрудник, осуществляющий прием и информирование, должен кратко подвести итоги и перечислить меры, которые надо принять (кто именно, когда и что должен сделать).

При устном обращении Заявителей (по телефону или лично) сотрудники, осуществляющие прием и информирование, дают ответ самостоятельно. Если сотрудник территориального органа Роснедвижимости, к которому обратился Заявитель, не может ответить на вопрос самостоятельно, то он может предложить Заявителю обратиться письменно.

Ответы на письменные обращения направляются в письменном виде и должны содержать: ответы на поставленные вопросы, фамилию, инициалы и номер телефона исполнителя. Ответ подписывается руководителем, заместителем руководителя или уполномоченным лицом Управления или ЦА Роснедвижимости.

Сотрудники, осуществляющие прием и информирование (по телефону или лично), должны корректно и внимательно относиться к Заявителям, не унижая их чести и достоинства. Информирование должно проводиться без больших пауз, лишних слов, оборотов и эмоций.

Сотрудники Роснедвижимости не вправе осуществлять консультирование Заявителей, выходящее за рамки информирования о стандартных процедурах и условиях исполнения государственной функции и влияющее прямо или косвенно на индивидуальные решения Заявителей.

2.1.6. Требования к удобству и комфорту мест приема Заявителей

2.1.6.1. Организация приема Заявителей осуществляется ежедневно в течение всего рабочего времени в соответствии с графиком, приведенным в п. 2.1.2 (Способ получения сведений о местах нахождения и графике работы структурных подразделений федеральных органов исполнительной власти, осуществляющих государственную функцию) настоящего Регламента.

2.1.6.2. Для организации ежедневного приема используется принцип сменности. Начальник Подразделения в зависимости от ситуации перераспределяет в течение дня должностных лиц, осуществляющих прием Заявителей. Сотрудники, осуществляющие прием и информирование, обеспечиваются личными идентификационными карточками и (или) настольными табличками.

2.1.6.3. В помещениях для работы с Заявителями размещаются информационные стенды.

2.1.6.4. Помещение для работы с Заявителями должно быть оборудовано электронной системой управления очередью, световым информационным табло. Световое информационное табло размещается недалеко от входа в помещение, где осуществляется прием посетителей, на высоте не менее 2,2 м от пола, таким образом, чтобы обеспечить видимость информации для максимально возможного количества граждан. Информация на световом информационном табло предоставляется в виде бегущей строки.

2.1.6.5. Помещение для работы с Заявителями должно быть оборудовано системой звукового информирования.

2.1.6.6. Для ожидания приема Заявителям отводятся места, оборудованные стульями, столами (стойками) для возможности оформления документов.

2.1.6.7. Помещение должно быть оборудовано в соответствии с санитарными правилами и нормами <1>.

<1> Федеральный закон от 30 марта 1999 г. N 52-ФЗ "О санитарно-эпидемиологическом благополучии населения" (Собрание законодательства Российской Федерации, 1999, N 14, ст. 1650); Постановление Главного государственного санитарного врача Российской Федерации от 3 июня 2003 г. N 118 "О введении в действие санитарно-эпидемиологических правил и нормативов СанПиН 2.2.2/2.4.1340-03", зарегистрировано в Минюсте России 10 июня 2003 г., регистрационный N 4673.

2.1.6.8. Должны быть созданы условия для обслуживания инвалидов: помещения оборудованы пандусами, специальными ограждениями и перилами, обеспечены беспрепятственное передвижение и разворот инвалидных колясок, размещение столов для инвалидов в стороне от входа с учетом беспрепятственного подъезда и поворота колясок.

2.2. Условия и сроки исполнения государственной функции

2.2.1. Заинтересованными лицами до принятия соответствующих нормативных правовых актов являются ОТИ, аккредитованные Роснедвижимостью в порядке, установленном Приказом Минэкономразвития России от 5 апреля 2005 г. N 70 "Об утверждении положения об аккредитации Федеральным агентством кадастра объектов недвижимости организаций технического учета и технической инвентаризации объектов капитального строительства".

2.2.2. Внесение в ЕГРОКС сведений об объекте капитального строительства осуществляется в течение 10 рабочих дней со дня подачи Заявления.

2.2.3. Днем приема Заявления считается дата регистрации факта приема Заявления в книге учета Заявлений (приложение N 8). В случае представления документов по почте регистрация Заявлений в книге учета Заявлений должна быть проведена не позднее рабочего дня, следующего за датой получения корреспонденции.

2.2.4. Время ожидания приема Заявителями не должно превышать 30 минут.

2.2.5. Продолжительность приема у должностного лица не должна превышать 10 минут при подаче Заявления и при получении документов по каждому объекту учета.

2.2.6. В случае выявления и устранения технических ошибок в данных АС ЕГРОКС Роснедвижимость направляет Заявителям, получившим ошибочные данные и полагавшимся на них, уведомление об их исправлении. Уведомление направляется в течение 5 дней с момента устранения технической ошибки, к нему прилагается один экземпляр выписки из ЕГРОКС, содержащей скорректированные данные.

2.3. Основания для отказа в приеме Заявления и во внесении в ЕГРОКС сведений об объекте капитального строительства

2.3.1. Основания для отказа в приеме Заявления

Сотрудник ЦА Роснедвижимости или территориальных органов Роснедвижимости, осуществляющий прием документов, вправе отказать в приеме Заявления в случае:

наличия в Заявлении и прилагаемых к Заявлению документах неоговоренных исправлений, серьезных повреждений, не позволяющих однозначно истолковать их содержание, подчисток либо приписок, зачеркнутых слов;

если Заявление и прилагаемые к Заявлению документы исполнены карандашом;

непредставления полного пакета документов, перечисленных в пп. 2.1.3.1 (Перечень документов, представляемых Заявителями при обращении лично или почтой) настоящего Регламента, в том числе если поврежден электронный носитель.

2.3.2. Основания для отказа во внесении в ЕГРОКС сведений об объекте капитального строительства

Сотрудник ЦА Роснедвижимости или территориальных органов Роснедвижимости вправе отказать во внесении в ЕГРОКС сведений об объекте капитального строительства в следующих случаях <1>:

<1> Пункт 11 Правил ведения Единого государственного реестра объектов капитального строительства, утвержденных Приказом Минэкономразвития России от 8 сентября 2006 г. N 268.

организация, изготовившая технический паспорт объекта учета, не является организацией, аккредитованной Федеральным агентством кадастра объектов недвижимости в порядке, установленном Приказом Минэкономразвития России от 5 апреля 2005 г. N 70 "Об утверждении Положения об аккредитации Федеральным агентством кадастра объектов недвижимости организаций технического учета и технической инвентаризации объектов капитального строительства";

технический паспорт не соответствует установленной форме;

в техническом паспорте отсутствуют сведения, которые являются обязательными при его составлении;

сведения технического паспорта не соответствуют сведениям, содержащимся в правоустанавливающих документах.

2.3.3. Сотрудник ЦА Роснедвижимости или территориальных органов Роснедвижимости, осуществляющий выдачу документов лично, вправе отказать в выдаче документов в случае, если Заявителем при получении документов не предъявлены документы, указанные пп. 2.1.3.3 (Перечень документов, предъявляемых Заявителями при подаче, а также при получении документов лично) настоящего Регламента.

III. Административные процедуры

3.1. Описание последовательности действий при исполнении государственной функции

Исполнение государственной функции включает в себя:

прием и регистрацию представляемых и предъявляемых Заявителями документов;

ввод информации в АС ЕГРОКС;

проверку в ходе обработки информации в АС ЕГРОКС представленных Заявителями документов;

принятие решения о внесении либо об отказе во внесении в ЕГРОКС сведений об объектах капитального строительства;

выдачу Заявителям удостоверенных технических паспортов или решений об отказе во внесении в ЕГРОКС сведений об объектах капитального строительства;

формирование реестровых дел.

3.1.1. Прием и регистрация представляемых и предъявляемых Заявителями документов

3.1.1.1. Прием и регистрация документов от Заявителей при обращении лично.

При обращении Заявителей лично в ЦА Роснедвижимости или территориальные органы Роснедвижимости Заявители представляют документы, указанные в пп. 2.1.3.1 (Перечень документов, представляемых Заявителями при обращении лично или почтой) настоящего Регламента и предъявляют документы, указанные пп. 2.1.3.3. (Перечень документов, предъявляемых Заявителями при подаче, а также при получении документов лично) настоящего Регламента.

При предъявлении Заявителем документа, удостоверяющего личность, сотрудник ЦА Роснедвижимости или территориальных органов Роснедвижимости <1>, осуществляющий прием документов, проверяет срок действия документа; наличие записи об органе, выдавшем документ, даты выдачи, подписи и фамилии должностного лица, оттиска печати, а также соответствие данных документа, удостоверяющего личность, данным, указанным в документе, подтверждающем полномочия представителя.

<1> Далее - Сотрудник.

Заявление по просьбе Заявителя может быть сформировано Сотрудником с использованием программных средств. В этом случае Заявитель своей рукой на Заявлении указывает свою фамилию, имя и отчество и ставит подпись.

В ходе приема документов от Заявителя Сотрудник осуществляет проверку представленных документов на:

наличие всех необходимых документов, указанных в пп. 2.1.3.1 (Перечень документов, представляемых Заявителями при обращении лично или почтой), пп. 2.1.3.3 (Перечень документов, предъявляемых Заявителями при подаче, а также при получении документов лично) настоящего Регламента, в том числе на исправность электронного носителя;

оформление Заявления в соответствии с требованиями пп. 2.1.3.2;

отсутствие в Заявлении и прилагаемых к Заявлению документах неоговоренных исправлений, серьезных повреждений, не позволяющих однозначно истолковать их содержание, подчисток либо приписок, зачеркнутых слов;

отсутствие в Заявлении и прилагаемых к Заявлению документах записей, выполненных карандашом.

Документы не подлежат приему в случаях, установленных п. 2.3.1 настоящего Регламента.

Сотрудник регистрирует результат проведения проверки документов в книге учета Заявлений путем выполнения регистрационной записи о приеме документов либо об отказе в приеме документов.

Если при приеме документов не обнаружены основания для отказа в приеме документов, Заявителю выдается расписка в приеме документов <1> (приложение N 9).

<1> Далее - Расписка.

В случае ведения книг учета Заявлений в бумажном виде при получении Расписки Заявитель ставит свою подпись в книге учета Заявлений.

В случае ведения книг учета Заявлений в электронном виде при получении Расписки Заявитель ставит свою подпись на втором экземпляре Расписки, а в книгу учета Заявлений вносится запись "расписка выдана".

Если при приеме документов обнаружены основания для отказа в приеме документов, то по просьбе Заявителя отказ в приеме документов может быть оформлен в письменной форме в виде уведомления об отказе в приеме документов (приложение N 10). Сотрудник изготавливает уведомление об отказе в приеме документов и после подписания должностным лицом ЦА Роснедвижимости или территориального органа Роснедвижимости регистрирует данное уведомление в книге учета Заявлений.

Сотрудник копирует документы, послужившие основанием для отказа.

Уведомление об отказе в приеме документов вместе с представленными документами передается лично в руки Заявителю или в течение трех рабочих дней направляется Заявителю по почте по адресу, указанному в Заявлении.

В случае ведения книг учета Заявлений в бумажном виде при получении уведомления об отказе в приеме документов лично Заявитель ставит свою подпись в книге учета Заявлений.

В случае ведения книг учета Заявлений в электронном виде при получении уведомления об отказе в приеме документов лично Заявитель ставит свою подпись на втором экземпляре уведомления об отказе в приеме документов.

При направлении уведомления Заявителю по почте в книге учета Заявлений выполняется соответствующая запись.

3.1.1.2. Прием и регистрация документов от Заявителя по почте.

Почтовым отправлением Заявители представляют документы, указанные в пп. 2.1.3.1 (Перечень документов, представляемых Заявителями при обращении лично или почтой) настоящего Регламента.

В ходе приема документов, полученных по почте от Заявителя, Сотрудник осуществляет проверку представленных документов на:

наличие всех необходимых документов, указанных в пп. 2.1.3.1 (Перечень документов, представляемых Заявителями при обращении лично или почтой) настоящего Регламента, в том числе на исправность электронного носителя;

отсутствие в Заявлении и прилагаемых к Заявлению документах неоговоренных исправлений, серьезных повреждений, не позволяющих однозначно истолковать их содержание, подчисток либо приписок, зачеркнутых слов;

оформление Заявления в соответствии с требованиями пп. 2.1.3.2;

отсутствие в Заявлении и прилагаемых к Заявлению документах записей, исполненных карандашом;

соответствие представленных по почте документов описи вложения.

Документы не подлежат приему в случаях, установленных п. 2.3.1 настоящего Регламента.

Сотрудник регистрирует результат проведения проверки документов в книге учета Заявлений путем выполнения регистрационной записи о приеме документов либо об отказе в приеме документов.

В случае, если в ходе проверки документов выявлены указанные выше основания для отказа в приеме документов, Сотрудник изготавливает уведомление об отказе в приеме документов и после подписания должностным лицом регистрирует данное уведомление в книге учета Заявлений.

Уведомление об отказе в приеме документов должно содержать причины отказа в приеме документов.

Сотрудник копирует документы, послужившие основанием для отказа.

Уведомление об отказе в приеме документов вместе с представленными документами в течение трех рабочих дней направляется Заявителю по почте по адресу, указанному в Заявлении.

При направлении уведомления Заявителю по почте в книге учета Заявлений выполняется соответствующая запись.

3.1.2. Ввод информации в АС ЕГРОКС

Ввод информации в АС ЕГРОКС осуществляется путем выполнения следующих процедур:

ввод данных о возникновении нового объекта учета;

ввод данных об изменении отдельных характеристик существующего объекта учета;

ввод данных о прекращении существования объекта учета.

3.1.2.1. Данные о возникновении нового объекта учета вносятся во вновь открываемый раздел.

3.1.2.2. Ввод данных об изменении отдельных характеристик существующего объекта учета осуществляется в разделе, содержащем информацию об объекте учета, характеристики которого подлежат изменению.

3.1.2.3. Ввод данных о прекращении существования объекта учета осуществляется путем закрытия раздела на основании документа, подтверждающего факт прекращения существования объекта учета.

Учетная запись в ЕГРОКС по внесенным данным формируется после проверки документов, представленных Заявителями, и принятия решения о внесении в ЕГРОКС сведений об объектах капитального строительства.

3.1.3. Проверка документов, представленных Заявителями, в ходе обработки информации в АС ЕГРОКС

После ввода данных об объекте учета в АС ЕГРОКС осуществляется проверка представленных документов на:

соответствие технического паспорта установленной форме;

наличие в техническом паспорте сведений, которые являются обязательными при его составлении;

непротиворечивость сведений технического паспорта сведениям, содержащимся в правоустанавливающих документах;

наличие аккредитации у организации, изготовившей технический паспорт объекта учета, в соответствии с Приказом Минэкономразвития России от 5 апреля 2005 г. N 70 "Об утверждении Положения об аккредитации Федеральным агентством кадастра объектов недвижимости организаций технического учета и технической инвентаризации объектов капитального строительства".

Основаниями для отказа во внесении в ЕГРОКС сведений об объектах капитального строительства являются случаи, указанные п. 2.3.2 настоящего Регламента.

3.1.4. Принятие решения о внесении в ЕГРОКС сведений об объектах капитального строительства

В случае, если не обнаружено оснований для отказа во внесении в ЕГРОКС сведений об объектах капитального строительства, осуществляется выполнение следующих процедур:

внесение учетных записей о возникновении нового объекта учета в ЕГРОКС;

внесение учетных записей об изменении отдельных характеристик существующего объекта учета в ЕГРОКС;

внесение учетных записей о прекращении существования объекта учета в ЕГРОКС;

удостоверение технических паспортов.

3.1.4.1. Учетная запись о возникновении нового объекта учета выполняется во вновь открываемом разделе. Открытие раздела сопровождается присвоением объекту учета кадастрового номера. После открытия раздела на титульном листе трех экземпляров технических паспортов объекта учета проставляется запись о внесении учетных записей о возникновении нового объекта учета в ЕГРОКС с указанием наименования федерального органа исполнительной власти, кадастрового номера объекта учета, даты внесения учетных записей о возникновении нового объекта учета в ЕГРОКС.

3.1.4.2. Учетная запись об изменении отдельных характеристик существующего объекта учета осуществляется в разделе, содержащем информацию об объекте учета, характеристики которого подлежат изменению. После изменения отдельных характеристик существующего объекта учета в разделе на титульном листе трех экземпляров технических паспортов объекта учета проставляется запись о внесении учетных записей в ЕГРОКС об изменении отдельных характеристик существующего объекта учета с указанием наименования федерального органа исполнительной власти, кадастрового номера объекта учета (в случае его изменения), даты внесения учетных записей в ЕГРОКС об изменении отдельных характеристик существующего объекта учета.

3.1.4.3. Учетная запись о прекращении существования объекта учета осуществляется путем закрытия раздела на основании документа, подтверждающего факт прекращения существования объекта учета.

3.1.5. Удостоверение технических паспортов осуществляется путем проставления штампа на титульном листе технического паспорта и на плане объекта недвижимости, включенном в технический паспорт.

В штампе должна содержаться следующая информация:

наименование учетного органа;

кадастровый номер объекта учета (при возникновении нового объекта учета или изменении отдельных характеристик существующего объекта учета);

отметка о прекращении (при прекращении существования объекта учета);

дата внесения сведений в ЕГРОКС.

Технические паспорта удостоверяются уполномоченным должностным ЦА Роснедвижимости или территориального органа Роснедвижимости путем проставления фамилии, имени и отчества указанного лица, а также его подписи.

3.1.6. В случае, если обнаружены основания для отказа во внесении в ЕГРОКС сведений об объектах капитального строительства, осуществляются следующие процедуры:

размещение внесенных в АС ЕГРОКС данных в архивную часть АС ЕГРОКС;

формирование и удостоверение решения об отказе во внесении в ЕГРОКС сведений об объектах капитального строительства.

3.1.7. Выдача Заявителям удостоверенных технических паспортов или решений об отказе во внесении в ЕГРОКС сведений об объектах капитального строительства

Удостоверенные технические паспорта или решения об отказе во внесении в ЕГРОКС сведений об объектах капитального строительства выдаются Заявителям:

лично;

почтовым отправлением в адрес, указанный Заявителем в Заявлении.

3.1.7.1. Выдача Заявителям удостоверенных технических паспортов или решений об отказе во внесении в ЕГРОКС сведений об объектах капитального строительства лично.

При получении удостоверенных технических паспортов или решений об отказе во внесении в ЕГРОКС сведений об объектах капитального строительства лично Заявители предъявляют документы, указанные в пп. 2.1.3.3 (Перечень документов, предъявляемых Заявителями при подаче, а также при получении документов лично) настоящего Регламента.

Сотрудник, осуществляющий выдачу указанных документов, проверяет соответствие данных предъявленных документов.

Сотрудник, осуществляющий выдачу указанных документов, вправе отказать Заявителю в выдаче документов в случае, если:

- Заявителем не предъявлены документы, указанные в пп. 2.1.3.3 (Перечень документов, предъявляемых Заявителями при подаче, а также при получении документов лично) настоящего Регламента;

- обнаружено несоответствие данных предъявленных документов.

В случае ведения книг учета выданных документов (приложение N 11) в бумажном виде при получении удостоверенных технических паспортов или решений об отказе во внесении в ЕГРОКС сведений об объектах капитального строительства лично Заявитель ставит свою подпись в книге учета выданных документов.

В случае ведения книг учета выданных документов в электронном виде сотрудник, осуществляющий выдачу документов, оформляет расписку в получении документов (приложение N 12) в двух экземплярах. Один экземпляр расписки выдается Заявителю. На втором экземпляре расписки Заявитель проставляет свою подпись.

3.1.7.2. Выдача Заявителям удостоверенных технических паспортов или решений об отказе во внесении в ЕГРОКС сведений об объектах капитального строительства почтовым отправлением в адрес, указанный Заявителем в Заявлении.

Удостоверенные технические паспорта или решения об отказе во внесении в ЕГРОКС сведений об объектах капитального строительства, предоставляемые Заявителю по почте, направляются почтовым отправлением наложенным платежом <1> по адресу отправителя, указанному в Заявлении.

<1> Постановление Правительства Российской Федерации от 15 апреля 2005 г. N 221 "Об утверждении Правил оказания услуг почтовой связи" (Российская газета, 2005, N 87).

Факт направления указанных документов регистрируется в книге учета выданных документов.

3.1.8. Формирование реестровых дел

3.1.8.1. На каждый объект учета формируется реестровое дело.

В реестровые дела включаются все поступившие документы по конкретным объектам учета, скомплектованные в хронологическом порядке:

- Заявления;

- экземпляр технического паспорта;

- копии правоустанавливающих документов на объект учета;

- формы кадастрового плана земельного участка В1 - В6 приложения к правилам оформления кадастрового плана земельного участка ГЗК-1-Т.О-04-01-01, утвержденным Росземкадастром 10 апреля 2001 г. (не нуждается в государственной регистрации, письмо Минюста России от 13 июня 2001 г. N 07/5743-ЮД), если земельный участок учтен в Государственном земельном кадастре. Если земельный участок не учтен в Государственном земельном кадастре, то технический паспорт должен содержать изготовленный ОТИ план земельного участка, определяющий местоположение объекта учета.

3.1.8.2. Реестровое дело идентифицируется:

для объекта учета - кадастровым номером объекта учета;

для объектов учета, по которым принято решение об отказе во внесении в ЕГРОКС сведений об объектах капитального строительства, - номером Заявления.

3.1.8.3. Для организации хранения реестровые дела по объектам учета (здания, сооружения, объекты незавершенного строительства) группируются по номерам кадастровых кварталов, на территории которых они расположены; реестровые дела на помещения располагаются в порядке нумерации за реестровым делом на здание, сооружение, объект незавершенного строительства, в котором они расположены.

3.1.8.4. Целостность (комплектность) реестровых дел существующих объектов учета обеспечивается за счет соответствующей организации хранения с применением описи включаемых документов. Для обеспечения целостности реестровых дел прекративших существование объектов учета, пополнение которых завершено, весь комплект документов таких дел прошивается и скрепляется печатью органа кадастрового учета.

Реестровые дела подлежат постоянному хранению, их уничтожение и изъятие не допускаются.

3.1.9. Исправление технических ошибок, допущенных при исполнении государственной функции

Исправление технических ошибок осуществляется в случае, если нет оснований полагать, что такое исправление может причинить ущерб либо нарушить законные интересы правообладателей объектов учета или третьих лиц, которые полагались на соответствующие записи в ЕГРОКС.

В случаях, если существуют основания полагать, что исправление технических ошибок может причинить вред либо нарушить законные интересы правообладателей объектов учета или третьих лиц, которые полагались на соответствующие записи в ЕГРОКС, такое исправление осуществляется на основании решения суда.

При обнаружении технической ошибки в данных ЕГРОКС и ее устранении ЦА Роснедвижимости или территориальные органы Роснедвижимости, внесшие указанные исправления, направляют уведомление Заявителям, которые полагались на полученные данные, об устранении технической ошибки с приложением одного экземпляра выписки из ЕГРОКС, содержащей скорректированные данные.

Уведомление об устранении технической ошибки регистрируется в книге учета выданных документов.

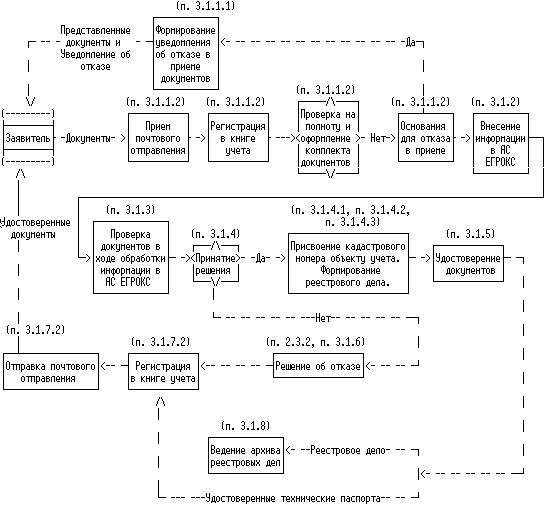
3.1.10. Схемы исполнения государственной функции при обращениях Заявителей лично и по почте приведены в приложениях N 13, 14.

3.2. Порядок и формы контроля за исполнением государственной функции

3.2.1. Текущий контроль за соблюдением последовательности действий, определенных административными процедурами по исполнению государственной функции.

Текущий контроль за соблюдением последовательности действий, определенных административными процедурами по исполнению государственной функции, и принятием решений сотрудником Подразделения, Управления или ЦА Роснедвижимости осуществляется руководителем, заместителем руководителя, ответственного за организацию работы по исполнению государственной функции, а также должностными лицами Подразделения, Управления или ЦА Роснедвижимости.

Перечень должностных лиц, осуществляющих текущий контроль, устанавливается Подразделением, Управлением или ЦА Роснедвижимости в соответствии с положениями ЦА Роснедвижимости, положениями об Управлениях и Подразделениях.

Текущий контроль осуществляется путем проведения проверок соблюдения и исполнения сотрудниками Подразделения или Управления положений настоящего Регламента.

Периодичность осуществления текущего контроля устанавливается руководителем Управления или ЦА Роснедвижимости.

3.2.2. Контроль за исполнением государственной функции

Управления организуют и осуществляют контроль за исполнением государственной функции своими Подразделениями. ЦА Роснедвижимости организует и осуществляет контроль за исполнением государственной функции Управлениями.

Контроль за полнотой и качеством исполнения государственной функции включает в себя проведение проверок, выявление и устранение нарушений прав Заявителей, рассмотрение, принятие решений и подготовку ответов на обращения Заявителей, содержащие жалобы на решения, действия (бездействие) сотрудников Подразделения, Управления или ЦА Роснедвижимости.

По результатам контроля осуществляется привлечение виновных лиц к ответственности в соответствии с законодательством Российской Федерации.

3.2.3. Проверки полноты и качества исполнения государственной функции

Проверки полноты и качества предоставления государственной функции осуществляются на основании приказов ЦА Роснедвижимости и ее Управлений.

Периодичность проведения проверок может носить плановый характер (осуществляться на основании полугодовых или годовых планов работы), тематический характер (проверка исполнения отдельных административных процедур) и внеплановый характер (по конкретному обращению Заявителя).

3.3. Порядок обжалования действий (бездействия) и решений, осуществляемых и принятых в ходе исполнения государственной функции на основании настоящего Регламента

Досудебное обжалование.

Заявители могут обратиться с жалобой на действия (бездействие) и решения, осуществляемые и принятые в ходе исполнения государственной функции на основании настоящего Регламента (далее - жалоба), устно в Подразделение либо письменно в Управление.

В случае, если изложенные в устном обращении факты и обстоятельства являются очевидными и не требуют дополнительной проверки, ответ на обращение с согласия гражданина может быть дан устно в ходе личного приема. В остальных случаях дается письменный ответ по существу поставленных в обращении вопросов.

Если Заявители не удовлетворены решением, принятым в ходе рассмотрения жалобы, или решение было оставлено без рассмотрения, то Заявители вправе обратиться письменно почтовым отправлением в ЦА Роснедвижимости.

В письменной жалобе указываются:

фамилия, имя, отчество заявителя (а также фамилия, имя, отчество уполномоченного представителя в случае обращения с жалобой представителя);

полное наименование юридического лица (в случае обращения от имени юридического лица);

контактный почтовый адрес;

предмет жалобы;

личная подпись Заявителя.

Письменная жалоба должна быть написана разборчивым почерком, не содержать нецензурных выражений. Письменная жалоба должна быть рассмотрена в течение 30 дней с момента ее поступления.

Обращения Заявителей, содержащие обжалование решений, действий (бездействия) конкретных должностных лиц, не могут направляться этим должностным лицам для рассмотрения и (или) ответа.

В случае, если в письменном обращении Заявителя содержится вопрос, на который ему многократно давались письменные ответы по существу в связи с ранее направляемыми обращениями, и при этом в обращении не приводятся новые доводы или обстоятельства, должностное лицо Управления или ЦА Роснедвижимости вправе принять решение о безосновательности очередного обращения и прекращении переписки с Заявителем по данному вопросу при условии, что указанное обращение и ранее направляемые обращения направлялись соответственно в Управление или ЦА Роснедвижимости. Заявитель, направивший обращение, уведомляется о данном решении.

Должностное лицо Управления или ЦА Роснедвижимости при направлении письменного обращения на рассмотрение в другой государственный орган, орган местного самоуправления или иному должностному лицу может в случае необходимости запрашивать в указанных органах или у должностного лица документы и материалы о результатах рассмотрения письменного обращения.

В случае, если решение поставленных в письменном обращении вопросов относится к компетенции нескольких государственных органов, органов местного самоуправления или должностных лиц, копия обращения в течение семи дней со дня регистрации направляется в соответствующие государственные органы, органы местного самоуправления или соответствующим должностным лицам.

Если в результате рассмотрения жалоба признана обоснованной, то принимается решение об исполнении государственной функции и применении мер ответственности к сотруднику, допустившему нарушения в ходе исполнения государственной функции, на основании настоящего Регламента, которые повлекли за собой жалобу Заявителя.

Заявителю направляется сообщение о принятом решении и действиях, осуществленных в соответствии с принятым решением, в течение 5 рабочих дней после принятия решения.

Все обращения об обжаловании действий (бездействия) и решений, осуществляемых и принятых в ходе исполнения государственной функции на основании настоящего Регламента, фиксируются в книге учета обращений с указанием:

принятых решений;

осуществленных действий по исполнению государственной функции и применению административных мер ответственности к сотруднику, допустившему нарушения, ответственному за действие (бездействие) и решение, принятое при исполнении государственной функции, повлекшие за собой жалобу Заявителя.

Обращения Заявителей считаются разрешенными, если рассмотрены все поставленные в них вопросы, приняты необходимые меры и даны письменные ответы (в пределах компетенции) по существу всех поставленных в обращениях вопросов.

Приложение N 1
к административному регламенту
Федерального агентства
кадастра объектов недвижимости
"Ведение государственного
технического учета объектов
капитального строительства"

                                                           ОБРАЗЕЦ
 
                           РЕШЕНИЕ <1>
 
      Об отказе во внесении в Единый государственный реестр
           объектов капитального строительства сведений
              об объекте капитального строительства
                  "__" _______________ 200_ года
 
__________________________________________________________________
      (Наименование территориального органа Роснедвижимости)
 
Рассмотрено заявление N ______ от ____________ о внесении в Единый
государственный   реестр   объектов   капитального   строительства
сведений об объекте капитального строительства:
__________________________________________________________________
             (наименование и местоположение объекта)
и приложенных к ней документов, выявлено, что
__________________________________________________________________
 
 
организация,   изготовившая технический паспорт объекта учета,    
не является организацией, аккредитованной Федеральным
агентством кадастра объектов недвижимости в порядке, установленном
Приказом Минэкономразвития России от 5 апреля 2005 г. N 70 "Об
утверждении Положения об аккредитации Федеральным агентством
кадастра объектов недвижимости организаций технического учета и
технической инвентаризации объектов капитального строительства"
(зарегистрирован в Минюсте России 28 апреля 2005 г.,
регистрационный N 6562);
 
 
 
 
 
 
технический паспорт не соответствует установленной форме;
 
 
 
сведения   технического   паспорта не соответствуют сведениям, 
содержащимся в правоустанавливающих документах;
 
 
в  техническом паспорте отсутствуют сведения, которые являются 
обязательными при его составлении
 
 
 
 
    В  связи  с  изложенным  во  внесении в Единый государственный 
реестр объектов капитального строительства сведений об объекте
капитального строительства отказано.
 
 
 
 
 
 
 
 
 
Руководитель (уполномоченное лицо) _______________________________
                                    (подпись)  (инициалы, фамилия)
 
                                       М.П. 

<1> Выдается на бланке федерального органа исполнительной власти.      

Приложение N 2
к административному регламенту
Федерального агентства
кадастра объектов недвижимости
"Ведение государственного
технического учета объектов
капитального строительства"

СПРАВОЧНИК
ЦА РОСНЕДВИЖИМОСТИ И ТЕРРИТОРИАЛЬНЫХ ОРГАНОВ РОСНЕДВИЖИМОСТИ

Код Наименование Контакты
  Центральный аппарат Роснедвижимости http://kadastr.ru/ 119415, г. Москва, пр. Вернадского, 37, корп. 2 (495) 747 30 93,
факс: (495) 747 96 96
E-mail: rnd@kadastr.ru
1 Республика Адыгея http://r01.kadastr.ru/ 352271, г. Майкоп, ул. Юннатов, 7 "в", а/я 12
(87722) 3-86-87 3-68-56
u01@kadastr.ru
2 Республика Алтай http://r02.kadastr.ru/ 649000, г. Горно-Алтайск, ул. Улагашева, д. 13, а/я 100
(38822) 2-23-12
факс: 2-50-97
u04@kadastr.ru
3 Республика Башкортостан http://r03.kadastr.ru/ 450000, г. Уфа, ул. Цюрупы, д. 17 (3472) 73-93-30 u02@kadastr.ru
4 Республика Бурятия http://r04.kadastr.ru/ 670000, г. Улан-Удэ, ул. Борсоева, д. 13 "Б"
(3012) 22-08-55
факс: 22-09-05
u03@kadastr.ru
5 Республика Дагестан http://r05.kadastr.ru/ 367012, г. Махачкала, ул. Маркова, д. 18
(8722) 671906
факс: 673643
u05@kadastr.ru
6 Ингушская Республика http://r06.kadastr.ru/ 366720, г. Назрань, ул. Фабричная, 14
(87322) 2-60-31 2-41-69
u06@kadastr.ru
7 Кабардино-Балкарская Республика
http://r07.kadastr.ru/
360000, г. Нальчик, ул. М. Горького, д. 4
(8662) 42-66-64 42-50-93
u07@kadastr.ru
8 Республика Калмыкия http://r08.kadastr.ru/ 358000, г. Элиста, ул. Чкалова, д. 36
(84722) 5-75-20
5-36-04
u08@kadastr.ru
9 Карачаево-Черкесская Республика
http://r09.kadastr.ru/
369000, г. Черкесск, пр. Ленина, д. 38 (87822) 5-22-19
факс: 5-17-75
u09@kadastr.ru
10 Республика Карелия
http://home.onego.ru/~ zeml
http://r10.kadastr.ru/
185000, г. Петрозаводск, ул. Куйбышева, д. 11, а/я 335
(8142) 76-29-31
78-21-61
u10@kadastr.ru
11 Республика Коми
http://r11.kadastr.ru/
167983, г. Сыктывкар, ГСП-2, ул. Бабушкина, д. 23
(8212) 29-18-89
факс: 24-62-13
u11@kadastr.ru
12 Республика Марий Эл
http://r12.kadastr.ru/
424000, г. Йошкар-Ола, ул. Красноармейская, д 41
(8362) 11-35-88
факс: 64-17-87
u12@kadastr.ru
13 Республика Мордовия
http://r13.kadastr.ru/
430000, г. Саранск, ул. Коммунистическая, д. 33
(8342) 17-48-18
17-01-17
u13@kadastr.ru
14 Республика Саха (Якутия)
http://r14.kadastr.ru/
677000, г. Якутск, ул. Курашова, д. 30-1
(4112) 42-13-20
42-13-20
u14@kadastr.ru
15 Республика Северная Осетия - Алания
http://r15.kadastr.ru/
362038, г. Владикавказ, ул. Шмулевича, д. 8а
(8672) 53-36-68
факс: 54-92-03
u15@kadastr.ru
16 Республика Татарстан
http://r16.kadastr.ru/
420059, г. Казань, Оренбургский тракт, 20а
(8432) 77-57-85
факс: 77-57-55
u16@kadastr.ru
17 Республика Тыва
http://r17.kadastr.ru/
667009, г. Кызыл, ул. Ленина, д. 10
(39422) 3-50-63
факс: 1-11-87 u17@kadastr.ru
18 Удмуртская Республика
http://r18.kadastr.ru/
426053, г. Ижевск, ул. Ворошилова, 13а
(3412) 26-02-41
26-01-75
u18@kadastr.ru
19 Республика Хакасия
http://r19kadastr.ru/
662017, г. Абакан, ул. Кирова, д. 100, п/я 92
(39022) 6-45-04
5-25-78
u19@kadastr.ru
20 Чеченская Республика
http://r20kadastr.ru/
366000, г. Гудермес, ул. Ленина, 5
(8712) 22-52-83
u20@kadastr.ru
21 Чувашская Республика - Чаваш-Республика
http://r21.kadastr.ru/
428004, г. Чебоксары, ул. Урицкого, д. 43
(8352) 62-26-52
62-00-85
u21@kadastr.ru
22 Алтайский край
http://r22kadastr.ru/
656002, г. Барнаул, ул. Воровского, д. 163
(3852) 24-95-34
факс: 38-14-08
u22@kadastr.ru
23 Краснодарский край
http://r23kadastr.ru/
350610, г. Краснодар, ул. Красная, д. 176
(8612) 51-78-96
факс: 51-83-96
u23@kadastr.ru
24 Красноярский край
http://r24kadastr.ru/
660049, г. Красноярск, ул. Бограда, д. 128
(3912) 21-46-62
21-77-93
u24@kadastr.ru
25 Приморский край
http://r25kadastr.ru/
690014, г. Владивосток, Народный проспект, д. 4
(4232) 45-46-04
u25@kadastr.ru
26 Ставропольский край
http://r26.kadastr.ru/
355106, г. Ставрополь, ул. Мира, д. 337
(8652) 35-25-87
факс: 32-83-93
u26@kadastr.ru
27 Хабаровский край
http://r27kadastr.ru/
680000, г. Хабаровск, ул. Фрунзе, 71, офис 512
(4212) 30-25-70
факс: 329513
u27@kadastr.ru
28 Амурская обл.
http://r28kadastr.ru/
675000, г. Благовещенск, ул. Амурская, д. 150
(4162) 44-38-85
факс: 42-47-78
u28@kadastr.ru
29 Архангельская обл.
http://www.arland.ru
http://r29kadastr.ru/
163000, г. Архангельск, ул. Выучейского, д. 18
(8182) 21-58-13
факс: 21-58-64
u29@kadastr.ru
30 Астраханская обл.
http://r30.kadastr.ru/
414045, г. Астрахань, ул. Ширяева, д. 16
(8512) 30-11-05
факс: 30-11-18
u30@kadastr.ru
31 Белгородская обл.
http://r31kadastr.ru/
308002, г. Белгород, ул. Мичурина, д. 62
(0722) 35-35-74
факс: 26-08-65
u31@kadastr.ru
32 Брянская обл.
http://r32kadastr.ru/
241000, ГСП г. Брянск, ул. Софьи Перовской, д. 63
(0832) 44-96-73
44-46-88
u32@kadastr.ru
33 Владимирская обл.
http://r33kadastr.ru/
600012, г. Владимир, ул. Луначарского, д. 3
(0922) 23-05-85
23-62-64
u33@kadastr.ru
34 Волгоградская обл.
http://r34kadastr.ru/
400066, г. Волгоград, ул. Коммунистическая, д. 19
(8442) 34-42-92
факс: 34-31-57
u34@kadastr.ru
35 Вологодская обл.
http://r35kadastr.ru/
160012, г. Вологда, ул. Советский проспект, 80-б
(8172) 75-54-28
факс: 75-55-30
u35@kadastr.ru
36 Воронежская обл.
http://r36kadastr.ru/
364049, г. Воронеж, Рабочий проспект, 101б
(0732) 46-77-78
u36@kadastr.ru
37 Ивановская обл.
http://r37kadastr.ru/
153000, г. Иваново, ул. Степанова, 15
(0932) 41-25-68
u37@kadastr.ru
38 Иркутская обл.
http://r38kadastr.ru/
664007, г. Иркутск, ул. Софьи Перовской, д. 30
(3952) 27-58-53
27-86-41
u38@kadastr.ru
39 Калининградская обл.
http://r39kadastr.ru/
236000, г. Калининград, Советский проспект, д. 13
(0112) 21-48-57
факс: 21-17-48
u39@kadastr.ru
40 Калужская обл.
http://r40.kadastr.ru/
248600, г. Калуга, ул. Вилонова, д. 5
(0842) 57-87-56
u40@kadastr.ru
41 Камчатская обл.
http://r41kadastr.ru/
683031, г. Петропавловск-Камчатский, ул. К. Маркса, д. 29/1
(41522) 5-22-28
факс: 5-23-81
u41@kadastr.ru
42 Кемеровская обл.
http://r42kadastr.ru/
650099, г. Кемерово, пр. Кузнецкий, д. 4
(3842) 36-08-40
факс: 36-11-64
u42@kadastr.ru
43 Кировская обл.
http://r43kadastr.ru/
610000, г. Киров, ул. Дерендяева, д. 23
(8332) 62-57-09
62-63-56
u43@kadastr.ru
44 Костромская обл.
http://r44kadast.ru/
156013, г. Кострома, ул. Маршала Новикова, д. 37
(0942) 55-59-83
55-18-03
u44@kadastr.ru
45 Курганская обл.
http://r45kadastr.ru/
640000, г. Курган, ул. Володарского, д. 65
(3522) 42-14-27
u45@kadastr.ru
46 Курская обл.
http://r46kadastr.ru/
305029, г. Курск, ул. Марата, д. 9
(0712) 2-52-05
факс: 2-25-36
u46@kadastr.ru
47 Ленинградская обл.
http://r47kadastr.ru/
193311, г. Санкт-Петербург, ул. Смольного, д. 3
(812) 279-61-22
факс: 274-93-82
u47@kadastr.ru
48 Липецкая обл.
http://r48kadastr.ru/
398050, г. Липецк, ул. Желябова, д. 2
(0742) 27-04-61
факс: 27-76-85
u48@kadastr.ru
49 Магаданская обл.
http://r49kadastr.ru/
685000, г. Магадан, ул. Горького, д. 8а
(41322) 2-72-00
2-44-08
u49@kadastr.ru
50 Московская область
http://r50kadastr.ru/
107140, г. Москва, ул. Верхняя Красносельская, д. 7
(495) 264-43-32
264-21-23
u50@kadastr.ru
51 Мурманская обл.
http://r51kadastr.ru/
183025, г. Мурманск, ул. Карла Маркса, д. 25а
(8152) 44-74-65
u51@kadastr.ru
52 Нижегородская обл.
http://r52.kadastr.ru/
603122, г. Н. Новгород, ул. Ванеева, д. 205
(8312) 68-18-81
факс: 67-69-34
u52@kadastr.ru
53 Новгородская обл.
http://r53.kadastr.ru/
173002, г. Великий Новгород, пр. К. Маркса, д. 3
(81622) 7-22-44
7-61-58
u53@kadastr.ru
54 Новосибирская обл.
http://r54.kadastr.ru/
630011, г. Новосибирск, Красный проспект, д. 18
(3832) 23-89-72 23-43-00
u54@kadastr.ru
55 Омская обл.
http://r55.kadastr.ru/
644099, г. Омск, ул. Красногвардейская, д. 40
(3812) 23-18-31
факс: 23-31-39
u55@kadastr.ru
56 Оренбургская обл.
http://r56.kadastr.ru/
460046, г. Оренбург, ул. 9 Января, д. 64
(3532) 77-04-62
u56@kadastr.ru
57 Орловская обл.
http://r57.kadastr.ru/
302028, г. Орел, ул. Полесская, д. 10
(08622) 6-39-24
факс: 6-29-91
u57@kadastr.ru
58 Пензенская обл.
http://r58.kadastr.ru/
440600, г. Пенза, ул. Московская, д. 110
(8412) 55-09-02
факс: 55-27-48
u58@kadastr.ru
59 Пермская обл.
http://r59.kadastr.ru/
614990, г. Пермь, Бульвар Гагарина, д. 10
(3422) 12-74-50
факс: 65-70-40
u59@kadastr.ru и
landcom@permonline.ru
60 Псковская обл.
http://r60.kadastr.ru/
180017, г. Псков, ул. Рабочая, д. 11
(8112) 16-56-08
16-56-11
u60@kadastr.ru
61 Ростовская обл.
http://r61.kadastr.ru/
344007, г. Ростов-на-Дону, ул. Московская, д. 51/15
(8632) 62-31-92
факс: 62-29-30
u61@kadastr.ru
62 Рязанская обл.
http://r62.kadastr.ru/
390006, г. Рязань, ул. Есенина, д. 9
(0912) 44-45-77
факс: 44-27-29
u62@kadastr.ru
63 Самарская обл.
http://r63.kadastr.ru/
443090, г. Самара, ул. Антонова-Овсеенко, д. 44а
(8462) 24-38-12
24-38-16
u63@kadastr.ru
64 Саратовская обл.
http://r64.kadastr.ru/
410078, г. Саратов, ул. Университетская, д. 45/51
(8452) 50-81-10
50-81-09
u64@kadastr.ru
65 Сахалинская обл.
http://r65.kadastr.ru/
693000, г. Южно-Сахалинск, пр. Мира, д. 107
(4242) 72-31-79
факс: 3-27-09
u65@kadastr.ru
66 Свердловская обл.
http://r66.kadastr.ru/
620095, г. Екатеринбург, ул. Малышева, 101
(3432) 71-14-26
факс: 61-22-50
u66@kadastr.ru
67 Смоленская обл.
http://r67.kadastr.ru/
214004, г. Смоленск, ул. Багратиона, д. 11Б
(0812) 66-72-90
66-73-80
u67@kadastr.ru
68 Тамбовская обл.
http://r68.kadastr.ru/
392036, г. Тамбов, ул. К. Маркса, д. 123
(0752) 72-87-11
71-35-09
u68@kadastr.ru
69 Тверская обл.
http://r69.kadastr.ru/
170034, г. Тверь, проезд Дарвина, 11 Б
(0822) 42-36-81
42-39-07
u69@kadastr.ru
70 Томская обл.
http://r70.kadastr.ru/
634049, г. Томск, ул. Ленина, д. 111
(3822) 51-32-87
факс: 51-48-49
u70@kadastr.ru
71 Тульская обл.
http://r71.kadastr.ru/
300025, г. Тула, ул. Седова, д. 7
(0872) 35-00-98 факс: 35-77-40
u71@kadastr.ru
72 Тюменская обл.
http://r72.kadastr.ru/
625032, г. Тюмень, ул. Червишевский тракт, д. 64а
(3452) 31-61-91
32-89-65
u72@kadastr.ru
73 Ульяновская обл.
http://r73.kadastr.ru/
432030, г. Ульяновск, ул. Юности, д. 5
(8422) 34-14-11
34-43-41
u73@kadastr.ru
74 Челябинская обл.
http://r74.kadastr.ru/
454113, г. Челябинск, пл. Революции, д. 4
(3512) 33-65-37
факс: 33-62-77
u74@kadastr.ru
75 Читинская обл.
http://r75.kadastr.ru/
672090, г. Чита, ул. Лермонтова, д. 1, а/я 1104
(3022) 26-17-28
факс: 26-62-68
u75@kadastr.ru
76 Ярославская обл.
http://r76.kadastr.ru/
150000, г. Ярославль, ул. Советская, д. 3
(0852) 32-85-14
факс: 30-84-73
u76@kadastr.ru
77 г. Москва
http://www.moskadastr. ru/
http://r77.kadastr.ru/
113054, Москва, Орликов переулок, д. 10, стр. 1
(495) 975-23-73
411-60-18
факс: 975-26-76
u77@kadastr.ru
78 г. Санкт-Петербург
http://www.kzr.spb.ru
http://r78.kadastr.ru/
191124, Санкт-Петербург, Суворовский проспект, д. 62
(812) 279-93-53
факс: 274-60-23
u78@kadastr.ru
79 Еврейская АО
http://r79.kadastr.ru/
679016, г. Биробиджан Хабаровского края, пр. 60-летия СССР, 22
(42622) 6-59-41
6-59-52
u79@kadastr.ru
80 Агинский Бурятский а.о.
http://r80.kadastr.ru/
674460, п. Агинское, Читинской обл., ул. Базара Ринчино, 87
(30239) 3-46-19
3-45-82
u80@kadastr.ru
81 Коми-Пермяцкий а.о.
http://r81.kadastr.ru/
617240, г. Кудымкар, ул. 50 лет Октября, д. 30
(34260) 4-59-14
факс: 4-52-55
u81@kadastr.ru
82 Корякский а.о.
http://r82.kadastr.ru/
684620, Камчатская обл., Тигильский р-н, п. Палана, ул. Обухова, д. 9
(41543) 3-20-58
факс: 3-17-23
u82@kadastr.ru
83 Ненецкий а.о.
http://r83.kadastr.ru/
164700, г. Нарьян-Мар, ул. Оленная, д. 25
(81853) 4-20-75
4-31-89
u83@kadastr.ru
84 Таймырский (Долгано-Ненецкий) а.о.
http://r84.kadastr.ru/
663210, г. Дудинка Красноярского края, ул. Советская, д. 13 (39111) 2-20-08
факс: 2-24-40
u84@kadastr.ru
85 Усть-Ордынский Бурятский а.о.
http://r85.kadastr.ru/
669001, п. Усть-Ордынский Иркутской обл., ул. Ленина, 35
(39541) 3-15-55
u85@kadastr.ru
86 Ханты-Мансийский а.о.
http://r86.kadastr.ru/
628012, г. Ханты-Мансийск Тюменской обл., ул. Коминтерна, д. 23 (34671) 3-24-36
4-28-24
u86@kadastr.ru
87 Чукотский а.о.
http://r87.kadastr.ru/
689000, г. Анадырь, ул. Беринга, д. 11
(427222) 2-04-03
u87@kadastr.ru
88 Эвенкийский а.о.
http://r88.kadastr.ru/
663370, Краснояр. кр., п. Тура, ул. 50 лет Октября, д. 25
(39113) 2-25-71
2-29-77
u88@kadastr.ru
89 Ямало-Ненецкий а.о.
http://r89.kadastr.ru/
626607, г. Салехард Тюменской обл., ул. Подшибякина, д. 25 А
(34922) 4-13-20
4-12-89
u89@kadastr.ru

Приложение N 3
к административному регламенту
Федерального агентства
кадастра объектов недвижимости
"Ведение государственного
технического учета объектов
капитального строительства"

РЕКОМЕНДАЦИИ
ПО ЗАПОЛНЕНИЮ ЗАЯВЛЕНИЯ О ВНЕСЕНИИ В ЕДИНЫЙ ГОСУДАРСТВЕННЫЙ РЕЕСТР ОБЪЕКТОВ КАПИТАЛЬНОГО СТРОИТЕЛЬСТВА СВЕДЕНИЙ ОБ ОБЪЕКТЕ КАПИТАЛЬНОГО СТРОИТЕЛЬСТВА

Заинтересованное лицо подает в соответствующий федеральный орган исполнительной власти письменное заявление с указанием своих реквизитов, формы предоставления и способа доставки. Заявление заполняется для одной из трех возможных причин обращения.

В настоящем документе даются рекомендации по содержанию и оформлению заявления.

Указанные рекомендации распространяются на образец заявления, состав элементов заявления (реквизитов), а также порядок их оформления.

Состав реквизитов

В заявлении рекомендуется указывать следующие основные элементы (реквизиты):

- адресат (01);

- заявитель (02);

- наименование вида документа (03);

- текст (04);

- подпись заявителя (05);

- отметка о поступлении документа в федеральный орган исполнительной власти (служебная регистрационная запись) (06);

- подпись сотрудника, принявшего документ (07).

Схема расположения реквизитов заявления приведена в приложении N 1 к Рекомендациям по заполнению заявления о внесении в Единый государственный реестр объектов капитального строительства сведений об объекте капитального строительства.

Рекомендации к оформлению реквизитов заявления

1. В реквизит "Адресат" заявления рекомендуется включать сокращенное наименование федерального органа исполнительной власти, исполняющего государственную функцию по ведению государственного технического учета объектов капитального строительства (в именительном падеже). Если исполнение государственной функции осуществляется территориальным подразделением федерального органа исполнительной власти, то в реквизите "Адресат" рекомендуется дополнительно указывать его наименование в именительном падеже.

2. В реквизите "Заявитель" рекомендуется указывать заинтересованное лицо. Реквизит "Заявитель" включается в текст заявления.

3. Наименование вида документа состоит из слов "ЗАЯВЛЕНИЕ О ВНЕСЕНИИ В ЕДИНЫЙ ГОСУДАРСТВЕННЫЙ РЕЕСТР ОБЪЕКТОВ КАПИТАЛЬНОГО СТРОИТЕЛЬСТВА СВЕДЕНИЙ ОБ ОБЪЕКТЕ КАПИТАЛЬНОГО СТРОИТЕЛЬСТВА".

4. Текст составляется от имени заинтересованного лица.

Заинтересованным лицам рекомендуется заполнять заявление ручным (чернилами или пастой синего или черного цвета) или машинописным способом. В случае если заявление заполнено машинописным способом, заявителю рекомендуется дополнительно в нижней части заявления разборчиво от руки (чернилами или пастой синего или черного цвета) указывать свою фамилию, имя и отчество (полностью).

В тексте заявления рекомендуется указывать причину обращения в федеральный орган исполнительной власти.

В заявлении рекомендуется указывать наименование объекта и его местоположение (адресный ориентир).

5. В анкете заявителя, оформляемой в виде таблицы, рекомендуется последовательно располагать пронумерованные по порядку и идентифицированные по заявителям записи, содержащие сведения о:

- заявителе;

- контактном телефоне заявителя;

- способе получения документов (лично или почтой);

- адрес для доставки почтой.

6. В реквизит "Заявитель" (графа "Заявитель" анкеты заявителя) рекомендуется включать:

- полное наименование, ИНН и код ОКПО (для юридических лиц);

- юридический и фактический адрес для юридического лица;

- в случае подачи заявления доверенным лицом заявителя рекомендуется производить запись "по доверенности" и рекомендуется указывать сведения о доверенном лице такие же, как и о заявителе. В случае подачи заявления полномочным представителем юридического лица рекомендуется производить запись "в соответствии с полномочиями" и рекомендуется указывать должность полномочного представителя. Дальнейшее заполнение соответствует отражению сведений о доверенном лице. В заявлении рекомендуется указывать документ, подтверждающий полномочия доверенного лица (наименование, номер и дата). В качестве документа, подтверждающего полномочия доверенного лица, допускается представлять доверенность, оформленную в простой письменной форме;

- подпись заявителя.

В текст заявления рекомендуется включать адрес для доставки документов почтой (контактный).

В тексте заявления рекомендуется указывать контактный телефон и место получения документов: по контактному адресу или в органе, осуществляющем исполнение государственной функции.

Отметка о поступлении документа в организацию является служебным реквизитом и состоит из следующих простых реквизитов:

- слова "ЗАРЕГИСТРИРОВАНО";

- регистрационного номера;

- даты регистрации.

Регистрационный номер формируется из порядкового номера Книги учета выданных сведений и номера записи о принятых документах. В качестве разделителя составных частей регистрационного номера применяется знак "-" (тире): 14/02-682.

Рекомендации к оформлению заявления

Заявления рекомендуется оформлять на бланках. Под бланком заявления понимается стандартный лист бумаги формата A4 с воспроизведенной на нем информацией.

Бланки заявлений могут быть изготовлены типографским способом, с помощью средств оперативной полиграфии или вычислительной техники, ручным (чернилами или пастой синего или черного цвета) или машинописным способом, с использованием федерального и региональных Интернет-сайтов Роснедвижимости.

При недостатке места на одном листе для размещения текста, содержащего необходимые сведения, заявление рекомендуется оформлять на двух и более листах. Последующие листы рекомендуется нумеровать посередине верхнего поля листа с указанием через разделитель общего количества листов. Нумерация является сквозной в пределах общего количества листов заявления.

Для юридических лиц рекомендуется оформлять заявления на бланке юридического лица и рекомендуется отражать все реквизиты, предусмотренные настоящими рекомендациями, включая приложения.

Образец заявления приведен в приложении N 2 к Рекомендациям по заполнению заявления о внесении в Единый государственный реестр объектов капитального строительства сведений об объекте капитального строительства.

Приложение N 1
к Рекомендациям по заполнению
заявления о внесении
в Единый государственный реестр
объектов капитального строительства
сведений об объекте
капитального строительства

Приложение N 2
к Рекомендациям по заполнению
заявления о внесении
в Единый государственный реестр
объектов капитального строительства
сведений об объекте
капитального строительства

                                  ________________________________
                                  ________________________________
                                  наименование федерального органа
                                  исполнительной власти
 
                                                           ОБРАЗЕЦ
 
                            ЗАЯВЛЕНИЕ
       о внесении в Единый государственный реестр объектов
          капитального строительства сведений об объекте
                    капитального строительства
 
Прошу(сим) ___________________________________________:
                (нужное вставляется, вписывается)
 
внести   в   Единый государственный реестр объектов   капитального
строительства сведения   об   объекте   капитального строительства
в связи с (нужное отметить):
 
 
возникновением нового объекта учета;
 
 
 
изменением отдельных характеристик существующего объекта учета;
 
 
 
прекращением существования объекта учета.
 
1. _______________________________________________________________
      (указывается наименование объекта учета и местоположение
                         (адресный ориентир))
2. _______________________________________________________________
      (указывается наименование объекта учета и местоположение
                         (адресный ориентир))
 
Анкета заявителя:
 
N 
Заявитель 
1 
полное наименование юридического лица 
 
 
 
 
2 
документы о регистрации юридического лица, ИНН, ОКПО 
 
 
 
 
3 
юридический и фактический адрес 
 
 
 
 
4 
Ф.И.О. уполномоченного представителя, ИНН или реквизиты  
документа, удостоверяющего личность (наименование, серия,
номер, кем и когда выдан)
 
 
 
 
5 
Документ, подтверждающий полномочия доверенного лица 
(наименование, номер и дата)
 
 
 
 
6 
контактный телефон 
 
 
 
Способ получения документов (V): почтой
 
лично 
 
 
адрес для доставки почтой: _______________________________________
__________________________________________________________________
ФИО              Подпись заявителя    (М.П.)
 
           /__________________/_______________________/__________/
            Дата, Ф.И.О., подпись сотрудника, принявшего заявление
 
 
 

Приложение N 4
к административному регламенту
Федерального агентства
кадастра объектов недвижимости
"Ведение государственного
технического учета объектов
капитального строительства"

ПЕРЕЧЕНЬ
ПРАВОУСТАНАВЛИВАЮЩИХ ДОКУМЕНТОВ НА ОБЪЕКТЫ КАПИТАЛЬНОГО СТРОИТЕЛЬСТВА

Правоустанавливающими документами на объекты капитального строительства являются:

акты, изданные органами государственной власти или органами местного самоуправления в рамках их компетенции и в порядке, который установлен законодательством, действовавшим в месте издания таких актов на момент их издания;

договор и другие сделки в отношении объектов капитального строительства, совершенные в соответствии с законодательством, действовавшим в месте нахождения объекта капитального строительства на момент совершения сделки;

свидетельства о государственной регистрации права;

свидетельства о праве на наследство;

вступившие в законную силу судебные акты;

иные документы, которые в соответствии с законодательством Российской Федерации подтверждают наличие, возникновение, переход, ограничение (обременение) прав на объекты учета.

Приложение N 5
к административному регламенту
Федерального агентства
кадастра объектов недвижимости
"Ведение государственного
технического учета объектов
капитального строительства"

ОПИСЬ ВЛОЖЕНИЯ

N п/п Вид документа N документа Количество листов документа
       

Заявитель

   
ФИО заявителя   подпись заявителя
     
"__" _________ 200_ г.    

Приложение N 6
к административному регламенту
Федерального агентства
кадастра объектов недвижимости
"Ведение государственного
технического учета объектов
капитального строительства"

ПЕРЕЧЕНЬ
ДОКУМЕНТОВ, УДОСТОВЕРЯЮЩИХ ЛИЧНОСТЬ ЗАЯВИТЕЛЯ (ФИЗИЧЕСКОГО ЛИЦА)

Граждане Российской Федерации представляют один из следующих документов:

В соответствии с законодательством Российской Федерации заявитель может предъявить один из документов, удостоверяющих его личность, в частности:

паспорт гражданина Российской Федерации (для граждан Российской Федерации старше 14 лет, проживающих на территории Российской Федерации) (пункт 1 Указа Президента Российской Федерации от 13 марта 1997 г. N 232 "Об основном документе, удостоверяющем личность гражданина Российской Федерации на территории Российской Федерации" (далее - Указ) <1>, пункт 1 Положения о паспорте гражданина Российской Федерации, утвержденного Постановлением Правительства Российской Федерации от 8 июля 1997 г. N 828 "Об утверждении Положения о паспорте гражданина Российской Федерации, образца бланка и описания паспорта гражданина Российской Федерации" (далее - Положение)) <2>;

<1> Собрание законодательства Российской Федерации, 1997, N 11, ст. 1301.

<2> Собрание законодательства Российской Федерации, 1997, N 28, ст. 3444.

временное удостоверение личности гражданина Российской Федерации по форме N 2П (для утративших паспорт граждан, а также для граждан, в отношении которых до выдачи паспорта проводится дополнительная проверка) (пункты 22, 52 Инструкции о порядке выдачи, замены, учета и хранения паспортов гражданина Российской Федерации, утвержденной Приказом Министерства внутренних дел Российской Федерации от 15 сентября 1997 г. N 605) <1>;

<1> Зарегистрирован Минюстом России 20.10.1997, N 1400; Бюллетень нормативных актов федеральных органов исполнительной власти, 1997, N 22.

удостоверение личности или военный билет военнослужащего (пункт 1 Постановления Совета Министров СССР от 28 августа 1974 г. N 677 "Об утверждении Положения о паспортной системе в СССР" (далее - Положение о паспортной системе) <1>;

<1> Собрание Постановлений Правительства СССР, 1974, N 19, ст. 109; 1983, N 6, ст. 28; 1990, N 24, ст. 113.

общегражданский заграничный паспорт (для прибывших на временное жительство в Российскую Федерацию граждан России, постоянно проживающих за границей) (пункт 1 Положения о паспортной системе);

паспорт моряка (пункт 1 Положения о паспорте моряка, утвержденного Постановлением Правительства Российской Федерации от 1 декабря 1997 г. N 1508 "Об утверждении Положения о паспорте моряка") <1>;

<1> Собрание законодательства Российской Федерации, 1997, N 49, ст. 5598.

удостоверение беженца (пункт 7 статьи 7 Федерального закона от 28 июня 1997 г. N 95-ФЗ "О внесении изменений и дополнений в Закон Российской Федерации "О беженцах") <1>;

<1> Собрание законодательства Российской Федерации, 1997, N 26, ст. 2956.

свидетельство о рассмотрении ходатайства о признании беженцем (пункты 1, 8 Порядка оформления, выдачи и обмена свидетельства о рассмотрении ходатайства о признании беженцем на территории Российской Федерации по существу, утвержденного Постановлением Правительства Российской Федерации от 28 мая 1998 г. N 523 "О свидетельстве о рассмотрении ходатайства о признании беженцем на территории Российской Федерации по существу") <1>.

<1> Собрание законодательства Российской Федерации, 1998, N 22, ст. 2475.

Если заявителем является иностранный гражданин или лицо без гражданства, рекомендуется принимать во внимание, что согласно статьям 6 и 24 Федерального закона от 15 августа 1996 г. N 114-ФЗ "О порядке выезда из Российской Федерации и въезда в Российскую Федерацию" <1> иностранные граждане и лица без гражданства могут въезжать в Российскую Федерацию при наличии визы по действительным документам (лицам без гражданства указанные документы выдаются соответствующими органами государства их проживания), удостоверяющим их личность и признаваемым Российской Федерацией в этом качестве, если иное не предусмотрено международными договорами Российской Федерации. Если заявителем является иностранный гражданин или лицо без гражданства, получившие вид на жительство в Российской Федерации, рекомендуется принимать во внимание, что в соответствии со статьей 24 Федерального закона от 15 августа 1996 г. N 114-ФЗ "О порядке выезда из Российской Федерации и въезда в Российскую Федерацию" иностранные граждане осуществляют въезд в Российскую Федерацию на основании действительных документов, удостоверяющих их личность и признаваемых Российской Федерацией в этом качестве, и лица без гражданства осуществляют въезд в Российскую Федерацию на основании вида на жительство";

<1> Собрание законодательства Российской Федерации, 1996, N 34, ст. 4029.

паспорт гражданина СССР (признан действительным до 1 января 2008 г. для некоторых категорий иностранных граждан и лиц без гражданства) (Постановление Правительства Российской Федерации от 4 декабря 2003 г. N 731 "О признании действительными до 1 января 2008 г. паспортов гражданина СССР 1974 года для некоторых категорий иностранных граждан и лиц без гражданства" <1>.

<1> Собрание законодательства Российской Федерации, 2003, N 49, ст. 4783.

Приложение N 7
к административному регламенту
Федерального агентства
кадастра объектов недвижимости
"Ведение государственного
технического учета объектов
капитального строительства"

РЕКОМЕНДАЦИИ
ПО ОФОРМЛЕНИЮ ИНФОРМАЦИОННЫХ ЛИСТКОВ ПО ПРОЦЕДУРЕ ИСПОЛНЕНИЯ ГОСУДАРСТВЕННОЙ ФУНКЦИИ

Согласно Административному регламенту территориальные органы Роснедвижимости осуществляют бесплатное предоставление информационных материалов в виде информационных листков, если иное не предусмотрено законодательством Российской Федерации.

Настоящие рекомендации определяют состав и содержание информации, необходимой для включения в информационный листок, предназначенный для физических и юридических лиц и массового распространения по вопросам исполнения Роснедвижимостью государственной функции.

1. Информационный листок рекомендуется составлять по конкретной тематике, которая определяется по наиболее часто возникающим в письменной и устной форме у физических и юридических лиц на консультациях вопросам.

2. Информационный листок составляется на русском языке, в информационном листке рекомендуется в простой, доступной форме описывать деятельность Роснедвижимости и территориальных органов Роснедвижимости по выбранной тематике.

3. В информационном листке рекомендуется указывать:

актуальную и исчерпывающую информацию о порядке исполнения государственной функции;

термины и определения, которые необходимо знать и применять физическим и юридическим лицам при обращении в центральный аппарат Роснедвижимости и территориальные органы Роснедвижимости по вопросам ведения государственного технического учета объектов капитального строительства;

при необходимости рисунки, блок-схемы и иные графические изображения, описывающие и разъясняющие правила и особенности получения государственной услуги;

в текстовом виде и в виде блок-схемы, наглядно отображающей алгоритм прохождения административной процедуры;

почтовый адрес и адрес официального сайта управления Роснедвижимости по субъекту Российской Федерации, осуществляющего контрольные, регулирующие, исполнительные и управленческие полномочия в части ведения государственного технического учета объектов капитального строительства, на территории соответствующего кадастрового округа;

список почтовых адресов и адреса официальных сайтов центрального аппарата Роснедвижимости и управления Роснедвижимости по субъекту Российской Федерации;

контактные телефоны сотрудников управления Роснедвижимости по субъекту Российской Федерации, территориальных отделов управления Роснедвижимости по субъекту Российской Федерации, осуществляющих консультационную деятельность для физических и юридических лиц по вопросам, входящим в компетенцию Роснедвижимости;

адреса, дни недели и часы приема лиц, заинтересованных в исполнении государственной функции;

список документов, представляемых и предъявляемых для исполнения государственной функции;

перечень, формы документов для заполнения, образцы заполнения документов.

4. Для обеспечения населения необходимой информацией информационный листок подготавливается и издается за счет средств Роснедвижимости с периодичностью, установленной управлением Роснедвижимости по субъекту Российской Федерации, и по мере изменения актуальности информации, содержащейся в последнем издании памятки.

Информационный листок подлежит бесплатному распространению среди физических и юридических лиц преимущественно в территориальных органах Роснедвижимости.

Приложение N 8
к административному регламенту
Федерального агентства
кадастра объектов недвижимости
"Ведение государственного
технического учета объектов
капитального строительства"

   Кадастровый Номер (округа, района) ________          

КНИГА УЧЕТА ЗАЯВЛЕНИЙ

N _______



Том N _________

N заявлений с ______ по __________

 
КНИГА УЧЕТА ЗАЯВЛЕНИЙ 
N
Дата 
приема
Заявитель
Результат 
проверки
документов
при приеме
Уведомление 
об отказе
в приеме
документов
Отказ 
в
приеме
Прием
Получение 
уведомления
лично
(подпись)
Направление 
уведомления
по почте
2
3
4
5.1
5.2
6.1
6.2
 
 
 
 
 
 
 
 
 
 
 
 
 
 
 
11
Лист N _______ ввел _________ (подпись)
 
 
 
 
 
 
1
 
Лист 
_____
 
Кол-во 
документов/
листов
Получение 
расписки
(подпись)
Фамилия, 
инициалы
исполнителя
Результат 
рассмотрения
заявления
 
Учет
 
Отказ 
в
учете
 
7
8
9
10.1
10.2
 
 
 
 
 
 
 
 
 
 
 
 
 
 
 
 
 
 
 
 
 
 
 
 
 
 
 
 

Приложение N 9
к административному регламенту
Федерального агентства
кадастра объектов недвижимости
"Ведение государственного
технического учета объектов
капитального строительства"

ОБРАЗЕЦ

РАСПИСКА <1>

Вместе с заявлением N __________ от _______________ о внесении в Единый государственный реестр объектов капитального строительства сведений об объекте капитального строительства представлены и приняты документы:

N п/п Документ
вид номер дата кол-во листов
         
         
         
         
         
Всего принято   документов на   листах.
           
Руководитель (уполномоченное лицо)   (инициалы, фамилия)
  (подпись)        

М.П.

<1> Выдается на бланке федерального органа исполнительной власти.

Приложение N 10
к административному регламенту
Федерального агентства
кадастра объектов недвижимости
"Ведение государственного
технического учета объектов
капитального строительства"

                                                           ОБРАЗЕЦ
 
                         УВЕДОМЛЕНИЕ <1>
           Об отказе в приеме документов для внесения
            в Единый государственный реестр объектов
               капитального строительства сведений
              об объекте капитального строительства
                    "__" _________ 200_ года
 
__________________________________________________________________
      (Наименование территориального органа Роснедвижимости)
 
Рассмотрено заявление N ___ от _______________ о внесении в Единый
государственный   реестр   объектов   капитального   строительства
сведений о следующих объектах учета:
__________________________________________________________________
          (наименование и местоположение объекта учета)
 
Выявлено, что представленные документы ненадлежаще оформлены:
 
 
имеют подчистки либо приписки, зачеркнутые слова    или   иные 
не оговоренные в них исправления;
 
 
выполнены карандашом;
 
 
 
имеют   серьезные   повреждения,   не позволяющие   однозначно 
истолковать их содержание
 
 
__________________________________________________________________
 
    В  связи  с изложенным представленные документы для внесения в
Единый  государственный реестр объектов капитального строительства
сведений об объекте капитального строительства не подлежат приему.
 
Руководитель (уполномоченное лицо) ___________ (инициалы, фамилия)
                                    (подпись)
 
                                       М.П.
 

<1> Выдается на бланке федерального органа исполнительной власти.      

Приложение N 11
к административному регламенту
Федерального агентства
кадастра объектов недвижимости
"Ведение государственного
технического учета объектов
капитального строительства"

Кадастровый Номер (округа, района) ________
   
  КНИГА УЧЕТА ВЫДАННЫХ ДОКУМЕНТОВ
  N _______
   
  Том N _________
   
  N документов с ______ по __________
   
КНИГА УЧЕТА ВЫДАННЫХ ДОКУМЕНТОВ    
  1 Лист ______  
  N Дата получения Заявитель Наименование выданного документа, количество экземпляров Фамилия, инициалы исполнителя Подпись получателя  
  2 3 4 5 6 7  
               
               
               
               
     
  8 Лист N ______ ввел ______________ (подпись)  
                   

Приложение N 12
к административному регламенту
Федерального агентства
кадастра объектов недвижимости
"Ведение государственного
технического учета объектов
капитального строительства"

ОБРАЗЕЦ

РАСПИСКА <1>

Заявителем (уполномоченным представителем)

ФИО заявителя/наименование организации

предъявлены документы:

N п/п Документ
вид номер дата
       
       
       
       

для получения документов по заявке (заявлению)

N ________________ от _______________________

о  
  указать причину подачи заявки (заявления)

Заявителю (уполномоченному представителю) выданы документы:

N п/п Документ
вид номер дата
       
       
       
       
Всего принято   документов на   листах.
           
Руководитель (уполномоченное лицо)   (инициалы, фамилия)
  (подпись)        

М.П.

<1> Выдается на бланке федерального органа исполнительной власти.

Приложение N 13
к административному регламенту
Роснедвижимости
"Ведение государственного
технического учета объектов
капитального строительства"

ИСПОЛНЕНИЕ ГОСУДАРСТВЕННОЙ ФУНКЦИИ ПРИ ОБРАЩЕНИИ ЗАИНТЕРЕСОВАННЫХ ЛИЦ ЛИЧНО

Приложение N 14
к административному регламенту
Роснедвижимости
"Ведение государственного
технического учета объектов
капитального строительства"

ИСПОЛНЕНИЕ ГОСУДАРСТВЕННОЙ ФУНКЦИИ ПРИ ОБРАЩЕНИИ ЗАИНТЕРЕСОВАННЫХ ЛИЦ ПО ПОЧТЕ